ΠΠ°ΠΊΠΎΠ½ ΠΠΌΠ° Π΄Π»Ρ ΠΏΠΎΠ»Π½ΠΎΠΉ ΡΠ΅ΠΏΠΈ
1. ΠΡΡΠΎΡΠ½ΠΈΠΊ ΡΠΎΠΊΠ°
ΠΡΠΈ ΠΏΡΠΎΡ ΠΎΠΆΠ΄Π΅Π½ΠΈΠΈ ΡΠΎΠΊΠ° Π² ΠΏΡΠΎΠ²ΠΎΠ΄Π½ΠΈΠΊΠ΅ Π²ΡΠ΄Π΅Π»ΡΠ΅ΡΡΡ Π½Π΅ΠΊΠΎΡΠΎΡΠΎΠ΅ ΠΊΠΎΠ»ΠΈΡΠ΅ΡΡΠ²ΠΎ ΡΠ΅ΠΏΠ»ΠΎΡΡ. Π‘ΠΎΠ³Π»Π°ΡΠ½ΠΎ Π·Π°ΠΊΠΎΠ½Ρ ΡΠΎΡ ΡΠ°Π½Π΅Π½ΠΈΡ ΡΠ½Π΅ΡΠ³ΠΈΠΈ ΠΏΡΠΈ ΡΡΠΎΠΌ Π² ΡΠ»Π΅ΠΊΡΡΠΈΡΠ΅ΡΠΊΡΡ ΡΠ΅ΠΏΡ Π΄ΠΎΠ»ΠΆΠ½Π° ΠΏΠΎΡΡΡΠΏΠ°ΡΡ ΡΠ½Π΅ΡΠ³ΠΈΡ.
ΠΠΎΠΆΠ΅Ρ Π»ΠΈ ΠΈΡΡΠΎΡΠ½ΠΈΠΊΠΎΠΌ ΡΡΠΎΠΉ ΡΠ½Π΅ΡΠ³ΠΈΠΈ Π±ΡΡΡ ΡΠ»Π΅ΠΊΡΡΠΎΡΡΠ°ΡΠΈΡΠ΅ΡΠΊΠΎΠ΅ ΠΏΠΎΠ»Π΅? ΠΠ΅Ρ, Π½Π΅ ΠΌΠΎΠΆΠ΅Ρ, ΠΏΠΎΡΠΎΠΌΡ ΡΡΠΎ ΠΏΡΠΈ ΠΏΠ΅ΡΠ΅ΠΌΠ΅ΡΠ΅Π½ΠΈΠΈ Π·Π°ΡΡΠ΄Π° Π²Π΄ΠΎΠ»Ρ Π²ΡΠ΅ΠΉ ΡΠ΅ΠΏΠΈ, ΡΠΎ Π΅ΡΡΡ ΠΏΠΎ Π·Π°ΠΌΠΊΠ½ΡΡΠΎΠΉ ΡΡΠ°Π΅ΠΊΡΠΎΡΠΈΠΈ, ΡΠ°Π±ΠΎΡΠ° ΡΠ»Π΅ΠΊΡΡΠΎΡΡΠ°ΡΠΈΡΠ΅ΡΠΊΠΎΠ³ΠΎ ΠΏΠΎΠ»Ρ ΡΠ°Π²Π½Π° ΠΊΡΠ»Ρ.
Π‘Π»Π΅Π΄ΠΎΠ²Π°ΡΠ΅Π»ΡΠ½ΠΎ, Π΄Π»Ρ ΡΡΡΠ΅ΡΡΠ²ΠΎΠ²Π°Π½ΠΈΡ ΡΠΎΠΊΠ° Π² Π·Π°ΠΌΠΊΠ½ΡΡΠΎΠΉ ΡΠ΅ΠΏΠΈ Π² Π½Π΅ΠΉ Π΄ΠΎΠ»ΠΆΠ΅Π½ Π±ΡΡΡ ΡΡΠ°ΡΡΠΎΠΊ, Π½Π° ΠΊΠΎΡΠΎΡΠΎΠΌ ΡΠ²ΠΎΠ±ΠΎΠ΄Π½ΡΠ΅ Π·Π°ΡΡΠ΄Ρ Π΄Π²ΠΈΠΆΡΡΡΡ ΠΏΡΠΎΡΠΈΠ² ΡΠΈΠ» ΡΠ»Π΅ΠΊΡΡΠΎΡΡΠ°ΡΠΈΡΠ΅ΡΠΊΠΎΠ³ΠΎ ΠΏΠΎΠ»Ρ. Π’Π°ΠΊΠΈΠΌ ΡΡΠ°ΡΡΠΊΠΎΠΌ ΡΠ΅ΠΏΠΈ ΡΠ²Π»ΡΠ΅ΡΡΡ ΠΈΡΡΠΎΡΠ½ΠΈΠΊ ΡΠΎΠΊΠ° (ΡΠΈΡ. 59.1).
Π ΠΈΡΡΠΎΡΠ½ΠΈΠΊΠ΅ ΡΠΎΠΊΠ° Π½Π° ΡΠ²ΠΎΠ±ΠΎΠ΄Π½ΡΠ΅ Π·Π°ΡΡΠ΄Ρ Π΄Π΅ΠΉΡΡΠ²ΡΡΡ ΡΠΈΠ»Ρ, ΠΊΠΎΡΠΎΡΡΠ΅ ΠΈΠΌΠ΅ΡΡ Π½Π΅ ΡΠ»Π΅ΠΊΡΡΠΎΡΡΠ°ΡΠΈΡΠ΅ΡΠΊΡΡ ΠΏΡΠΈΡΠΎΠ΄Ρ. ΠΡ
Π½Π°Π·ΡΠ²Π°ΡΡ ΡΡΠΎΡΠΎΠ½Π½ΠΈΠΌΠΈ ΡΠΈΠ»Π°ΠΌΠΈ. Π ΡΠ΅Π·ΡΠ»ΡΡΠ°ΡΠ΅ Π΄Π΅ΠΉΡΡΠ²ΠΈΡ ΡΡΠΎΡΠΎΠ½Π½ΠΈΡ
ΡΠΈΠ» ΠΏΡΠΎΠΈΡΡ
ΠΎΠ΄ΠΈΡ ΡΠ°Π·Π΄Π΅Π»Π΅Π½ΠΈΠ΅ Π·Π°ΡΡΠ΄ΠΎΠ²: Π½Π° ΠΎΠ΄Π½ΠΎΠΌ ΠΏΠΎΠ»ΡΡΠ΅ ΠΈΡΡΠΎΡΠ½ΠΈΠΊΠ° ΡΠΎΠΊΠ° Π½Π°ΠΊΠ°ΠΏΠ»ΠΈΠ²Π°Π΅ΡΡΡ ΠΏΠΎΠ»ΠΎΠΆΠΈΡΠ΅Π»ΡΠ½ΡΠΉ Π·Π°ΡΡΠ΄, Π° Π½Π° Π΄ΡΡΠ³ΠΎΠΌ β ΠΎΡΡΠΈΡΠ°ΡΠ΅Π»ΡΠ½ΡΠΉ. ΠΡΠ»Π΅Π΄ΡΡΠ²ΠΈΠ΅ ΡΡΠΎΠ³ΠΎ Π²ΠΎΠ·Π½ΠΈΠΊΠ°Π΅Ρ ΡΠ»Π΅ΠΊΡΡΠΎΡΡΠ°ΡΠΈΡΠ΅ΡΠΊΠΎΠ΅ ΠΏΠΎΠ»Π΅, ΠΊΠΎΡΠΎΡΠΎΠ΅ Π΄Π²ΠΈΠΆΠ΅Ρ ΡΠ²ΠΎΠ±ΠΎΠ΄Π½ΡΠ΅ Π·Π°ΡΡΠ΄Ρ Π² ΡΠ»Π΅ΠΊΡΡΠΈΡΠ΅ΡΠΊΠΎΠΉ ΡΠ΅ΠΏΠΈ Π²Π½Π΅ ΠΈΡΡΠΎΡΠ½ΠΈΠΊΠ° ΡΠΎΠΊΠ°, ΡΠΎ Π΅ΡΡΡ Π²ΠΎ Π²Π½Π΅ΡΠ½Π΅ΠΉ ΡΠ΅ΠΏΠΈ.
Π Ρ ΠΈΠΌΠΈΡΠ΅ΡΠΊΠΈΡ ΠΈΡΡΠΎΡΠ½ΠΈΠΊΠ°Ρ ΡΠΎΠΊΠ° ΡΡΠΎΡΠΎΠ½Π½ΠΈΠ΅ ΡΠΈΠ»Ρ ΠΈΠΌΠ΅ΡΡ Ρ ΠΈΠΌΠΈΡΠ΅ΡΠΊΡΡ ΠΏΡΠΈΡΠΎΠ΄Ρ. ΠΠ°ΠΏΡΠΈΠΌΠ΅Ρ, Π΅ΡΠ»ΠΈ ΠΏΠΎΠ³ΡΡΠ·ΠΈΡΡ ΡΠΈΠ½ΠΊΠΎΠ²ΡΠΉ ΠΈ ΠΌΠ΅Π΄Π½ΡΠΉ ΡΠ»Π΅ΠΊΡΡΠΎΠ΄Ρ Π² ΡΠ΅ΡΠ½ΡΡ ΠΊΠΈΡΠ»ΠΎΡΡ, ΡΠΎ ΠΏΠΎΠ»ΠΎΠΆΠΈΡΠ΅Π»ΡΠ½ΡΠ΅ ΠΈΠΎΠ½Ρ ΡΠΈΠ½ΠΊΠ° Π±ΡΠ΄ΡΡ ΡΠ°ΡΠ΅ ΠΏΠΎΠΊΠΈΠ΄Π°ΡΡ ΡΠ»Π΅ΠΊΡΡΠΎΠ΄, ΡΠ΅ΠΌ ΠΏΠΎΠ»ΠΎΠΆΠΈΡΠ΅Π»ΡΠ½ΡΠ΅ ΠΈΠΎΠ½Ρ ΠΌΠ΅Π΄ΠΈ. Π ΡΠ΅Π·ΡΠ»ΡΡΠ°ΡΠ΅ ΠΌΠ΅ΠΆΠ΄Ρ ΠΌΠ΅Π΄Π½ΡΠΌ ΠΈ ΡΠΈΠ½ΠΊΠΎΠ²ΡΠΌ ΡΠ»Π΅ΠΊΡΡΠΎΠ΄Π°ΠΌΠΈ Π²ΠΎΠ·Π½ΠΈΠΊΠ½Π΅Ρ ΡΠ°Π·Π½ΠΎΡΡΡ ΠΏΠΎΡΠ΅Π½ΡΠΈΠ°Π»ΠΎΠ²: ΠΏΠΎΡΠ΅Π½ΡΠΈΠ°Π» ΠΌΠ΅Π΄Π½ΠΎΠ³ΠΎ ΡΠ»Π΅ΠΊΡΡΠΎΠ΄Π° Π±ΡΠ΄Π΅Ρ Π±ΠΎΠ»ΡΡΠ΅, ΡΠ΅ΠΌ ΡΠΈΠ½ΠΊΠΎΠ²ΠΎΠ³ΠΎ. ΠΠ΅Π΄Π½ΡΠΉ ΡΠ»Π΅ΠΊΡΡΠΎΠ΄ ΡΡΠ°Π½Π΅Ρ ΠΏΠΎΠ»ΠΎΠΆΠΈΡΠ΅Π»ΡΠ½ΡΠΌ ΠΏΠΎΠ»ΡΡΠΎΠΌ ΠΈΡΡΠΎΡΠ½ΠΈΠΊΠ° ΡΠΎΠΊΠ°, Π° ΡΠΈΠ½ΠΊΠΎΠ²ΡΠΉ β ΠΎΡΡΠΈΡΠ°ΡΠ΅Π»ΡΠ½ΡΠΌ.
Π Π³Π΅Π½Π΅ΡΠ°ΡΠΎΡΠ°Ρ ΡΠ»Π΅ΠΊΡΡΠΎΡΡΠ°Π½ΡΠΈΠΉ ΡΡΠΎΡΠΎΠ½Π½ΠΈΠΌΠΈ ΡΠΈΠ»Π°ΠΌΠΈ ΡΠ²Π»ΡΡΡΡΡ ΡΠΈΠ»Ρ, Π΄Π΅ΠΉΡΡΠ²ΡΡΡΠΈΠ΅ Π½Π° ΡΠ²ΠΎΠ±ΠΎΠ΄Π½ΡΠ΅ ΡΠ»Π΅ΠΊΡΡΠΎΠ½Ρ Π² ΠΌΠ΅ΡΠ°Π»Π»Π΅ ΡΠΎ ΡΡΠΎΡΠΎΠ½Ρ Π²ΠΈΡ ΡΠ΅Π²ΠΎΠ³ΠΎ ΡΠ»Π΅ΠΊΡΡΠΈΡΠ΅ΡΠΊΠΎΠ³ΠΎ ΠΏΠΎΠ»Ρ, ΠΏΠΎΡΠΎΠΆΠ΄Π°Π΅ΠΌΠΎΠ³ΠΎ ΠΏΠ΅ΡΠ΅ΠΌΠ΅Π½Π½ΡΠΌ ΠΌΠ°Π³Π½ΠΈΡΠ½ΡΠΌ ΠΏΠΎΠ»Π΅ΠΌ. Π Π°Π±ΠΎΡΠ° Π²ΠΈΡ ΡΠ΅Π²ΠΎΠ³ΠΎ ΡΠ»Π΅ΠΊΡΡΠΈΡΠ΅ΡΠΊΠΎΠ³ΠΎ ΠΏΠΎΠ»Ρ ΠΏΠΎ ΠΏΠ΅ΡΠ΅ΠΌΠ΅ΡΠ΅Π½ΠΈΡ Π·Π°ΡΡΠ΄Π° Π²Π΄ΠΎΠ»Ρ Π·Π°ΠΌΠΊΠ½ΡΡΠΎΠ³ΠΎ ΠΊΠΎΠ½ΡΡΡΠ° Π½Π΅ ΡΠ°Π²Π½Π° Π½ΡΠ»Ρ. ΠΠ΅ΠΉΡΡΠ²ΠΈΠ΅ Π³Π΅Π½Π΅ΡΠ°ΡΠΎΡΠΎΠ² ΡΠΎΠΊΠ° ΠΌΡ ΡΠ°ΡΡΠΌΠΎΡΡΠΈΠΌ Π² ΠΊΡΡΡΠ΅ ΡΠΈΠ·ΠΈΠΊΠΈ 11-Π³ΠΎ ΠΊΠ»Π°ΡΡΠ°.
ΠΠ»Π΅ΠΊΡΡΠΎΠ΄Π²ΠΈΠΆΡΡΠ°Ρ ΡΠΈΠ»Π° ΠΈΡΡΠΎΡΠ½ΠΈΠΊΠ° ΡΠΎΠΊΠ°
Π ΠΈΡΡΠΎΡΠ½ΠΈΠΊΠ΅ ΡΠΎΠΊΠ° ΡΡΠΎΡΠΎΠ½Π½ΠΈΠ΅ ΡΠΈΠ»Ρ, ΠΏΠ΅ΡΠ΅ΠΌΠ΅ΡΠ°Ρ ΡΠ²ΠΎΠ±ΠΎΠ΄Π½ΡΠ΅ Π·Π°ΡΡΠ΄Ρ ΠΏΡΠΎΡΠΈΠ² Π΄Π΅ΠΉΡΡΠ²ΠΈΡ ΡΠΈΠ» ΡΠ»Π΅ΠΊΡΡΠΎΡΡΠ°ΡΠΈΡΠ΅ΡΠΊΠΎΠ³ΠΎ ΠΏΠΎΠ»Ρ, ΡΠΎΠ²Π΅ΡΡΠ°ΡΡ ΡΠ°Π±ΠΎΡΡ, ΠΊΠΎΡΠΎΡΡΡ ΠΌΡ ΠΎΠ±ΠΎΠ·Π½Π°ΡΠΈΠΌ AΡΡΠΎΡ.
ΠΡΠ° ΡΠ°Π±ΠΎΡΠ° ΠΏΡΠΎΠΏΠΎΡΡΠΈΠΎΠ½Π°Π»ΡΠ½Π° Π·Π°ΡΡΠ΄Ρ q, ΠΊΠΎΡΠΎΡΡΠΉ ΠΏΠ΅ΡΠ΅ΠΌΠ΅ΡΠ°Π΅ΡΡΡ Π²Π΄ΠΎΠ»Ρ ΡΠ΅ΠΏΠΈ Π·Π° Π΄Π°Π½Π½ΡΠΉ ΠΏΡΠΎΠΌΠ΅ΠΆΡΡΠΎΠΊ Π²ΡΠ΅ΠΌΠ΅Π½ΠΈ. ΠΠΎΡΡΠΎΠΌΡ ΠΎΡΠ½ΠΎΡΠ΅Π½ΠΈΠ΅ ΡΠ°Π±ΠΎΡΡ ΡΡΠΎΡΠΎΠ½Π½ΠΈΡ ΡΠΈΠ» ΠΊ Π²Π΅Π»ΠΈΡΠΈΠ½Π΅ Π·Π°ΡΡΠ΄Π° Π½Π΅ Π·Π°Π²ΠΈΡΠΈΡ Π½ΠΈ ΠΎΡ AΡΡΠΎΡ, Π½ΠΈ ΠΎΡ q. Π‘Π»Π΅Π΄ΠΎΠ²Π°ΡΠ΅Π»ΡΠ½ΠΎ, ΠΎΠ½ΠΎ ΡΠ²Π»ΡΠ΅ΡΡΡ Ρ Π°ΡΠ°ΠΊΡΠ΅ΡΠΈΡΡΠΈΠΊΠΎΠΉ ΠΈΡΡΠΎΡΠ½ΠΈΠΊΠ° ΡΠΎΠΊΠ°. ΠΡΠΎ ΠΎΡΠ½ΠΎΡΠ΅Π½ΠΈΠ΅ Π½Π°Π·ΡΠ²Π°ΡΡ ΡΠ»Π΅ΠΊΡΡΠΎΠ΄Π²ΠΈΠΆΡΡΠ΅ΠΉ ΡΠΈΠ»ΠΎΠΉ ΠΈΡΡΠΎΡΠ½ΠΈΠΊΠ° (ΠΠΠ‘) ΠΈ ΠΎΠ±ΠΎΠ·Π½Π°ΡΠ°ΡΡ ΞΎ:
ΞΎ = AΡΡΠΎΡ/q. Β Β Β Β (1)
(ΠΡΠΎ Π½Π°Π·Π²Π°Π½ΠΈΠ΅ Π½Π΅ ΡΠΎΠ²ΡΠ΅ΠΌ ΡΠ΄Π°ΡΠ½ΠΎ, ΠΏΠΎΡΠΎΠΌΡ ΡΡΠΎ ΠΠΠ‘ β Π½Π΅ Β«ΡΠΈΠ»Π°Β» Π² ΠΌΠ΅Ρ Π°Π½ΠΈΡΠ΅ΡΠΊΠΎΠΌ ΡΠΌΡΡΠ»Π΅, Π° ΡΠ½Π΅ΡΠ³Π΅ΡΠΈΡΠ΅ΡΠΊΠ°Ρ Ρ Π°ΡΠ°ΠΊΡΠ΅ΡΠΈΡΡΠΈΠΊΠ° ΠΈΡΡΠΎΡΠ½ΠΈΠΊΠ°.)
ΠΠΠ‘, ΠΊΠ°ΠΊ ΠΈ Π½Π°ΠΏΡΡΠΆΠ΅Π½ΠΈΠ΅, ΠΈΠ·ΠΌΠ΅ΡΡΡΡ Π² Π²ΠΎΠ»ΡΡΠ°Ρ . ΠΠ°ΠΏΡΠΈΠΌΠ΅Ρ, ΠΠΠ‘ Π±Π°ΡΠ°ΡΠ΅ΠΉΠΊΠΈ ΡΠΎΡΡΠ°Π²Π»ΡΠ΅Ρ Π½Π΅ΡΠΊΠΎΠ»ΡΠΊΠΎ Π²ΠΎΠ»ΡΡ.
2. ΠΠ°ΠΊΠΎΠ½ ΠΠΌΠ° Π΄Π»Ρ ΠΏΠΎΠ»Π½ΠΎΠΉ ΡΠ΅ΠΏΠΈ
ΠΡΠ»ΠΈ ΡΠΈΠ»Π° ΡΠΎΠΊΠ° Π² ΡΠ΅ΠΏΠΈ ΡΠ°Π²Π½Π° I, ΡΠΎ Π·Π° Π²ΡΠ΅ΠΌΡ t ΠΏΠΎ ΡΠ΅ΠΏΠΈ ΠΏΡΠΎΡ ΠΎΠ΄ΠΈΡ Π·Π°ΡΡΠ΄ q = It. ΠΠΎΡΡΠΎΠΌΡ ΡΠΎΡΠΌΡΠ»Ρ (1) ΠΌΠΎΠΆΠ½ΠΎ Π·Π°ΠΏΠΈΡΠ°ΡΡ Π² Π²ΠΈΠ΄Π΅
AΡΡΠΎΡ = ΞΎIt. Β Β Β Β (2)
ΠΡΠΈ ΡΡΠΎΠΌ Π²ΠΎ Π²Π½Π΅ΡΠ½Π΅ΠΉ ΡΠ΅ΠΏΠΈ ΡΠΎΠΏΡΠΎΡΠΈΠ²Π»Π΅Π½ΠΈΠ΅ΠΌ R Π²ΡΠ΄Π΅Π»ΡΠ΅ΡΡΡ ΠΊΠΎΠ»ΠΈΡΠ΅ΡΡΠ²ΠΎ ΡΠ΅ΠΏΠ»ΠΎΡΡ
QΠ²Π½Π΅Ρ = I2Rt, Β Β Β Β (3)
Π° Π²Π½ΡΡΡΠΈ ΠΈΡΡΠΎΡΠ½ΠΈΠΊΠ° ΡΠΎΠΊΠ° Π²ΡΠ΄Π΅Π»ΡΠ΅ΡΡΡ ΠΊΠΎΠ»ΠΈΡΠ΅ΡΡΠ²ΠΎ ΡΠ΅ΠΏΠ»ΠΎΡΡ
QΠ²Π½ΡΡΡ = I2rt, Β Β Β Β (4)
Π³Π΄Π΅ r β ΡΠΎΠΏΡΠΎΡΠΈΠ²Π»Π΅Π½ΠΈΠ΅ ΠΈΡΡΠΎΡΠ½ΠΈΠΊΠ°, ΠΊΠΎΡΠΎΡΠΎΠ΅ Π½Π°Π·ΡΠ²Π°ΡΡ Π΅Π³ΠΎ Π²Π½ΡΡΡΠ΅Π½Π½ΠΈΠΌ ΡΠΎΠΏΡΠΎΡΠΈΠ²Π»Π΅Π½ΠΈΠ΅ΠΌ.
ΠΠ· Π·Π°ΠΊΠΎΠ½Π° ΡΠΎΡ ΡΠ°Π½Π΅Π½ΠΈΡ ΡΠ½Π΅ΡΠ³ΠΈΠΈ ΡΠ»Π΅Π΄ΡΠ΅Ρ, ΡΡΠΎ
QΠ²Π½Π΅Ρ + QΠ²Π½ΡΡΡ = AΡΡΠΎΡ. Β Β Β Β (5)
? 1. ΠΠΎΠΊΠ°ΠΆΠΈΡΠ΅, ΡΡΠΎ ΠΈΠ· ΡΠΎΡΠΌΡΠ» (2) β (5) ΡΠ»Π΅Π΄ΡΠ΅Ρ:
I = ΞΎ / (R + r). Β Β Β Β (6)
ΠΡΠΎ ΡΠΎΠΎΡΠ½ΠΎΡΠ΅Π½ΠΈΠ΅ Π½Π°Π·ΡΠ²Π°ΡΡ Π·Π°ΠΊΠΎΠ½ΠΎΠΌ ΠΠΌΠ° Π΄Π»Ρ ΠΏΠΎΠ»Π½ΠΎΠΉ ΡΠ΅ΠΏΠΈ.
Π‘ΡΠΌΠΌΡ ΡΠΎΠΏΡΠΎΡΠΈΠ²Π»Π΅Π½ΠΈΠΉ R + r Π½Π°Π·ΡΠ²Π°ΡΡ ΠΏΠΎΠ»Π½ΡΠΌ ΡΠΎΠΏΡΠΎΡΠΈΠ²Π»Π΅Π½ΠΈΠ΅ΠΌ ΡΠ΅ΠΏΠΈ.
? 2. ΠΠΠ‘ ΠΈΡΡΠΎΡΠ½ΠΈΠΊΠ° ΡΠΎΠΊΠ° 12 Π, Π° Π΅Π³ΠΎ Π²Π½ΡΡΡΠ΅Π½Π½Π΅Π΅ ΡΠΎΠΏΡΠΎΡΠΈΠ²Π»Π΅Π½ΠΈΠ΅ ΡΠ°Π²Π½ΠΎ 2 ΠΠΌ.
Π°) Π§Π΅ΠΌΡ ΡΠ°Π²Π½Π° ΡΠΈΠ»Π° ΡΠΎΠΊΠ° Π² ΡΠ΅ΠΏΠΈ, Π΅ΡΠ»ΠΈ ΡΠΎΠΏΡΠΎΡΠΈΠ²Π»Π΅Π½ΠΈΠ΅ Π²Π½Π΅ΡΠ½Π΅ΠΉ ΡΠ΅ΠΏΠΈ ΡΠ°Π²Π½ΠΎ 4 ΠΠΌ?
? 3. ΠΡΠΈ Π²Π½Π΅ΡΠ½Π΅ΠΌ ΡΠΎΠΏΡΠΎΡΠΈΠ²Π»Π΅Π½ΠΈΠΈ 2 ΠΠΌ ΡΠΈΠ»Π° ΡΠΎΠΊΠ° Π² ΡΠ΅ΠΏΠΈ ΡΠ°Π²Π½Π° 1,5 Π, Π° ΠΏΡΠΈ Π²Π½Π΅ΡΠ½Π΅ΠΌ ΡΠΎΠΏΡΠΎΡΠΈΠ²Π»Π΅Π½ΠΈΠΈ 4 ΠΠΌ ΡΠΈΠ»Π° ΡΠΎΠΊΠ° ΡΠ°Π²Π½Π° 1 Π.
Π°) Π§Π΅ΠΌΡ ΡΠ°Π²Π½ΠΎ Π²Π½ΡΡΡΠ΅Π½Π½Π΅Π΅ ΡΠΎΠΏΡΠΎΡΠΈΠ²Π»Π΅Π½ΠΈΠ΅ ΠΈΡΡΠΎΡΠ½ΠΈΠΊΠ°?
Π±) Π§Π΅ΠΌΡ ΡΠ°Π²Π½Π° ΠΠΠ‘ ΠΈΡΡΠΎΡΠ½ΠΈΠΊΠ°?
ΠΠ°ΠΏΡΡΠΆΠ΅Π½ΠΈΠ΅ Π½Π° ΠΏΠΎΠ»ΡΡΠ°Ρ ΠΈΡΡΠΎΡΠ½ΠΈΠΊΠ°
ΠΠ°ΠΊΠΎΠ½ ΠΠΌΠ° Π΄Π»Ρ ΠΏΠΎΠ»Π½ΠΎΠΉ ΡΠ΅ΠΏΠΈ ΠΌΠΎΠΆΠ½ΠΎ Π·Π°ΠΏΠΈΡΠ°ΡΡ Π² Π²ΠΈΠ΄Π΅
ΞΎ = IR + Ir. Β Β Β Β (7)
ΠΠ΅ΡΠ²ΠΎΠ΅ ΡΠ»Π°Π³Π°Π΅ΠΌΠΎΠ΅ Π² ΡΡΠΎΠΉ ΡΠΎΡΠΌΡΠ»Π΅ ΡΠΎΠ³Π»Π°ΡΠ½ΠΎ Π·Π°ΠΊΠΎΠ½Ρ ΠΠΌΠ° Π΄Π»Ρ ΡΡΠ°ΡΡΠΊΠ° ΡΠ΅ΠΏΠΈ ΡΠ°Π²Π½ΠΎ Π½Π°ΠΏΡΡΠΆΠ΅Π½ΠΈΡ U Π½Π° ΠΏΠΎΠ»ΡΡΠ°Ρ ΠΈΡΡΠΎΡΠ½ΠΈΠΊΠ° ΡΠΎΠΊΠ°:
IR = U.
ΠΠΎΡΡΠΎΠΌΡ ΡΠΎΡΠΌΡΠ»Ρ (7) ΠΌΠΎΠΆΠ½ΠΎ Π·Π°ΠΏΠΈΡΠ°ΡΡ Π² Π²ΠΈΠ΄Π΅
U = ΞΎ β Ir. Β Β Β Β (8)
Π€ΠΎΡΠΌΡΠ»Π° (8) Π²ΡΡΠ°ΠΆΠ°Π΅Ρ Π·Π°Π²ΠΈΡΠΈΠΌΠΎΡΡΡ Π½Π°ΠΏΡΡΠΆΠ΅Π½ΠΈΡ U Π½Π° ΠΏΠΎΠ»ΡΡΠ°Ρ ΠΈΡΡΠΎΡΠ½ΠΈΠΊΠ° ΡΠΎΠΊΠ° ΠΎΡ ΡΠΈΠ»Ρ ΡΠΎΠΊΠ° I Π² ΡΠ΅ΠΏΠΈ.
ΠΠΎΡΡΠ°Π²ΠΈΠΌ ΠΎΠΏΡΡ
ΠΠ°Π²ΠΈΡΠΈΠΌΠΎΡΡΡ U(I) ΠΌΠΎΠΆΠ½ΠΎ ΠΈΠ·ΠΌΠ΅ΡΠΈΡΡ Π½Π° ΠΎΠΏΡΡΠ΅, ΠΈΠ·ΠΌΠ΅Π½ΡΡ ΡΠΈΠ»Ρ ΡΠΎΠΊΠ° Π² ΡΠ΅ΠΏΠΈ Ρ ΠΏΠΎΠΌΠΎΡΡΡ ΡΠ΅ΠΎΡΡΠ°ΡΠ° (ΡΠΈΡ. 59.2, Π°, Π±). ΠΡΠ°ΡΠ½Π°Ρ ΠΏΡΠ½ΠΊΡΠΈΡΠ½Π°Ρ Π»ΠΈΠ½ΠΈΡ Π½Π° ΡΡ
Π΅ΠΌΠ΅ 59.2, Π± ΠΏΠΎΠΊΠ°Π·ΡΠ²Π°Π΅Ρ, ΠΊΠ°ΠΊ ΠΈΠ΄Π΅Ρ ΡΠΎΠΊ Π² ΡΠ΅ΠΎΡΡΠ°ΡΠ΅. ΠΠ°ΠΏΡΠΈΠΌΠ΅Ρ, Π΅ΡΠ»ΠΈ ΠΏΠΎΠ»Π·ΡΠ½ΠΎΠΊ ΡΠ΅ΠΎΡΡΠ°ΡΠ°, ΠΈΠ·ΠΎΠ±ΡΠ°ΠΆΠ΅Π½Π½ΠΎΠ³ΠΎ Π½Π° ΡΠΈΡΡΠ½ΠΊΠ΅ 59,2, Π°, ΡΠ΄Π²ΠΈΠ½ΡΡΡ Π²ΠΏΡΠ°Π²ΠΎ, ΡΠΎ ΡΠΎΠΏΡΠΎΡΠΈΠ²Π»Π΅Π½ΠΈΠ΅ ΡΠ΅ΠΎΡΡΠ°ΡΠ° ΡΠ²Π΅Π»ΠΈΡΠΈΡΡΡ, ΠΏΠΎΡΠΎΠΌΡ ΡΡΠΎ ΡΠ²Π΅Π»ΠΈΡΠΈΡΡΡ Π΄Π»ΠΈΠ½Π° ΠΎΠ±ΠΌΠΎΡΠΊΠΈ, ΠΏΠΎ ΠΊΠΎΡΠΎΡΠΎΠΉ ΠΈΠ΄Π΅Ρ ΡΠΎΠΊ.
? 4. ΠΠ° ΡΠΈΡΡΠ½ΠΊΠ΅ 59.3 ΠΈΠ·ΠΎΠ±ΡΠ°ΠΆΠ΅Π½ Π³ΡΠ°ΡΠΈΠΊ Π·Π°Π²ΠΈΡΠΈΠΌΠΎΡΡΠΈ U(I) Π΄Π»Ρ Π½Π΅ΠΊΠΎΡΠΎΡΠΎΠ³ΠΎ ΠΈΡΡΠΎΡΠ½ΠΈΠΊΠ° ΡΠΎΠΊΠ°.
Π°) Π§Π΅ΠΌΡ ΡΠ°Π²Π½Π° ΠΠΠ‘ ΡΡΠΎΠ³ΠΎ ΠΈΡΡΠΎΡΠ½ΠΈΠΊΠ° ΡΠΎΠΊΠ°?
Π±) Π§Π΅ΠΌΡ ΡΠ°Π²Π½Π° Π½Π°ΠΈΠ±ΠΎΠ»ΡΡΠ°Ρ ΡΠΈΠ»Π° ΡΠΎΠΊΠ°?
Π³) Π§Π΅ΠΌΡ ΡΠ°Π²Π½ΠΎ Π²Π½Π΅ΡΠ½Π΅Π΅ ΡΠΎΠΏΡΠΎΡΠΈΠ²Π»Π΅Π½ΠΈΠ΅, ΠΊΠΎΠ³Π΄Π° ΡΠΈΠ»Π° ΡΠΎΠΊΠ° ΡΠ°Π²Π½Π° Π½ΡΠ»Ρ?
Π΄) Π§Π΅ΠΌΡ ΡΠ°Π²Π½ΠΎ Π²Π½Π΅ΡΠ½Π΅Π΅ ΡΠΎΠΏΡΠΎΡΠΈΠ²Π»Π΅Π½ΠΈΠ΅, ΠΊΠΎΠ³Π΄Π° ΡΠΈΠ»Π° ΡΠΎΠΊΠ° ΠΌΠ°ΠΊΡΠΈΠΌΠ°Π»ΡΠ½Π°?
Π΅) Π§Π΅ΠΌΡ ΡΠ°Π²Π½ΠΎ Π²Π½Π΅ΡΠ½Π΅Π΅ ΡΠΎΠΏΡΠΎΡΠΈΠ²Π»Π΅Π½ΠΈΠ΅ ΠΏΡΠΈ I = 1,5 Π?
ΠΠ°ΠΊΡΠΈΠΌΠ°Π»ΡΠ½ΠΎΠ΅ Π½Π°ΠΏΡΡΠΆΠ΅Π½ΠΈΠ΅ Π½Π° ΠΏΠΎΠ»ΡΡΠ°Ρ
ΠΈΡΡΠΎΡΠ½ΠΈΠΊΠ° ΡΠ°Π²Π½ΠΎ ΞΎ.
ΠΡΠΎ ΠΈΠΌΠ΅Π΅Ρ ΠΌΠ΅ΡΡΠΎ ΠΏΡΠΈ I = 0. Π‘ΠΈΠ»Π° ΡΠΎΠΊΠ° ΡΠ°Π²Π½Π° Π½ΡΠ»Ρ, ΠΊΠΎΠ³Π΄Π° ΠΏΠΎΠ»ΡΡΠ° ΠΈΡΡΠΎΡΠ½ΠΈΠΊΠ° ΡΠ°Π·ΠΎΠΌΠΊΠ½ΡΡΡ (Π² ΡΡΠΎΠΌ ΡΠ»ΡΡΠ°Π΅ Π²Π½Π΅ΡΠ½Π΅Π΅ ΡΠΎΠΏΡΠΎΡΠΈΠ²Π»Π΅Π½ΠΈΠ΅ ΡΠ΅ΠΏΠΈ ΡΠ²Π»ΡΠ΅ΡΡΡ Π±Π΅ΡΠΊΠΎΠ½Π΅ΡΠ½ΠΎ Π±ΠΎΠ»ΡΡΠΈΠΌ).
Π‘Π»Π΅Π΄ΠΎΠ²Π°ΡΠ΅Π»ΡΠ½ΠΎ, Π½Π°ΠΏΡΡΠΆΠ΅Π½ΠΈΠ΅ ΠΌΠ΅ΠΆΠ΄Ρ ΡΠ°Π·ΠΎΠΌΠΊΠ½ΡΡΡΠΌΠΈ ΠΏΠΎΠ»ΡΡΠ°ΠΌΠΈ ΠΈΡΡΠΎΡΠ½ΠΈΠΊΠ° ΡΠΎΠΊΠ° ΡΠ°Π²Π½ΠΎ ΠΠΠ‘ ΡΡΠΎΠ³ΠΎ ΠΈΡΡΠΎΡΠ½ΠΈΠΊΠ°.
ΠΠΈΠ½ΠΈΠΌΠ°Π»ΡΠ½ΠΎΠ΅ ΠΆΠ΅ Π½Π°ΠΏΡΡΠΆΠ΅Π½ΠΈΠ΅ ΠΌΠ΅ΠΆΠ΄Ρ ΠΏΠΎΠ»ΡΡΠ°ΠΌΠΈ ΠΈΡΡΠΎΡΠ½ΠΈΠΊΠ° ΡΠ°Π²Π½ΠΎ Π½ΡΠ»Ρ. ΠΡΠΎ ΠΈΠΌΠ΅Π΅Ρ ΠΌΠ΅ΡΡΠΎ ΠΏΡΠΈ ΠΊΠΎΡΠΎΡΠΊΠΎΠΌ Π·Π°ΠΌΡΠΊΠ°Π½ΠΈΠΈ, ΠΊΠΎΠ³Π΄Π° Π²Π½Π΅ΡΠ½Π΅Π΅ ΡΠΎΠΏΡΠΎΡΠΈΠ²Π»Π΅Π½ΠΈΠ΅ R = 0. Π ΡΡΠΎΠΌ ΡΠ»ΡΡΠ°Π΅ ΡΠΈΠ»Π° ΡΠΎΠΊΠ° ΠΌΠ°ΠΊΡΠΈΠΌΠ°Π»ΡΠ½Π°. ΠΠ΅ Π½Π°Π·ΡΠ²Π°ΡΡ ΡΠΈΠ»ΠΎΠΉ ΡΠΎΠΊΠ° ΠΊΠΎΡΠΎΡΠΊΠΎΠ³ΠΎ Π·Π°ΠΌΡΠΊΠ°Π½ΠΈΡ.
? 5. ΠΠΎΠΊΠ°ΠΆΠΈΡΠ΅, ΡΡΠΎ ΡΠΈΠ»Π° ΡΠΎΠΊΠ° ΠΊΠΎΡΠΎΡΠΊΠΎΠ³ΠΎ Π·Π°ΠΌΡΠΊΠ°Π½ΠΈΡ Π²ΡΡΠ°ΠΆΠ°Π΅ΡΡΡ ΡΠΎΡΠΌΡΠ»ΠΎΠΉ
IΠΊΠ° = ΞΎ/r. Β Β Β Β (9)
ΠΠΎΠ΄ΡΠΊΠ°Π·ΠΊΠ°. ΠΠΎΡΠΏΠΎΠ»ΡΠ·ΡΠΉΡΠ΅ΡΡ Π·Π°ΠΊΠΎΠ½ΠΎΠΌ ΠΠΌΠ° Π΄Π»Ρ ΠΏΠΎΠ»Π½ΠΎΠΉ ΡΠ΅ΠΏΠΈ.
ΠΠ· ΡΠΎΡΠΌΡΠ»Ρ (9) Π²ΠΈΠ΄Π½ΠΎ, ΡΡΠΎ ΠΏΡΠΈ ΠΎΡΠ΅Π½Ρ ΠΌΠ°Π»ΠΎΠΌ Π²Π½ΡΡΡΠ΅Π½Π½Π΅ΠΌ ΡΠΎΠΏΡΠΎΡΠΈΠ²Π»Π΅Π½ΠΈΠΈ ΠΈΡΡΠΎΡΠ½ΠΈΠΊΠ° (ΠΊΠ°ΠΊ, Π½Π°ΠΏΡΠΈΠΌΠ΅Ρ, Ρ Π°Π²ΡΠΎΠΌΠΎΠ±ΠΈΠ»ΡΠ½ΠΎΠ³ΠΎ Π°ΠΊΠΊΡΠΌΡΠ»ΡΡΠΎΡΠ°) ΡΠΈΠ»Π° ΡΠΎΠΊΠ° ΠΊΠΎΡΠΎΡΠΊΠΎΠ³ΠΎ Π·Π°ΠΌΡΠΊΠ°Π½ΠΈΡ Π±ΡΠ΄Π΅Ρ ΠΎΡΠ΅Π½Ρ Π±ΠΎΠ»ΡΡΠΎΠΉ, ΡΡΠΎ ΠΌΠΎΠΆΠ΅Ρ Π²ΡΠ²Π΅ΡΡΠΈ ΠΈΡΡΠΎΡΠ½ΠΈΠΊ ΡΠΎΠΊΠ° ΠΈΠ· ΡΡΡΠΎΡ.
? 6. Π‘ΠΈΠ»Π° ΡΠΎΠΊΠ° ΠΏΡΠΈ ΠΊΠΎΡΠΎΡΠΊΠΎΠΌ Π·Π°ΠΌΡΠΊΠ°Π½ΠΈΠΈ Π±Π°ΡΠ°ΡΠ΅ΠΉΠΊΠΈ ΡΠ°Π²Π½Π° 2 Π. ΠΠΎΠ³Π΄Π° ΠΊ Π±Π°ΡΠ°ΡΠ΅ΠΉΠΊΠ΅ ΠΏΠΎΠ΄ΠΊΠ»ΡΡΠΈΠ»ΠΈ ΡΠ΅Π·ΠΈΡΡΠΎΡ ΡΠΎΠΏΡΠΎΡΠΈΠ²Π»Π΅Π½ΠΈΠ΅ΠΌ 4 ΠΠΌ, ΡΠΈΠ»Π° ΡΠΎΠΊΠ° ΡΡΠ°Π»Π° ΡΠ°Π²Π½ΠΎΠΉ 1 Π.
Π°) ΠΠ°ΠΊ ΠΈΠ·ΠΌΠ΅Π½ΠΈΠ»ΠΎΡΡ ΠΏΠΎΠ»Π½ΠΎΠ΅ ΡΠΎΠΏΡΠΎΡΠΈΠ²Π»Π΅Π½ΠΈΠ΅ ΡΠ΅ΠΏΠΈ?
Π±) Π§Π΅ΠΌΡ ΡΠ°Π²Π½ΠΎ Π²Π½ΡΡΡΠ΅Π½Π½Π΅Π΅ ΡΠΎΠΏΡΠΎΡΠΈΠ²Π»Π΅Π½ΠΈΠ΅ Π±Π°ΡΠ°ΡΠ΅ΠΉΠΊΠΈ?
ΠΠ·ΠΌΠ΅ΡΠΈΠ² Π½Π°ΠΏΡΡΠΆΠ΅Π½ΠΈΠ΅ Π½Π° ΠΏΠΎΠ»ΡΡΠ°Ρ ΠΈΡΡΠΎΡΠ½ΠΈΠΊΠ° ΠΈ ΡΠΈΠ»Ρ ΡΠΎΠΊΠ° Π² ΡΠ΅ΠΏΠΈ ΠΏΡΠΈ Π΄Π²ΡΡ ΡΠ°Π·Π»ΠΈΡΠ½ΡΡ Π·Π½Π°ΡΠ΅Π½ΠΈΡΡ ΡΠΎΠΏΡΠΎΡΠΈΠ²Π»Π΅Π½ΠΈΡ Π²Π½Π΅ΡΠ½Π΅ΠΉ ΡΠ΅ΠΏΠΈ, ΠΌΠΎΠΆΠ½ΠΎ Π½Π°ΠΉΡΠΈ ΠΠΠ‘ ΞΎ ΠΈ Π²Π½ΡΡΡΠ΅Π½Π½Π΅Π΅ ΡΠΎΠΏΡΠΎΡΠΈΠ²Π»Π΅Π½ΠΈΠ΅ r ΠΈΡΡΠΎΡΠ½ΠΈΠΊΠ° ΡΠΎΠΊΠ°. ΠΡΠΎ ΠΌΠΎΠΆΠ½ΠΎ ΡΠ΄Π΅Π»Π°ΡΡ Π³ΡΠ°ΡΠΈΡΠ΅ΡΠΊΠΈ ΠΈ Π°Π½Π°Π»ΠΈΡΠΈΡΠ΅ΡΠΊΠΈ.
? 7. ΠΡΠΈ ΡΠΈΠ»Π΅ ΡΠΎΠΊΠ° Π² ΡΠ΅ΠΏΠΈ 2 Π Π½Π°ΠΏΡΡΠΆΠ΅Π½ΠΈΠ΅ Π½Π° ΠΏΠΎΠ»ΡΡΠ°Ρ
ΠΈΡΡΠΎΡΠ½ΠΈΠΊΠ° ΡΠ°Π²Π½ΠΎ 8 Π, Π° ΠΏΡΠΈ ΡΠΈΠ»Π΅ ΡΠΎΠΊΠ° 4 Π Π½Π°ΠΏΡΡΠΆΠ΅Π½ΠΈΠ΅ Π½Π° ΠΏΠΎΠ»ΡΡΠ°Ρ
ΡΠ°Π²Π½ΠΎ 4 Π.
Π°) ΠΠΎΡΡΡΠΎΠΉΡΠ΅ ΡΠΈΡΡΠ΅ΠΌΡ ΠΊΠΎΠΎΡΠ΄ΠΈΠ½Π°Ρ I, U ΠΈ Π½Π°Π½Π΅ΡΠΈΡΠ΅ Π΄Π²Π΅ ΡΠΎΡΠΊΠΈ Π³ΡΠ°ΡΠΈΠΊΠ° Π·Π°Π²ΠΈΡΠΈΠΌΠΎΡΡΠΈ U(I) ΡΠΎΠ³Π»Π°ΡΠ½ΠΎ ΠΏΡΠΈΠ²Π΅Π΄Π΅Π½Π½ΡΠΌ Π΄Π°Π½Π½ΡΠΌ.
Π²) ΠΡΠΏΠΎΠ»ΡΠ·ΡΡ ΡΡΠ°Π²Π½Π΅Π½ΠΈΠ΅ (8), ΡΠΎΡΡΠ°Π²ΡΡΠ΅ ΡΠΈΡΡΠ΅ΠΌΡ Π΄Π²ΡΡ ΡΡΠ°Π²Π½Π΅Π½ΠΈΠΉ Ρ Π΄Π²ΡΠΌΡ Π½Π΅ΠΈΠ·Π²Π΅ΡΡΠ½ΡΠΌΠΈ ΞΎ ΠΈ r ΠΈ ΡΠ΅ΡΠΈΡΠ΅ Π΅Π΅.
3. ΠΠΠ ΠΈΡΡΠΎΡΠ½ΠΈΠΊΠ° ΡΠΎΠΊΠ°
Π Π°Π±ΠΎΡΡ ΡΠΎΠΊΠ° Π²ΠΎ Π²Π½Π΅ΡΠ½Π΅ΠΉ ΡΠ΅ΠΏΠΈ Π½Π°Π·ΡΠ²Π°ΡΡ ΠΏΠΎΠ»Π΅Π·Π½ΠΎΠΉ ΡΠ°Π±ΠΎΡΠΎΠΉ.
ΠΠ±ΠΎΠ·Π½Π°ΡΠΈΠΌ Π΅Π΅ AΠΏΠΎΠ». ΠΡΠΏΠΎΠ»ΡΠ·ΡΡ ΡΠΎΡΠΌΡΠ»Ρ Π΄Π»Ρ ΡΠ°Π±ΠΎΡΡ ΡΠΎΠΊΠ°, ΠΏΠΎΠ»ΡΡΠ°Π΅ΠΌ:
AΠΏΠΎΠ» = I2Rt.
ΠΠΎΡΠΊΠΎΠ»ΡΠΊΡ ΠΈΡΡΠΎΡΠ½ΠΈΠΊ ΠΎΠ±Π»Π°Π΄Π°Π΅Ρ Π²Π½ΡΡΡΠ΅Π½Π½ΠΈΠΌ ΡΠΎΠΏΡΠΎΡΠΈΠ²Π»Π΅Π½ΠΈΠ΅ΠΌ, ΠΏΠΎΠ»Π΅Π·Π½Π°Ρ ΡΠ°Π±ΠΎΡΠ° ΠΌΠ΅Π½ΡΡΠ΅ ΡΠ°Π±ΠΎΡΡ ΡΡΠΎΡΠΎΠ½Π½ΠΈΡ
ΡΠΈΠ», ΠΏΠΎΡΠΎΠΌΡ ΡΡΠΎ ΡΠ°ΡΡΡ ΡΠ°Π±ΠΎΡΡ ΡΡΠΎΡΠΎΠ½Π½ΠΈΡ
ΡΠΈΠ» ΡΠ°ΡΡ
ΠΎΠ΄ΡΠ΅ΡΡΡ Π½Π° Π²ΡΠ΄Π΅Π»Π΅Π½ΠΈΠ΅ Π² ΠΈΡΡΠΎΡΠ½ΠΈΠΊΠ΅ ΡΠΎΠΊΠ° ΠΊΠΎΠ»ΠΈΡΠ΅ΡΡΠ²Π° ΡΠ΅ΠΏΠ»ΠΎΡΡ I
AΡΡΠΎΡ = I2Rt + I2rt,
ΠΏΠΎΠ»ΡΡΠ°Π΅ΠΌ Π΄Π»Ρ ΠΎΡΠ½ΠΎΡΠ΅Π½ΠΈΡ ΠΏΠΎΠ»Π΅Π·Π½ΠΎΠΉ ΡΠ°Π±ΠΎΡΡ ΠΊ ΡΠ°Π±ΠΎΡΠ΅ ΡΡΠΎΡΠΎΠ½Π½ΠΈΡ ΡΠΈΠ»:
Ξ· = AΠΏΠΎΠ» / AΡΡΠΎΡ = (I2Rt) / (I2Rt + I2rt) = R / (R + r).
ΠΡΠΎ ΠΎΡΠ½ΠΎΡΠ΅Π½ΠΈΠ΅, Π²ΡΡΠ°ΠΆΠ΅Π½Π½ΠΎΠ΅ Π² ΠΏΡΠΎΡΠ΅Π½ΡΠ°Ρ , Π½Π°Π·ΡΠ²Π°ΡΡ ΠΠΠ ΠΈΡΡΠΎΡΠ½ΠΈΠΊΠ° ΡΠΎΠΊΠ°.
? 8. ΠΡΠΈ ΠΊΠ°ΠΊΠΎΠΌ ΠΎΡΠ½ΠΎΡΠ΅Π½ΠΈΠΈ Π²Π½Π΅ΡΠ½Π΅Π³ΠΎ ΡΠΎΠΏΡΠΎΡΠΈΠ²Π»Π΅Π½ΠΈΡ ΠΊ Π²Π½ΡΡΡΠ΅Π½Π½Π΅ΠΌΡ ΡΠΎΠΏΡΠΎΡΠΈΠ²Π»Π΅Π½ΠΈΡ ΠΠΠ ΠΈΡΡΠΎΡΠ½ΠΈΠΊΠ° ΡΠΎΠΊΠ° ΡΠ°Π²Π΅Π½: 50 %; 80 %? ΠΠΎΡΠ΅ΠΌΡ ΡΠ»ΡΡΠ°ΠΉ, ΠΊΠΎΠ³Π΄Π° ΠΠΠ ΠΈΡΡΠΎΡΠ½ΠΈΠΊΠ° ΡΠΎΠΊΠ° ΡΠ°Π²Π΅Π½ 100 %, Π½Π΅ ΠΏΡΠ΅Π΄ΡΡΠ°Π²Π»ΡΠ΅Ρ ΠΏΡΠ°ΠΊΡΠΈΡΠ΅ΡΠΊΠΎΠ³ΠΎ ΠΈΠ½ΡΠ΅ΡΠ΅ΡΠ°?
ΠΠΎΠΏΠΎΠ»Π½ΠΈΡΠ΅Π»ΡΠ½ΡΠ΅ Π²ΠΎΠΏΡΠΎΡΡ ΠΈ Π·Π°Π΄Π°Π½ΠΈΡ
9. ΠΠ° ΡΠΈΡΡΠ½ΠΊΠ΅ 59.4 ΠΈΠ·ΠΎΠ±ΡΠ°ΠΆΠ΅Π½Π° ΡΡ
Π΅ΠΌΠ° ΠΈΠ·ΠΌΠ΅ΡΠ΅Π½ΠΈΡ Π·Π°Π²ΠΈΡΠΈΠΌΠΎΡΡΠΈ Π½Π°ΠΏΡΡΠΆΠ΅Π½ΠΈΡ U Π½Π° ΠΏΠΎΠ»ΡΡΠ°Ρ
ΠΈΡΡΠΎΡΠ½ΠΈΠΊΠ° ΡΠΎΠΊΠ° ΠΎΡ ΡΠΈΠ»Ρ ΡΠΎΠΊΠ° I.
ΠΠΌΠΏΠ΅ΡΠΌΠ΅ΡΡ ΠΈ Π²ΠΎΠ»ΡΡΠΌΠ΅ΡΡ ΡΡΠΈΡΠ°ΠΉΡΠ΅ ΠΈΠ΄Π΅Π°Π»ΡΠ½ΡΠΌΠΈ. Π‘ΠΎΠΏΡΠΎΡΠΈΠ²Π»Π΅Π½ΠΈΠ΅ Π²ΡΠ΅ΠΉ ΠΎΠ±ΠΌΠΎΡΠΊΠΈ ΡΠ΅ΠΎΡΡΠ°ΡΠ° 16 ΠΠΌ. ΠΡΠΈ ΠΏΠ΅ΡΠ²ΠΎΠΌ ΠΏΠΎΠ»ΠΎΠΆΠ΅Π½ΠΈΠΈ ΠΏΠΎΠ»Π·ΡΠ½ΠΊΠ° ΡΠ΅ΠΎΡΡΠ°ΡΠ° ΠΏΠΎΠΊΠ°Π·Π°Π½ΠΈΡ ΠΏΡΠΈΠ±ΠΎΡΠΎΠ² 3 Π ΠΈ 8 Π, Π° ΠΏΡΠΈ Π²ΡΠΎΡΠΎΠΌ ΠΏΠΎΠ»ΠΎΠΆΠ΅Π½ΠΈΠΈ β 2 Π ΠΈ 12 Π.
Π°) ΠΠ°ΠΊ ΡΠ΄Π²ΠΈΠ½ΡΠ»ΠΈ ΠΏΠΎΠ»Π·ΡΠ½ΠΎΠΊ ΡΠ΅ΠΎΡΡΠ°ΡΠ° ΠΌΠ΅ΠΆΠ΄Ρ ΠΏΠ΅ΡΠ²ΡΠΌ ΠΈ Π²ΡΠΎΡΡΠΌ ΠΈΠ·ΠΌΠ΅ΡΠ΅Π½ΠΈΡΠΌΠΈ β Π²Π»Π΅Π²ΠΎ ΠΈΠ»ΠΈ Π²ΠΏΡΠ°Π²ΠΎ?
Π±) Π§Π΅ΠΌΡ ΡΠ°Π²Π½Ρ ΠΠΠ‘ ΠΈΡΡΠΎΡΠ½ΠΈΠΊΠ° ΡΠΎΠΊΠ° ΠΈ Π΅Π³ΠΎ Π²Π½ΡΡΡΠ΅Π½Π½Π΅Π΅ ΡΠΎΠΏΡΠΎΡΠΈΠ²Π»Π΅Π½ΠΈΠ΅?
Π²) ΠΠ°ΠΊΠΎΠ²Ρ Π±ΡΠ΄ΡΡ ΠΏΠΎΠΊΠ°Π·Π°Π½ΠΈΡ ΠΏΡΠΈΠ±ΠΎΡΠΎΠ², Π΅ΡΠ»ΠΈ ΠΏΠΎΠ»Π·ΡΠ½ΠΎΠΊ ΡΠ΅ΠΎΡΡΠ°ΡΠ° ΠΏΠ΅ΡΠ΅Π΄Π²ΠΈΠ½ΡΡΡ Π² ΠΊΡΠ°ΠΉΠ½Π΅Π΅ Π»Π΅Π²ΠΎΠ΅ ΠΏΠΎΠ»ΠΎΠΆΠ΅Π½ΠΈΠ΅? Π² ΠΊΡΠ°ΠΉΠ½Π΅Π΅ ΠΏΡΠ°Π²ΠΎΠ΅?
10. ΠΡΠΈ ΡΠΈΠ»Π΅ ΡΠΎΠΊΠ° 6 Π ΠΌΠΎΡΠ½ΠΎΡΡΡ ΡΠΎΠΊΠ° Π²ΠΎ Π²Π½Π΅ΡΠ½Π΅ΠΉ ΡΠ΅ΠΏΠΈ ΡΠ°Π²Π½Π° 90 ΠΡ, Π° ΠΏΡΠΈ ΡΠΈΠ»Π΅ ΡΠΎΠΊΠ° 2 Π ΠΎΠ½Π° ΡΠ°Π²Π½Π° 60 ΠΡ.
Π°) Π§Π΅ΠΌΡ ΡΠ°Π²Π½Π° ΠΠΠ‘ ΠΈΡΡΠΎΡΠ½ΠΈΠΊΠ° ΡΠΎΠΊΠ°?
Π±) Π§Π΅ΠΌΡ ΡΠ°Π²Π½ΠΎ Π²Π½ΡΡΡΠ΅Π½Π½Π΅Π΅ ΡΠΎΠΏΡΠΎΡΠΈΠ²Π»Π΅Π½ΠΈΠ΅ ΠΈΡΡΠΎΡΠ½ΠΈΠΊΠ° ΡΠΎΠΊΠ°?
Π²) Π§Π΅ΠΌΡ ΡΠ°Π²Π½ΠΎ Π½Π°ΠΏΡΡΠΆΠ΅Π½ΠΈΠ΅ Π½Π° ΠΏΠΎΠ»ΡΡΠ°Ρ
ΠΈΡΡΠΎΡΠ½ΠΈΠΊΠ° Π² ΠΏΠ΅ΡΠ²ΠΎΠΌ ΠΈ Π²ΡΠΎΡΠΎΠΌ ΡΠ»ΡΡΠ°ΡΡ
?
Π³) Π§Π΅ΠΌΡ ΡΠ°Π²Π΅Π½ ΠΠΠ ΠΈΡΡΠΎΡΠ½ΠΈΠΊΠ° ΡΠΎΠΊΠ° Π² ΠΏΠ΅ΡΠ²ΠΎΠΌ ΠΈ Π²ΡΠΎΡΠΎΠΌ ΡΠ»ΡΡΠ°ΡΡ
?
Β§ 13.2 Π‘ΡΠΎΡΠΎΠ½Π½ΠΈΠ΅ ΡΠΈΠ»Ρ. ΠΠ»Π΅ΠΊΡΡΠΎΠ΄Π²ΠΈΠΆΡΡΠ°Ρ ΡΠΈΠ»Π° ΠΈ Π½Π°ΠΏΡΡΠΆΠ΅Π½ΠΈΠ΅
ΠΡΠ»ΠΈ Π² ΠΏΡΠΎΠ²ΠΎΠ΄Π½ΠΈΠΊΠ΅
ΡΠΎΠ·Π΄Π°ΡΡ ΡΠ»Π΅ΠΊΡΡΠΈΡΠ΅ΡΠΊΠΎΠ΅ ΠΏΠΎΠ»Π΅ ΠΈ Π½Π΅ ΠΏΡΠΈΠ½ΡΡΡ
ΠΌΠ΅Ρ Π΄Π»Ρ Π΅Π³ΠΎ ΠΏΠΎΠ΄Π΄Π΅ΡΠΆΠ°Π½ΠΈΡ, ΡΠΎ, ΠΊΠ°ΠΊ Π±ΡΠ»ΠΎ
ΡΠΆΠ΅ ΡΡΡΠ°Π½ΠΎΠ²Π»Π΅Π½ΠΎ, ΠΏΠ΅ΡΠ΅ΠΌΠ΅ΡΠ΅Π½ΠΈΠ΅ Π½ΠΎΡΠΈΡΠ΅Π»Π΅ΠΉ
Π·Π°ΡΡΠ΄Π° ΠΏΡΠΈΠ²Π΅Π΄Π΅Ρ ΠΎΡΠ΅Π½Ρ Π±ΡΡΡΡΠΎ ΠΊ ΡΠΎΠΌΡ,
ΡΡΠΎ ΠΏΠΎΠ»Π΅ Π²Π½ΡΡΡΠΈ ΠΏΡΠΎΠ²ΠΎΠ΄Π½ΠΈΠΊΠ° ΠΈΡΡΠ΅Π·Π½Π΅Ρ ΠΈ,
ΡΠ»Π΅Π΄ΠΎΠ²Π°ΡΠ΅Π»ΡΠ½ΠΎ, ΡΠΎΠΊ ΠΏΡΠ΅ΠΊΡΠ°ΡΠΈΡΡΡΡ.
ΠΠ»Ρ
ΡΠΎΠ³ΠΎ ΡΡΠΎΠ±Ρ ΠΏΠΎΠ΄Π΄Π΅ΡΠΆΠΈΠ²Π°ΡΡ ΡΠΎΠΊ Π΄ΠΎΡΡΠ°ΡΠΎΡΠ½ΠΎ
Π΄ΠΎΠ»Π³ΠΎ, Π½ΡΠΆΠ½ΠΎ ΠΎΡ ΠΊΠΎΠ½ΡΠ° ΠΏΡΠΎΠ²ΠΎΠ΄Π½ΠΈΠΊΠ° Ρ
ΠΌΠ΅Π½ΡΡΠΈΠΌ ΠΏΠΎΡΠ΅Π½ΡΠΈΠ°Π»ΠΎΠΌ (Π½ΠΎΡΠΈΡΠ΅Π»ΠΈ ΡΠΎΠΊΠ°
ΠΏΡΠ΅Π΄ΠΏΠΎΠ»Π°Π³Π°ΡΡΡΡ ΠΏΠΎΠ»ΠΎΠΆΠΈΡΠ΅Π»ΡΠ½ΡΠΌΠΈ) Π½Π΅ΠΏΡΠ΅ΡΡΠ²Π½ΠΎ
ΠΎΡΠ²ΠΎΠ΄ΠΈΡΡ ΠΏΡΠΈΠ½ΠΎΡΠΈΠΌΡΠ΅ ΡΡΠ΄Π° Π·Π°ΡΡΠ΄Ρ, Π° ΠΊ
ΠΊΠΎΠ½ΡΡ Ρ Π±ΠΎΠ»ΡΡΠΈΠΌ ΠΏΠΎΡΠ΅Π½ΡΠΈΠ°Π»ΠΎΠΌ Π½Π΅ΠΏΡΠ΅ΡΡΠ²Π½ΠΎ
ΠΈΡ
ΠΏΠΎΠ΄Π²ΠΎΠ΄ΠΈΡΡ. Π’.Π΅. Π½Π΅ΠΎΠ±Ρ
ΠΎΠ΄ΠΈΠΌΠΎ ΠΎΡΡΡΠ΅ΡΡΠ²ΠΈΡΡ
ΠΊΡΡΠ³ΠΎΠ²ΠΎΡΠΎΡ Π·Π°ΡΡΠ΄ΠΎΠ², ΠΏΡΠΈ ΠΊΠΎΡΠΎΡΠΎΠΌ ΠΎΠ½ΠΈ
Π΄Π²ΠΈΠ³Π°Π»ΠΈΡΡ Π±Ρ ΠΏΠΎ Π·Π°ΠΌΠΊΠ½ΡΡΠΎΠΌΡ ΠΏΡΡΠΈ (13.2).
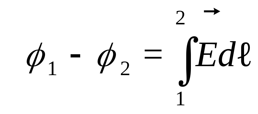
Π¦ΠΈΡΠΊΡΠ»ΡΡΠΈΡ Π²Π΅ΠΊΡΠΎΡΠ° Π½Π°ΠΏΡΡΠΆΠ΅Π½Π½ΠΎΡΡΠΈ
ΡΠ»Π΅ΠΊΡΡΠΎΡΡΠ°ΡΠΈΡΠ΅ΡΠΊΠΎΠ³ΠΎ ΠΏΠΎΠ»Ρ, ΠΊΠ°ΠΊ ΠΈΠ·Π²Π΅ΡΡΠ½ΠΎ
ΡΠ°Π²Π½Π° Π½ΡΠ»Ρ. ΠΠΎΡΡΠΎΠΌΡ Π² Π·Π°ΠΌΠΊΠ½ΡΡΠΎΠΉ ΡΠ΅ΠΏΠΈ
Π½Π°ΡΡΠ΄Ρ Ρ ΡΡΠ°ΡΡΠΊΠ°ΠΌΠΈ, Π½Π° ΠΊΠΎΡΠΎΡΡΡ
ΠΏΠΎΠ»ΠΎΠΆΠΈΡΠ΅Π»ΡΠ½ΡΠ΅
Π·Π°ΡΡΠ΄Ρ Π΄Π²ΠΈΠΆΡΡΡΡ Π² ΡΡΠΎΡΠΎΠ½Ρ ΡΠ±ΡΠ²Π°Π½ΠΈΡ
ΠΏΠΎΡΠ΅Π½ΡΠΈΠ°Π»Π°, Π΄ΠΎΠ»ΠΆΠ½Ρ ΠΈΠΌΠ΅ΡΡΡΡ ΡΡΠ°ΡΡΠΊΠΈ, Π½Π°
ΠΊΠΎΡΠΎΡΡΡ
ΠΏΠ΅ΡΠ΅Π½ΠΎΡ ΠΏΠΎΠ»ΠΎΠΆΠΈΡΠ΅Π»ΡΠ½ΡΡ
Π·Π°ΡΡΠ΄ΠΎΠ²
ΠΏΡΠΎΠΈΡΡ
ΠΎΠ΄ΠΈΡ Π² Π½Π°ΠΏΡΠ°Π²Π»Π΅Π½ΠΈΠΈ Π²ΠΎΠ·ΡΠ°ΡΡΠ°Π½ΠΈΡ
ΠΏΠΎΡΠ΅Π½ΡΠΈΠ°Π»Π°, Ρ.Π΅. ΠΏΡΠΎΡΠΈΠ² ΡΠΈΠ» ΡΠ»Π΅ΠΊΡΡΠΎΡΡΠ°ΡΠΈΡΠ΅ΡΠΊΠΎΠ³ΠΎ
ΠΏΠΎΠ»Ρ. ΠΠ΅ΡΠ΅ΠΌΠ΅ΡΠ΅Π½ΠΈΠ΅, Π·Π°ΡΡΠ΄ΠΎΠ² Π½Π° ΡΡΠΈΡ
ΡΡΠ°ΡΡΠΊΠ°Ρ
Π²ΠΎΠ·ΠΌΠΎΠΆΠ½ΠΎ Π»ΠΈΡΡ Ρ ΠΏΠΎΠΌΠΎΡΡΡ ΡΠΈΠ»
Π½Π΅ ΡΠ»Π΅ΠΊΡΡΠΎΡΡΠ°ΡΠΈΡΠ΅ΡΠΊΠΎΠ³ΠΎ ΠΏΡΠΎΠΈΡΡ
ΠΎΠΆΠ΄Π΅Π½ΠΈΡ,
Π½Π°Π·ΡΠ²Π°Π΅ΠΌΡΡ
ΡΡΠΎΡΠΎΠ½Π½ΠΈΠΌΠΈ
ΡΠΈΠ»Π°ΠΌΠΈ.
Π’Π°ΠΊΠΈΠΌ ΠΎΠ±ΡΠ°Π·ΠΎΠΌ, Π΄Π»Ρ
ΠΏΠΎΠ΄Π΄Π΅ΡΠΆΠ°Π½ΠΈΡ ΡΠΎΠΊΠ° Π½Π΅ΠΎΠ±Ρ
ΠΎΠ΄ΠΈΠΌΡ ΡΡΠΎΡΠΎΠ½Π½ΠΈΠ΅
ΡΠΈΠ»Ρ, Π΄Π΅ΠΉΡΡΠ²ΡΡΡΠΈΠ΅ Π»ΠΈΠ±ΠΎ Π½Π° Π²ΡΠ΅ΠΌ ΠΏΡΠΎΡΡΠΆΠ΅Π½ΠΈΠΈ
ΡΠ΅ΠΏΠΈ, Π»ΠΈΠ±ΠΎ Π½Π° ΠΎΡΠ΄Π΅Π»ΡΠ½ΡΡ
Π΅Π΅ ΡΡΠ°ΡΡΠΊΠ°Ρ
.
ΠΠ½ΠΈ ΠΌΠΎΠ³ΡΡ Π±ΡΡΡ ΠΎΠ±ΡΡΠ»ΠΎΠ²Π»Π΅Π½Ρ Ρ
ΠΈΠΌΠΈΡΠ΅ΡΠΊΠΈΠΌΠΈ
ΠΏΡΠΎΡΠ΅ΡΡΠ°ΠΌΠΈ, Π΄ΠΈΡΡΡΠ·ΠΈΠ΅ΠΉ Π½ΠΎΡΠΈΡΠ΅Π»Π΅ΠΉ Π·Π°ΡΡΠ΄Π°
Π² Π½Π΅ΠΎΠ΄Π½ΠΎΡΠΎΠ΄Π½ΠΎΠΉ ΡΡΠ΅Π΄Π΅ ΠΈΠ»ΠΈ ΡΠ΅ΡΠ΅Π· Π³ΡΠ°Π½ΠΈΡΡ
Π΄Π²ΡΡ
ΡΠ°Π·Π½ΠΎΡΠΎΠ΄Π½ΡΡ
, Π²Π΅ΡΠ΅ΡΡΠ², ΡΠ»Π΅ΠΊΡΡΠΈΡΠ΅ΡΠΊΠΈΠΌΠΈ
(Π½ΠΎ Π½Π΅ ΡΠ»Π΅ΠΊΡΡΠΎΡΡΠ°ΡΠΈΡΠ΅ΡΠΊΠΈΠΌΠΈ) ΠΏΠΎΠ»ΡΠΌΠΈ,
ΠΏΠΎΡΠΎΠΆΠ΄Π΅Π½Π½ΡΠΌΠΈ ΠΌΠ΅Π½ΡΡΡΠΈΠΌΠΈΡΡ Π²ΠΎ Π²ΡΠ΅ΠΌΠ΅Π½ΠΈ
ΠΌΠ°Π³Π½ΠΈΡΠ½ΡΠΌΠΈ ΠΏΠΎΠ»ΡΠΌΠΈ ΠΈ Ρ.Π΄.
ΠΠ°ΠΏΡΠΈΠΌΠ΅Ρ, Π² Π³Π°Π»ΡΠ²Π°Π½ΠΈΡΠ΅ΡΠΊΠΈΡ ΡΠ»Π΅ΠΌΠ΅Π½ΡΠ°Ρ ΠΈ Π°ΠΊΠΊΡΠΌΡΠ»ΡΡΠΎΡΠ°Ρ ΠΏΡΠΎΠΈΡΡ ΠΎΠΆΠ΄Π΅Π½ΠΈΠ΅ ΡΡΠΎΡΠΎΠ½Π½ΠΈΡ ΡΠΈΠ» β Ρ ΠΈΠΌΠΈΡΠ΅ΡΠΊΠΎΠ΅. Π Π³Π΅Π½Π΅ΡΠ°ΡΠΎΡΠ°Ρ ΡΠ»Π΅ΠΊΡΡΠΈΡΠ΅ΡΠΊΠΎΠ³ΠΎ ΡΠΎΠΊΠ° ΡΡΠΎΡΠΎΠ½Π½ΠΈΠ΅ ΡΠΈΠ»Ρ β ΡΡΠΎ ΡΠΈΠ»Ρ ΠΠΎΡΠ΅Π½ΡΠ°, Π΄Π΅ΠΉΡΡΠ²ΡΡΡΠΈΠ΅ ΡΠΎ ΡΡΠΎΡΠΎΠ½Ρ ΠΌΠ°Π³Π½ΠΈΡΠ½ΠΎΠ³ΠΎ ΠΏΠΎΠ»Ρ.
Π£ΡΡΡΠΎΠΉΡΡΠ²Π°, ΠΎΠ±Π΅ΡΠΏΠ΅ΡΠΈΠ²Π°ΡΡΠΈΠ΅ Π²ΠΎΠ·Π½ΠΈΠΊΠ½ΠΎΠ²Π΅Π½ΠΈΠ΅ ΠΈ Π΄Π΅ΠΉΡΡΠ²ΠΈΠ΅ ΡΡΠΎΡΠΎΠ½Π½ΠΈΡ ΡΠΈΠ», Π½Π°Π·ΡΠ²Π°ΡΡ ΠΈΡΡΠΎΡΠ½ΠΈΠΊΠ°ΠΌΠΈ ΡΠΎΠΊΠ°. Π ΡΡΠΈΡ ΡΡΡΡΠΎΠΉΡΡΠ²Π°Ρ ΠΏΡΠΎΠΈΡΡ ΠΎΠ΄ΠΈΡ ΡΠ°Π·Π΄Π΅Π»Π΅Π½ΠΈΠ΅ ΡΠ°Π·Π½ΠΎΠΈΠΌΡΠ½Π½ΡΡ Π·Π°ΡΡΠ΄ΠΎΠ². ΠΠΎΠ΄ Π΄Π΅ΠΉΡΡΠ²ΠΈΠ΅ΠΌ ΡΡΠΎΡΠΎΠ½Π½ΠΈΡ ΡΠΈΠ» ΡΠ»Π΅ΠΊΡΡΠΈΡΠ΅ΡΠΊΠΈΠ΅ Π·Π°ΡΡΠ΄Ρ Π²Π½ΡΡΡΠΈ ΠΈΡΡΠΎΡΠ½ΠΈΠΊΠ° ΡΠΎΠΊΠ° Π΄Π²ΠΈΠΆΡΡΡΡ Π² Π½Π°ΠΏΡΠ°Π²Π»Π΅Π½ΠΈΠΈ, ΠΏΡΠΎΡΠΈΠ²ΠΎΠΏΠΎΠ»ΠΎΠΆΠ½ΠΎΠΌ Π΄Π΅ΠΉΡΡΠ²ΠΈΡ ΡΠΈΠ» ΡΠ»Π΅ΠΊΡΡΠΈΡΠ΅ΡΠΊΠΎΠ³ΠΎ ΠΏΠΎΠ»Ρ. Π ΡΠ΅Π·ΡΠ»ΡΡΠ°ΡΠ΅ ΡΡΠΎΠ³ΠΎ Π½Π° ΠΏΠΎΠ»ΡΡΠ°Ρ ΠΈΡΡΠΎΡΠ½ΠΈΠΊΠ° ΡΠΎΠΊΠ° ΠΏΠΎΠ΄Π΄Π΅ΡΠΆΠΈΠ²Π°Π΅ΡΡΡ ΠΏΠΎΡΡΠΎΡΠ½Π½Π°Ρ ΡΠ°Π·Π½ΠΎΡΡΡ ΠΏΠΎΡΠ΅Π½ΡΠΈΠ°Π»ΠΎΠ².
ΠΠΎΠ΄ΠΎΠ±Π½ΠΎ ΡΠΎΠΌΡ,
ΠΊΠ°ΠΊ Π½Π°ΡΠΎΡ ΡΠΎΠΎΠ±ΡΠ°Π΅Ρ ΡΠ½Π΅ΡΠ³ΠΈΡ Π²ΠΎΠ΄Π΅, ΠΏΠΎΠ΄Π½ΠΈΠΌΠ°Ρ
Π΅Ρ Π²Π²Π΅ΡΡ
, ΠΈΡΡΠΎΡΠ½ΠΈΠΊ ΡΠΎΠΊΠ° ΡΠΎΠΎΠ±ΡΠ°Π΅Ρ ΡΠ½Π΅ΡΠ³ΠΈΡ
Π·Π°ΡΡΠΆΠ΅Π½Π½ΡΠΌ ΡΠ°ΡΡΠΈΡΠ°ΠΌ.
ΠΠ°ΠΊ Π΄Π»Ρ ΡΠ°Π±ΠΎΡΡ
Π½Π°ΡΠΎΡΠ°, ΠΏΠΎΠ΄Π½ΠΈΠΌΠ°ΡΡΠ΅Π³ΠΎ Π²ΠΎΠ΄Ρ, ΡΠ°ΠΊ ΠΈ Π΄Π»Ρ
ΡΠ°Π±ΠΎΡΡ ΠΈΡΡΠΎΡΠ½ΠΈΠΊΠ° ΡΠΎΠΊΠ° Π½Π΅ΠΎΠ±Ρ
ΠΎΠ΄ΠΈΠΌΠ°
ΡΠ½Π΅ΡΠ³ΠΈΡ. Π Π·Π°Π²ΠΈΡΠΈΠΌΠΎΡΡΠΈ ΠΎΡ ΡΠΈΠΏΠ° ΠΈΡΡΠΎΡΠ½ΠΈΠΊΠ°
ΡΠΎΠΊΠ°, Π² Π½ΡΠΌ ΠΏΡΠΎΠΈΡΡ
ΠΎΠ΄ΠΈΡ ΠΏΡΠ΅ΠΎΠ±ΡΠ°Π·ΠΎΠ²Π°Π½ΠΈΠ΅
ΠΌΠ΅Ρ
Π°Π½ΠΈΡΠ΅ΡΠΊΠΎΠΉ, Π²Π½ΡΡΡΠ΅Π½Π½Π΅ΠΉ ΠΈΠ»ΠΈ Π΅ΡΡ
ΠΊΠ°ΠΊΠΎΠΉ-Π»ΠΈΠ±ΠΎ ΡΠ½Π΅ΡΠ³ΠΈΠΈ Π² ΡΠ»Π΅ΠΊΡΡΠΈΡΠ΅ΡΠΊΡΡ. Π
Π·Π°Π²ΠΈΡΠΈΠΌΠΎΡΡΠΈ ΠΎΡ Π²ΠΈΠ΄Π° ΡΠ½Π΅ΡΠ³ΠΈΠΈ, ΠΊΠΎΡΠΎΡΠ°Ρ
Π²Π½ΡΡΡΠΈ ΠΈΡΡΠΎΡΠ½ΠΈΠΊΠ° ΡΠΎΠΊΠ° ΠΏΡΠ΅ΠΎΠ±ΡΠ°Π·ΡΠ΅ΡΡΡ Π²
ΡΠ»Π΅ΠΊΡΡΠΈΡΠ΅ΡΠΊΡΡ ΡΠ½Π΅ΡΠ³ΠΈΡ, ΡΠ°Π·Π»ΠΈΡΠ°ΡΡ
ΠΌΠ΅Ρ
Π°Π½ΠΈΡΠ΅ΡΠΊΠΈΠ΅, Ρ
ΠΈΠΌΠΈΡΠ΅ΡΠΊΠΈΠ΅, ΡΠ΅ΠΏΠ»ΠΎΠ²ΡΠ΅
ΠΈΡΡΠΎΡΠ½ΠΈΠΊΠΈ ΡΠΎΠΊΠ°.
Π‘ΡΠΎΡΠΎΠ½Π½ΠΈΠ΅ ΡΠΈΠ»Ρ ΡΠΎΠ²Π΅ΡΡΠ°ΡΡ ΡΠ°Π±ΠΎΡΡ ΠΏΠΎ ΠΏΠ΅ΡΠ΅ΠΌΠ΅ΡΠ΅Π½ΠΈΡ ΡΠ»Π΅ΠΊΡΡΠΈΡΠ΅ΡΠΊΠΈΡ Π·Π°ΡΡΠ΄ΠΎΠ².
Π€ΠΈΠ·ΠΈΡΠ΅ΡΠΊΠ°Ρ Π²Π΅Π»ΠΈΡΠΈΠ½Π°, ΠΎΠΏΡΠ΅Π΄Π΅Π»ΡΠ΅ΠΌΠ°Ρ ΡΠ°Π±ΠΎΡΠΎΠΉ, ΡΠΎΠ²Π΅ΡΡΠ°Π΅ΠΌΠΎΠΉ ΡΡΠΎΡΠΎΠ½Π½ΠΈΠΌΠΈ ΡΠΈΠ»Π°ΠΌΠΈ ΠΏΡΠΈ ΠΏΠ΅ΡΠ΅ΠΌΠ΅ΡΠ΅Π½ΠΈΠΈ Π΅Π΄ΠΈΠ½ΠΈΡΠ½ΠΎΠ³ΠΎ ΠΏΠΎΠ»ΠΎΠΆΠΈΡΠ΅Π»ΡΠ½ΠΎΠ³ΠΎ Π·Π°ΡΡΠ΄Π°, Π½Π°Π·ΡΠ²Π°Π΅ΡΡΡ ΡΠ»Π΅ΠΊΡΡΠΎΠ΄Π²ΠΈΠΆΡΡΠ΅ΠΉ ΡΠΈΠ»ΠΎΠΉ (Ρ.Π΄.Ρ.) Ξ΅, Π΄Π΅ΠΉΡΡΠ²ΡΡΡΠ΅ΠΉ Π² ΡΠ΅ΠΏΠΈ.
Π‘ΡΠΎΡΠΎΠ½Π½ΡΡ ΡΠΈΠ»Π° FΡΡ, Π΄Π΅ΠΉΡΡΠ²ΡΡΡΠ°Ρ Π½Π° Π·Π°ΡΡΠ΄ q0, ΠΌΠΎΠΆΠ΅Ρ Π±ΡΡΡ Π²ΡΡΠ°ΠΆΠ΅Π½Π° ΠΊΠ°ΠΊ
FΡΡ = EΡΡ q0,
Π³Π΄Π΅ EΡΡ β Π½Π°ΠΏΡΡΠΆΡΠ½Π½ΠΎΡΡΡ ΠΏΠΎΠ»Ρ ΡΡΠΎΡΠΎΠ½Π½ΠΈΡ ΡΠΈΠ». Π Π°Π±ΠΎΡΠ° ΠΆΠ΅ ΡΡΠΎΡΠΎΠ½Π½ΠΈΡ ΡΠΈΠ» ΠΏΠΎ ΠΏΠ΅ΡΠ΅ΠΌΠ΅ΡΠ΅Π½ΠΈΡ Π·Π°ΡΡΠ΄Π° q0 Π½Π° Π·Π°ΠΌΠΊΠ½ΡΡΠΎΠΌ ΡΡΠ°ΡΡΠΊΠ΅ ΡΠ΅ΠΏΠΈ ΡΠ°Π²Π½Π°
(13.
6)
Π Π°Π·Π΄Π΅Π»ΠΈΠ² Π½Π° q0, ΠΏΠΎΠ»ΡΡΠΈΠΌ Π²ΡΡΠ°ΠΆΠ΅Π½ΠΈΠ΅ Π΄Π»Ρ Ρ.Π΄.Ρ., Π΄Π΅ΠΉΡΡΠ²ΡΡΡΠ΅ΠΉ Π² ΡΠ΅ΠΏΠΈ:
(13.7)
Ρ.Π΅. ΡΠ΄Ρ, Π΄Π΅ΠΉΡΡΠ²ΡΡΡΠ°Ρ Π² Π·Π°ΠΌΠΊΠ½ΡΡΠΎΠΉ ΡΠ΅ΠΏΠΈ, ΠΌΠΎΠΆΠ΅Ρ Π±ΡΡΡ ΠΎΠΏΡΠ΅Π΄Π΅Π»Π΅Π½Π° ΠΊΠ°ΠΊ ΡΠΈΡΠΊΡΠ»ΡΡΠΈΡ Π²Π΅ΠΊΡΠΎΡΠ° Π½Π°ΠΏΡΡΠΆΡΠ½Π½ΠΎΡΡΠΈ ΠΏΠΎΠ»Ρ ΡΡΠΎΡΠΎΠ½Π½ΠΈΡ ΡΠΈΠ». ΠΠΠ‘, Π΄Π΅ΠΉΡΡΠ²ΡΡΡΠ°Ρ Π½Π° ΡΡΠ°ΡΡΠΊΠ΅ 1-2, ΡΠ°Π²Π½Π°
ΠΠ° Π·Π°ΡΡΠ΄ q0 ΠΏΠΎΠΌΠΈΠΌΠΎ ΡΡΠΎΡΠΎΠ½Π½ΠΈΡ ΡΠΈΠ» Π΄Π΅ΠΉΡΡΠ²ΡΠ΅Ρ ΡΠ°ΠΊΠΆΠ΅ ΡΠΈΠ»Ρ ΡΠ»Π΅ΠΊΡΡΠΎΡΡΠ°ΡΠΈΡΠ΅ΡΠΊΠΎΠ³ΠΎ ΠΏΠΎΠ»Ρ FΡ = E q0. Π’Π°ΠΊΠΈΠΌ ΠΎΠ±ΡΠ°Π·ΠΎΠΌ, ΡΠ΅Π·ΡΠ»ΡΡΠΈΡΡΡΡΠ°Ρ ΡΠΈΠ»Π°, Π΄Π΅ΠΉΡΡΠ²ΡΡΡΠ°Ρ Π² ΡΠ΅ΠΏΠΈ Π½Π° Π·Π°ΡΡΠ΄ q0, ΡΠ°Π²Π½Π°
F =FΡΡ + FΡ = q0(ΠΡΡ + EΡ) (13.8)
Π ΠΈΡΡΠ½ΠΎΠΊ β 13.3
Π Π°Π±ΠΎΡΠ°, ΡΠΎΠ²Π΅ΡΡΠ°Π΅ΠΌΠ°Ρ ΡΠ΅Π·ΡΠ»ΡΡΠΈΡΡΡΡΠ΅ΠΉ ΡΠΈΠ»ΠΎΠΉ Π½Π°Π΄ Π·Π°ΡΡΠ΄ΠΎΠΌ q0 Π½Π° ΡΡΠ°ΡΡΠΊΠ΅ 1-2, ΡΠ°Π²Π½Π°(13.9)
ΠΡΠΏΠΎΠ»ΡΠ·ΡΡ Π²ΡΡΠ°ΠΆΠ΅Π½ΠΈΡ ΠΈ , ΠΌΠΎΠΆΠ΅ΠΌ Π·Π°ΠΏΠΈΡΠ°ΡΡ
Π12 = q0Ξ΅12 + q0 (Ο1-Ο2)
(13.
10)
ΠΠ»Ρ Π·Π°ΠΌΠΊΠ½ΡΡΠΎΠΉ ΡΠ΅ΠΏΠΈ ΡΠ°Π±ΠΎΡΠ° ΡΠ»Π΅ΠΊΡΡΠΎΡΡΠ°ΡΠΈΡΠ΅ΡΠΊΠΈΡ ΡΠΈΠ» ΡΠ°Π²Π½Π° Π½ΡΠ»Ρ, ΠΏΠΎΡΡΠΎΠΌΡ Π² Π΄Π°Π½Π½ΠΎΠΌ ΡΠ»ΡΡΠ°Π΅ Π12 = q0Ξ΅12
ΠΠ°ΠΏΡΡΠΆΠ΅Π½ΠΈΠ΅ΠΌ U Π½Π° ΡΡΠ°ΡΡΠΊΠ΅ 1-2 Π½Π°Π·ΡΠ²Π°Π΅ΡΡΡ ΡΠΈΠ·ΠΈΡΠ΅ΡΠΊΠ°Ρ Π²Π΅Π»ΠΈΡΠΈΠ½Π°, ΠΎΠΏΡΠ΅Π΄Π΅Π»ΡΠ΅ΠΌΠ°Ρ ΡΠ°Π±ΠΎΡΠΎΠΉ, ΡΠΎΠ²Π΅ΡΡΠ°Π΅ΠΌΠΎΠΉ ΡΡΠΌΠΌΠ°ΡΠ½ΡΠΌ ΠΏΠΎΠ»Π΅ΠΌ ΠΊΡΠ»ΠΎΠ½ΠΎΠ²ΡΠΊΠΈΡ ΠΈ ΡΡΠΎΡΠΎΠ½Π½ΠΈΡ ΡΠΈΠ» ΠΏΡΠΈ ΠΏΠ΅ΡΠ΅ΠΌΠ΅ΡΠ΅Π½ΠΈΠΈ ΠΏΠΎΠ»ΠΎΠΆΠΈΡΠ΅Π»ΡΠ½ΠΎΠ³ΠΎ Π΅Π΄ΠΈΠ½ΠΈΡΠ½ΠΎΠ³ΠΎ Π·Π°ΡΡΠ΄Π° Π½Π° Π΄Π°Π½Π½ΠΎΠΌ ΡΡΠ°ΡΡΠΊΠ΅ ΡΠ΅ΠΏΠΈ.
U12 = Ξ΅12 + (Ο1-Ο2) (13.11)
ΠΠΎΠ»Π½Π°Ρ ΡΠ΅ΠΏΡ π² Π‘ΠΠΠΠΠΠ.Π Π£
ΠΠΎΠ»Π½Π°Ρ ΡΠ΅ΠΏΡ ΡΠΎΠ΄Π΅ΡΠΆΠΈΡ ΠΈΡΡΠΎΡΠ½ΠΈΠΊ ΡΠΎΠΊΠ° β ΡΠ»Π΅ΠΌΠ΅Π½Ρ ΡΠ»Π΅ΠΊΡΡΠΈΡΠ΅ΡΠΊΠΎΠΉ ΡΠ΅ΠΏΠΈ, ΠΊΠΎΡΠΎΡΡΠΉ ΠΏΠΎΠ΄Π΄Π΅ΡΠΆΠΈΠ²Π°ΡΡ ΡΠ½Π΅ΡΠ³ΠΈΡ Ρ Π·Π°Π΄Π°Π½Π½ΡΠΌΠΈ ΠΏΠ°ΡΠ°ΠΌΠ΅ΡΡΠ°ΠΌΠΈ. ΠΡΠΈ ΡΡΠΎΠΌ ΡΠ½Π΅ΡΠ³ΠΎΡΠ½Π°Π±ΠΆΠ΅Π½ΠΈΠ΅ ΡΠ΅ΠΏΠΈ Π½Π΅ Π·Π°Π²ΠΈΡΠΈΡ ΠΎΡ Ρ Π°ΡΠ°ΠΊΡΠ΅ΡΠΈΡΡΠΈΠΊ ΡΠ»Π΅ΠΌΠ΅Π½ΡΠΎΠ², Π²Ρ ΠΎΠ΄ΡΡΠΈΡ Π² Π΅Ρ ΡΠΎΡΡΠ°Π², Π² ΡΠ°ΡΡΠ½ΠΎΡΡΠΈ, ΡΠΎΠΏΡΠΎΡΠΈΠ²Π»Π΅Π½ΠΈΡ.
ΠΠΏΡΠ΅Π΄Π΅Π»Π΅Π½ΠΈΡΠ ΠΏΠΎΠ»Π½ΠΎΠΉ ΡΠ΅ΠΏΠΈ Π΄Π΅ΠΉΡΡΠ²ΡΠ΅Ρ ΡΠ»Π΅ΠΊΡΡΠΎΠ΄Π²ΠΈΠΆΡΡΠ°Ρ ΡΠΈΠ»Π°, ΠΈΠ»ΠΈ ΠΠΠ‘ β ΡΠΊΠ°Π»ΡΡΠ½Π°Ρ ΡΠΈΠ·ΠΈΡΠ΅ΡΠΊΠ°Ρ Π²Π΅Π»ΠΈΡΠΈΠ½Π°, ΠΊΠΎΡΠΎΡΠ°Ρ Ρ
Π°ΡΠ°ΠΊΡΠ΅ΡΠΈΠ·ΡΠ΅Ρ ΡΠ°Π±ΠΎΡΡ ΡΡΠΎΡΠΎΠ½Π½ΠΈΡ
ΡΠΈΠ», Π΄Π΅ΠΉΡΡΠ²ΡΡΡΠΈΡ
Π² ΡΠ»Π΅ΠΊΡΡΠΈΡΠ΅ΡΠΊΠΈΡ
ΡΠ΅ΠΏΡΡ
ΠΏΠΎΡΡΠΎΡΠ½Π½ΠΎΠ³ΠΎ ΠΈ ΠΏΠ΅ΡΠ΅ΠΌΠ΅Π½Π½ΠΎΠ³ΠΎ ΡΠΎΠΊΠ°.
Π‘ΡΠΎΡΠΎΠ½Π½ΠΈΠ΅ ΡΠΈΠ»Ρ β ΡΡΠΎ ΡΠΈΠ»Ρ Π»ΡΠ±ΠΎΠΉ ΠΏΡΠΈΡΠΎΠ΄Ρ (ΠΊΡΠΎΠΌΠ΅ ΡΠ»Π΅ΠΊΡΡΠΈΡΠ΅ΡΠΊΠΎΠΉ), ΠΊΠΎΡΠΎΡΡΠ΅ ΡΠ°Π·Π΄Π΅Π»ΡΡΡ Π·Π°ΡΡΠ΄Ρ Π²Π½ΡΡΡΠΈ ΠΈΡΡΠΎΡΠ½ΠΈΠΊΠ° ΡΠΎΠΊΠ°. ΠΠΈΠ΄Ρ ΡΡΠΎΡΠΎΠ½Π½ΠΈΠΉ ΡΠΈΠ»:
- ΠΌΠ΅Ρ Π°Π½ΠΈΡΠ΅ΡΠΊΠΈΠ΅;
- ΠΌΠ°Π³Π½ΠΈΡΠ½ΡΠ΅;
- Ρ ΠΈΠΌΠΈΡΠ΅ΡΠΊΠΈΠ΅;
- ΡΠ²Π΅ΡΠΎΠ²ΡΠ΅;
- ΡΠ΅ΠΏΠ»ΠΎΠ²ΡΠ΅.
ΠΡΠΈΠ½ΡΡΠΎ ΡΡΠΈΡΠ°ΡΡ, ΡΡΠΎ ΡΡΠΎΡΠΎΠ½Π½ΠΈΠ΅ ΡΠΈΠ»Ρ ΠΏΠ΅ΡΠ΅Π½ΠΎΡΡΡ ΠΏΠΎΠ»ΠΎΠΆΠΈΡΠ΅Π»ΡΠ½ΡΠ΅ Π·Π°ΡΡΠ΄Ρ Π² Π½Π°ΠΏΡΠ°Π²Π»Π΅Π½ΠΈΠΈ ΠΎΡ Β«βΒ» ΠΊ Β«+Β».
ΠΠ»Π΅ΠΊΡΡΠΎΠ΄Π²ΠΈΠΆΡΡΠ°Ρ ΡΠΈΠ»Π° ΠΎΠ±ΠΎΠ·Π½Π°ΡΠ°Π΅ΡΡΡ ΠΊΠ°ΠΊ Ξ΅. ΠΠ΄ΠΈΠ½ΠΈΡΠ° ΠΈΠ·ΠΌΠ΅ΡΠ΅Π½ΠΈΡ β ΠΠΎΠ»ΡΡ (Π). Π§ΠΈΡΠ»Π΅Π½Π½ΠΎ ΠΠΠ‘ ΡΠ°Π²Π½Π° ΠΎΡΠ½ΠΎΡΠ΅Π½ΠΈΡ ΡΠ°Π±ΠΎΡΡ ΡΡΠΎΡΠΎΠ½Π½ΠΈΡ ΡΠΈΠ» ΠΏΠΎ ΠΏΠ΅ΡΠ΅ΠΌΠ΅ΡΠ΅Π½ΠΈΡ Π·Π°ΡΡΠ΄Π° ΠΊ Π²Π΅Π»ΠΈΡΠΈΠ½Π΅ ΡΡΠΎΠ³ΠΎ Π·Π°ΡΡΠ΄Π°:
Ξ΅=AΡΡq..
AΡΡ (ΠΠΆ) β ΡΠ°Π±ΠΎΡΠ° ΡΡΠΎΡΠΎΠ½Π½ΠΈΡ ΡΠΈΠ» ΠΏΠΎ ΠΏΠ΅ΡΠ΅ΠΌΠ΅ΡΠ΅Π½ΠΈΡ Π·Π°ΡΡΠ΄Π° q (ΠΠ»).
ΠΠ΅ ΡΠ»Π΅Π΄ΡΠ΅Ρ ΠΏΡΡΠ°ΡΡ Π½Π°ΠΏΡΡΠΆΠ΅Π½ΠΈΠ΅ ΠΈ ΠΠΠ‘. ΠΠ°ΠΏΡΡΠΆΠ΅Π½ΠΈΠ΅ Ρ Π°ΡΠ°ΠΊΡΠ΅ΡΠΈΠ·ΡΠ΅Ρ ΡΠ°Π±ΠΎΡΡ ΡΠ»Π΅ΠΊΡΡΠΈΡΠ΅ΡΠΊΠΎΠ³ΠΎ ΠΏΠΎΠ»Ρ, Π° ΠΠΠ‘ β ΡΠ°Π±ΠΎΡΡ ΡΡΠΎΡΠΎΠ½Π½ΠΈΡ ΡΠΈΠ».
ΠΠ°ΠΊΠΎΠ½ ΠΠΌΠ° Π΄Π»Ρ ΠΏΠΎΠ»Π½ΠΎΠΉ ΡΠ΅ΠΏΠΈ
ΠΠΏΡΠ΅Π΄Π΅Π»Π΅Π½ΠΈΠ΅Π‘ΠΈΠ»Π° ΡΠΎΠΊΠ° ΠΏΡΡΠΌΠΎ ΠΏΡΠΎΠΏΠΎΡΡΠΈΠΎΠ½Π°Π»ΡΠ½Π° ΡΡΠΌΠΌΠ΅ ΠΠΠ‘ ΡΠ΅ΠΏΠΈ, ΠΈ ΠΎΠ±ΡΠ°ΡΠ½ΠΎ ΠΏΡΠΎΠΏΠΎΡΡΠΈΠΎΠ½Π°Π»ΡΠ½Π° ΡΡΠΌΠΌΠ΅ ΡΠΎΠΏΡΠΎΡΠΈΠ²Π»Π΅Π½ΠΈΠΉ ΠΈΡΡΠΎΡΠ½ΠΈΠΊΠ° ΠΈ ΡΠ΅ΠΏΠΈ:
I=Ξ΅R+r..
R (ΠΠΌ) β ΠΏΠΎΠ»Π½ΠΎΠ΅ ΡΠΎΠΏΡΠΎΡΠΈΠ²Π»Π΅Π½ΠΈΠ΅ Π²Π½Π΅ΡΠ½Π΅ΠΉ ΡΠ΅ΠΏΠΈ, r (ΠΠΌ) β Π²Π½ΡΡΡΠ΅Π½Π½Π΅Π΅ ΡΠΎΠΏΡΠΎΡΠΈΠ²Π»Π΅Π½ΠΈΠ΅ ΠΈΡΡΠΎΡΠ½ΠΈΠΊΠ° ΡΠΎΠΊΠ°.
ΠΡΠΈΠΌΠ΅Ρ β1. Π Π°ΡΡΡΠΈΡΠ°ΠΉΡΠ΅ ΡΠΈΠ»Ρ ΡΠΎΠΊΠ° Π² Π·Π°ΠΌΠΊΠ½ΡΡΠΎΠΉ ΡΠ΅ΠΏΠΈ, ΡΠΎΡΡΠΎΡΡΠ΅ΠΉ ΠΈΠ· ΠΈΡΡΠΎΡΠ½ΠΈΠΊΠ° ΡΠΎΠΊΠ°, Ρ ΠΊΠΎΡΠΎΡΠΎΠ³ΠΎ ΠΠΠ‘ ΡΠ°Π²Π½Π° 10 Π, Π° Π²Π½ΡΡΡΠ΅Π½Π½Π΅Π΅ ΡΠΎΠΏΡΠΎΡΠΈΠ²Π»Π΅Π½ΠΈΠ΅ ΡΠ°Π²Π½ΠΎ 1 ΠΠΌ. Π‘ΠΎΠΏΡΠΎΡΠΈΠ²Π»Π΅Π½ΠΈΠ΅ ΡΠ΅Π·ΠΈΡΡΠΎΡΠ° ΡΠ°Π²Π½ΠΎ 4 ΠΠΌ.
I=Ξ΅R+r..=101+4..=2Β (Π)
ΠΠ°ΠΏΡΡΠΆΠ΅Π½ΠΈΠ΅ Π½Π° Π²Π½Π΅ΡΠ½Π΅ΠΉ ΡΠ΅ΠΏΠΈ
ΠΠ°ΠΏΡΡΠΆΠ΅Π½ΠΈΠ΅ Π½Π° Π²Π½Π΅ΡΠ½Π΅ΠΉ ΡΠ΅ΠΏΠΈ β ΡΡΠΎ Π½Π°ΠΏΡΡΠΆΠ΅Π½ΠΈΠ΅ Π½Π° ΠΊΠ»Π΅ΠΌΠΌΠ°Ρ ΠΈΡΡΠΎΡΠ½ΠΈΠΊΠ°, ΠΈΠ»ΠΈ ΠΏΠ°Π΄Π΅Π½ΠΈΠ΅ Π½Π°ΠΏΡΡΠΆΠ΅Π½ΠΈΡ Π½Π° Π²Π½Π΅ΡΠ½Π΅ΠΉ ΡΠ΅ΠΏΠΈ. ΠΠ½ΠΎ ΡΠ°Π²Π½ΠΎ:
U=IR
ΠΡΡΠ°Π·ΠΈΠΌ ΡΠΎΠΏΡΠΎΡΠΈΠ²Π»Π΅Π½ΠΈΠ΅ ΡΠ΅ΡΠ΅Π· ΠΠΠ‘:
R=Ξ΅I..βr
Π‘Π»Π΅Π΄ΠΎΠ²Π°ΡΠ΅Π»ΡΠ½ΠΎ, Π½Π°ΠΏΡΡΠΆΠ΅Π½ΠΈΠ΅ Π½Π° Π²Π½Π΅ΡΠ½Π΅ΠΉ ΡΠ΅ΠΏΠΈ ΡΠ°Π²Π½ΠΎ:
U=I(Ξ΅I..βr)=Ξ΅βIr
ΠΠΠ ΠΈΡΡΠΎΡΠ½ΠΈΠΊΠ° ΡΠΎΠΊΠ°
ΠΠ΅ Π²ΡΡ ΡΠ°Π±ΠΎΡΠ° ΡΡΠΎΡΠΎΠ½Π½ΠΈΡ ΡΠΈΠ» ΠΈΠ΄Π΅Ρ Π½Π΅ΠΏΠΎΡΡΠ΅Π΄ΡΡΠ²Π΅Π½Π½ΠΎ Π½Π° ΠΏΠ΅ΡΠ΅ΠΌΠ΅ΡΠ΅Π½ΠΈΠ΅ Π·Π°ΡΡΠ΄ΠΎΠ². ΠΠ»Ρ Π²ΡΡΠ°ΠΆΠ΅Π½ΠΈΡ Π΄ΠΎΠ»ΠΈ, ΠΊΠΎΡΠΎΡΠ°Ρ ΠΈΠ΄Π΅Ρ ΠΈΠΌΠ΅Π½Π½ΠΎ Π½Π° ΠΏΠ΅ΡΠ΅ΠΌΠ΅ΡΠ΅Π½ΠΈΠ΅ Π·Π°ΡΡΠ΄ΠΎΠ², Π²Π²ΠΎΠ΄ΠΈΡΡΡ ΠΏΠΎΠ½ΡΡΠΈΠ΅ ΠΠΠ (ΠΊΠΎΡΡΡΠΈΡΠΈΠ΅Π½ΡΠ° ΠΏΠΎΠ»Π΅Π·Π½ΠΎΠ³ΠΎ Π΄Π΅ΠΉΡΡΠ²ΠΈΡ).
ΠΠΠ ΠΈΡΡΠΎΡΠ½ΠΈΠΊΠ° ΡΠΎΠΊΠ° ΡΠ°Π²Π΅Π½:
Ξ·=UΞ΅..100%=RR+r..100%
ΠΡΠΈΠΌΠ΅Ρ β2. ΠΠ°ΠΏΡΡΠΆΠ΅Π½ΠΈΠ΅ Π½Π° Π²Π½Π΅ΡΠ½Π΅ΠΉ ΡΠ΅ΠΏΠΈ ΡΠ°Π²Π½ΠΎ 6 Π, ΠΠΠ‘ ΠΈΡΡΠΎΡΠ½ΠΈΠΊΠ° ΡΠΎΠΊΠ° ΡΠ°Π²Π½ΠΎ 12 Π. ΠΠΏΡΠ΅Π΄Π΅Π»ΠΈΡΡ ΠΠΠ ΠΈΡΡΠΎΡΠ½ΠΈΠΊΠ° ΡΠΎΠΊΠ°.
Ξ·=UΞ΅..100%=612..=50%
ΠΠΎΡΠΎΡΠΊΠΎΠ΅ Π·Π°ΠΌΡΠΊΠ°Π½ΠΈΠ΅
Π Π°ΡΡΠΌΠΎΡΡΠΈΠΌ ΠΏΡΠΎΡΡΡΡ ΡΠ»Π΅ΠΊΡΡΠΈΡΠ΅ΡΠΊΡΡ ΡΠ΅ΠΏΡ:
ΠΠ½Π° ΡΠΎΡΡΠΎΠΈΡ ΠΈΠ· ΠΈΡΡΠΎΡΠ½ΠΈΠΊΠ° ΡΠΎΠΊΠ° (1), ΠΊΠ»ΡΡΠ° (2) ΠΈ ΠΏΠΎΡΡΠ΅Π±ΠΈΡΠ΅Π»Ρ (3).
Π’Π΅ΠΏΠ΅ΡΡ ΠΏΠΎΠ³ΠΎΠ²ΠΎΡΠΈΠΌ ΠΎ ΡΠΎΠΌ, ΡΡΠΎ ΠΆΠ΅ ΠΏΡΠΎΠΈΠ·ΠΎΠΉΠ΄Π΅Ρ, Π΅ΡΠ»ΠΈ ΡΠ΅ΠΏΡ Π·Π°ΠΌΠΊΠ½ΡΡΡ ΠΏΡΠΎΠ²ΠΎΠ΄Π½ΠΈΠΊΠΎΠΌ ΡΠ°ΠΊ, ΠΊΠ°ΠΊ ΠΏΠΎΠΊΠ°Π·Π°Π½ΠΎ Π½Π° ΡΠΈΡΡΠ½ΠΊΠ΅ Π½ΠΈΠΆΠ΅.
Π‘ΠΎΠ΅Π΄ΠΈΠ½ΠΈΠ² ΡΠΎΡΠΊΠΈ Π ΠΈ Π Π½Π°ΠΏΡΡΠΌΡΡ, ΠΌΡ Π·Π°ΡΡΠ°Π²ΠΈΠΌ ΡΠ΅ΡΡ ΡΠΎΠΊ, ΠΌΠΈΠ½ΡΡ ΠΏΠΎΡΡΠ΅Π±ΠΈΡΠ΅Π»Ρ ΡΠΎΠΊΠ°, ΠΏΠΎΡΠΊΠΎΠ»ΡΠΊΡ ΡΠΎΠΏΡΠΎΡΠΈΠ²Π»Π΅Π½ΠΈΠ΅ ΠΏΡΠΎΠ²ΠΎΠ΄Π½ΠΈΠΊΠ° ΠΠ ΠΌΠ½ΠΎΠ³ΠΎ ΠΌΠ΅Π½ΡΡΠ΅ ΡΠΎΠΏΡΠΎΡΠΈΠ²Π»Π΅Π½ΠΈΡ ΠΏΠΎΡΡΠ΅Π±ΠΈΡΠ΅Π»Ρ. Π ΡΠΎΠΊ Π²ΡΠ΅Π³Π΄Π° ΡΠ΅ΡΠ΅Ρ ΠΏΠΎ ΠΏΡΡΠΈ Π½Π°ΠΈΠΌΠ΅Π½ΡΡΠ΅Π³ΠΎ ΡΠΎΠΏΡΠΎΡΠΈΠ²Π»Π΅Π½ΠΈΡ.
Π ΡΠ΅Π·ΡΠ»ΡΡΠ°ΡΠ΅ ΡΠΎΠ΅Π΄ΠΈΠ½Π΅Π½ΠΈΡ ΡΠΎΡΠ΅ΠΊ Π ΠΈ Π ΡΠΎΠΏΡΠΎΡΠΈΠ²Π»Π΅Π½ΠΈΠ΅ Π² ΡΠ»Π΅ΠΊΡΡΠΈΡΠ΅ΡΠΊΠΎΠΉ ΡΠ΅ΠΏΠΈ ΡΠ΅Π·ΠΊΠΎ ΡΠΏΠ°Π΄Π΅Ρ, ΡΡΠΎ ΠΏΡΠΈΠ²Π΅Π΄Π΅Ρ ΠΊ ΡΠ΅Π·ΠΊΠΎΠΌΡ ΡΠΊΠ°ΡΠΊΡ ΡΠΈΠ»Ρ ΡΠΎΠΊΠ°. Π’Π°ΠΊΠΎΠ΅ ΡΠ²Π»Π΅Π½ΠΈΠ΅ Π½Π°Π·ΡΠ²Π°Π΅ΡΡΡ ΠΊΠΎΡΠΎΡΠΊΠΈΠΌ Π·Π°ΠΌΡΠΊΠ°Π½ΠΈΠ΅ΠΌ.
ΠΠΏΡΠ΅Π΄Π΅Π»Π΅Π½ΠΈΠ΅ΠΠΎΡΠΎΡΠΊΠΎΠ΅ Π·Π°ΠΌΡΠΊΠ°Π½ΠΈΠ΅ β ΡΠΎΠ΅Π΄ΠΈΠ½Π΅Π½ΠΈΠ΅ ΠΊΠΎΠ½ΡΠΎΠ² ΡΡΠ°ΡΡΠΊΠ° ΡΠ΅ΠΏΠΈ ΠΏΡΠΎΠ²ΠΎΠ΄Π½ΠΈΠΊΠΎΠΌ, ΡΠΎΠΏΡΠΎΡΠΈΠ²Π»Π΅Π½ΠΈΠ΅ ΠΊΠΎΡΠΎΡΠΎΠ³ΠΎ ΠΎΡΠ΅Π½Ρ ΠΌΠ°Π»ΠΎ ΠΏΠΎ ΡΡΠ°Π²Π½Π΅Π½ΠΈΡ Ρ ΡΠΎΠΏΡΠΎΡΠΈΠ²Π»Π΅Π½ΠΈΠ΅ΠΌ ΡΡΠ°ΡΡΠΊΠ° ΡΠ΅ΠΏΠΈ.
ΠΡΠ»ΠΈ ΠΏΠΎΠ»Π½ΠΎΠ΅ ΡΠΎΠΏΡΠΎΡΠΈΠ²Π»Π΅Π½ΠΈΠ΅ Π²Π½Π΅ΡΠ½Π΅ΠΉ ΡΠ΅ΠΏΠΈ R ΡΡΡΠ΅ΠΌΠΈΡΡΡ ΠΊ Π½ΡΠ»Ρ, ΡΠΎ ΡΠΈΠ»Π° ΡΠΎΠΊΠ° ΠΏΡΠΈ ΠΊΠΎΡΠΎΡΠΊΠΎΠΌ Π·Π°ΠΌΡΠΊΠ°Π½ΠΈΠΈ ΡΠ°Π²Π½Π°:
IΠΊ.Π·.=Ξ΅r
Β.
ΠΠ°Π΄Π°Π½ΠΈΠ΅ EF22543 Π ΡΠ΅ΠΏΠΈ, ΠΈΠ·ΠΎΠ±ΡΠ°ΠΆΡΠ½Π½ΠΎΠΉ Π½Π° ΡΠΈΡΡΠ½ΠΊΠ΅, ΠΈΠ΄Π΅Π°Π»ΡΠ½ΡΠΉ Π°ΠΌΠΏΠ΅ΡΠΌΠ΅ΡΡ ΠΏΠΎΠΊΠ°Π·ΡΠ²Π°Π΅Ρ 1 Π. ΠΠ°ΠΉΠ΄ΠΈΡΠ΅ ΠΠΠ‘ ΠΈΡΡΠΎΡΠ½ΠΈΠΊΠ°, Π΅ΡΠ»ΠΈ Π΅Π³ΠΎ Π²Π½ΡΡΡΠ΅Π½Π½Π΅Π΅ ΡΠΎΠΏΡΠΎΡΠΈΠ²Π»Π΅Π½ΠΈΠ΅ 1 ΠΠΌ.
ΠΡΠ²Π΅Ρ:
Π°) 23 Π
Π±) 25 Π
Π²) 27 Π
Π³) 29 Π
ΠΠ»Π³ΠΎΡΠΈΡΠΌ ΡΠ΅ΡΠ΅Π½ΠΈΡ
1.ΠΠ°ΠΏΠΈΡΠ°ΡΡ ΠΈΡΡ ΠΎΠ΄Π½ΡΠ΅ Π΄Π°Π½Π½ΡΠ΅.
2.ΠΠ°ΠΏΠΈΡΠ°ΡΡ Π·Π°ΠΊΠΎΠ½ ΠΠΌΠ° Π΄Π»Ρ ΠΏΠΎΠ»Π½ΠΎΠΉ ΡΠ΅ΠΏΠΈ.
3.ΠΡΠΏΠΎΠ»Π½ΠΈΡΡ ΡΠ΅ΡΠ΅Π½ΠΈΠ΅ Π² ΠΎΠ±ΡΠ΅ΠΌ Π²ΠΈΠ΄Π΅.
4.ΠΠΎΠ΄ΡΡΠ°Π²ΠΈΡΡ ΠΈΠ·Π²Π΅ΡΡΠ½ΡΠ΅ Π΄Π°Π½Π½ΡΠ΅ ΠΈ Π²ΡΡΠΈΡΠ»ΠΈΡΡ ΠΈΡΠΊΠΎΠΌΡΡ Π²Π΅Π»ΠΈΡΠΈΠ½Ρ.
Π Π΅ΡΠ΅Π½ΠΈΠ΅
ΠΠ°ΠΏΠΈΡΠ΅ΠΌ ΠΈΡΡ ΠΎΠ΄Π½ΡΠ΅ Π΄Π°Π½Π½ΡΠ΅:
β’Β Π‘ΠΈΠ»Π° ΡΠΎ Π½Π° ΠΏΠ΅ΡΠ²ΠΎΠΌ ΡΠ΅Π·ΠΈΡΡΠΎΡΠ΅: I1 = 1 Π.
β’Β ΠΠ½ΡΡΡΠ΅Π½Π½Π΅Π΅ ΡΠΎΠΏΡΠΎΡΠΈΠ²Π»Π΅Π½ΠΈΠ΅ ΠΈΡΡΠΎΡΠ½ΠΈΠΊΠ° ΡΠΎΠΊΠ°: r = 1 ΠΠΌ.
β’Β Π‘ΠΎΠΏΡΠΎΡΠΈΠ²Π»Π΅Π½ΠΈΠ΅ ΠΏΠ΅ΡΠ²ΠΎΠ³ΠΎ ΡΠ΅Π·ΠΈΡΡΠΎΡΠ°: R1= 3 ΠΠΌ.
β’Β Π‘ΠΎΠΏΡΠΎΡΠΈΠ²Π»Π΅Π½ΠΈΠ΅ ΠΏΠ΅ΡΠ²ΠΎΠ³ΠΎ ΡΠ΅Π·ΠΈΡΡΠΎΡΠ°: R2= 1 ΠΠΌ.
β’Β Π‘ΠΎΠΏΡΠΎΡΠΈΠ²Π»Π΅Π½ΠΈΠ΅ ΠΏΠ΅ΡΠ²ΠΎΠ³ΠΎ ΡΠ΅Π·ΠΈΡΡΠΎΡΠ°: R3= 5 ΠΠΌ.
ΠΠ°ΠΊΠΎΠ½ ΠΠΌΠ° Π΄Π»Ρ ΠΏΠΎΠ»Π½ΠΎΠΉ ΡΠ΅ΠΏΠΈ:
I=Ξ΅R+r..
R β ΠΏΠΎΠ»Π½ΠΎΠ΅ ΡΠΎΠΏΡΠΎΡΠΈΠ²Π»Π΅Π½ΠΈΠ΅ Π²Π½Π΅ΡΠ½Π΅ΠΉ ΡΠ΅ΠΏΠΈ. Π¦Π΅ΠΏΡ ΡΠΎΡΡΠΎΠΈΡ ΠΈΠ· ΠΏΠΎΡΠ»Π΅Π΄ΠΎΠ²Π°ΡΠ΅Π»ΡΠ½ΠΎ ΡΠΎΠ΅Π΄ΠΈΠ½Π΅Π½Π½ΠΎΠ³ΠΎ ΡΡΠ΅ΡΡΠ΅Π³ΠΎ ΡΠ΅Π·ΠΈΡΡΠΎΡΠ° Ρ ΠΏΠ°ΡΠ°Π»Π»Π΅Π»ΡΠ½ΡΠΌ ΡΡΠ°ΡΡΠΊΠΎΠΌ ΡΠ΅ΠΏΠΈ, ΡΠΎΡΡΠΎΡΡΠΈΠΌ ΠΈΠ· ΠΏΠ΅ΡΠ²ΠΎΠ³ΠΎ ΠΈ Π²ΡΠΎΡΠΎΠ³ΠΎ ΡΠ΅Π·ΠΈΡΡΠΎΡΠΎΠ². ΠΡΡΠΈΡΠ»ΠΈΠΌ ΡΠΎΠΏΡΠΎΡΠΈΠ²Π»Π΅Π½ΠΈΠ΅ ΠΏΠ°ΡΠ°Π»Π»Π΅Π»ΡΠ½ΠΎΠ³ΠΎ ΡΡΠ°ΡΡΠΊΠ° ΡΠ΅ΠΏΠΈ:
1R12.
.=1R1..+1R2..
R12=R1R2R1+R2..
ΠΠΎΠ»Π½ΠΎΠ΅ ΡΠΎΠΏΡΠΎΡΠΈΠ²Π»Π΅Π½ΠΈΠ΅ Π²Π½Π΅ΡΠ½Π΅ΠΉ ΡΠ΅ΠΏΠΈ ΡΠ°Π²Π½ΠΎ:
R=R12+R3=R1R2R1+R2..+R3
Π‘Π»Π΅Π΄ΠΎΠ²Π°ΡΠ΅Π»ΡΠ½ΠΎ, ΠΠΠ‘ ΠΈΡΡΠΎΡΠ½ΠΈΠΊΠ° ΡΠΎΠΊΠ° ΡΠ°Π²Π΅Π½:
Ξ΅=I(R+r)=I(R1R2R1+R2..+R3+r)
ΠΠΎΠ»Π½Π°Ρ ΡΠΈΠ»Π° ΡΠΎΠΊΠ° ΡΠ°Π²Π½Π° ΡΠΈΠ»Π΅ ΡΠΎΠΊΠ° ΠΏΠ°ΡΠ°Π»Π»Π΅Π»ΡΠ½ΠΎΠ³ΠΎ ΡΡΠ°ΡΡΠΊΠ° ΡΠ΅ΠΏΠΈ, ΡΠ°ΠΊ ΠΊΠ°ΠΊ I = I3 = I12. Π ΡΠΈΠ»Π° ΡΠΎΠΊΠ° ΠΏΠ°ΡΠ°Π»Π»Π΅Π»ΡΠ½ΠΎΠ³ΠΎ ΡΡΠ°ΡΡΠΊΠ° ΡΠ΅ΠΏΠΈ ΡΠ°Π²Π½Π° ΡΡΠΌΠΌΠ΅ ΡΠΈΠ»Ρ ΡΠΎΠΊΠ° Π½Π° ΠΏΠ΅ΡΠ²ΠΎΠΌ ΠΈ Π²ΡΠΎΡΠΎΠΌ ΡΠ΅Π·ΠΈΡΡΠΎΡΠ΅:
I12=I1+I2=I
Π‘Π½Π°ΡΠ°Π»Π° Π½Π°ΠΉΠ΄Π΅ΠΌ Π½Π°ΠΏΡΡΠΆΠ΅Π½ΠΈΠ΅ Π½Π° ΠΏΠ΅ΡΠ²ΠΎΠΌ ΡΠ΅Π·ΠΈΡΡΠΎΡΠ΅, ΠΈΡΠΏΠΎΠ»ΡΠ·ΡΡ Π·Π°ΠΊΠΎΠ½ ΠΠΌΠ° Π΄Π»Ρ ΡΡΠ°ΡΡΠΊΠ° ΡΠ΅ΠΏΠΈ:
U1=I1R1
Π’Π°ΠΊ ΠΊΠ°ΠΊ ΡΡΠΎ ΠΏΠ°ΡΠ°Π»Π»Π΅Π»ΡΠ½ΡΠΉ ΡΡΠ°ΡΡΠΎΠΊ, ΡΠΎ:
U1=U2=U12
Π‘Π»Π΅Π΄ΠΎΠ²Π°ΡΠ΅Π»ΡΠ½ΠΎ, ΡΠΈΠ»Π° ΡΠΎΠΊΠ° Π½Π° Π²ΡΠΎΡΠΎΠΌ ΡΠ΅Π·ΠΈΡΡΠΎΡΠ΅ ΡΠ°Π²Π½Π°:
I2=U2R2..=I1R1R2..
Π‘ΠΈΠ»Π° ΡΠΎΠΊΠ° Π½Π° Π²ΡΠ΅ΠΌ ΡΡΠ°ΡΡΠΊΠ΅ ΡΠ΅ΠΏΠΈ ΡΠ°Π²Π½Π°:
I=I12=I1+I1R1R2..=I1(1+R1R2..)
Π’Π΅ΠΏΠ΅ΡΡ ΠΌΠΎΠΆΠ΅ΠΌ Π²ΡΡΠΈΡΠ»ΠΈΡΡ ΠΠΠ‘ ΠΈΡΡΠΎΡΠ½ΠΈΠΊΠ° ΡΠΎΠΊΠ°:
Ξ΅=I1(1+R1R2..)(R1R2R1+R2..+R3+r)
Ξ΅=1(1+31..)(3Β·13+1..+5+1)=6,75Β·4=27Β (Π)
ΠΡΠ²Π΅Ρ: Π²pΠ°Π·Π±ΠΈΡΠ°Π»ΡΡ: ΠΠ»ΠΈΡΠ° ΠΠΈΠΊΠΈΡΠΈΠ½Π° | ΠΎΠ±ΡΡΠ΄ΠΈΡΡ ΡΠ°Π·Π±ΠΎΡ | ΠΎΡΠ΅Π½ΠΈΡΡ
ΠΠ°Π΄Π°Π½ΠΈΠ΅ EF17511 ΠΠΎΠ½Π΄Π΅Π½ΡΠ°ΡΠΎΡ ΡΠΌΠΊΠΎΡΡΡΡΒ Π‘Β =Β 2Β ΠΌΠΊΠ€ ΠΏΡΠΈΡΠΎΠ΅Π΄ΠΈΠ½ΡΠ½ ΠΊ Π±Π°ΡΠ°ΡΠ΅Π΅ Ρ ΠΠБ Ρ =Β 10Β Π ΠΈ Π²Π½ΡΡΡΠ΅Π½Π½ΠΈΠΌ ΡΠΎΠΏΡΠΎΡΠΈΠ²Π»Π΅Π½ΠΈΠ΅ΠΌΒ rΒ =Β 1Β ΠΠΌ.
Π Π½Π°ΡΠ°Π»ΡΠ½ΡΠΉ ΠΌΠΎΠΌΠ΅Π½Ρ Π²ΡΠ΅ΠΌΠ΅Π½ΠΈ ΠΊΠ»ΡΡ ΠΒ Π±ΡΠ» Π·Π°ΠΌΠΊΠ½ΡΡ (ΡΠΌ. ΡΠΈΡΡΠ½ΠΎΠΊ). ΠΠ°ΠΊΠΎΠΉ ΡΡΠ°Π½Π΅Ρ ΡΠ½Π΅ΡΠ³ΠΈΡ ΠΊΠΎΠ½Π΄Π΅Π½ΡΠ°ΡΠΎΡΠ° ΡΠ΅ΡΠ΅Π· Π΄Π»ΠΈΡΠ΅Π»ΡΠ½ΠΎΠ΅ Π²ΡΠ΅ΠΌΡ (Π½Π΅ ΠΌΠ΅Π½Π΅Π΅ 1Β Ρ) ΠΏΠΎΡΠ»Π΅ ΡΠ°Π·ΠΌΡΠΊΠ°Π½ΠΈΡ ΠΊΠ»ΡΡΠ° Π, Π΅ΡΠ»ΠΈ ΡΠΎΠΏΡΠΎΡΠΈΠ²Π»Π΅Π½ΠΈΠ΅ ΡΠ΅Π·ΠΈΡΡΠΎΡΠ°Β R = 10 ΠΠΌ? ΠΡΠ²Π΅Ρ ΠΎΠΊΡΡΠ³Π»ΠΈΡΠ΅ Π΄ΠΎ ΡΠΎΡΠ΅Π½.ΠΡΠ²Π΅Ρ:
Π°) 100 Π½ΠΠΆ
Π±) 200 Π½ΠΠΆ
Π²) 100 ΠΌΠΊΠΠΆ
Π³) 200 ΠΌΠΊΠΠΆ
ΠΠ»Π³ΠΎΡΠΈΡΠΌ ΡΠ΅ΡΠ΅Π½ΠΈΡ
1.ΠΠ°ΠΏΠΈΡΠ°ΡΡ ΠΈΡΡ ΠΎΠ΄Π½ΡΠ΅ Π΄Π°Π½Π½ΡΠ΅ ΠΈ ΠΏΠ΅ΡΠ΅Π²Π΅ΡΡΠΈ Π΅Π΄ΠΈΠ½ΠΈΡΡ ΠΈΠ·ΠΌΠ΅ΡΠ΅Π½ΠΈΡ Π² Π‘Π.
2.ΠΠ°ΠΏΠΈΡΠ°ΡΡ Π·Π°ΠΊΠΎΠ½ ΠΠΌΠ° Π΄Π»Ρ ΠΏΠΎΠ»Π½ΠΎΠΉ ΡΠ΅ΠΏΠΈ ΠΈ ΡΠΎΡΠΌΡΠ»Ρ Π΄Π»Ρ Π½Π°Ρ ΠΎΠΆΠ΄Π΅Π½ΠΈΡ ΡΠ½Π΅ΡΠ³ΠΈΠΈ ΠΊΠΎΠ½Π΄Π΅Π½ΡΠ°ΡΠΎΡΠ°.
3.ΠΡΠΏΠΎΠ»Π½ΠΈΡΡ ΡΠ΅ΡΠ΅Π½ΠΈΠ΅ Π·Π°Π΄Π°ΡΠΈ Π² ΠΎΠ±ΡΠ΅ΠΌ Π²ΠΈΠ΄Π΅.
4.ΠΠΎΠ΄ΡΡΠ°Π²ΠΈΡΡ ΠΈΡΡ ΠΎΠ΄Π½ΡΠ΅ Π΄Π°Π½Π½ΡΠ΅ ΠΈ Π²ΡΡΠΈΡΠ»ΠΈΡΡ ΠΈΡΠΊΠΎΠΌΡΡ Π²Π΅Π»ΠΈΡΠΈΠ½Ρ.
Π Π΅ΡΠ΅Π½ΠΈΠ΅
ΠΠ°ΠΏΠΈΡΠ΅ΠΌ ΠΈΡΡ ΠΎΠ΄Π½ΡΠ΅ Π΄Π°Π½Π½ΡΠ΅:
β’Β ΠΠΌΠΊΠΎΡΡΡ ΠΊΠΎΠ½Π΄Π΅Π½ΡΠ°ΡΠΎΡΠ°: C = 2 ΠΌΠΊΠ€.
β’Β ΠΠΠ‘ Π±Π°ΡΠ°ΡΠ΅ΠΈ: Ξ΅ = 10 Π.
β’Β ΠΠ½ΡΡΡΠ΅Π½Π½Π΅Π΅ ΡΠΎΠΏΡΠΎΡΠΈΠ²Π»Π΅Π½ΠΈΠ΅ ΠΈΡΡΠΎΡΠ½ΠΈΠΊΠ° ΡΠΎΠΊΠ°: r = 1 ΠΠΌ.
β’Β Π‘ΠΎΠΏΡΠΎΡΠΈΠ²Π»Π΅Π½ΠΈΠ΅ ΡΠ΅Π·ΠΈΡΡΠΎΡΠ°: R = 10 ΠΠΌ.
2 ΠΌΠΊΠ€ = 2β10β6 Π€
ΠΠ°ΠΏΠΈΡΠ΅ΠΌ Π·Π°ΠΊΠΎΠ½ ΠΠΌΠ° Π΄Π»Ρ ΠΏΠΎΠ»Π½ΠΎΠΉ ΡΠ΅ΠΏΠΈ:
I=Ξ΅R+r..
ΠΠ½Π΅ΡΠ³ΠΈΡ ΠΊΠΎΠ½Π΄Π΅Π½ΡΠ°ΡΠΎΡΠ° ΠΎΠΏΡΠ΅Π΄Π΅Π»ΡΠ΅ΡΡΡ ΡΠΎΡΠΌΡΠ»ΠΎΠΉ:
W=CU22.
.
ΠΠ°ΠΏΡΡΠΆΠ΅Π½ΠΈΠ΅ Π²Π½Π΅ΡΠ½Π΅ΠΉ ΡΠ΅ΠΏΠΈ ΡΠ²ΡΠ·Π°Π½ΠΎ Ρ ΠΠΠ‘ ΠΈΡΡΠΎΡΠ½ΠΈΠΊΠ° ΡΠΎΡΠΌΡΠ»ΠΎΠΉ:
U=Ξ΅βIr
ΠΡΠΏΠΎΠ»ΡΠ·ΡΡ Π·Π°ΠΊΠΎΠ½ ΠΠΌΠ° Π΄Π»Ρ ΠΏΠΎΠ»Π½ΠΎΠΉ ΡΠ΅ΠΏΠΈ, ΠΏΠΎΠ»ΡΡΠ°Π΅ΠΌ:
U=Ξ΅βΞ΅rR+r..=Ξ΅R+Ξ΅rβΞ΅rR+r..=Ξ΅RR+r..
Π’ΠΎΠ³Π΄Π° ΡΠ½Π΅ΡΠ³ΠΈΡ ΠΊΠΎΠ½Π΄Π΅Π½ΡΠ°ΡΠΎΡΠ° ΡΠ΅ΡΠ΅Π· Π΄Π»ΠΈΡΠ΅Π»ΡΠ½ΠΎΠ΅ Π²ΡΠ΅ΠΌΡ ΡΡΠ°Π½Π΅Ρ ΡΠ°Π²Π½ΠΎΠΉ:
W=12..C(Ξ΅RR+r..)2
ΠΠΊΡΡΠ³Π»ΠΈΠΌ ΠΎΡΠ²Π΅Ρ Π΄ΠΎ ΡΠΎΡΠ΅Π½ ΠΈ ΠΏΠΎΠ»ΡΡΠΈΠΌ 100 ΠΌΠΊΠΠΆ.
ΠΡΠ²Π΅Ρ: Π²pΠ°Π·Π±ΠΈΡΠ°Π»ΡΡ: ΠΠ»ΠΈΡΠ° ΠΠΈΠΊΠΈΡΠΈΠ½Π° | ΠΎΠ±ΡΡΠ΄ΠΈΡΡ ΡΠ°Π·Π±ΠΎΡ | ΠΎΡΠ΅Π½ΠΈΡΡ
ΠΠ°Π΄Π°Π½ΠΈΠ΅ EF17550 Π Π΅ΠΎΡΡΠ°Ρ R ΠΏΠΎΠ΄ΠΊΠ»ΡΡΠ΅Π½ ΠΊ ΠΈΡΡΠΎΡΠ½ΠΈΠΊΡ ΡΠΎΠΊΠ° Ρ ΠΠΠ‘ E ΠΈ Π²Π½ΡΡΡΠ΅Π½Π½ΠΈΠΌ ΡΠΎΠΏΡΠΎΡΠΈΠ²Π»Π΅Π½ΠΈΠ΅ΠΌ r (ΡΠΌ. ΡΠΈΡΡΠ½ΠΎΠΊ). ΠΠ°Π²ΠΈΡΠΈΠΌΠΎΡΡΡ ΡΠΈΠ»Ρ ΡΠΎΠΊΠ° Π² ΡΠ΅ΠΏΠΈ ΠΎΡ ΡΠΎΠΏΡΠΎΡΠΈΠ²Π»Π΅Π½ΠΈΡ ΡΠ΅ΠΎΡΡΠ°ΡΠ° ΠΏΡΠ΅Π΄ΡΡΠ°Π²Π»Π΅Π½Π° Π½Π° Π³ΡΠ°ΡΠΈΠΊΠ΅. ΠΠ°ΠΉΠ΄ΠΈΡΠ΅ ΡΠΎΠΏΡΠΎΡΠΈΠ²Π»Π΅Π½ΠΈΠ΅ ΡΠ΅ΠΎΡΡΠ°ΡΠ°, ΠΏΡΠΈ ΠΊΠΎΡΠΎΡΠΎΠΌ ΠΌΠΎΡΠ½ΠΎΡΡΡ ΡΠΎΠΊΠ°, Π²ΡΠ΄Π΅Π»ΡΠ΅ΠΌΠ°Ρ Π½Π° Π²Π½ΡΡΡΠ΅Π½Π½Π΅ΠΌ ΡΠΎΠΏΡΠΎΡΠΈΠ²Π»Π΅Π½ΠΈΠΈ ΠΈΡΡΠΎΡΠ½ΠΈΠΊΠ°, ΡΠ°Π²Π½Π° 8 ΠΡ.ΠΠ»Π³ΠΎΡΠΈΡΠΌ ΡΠ΅ΡΠ΅Π½ΠΈΡ
1.ΠΠ°ΠΏΠΈΡΠ°ΡΡ ΠΈΡΡ ΠΎΠ΄Π½ΡΠ΅ Π΄Π°Π½Π½ΡΠ΅.
2.ΠΠ°ΠΏΠΈΡΠ°ΡΡ ΡΠΎΡΠΌΡΠ»Ρ Π΄Π»Ρ ΠΎΠΏΡΠ΅Π΄Π΅Π»Π΅Π½ΠΈΡ ΠΌΠΎΡΠ½ΠΎΡΡΠΈ ΡΠΎΠΊΠ°, Π²ΡΠ΄Π΅Π»ΡΠ΅ΠΌΠΎΠΉ Π½Π° Π²Π½ΡΡΡΠ΅Π½Π½Π΅ΠΌ ΡΠΎΠΏΡΠΎΡΠΈΠ²Π»Π΅Π½ΠΈΠΈ ΠΈΡΡΠΎΡΠ½ΠΈΠΊΠ°, ΠΈ Π²ΡΡΠ°Π·ΠΈΡΡ ΠΈΠ· Π½Π΅Π΅ ΡΠΎΠΏΡΠΎΡΠΈΠ²Π»Π΅Π½ΠΈΠ΅.
3.Π‘ ΠΏΠΎΠΌΠΎΡΡΡ Π·Π°ΠΊΠΎΠ½Π° ΠΠΌΠ° Π΄Π»Ρ ΠΏΠΎΠ»Π½ΠΎΠΉ ΡΠ΅ΠΏΠΈ Π½Π°ΠΉΡΠΈ Π½Π΅ΠΈΠ·Π²Π΅ΡΡΠ½ΡΠ΅ Π²Π΅Π»ΠΈΡΠΈΠ½Ρ.
4.ΠΡΠΏΠΎΠ»Π½ΠΈΡΡ ΡΠ΅ΡΠ΅Π½ΠΈΠ΅ Π² ΠΎΠ±ΡΠ΅ΠΌ Π²ΠΈΠ΄Π΅.
5.ΠΡΠΏΠΎΠ»Π½ΠΈΡΡ Π²ΡΡΠΈΡΠ»Π΅Π½ΠΈΡ, ΠΏΠΎΠ΄ΡΡΠ°Π²ΠΈΠ² ΠΈΠ·Π²Π΅ΡΡΠ½ΡΠ΅ ΠΈ Π½Π°ΠΉΠ΄Π΅Π½Π½ΡΠ΅ Π΄Π°Π½Π½ΡΠ΅.
Π Π΅ΡΠ΅Π½ΠΈΠ΅
ΠΠ°ΠΏΠΈΡΠ΅ΠΌ ΠΈΡΡ ΠΎΠ΄Π½ΡΠ΅ Π΄Π°Π½Π½ΡΠ΅:
β’Β ΠΠ½ΡΡΡΠ΅Π½Π½Π΅ ΡΠΎΠΏΡΠΎΡΠΈΠ²Π»Π΅Π½ΠΈΠ΅ ΠΈΡΡΠΎΡΠ½ΠΈΠΊΠ° ΡΠΎΠΊΠ°: r.
β’Β ΠΠΠ‘ ΠΈΡΡΠΎΡΠ½ΠΈΠΊΠ° ΡΠΎΠΊΠ°: Ξ΅.
β’Β ΠΠΎΡΠ½ΠΎΡΡΡ ΡΠΎΠΊΠ°, Π²ΡΠ΄Π΅Π»ΡΠ΅ΠΌΠ°Ρ Π½Π° Π²Π½ΡΡΡΠ΅Π½Π½Π΅ΠΌ ΡΠΎΠΏΡΠΎΡΠΈΠ²Π»Π΅Π½ΠΈΠΈ ΠΈΡΡΠΎΡΠ½ΠΈΠΊΠ°: PΠ²Π½ΡΡΡ = 8 ΠΡ.
ΠΠΎΡΠ½ΠΎΡΡΡ ΡΠΎΠΊΠ°, Π²ΡΠ΄Π΅Π»ΡΠ΅ΠΌΠ°Ρ Π½Π° Π²Π½ΡΡΡΠ΅Π½Π½Π΅ΠΌ ΡΠΎΠΏΡΠΎΡΠΈΠ²Π»Π΅Π½ΠΈΠΈ ΠΈΡΡΠΎΡΠ½ΠΈΠΊΠ°, ΠΎΠΏΡΠ΅Π΄Π΅Π»ΡΠ΅ΡΡΡ ΡΠΎΡΠΌΡΠ»ΠΎΠΉ:
PΠ²Π½ΡΡΡ=(Ξ΅R+r..)2r
ΠΡΡΠ°Π·ΠΈΠΌ ΠΎΡΡΡΠ΄Π° ΡΠΎΠΏΡΠΎΡΠΈΠ²Π»Π΅Π½ΠΈΠ΅ ΡΠ΅ΠΎΡΡΠ°ΡΠ°:
R=Ξ΅βrPΠ²Π½ΡΡΡ..βr
ΠΠ°ΠΏΠΈΡΠ΅ΠΌ Π·Π°ΠΊΠΎΠ½ ΠΠΌΠ° Π΄Π»Ρ ΠΏΠΎΠ»Π½ΠΎΠΉ ΡΠ΅ΠΏΠΈ:
I=Ξ΅R+r..
Π‘ΠΎΠ³Π»Π°ΡΠ½ΠΎ Π³ΡΠ°ΡΠΈΠΊΡ, ΠΏΡΠΈ Π½ΡΠ»Π΅Π²ΠΎΠΌ ΡΠΎΠΏΡΠΎΡΠΈΠ²Π»Π΅Π½ΠΈΠΈ ΡΠ΅ΠΎΡΡΠ°ΡΠ°, ΡΠΈΠ»Π° ΡΠΎΠΊΠ°, ΡΠ°Π²Π½Π° 6 ΠΠΌΠΏΠ΅ΡΠ°ΠΌ. Π‘Π»Π΅Π΄ΠΎΠ²Π°ΡΠ΅Π»ΡΠ½ΠΎ:
I(0Β ΠΠΌ)=Ξ΅r..=6
ΠΠΎ ΠΏΡΠΈ ΡΠΎΠΏΡΠΎΡΠΈΠ²Π»Π΅Π½ΠΈΠΈ ΡΠ΅ΠΎΡΡΠ°ΡΠ° Π² 4 ΠΠΌ ΡΠΈΠ»Π° ΡΠΎΠΊΠ° ΡΠ°Π²Π½Π° 2 ΠΠΌΠΏΠ΅ΡΠ°ΠΌ. Π‘Π»Π΅Π΄ΠΎΠ²Π°ΡΠ΅Π»ΡΠ½ΠΎ:
I(4Β ΠΠΌ)=Ξ΅4+r..=2
ΠΠΎΠ»ΡΡΠΈΠ»ΠΈ ΡΠΈΡΡΠ΅ΠΌΡ ΡΡΠ°Π²Π½Π΅Π½ΠΈΠΉ:
{.Ξ΅r..=6..Ξ΅4+r..=2.)
Ξ΅=6r
6r4+r..=2
6r=8+2r
4r=8
r=2Β (ΠΠΌ)
Ξ΅=6Β·2=12Β (Π)
Π’Π΅ΠΏΠ΅ΡΡ ΠΌΠΎΠΆΠ΅ΠΌ Π²ΡΡΠΈΡΠ»ΠΈΡΡ ΠΈΡΠΊΠΎΠΌΠΎΠ΅ ΡΠΎΠΏΡΠΎΡΠΈΠ²Π»Π΅Π½ΠΈΠ΅:
R=12β28.
.β2=4Β (ΠΠΌ)
pΠ°Π·Π±ΠΈΡΠ°Π»ΡΡ: ΠΠ»ΠΈΡΠ° ΠΠΈΠΊΠΈΡΠΈΠ½Π° | ΠΎΠ±ΡΡΠ΄ΠΈΡΡ ΡΠ°Π·Π±ΠΎΡ | ΠΎΡΠ΅Π½ΠΈΡΡ
ΠΠ°Π΄Π°Π½ΠΈΠ΅ EF18414 ΠΠΎΠ½Π΄Π΅Π½ΡΠ°ΡΠΎΡ ΠΏΠΎΠ΄ΠΊΠ»ΡΡΡΠ½ ΠΊ ΠΈΡΡΠΎΡΠ½ΠΈΠΊΡ ΡΠΎΠΊΠ° ΠΏΠΎΡΠ»Π΅Π΄ΠΎΠ²Π°ΡΠ΅Π»ΡΠ½ΠΎ Ρ ΡΠ΅Π·ΠΈΡΡΠΎΡΠΎΠΌ R=20 ΠΊΠΠΌ (ΡΠΌ. ΡΠΈΡΡΠ½ΠΎΠΊ). Π ΠΌΠΎΠΌΠ΅Π½Ρ Π²ΡΠ΅ΠΌΠ΅Π½ΠΈ t=0 ΠΊΠ»ΡΡ Π·Π°ΠΌΡΠΊΠ°ΡΡ. Π ΡΡΠΎΡ ΠΌΠΎΠΌΠ΅Π½Ρ ΠΊΠΎΠ½Π΄Π΅Π½ΡΠ°ΡΠΎΡ ΠΏΠΎΠ»Π½ΠΎΡΡΡΡ ΡΠ°Π·ΡΡΠΆΠ΅Π½. Π Π΅Π·ΡΠ»ΡΡΠ°ΡΡ ΠΈΠ·ΠΌΠ΅ΡΠ΅Π½ΠΈΠΉ ΡΠΈΠ»Ρ ΡΠΎΠΊΠ° Π² ΡΠ΅ΠΏΠΈ ΠΏΡΠ΅Π΄ΡΡΠ°Π²Π»Π΅Π½Ρ Π² ΡΠ°Π±Π»ΠΈΡΠ΅.ΠΠ½ΡΡΡΠ΅Π½Π½ΠΈΠΌ ΡΠΎΠΏΡΠΎΡΠΈΠ²Π»Π΅Π½ΠΈΠ΅ΠΌ ΠΈΡΡΠΎΡΠ½ΠΈΠΊΠ° ΠΈ ΡΠΎΠΏΡΠΎΡΠΈΠ²Π»Π΅Π½ΠΈΠ΅ΠΌ ΠΏΡΠΎΠ²ΠΎΠ΄ΠΎΠ² ΠΏΡΠ΅Π½Π΅Π±ΡΠ΅ΡΡ. ΠΡΠ±Π΅ΡΠΈΡΠ΅Β Π΄Π²Π°Β Π²Π΅ΡΠ½ΡΡ ΡΡΠ²Π΅ΡΠΆΠ΄Π΅Π½ΠΈΡ ΠΎ ΠΏΡΠΎΡΠ΅ΡΡΠ°Ρ , Π½Π°Π±Π»ΡΠ΄Π°Π΅ΠΌΡΡ Π² ΠΎΠΏΡΡΠ΅.
ΠΡΠ²Π΅Ρ:
Π°) Π’ΠΎΠΊ ΡΠ΅ΡΠ΅Π· ΡΠ΅Π·ΠΈΡΡΠΎΡ Π² ΠΏΡΠΎΡΠ΅ΡΡΠ΅ Π½Π°Π±Π»ΡΠ΄Π΅Π½ΠΈΡ ΡΠ²Π΅Π»ΠΈΡΠΈΠ²Π°Π΅ΡΡΡ.
Π±) Π§Π΅ΡΠ΅Π· 6 Ρ ΠΏΠΎΡΠ»Π΅ Π·Π°ΠΌΡΠΊΠ°Π½ΠΈΡ ΠΊΠ»ΡΡΠ° ΠΊΠΎΠ½Π΄Π΅Π½ΡΠ°ΡΠΎΡ ΠΏΠΎΠ»Π½ΠΎΡΡΡΡ Π·Π°ΡΡΠ΄ΠΈΠ»ΡΡ.
Π²) ΠΠΠ‘ ΠΈΡΡΠΎΡΠ½ΠΈΠΊΠ° ΡΠΎΠΊΠ° ΡΠΎΡΡΠ°Π²Π»ΡΠ΅Ρ 6 Π.
Π³) Π ΠΌΠΎΠΌΠ΅Π½Ρ Π²ΡΠ΅ΠΌΠ΅Π½ΠΈΒ tΒ = 3 Ρ Π½Π°ΠΏΡΡΠΆΠ΅Π½ΠΈΠ΅ Π½Π° ΡΠ΅Π·ΠΈΡΡΠΎΡΠ΅ ΡΠ°Π²Π½ΠΎ 0,6 Π.
Π΄) Π ΠΌΠΎΠΌΠ΅Π½Ρ Π²ΡΠ΅ΠΌΠ΅Π½ΠΈ tΒ = 3 Ρ Π½Π°ΠΏΡΡΠΆΠ΅Π½ΠΈΠ΅ Π½Π° ΠΊΠΎΠ½Π΄Π΅Π½ΡΠ°ΡΠΎΡΠ΅ ΡΠ°Π²Π½ΠΎ 5,7 Π.
ΠΠ»Π³ΠΎΡΠΈΡΠΌ ΡΠ΅ΡΠ΅Π½ΠΈΡ
1.ΠΡΠΎΠ²Π΅ΡΠΈΡΡ ΠΈΡΡΠΈΠ½Π½ΠΎΡΡΡ ΠΊΠ°ΠΆΠ΄ΠΎΠ³ΠΎ ΡΡΠ²Π΅ΡΠΆΠ΄Π΅Π½ΠΈΡ.
2.ΠΠ°ΠΏΠΈΡΠ°ΡΡ Π² ΠΎΡΠ²Π΅ΡΠ΅ ΡΠΎΠ»ΡΠΊΠΎ ΠΈΡΡΠΈΠ½Π½ΡΠ΅ ΡΡΠ²Π΅ΡΠΆΠ΄Π΅Π½ΠΈΡ.
Π Π΅ΡΠ΅Π½ΠΈΠ΅
Π‘ΠΎΠ³Π»Π°ΡΠ½ΠΎ ΡΡΠ²Π΅ΡΠΆΠ΄Π΅Π½ΠΈΡ Β«Π°Β», ΡΠΎΠΊ ΡΠ΅ΡΠ΅Π· ΡΠ΅Π·ΠΈΡΡΠΎΡ Π² ΠΏΡΠΎΡΠ΅ΡΡΠ΅ Π½Π°Π±Π»ΡΠ΄Π΅Π½ΠΈΡ ΡΠ²Π΅Π»ΠΈΡΠΈΠ²Π°Π΅ΡΡΡ. ΠΠΎ ΡΡΠΎ Π½Π΅ ΡΠ°ΠΊ, ΠΏΠΎΡΠΊΠΎΠ»ΡΠΊΡ Π² ΡΠ°Π±Π»ΠΈΡΠ΅ Ρ ΡΠ΅ΡΠ΅Π½ΠΈΠ΅ΠΌ Π²ΡΠ΅ΠΌΠ΅Π½ΠΈ ΡΠΈΠ»Π° ΡΠΎΠΊΠ° ΡΠΌΠ΅Π½ΡΡΠ°Π΅ΡΡΡ. Π£ΡΠ²Π΅ΡΠΆΠ΄Π΅Π½ΠΈΠ΅ Β«Π°Β» Π½Π΅Π²Π΅ΡΠ½ΠΎ.
Π‘ΠΎΠ³Π»Π°ΡΠ½ΠΎ ΡΡΠ²Π΅ΡΠΆΠ΄Π΅Π½ΠΈΡ Β«Π±Β», ΡΠ΅ΡΠ΅Π· 6 Ρ ΠΏΠΎΡΠ»Π΅ Π·Π°ΠΌΡΠΊΠ°Π½ΠΈΡ ΠΊΠ»ΡΡΠ° ΠΊΠΎΠ½Π΄Π΅Π½ΡΠ°ΡΠΎΡ ΠΏΠΎΠ»Π½ΠΎΡΡΡΡ Π·Π°ΡΡΠ΄ΠΈΠ»ΡΡ. ΠΡΠ»ΠΈ ΡΡΠΎ Π±ΡΠ»ΠΎ Π±Ρ ΡΠ°ΠΊ, ΡΠΎ ΡΠΈΠ»Π° ΡΠΎΠΊΠ° Π±ΡΠ»Π° Π±Ρ ΡΠ°Π²Π½Π° 0. ΠΠΎ Π² ΠΌΠΎΠΌΠ΅Π½Ρ Π²ΡΠ΅ΠΌΠ΅Π½ΠΈ t = 6 Ρ ΠΎΠ½Π° ΡΠ°Π²Π½Π° 1 ΠΌΠΊΠ. Π‘Π»Π΅Π΄ΠΎΠ²Π°ΡΠ΅Π»ΡΠ½ΠΎ, ΡΡΠ²Π΅ΡΠΆΠ΄Π΅Π½ΠΈΠ΅ Β«Π±Β» Π½Π΅Π²Π΅ΡΠ½ΠΎ.
Π‘ΠΎΠ³Π»Π°ΡΠ½ΠΎ ΡΡΠ²Π΅ΡΠΆΠ΄Π΅Π½ΠΈΡ Β«Π²Β», ΠΠΠ‘ ΠΈΡΡΠΎΡΠ½ΠΈΠΊΠ° ΡΠΎΠΊΠ° ΡΠΎΡΡΠ°Π²Π»ΡΠ΅Ρ 6 Π. ΠΠ°ΠΏΡΡΠΆΠ΅Π½ΠΈΠ΅ Π² ΡΠ΅ΠΏΠΈ Π² Π½Π°ΡΠ°Π»ΡΠ½ΡΠΉ ΠΌΠΎΠΌΠ΅Π½Ρ Π²ΡΠ΅ΠΌΠ΅Π½ΠΈ ΡΠ°Π²Π½ΠΎ ΠΠΠ‘ ΠΈΡΡΠΎΡΠ½ΠΈΠΊΠ°. Π‘Π»Π΅Π΄ΠΎΠ²Π°ΡΠ΅Π»ΡΠ½ΠΎ:
Ξ΅=U(ΠΏΡΠΈΒ t=0Β c)=IR=300Β ΠΌΠΊΠΒ Β·20Β ΠΊΠΠΌ=0,3Β·10β3ΠΒ·20Β·103ΠΠΌ=6Β (Π)
ΠΡΠ²ΠΎΠ΄: ΡΡΠ²Π΅ΡΠΆΠ΄Π΅Π½ΠΈΠ΅ Β«Π²Β» Π²Π΅ΡΠ½ΠΎΠ΅.
Π‘ΠΎΠ³Π»Π°ΡΠ½ΠΎ ΡΡΠ²Π΅ΡΠΆΠ΄Π΅Π½ΠΈΡ Β«Π³Β», Π² ΠΌΠΎΠΌΠ΅Π½Ρ Π²ΡΠ΅ΠΌΠ΅Π½ΠΈ t = 3 Ρ Π½Π°ΠΏΡΡΠΆΠ΅Π½ΠΈΠ΅ Π½Π° ΡΠ΅Π·ΠΈΡΡΠΎΡΠ΅ ΡΠ°Π²Π½ΠΎ 0,6 Π. Π§ΡΠΎΠ±Ρ ΠΏΡΠΎΠ²Π΅ΡΠΈΡΡ ΡΡΠΎ, Π½ΡΠΆΠ½ΠΎ ΡΠΌΠ½ΠΎΠΆΠΈΡΡ ΡΠΎΠΎΡΠ²Π΅ΡΡΡΠ²ΡΡΡΡΡ ΡΠΈΠ»Ρ ΡΠΎΠΊΠ° Π½Π° ΡΠΎΠΏΡΠΎΡΠΈΠ²Π»Π΅Π½ΠΈΠ΅ ΡΠ΅Π·ΠΈΡΡΠΎΡΠ°:
U=IR=15Β ΠΌΠΊΠΒ Β·20Β ΠΊΠΠΌ=0,015Β·10β3ΠΒ·20Β·103ΠΠΌ=0,3Β (Π)
ΠΡΠ²ΠΎΠ΄: ΡΡΠ²Π΅ΡΠΆΠ΄Π΅Π½ΠΈΠ΅ Β«Π³Β» Π½Π΅Π²Π΅ΡΠ½ΠΎΠ΅.
Π‘ΠΎΠ³Π»Π°ΡΠ½ΠΎ ΡΡΠ²Π΅ΡΠΆΠ΄Π΅Π½ΠΈΡ Β«Π΄Β», Π² ΠΌΠΎΠΌΠ΅Π½Ρ Π²ΡΠ΅ΠΌΠ΅Π½ΠΈ t = 3 Ρ Π½Π°ΠΏΡΡΠΆΠ΅Π½ΠΈΠ΅ Π½Π° ΠΊΠΎΠ½Π΄Π΅Π½ΡΠ°ΡΠΎΡΠ΅ ΡΠ°Π²Π½ΠΎ 5,7 Π.
Π§ΡΠΎΠ±Ρ ΠΏΡΠΎΠ²Π΅ΡΠΈΡΡ ΡΡΠΎ, Π½ΡΠΆΠ½ΠΎ ΠΈΠ· ΠΠΠ‘ Π² ΡΡΠΎΡ ΠΌΠΎΠΌΠ΅Π½Ρ Π²ΡΠ΅ΠΌΠ΅Π½ΠΈ Π²ΡΡΠ΅ΡΡΡ Π½Π°ΠΏΡΡΠΆΠ΅Π½ΠΈΠ΅ Π½Π° Π²Π½Π΅ΡΠ½Π΅ΠΉ ΡΠ΅ΠΏΠΈ. ΠΠ³ΠΎ ΠΌΡ ΡΠΆΠ΅ Π½Π°ΡΠ»ΠΈ. ΠΠ½ΠΎ ΡΠ°Π²Π½ΠΎ 0,3 Π. ΠΠΠ‘ ΠΌΡ ΡΠΎΠΆΠ΅ Π½Π°ΡΠ»ΠΈ. ΠΠ½Π° ΡΠ°Π²Π½Π° 6 Π. ΠΡ
ΡΠ°Π·Π½ΠΎΡΡΡ ΡΠ°Π²Π½Π° 5,7 Π. Π‘Π»Π΅Π΄ΠΎΠ²Π°ΡΠ΅Π»ΡΠ½ΠΎ, ΡΡΠ²Π΅ΡΠΆΠ΄Π΅Π½ΠΈΠ΅ Β«Π΄Β» Π²Π΅ΡΠ½ΠΎ.
pΠ°Π·Π±ΠΈΡΠ°Π»ΡΡ: ΠΠ»ΠΈΡΠ° ΠΠΈΠΊΠΈΡΠΈΠ½Π° | ΠΎΠ±ΡΡΠ΄ΠΈΡΡ ΡΠ°Π·Π±ΠΎΡ | ΠΎΡΠ΅Π½ΠΈΡΡ
ΠΠ°Π΄Π°Π½ΠΈΠ΅ EF18453ΠΠ° ΡΠΈΡ. 1 ΠΈΠ·ΠΎΠ±ΡΠ°ΠΆΠ΅Π½Π° Π·Π°Π²ΠΈΡΠΈΠΌΠΎΡΡΡ ΡΠΈΠ»Ρ ΡΠΎΠΊΠ° ΡΠ΅ΡΠ΅Π· ΡΠ²Π΅ΡΠΎΠ΄ΠΈΠΎΠ΄ D ΠΎΡ ΠΏΡΠΈΠ»ΠΎΠΆΠ΅Π½Π½ΠΎΠ³ΠΎ ΠΊ Π½Π΅ΠΌΡ Π½Π°ΠΏΡΡΠΆΠ΅Π½ΠΈΡ, Π° Π½Π° ΡΠΈΡ. 2 β ΡΡ Π΅ΠΌΠ° Π΅Π³ΠΎ Π²ΠΊΠ»ΡΡΠ΅Π½ΠΈΡ. ΠΠ°ΠΏΡΡΠΆΠ΅Π½ΠΈΠ΅ Π½Π° ΡΠ²Π΅ΡΠΎΠ΄ΠΈΠΎΠ΄Π΅ ΠΏΡΠ°ΠΊΡΠΈΡΠ΅ΡΠΊΠΈ Π½Π΅ Π·Π°Π²ΠΈΡΠΈΡ ΠΎΡ ΡΠΈΠ»Ρ ΡΠΎΠΊΠ° ΡΠ΅ΡΠ΅Π· Π½Π΅Π³ΠΎ Π² ΠΈΠ½ΡΠ΅ΡΠ²Π°Π»Π΅ Π·Π½Π°ΡΠ΅Π½ΠΈΠΉ 0,05βΠ<I<0,2βΠ. ΠΡΠΎΡ ΡΠ²Π΅ΡΠΎΠ΄ΠΈΠΎΠ΄ ΡΠΎΠ΅Π΄ΠΈΠ½ΡΠ½ ΠΏΠΎΡΠ»Π΅Π΄ΠΎΠ²Π°ΡΠ΅Π»ΡΠ½ΠΎ Ρ ΡΠ΅Π·ΠΈΡΡΠΎΡΠΎΠΌ R ΠΈ ΠΏΠΎΠ΄ΠΊΠ»ΡΡΡΠ½ ΠΊ ΠΈΡΡΠΎΡΠ½ΠΈΠΊΡ Ρ ΠΠΠ‘ E1=6 Π. ΠΡΠΈ ΡΡΠΎΠΌ ΡΠΈΠ»Π° ΡΠΎΠΊΠ° Π² ΡΠ΅ΠΏΠΈ ΡΠ°Π²Π½Π° 0,1 Π. ΠΠ°ΠΊΠΎΠ²Π° ΡΠΈΠ»Π° ΡΠΎΠΊΠ°, ΡΠ΅ΠΊΡΡΠ΅Π³ΠΎ ΡΠ΅ΡΠ΅Π· ΡΠ²Π΅ΡΠΎΠ΄ΠΈΠΎΠ΄, ΠΏΡΠΈ Π·Π°ΠΌΠ΅Π½Π΅ ΠΈΡΡΠΎΡΠ½ΠΈΠΊΠ° Π½Π° Π΄ΡΡΠ³ΠΎΠΉ Ρ ΠΠΠ‘ E2=4,5 Π? ΠΠ½ΡΡΡΠ΅Π½Π½ΠΈΠΌ ΡΠΎΠΏΡΠΎΡΠΈΠ²Π»Π΅Π½ΠΈΠ΅ΠΌ ΠΈΡΡΠΎΡΠ½ΠΈΠΊΠΎΠ² ΠΏΡΠ΅Π½Π΅Π±ΡΠ΅ΡΡ.
ΠΠ»Π³ΠΎΡΠΈΡΠΌ ΡΠ΅ΡΠ΅Π½ΠΈΡ
1.ΠΠ°ΠΏΠΈΡΠ°ΡΡ ΠΈΡΡ ΠΎΠ΄Π½ΡΠ΅ Π΄Π°Π½Π½ΡΠ΅.
2.Π‘ ΠΏΠΎΠΌΠΎΡΡΡ Π·Π°ΠΊΠΎΠ½Π° ΠΠΌΠ° Π΄Π»Ρ ΡΡΠ°ΡΡΠΊΠ° ΠΈ Π΄Π»Ρ ΠΏΠΎΠ»Π½ΠΎΠΉ ΡΠ΅ΠΏΠΈ ΠΎΠΏΡΠ΅Π΄Π΅Π»ΠΈΡΡ ΡΠΎΠΏΡΠΎΡΠΈΠ²Π»Π΅Π½ΠΈΠ΅ Π½Π° ΡΠ²Π΅ΡΠΎΠ΄ΠΈΠΎΠ΄Π΅.
3.ΠΡΠΏΠΎΠ»Π½ΠΈΡΡ ΡΠ΅ΡΠ΅Π½ΠΈΠ΅ Π·Π°Π΄Π°ΡΠΈ Π² ΠΎΠ±ΡΠ΅ΠΌ Π²ΠΈΠ΄Π΅.
4.ΠΠΎΠ΄ΡΡΠ°Π²ΠΈΡΡ ΠΈΠ·Π²Π΅ΡΡΠ½ΡΠ΅ Π΄Π°Π½Π½ΡΠ΅ ΠΈ Π²ΡΡΠΈΡΠ»ΠΈΡΡ ΠΈΡΠΊΠΎΠΌΡΡ Π²Π΅Π»ΠΈΡΠΈΠ½Ρ.
Π Π΅ΡΠ΅Π½ΠΈΠ΅
ΠΠ°ΠΏΠΈΡΠ΅ΠΌ ΠΈΡΡ ΠΎΠ΄Π½ΡΠ΅ Π΄Π°Π½Π½ΡΠ΅:
β’Β ΠΠΠ‘ ΠΏΠ΅ΡΠ²ΠΎΠ³ΠΎ ΠΈΡΡΠΎΡΠ½ΠΈΠΊΠ° ΡΠΎΠΊΠ°: Ξ΅1=6 Π.
β’Β Π‘ΠΈΠ»Π° ΡΠΎΠΊΠ°, ΠΏΡΠΎΡ ΠΎΠ΄ΡΡΠ°Ρ ΡΠ΅ΡΠ΅Π· ΡΠ²Π΅ΡΠΎΠ΄ΠΈΠΎΠ΄, ΠΏΠΎΠ΄ΠΊΠ»ΡΡΠ΅Π½Π½ΡΠΉ ΠΊ ΠΏΠ΅ΡΠ²ΠΎΠΌΡ ΠΈΡΡΠΎΡΠ½ΠΈΠΊΡ ΡΠΎΠΊΠ°: I1 = 0,1 Π.
β’Β ΠΠΠ‘ Π²ΡΠΎΡΠΎΠ³ΠΎ ΠΈΡΡΠΎΡΠ½ΠΈΠΊΠ° ΡΠΎΠΊΠ°: Ξ΅2=4,5 Π.
ΠΠ· ΡΠΈΡΡΠ½ΠΊΠ° 1 ΡΠ»Π΅Π΄ΡΠ΅Ρ, ΡΡΠΎ ΠΏΡΠΈ ΡΠΈΠ»Π΅ ΡΠΎΠΊΠ°, ΡΠ°Π²Π½ΠΎΠΉ I1= 0,1 Π Π½Π°ΠΏΡΡΠΆΠ΅Π½ΠΈΠ΅ Π½Π° ΡΠ²Π΅ΡΠΎΠ΄ΠΈΠΎΠ΄Π΅ ΡΠ°Π²Π½ΠΎ UD = 3 Π. ΠΠΎ Π·Π°ΠΊΠΎΠ½Ρ ΠΠΌΠ° Π΄Π»Ρ ΡΡΠ°ΡΡΠΊΠ° ΡΠ΅ΠΏΠΈ Π½Π°ΠΏΡΡΠΆΠ΅Π½ΠΈΠ΅ Π½Π° ΡΠ΅Π·ΠΈΡΡΠΎΡΠ΅, Π±ΡΠ΄Π΅Ρ ΡΠ°Π²Π½ΠΎ:
U1=I1R
ΠΠΎ Π·Π°ΠΊΠΎΠ½Ρ ΠΠΌΠ° Π΄Π»Ρ ΠΏΠΎΠ»Π½ΠΎΠΉ (Π·Π°ΠΌΠΊΠ½ΡΡΠΎΠΉ) ΡΠ΅ΠΏΠΈ, ΠΈΠΌΠ΅Π΅ΠΌ:
Ξ΅1=U1+UD
Π‘Π»Π΅Π΄ΠΎΠ²Π°ΡΠ΅Π»ΡΠ½ΠΎ:
U1=Ξ΅1βUD
Π’ΠΎΠ³Π΄Π° ΡΠΎΠΏΡΠΎΡΠΈΠ²Π»Π΅Π½ΠΈΠ΅ ΡΠ΅Π·ΠΈΡΡΠΎΡΠ° ΡΠ°Π²Π½ΠΎ:
R=Ξ΅1βUDI1..
ΠΠ°ΠΏΡΡΠΆΠ΅Π½ΠΈΠ΅ Π½Π° ΡΠ²Π΅ΡΠΎΠ΄ΠΈΠΎΠ΄Π΅ Π½Π΅ Π·Π°Π²ΠΈΡΠΈΡ ΠΎΡ ΡΠΈΠ»Ρ ΡΠΎΠΊΠ°, ΠΏΡΠΎΡ ΠΎΠ΄ΡΡΠ΅Π³ΠΎ ΡΠ΅ΡΠ΅Π· Π½Π΅Π³ΠΎ Π² ΠΈΠ½ΡΠ΅ΡΠ²Π°Π»Π΅ Π·Π½Π°ΡΠ΅Π½ΠΈΠΉ (ΡΡΠΎ ΡΠ»Π΅Π΄ΡΠ΅Ρ ΠΈΠ· Π³ΡΠ°ΡΠΈΠΊΠ° ΡΠΈΡ. 1), ΠΏΠΎΡΡΠΎΠΌΡ U2=Ξ΅2βUDΠ΄Π»Ρ Π»ΡΠ±ΠΎΠΉ ΡΠΈΠ»Ρ ΡΠΎΠΊΠ° ΠΈΠ· ΡΡΠΎΠ³ΠΎ ΠΈΠ½ΡΠ΅ΡΠ²Π°Π»Π° Π·Π½Π°ΡΠ΅Π½ΠΈΠΉ, ΡΠ»Π΅Π΄ΠΎΠ²Π°ΡΠ΅Π»ΡΠ½ΠΎ, ΡΠΈΠ»Π° ΡΠΎΠΊΠ° Π² ΡΠ΅ΠΏΠΈ ΠΏΡΠΈ ΠΈΠ·ΠΌΠ΅Π½Π΅Π½ΠΈΠΈ ΠΠΠ‘ ΠΈΡΡΠΎΡΠ½ΠΈΠΊΠ°:
I2=U2R.
.=Ξ΅2βUDR..=I1Ξ΅2βUDΞ΅1βUD..
I2=0,14,5β36β3..=0,05Β (Π)
ΠΡΠ²Π΅Ρ: 0,05pΠ°Π·Π±ΠΈΡΠ°Π»ΡΡ: ΠΠ»ΠΈΡΠ° ΠΠΈΠΊΠΈΡΠΈΠ½Π° | ΠΎΠ±ΡΡΠ΄ΠΈΡΡ ΡΠ°Π·Π±ΠΎΡ | ΠΎΡΠ΅Π½ΠΈΡΡ
Π‘ΡΠΎΡΠΎΠ½Π½ΠΈΠ΅ ΡΠΈΠ»Ρ ΠΈ ΡΠ΄Ρ – ΡΠΏΡΠ°Π²ΠΎΡΠ½ΠΈΠΊ ΡΡΡΠ΄Π΅Π½ΡΠ°
Π ΡΠ°Π·Π³Π°Ρ ΡΡΠ΅Π±Π½ΠΎΠ³ΠΎ Π³ΠΎΠ΄Π° ΠΌΠ½ΠΎΠ³ΠΈΠΌ ΡΡΠ΅Π½ΡΠΌ Π΄Π΅ΡΡΠ΅Π»ΡΠΌ ΡΡΠ΅Π±ΡΠ΅ΡΡΡ ΡΠ΄Ρ ΡΠΎΡΠΌΡΠ»Π° Π΄Π»Ρ ΡΠ°Π·Π½ΡΡ ΡΠ°ΡΡΠ΅ΡΠΎΠ². ΠΠΊΡΠΏΠ΅ΡΠΈΠΌΠ΅Π½ΡΡ, ΡΠ²ΡΠ·Π°Π½Π½ΡΠ΅ Ρ Π³Π°Π»ΡΠ²Π°Π½ΠΈΡΠ΅ΡΠΊΠΈΠΌ ΡΠ»Π΅ΠΌΠ΅Π½ΡΠΎΠΌ, ΡΠ°ΠΊ ΠΆΠ΅ Π½ΡΠΆΠ΄Π°ΡΡΡΡ Π² ΠΈΠ½ΡΠΎΡΠΌΠ°ΡΠΈΠΈ ΠΎΠ± ΡΠ»Π΅ΠΊΡΡΠΎΠ΄Π²ΠΈΠΆΡΡΠ΅ΠΉ ΡΠΈΠ»Π΅. ΠΠΎ Π΄Π»Ρ Π½Π°ΡΠΈΠ½Π°ΡΡΠΈΡ Π½Π΅ ΡΠ°ΠΊ-ΡΠΎ ΠΏΡΠΎΡΡΠΎ ΠΏΠΎΠ½ΡΡΡ, ΡΡΠΎ ΠΆΠ΅ ΡΡΠΎ ΡΠ°ΠΊΠΎΠ΅.
Π€ΠΎΡΠΌΡΠ»Π° Π½Π°Ρ ΠΎΠΆΠ΄Π΅Π½ΠΈΡ ΡΠ΄ΡΠΠ΅ΡΠ²ΡΠΌ Π΄Π΅Π»ΠΎΠΌ ΡΠ°Π·Π±Π΅ΡΠ΅ΠΌΡΡ Ρ ΠΎΠΏΡΠ΅Π΄Π΅Π»Π΅Π½ΠΈΠ΅ΠΌ. Π§ΡΠΎ ΠΎΠ·Π½Π°ΡΠ°Π΅Ρ ΡΡΠ° Π°Π±Π±ΡΠ΅Π²ΠΈΠ°ΡΡΡΠ°?
Π£Π·Π½Π°ΠΉ ΡΡΠΎΠΈΠΌΠΎΡΡΡ ΡΠ²ΠΎΠ΅ΠΉ ΡΠ°Π±ΠΎΡΡ
ΠΠ΅ΡΠΏΠ»Π°ΡΠ½Π°Ρ ΠΎΡΠ΅Π½ΠΊΠ° Π·Π°ΠΊΠ°Π·Π°!
ΠΠΠ‘ ΠΈΠ»ΠΈ ΡΠ»Π΅ΠΊΡΡΠΎΠ΄Π²ΠΈΠΆΡΡΠ°Ρ ΡΠΈΠ»Π° β ΡΡΠΎ ΠΏΠ°ΡΠ°ΠΌΠ΅ΡΡ Ρ
Π°ΡΠ°ΠΊΡΠ΅ΡΠΈΠ·ΡΡΡΠΈΠΉ ΡΠ°Π±ΠΎΡΡ Π»ΡΠ±ΡΡ
ΡΠΈΠ» Π½Π΅ ΡΠ»Π΅ΠΊΡΡΠΈΡΠ΅ΡΠΊΠΎΠΉ ΠΏΡΠΈΡΠΎΠ΄Ρ, ΡΠ°Π±ΠΎΡΠ°ΡΡΠΈΡ
Π² ΡΠ΅ΠΏΡΡ
Π³Π΄Π΅ ΡΠΈΠ»Π° ΡΠΎΠΊΠ° ΠΊΠ°ΠΊ ΠΏΠΎΡΡΠΎΡΠ½Π½ΠΎΠ³ΠΎ, ΡΠ°ΠΊ ΠΈ ΠΏΠ΅ΡΠ΅ΠΌΠ΅Π½Π½ΠΎΠ³ΠΎ ΠΎΠ΄ΠΈΠ½Π°ΠΊΠΎΠ²Π° ΠΏΠΎ Π²ΡΠ΅ΠΉ Π΄Π»ΠΈΠ½Π΅. Π ΡΡΠ΅ΠΏΠ»Π΅Π½Π½ΠΎΠΌ ΡΠΎΠΊΠΎΠΏΡΠΎΠ²ΠΎΠ΄ΡΡΠ΅ΠΌ ΠΊΠΎΠ½ΡΡΡΠ΅ ΠΠΠ‘ ΠΏΡΠΈΡΠ°Π²Π½ΠΈΠ²Π°Π΅ΡΡΡ ΡΠ°Π±ΠΎΡΠ΅ Π΄Π°Π½Π½ΡΡ
ΡΠΈΠ» ΠΏΠΎ ΠΏΠ΅ΡΠ΅ΠΌΠ΅ΡΠ΅Π½ΠΈΡ Π΅Π΄ΠΈΠ½ΠΎΠ³ΠΎ ΠΏΠ»ΡΡΠΎΠ²ΠΎΠ³ΠΎ (ΠΏΠΎΠ»ΠΎΠΆΠΈΡΠ΅Π»ΡΠ½ΠΎΠ³ΠΎ) Π·Π°ΡΡΠ΄Π° Π²Π΄ΠΎΠ»Ρ Π²ΡΠ΅Π³ΠΎ ΠΊΠΎΠ½ΡΡΡΠ°.
ΠΠΈΠΆΠ΅ Π½Π° ΡΠΈΡΡΠ½ΠΊΠ΅ ΠΏΡΠ΅Π΄ΡΡΠ°Π²Π»Π΅Π½Π° ΡΠ΄Ρ ΡΠΎΡΠΌΡΠ»Π°.
- ΠΡΡ β ΠΎΠ·Π½Π°ΡΠ°Π΅Ρ ΡΠ°Π±ΠΎΡΡ ΡΡΠΎΡΠΎΠ½Π½ΠΈΡ ΡΠΈΠ» Π² Π΄ΠΆΠΎΡΠ»ΡΡ .
- q β ΡΡΠΎ ΠΏΠ΅ΡΠ΅Π½ΠΎΡΠΈΠΌΡΠΉ Π·Π°ΡΡΠ΄ Π² ΠΊΡΠ»ΠΎΠ½Π°Ρ .
- Π‘ΡΠΎΡΠΎΠ½Π½ΠΈΠ΅ ΡΠΈΠ»Ρ β ΡΡΠΎ ΡΠΈΠ»Ρ ΠΊΠΎΡΠΎΡΡΠ΅ Π²ΡΠΏΠΎΠ»Π½ΡΡΡ ΡΠ°Π·Π΄Π΅Π»Π΅Π½ΠΈΠ΅ Π·Π°ΡΡΠ΄ΠΎΠ² Π² ΠΈΡΡΠΎΡΠ½ΠΈΠΊΠ΅ ΠΈ Π² ΠΈΡΠΎΠ³Π΅ ΠΎΠ±ΡΠ°Π·ΡΡΡ Π½Π° Π΅Π³ΠΎ ΠΏΠΎΠ»ΡΡΠ°Ρ ΡΠ°Π·Π½ΠΎΡΡΡ ΠΏΠΎΡΠ΅Π½ΡΠΈΠ°Π»ΠΎΠ².
ΠΠ»Ρ ΡΡΠΎΠΉ ΡΠΈΠ»Ρ Π΅Π΄ΠΈΠ½ΠΈΡΠ΅ΠΉ ΠΈΠ·ΠΌΠ΅ΡΠ΅Π½ΠΈΡ ΡΠ²Π»ΡΠ΅ΡΡΡ Π²ΠΎΠ»ΡΡ. ΠΠ±ΠΎΠ·Π½Π°ΡΠ°Π΅ΡΡΡ Π² ΡΠΎΡΠΌΡΠ»Π°Ρ ΠΎΠ½Π° Π±ΡΠΊΠ²ΠΎΠΉ Β«EΒ».
Π’ΠΎΠ»ΡΠΊΠΎ Π² ΠΌΠΎΠΌΠ΅Π½Ρ ΠΎΡΡΡΡΡΡΠ²ΠΈΡ ΡΠΎΠΊΠ° Π² Π±Π°ΡΠ°ΡΠ΅ΠΈ, ΡΠ»Π΅ΠΊΡΡΠΎΠ΄Π²ΠΈΠΆΡΡΠ°Ρ ΡΠΈ-Π° Π±ΡΠ΄Π΅Ρ ΡΠ°Π²Π½Π° Π½Π°ΠΏΡΡΠΆΠ΅Π½ΠΈΡ Π½Π° ΠΏΠΎΠ»ΡΡΠ°Ρ .
ΠΠΠ‘ ΠΈΠ½Π΄ΡΠΊΡΠΈΠΈ:
ΠΠΠ‘ ΠΈΠ½Π΄ΡΠΊΡΠΈΠΈ Π² ΠΊΠΎΠ½ΡΡΡΠ΅, ΠΈΠΌΠ΅ΡΡΠ΅ΠΌ N Π²ΠΈΡΠΊΠΎΠ²:
Π£Π·Π½Π°ΠΉ ΡΡΠΎΠΈΠΌΠΎΡΡΡ ΡΠ²ΠΎΠ΅ΠΉ ΡΠ°Π±ΠΎΡΡ
ΠΠ΅ΡΠΏΠ»Π°ΡΠ½Π°Ρ ΠΎΡΠ΅Π½ΠΊΠ° Π·Π°ΠΊΠ°Π·Π°!
ΠΡΠΈ Π΄Π²ΠΈΠΆΠ΅Π½ΠΈΠΈ:
ΠΠ»Π΅ΠΊΡΡΠΎΠ΄Π²ΠΈΠΆΡΡΠ°Ρ ΡΠΈΠ»Π° ΠΈΠ½Π΄ΡΠΊΡΠΈΠΈ Π² ΠΊΠΎΠ½ΡΡΡΠ΅, ΠΊΡΡΡΡΡΠ΅ΠΌΡΡ Π² ΠΌΠ°Π³Π½ΠΈΡΠ½ΠΎΠΌ ΠΏΠΎΠ»Π΅ ΡΠΎ ΡΠΊΠΎΡΠΎΡΡΡΡ w:
Π’Π°Π±Π»ΠΈΡΠ° Π·Π½Π°ΡΠ΅Π½ΠΈΠΉΠΡΠΎΡΡΠΎΠ΅ ΠΎΠ±ΡΡΡΠ½Π΅Π½ΠΈΠ΅ ΡΠ»Π΅ΠΊΡΡΠΎΠ΄Π²ΠΈΠΆΡΡΠ΅ΠΉ ΡΠΈΠ»ΡΠΡΠ΅Π΄ΠΏΠΎΠ»ΠΎΠΆΠΈΠΌ, ΡΡΠΎ Π² Π½Π°ΡΠ΅ΠΉ Π΄Π΅ΡΠ΅Π²Π½Π΅ ΠΈΠΌΠ΅Π΅ΡΡΡ Π²ΠΎΠ΄ΠΎΠ½Π°ΠΏΠΎΡΠ½Π°Ρ Π±Π°ΡΠ½Ρ.
ΠΠ½Π° ΠΏΠΎΠ»Π½ΠΎΡΡΡΡ Π½Π°ΠΏΠΎΠ»Π½Π΅Π½Π° Π²ΠΎΠ΄ΠΎΠΉ. ΠΡΠ΄Π΅ΠΌ Π΄ΡΠΌΠ°ΡΡ, ΡΡΠΎ ΡΡΠΎ ΠΎΠ±ΡΡΠ½Π°Ρ Π±Π°ΡΠ°ΡΠ΅ΠΉΠΊΠ°. ΠΠ°ΡΠ½Ρ β ΡΡΠΎ Π±Π°ΡΠ°ΡΠ΅ΠΉΠΊΠ°!
ΠΡΡ Π²ΠΎΠ΄Π° Π±ΡΠ΄Π΅Ρ ΠΎΠΊΠ°Π·ΡΠ²Π°ΡΡ ΡΠΈΠ»ΡΠ½ΠΎΠ΅ Π΄Π°Π²Π»Π΅Π½ΠΈΠ΅ Π½Π° Π΄Π½ΠΎ Π½Π°ΡΠ΅ΠΉ Π±Π°ΡΠ΅Π½ΠΊΠΈ. ΠΠΎ ΡΠΈΠ»ΡΠ½ΡΠΌ ΠΎΠ½ΠΎ Π±ΡΠ΄Π΅Ρ ΡΠΎΠ»ΡΠΊΠΎ ΡΠΎΠ³Π΄Π°, ΠΊΠΎΠ³Π΄Π° ΡΡΠΎ ΡΡΡΠΎΠ΅Π½ΠΈΠ΅ ΠΏΠΎΠ»Π½ΠΎΡΡΡΡ Π½Π°ΠΏΠΎΠ»Π½Π΅Π½ΠΎ h3O.
Π ΠΈΡΠΎΠ³Π΅ ΡΠ΅ΠΌ ΠΌΠ΅Π½ΡΡΠ΅ Π²ΠΎΠ΄Ρ, ΡΠ΅ΠΌ ΡΠ»Π°Π±Π΅Π΅ Π±ΡΠ΄Π΅Ρ Π΄Π°Π²Π»Π΅Π½ΠΈΠ΅ ΠΈ Π½Π°ΠΏΠΎΡ ΡΡΡΡΠΈ Π±ΡΠ΄Π΅Ρ ΠΌΠ΅Π½ΡΡΠ΅. ΠΡΠΊΡΡΠ² ΠΊΡΠ°Π½, Π·Π°ΠΌΠ΅ΡΠΈΠΌ, ΡΡΠΎ ΠΊΠ°ΠΆΠ΄ΡΡ ΠΌΠΈΠ½ΡΡΡ Π΄Π°Π»ΡΠ½ΠΎΡΡΡ ΡΡΡΡΠΈ Π±ΡΠ΄Π΅Ρ ΡΠΎΠΊΡΠ°ΡΠ°ΡΡΡΡ.
Π ΡΠ΅Π·ΡΠ»ΡΡΠ°ΡΠ΅ ΡΡΠΎΠ³ΠΎ:
- ΠΠ°ΠΏΡΡΠΆΠ΅Π½ΠΈΠ΅ β ΡΡΠΎ ΡΠΈΠ»Π° Ρ ΠΊΠΎΡΠΎΡΠΎΠΉ Π²ΠΎΠ΄Π° Π΄Π°Π²ΠΈΡ Π½Π° Π΄Π½ΠΎ. Π’ΠΎ Π΅ΡΡΡ Π΄Π°Π²Π»Π΅Π½ΠΈΠ΅.
- ΠΡΠ»Π΅Π²ΠΎΠ΅ Π½Π°ΠΏΡΡΠΆΠ΅Π½ΠΈΠ΅ β ΡΡΠΎ Π΄Π½ΠΎ Π±Π°ΡΠ½ΠΈ.
Π‘ Π±Π°ΡΠ°ΡΠ΅Π΅ΠΉ Π²ΡΠ΅ Π°Π½Π°Π»ΠΎΠ³ΠΈΡΠ½ΠΎ.
ΠΠ΅ΡΠ²ΡΠΌ Π΄Π΅Π»ΠΎΠΌ ΠΏΠΎΠ΄ΠΊΠ»ΡΡΠ°Π΅ΠΌ ΠΈΡΡΠΎΡΠ½ΠΈΠΊ Ρ ΡΠ½Π΅ΡΠ³ΠΈΠ΅ΠΉ Π² ΡΠ΅ΠΏΡ. Π ΡΠΎΠΎΡΠ²Π΅ΡΡΡΠ²Π΅Π½Π½ΠΎ Π·Π°ΠΌΡΠΊΠ°Π΅ΠΌ Π΅Π΅. ΠΠ°ΠΏΡΠΈΠΌΠ΅Ρ, Π²ΡΡΠ°Π²Π»ΡΠ΅ΠΌ Π±Π°ΡΠ°ΡΠ΅Ρ Π² ΡΠΎΠ½Π°ΡΠΈΠΊ ΠΈ Π²ΠΊΠ»ΡΡΠ°Π΅ΠΌ Π΅Π³ΠΎ. ΠΠ·Π½Π°ΡΠ°Π»ΡΠ½ΠΎ Π·Π°ΠΌΠ΅ΡΠΈΠΌ, ΡΡΠΎ ΡΡΡΡΠΎΠΉΡΡΠ²ΠΎ Π³ΠΎΡΠΈΡ ΡΡΠΊΠΎ. Π§Π΅ΡΠ΅Π· Π½Π΅ΠΊΠΎΡΠΎΡΠΎΠ΅ Π²ΡΠ΅ΠΌΡ Π΅Π³ΠΎ ΡΡΠΊΠΎΡΡΡ Π·Π°ΠΌΠ΅ΡΠ½ΠΎ ΠΏΠΎΠ½ΠΈΠ·ΠΈΡΡΡ. Π’ΠΎ Π΅ΡΡΡ ΡΠ»Π΅ΠΊΡΡΠΎΠ΄Π²ΠΈΠΆΡΡΠ°Ρ ΡΠΈΠ»Π° ΡΠΌΠ΅Π½ΡΡΠΈΠ»Π°ΡΡ (Π²ΡΡΠ΅ΠΊΠ»Π° Π΅ΡΠ»ΠΈ ΡΡΠ°Π²Π½ΠΈΠ²Π°ΡΡ Ρ Π²ΠΎΠ΄ΠΎΠΉ Π² Π±Π°ΡΠ½Π΅).
ΠΡΠ»ΠΈ Π±ΡΠ°ΡΡ Π² ΠΏΡΠΈΠΌΠ΅Ρ Π²ΠΎΠ΄ΠΎΠ½Π°ΠΏΠΎΡΠ½ΡΡ Π±Π°ΡΠ½Ρ, ΡΠΎ ΠΠΠ‘ ΡΡΠΎ Π½Π°ΡΠΎΡ ΠΊΠ°ΡΠ°ΡΡΠΈΠ΅ Π²ΠΎΠ΄Ρ Π² Π±Π°ΡΠ½Ρ ΠΏΠΎΡΡΠΎΡΠ½Π½ΠΎ.
Π ΠΎΠ½Π° ΡΠ°ΠΌ Π½ΠΈΠΊΠΎΠ³Π΄Π° Π½Π΅ Π·Π°ΠΊΠ°Π½ΡΠΈΠ²Π°Π΅ΡΡΡ.
ΠΠ»Π΅ΠΊΡΡΠΎΠ΄Π²ΠΈΠΆΡΡΡΡ ΡΠΈΠ»Ρ Π±Π°ΡΠ°ΡΠ΅ΠΉΠΊΠΈ ΠΌΠΎΠΆΠ½ΠΎ Π²ΡΡΠΈΡΠ»ΠΈΡΡ Π΄Π²ΡΠΌΡ ΡΠΏΠΎΡΠΎΠ±Π°ΠΌΠΈ:
- ΠΡΠΏΠΎΠ»Π½ΠΈΡΡ ΡΠ°ΡΡΠ΅Ρ Ρ ΠΏΡΠΈΠΌΠ΅Π½Π΅Π½ΠΈΠ΅ΠΌ ΡΡΠ°Π²Π½Π΅Π½ΠΈΡ ΠΠ΅ΡΠ½ΡΡΠ°. ΠΡΠΆΠ½ΠΎ Π±ΡΠ΄Π΅Ρ ΡΠ°ΡΡΡΠΈΡΠ°ΡΡ ΡΠ»Π΅ΠΊΡΡΠΎΠ΄Π½ΡΠ΅ ΠΏΠΎΡΠ΅Π½ΡΠΈΠ°Π»Ρ ΠΊΠ°ΠΆΠ΄ΠΎΠ³ΠΎ ΡΠ»Π΅ΠΊΡΡΠΎΠ΄Π°, Π²Ρ ΠΎΠ΄ΡΡΠ΅Π³ΠΎ Π² ΠΠ. ΠΠ°ΡΠ΅ΠΌ Π²ΡΡΠΈΡΠ»ΠΈΡΡ ΠΠΠ‘ ΠΏΠΎ ΡΠΎΡΠΌΡΠ»Π΅ .
- ΠΠΎΡΡΠΈΡΠ°ΡΡ ΠΠΠ‘ ΡΠΎΡΠΌΡΠ»Π΅ ΠΠ΅ΡΠ½ΡΡΠ° Π΄Π»Ρ ΡΡΠΌΠΌΠ°ΡΠ½ΠΎΠΉ ΡΠΎΠΊ ΠΎΠ±ΡΠ°Π·ΡΡΡΠ΅ΠΉ ΡΠ΅Π°ΠΊΡΠΈΠΈ, ΠΏΡΠΎΡΠ΅ΠΊΠ°ΡΡΠ΅ΠΉ ΠΏΡΠΈ ΡΠ°Π±ΠΎΡΠ΅ ΠΠ.
Π’Π°ΠΊΠΈΠΌ ΠΎΠ±ΡΠ°Π·ΠΎΠΌ Π²ΠΎΠΎΡΡΠΆΠΈΠ²ΡΠΈΡΡ Π΄Π°Π½Π½ΡΠΌΠΈ ΡΠΎΡΠΌΡΠ»Π°ΠΌΠΈ ΡΠ°ΡΡΡΠΈΡΠ°ΡΡ ΡΠ»Π΅ΠΊΡΡΠΎΠ΄Π²ΠΈΠΆΡΡΡΡ ΡΠΈΠ»Ρ Π±Π°ΡΠ°ΡΠ΅ΠΉΠΊΠΈ Π±ΡΠ΄Π΅Ρ ΠΏΡΠΎΡΠ΅.
ΠΠ΄Π΅ ΠΈΡΠΏΠΎΠ»ΡΠ·ΡΡΡΡΡ ΡΠ°Π·Π½ΡΠ΅ Π²ΠΈΠ΄Ρ ΠΠΠ‘?- ΠΡΠ΅Π·ΠΎΡΠ»Π΅ΠΊΡΡΠΈΡΠ΅ΡΠΊΠ°Ρ ΠΏΡΠΈΠΌΠ΅Π½ΡΠ΅ΡΡΡ ΠΏΡΠΈ ΡΠ°ΡΡΡΠΆΠ΅Π½ΠΈΠΈ ΠΈΠ»ΠΈ ΡΠΆΠ°ΡΠΈΠΈ ΠΌΠ°ΡΠ΅ΡΠΈΠ°Π»Π°. Π‘ ΠΏΠΎΠΌΠΎΡΡΡ Π½Π΅Π΅ ΠΈΠ·Π³ΠΎΡΠ°Π²Π»ΠΈΠ²Π°ΡΡ ΠΊΠ²Π°ΡΡΠ΅Π²ΡΠ΅ Π³Π΅Π½Π΅ΡΠ°ΡΠΎΡΡ ΡΠ½Π΅ΡΠ³ΠΈΠΈ ΠΈ ΡΠ°Π·Π½ΡΠ΅ Π΄Π°ΡΡΠΈΠΊΠΈ.
- Π₯ΠΈΠΌΠΈΡΠ΅ΡΠΊΠ°Ρ ΠΈΡΠΏΠΎΠ»ΡΠ·ΡΠ΅ΡΡΡ Π² Π³Π°Π»ΡΠ²Π°Π½ΠΈΡΠ΅ΡΠΊΠΈΡ ΡΠ»Π΅ΠΌΠ΅Π½ΡΠ°Ρ Β ΠΈ Π°ΠΊΠΊΡΠΌΡΠ»ΡΡΠΎΡΠ°Ρ .
- ΠΠ½Π΄ΡΠΊΡΠΈΠΎΠ½Π½Π°Ρ ΠΏΠΎΡΠ²Π»ΡΠ΅ΡΡΡ Π² ΠΌΠΎΠΌΠ΅Π½Ρ ΠΏΠ΅ΡΠ΅ΡΠ΅ΡΠ΅Π½ΠΈΡ ΠΏΡΠΎΠ²ΠΎΠ΄Π½ΠΈΠΊΠΎΠΌ ΠΌΠ°Π³Π½ΠΈΡΠ½ΠΎΠ³ΠΎ ΠΏΠΎΠ»Ρ.
ΠΠ΅ ΡΠ²ΠΎΠΉΡΡΠ²Π° ΠΏΡΠΈΠΌΠ΅Π½ΡΡΡ Π² ΡΡΠ°Π½ΡΡΠΎΡΠΌΠ°ΡΠΎΡΠ°Ρ , ΡΠ»Π΅ΠΊΡΡΠΈΡΠ΅ΡΠΊΠΈΡ Π΄Π²ΠΈΠ³Π°ΡΠ΅Π»ΡΡ , Π³Π΅Π½Π΅ΡΠ°ΡΠΎΡΠ°Ρ .

- Π’Π΅ΡΠΌΠΎΡΠ»Π΅ΠΊΡΡΠΈΡΠ΅ΡΠΊΠ°Ρ ΠΎΠ±ΡΠ°Π·ΡΠ΅ΡΡΡ Π² ΠΌΠΎΠΌΠ΅Π½Ρ Π½Π°Π³ΡΠ΅Π²Π° ΠΊΠΎΠ½ΡΠ°ΠΊΡΠΎΠ² ΡΠ°Π·Π½ΠΎΡΠΈΠΏΠ½ΡΡ ΠΌΠ΅ΡΠ°Π»Π»ΠΎΠ². Π‘Π²ΠΎΠ΅ ΠΏΡΠΈΠΌΠ΅Π½Π΅Π½ΠΈΠ΅ ΠΎΠ½Π° Π½Π°ΡΠ»Π° Π² Ρ ΠΎΠ»ΠΎΠ΄ΠΈΠ»ΡΠ½ΡΡ ΡΡΡΠ°Π½ΠΎΠ²ΠΊΠ°Ρ ΠΈ ΡΠ΅ΡΠΌΠΎΠΏΠ°ΡΠ°Ρ .
- Π€ΠΎΡΠΎ ΡΠ»Π΅ΠΊΡΡΠΈΡΠ΅ΡΠΊΠ°Ρ ΠΈΡΠΏΠΎΠ»ΡΠ·ΡΠ΅ΡΡΡ Π΄Π»Ρ ΠΏΡΠΎΠ΄ΡΡΠΈΡΠΎΠ²Π°Π½ΠΈΡ ΡΠΎΡΠΎΡΠ»Π΅ΠΌΠ΅Π½ΡΠΎΠ².
Batareykaa.ru
ΠΡΡΠΎΡΠ½ΠΈΠΊ: https://batareykaa.ru/eds-formula-i-ee-raschety/
ΠΠΠ‘: ΠΎΠΏΡΠ΅Π΄Π΅Π»Π΅Π½ΠΈΠ΅ ΠΈ ΡΠΎΡΠΌΡΠ»Π°, Π² ΡΡΠΌ ΠΈΠ·ΠΌΠ΅ΡΡΠ΅ΡΡΡ, ΡΠ°Π±ΠΎΡΠ° ΠΈΡΡΠΎΡΠ½ΠΈΠΊΠ° ΡΠ»Π΅ΠΊΡΡΠΎΠ΄Π²ΠΈΠΆΡΡΠ΅ΠΉ ΡΠΈΠ»Ρ
ΠΡ ΡΠ»Π΅ΠΊΡΡΠΎΡΡΠ°ΡΠΈΠΊΠΈ ΠΊ ΡΠ»Π΅ΠΊΡΡΠΎΠΊΠΈΠ½Π΅ΡΠΈΠΊΠ΅
ΠΠ΅ΠΆΠ΄Ρ ΠΊΠΎΠ½ΡΠΎΠΌ XVIII ΠΈ Π½Π°ΡΠ°Π»ΠΎΠΌ XIX Π²Π΅ΠΊΠ° ΡΠ°Π±ΠΎΡΡ ΡΠ°ΠΊΠΈΡ ΡΡΡΠ½ΡΡ , ΠΊΠ°ΠΊ ΠΡΠ»ΠΎΠ½, ΠΠ°Π³ΡΠ°Π½ΠΆ ΠΈ ΠΡΠ°ΡΡΠΎΠ½, Π·Π°Π»ΠΎΠΆΠΈΠ»ΠΈ ΠΌΠ°ΡΠ΅ΠΌΠ°ΡΠΈΡΠ΅ΡΠΊΠΈΠ΅ ΠΎΡΠ½ΠΎΠ²Ρ ΠΎΠΏΡΠ΅Π΄Π΅Π»Π΅Π½ΠΈΡ ΡΠ»Π΅ΠΊΡΡΠΎΡΡΠ°ΡΠΈΡΠ΅ΡΠΊΠΈΡ Π²Π΅Π»ΠΈΡΠΈΠ½. ΠΡΠΎΠ³ΡΠ΅ΡΡ Π² ΠΏΠΎΠ½ΠΈΠΌΠ°Π½ΠΈΠΈ ΡΠ»Π΅ΠΊΡΡΠΈΡΠ΅ΡΡΠ²Π° Π½Π° ΡΡΠΎΠΌ ΠΈΡΡΠΎΡΠΈΡΠ΅ΡΠΊΠΎΠΌ ΡΡΠ°ΠΏΠ΅ ΠΎΡΠ΅Π²ΠΈΠ΄Π΅Π½. Π€ΡΠ°Π½ΠΊΠ»ΠΈΠ½ ΡΠΆΠ΅ Π²Π²ΡΠ» ΠΏΠΎΠ½ΡΡΠΈΠ΅ Β«ΠΊΠΎΠ»ΠΈΡΠ΅ΡΡΠ²ΠΎ ΡΠ»Π΅ΠΊΡΡΠΈΡΠ΅ΡΠΊΠΎΠΉ ΡΡΠ±ΡΡΠ°Π½ΡΠΈΠΈΒ», Π½ΠΎ ΠΏΠΎΠΊΠ° Π΅ΡΡ ΠΈ ΠΎΠ½, Π½ΠΈ Π΅Π³ΠΎ ΠΏΡΠ΅Π΅ΠΌΠ½ΠΈΠΊΠΈ Π½Π΅ ΡΠΌΠΎΠ³Π»ΠΈ Π΅Π³ΠΎ ΠΈΠ·ΠΌΠ΅ΡΠΈΡΡ.
Π‘Π»Π΅Π΄ΡΡ Π·Π° ΡΠΊΡΠΏΠ΅ΡΠΈΠΌΠ΅Π½ΡΠ°ΠΌΠΈ ΠΠ°Π»ΡΠ²Π°Π½ΠΈ, ΠΠΎΠ»ΡΡΠ° ΠΏΡΡΠ°Π»ΡΡ Π½Π°ΠΉΡΠΈ ΠΏΠΎΠ΄ΡΠ²Π΅ΡΠΆΠ΄Π΅Π½ΠΈΡ ΡΠΎΠ³ΠΎ, ΡΡΠΎ Β«Π³Π°Π»ΡΠ²Π°Π½ΠΈΡΠ΅ΡΠΊΠΈΠ΅ ΠΆΠΈΠ΄ΠΊΠΎΡΡΠΈΒ» ΠΆΠΈΠ²ΠΎΡΠ½ΠΎΠ³ΠΎ Π±ΡΠ»ΠΈ ΠΎΠ΄Π½ΠΎΠΉ ΠΏΡΠΈΡΠΎΠ΄Ρ ΡΠΎ ΡΡΠ°ΡΠΈΡΠ΅ΡΠΊΠΈΠΌ ΡΠ»Π΅ΠΊΡΡΠΈΡΠ΅ΡΡΠ²ΠΎΠΌ.
Π ΠΏΠΎΠΈΡΠΊΠ°Ρ ΠΈΡΡΠΈΠ½Ρ ΠΎΠ½ ΠΎΠ±Π½Π°ΡΡΠΆΠΈΠ», ΡΡΠΎ ΠΊΠΎΠ³Π΄Π° Π΄Π²Π° ΡΠ»Π΅ΠΊΡΡΠΎΠ΄Π° ΠΈΠ· ΡΠ°Π·Π½ΡΡ ΠΌΠ΅ΡΠ°Π»Π»ΠΎΠ² ΠΊΠΎΠ½ΡΠ°ΠΊΡΠΈΡΡΡΡ ΡΠ΅ΡΠ΅Π· ΡΠ»Π΅ΠΊΡΡΠΎΠ»ΠΈΡ, ΠΎΠ±Π° Π·Π°ΡΡΠΆΠ°ΡΡΡΡ ΠΈ ΠΎΡΡΠ°ΡΡΡΡ Π·Π°ΡΡΠΆΠ΅Π½Π½ΡΠΌΠΈ Π½Π΅ΡΠΌΠΎΡΡΡ Π½Π° Π·Π°ΠΌΡΠΊΠ°Π½ΠΈΠ΅ ΠΊΠΎΠ½ΡΡΡΠ° Π½Π°Π³ΡΡΠ·ΠΊΠΎΠΉ.
ΠΡΠΎ ΡΠ²Π»Π΅Π½ΠΈΠ΅ Π½Π΅ ΡΠΎΠΎΡΠ²Π΅ΡΡΡΠ²ΠΎΠ²Π°Π»ΠΎ ΡΡΡΠ΅ΡΡΠ²ΡΡΡΠΈΠΌ ΠΏΡΠ΅Π΄ΡΡΠ°Π²Π»Π΅Π½ΠΈΡΠΌ ΠΎΠ± ΡΠ»Π΅ΠΊΡΡΠΈΡΠ΅ΡΡΠ²Π΅ ΠΏΠΎΡΠΎΠΌΡ, ΡΡΠΎ ΡΠ»Π΅ΠΊΡΡΠΎΡΡΠ°ΡΠΈΡΠ΅ΡΠΊΠΈΠ΅ Π·Π°ΡΡΠ΄Ρ Π² ΠΏΠΎΠ΄ΠΎΠ±Π½ΠΎΠΌ ΡΠ»ΡΡΠ°Π΅ Π΄ΠΎΠ»ΠΆΠ½Ρ Π±ΡΠ»ΠΈ ΡΠ΅ΠΊΠΎΠΌΠ±ΠΈΠ½ΠΈΡΠΎΠ²Π°ΡΡ.
ΠΠΎΠ»ΡΡΠ° Π²Π²ΡΠ» Π½ΠΎΠ²ΠΎΠ΅ ΠΎΠΏΡΠ΅Π΄Π΅Π»Π΅Π½ΠΈΠ΅ ΡΠΈΠ»Ρ, Π΄Π΅ΠΉΡΡΠ²ΡΡΡΠ΅ΠΉ Π² Π½Π°ΠΏΡΠ°Π²Π»Π΅Π½ΠΈΠΈ ΡΠ°Π·Π΄Π΅Π»Π΅Π½ΠΈΡ Π·Π°ΡΡΠ΄ΠΎΠ² ΠΈ ΠΏΠΎΠ΄Π΄Π΅ΡΠΆΠ°Π½ΠΈΠΈ ΠΈΡ Π² ΡΠ°ΠΊΠΎΠΌ ΡΠΎΡΡΠΎΡΠ½ΠΈΠΈ. ΠΠ½ Π½Π°Π·Π²Π°Π» Π΅Ρ ΡΠ»Π΅ΠΊΡΡΠΎΠ΄Π²ΠΈΠΆΡΡΠ΅ΠΉ. ΠΠΎΠ΄ΠΎΠ±Π½ΠΎΠ΅ ΠΎΠ±ΡΡΡΠ½Π΅Π½ΠΈΠ΅ ΠΎΠΏΠΈΡΠ°Π½ΠΈΡ ΡΠ°Π±ΠΎΡΡ Π±Π°ΡΠ°ΡΠ΅ΠΈ Π½Π΅ Π²ΠΏΠΈΡΡΠ²Π°Π»ΠΎΡΡ Π² ΡΠ΅ΠΎΡΠ΅ΡΠΈΡΠ΅ΡΠΊΠΈΠ΅ ΠΎΡΠ½ΠΎΠ²Ρ ΡΠΈΠ·ΠΈΠΊΠΈ ΡΠΎΠ³ΠΎ Π²ΡΠ΅ΠΌΠ΅Π½ΠΈ. Π ΠΡΠ»ΠΎΠ½ΠΎΠ²ΡΠΊΠΎΠΉ ΠΏΠ°ΡΠ°Π΄ΠΈΠ³ΠΌΠ΅ ΠΏΠ΅ΡΠ²ΠΎΠΉ ΡΡΠ΅ΡΠΈ XIX Π²Π΅ΠΊΠ° Ρ. Π΄. Ρ. ΠΠΎΠ»ΡΡΠ° ΠΎΠΏΡΠ΅Π΄Π΅Π»ΡΠ»Π°ΡΡ ΡΠΏΠΎΡΠΎΠ±Π½ΠΎΡΡΡΡ ΠΎΠ΄Π½ΠΈΡ ΡΠ΅Π» Π²ΡΡΠ°Π±Π°ΡΡΠ²Π°ΡΡ ΡΠ»Π΅ΠΊΡΡΠΈΡΠ΅ΡΡΠ²ΠΎ Π² Π΄ΡΡΠ³ΠΈΡ .
ΠΠ°ΠΆΠ½Π΅ΠΉΡΠΈΠΉ Π²ΠΊΠ»Π°Π΄ Π² ΠΎΠ±ΡΡΡΠ½Π΅Π½ΠΈΠ΅ ΡΠ°Π±ΠΎΡΡ ΡΠ»Π΅ΠΊΡΡΠΈΡΠ΅ΡΠΊΠΈΡ ΡΠ΅ΠΏΠ΅ΠΉ Π²Π½ΡΡ ΠΠΌ. Π Π΅Π·ΡΠ»ΡΡΠ°ΡΡ ΡΡΠ΄Π° ΡΠΊΡΠΏΠ΅ΡΠΈΠΌΠ΅Π½ΡΠΎΠ² ΠΏΡΠΈΠ²Π΅Π»ΠΈ Π΅Π³ΠΎ ΠΊ ΠΏΠΎΡΡΡΠΎΠ΅Π½ΠΈΡ ΡΠ΅ΠΎΡΠΈΠΈ ΡΠ»Π΅ΠΊΡΡΠΎΠΏΡΠΎΠ²ΠΎΠ΄Π½ΠΎΡΡΠΈ. ΠΠ½ Π²Π²ΡΠ» Π²Π΅Π»ΠΈΡΠΈΠ½Ρ Β«Π½Π°ΠΏΡΡΠΆΠ΅Π½ΠΈΠ΅Β» ΠΈ ΠΎΠΏΡΠ΅Π΄Π΅Π»ΠΈΠ» Π΅Ρ ΠΊΠ°ΠΊ ΡΠ°Π·Π½ΠΎΡΡΡ ΠΏΠΎΡΠ΅Π½ΡΠΈΠ°Π»ΠΎΠ² Π½Π° ΠΊΠΎΠ½ΡΠ°ΠΊΡΠ°Ρ .
ΠΠΎΠ΄ΠΎΠ±Π½ΠΎ Π€ΡΡΡΠ΅, ΠΊΠΎΡΠΎΡΡΠΉ Π² ΡΠ²ΠΎΠ΅ΠΉ ΡΠ΅ΠΎΡΠΈΠΈ ΡΠ°Π·Π»ΠΈΡΠ°Π» ΠΊΠΎΠ»ΠΈΡΠ΅ΡΡΠ²ΠΎ ΡΠ΅ΠΏΠ»Π° ΠΈ ΡΠ΅ΠΌΠΏΠ΅ΡΠ°ΡΡΡΡ Π² ΡΠ΅ΠΏΠ»ΠΎΠΏΠ΅ΡΠ΅Π΄Π°ΡΠ΅, ΠΠΌ ΡΠΎΠ·Π΄Π°Π» ΠΌΠΎΠ΄Π΅Π»Ρ ΠΏΠΎ Π°Π½Π°Π»ΠΎΠ³ΠΈΠΈ, ΡΠ²ΡΠ·ΡΠ²Π°ΡΡΡΡ ΠΊΠΎΠ»ΠΈΡΠ΅ΡΡΠ²ΠΎ ΠΏΠ΅ΡΠ΅ΠΌΠ΅ΡΠ°Π΅ΠΌΠΎΠ³ΠΎ Π·Π°ΡΡΠ΄Π°, Π½Π°ΠΏΡΡΠΆΠ΅Π½ΠΈΠ΅ ΠΈ ΡΠ»Π΅ΠΊΡΡΠΎΠΏΡΠΎΠ²ΠΎΠ΄Π½ΠΎΡΡΡ.
ΠΠ°ΠΊΠΎΠ½ ΠΠΌΠ° Π½Π΅ ΠΏΡΠΎΡΠΈΠ²ΠΎΡΠ΅ΡΠΈΠ» Π½Π°ΠΊΠΎΠΏΠ»Π΅Π½Π½ΡΠΌ Π·Π½Π°Π½ΠΈΡΠΌ ΠΎΠ± ΡΠ»Π΅ΠΊΡΡΠΎΡΡΠ°ΡΠΈΡΠ΅ΡΠΊΠΎΠΌ ΡΠ»Π΅ΠΊΡΡΠΈΡΠ΅ΡΡΠ²Π΅.
ΠΠ°ΡΠ΅ΠΌ, Π±Π»Π°Π³ΠΎΠ΄Π°ΡΡ ΠΠ°ΠΊΡΠ²Π΅Π»Π»Ρ ΠΈ Π€Π°ΡΠ°Π΄Π΅Ρ, ΠΏΠΎΡΡΠ½ΠΈΡΠ΅Π»ΡΠ½ΡΠ΅ ΠΌΠΎΠ΄Π΅Π»ΠΈ ΡΠΎΠΊΠ° ΠΏΠΎΠ»ΡΡΠΈΠ»ΠΈ Π½ΠΎΠ²ΡΡ ΡΠ΅ΠΎΡΠΈΡ ΠΏΠΎΠ»Ρ. ΠΡΠΎ ΠΏΠΎΠ·Π²ΠΎΠ»ΠΈΠ»ΠΎ ΡΠ°Π·ΡΠ°Π±ΠΎΡΠ°ΡΡ ΡΠ²ΡΠ·Π°Π½Π½ΡΡ Ρ ΠΏΠΎΠ»Π΅ΠΌ ΠΊΠΎΠ½ΡΠ΅ΠΏΡΠΈΡ ΡΠ½Π΅ΡΠ³ΠΈΠΈ ΠΊΠ°ΠΊ Π΄Π»Ρ ΡΡΠ°ΡΠΈΡΠ΅ΡΠΊΠΈΡ ΠΏΠΎΡΠ΅Π½ΡΠΈΠ°Π»ΠΎΠ², ΡΠ°ΠΊ ΠΈ Π΄Π»Ρ ΡΠ»Π΅ΠΊΡΡΠΎΠ΄Π²ΠΈΠΆΡΡΠ΅ΠΉ ΡΠΈΠ»Ρ. ΠΡΠ½ΠΎΠ²Π½ΡΠ΅ Π΄Π°ΡΡ ΡΠ²ΠΎΠ»ΡΡΠΈΠΈ ΠΏΠΎΠ½ΡΡΠΈΡ ΠΠΠ‘:
- 1800 Π³. β ΡΠΎΠ·Π΄Π°Π½ΠΈΠ΅ ΠΠΎΠ»ΡΡΠΎΠΉ Π³Π°Π»ΡΠ²Π°Π½ΠΈΡΠ΅ΡΠΊΠΎΠΉ Π±Π°ΡΠ°ΡΠ΅ΠΈ;
- 1826 Π³. β ΠΠΌ ΡΠΎΡΠΌΡΠ»ΠΈΡΡΠ΅Ρ ΡΠ²ΠΎΠΉ Π·Π°ΠΊΠΎΠ½ Π΄Π»Ρ ΠΏΠΎΠ»Π½ΠΎΠΉ ΡΠ΅ΠΏΠΈ;
- 1831 Π³. β ΠΎΠ±Π½Π°ΡΡΠΆΠ΅Π½ΠΈΠ΅ ΡΠ»Π΅ΠΊΡΡΠΎΠΌΠ°Π³Π½ΠΈΡΠ½ΠΎΠΉ ΠΈΠ½Π΄ΡΠΊΡΠΈΠΈ Π€Π°ΡΠ°Π΄Π΅Π΅ΠΌ.
ΠΠΏΡΠ΅Π΄Π΅Π»Π΅Π½ΠΈΠ΅ ΠΈ ΡΠΈΠ·ΠΈΡΠ΅ΡΠΊΠΈΠΉ ΡΠΌΡΡΠ»
Π ΠΊΠ°ΡΠ΅ΡΡΠ²Π΅ ΠΈΠ»Π»ΡΡΡΡΠ°ΡΠΈΠΈ ΠΈΡ
ΡΠ°Π±ΠΎΡΡ ΡΠ΄ΠΎΠ±Π½ΠΎ ΡΠ°ΡΡΠΌΠ°ΡΡΠΈΠ²Π°ΡΡ Π·Π°ΠΌΠΊΠ½ΡΡΡΠΉ ΠΊΠΎΠ½ΡΡΡ ΠΈΠ· ΡΠΎΠΏΡΠΎΡΠΈΠ²Π»Π΅Π½ΠΈΡ ΠΈ Π³Π°Π»ΡΠ²Π°Π½ΠΈΡΠ΅ΡΠΊΠΎΠ³ΠΎ ΠΈΡΡΠΎΡΠ½ΠΈΠΊΠ° ΠΏΠΈΡΠ°Π½ΠΈΡ (Π±Π°ΡΠ°ΡΠ΅ΠΈ). ΠΡΠ»ΠΈ ΠΏΡΠ΅Π΄ΠΏΠΎΠ»ΠΎΠΆΠΈΡΡ, ΡΡΠΎ Π²Π½ΡΡΡΠΈ Π±Π°ΡΠ°ΡΠ΅ΠΈ ΡΠΎΠΊΠ° Π½Π΅Ρ, ΡΠΎ ΠΎΠΏΠΈΡΠ°Π½Π½Π°Ρ ΠΏΡΠΎΠ±Π»Π΅ΠΌΠ° ΠΎΠ±ΡΠ΅Π΄ΠΈΠ½Π΅Π½ΠΈΡ Π·Π°ΡΡΠ΄ΠΎΠ² ΠΎΡΡΠ°ΡΡΡΡ Π½Π΅ΡΠ°Π·ΡΠ΅ΡΡΠ½Π½ΠΎΠΉ. ΠΠΎ Π² ΡΠ΅ΠΏΠΈ Ρ ΡΠ΅Π°Π»ΡΠ½ΡΠΌ ΠΈΡΡΠΎΡΠ½ΠΈΠΊΠΎΠΌ ΠΏΠΈΡΠ°Π½ΠΈΡ ΡΠ»Π΅ΠΊΡΡΠΎΠ½Ρ ΠΏΠ΅ΡΠ΅ΠΌΠ΅ΡΠ°ΡΡΡΡ ΠΏΠΎΡΡΠΎΡΠ½Π½ΠΎ. ΠΡΠΎ ΠΏΡΠΎΠΈΡΡ
ΠΎΠ΄ΠΈΡ Π±Π»Π°Π³ΠΎΠ΄Π°ΡΡ ΡΠΎΠΌΡ, ΡΡΠΎ ΠΏΠΎΡΠΎΠΊ ΠΈΠΎΠ½ΠΎΠ² ΠΏΡΠΎΡΠ΅ΠΊΠ°Π΅Ρ ΠΈ Π²Π½ΡΡΡΠΈ Π±Π°ΡΠ°ΡΠ΅ΠΈ ΠΎΡ ΠΎΡΡΠΈΡΠ°ΡΠ΅Π»ΡΠ½ΠΎΠ³ΠΎ ΡΠ»Π΅ΠΊΡΡΠΎΠ΄Π° ΠΊ ΠΏΠΎΠ»ΠΎΠΆΠΈΡΠ΅Π»ΡΠ½ΠΎΠΌΡ.
ΠΡΡΠΎΡΠ½ΠΈΠΊ ΡΠ½Π΅ΡΠ³ΠΈΠΈ, ΠΏΠ΅ΡΠ΅ΠΌΠ΅ΡΠ°ΡΡΠΈΠΉ ΡΡΠΈ Π·Π°ΡΡΠ΄Ρ Π² Π±Π°ΡΠ°ΡΠ΅Π΅ β Ρ
ΠΈΠΌΠΈΡΠ΅ΡΠΊΠΈΠ΅ ΡΠ΅Π°ΠΊΡΠΈΠΈ. Π’Π°ΠΊΠ°Ρ ΡΠ½Π΅ΡΠ³ΠΈΡ Π½Π°Π·ΡΠ²Π°Π΅ΡΡΡ ΡΠ»Π΅ΠΊΡΡΠΎΠ΄Π²ΠΈΠΆΡΡΠ΅ΠΉ ΡΠΈΠ»ΠΎΠΉ.
ΠΠΠ‘ ΡΠ²Π»ΡΠ΅ΡΡΡ Ρ Π°ΡΠ°ΠΊΡΠ΅ΡΠΈΡΡΠΈΠΊΠΎΠΉ Π»ΡΠ±ΠΎΠ³ΠΎ ΠΈΡΡΠΎΡΠ½ΠΈΠΊΠ° ΡΠ½Π΅ΡΠ³ΠΈΠΈ, ΡΠΏΠΎΡΠΎΠ±Π½ΠΎΠ³ΠΎ ΡΠΏΡΠ°Π²Π»ΡΡΡ Π΄Π²ΠΈΠΆΠ΅Π½ΠΈΠ΅ΠΌ ΡΠ»Π΅ΠΊΡΡΠΈΡΠ΅ΡΠΊΠΈΡ Π·Π°ΡΡΠ΄ΠΎΠ² Π² ΡΠ΅ΠΏΠΈ. Π Π°Π½Π°Π»ΠΎΠ³ΠΈΠΈ Ρ Π·Π°ΠΌΠΊΠ½ΡΡΡΠΌ Π³ΠΈΠ΄ΡΠ°Π²Π»ΠΈΡΠ΅ΡΠΊΠΈΠΌ ΠΊΠΎΠ½ΡΡΡΠΎΠΌ ΡΠ°Π±ΠΎΡΠ° ΠΈΡΡΠΎΡΠ½ΠΈΠΊΠ° Ρ. Π΄. Ρ. ΡΠΎΠΎΡΠ²Π΅ΡΡΡΠ²ΡΠ΅Ρ ΡΠ°Π±ΠΎΡΠ΅ Π½Π°ΡΠΎΡΠ° Π΄Π»Ρ ΡΠΎΠ·Π΄Π°Π½ΠΈΡ Π΄Π°Π²Π»Π΅Π½ΠΈΡ Π²ΠΎΠ΄Ρ. ΠΠΎΡΡΠΎΠΌΡ Π·Π½Π°ΡΠΎΠΊ, ΠΎΠ±ΠΎΠ·Π½Π°ΡΠ°ΡΡΠΈΠΉ ΡΡΠΈ ΡΡΡΡΠΎΠΉΡΡΠ²Π°, Π½Π΅ΠΎΡΠ»ΠΈΡΠΈΠΌ Π½Π° Π³ΠΈΠ΄ΡΠ°Π²Π»ΠΈΡΠ΅ΡΠΊΠΈΡ ΠΈ ΡΠ»Π΅ΠΊΡΡΠΈΡΠ΅ΡΠΊΠΈΡ ΡΡ Π΅ΠΌΠ°Ρ .
ΠΠ΅ΡΠΌΠΎΡΡΡ Π½Π° Π½Π°Π·Π²Π°Π½ΠΈΠ΅, ΡΠ»Π΅ΠΊΡΡΠΎΠ΄Π²ΠΈΠΆΡΡΠ°Ρ ΡΠΈΠ»Π° Π½Π° ΡΠ°ΠΌΠΎΠΌ Π΄Π΅Π»Π΅ Π½Π΅ ΡΠ²Π»ΡΠ΅ΡΡΡ ΡΠΈΠ»ΠΎΠΉ ΠΈ ΠΈΠ·ΠΌΠ΅ΡΡΠ΅ΡΡΡ Π² Π²ΠΎΠ»ΡΡΠ°Ρ . ΠΡ ΡΠΈΡΠ»Π΅Π½Π½ΠΎΠ΅ Π·Π½Π°ΡΠ΅Π½ΠΈΠ΅ ΡΠ°Π²Π½ΠΎ ΡΠ°Π±ΠΎΡΠ΅ ΠΏΠΎ ΠΏΠ΅ΡΠ΅ΠΌΠ΅ΡΠ΅Π½ΠΈΡ Π·Π°ΡΡΠ΄Π° ΠΏΠΎ Π·Π°ΠΌΠΊΠ½ΡΡΠΎΠΉ ΡΠ΅ΠΏΠΈ. ΠΠΠ‘ ΠΈΡΡΠΎΡΠ½ΠΈΠΊΠ° Π²ΡΡΠ°ΠΆΠ°Π΅ΡΡΡ ΡΠΎΡΠΌΡΠ»ΠΎΠΉ E=A/q, Π² ΠΊΠΎΡΠΎΡΠΎΠΉ:
- E β ΡΠ»Π΅ΠΊΡΡΠΎΠ΄Π²ΠΈΠΆΡΡΠ°Ρ ΡΠΈΠ»Π° Π² Π²ΠΎΠ»ΡΡΠ°Ρ ;
- A β ΡΠ°Π±ΠΎΡΠ° ΡΡΠΎΡΠΎΠ½Π½ΠΈΡ ΡΠΈΠ» ΠΏΠΎ ΠΏΠ΅ΡΠ΅ΠΌΠ΅ΡΠ΅Π½ΠΈΡ Π·Π°ΡΡΠ΄Π° Π² Π΄ΠΆΠΎΡΠ»ΡΡ ;
- q β ΠΏΠ΅ΡΠ΅ΠΌΠ΅ΡΡΠ½Π½ΡΠΉ Π·Π°ΡΡΠ΄ Π² ΠΊΡΠ»ΠΎΠ½Π°Ρ .
ΠΠ· ΡΡΠΎΠΉ ΡΠΎΡΠΌΡΠ»Ρ ΠΠΠ‘ ΡΠ»Π΅Π΄ΡΠ΅Ρ, ΡΡΠΎ ΡΠ»Π΅ΠΊΡΡΠΎΠ΄Π²ΠΈΠΆΡΡΠ°Ρ ΡΠΈΠ»Π° Π½Π΅ ΡΠ²Π»ΡΠ΅ΡΡΡ ΡΠ²ΠΎΠΉΡΡΠ²ΠΎΠΌ ΡΠ΅ΠΏΠΈ ΠΈΠ»ΠΈ Π½Π°Π³ΡΡΠ·ΠΊΠΈ, Π° Π΅ΡΡΡ ΡΠΏΠΎΡΠΎΠ±Π½ΠΎΡΡΡ Π³Π΅Π½Π΅ΡΠ°ΡΠΎΡΠ° ΡΠ»Π΅ΠΊΡΡΠΎΡΠ½Π΅ΡΠ³ΠΈΠΈ ΠΊ ΡΠ°Π·Π΄Π΅Π»Π΅Π½ΠΈΡ Π·Π°ΡΡΠ΄ΠΎΠ².![]()
Π‘ΡΠ°Π²Π½Π΅Π½ΠΈΠ΅ Ρ ΡΠ°Π·Π½ΠΎΡΡΡΡ ΠΏΠΎΡΠ΅Π½ΡΠΈΠ°Π»ΠΎΠ²
ΠΠ»Π΅ΠΊΡΡΠΎΠ΄Π²ΠΈΠΆΡΡΠ°Ρ ΡΠΈΠ»Π° ΠΈ ΡΠ°Π·Π½ΠΎΡΡΡ ΠΏΠΎΡΠ΅Π½ΡΠΈΠ°Π»ΠΎΠ² Π² ΡΠ΅ΠΏΠΈ ΠΎΡΠ΅Π½Ρ ΠΏΠΎΡ ΠΎΠΆΠΈΠ΅ ΡΠΈΠ·ΠΈΡΠ΅ΡΠΊΠΈΠ΅ Π²Π΅Π»ΠΈΡΠΈΠ½Ρ, ΡΠ°ΠΊ ΠΊΠ°ΠΊ ΠΎΠ±Π° ΠΈΠ·ΠΌΠ΅ΡΡΡΡΡΡ Π² Π²ΠΎΠ»ΡΡΠ°Ρ ΠΈ ΠΎΠΏΡΠ΅Π΄Π΅Π»ΡΡΡΡΡ ΡΠ°Π±ΠΎΡΠΎΠΉ ΠΏΠΎ ΠΏΠ΅ΡΠ΅ΠΌΠ΅ΡΠ΅Π½ΠΈΡ Π·Π°ΡΡΠ΄Π°. ΠΠ΄Π½ΠΎ ΠΈΠ· ΠΎΡΠ½ΠΎΠ²Π½ΡΡ ΡΠΌΡΡΠ»ΠΎΠ²ΡΡ ΡΠ°Π·Π»ΠΈΡΠΈΠΉ Π·Π°ΠΊΠ»ΡΡΠ°Π΅ΡΡΡ Π² ΡΠΎΠΌ, ΡΡΠΎ Ρ. Π΄. Ρ. (E) Π²ΡΠ·ΡΠ²Π°Π΅ΡΡΡ ΠΏΡΡΡΠΌ ΠΏΡΠ΅ΠΎΠ±ΡΠ°Π·ΠΎΠ²Π°Π½ΠΈΡ ΠΊΠ°ΠΊΠΎΠΉ-Π»ΠΈΠ±ΠΎ ΡΠ½Π΅ΡΠ³ΠΈΠΈ Π² ΡΠ»Π΅ΠΊΡΡΠΈΡΠ΅ΡΠΊΡΡ, ΡΠΎΠ³Π΄Π° ΠΊΠ°ΠΊ ΡΠ°Π·Π½ΠΎΡΡΡ ΠΏΠΎΡΠ΅Π½ΡΠΈΠ°Π»ΠΎΠ² (U) ΡΠ΅Π°Π»ΠΈΠ·ΡΠ΅Ρ ΡΠ»Π΅ΠΊΡΡΠΈΡΠ΅ΡΠΊΡΡ ΡΠ½Π΅ΡΠ³ΠΈΡ Π² Π΄ΡΡΠ³ΠΈΠ΅ Π²ΠΈΠ΄Ρ. ΠΡΡΠ³ΠΈΠ΅ ΡΠ°Π·Π»ΠΈΡΠΈΡ Π²ΡΠ³Π»ΡΠ΄ΡΡ ΡΠ°ΠΊ:
- E ΠΏΠ΅ΡΠ΅Π΄Π°ΡΡ ΡΠ½Π΅ΡΠ³ΠΈΡ Π²ΡΠ΅ΠΉ ΡΠ΅ΠΏΠΈ. U ΡΠ²Π»ΡΠ΅ΡΡΡ ΠΌΠ΅ΡΠΎΠΉ ΡΠ½Π΅ΡΠ³ΠΈΠΈ ΠΌΠ΅ΠΆΠ΄Ρ Π΄Π²ΡΠΌΡ ΡΠΎΡΠΊΠ°ΠΌΠΈ Π½Π° ΡΡ Π΅ΠΌΠ΅.
- Π ΡΠ²Π»ΡΠ΅ΡΡΡ ΠΏΡΠΈΡΠΈΠ½ΠΎΠΉ U, Π½ΠΎ Π½Π΅ Π½Π°ΠΎΠ±ΠΎΡΠΎΡ.
- Π ΠΈΠ½Π΄ΡΡΠΈΡΡΠ΅ΡΡΡ Π² ΡΠ»Π΅ΠΊΡΡΠΈΡΠ΅ΡΠΊΠΎΠΌ, ΠΌΠ°Π³Π½ΠΈΡΠ½ΠΎΠΌ ΠΈ Π³ΡΠ°Π²ΠΈΡΠ°ΡΠΈΠΎΠ½Π½ΠΎΠΌ ΠΏΠΎΠ»Π΅.
- ΠΠΎΠ½ΡΠ΅ΠΏΡΠΈΡ Ρ. Π΄. Ρ. ΠΏΡΠΈΠΌΠ΅Π½ΠΈΠΌΠ° ΡΠΎΠ»ΡΠΊΠΎ ΠΊ ΡΠ»Π΅ΠΊΡΡΠΈΡΠ΅ΡΠΊΠΎΠΌΡ ΠΏΠΎΠ»Ρ, Π² ΡΠΎ Π²ΡΠ΅ΠΌΡ ΠΊΠ°ΠΊ ΡΠ°Π·Π½ΠΎΡΡΡ ΠΏΠΎΡΠ΅Π½ΡΠΈΠ°Π»ΠΎΠ² ΠΏΡΠΈΠΌΠ΅Π½ΠΈΠΌΠ° ΠΊ ΠΌΠ°Π³Π½ΠΈΡΠ½ΡΠΌ, Π³ΡΠ°Π²ΠΈΡΠ°ΡΠΈΠΎΠ½Π½ΡΠΌ ΠΈ ΡΠ»Π΅ΠΊΡΡΠΈΡΠ΅ΡΠΊΠΈΠΌ ΠΏΠΎΠ»ΡΠΌ.
ΠΠ°ΠΏΡΡΠΆΠ΅Π½ΠΈΠ΅ Π½Π° ΠΊΠ»Π΅ΠΌΠΌΠ°Ρ
ΠΈΡΡΠΎΡΠ½ΠΈΠΊΠ° ΠΏΠΈΡΠ°Π½ΠΈΡ, ΠΊΠ°ΠΊ ΠΏΡΠ°Π²ΠΈΠ»ΠΎ, ΠΎΡΠ»ΠΈΡΠ°Π΅ΡΡΡ ΠΎΡ ΠΠΠ‘ ΠΈΡΡΠΎΡΠ½ΠΈΠΊΠ°. ΠΡΠΎ ΠΏΡΠΎΠΈΡΡ
ΠΎΠ΄ΠΈΡ ΠΈΠ·-Π·Π° Π½Π°Π»ΠΈΡΠΈΡ Π²Π½ΡΡΡΠ΅Π½Π½Π΅Π³ΠΎ ΡΠΎΠΏΡΠΎΡΠΈΠ²Π»Π΅Π½ΠΈΡ ΠΈΡΡΠΎΡΠ½ΠΈΠΊΠ° (ΡΠ»Π΅ΠΊΡΡΠΎΠ»ΠΈΡΠ° ΠΈ ΡΠ»Π΅ΠΊΡΡΠΎΠ΄ΠΎΠ², ΠΎΠ±ΠΌΠΎΡΠΎΠΊ Π³Π΅Π½Π΅ΡΠ°ΡΠΎΡΠ°).
Π‘Π²ΡΠ·ΡΠ²Π°ΡΡΠ°Ρ ΡΠ°Π·Π½ΠΎΡΡΡ ΠΏΠΎΡΠ΅Π½ΡΠΈΠ°Π»ΠΎΠ² ΠΈ ΠΠΠ‘ ΠΈΡΡΠΎΡΠ½ΠΈΠΊΠ° ΡΠΎΠΊΠ° ΡΠΎΡΠΌΡΠ»Π° Π²ΡΠ³Π»ΡΠ΄ΠΈΡ ΠΊΠ°ΠΊ U=E-Ir. Π ΡΡΠΎΠΌ Π²ΡΡΠ°ΠΆΠ΅Π½ΠΈΠΈ:
- U β Π½Π°ΠΏΡΡΠΆΠ΅Π½ΠΈΠ΅ Π½Π° ΠΊΠ»Π΅ΠΌΠΌΠ°Ρ ΠΈΡΡΠΎΡΠ½ΠΈΠΊΠ°;
- r β Π²Π½ΡΡΡΠ΅Π½Π½Π΅Π΅ ΡΠΎΠΏΡΠΎΡΠΈΠ²Π»Π΅Π½ΠΈΠ΅ ΠΈΡΡΠΎΡΠ½ΠΈΠΊΠ°;
- I β ΡΠΎΠΊ Π² ΡΠ΅ΠΏΠΈ.
ΠΠ· ΡΡΠΎΠΉ ΡΠΎΡΠΌΡΠ»Ρ ΡΠ»Π΅ΠΊΡΡΠΎΠ΄Π²ΠΈΠΆΡΡΠ΅ΠΉ ΡΠΈΠ»Ρ ΡΠ»Π΅Π΄ΡΠ΅Ρ, ΡΡΠΎ Ρ. Π΄. Ρ. ΡΠ°Π²Π½Π° Π½Π°ΠΏΡΡΠΆΠ΅Π½ΠΈΡ ΠΊΠΎΠ³Π΄Π° ΡΠΎΠΊ Π² ΡΠ΅ΠΏΠΈ Π½Π΅ ΡΠ΅ΡΡΡ. ΠΠ΄Π΅Π°Π»ΡΠ½ΡΠΉ ΠΈΡΡΠΎΡΠ½ΠΈΠΊ ΠΠΠ‘ ΡΠΎΠ·Π΄Π°ΡΡ ΡΠ°Π·Π½ΠΎΡΡΡ ΠΏΠΎΡΠ΅Π½ΡΠΈΠ°Π»ΠΎΠ² Π½Π΅Π·Π°Π²ΠΈΡΠΈΠΌΠΎ ΠΎΡ Π½Π°Π³ΡΡΠ·ΠΊΠΈ (ΠΏΡΠΎΡΠ΅ΠΊΠ°ΡΡΠ΅Π³ΠΎ ΡΠΎΠΊΠ°) ΠΈ Π½Π΅ ΠΎΠ±Π»Π°Π΄Π°Π΅Ρ Π²Π½ΡΡΡΠ΅Π½Π½ΠΈΠΌ ΡΠΎΠΏΡΠΎΡΠΈΠ²Π»Π΅Π½ΠΈΠ΅ΠΌ.
Π ΠΏΡΠΈΡΠΎΠ΄Π΅ Π½Π΅ ΠΌΠΎΠΆΠ΅Ρ ΡΡΡΠ΅ΡΡΠ²ΠΎΠ²Π°ΡΡ ΠΈΡΡΠΎΡΠ½ΠΈΠΊΠ° Ρ Π±Π΅ΡΠΊΠΎΠ½Π΅ΡΠ½ΠΎΠΉ ΠΌΠΎΡΠ½ΠΎΡΡΡΡ ΠΏΡΠΈ Π·Π°ΠΌΡΠΊΠ°Π½ΠΈΠΈ Π½Π° ΠΊΠ»Π΅ΠΌΠΌΠ°Ρ , ΠΊΠ°ΠΊ ΠΈ ΠΌΠ°ΡΠ΅ΡΠΈΠ°Π»Π° Ρ Π±Π΅ΡΠΊΠΎΠ½Π΅ΡΠ½ΠΎΠΉ ΠΏΡΠΎΠ²ΠΎΠ΄ΠΈΠΌΠΎΡΡΡΡ. ΠΠ΄Π΅Π°Π»ΡΠ½ΡΠΉ ΠΈΡΡΠΎΡΠ½ΠΈΠΊ ΠΈΡΠΏΠΎΠ»ΡΠ·ΡΠ΅ΡΡΡ ΠΊΠ°ΠΊ Π°Π±ΡΡΡΠ°ΠΊΡΠ½Π°Ρ ΠΌΠ°ΡΠ΅ΠΌΠ°ΡΠΈΡΠ΅ΡΠΊΠ°Ρ ΠΌΠΎΠ΄Π΅Π»Ρ.
ΠΡΡΠΎΡΠ½ΠΈΠΊΠΈ ΡΠ»Π΅ΠΊΡΡΠΎΠ΄Π²ΠΈΠΆΡΡΠ΅ΠΉ ΡΠΈΠ»Ρ
Π‘ΡΡΡ ΠΈΡΡΠΎΡΠ½ΠΈΠΊΠ° ΠΠΠ‘ Π·Π°ΠΊΠ»ΡΡΠ°Π΅ΡΡΡ Π² ΠΏΡΠ΅ΠΎΠ±ΡΠ°Π·ΠΎΠ²Π°Π½ΠΈΠΈ Π΄ΡΡΠ³ΠΈΡ Π²ΠΈΠ΄ΠΎΠ² ΡΠ½Π΅ΡΠ³ΠΈΠΈ Π² ΡΠ»Π΅ΠΊΡΡΠΈΡΠ΅ΡΠΊΡΡ Ρ ΠΏΠΎΠΌΠΎΡΡΡ ΡΡΠΎΡΠΎΠ½Π½ΠΈΡ ΡΠΈΠ». Π‘ ΡΠΎΡΠΊΠΈ Π·ΡΠ΅Π½ΠΈΡ ΡΠΈΠ·ΠΈΠΊΠΈ ΠΎΠ±Π΅ΡΠΏΠ΅ΡΠ΅Π½ΠΈΡ Ρ. Π΄. Ρ ΡΠ°Π·Π»ΠΈΡΠ°ΡΡ ΡΠ»Π΅Π΄ΡΡΡΠΈΠ΅ Π΄Π²Π° ΠΎΡΠ½ΠΎΠ²Π½ΡΡ Π²ΠΈΠ΄Π° ΠΈΡΡΠΎΡΠ½ΠΈΠΊΠΎΠ²:
- Π³Π°Π»ΡΠ²Π°Π½ΠΈΡΠ΅ΡΠΊΠΈΠ΅;
- ΡΠ»Π΅ΠΊΡΡΠΎΠΌΠ°Π³Π½ΠΈΡΠ½ΡΠ΅.

ΠΠ΅ΡΠ²ΡΠ΅ ΠΏΡΠ΅Π΄ΡΡΠ°Π²Π»ΡΡΡ ΡΠΎΠ±ΠΎΠΉ ΡΠ»Π΅ΠΊΡΡΠΎΡ ΠΈΠΌΠΈΡΠ΅ΡΠΊΠΈΠ΅ ΠΈΡΡΠΎΡΠ½ΠΈΠΊΠΈ, ΠΎΡΠ½ΠΎΠ²Π°Π½Π½ΡΠ΅ Π½Π° Π²ΠΎΠ²Π»Π΅ΡΠ΅Π½ΠΈΠ΅ Π² Ρ ΠΈΠΌΠΈΡΠ΅ΡΠΊΡΡ ΡΠ΅Π°ΠΊΡΠΈΡ ΠΏΡΠΎΡΠ΅ΡΡΠ° ΠΏΠ΅ΡΠ΅Π½ΠΎΡΠ° ΡΠ»Π΅ΠΊΡΡΠΎΠ½ΠΎΠ². Π ΠΎΠ±ΡΡΠ½ΡΡ ΡΡΠ»ΠΎΠ²ΠΈΡΡ Ρ ΠΈΠΌΠΈΡΠ΅ΡΠΊΠΈΠ΅ Π²Π·Π°ΠΈΠΌΠΎΠ΄Π΅ΠΉΡΡΠ²ΠΈΡ ΡΠΎΠΏΡΠΎΠ²ΠΎΠΆΠ΄Π°ΡΡΡΡ Π²ΡΠ΄Π΅Π»Π΅Π½ΠΈΠ΅ΠΌ ΠΈΠ»ΠΈ ΠΏΠΎΠ³Π»ΠΎΡΠ΅Π½ΠΈΠ΅ΠΌ ΡΠ΅ΠΏΠ»Π°, Π½ΠΎ ΡΡΡΠ΅ΡΡΠ²ΡΠ΅Ρ Π½Π΅ΠΌΠ°Π»ΠΎ ΡΠ΅Π°ΠΊΡΠΈΠΉ, Π² ΡΠ΅Π·ΡΠ»ΡΡΠ°ΡΠ΅ ΠΊΠΎΡΠΎΡΡΡ Π³Π΅Π½Π΅ΡΠΈΡΡΠ΅ΡΡΡ ΡΠ»Π΅ΠΊΡΡΠΈΡΠ΅ΡΠΊΠ°Ρ ΡΠ½Π΅ΡΠ³ΠΈΡ.
ΠΠ»Π΅ΠΊΡΡΠΎΡ ΠΈΠΌΠΈΡΠ΅ΡΠΊΠΈΠ΅ ΠΏΡΠΎΡΠ΅ΡΡΡ Π² Π±ΠΎΠ»ΡΡΠΈΠ½ΡΡΠ²Π΅ ΡΠ»ΡΡΠ°Π΅Π² ΠΎΠ±ΡΠ°ΡΠΈΠΌΡ, ΠΏΠΎΡΠΊΠΎΠ»ΡΠΊΡ ΡΠ½Π΅ΡΠ³ΠΈΡ ΡΠ»Π΅ΠΊΡΡΠΈΡΠ΅ΡΠΊΠΎΠ³ΠΎ ΡΠΎΠΊΠ° ΠΌΠΎΠΆΠ΅Ρ Π±ΡΡΡ ΠΈΡΠΏΠΎΠ»ΡΠ·ΠΎΠ²Π°Π½Π°, ΡΡΠΎΠ±Ρ Π·Π°ΡΡΠ°Π²ΠΈΡΡ ΡΠ΅Π°Π³ΠΈΡΠΎΠ²Π°ΡΡ Π²Π΅ΡΠ΅ΡΡΠ²Π° ΠΌΠ΅ΠΆΠ΄Ρ ΡΠΎΠ±ΠΎΠΉ. ΠΡΠ° Π²ΠΎΠ·ΠΌΠΎΠΆΠ½ΠΎΡΡΡ ΠΏΠΎΠ·Π²ΠΎΠ»ΡΠ΅Ρ ΡΠΎΠ·Π΄Π°Π²Π°ΡΡ Π²ΠΎΠ·ΠΎΠ±Π½ΠΎΠ²Π»ΡΠ΅ΠΌΡΠ΅ Π³Π°Π»ΡΠ²Π°Π½ΠΈΡΠ΅ΡΠΊΠΈΠ΅ ΠΈΡΡΠΎΡΠ½ΠΈΠΊΠΈ β Π°ΠΊΠΊΡΠΌΡΠ»ΡΡΠΎΡΡ.
Π Π³Π΅Π½Π΅ΡΠ°ΡΠΎΡΠ°Ρ ΡΠΎΠΊΠ° Ρ. Π΄. Ρ. ΡΠΎΠ·Π΄Π°ΡΡΡΡ Π΄ΡΡΠ³ΠΈΠΌ ΡΠΏΠΎΡΠΎΠ±ΠΎΠΌ. Π Π°Π·Π΄Π΅Π»Π΅Π½ΠΈΠ΅ Π·Π°ΡΡΠ΄ΠΎΠ² ΠΏΡΠΎΠΈΡΡ ΠΎΠ΄ΠΈΡ Ρ ΠΏΠΎΠΌΠΎΡΡΡ ΡΠ²Π»Π΅Π½ΠΈΡ ΡΠ»Π΅ΠΊΡΡΠΎΠΌΠ°Π³Π½ΠΈΡΠ½ΠΎΠΉ ΠΈΠ½Π΄ΡΠΊΡΠΈΠΈ, ΠΊΠΎΡΠΎΡΠΎΠ΅ Π·Π°ΠΊΠ»ΡΡΠ°Π΅ΡΡΡ Π² ΡΠΎΠΌ, ΡΡΠΎ ΠΈΠ·ΠΌΠ΅Π½Π΅Π½ΠΈΠ΅ Π²Π΅Π»ΠΈΡΠΈΠ½Ρ ΠΈΠ»ΠΈ Π½Π°ΠΏΡΠ°Π²Π»Π΅Π½ΠΈΡ ΠΌΠ°Π³Π½ΠΈΡΠ½ΠΎΠ³ΠΎ ΠΏΠΎΠ»Ρ ΡΠΎΠ·Π΄Π°ΡΡ ΠΠΠ‘. Π‘ΠΎΠ³Π»Π°ΡΠ½ΠΎ Π·Π°ΠΊΠΎΠ½Ρ Π€Π°ΡΠ°Π΄Π΅Ρ, Π½Π°Ρ ΠΎΠΆΠ΄Π΅Π½ΠΈΠ΅ Ρ. Π΄. Ρ. ΠΈΠ½Π΄ΡΠΊΡΠΈΠΈ Π²ΠΎΠ·ΠΌΠΎΠΆΠ½ΠΎ ΠΈΠ· Π²ΡΡΠ°ΠΆΠ΅Π½ΠΈΡ E=βdΠ€/dt. Π ΡΡΠΎΠΉ ΡΠΎΡΠΌΡΠ»Π΅:
- Π€ β ΠΌΠ°Π³Π½ΠΈΡΠ½ΡΠΉ ΠΏΠΎΡΠΎΠΊ;
- t β Π²ΡΠ΅ΠΌΡ.
ΠΠ°ΠΌ ΡΡΠΎ Π±ΡΠ΄Π΅Ρ ΠΈΠ½ΡΠ΅ΡΠ΅ΡΠ½ΠΎΒ Π£ΡΡΡΠΎΠΉΡΡΠ²ΠΎ ΡΠ΅ΡΠΌΠΎΠΏΠ°ΡΡ, Π΅Π΅ Π²ΠΈΠ΄Ρ ΠΈ ΠΏΡΠΈΠ½ΡΠΈΠΏ ΡΠ°Π±ΠΎΡΡ
youtube.com/embed/8GvuGCE9JQI?feature=oembed” frameborder=”0″ allow=”accelerometer; autoplay; encrypted-media; gyroscope; picture-in-picture” allowfullscreen=””/>
ΠΠΠ‘ ΠΈΠ½Π΄ΡΠΊΡΠΈΠΈ ΠΈΠ·ΠΌΠ΅ΡΡΠ΅ΡΡΡ ΡΠ°ΠΊΠΆΠ΅ Π² Π²ΠΎΠ»ΡΡΠ°Ρ . Π Π·Π°Π²ΠΈΡΠΈΠΌΠΎΡΡΠΈ ΠΎΡ ΡΠΎΠ³ΠΎ, ΠΊΠ°ΠΊΠΈΠΌ ΡΠΏΠΎΡΠΎΠ±ΠΎΠΌ Π²ΡΠ·ΡΠ²Π°ΡΡΡΡ ΠΈΠ·ΠΌΠ΅Π½Π΅Π½ΠΈΡ ΠΌΠ°Π³Π½ΠΈΡΠ½ΠΎΠ³ΠΎ ΠΏΠΎΡΠΎΠΊΠ°, ΡΠ°Π·Π»ΠΈΡΠ°ΡΡ:
- ΠΠΈΠ½Π°ΠΌΠΈΡΠ΅ΡΠΊΠΈ ΠΈΠ½Π΄ΡΡΠΈΡΠΎΠ²Π°Π½Π½ΡΡ. ΠΠΎΠ³Π΄Π° Π² ΡΡΠ°ΡΠΈΠΎΠ½Π°ΡΠ½ΠΎΠΌ ΠΌΠ°Π³Π½ΠΈΡΠ½ΠΎΠΌ ΠΏΠΎΠ»Π΅ ΠΏΠ΅ΡΠ΅ΠΌΠ΅ΡΠ°Π΅ΡΡΡ ΠΏΡΠΎΠ²ΠΎΠ΄Π½ΠΈΠΊ. Π₯Π°ΡΠ°ΠΊΡΠ΅ΡΠ΅Π½ Π΄Π»Ρ Π³Π΅Π½Π΅ΡΠ°ΡΠΎΡΠΎΠ².
- Π‘ΡΠ°ΡΠΈΡΠ΅ΡΠΊΠΈ ΠΈΠ½Π΄ΡΡΠΈΡΠΎΠ²Π°Π½Π½ΡΡ. ΠΠΎΠ³Π΄Π° ΠΈΠ·ΠΌΠ΅Π½Π΅Π½ΠΈΡ ΠΏΠΎΡΠΎΠΊΠ° Π²ΠΎΠ·Π½ΠΈΠΊΠ°ΡΡ ΠΈΠ·-Π·Π° ΠΈΠ·ΠΌΠ΅Π½Π΅Π½ΠΈΠΉ ΠΌΠ°Π³Π½ΠΈΡΠ½ΠΎΠ³ΠΎ ΠΏΠΎΠ»Ρ Π²ΠΎΠΊΡΡΠ³ Π½Π΅ΠΏΠΎΠ΄Π²ΠΈΠΆΠ½ΠΎΠ³ΠΎ ΠΏΡΠΎΠ²ΠΎΠ΄Π½ΠΈΠΊΠ°. Π’Π°ΠΊ ΡΠ°Π±ΠΎΡΠ°ΡΡ ΡΡΠ°Π½ΡΡΠΎΡΠΌΠ°ΡΠΎΡΡ.
Π‘ΡΡΠ΅ΡΡΠ²ΡΡΡ ΡΠ°ΠΊΠΆΠ΅ ΠΈΡΡΠΎΡΠ½ΠΈΠΊΠΈ Ρ. Π΄. Ρ, Π½Π΅ ΠΎΡΠ½ΠΎΠ²Π°Π½Π½ΡΠ΅ Π½Π° ΡΠ»Π΅ΠΊΡΡΠΎΡ ΠΈΠΌΠΈΠΈ ΠΈΠ»ΠΈ ΠΌΠ°Π³Π½ΠΈΡΠ½ΠΎΠΉ ΠΈΠ½Π΄ΡΠΊΡΠΈΠΈ. Π ΡΠ°ΠΊΠΈΠΌ ΡΡΡΡΠΎΠΉΡΡΠ²Π°ΠΌ ΠΌΠΎΠΆΠ½ΠΎ ΠΎΡΠ½Π΅ΡΡΠΈ ΠΏΠΎΠ»ΡΠΏΡΠΎΠ²ΠΎΠ΄Π½ΠΈΠΊΠΎΠ²ΡΠ΅ ΡΠΎΡΠΎΡΠ»Π΅ΠΌΠ΅Π½ΡΡ, ΠΊΠΎΠ½ΡΠ°ΠΊΡΠ½ΡΠ΅ ΠΏΠΎΡΠ΅Π½ΡΠΈΠ°Π»Ρ ΠΈ ΠΏΡΠ΅Π·ΠΎΠΊΡΠΈΡΡΠ°Π»Π»Ρ.
ΠΠΎΠ½ΡΡΠΈΠ΅ ΠΠΠ‘ ΠΈΠΌΠ΅Π΅Ρ ΠΏΡΠ°ΠΊΡΠΈΡΠ΅ΡΠΊΠΎΠ΅ ΠΏΡΠΈΠΌΠ΅Π½Π΅Π½ΠΈΠ΅ ΠΏΡΠ΅ΠΆΠ΄Π΅ Π²ΡΠ΅Π³ΠΎ ΠΊΠ°ΠΊ ΠΏΠ°ΡΠ°ΠΌΠ΅ΡΡ Π²ΡΠ±ΠΎΡΠ° ΠΈΡΡΠΎΡΠ½ΠΈΠΊΠΎΠ² ΠΏΠΈΡΠ°Π½ΠΈΡ Π΄Π»Ρ ΡΠ΅Ρ
ΠΈΠ»ΠΈ ΠΈΠ½ΡΡ
ΡΠ΅Π»Π΅ΠΉ. Π§ΡΠΎΠ±Ρ ΠΏΠΎΠ»ΡΡΠΈΡΡ ΠΌΠ°ΠΊΡΠΈΠΌΠ°Π»ΡΠ½ΡΠΉ ΡΡΡΠ΅ΠΊΡ ΠΎΡ ΡΠ°Π±ΠΎΡΡ ΡΡΡΡΠΎΠΉΡΡΠ² Π² ΡΠ΅ΠΏΠΈ, Π½ΡΠΆΠ½ΠΎ ΡΠΎΠ³Π»Π°ΡΠΎΠ²ΡΠ²Π°ΡΡ ΠΈΡ
Π²ΠΎΠ·ΠΌΠΎΠΆΠ½ΠΎΡΡΠΈ ΠΈ Ρ
Π°ΡΠ°ΠΊΡΠ΅ΡΠΈΡΡΠΈΠΊΠΈ.
ΠΡΠ΅ΠΆΠ΄Π΅ Π²ΡΠ΅Π³ΠΎ Π²Π½ΡΡΡΠ΅Π½Π½Π΅Π΅ ΡΠΎΠΏΡΠΎΡΠΈΠ²Π»Π΅Π½ΠΈΠ΅ ΠΈΡΡΠΎΡΠ½ΠΈΠΊΠ° ΠΠΠ‘ ΡΠΈΠ»Ρ Ρ Ρ Π°ΡΠ°ΠΊΡΠ΅ΡΠΈΡΡΠΈΠΊΠ°ΠΌΠΈ ΠΏΠΎΠ΄ΠΊΠ»ΡΡΠ°Π΅ΠΌΠΎΠΉ Π½Π°Π³ΡΡΠ·ΠΊΠΈ.
ΠΡΡΠΎΡΠ½ΠΈΠΊ: https://rusenergetics.ru/praktika/istochniki-eds
ΠΠ½ΡΠΎΡΠΈΠ· β ΠΌΠΎΠΉ ΠΌΠΈΡ..
ΠΡΠ°ΡΠΊΠΎΠ²ΡΠ΅ΠΌΠ΅Π½Π½ΡΠΉ ΡΠΎΠΊ Π² ΠΏΡΠΎΠ²ΠΎΠ΄Π½ΠΈΠΊΠ΅ ΠΌΠΎΠΆΠ½ΠΎ ΠΏΠΎΠ»ΡΡΠΈΡΡ, Π΅ΡΠ»ΠΈ ΡΠΎΠ΅Π΄ΠΈΠ½ΠΈΡΡ ΡΡΠΈΠΌ ΠΏΡΠΎΠ²ΠΎΠ΄Π½ΠΈΠΊΠΎΠΌ Π΄Π²Π° Π·Π°ΡΡΠΆΠ΅Π½Π½ΡΡ ΠΏΡΠΎΠ²ΠΎΠ΄ΡΡΠΈΡ ΡΠ΅Π»Π°, ΠΊΠΎΡΠΎΡΡΠ΅ ΠΈΠΌΠ΅ΡΡ ΡΠ°Π·Π»ΠΈΡΠ½ΡΠΉ ΠΏΠΎΡΠ΅Π½ΡΠΈΠ°Π». Π’ΠΎΠΊ Π² ΠΏΡΠΎΠ²ΠΎΠ΄Π½ΠΈΠΊΠ΅ ΠΈΡΡΠ΅Π·Π½Π΅Ρ, ΠΊΠΎΠ³Π΄Π° ΠΏΠΎΡΠ΅Π½ΡΠΈΠ°Π» ΡΠ΅Π» ΡΡΠ°Π½Π΅Ρ ΠΎΠ΄ΠΈΠ½Π°ΠΊΠΎΠ²ΡΠΌ.Β ΠΠ»Ρ ΡΡΡΠ΅ΡΡΠ²ΠΎΠ²Π°Π½ΠΈΡ ΡΠ»Π΅ΠΊΡΡΠΈΡΠ΅ΡΠΊΠΎΠ³ΠΎ ΡΠΎΠΊΠ° Π² ΠΏΡΠΎΠ²ΠΎΠ΄Π½ΠΈΠΊΠ΅ Π½Π΅ΠΎΠ±Ρ ΠΎΠ΄ΠΈΠΌΠΎ ΡΠΎΠ·Π΄Π°ΡΡ Π² Π½Π΅ΠΌ ΠΈ Π΄Π»ΠΈΡΠ΅Π»ΡΠ½ΠΎΠ΅ Π²ΡΠ΅ΠΌΡ ΠΏΠΎΠ΄Π΄Π΅ΡΠΆΠΈΠ²Π°ΡΡ ΡΠ»Π΅ΠΊΡΡΠΈΡΠ΅ΡΠΊΠΎΠ΅ ΠΏΠΎΠ»Π΅.
ΠΠΎΡΡΠΎΡΠ½Π½ΡΠΉ ΡΠ»Π΅ΠΊΡΡΠΈΡΠ΅ΡΠΊΠΈΠΉ ΡΠΎΠΊ ΠΌΠΎΠΆΠ΅Ρ Π±ΡΡΡ ΡΠΎΠ·Π΄Π°Π½ ΡΠΎΠ»ΡΠΊΠΎ Π²Β Π·Π°ΠΌΠΊΠ½ΡΡΠΎΠΉ ΡΠ΅ΠΏΠΈ, Π² ΠΊΠΎΡΠΎΡΠΎΠΉ ΡΠ²ΠΎΠ±ΠΎΠ΄Π½ΡΠ΅ Π½ΠΎΡΠΈΡΠ΅Π»ΠΈ Π·Π°ΡΡΠ΄Π° ΡΠΈΡΠΊΡΠ»ΠΈΡΡΡΡ ΠΏΠΎ Π·Π°ΠΌΠΊΠ½ΡΡΡΠΌ ΡΡΠ°Π΅ΠΊΡΠΎΡΠΈΡΠΌ. ΠΡΠΈ ΠΏΠ΅ΡΠ΅ΠΌΠ΅ΡΠ΅Π½ΠΈΠΈ ΡΠ»Π΅ΠΊΡΡΠΈΡΠ΅ΡΠΊΠΎΠ³ΠΎ Π·Π°ΡΡΠ΄Π° Π² ΡΠ»Π΅ΠΊΡΡΠΎΡΡΠ°ΡΠΈΡΠ΅ΡΠΊΠΎΠΌ ΠΏΠΎΠ»Π΅ ΠΏΠΎ Π·Π°ΠΌΠΊΠ½ΡΡΠΎΠΉ ΡΡΠ°Π΅ΠΊΡΠΎΡΠΈΠΈ, ΡΠ°Π±ΠΎΡΠ° ΡΠ»Π΅ΠΊΡΡΠΈΡΠ΅ΡΠΊΠΈΡ ΡΠΈΠ» ΡΠ°Π²Π½Π° Π½ΡΠ»Ρ.
ΠΠΎΡΡΠΎΠΌΡ Π΄Π»Ρ ΡΡΡΠ΅ΡΡΠ²ΠΎΠ²Π°Π½ΠΈΡ ΠΏΠΎΡΡΠΎΡΠ½Π½ΠΎΠ³ΠΎ ΡΠΎΠΊΠ° Π½Π΅ΠΎΠ±Ρ
ΠΎΠ΄ΠΈΠΌΠΎ Π½Π°Π»ΠΈΡΠΈΠ΅ Π² ΡΠ»Π΅ΠΊΡΡΠΈΡΠ΅ΡΠΊΠΎΠΉ ΡΠ΅ΠΏΠΈ ΡΡΡΡΠΎΠΉΡΡΠ²Π°, ΡΠΏΠΎΡΠΎΠ±Π½ΠΎΠ³ΠΎ ΡΠΎΠ·Π΄Π°Π²Π°ΡΡ ΠΈ ΠΏΠΎΠ΄Π΄Π΅ΡΠΆΠΈΠ²Π°ΡΡ ΡΠ°Π·Π½ΠΎΡΡΠΈ ΠΏΠΎΡΠ΅Π½ΡΠΈΠ°Π»ΠΎΠ² Π½Π° ΡΡΠ°ΡΡΠΊΠ°Ρ
ΡΠ΅ΠΏΠΈ Π·Π° ΡΡΠ΅Ρ ΡΠ°Π±ΠΎΡΡ ΡΠΈΠ»Β Π½Π΅ΡΠ»Π΅ΠΊΡΡΠΎΡΡΠ°ΡΠΈΡΠ΅ΡΠΊΠΎΠ³ΠΎ ΠΏΡΠΎΠΈΡΡ
ΠΎΠΆΠ΄Π΅Π½ΠΈΡ.
Β ΠΠΎΠ»Π΅ Π²Π½ΡΡΡΠΈ ΠΏΡΠΎΠ²ΠΎΠ΄Π½ΠΈΠΊΠΎΠ², ΡΠΎΡΡΠ°Π²Π»ΡΡΡΠΈΡ Π·Π°ΠΌΠΊΠ½ΡΡΡΡ ΡΠ΅ΠΏΡ Π΄ΠΎΠ»ΠΆΠ΅Π½ ΠΏΠΎΠ΄Π΄Π΅ΡΠΆΠΈΠ²Π°ΡΡ ΠΈΡΡΠΎΡΠ½ΠΈΠΊΒ ΡΠ»Π΅ΠΊΡΡΠΈΡΠ΅ΡΠΊΠΎΠΉ ΡΠ½Π΅ΡΠ³ΠΈΠΈ.
Π£ΡΡΡΠΎΠΉΡΡΠ²Π°, ΡΠΏΠΎΡΠΎΠ±Π½ΡΠ΅ ΡΠΎΠ·Π΄Π°Π²Π°ΡΡ ΠΈ ΠΏΠΎΠ΄Π΄Π΅ΡΠΆΠΈΠ²Π°ΡΡ ΡΠ°Π·Π½ΠΎΡΡΠΈ ΠΏΠΎΡΠ΅Π½ΡΠΈΠ°Π»ΠΎΠ² Π½Π° ΡΡΠ°ΡΡΠΊΠ°Ρ ΡΠ΅ΠΏΠΈ Π·Π° ΡΡΠ΅Ρ ΡΠ°Π±ΠΎΡΡ ΡΠΈΠ» Π½Π΅ΡΠ»Π΅ΠΊΡΡΠΎΡΡΠ°ΡΠΈΡΠ΅ΡΠΊΠΎΠ³ΠΎ ΠΏΡΠΎΠΈΡΡ ΠΎΠΆΠ΄Π΅Π½ΠΈΡ. Π½Π°Π·ΡΠ²Π°ΡΡΡΡ ΠΈΡΡΠΎΡΠ½ΠΈΠΊΠ°ΠΌΠΈ ΠΏΠΎΡΡΠΎΡΠ½Π½ΠΎΠ³ΠΎ ΡΠΎΠΊΠ°.
Π‘ΠΈΠ»Ρ Π½Π΅ΡΠ»Π΅ΠΊΡΡΠΎΡΡΠ°ΡΠΈΡΠ΅ΡΠΊΠΎΠ³ΠΎ ΠΏΡΠΎΠΈΡΡ ΠΎΠΆΠ΄Π΅Π½ΠΈΡ, Π΄Π΅ΠΉΡΡΠ²ΡΡΡΠΈΠ΅ Π½Π° ΡΠ²ΠΎΠ±ΠΎΠ΄Π½ΡΠ΅ Π½ΠΎΡΠΈΡΠ΅Π»ΠΈ Π·Π°ΡΡΠ΄Π° ΡΠΎ ΡΡΠΎΡΠΎΠ½Ρ ΠΈΡΡΠΎΡΠ½ΠΈΠΊΠΎΠ² ΡΠΎΠΊΠ°, Π½Π°Π·ΡΠ²Π°ΡΡΡΡ ΡΡΠΎΡΠΎΠ½Π½ΠΈΠΌΠΈ ΡΠΈΠ»Π°ΠΌΠΈ.
ΠΡΠΈΡΠΎΠ΄Π° ΡΡΠΎΡΠΎΠ½Π½ΠΈΡ ΡΠΈΠ» ΠΌΠΎΠΆΠ΅Ρ Π±ΡΡΡ ΡΠ°Π·Π»ΠΈΡΠ½ΠΎΠΉ.
Π Π³Π°Π»ΡΠ²Π°Π½ΠΈΡΠ΅ΡΠΊΠΈΡ ΡΠ»Π΅ΠΌΠ΅Π½ΡΠ°Ρ ΠΈΠ»ΠΈ Π°ΠΊΠΊΡΠΌΡΠ»ΡΡΠΎΡΠ°Ρ ΠΎΠ½ΠΈ Π²ΠΎΠ·Π½ΠΈΠΊΠ°ΡΡ Π² ΡΠ΅Π·ΡΠ»ΡΡΠ°ΡΠ΅ ΡΠ»Π΅ΠΊΡΡΠΎΡ ΠΈΠΌΠΈΡΠ΅ΡΠΊΠΈΡ ΠΏΡΠΎΡΠ΅ΡΡΠΎΠ², Π² Π³Π΅Π½Π΅ΡΠ°ΡΠΎΡΠ°Ρ ΠΏΠΎΡΡΠΎΡΠ½Π½ΠΎΠ³ΠΎ ΡΠΎΠΊΠ° ΡΡΠΎΡΠΎΠ½Π½ΠΈΠ΅ ΡΠΈΠ»Ρ Π²ΠΎΠ·Π½ΠΈΠΊΠ°ΡΡ ΠΏΡΠΈ Π΄Π²ΠΈΠΆΠ΅Π½ΠΈΠΈ ΠΏΡΠΎΠ²ΠΎΠ΄Π½ΠΈΠΊΠΎΠ² Π² ΠΌΠ°Π³Π½ΠΈΡΠ½ΠΎΠΌ ΠΏΠΎΠ»Π΅.
ΠΠΎΠ΄ Π΄Π΅ΠΉΡΡΠ²ΠΈΠ΅ΠΌ ΡΡΠΎΡΠΎΠ½Π½ΠΈΡ ΡΠΈΠ» ΡΠ»Π΅ΠΊΡΡΠΈΡΠ΅ΡΠΊΠΈΠ΅ Π·Π°ΡΡΠ΄Ρ Π΄Π²ΠΈΠΆΡΡΡΡ Π²Π½ΡΡΡΠΈ ΠΈΡΡΠΎΡΠ½ΠΈΠΊΠ° ΡΠΎΠΊΠ°Β ΠΏΡΠΎΡΠΈΠ² ΡΠΈΠ» ΡΠ»Π΅ΠΊΡΡΠΎΡΡΠ°ΡΠΈΡΠ΅ΡΠΊΠΎΠ³ΠΎ ΠΏΠΎΠ»Ρ, Π±Π»Π°Π³ΠΎΠ΄Π°ΡΡ ΡΠ΅ΠΌΡ Π² Π·Π°ΠΌΠΊΠ½ΡΡΠΎΠΉ ΡΠ΅ΠΏΠΈ ΠΌΠΎΠΆΠ΅Ρ ΠΏΠΎΠ΄Π΄Π΅ΡΠΆΠΈΠ²Π°ΡΡΡΡ ΠΏΠΎΡΡΠΎΡΠ½Π½ΡΠΉ ΡΠ»Π΅ΠΊΡΡΠΈΡΠ΅ΡΠΊΠΈΠΉ ΡΠΎΠΊ.
Π ΡΠ΅ΠΏΡ Π²ΠΊΠ»ΡΡΠ°ΡΡ ΡΠ°ΠΊΠΆΠ΅Β ΠΏΠΎΡΡΠ΅Π±ΠΈΡΠ΅Π»ΠΈ ΡΠ»Π΅ΠΊΡΡΠΈΡΠ΅ΡΠΊΠΎΠΉ ΡΠ½Π΅ΡΠ³ΠΈΠΈ,Β Π² ΠΊΠΎΡΠΎΡΡΡ
ΡΠΎΠΊ Π²ΡΠΏΠΎΠ»Π½ΡΠ΅Ρ ΠΏΠΎΠ»Π΅Π·Π½ΡΡ ΡΠ°Π±ΠΎΡΡ.
ΠΡΠΎΠΌΠ΅ ΡΠΎΠ³ΠΎ, Π² ΡΠ΅ΠΏΡ Π²ΠΊΠ»ΡΡΠ°ΡΡΒ ΡΠΎΠ΅Π΄ΠΈΠ½ΠΈΡΠ΅Π»ΡΠ½ΡΠ΅ ΠΏΡΠΎΠ²ΠΎΠ΄Π° ΠΈΒ Π²ΡΠΊΠ»ΡΡΠ°ΡΠ΅Π»Ρ (ΡΡΠ±ΠΈΠ»ΡΠ½ΠΈΠΊ) Π΄Π»Ρ Π·Π°ΠΌΡΠΊΠ°Π½ΠΈΡ ΠΈ ΡΠ°Π·ΠΌΡΠΊΠ°Π½ΠΈΡ ΡΠ΅ΠΏΠΈ.Β ΠΡΠΎΡΡΠ°Ρ ΡΠ»Π΅ΠΊΡΡΠΈΡΠ΅ΡΠΊΠ°Ρ ΡΠ΅ΠΏΡ ΡΠΎΡΡΠΎΠΈΡ ΠΈΠ· ΠΈΡΡΠΎΡΠ½ΠΈΠΊΠ° ΡΠΎΠΊΠ°, ΠΏΠΎΡΡΠ΅Π±ΠΈΡΠ΅Π»Ρ, ΠΏΠΎΠ΄Π²ΠΎΠ΄ΡΡΠΈΡ
ΠΏΡΠΎΠ²ΠΎΠ΄ΠΎΠ² ΠΈ Π²ΡΠΊΠ»ΡΡΠ°ΡΠ΅Π»Ρ.
Π¦Π΅ΠΏΡ ΠΏΠΎΡΡΠΎΡΠ½Π½ΠΎΠ³ΠΎ ΡΠΎΠΊΠ° ΠΌΠΎΠΆΠ½ΠΎ ΡΠ°Π·Π±ΠΈΡΡ Π½Π° ΠΎΠΏΡΠ΅Π΄Π΅Π»Π΅Π½Π½ΡΠ΅ ΡΡΠ°ΡΡΠΊΠΈ. Π’Π΅ ΡΡΠ°ΡΡΠΊΠΈ, Π½Π° ΠΊΠΎΡΠΎΡΡΡ Π½Π΅ Π΄Π΅ΠΉΡΡΠ²ΡΡΡ ΡΡΠΎΡΠΎΠ½Π½ΠΈΠ΅ ΡΠΈΠ»Ρ (ΡΠΎ Π΅ΡΡΡ ΡΡΠ°ΡΡΠΊΠΈ, Π½Π΅ ΡΠΎΠ΄Π΅ΡΠΆΠ°ΡΠΈΠ΅ ΠΈΡΡΠΎΡΠ½ΠΈΠΊΠΎΠ² ΡΠΎΠΊΠ°), Π½Π°Π·ΡΠ²Π°ΡΡΡΡΒ ΠΎΠ΄Π½ΠΎΡΠΎΠ΄Π½ΡΠΌΠΈ. Π£ΡΠ°ΡΡΠΊΠΈ, Π²ΠΊΠ»ΡΡΠ°ΡΡΠΈΠ΅ ΠΈΡΡΠΎΡΠ½ΠΈΠΊΠΈ ΡΠΎΠΊΠ°, Π½Π°Π·ΡΠ²Π°ΡΡΡΡΒ Π½Π΅ΠΎΠ΄Π½ΠΎΡΠΎΠ΄Π½ΡΠΌΠΈ.
ΠΠ° ΡΠΈΡΡΠ½ΠΊΠ΅ ΠΈΠ·ΠΎΠ±ΡΠ°ΠΆΠ΅Π½Π° Π·Π°ΠΌΠΊΠ½ΡΡΠ°Ρ ΡΠ΅ΠΏΡ ΠΏΠΎΡΡΠΎΡΠ½Π½ΠΎΠ³ΠΎ ΡΠΎΠΊΠ°. Π£ΡΠ°ΡΡΠΎΠΊ ΡΠ΅ΠΏΠΈ (cd) ΡΠ²Π»ΡΠ΅ΡΡΡ ΠΎΠ΄Π½ΠΎΡΠΎΠ΄Π½ΡΠΌ.
Π§Π°ΡΡΡ ΡΠ΅ΠΏΠΈ, Π² ΠΊΠΎΡΠΎΡΠΎΠΉ Π·Π°ΡΡΠ΄Ρ Π΄Π²ΠΈΠΆΡΡΡΡ ΠΏΠΎ Π½Π°ΠΏΡΠ°Π²Π»Π΅Π½ΠΈΡ Π΄Π΅ΠΉΡΡΠ²ΠΈΡ ΡΠ»Π΅ΠΊΡΡΠΈΡΠ΅ΡΠΊΠΈΡ ΡΠΈΠ» (a-d-c-b)Π½Π°Π·ΡΠ²Π°ΡΡΒ Π²Π½Π΅ΡΠ½Π΅ΠΉ, Π° ΡΠ°ΡΡΡ ΡΠ΅ΠΏΠΈ, Π² ΠΊΠΎΡΠΎΡΠΎΠΉ Π·Π°ΡΡΠ΄Ρ Π΄Π²ΠΈΠΆΡΡΡΡ Π² ΡΡΠΎΡΠΎΠ½Ρ Π΄Π΅ΠΉΡΡΠ²ΠΈΡ ΡΡΠΎΡΠΎΠ½Π½ΠΈΡ ΡΠΈΠ» (a-b), Π½Π°Π·ΡΠ²Π°ΡΡΒ Π²Π½ΡΡΡΠ΅Π½Π½Π΅ΠΉ.
Π’Π΅ ΡΠΎΡΠΊΠΈ, Π² ΠΊΠΎΡΠΎΡΡΡ
Π²Π½Π΅ΡΠ½ΡΡ ΡΠ΅ΠΏΡ Π³ΡΠ°Π½ΠΈΡΠΈΡ Ρ Π²Π½ΡΡΡΠ΅Π½Π½Π΅ΠΉ Π½Π°Π·ΡΠ²Π°ΡΡΒ ΠΏΠΎΠ»ΡΡΠ°ΠΌΠΈ. Π£ ΠΎΠ΄Π½ΠΎΠ³ΠΎ ΠΈΠ· ΠΏΠΎΠ»ΡΡΠΎΠ² ΠΈΠΌΠ΅Π΅ΡΡΡ ΡΠ°ΠΌΡΠΉ Π±ΠΎΠ»ΡΡΠΎΠΉ ΠΏΠΎΡΠ΅Π½ΡΠΈΠ°Π», Π° Ρ Π΄ΡΡΠ³ΠΎΠ³ΠΎ ΡΠ°ΠΌΡΠΉ ΠΌΠ°Π»Π΅Π½ΡΠΊΠΈΠΉ ΠΏΠΎΡΠ΅Π½ΡΠΈΠ°Π» ΠΏΠΎ ΡΡΠ°Π²Π½Π΅Π½ΠΈΡ Ρ Π΄ΡΡΠ³ΠΈΠΌΠΈ ΡΠΎΡΠΊΠ°ΠΌΠΈ ΡΠ΅ΠΏΠΈ.
ΠΠΎΠ»ΡΡ Ρ Π½Π°ΠΈΠ±ΠΎΠ»ΡΡΠΈΠΌ ΠΏΠΎΡΠ΅Π½ΡΠΈΠ°Π»ΠΎΠΌ Π½Π°Π·ΡΠ²Π°ΡΡΒ ΠΏΠΎΠ»ΠΎΠΆΠΈΡΠ΅Π»ΡΠ½ΡΠΌ ΠΈ ΠΎΠ±ΠΎΠ·Π½Π°ΡΠ°ΡΡ Π·Π½Π°ΠΊΠΎΠΌ Β«+Β», Π° ΠΏΠΎΠ»ΡΡ Ρ Π½Π°ΠΈΠΌΠ΅Π½ΡΡΠΈΠΌ ΠΏΠΎΡΠ΅Π½ΡΠΈΠ°Π»ΠΎΠΌ Π½Π°Π·ΡΠ²Π°ΡΡΒ ΠΎΡΡΠΈΡΠ°ΡΠ΅Π»ΡΠ½ΡΠΌ ΠΈ ΠΎΠ±ΠΎΠ·Π½Π°ΡΠ°ΡΡ Π·Π½Π°ΠΊΠΎΠΌ Β«-Β».
ΠΡΠΈ ΠΏΠ΅ΡΠ΅ΠΌΠ΅ΡΠ΅Π½ΠΈΠΈ Π΅Π΄ΠΈΠ½ΠΈΡΠ½ΠΎΠ³ΠΎ ΠΏΠΎΠ»ΠΎΠΆΠΈΡΠ΅Π»ΡΠ½ΠΎΠ³ΠΎ Π·Π°ΡΡΠ΄Π° ΠΏΠΎ Π½Π΅ΠΊΠΎΡΠΎΡΠΎΠΌΡ ΡΡΠ°ΡΡΠΊΡ ΡΠ΅ΠΏΠΈ ΡΠ°Π±ΠΎΡΡ ΡΠΎΠ²Π΅ΡΡΠ°ΡΡ ΠΊΠ°ΠΊ ΡΠ»Π΅ΠΊΡΡΠΎΡΡΠ°ΡΠΈΡΠ΅ΡΠΊΠΈΠ΅ (ΠΊΡΠ»ΠΎΠ½ΠΎΠ²ΡΠΊΠΈΠ΅), ΡΠ°ΠΊ ΠΈ ΡΡΠΎΡΠΎΠ½Π½ΠΈΠ΅ ΡΠΈΠ»Ρ.
ΠΠ»Ρ ΡΡΡΠ΅ΡΡΠ²ΠΎΠ²Π°Π½ΠΈΡ ΠΏΠΎΡΡΠΎΡΠ½Π½ΠΎΠ³ΠΎ ΡΠΎΠΊΠ° Π½Π΅ΠΎΠ±Ρ ΠΎΠ΄ΠΈΠΌΠΎ Π½Π°Π»ΠΈΡΠΈΠ΅ Π² ΡΠ»Π΅ΠΊΡΡΠΈΡΠ΅ΡΠΊΠΎΠΉ ΡΠ΅ΠΏΠΈΒ ΠΈΡΡΠΎΡΠ½ΠΈΠΊΠ° ΠΏΠΎΡΡΠΎΡΠ½Π½ΠΎΠ³ΠΎ ΡΠΎΠΊΠ° β ΡΡΡΡΠΎΠΉΡΡΠ²Π°, ΡΠΏΠΎΡΠΎΠ±Π½ΠΎΠ³ΠΎ ΡΠΎΠ·Π΄Π°Π²Π°ΡΡ ΠΈ ΠΏΠΎΠ΄Π΄Π΅ΡΠΆΠΈΠ²Π°ΡΡ ΡΠ°Π·Π½ΠΎΡΡΠΈ ΠΏΠΎΡΠ΅Π½ΡΠΈΠ°Π»ΠΎΠ² Π½Π° ΡΡΠ°ΡΡΠΊΠ°Ρ ΡΠ΅ΠΏΠΈ.
ΠΠΎΠ·Π½ΠΈΠΊΠ½ΠΎΠ²Π΅Π½ΠΈΠ΅ ΡΠ°Π·Π½ΠΎΡΡΠΈ ΠΏΠΎΡΠ΅Π½ΡΠΈΠ°Π»ΠΎΠ² Π½Π° ΠΏΠΎΠ»ΡΡΠ°Ρ Π»ΡΠ±ΠΎΠ³ΠΎ ΠΈΡΡΠΎΡΠ½ΠΈΠΊΠ° ΡΠ²Π»ΡΠ΅ΡΡΡ ΡΠ΅Π·ΡΠ»ΡΡΠ°ΡΠΎΠΌ ΡΠ°Π·Π΄Π΅Π»Π΅Π½ΠΈΡ Π² Π½Π΅ΠΌ ΠΏΠΎΠ»ΠΎΠΆΠΈΡΠ΅Π»ΡΠ½ΡΡ ΠΈ ΠΎΡΡΠΈΡΠ°ΡΠ΅Π»ΡΠ½ΡΡ Π·Π°ΡΡΠ΄ΠΎΠ². ΠΡΠΎ ΡΠ°Π·Π΄Π΅Π»Π΅Π½ΠΈΠ΅ ΠΏΡΠΎΠΈΡΡ ΠΎΠ΄ΠΈΡ Π±Π»Π°Π³ΠΎΠ΄Π°ΡΡ ΡΠ°Π±ΠΎΡΠ΅, ΡΠΎΠ²Π΅ΡΡΠ°Π΅ΠΌΠΎΠΉ ΡΡΠΎΡΠΎΠ½Π½ΠΈΠΌΠΈ ΡΠΈΠ»Π°ΠΌΠΈ.
Β ΠΡΠΈ ΠΏΠ΅ΡΠ΅ΠΌΠ΅ΡΠ΅Π½ΠΈΠΈ ΡΠ»Π΅ΠΊΡΡΠΈΡΠ΅ΡΠΊΠΈΡ Π·Π°ΡΡΠ΄ΠΎΠ² ΠΏΠΎ ΡΠ΅ΠΏΠΈ ΠΏΠΎΡΡΠΎΡΠ½Π½ΠΎΠ³ΠΎ ΡΠΎΠΊΠ° ΡΡΠΎΡΠΎΠ½Π½ΠΈΠ΅ ΡΠΈΠ»Ρ, Π΄Π΅ΠΉΡΡΠ²ΡΡΡΠΈΠ΅ Π²Π½ΡΡΡΠΈ ΠΈΡΡΠΎΡΠ½ΠΈΠΊΠΎΠ² ΡΠΎΠΊΠ°, ΡΠΎΠ²Π΅ΡΡΠ°ΡΡ ΡΠ°Π±ΠΎΡΡ.
Π€ΠΈΠ·ΠΈΡΠ΅ΡΠΊΠ°Ρ Π²Π΅Π»ΠΈΡΠΈΠ½Π°, ΡΠ°Π²Π½Π°Ρ ΠΎΡΠ½ΠΎΡΠ΅Π½ΠΈΡ ΡΠ°Π±ΠΎΡΡ AΡΡ ΡΡΠΎΡΠΎΠ½Π½ΠΈΡ ΡΠΈΠ» ΠΏΡΠΈ ΠΏΠ΅ΡΠ΅ΠΌΠ΅ΡΠ΅Π½ΠΈΠΈ Π·Π°ΡΡΠ΄Π° q ΠΎΡ ΠΎΡΡΠΈΡΠ°ΡΠ΅Π»ΡΠ½ΠΎΠ³ΠΎ ΠΏΠΎΠ»ΡΡΠ° ΠΈΡΡΠΎΡΠ½ΠΈΠΊΠ° ΡΠΎΠΊΠ° ΠΊ ΠΏΠΎΠ»ΠΎΠΆΠΈΡΠ΅Π»ΡΠ½ΠΎΠΌΡ ΠΊ Π²Π΅Π»ΠΈΡΠΈΠ½Π΅ ΡΡΠΎΠ³ΠΎ Π·Π°ΡΡΠ΄Π°, Π½Π°Π·ΡΠ²Π°Π΅ΡΡΡ ΡΠ»Π΅ΠΊΡΡΠΎΠ΄Π²ΠΈΠΆΡΡΠ΅ΠΉ ΡΠΈΠ»ΠΎΠΉ ΠΈΡΡΠΎΡΠ½ΠΈΠΊΠ° (ΠΠΠ‘):
- ΠΠΠ‘ ΠΎΠΏΡΠ΅Π΄Π΅Π»ΡΠ΅ΡΡΡ ΡΠ°Π±ΠΎΡΠΎΠΉ, ΡΠΎΠ²Π΅ΡΡΠ°Π΅ΠΌΠΎΠΉ ΡΡΠΎΡΠΎΠ½Π½ΠΈΠΌΠΈ ΡΠΈΠ»Π°ΠΌΠΈ ΠΏΡΠΈ ΠΏΠ΅ΡΠ΅ΠΌΠ΅ΡΠ΅Π½ΠΈΠΈ Π΅Π΄ΠΈΠ½ΠΈΡΠ½ΠΎΠ³ΠΎ ΠΏΠΎΠ»ΠΎΠΆΠΈΡΠ΅Π»ΡΠ½ΠΎΠ³ΠΎ Π·Π°ΡΡΠ΄Π°.

- ΠΠ»Π΅ΠΊΡΡΠΎΠ΄Π²ΠΈΠΆΡΡΠ°Ρ ΡΠΈΠ»Π°, ΠΊΠ°ΠΊ ΠΈ ΡΠ°Π·Π½ΠΎΡΡΡ ΠΏΠΎΡΠ΅Π½ΡΠΈΠ°Π»ΠΎΠ², ΠΈΠ·ΠΌΠ΅ΡΡΠ΅ΡΡΡ Π²Β Π²ΠΎΠ»ΡΡΠ°Ρ [Π].
- Π§ΡΠΎΠ±Ρ ΠΈΠ·ΠΌΠ΅ΡΠΈΡΡ ΠΠΠ‘ ΠΈΡΡΠΎΡΠ½ΠΈΠΊΠ°, Π½Π°Π΄ΠΎΒ ΠΏΡΠΈΡΠΎΠ΅Π΄ΠΈΠ½ΠΈΡΡ ΠΊ Π½Π΅ΠΌΡΒ Π²ΠΎΠ»ΡΡΠΌΠ΅ΡΡ ΠΏΡΠΈ ΡΠ°Π·ΠΎΠΌΠΊΠ½ΡΡΠΎΠΉ ΡΠ΅ΠΏΠΈ.
ΠΡΡΠΎΡΠ½ΠΈΠΊ ΡΠΎΠΊΠ° ΡΠ²Π»ΡΠ΅ΡΡΡ ΠΏΡΠΎΠ²ΠΎΠ΄Π½ΠΈΠΊΠΎΠΌ ΠΈ Π²ΡΠ΅Π³Π΄Π° ΠΈΠΌΠ΅Π΅Ρ Π½Π΅ΠΊΠΎΡΠΎΡΠΎΠ΅ ΡΠΎΠΏΡΠΎΡΠΈΠ²Π»Π΅Π½ΠΈΠ΅, ΠΏΠΎΡΡΠΎΠΌΡ ΡΠΎΠΊ Π²ΡΠ΄Π΅Π»ΡΠ΅Ρ Π² Π½Π΅ΠΌ ΡΠ΅ΠΏΠ»ΠΎ. ΠΡΠΎ ΡΠΎΠΏΡΠΎΡΠΈΠ²Π»Π΅Π½ΠΈΠ΅ Π½Π°Π·ΡΠ²Π°ΡΡΒ Π²Π½ΡΡΡΠ΅Π½Π½ΠΈΠΌ ΡΠΎΠΏΡΠΎΡΠΈΠ²Π»Π΅Π½ΠΈΠ΅ΠΌ ΠΈΡΡΠΎΡΠ½ΠΈΠΊΠ°ΠΈ ΠΎΠ±ΠΎΠ·Π½Π°ΡΠ°ΡΡΒ r.
- ΠΡΠΈ ΠΏΠ΅ΡΠ΅ΠΌΠ΅ΡΠ΅Π½ΠΈΠΈ Π΅Π΄ΠΈΠ½ΠΈΡΠ½ΠΎΠ³ΠΎ ΠΏΠΎΠ»ΠΎΠΆΠΈΡΠ΅Π»ΡΠ½ΠΎΠ³ΠΎ Π·Π°ΡΡΠ΄Π° ΠΏΠΎ Π·Π°ΠΌΠΊΠ½ΡΡΠΎΠΉ ΡΠ΅ΠΏΠΈ ΠΏΠΎΡΡΠΎΡΠ½Π½ΠΎΠ³ΠΎ ΡΠΎΠΊΠ° ΡΠ°Π±ΠΎΡΠ° ΡΡΠΎΡΠΎΠ½Π½ΠΈΡ ΡΠΈΠ» ΡΠ°Π²Π½Π° ΡΡΠΌΠΌΠ΅ ΠΠΠ‘, Π΄Π΅ΠΉΡΡΠ²ΡΡΡΠΈΡ Π² ΡΡΠΎΠΉ ΡΠ΅ΠΏΠΈ, Π° ΡΠ°Π±ΠΎΡΠ° ΡΠ»Π΅ΠΊΡΡΠΎΡΡΠ°ΡΠΈΡΠ΅ΡΠΊΠΎΠ³ΠΎ ΠΏΠΎΠ»Ρ ΡΠ°Π²Π½Π° Π½ΡΠ»Ρ.
- Π Π°Π±ΠΎΡΠ° ΡΡΠΎΡΠΎΠ½Π½ΠΈΡ ΡΠΈΠ» ΠΏΠΎ ΠΏΠ΅ΡΠ΅ΠΌΠ΅ΡΠ΅Π½ΠΈΡ Π΅Π΄ΠΈΠ½ΠΈΡΠ½ΠΎΠ³ΠΎ Π·Π°ΡΡΠ΄Π° ΡΠ°Π²Π½Π° ΠΏΠΎ ΠΎΠΏΡΠ΅Π΄Π΅Π»Π΅Π½ΠΈΡ ΡΠ»Π΅ΠΊΡΡΠΎΠ΄Π²ΠΈΠΆΡΡΠ΅ΠΉ ΡΠΈΠ»Π΅ Ξ΅12, Π΄Π΅ΠΉΡΡΠ²ΡΡΡΠ΅ΠΉ Π½Π° Π΄Π°Π½Π½ΠΎΠΌ ΡΡΠ°ΡΡΠΊΠ΅. ΠΠΎΡΡΠΎΠΌΡ ΠΏΠΎΠ»Π½Π°Ρ ΡΠ°Π±ΠΎΡΠ° ΠΏΠΎ ΠΏΠ΅ΡΠ΅ΠΌΠ΅ΡΠ΅Π½ΠΈΡ Π΅Π΄ΠΈΠ½ΠΈΡΠ½ΠΎΠ³ΠΎ Π·Π°ΡΡΠ΄Π° ΡΠ°Π²Π½Π°Β
- ΠΠ΅Π»ΠΈΡΠΈΠ½ΡΒ U12 , ΡΠ°Π²Π½ΡΡ ΡΠ°Π±ΠΎΡΠ΅ ΠΏΠΎ ΠΏΠ΅ΡΠ΅ΠΌΠ΅ΡΠ΅Π½ΠΈΡ Π΅Π΄ΠΈΠ½ΠΈΡΠ½ΠΎΠ³ΠΎ Π·Π°ΡΡΠ΄Π°, ΠΏΡΠΈΠ½ΡΡΠΎ Π½Π°Π·ΡΠ²Π°ΡΡΒ Π½Π°ΠΏΡΡΠΆΠ΅Π½ΠΈΠ΅ΠΌ Π½Π° ΡΡΠ°ΡΡΠΊΠ΅ ΡΠ΅ΠΏΠΈ 1β2.
ΠΡΠ»ΠΈ ΡΠ΅ΠΏΡ ΡΠΎΡΡΠΎΠΈΡ ΠΈΠ· Π²Π½Π΅ΡΠ½Π΅ΠΉ ΡΠ°ΡΡΠΈ ΡΠΎΠΏΡΠΎΡΠΈΠ²Π»Π΅Π½ΠΈΠ΅ΠΌ R ΠΈ Π²Π½ΡΡΡΠ΅Π½Π½Π΅ΠΉ ΡΠΎΠΏΡΠΎΡΠΈΠ²Π»Π΅Π½ΠΈΠ΅ΠΌ r, ΡΠΎ,Β ΡΠΎΠ³Π»Π°ΡΠ½ΠΎ Π·Π°ΠΊΠΎΠ½Ρ ΡΠΎΡ ΡΠ°Π½Π΅Π½ΠΈΡ ΡΠ½Π΅ΡΠ³ΠΈΠΈ, ΠΠΠ‘ ΠΈΡΡΠΎΡΠ½ΠΈΠΊΠ° Π±ΡΠ΄Π΅Ρ ΡΠ°Π²Π½Π° ΡΡΠΌΠΌΠ΅ Π½Π°ΠΏΡΡΠΆΠ΅Π½ΠΈΠΉ Π½Π° Π²Π½Π΅ΡΠ½Π΅ΠΌ ΠΈ Π²Π½ΡΡΡΠ΅Π½Π½Π΅ΠΌ ΡΡΠ°ΡΡΠΊΠ°Ρ ΡΠ΅ΠΏΠΈ, Ρ.ΠΊ. ΠΏΡΠΈ ΠΏΠ΅ΡΠ΅ΠΌΠ΅ΡΠ΅Π½ΠΈΠΈ ΠΏΠΎ Π·Π°ΠΌΠΊΠ½ΡΡΠΎΠΉ ΡΠ΅ΠΏΠΈ Π·Π°ΡΡΠ΄ Π²ΠΎΠ·Π²ΡΠ°ΡΠ°Π΅ΡΡΡ Π² ΠΈΡΡ ΠΎΠ΄Π½ΠΎΠ΅ ΠΏΠΎΠ»ΠΎΠΆΠ΅Π½ΠΈΠ΅Β , Π³Π΄Π΅Β IR β Π½Π°ΠΏΡΡΠΆΠ΅Π½ΠΈΠ΅ Π½Π° Π²Π½Π΅ΡΠ½Π΅ΠΌ ΡΡΠ°ΡΡΠΊΠ΅ ΡΠ΅ΠΏΠΈ, Π°Β Ir β Π½Π°ΠΏΡΡΠΆΠ΅Π½ΠΈΠ΅ Π½Π° Π²Π½ΡΡΡΠ΅Π½Π½Π΅ΠΌ ΡΡΠ°ΡΡΠΊΠ΅ ΡΠ΅ΠΏΠΈ.
- Π’Π°ΠΊΠΈΠΌ ΠΎΠ±ΡΠ°Π·ΠΎΠΌ, Π΄Π»Ρ ΡΡΠ°ΡΡΠΊΠ° ΡΠ΅ΠΏΠΈ, ΡΠΎΠ΄Π΅ΡΠΆΠ°ΡΠ΅Π³ΠΎ ΠΠΠ‘:
- ΠΡΠ° ΡΠΎΡΠΌΡΠ»Π° Π²ΡΡΠ°ΠΆΠ°Π΅ΡΒ Π·Π°ΠΊΠΎΠ½ ΠΠΌΠ° Π΄Π»Ρ ΠΏΠΎΠ»Π½ΠΎΠΉ ΡΠ΅ΠΏΠΈ:Β ΡΠΈΠ»Π° ΡΠΎΠΊΠ° Π² ΠΏΠΎΠ»Π½ΠΎΠΉ ΡΠ΅ΠΏΠΈ ΠΏΡΡΠΌΠΎ ΠΏΡΠΎΠΏΠΎΡΡΠΈΠΎΠ½Π°Π»ΡΠ½Π° ΡΠ»Π΅ΠΊΡΡΠΎΠ΄Π²ΠΈΠΆΡΡΠ΅ΠΉ ΡΠΈΠ»Π΅ ΠΈΡΡΠΎΡΠ½ΠΈΠΊΠ° ΠΈ ΠΎΠ±ΡΠ°ΡΠ½ΠΎ ΠΏΡΠΎΠΏΠΎΡΡΠΈΠΎΠ½Π°Π»ΡΠ½Π° ΡΡΠΌΠΌΠ΅ ΡΠΎΠΏΡΠΎΡΠΈΠ²Π»Π΅Π½ΠΈΠΉ Π²Π½Π΅ΡΠ½Π΅Π³ΠΎ ΠΈ Π²Π½ΡΡΡΠ΅Π½Π½Π΅Π³ΠΎ ΡΡΠ°ΡΡΠΊΠΎΠ² ΡΠ΅ΠΏΠΈ.
- ΠΠ° ΡΠΈΡΡΠ½ΠΊΠ΅ ΠΈΠ·ΠΎΠ±ΡΠ°ΠΆΠ΅Π½Π° Π·Π°ΠΌΠΊΠ½ΡΡΠ°Ρ ΡΠ΅ΠΏΡ ΠΏΠΎΡΡΠΎΡΠ½Π½ΠΎΠ³ΠΎ ΡΠΎΠΊΠ°.
ΠΡΠΎΠ΄ΠΎΠ»ΠΆΠ΅Π½ΠΈΠ΅ Π»Π΅ΠΊΡΠΈΠΈ
ΠΡΡΠΎΡΠ½ΠΈΠΊ: http://infofiz.ru/index.php/mirfiziki/fizst/lkf/140-lk35ft
Π‘ΡΠΎΡΠΎΠ½Π½ΠΈΠ΅ ΡΠΈΠ»Ρ, ΡΠ»Π΅ΠΊΡΡΠΎΠ΄Π²ΠΈΠΆΡΡΠ°Ρ ΡΠΈΠ»Π° ΠΈ Π½Π°ΠΏΡΡΠΆΠ΅Π½ΠΈΠ΅
β ΠΡΠ΅Π΄ΡΠ΄ΡΡΠ°ΡΠ‘ΡΡ 3 ΠΈΠ· 10Π‘Π»Π΅Π΄ΡΡΡΠ°Ρ β
ΠΡΠ»ΠΈ Π² ΡΠ΅ΠΏΠΈ Π½Π° Π½ΠΎΡΠΈΡΠ΅Π»ΠΈ ΡΠΎΠΊΠ° Π΄Π΅ΠΉΡΡΠ²ΡΡΡ ΡΠΎΠ»ΡΠΊΠΎ ΡΠΈΠ»Ρ ΡΠ»Π΅ΠΊΡΡΠΎΡΡΠ°ΡΠΈΡΠ΅ΡΠΊΠΎΠ³ΠΎ ΠΏΠΎΠ»Ρ, ΡΠΎ ΠΏΡΠΎΠΈΡΡ ΠΎΠ΄ΠΈΡ ΠΏΠ΅ΡΠ΅ΠΌΠ΅ΡΠ΅Π½ΠΈΠ΅ Π½ΠΎΡΠΈΡΠ΅Π»Π΅ΠΉ (ΠΎΠ½ΠΈ ΠΏΡΠ΅Π΄ΠΏΠΎΠ»Π°Π³Π°ΡΡΡΡ ΠΏΠΎΠ»ΠΎΠΆΠΈΡΠ΅Π»ΡΠ½ΡΠΌΠΈ) ΠΎΡ ΡΠΎΡΠ΅ΠΊ Ρ Π±ΠΎΠ»ΡΡΠΈΠΌ ΠΏΠΎΡΠ΅Π½ΡΠΈΠ°Π»ΠΎΠΌ ΠΊ ΡΠΎΡΠΊΠ°ΠΌ Ρ ΠΌΠ΅Π½ΡΡΠΈΠΌ ΠΏΠΎΡΠ΅Π½ΡΠΈΠ°Π»ΠΎΠΌ. ΠΡΠΎ ΠΏΡΠΈΠ²Π΅Π΄Π΅Ρ ΠΊ Π²ΡΡΠ°Π²Π½ΠΈΠ²Π°Π½ΠΈΡ ΠΏΠΎΡΠ΅Π½ΡΠΈΠ°Π»ΠΎΠ² Π²ΠΎ Π²ΡΠ΅Ρ ΡΠΎΡΠΊΠ°Ρ ΡΠ΅ΠΏΠΈ ΠΈ ΠΊ ΠΈΡΡΠ΅Π·Π½ΠΎΠ²Π΅Π½ΠΈΡ ΡΠ»Π΅ΠΊΡΡΠΈΡΠ΅ΡΠΊΠΎΠ³ΠΎ ΠΏΠΎΠ»Ρ.
ΠΠΎΡΡΠΎΠΌΡ Π΄Π»Ρ ΡΡΡΠ΅ΡΡΠ²ΠΎΠ²Π°Π½ΠΈΡ ΠΏΠΎΡΡΠΎΡΠ½Π½ΠΎΠ³ΠΎ ΡΠΎΠΊΠ° Π½Π΅ΠΎΠ±Ρ ΠΎΠ΄ΠΈΠΌΠΎ Π½Π°Π»ΠΈΡΠΈΠ΅ Π² ΡΠ΅ΠΏΠΈ ΡΡΡΡΠΎΠΉΡΡΠ²Π°, ΡΠΏΠΎΡΠΎΠ±Π½ΠΎΠ³ΠΎ ΡΠΎΠ·Π΄Π°Π²Π°ΡΡ ΠΈ ΠΏΠΎΠ΄Π΄Π΅ΡΠΆΠΈΠ²Π°ΡΡ ΡΠ°Π·Π½ΠΎΡΡΡ ΠΏΠΎΡΠ΅Π½ΡΠΈΠ°Π»ΠΎΠ² Π·Π° ΡΡΠ΅Ρ ΡΠ°Π±ΠΎΡΡ ΡΠΈΠ» Π½Π΅ΡΠ»Π΅ΠΊΡΡΠΎΡΡΠ°ΡΠΈΡΠ΅ΡΠΊΠΎΠ³ΠΎ ΠΏΡΠΎΠΈΡΡ ΠΎΠΆΠ΄Π΅Π½ΠΈΡ. Π’Π°ΠΊΠΈΠ΅ ΡΡΡΡΠΎΠΉΡΡΠ²Π° Π½Π°Π·ΡΠ²Π°ΡΡΡΡΠΈΡΡΠΎΡΠ½ΠΈΠΊΠ°ΠΌΠΈ ΡΠΎΠΊΠ°.
Π‘ΠΈΠ»Ρ Π½Π΅ΡΠ»Π΅ΠΊΡΡΠΎΡΡΠ°ΡΠΈΡΠ΅ΡΠΊΠΎΠ³ΠΎ ΠΏΡΠΎΠΈΡΡ ΠΎΠΆΠ΄Π΅Π½ΠΈΡ, Π΄Π΅ΠΉΡΡΠ²ΡΡΡΠΈΠ΅ Π½Π° Π·Π°ΡΡΠ΄Ρ ΡΠΎ ΡΡΠΎΡΠΎΠ½Ρ ΠΈΡΡΠΎΡΠ½ΠΈΠΊΠΎΠ² ΡΠΎΠΊΠ°, Π½Π°Π·ΡΠ²Π°ΡΡΡΡΡΡΠΎΡΠΎΠ½Π½ΠΈΠΌΠΈ.
ΠΡΠΈΡΠΎΠ΄Π° ΡΡΠΎΡΠΎΠ½Π½ΠΈΡ ΡΠΈΠ» ΠΌΠΎΠΆΠ΅Ρ Π±ΡΡΡ ΡΠ°Π·Π»ΠΈΡΠ½ΠΎΠΉ. ΠΠ°ΠΏΡΠΈΠΌΠ΅Ρ, Π² Π³Π°Π»ΡΠ²Π°Π½ΠΈΡΠ΅ΡΠΊΠΈΡ ΡΠ»Π΅ΠΌΠ΅Π½ΡΠ°Ρ ΠΎΠ½ΠΈ Π²ΠΎΠ·Π½ΠΈΠΊΠ°ΡΡ Π·Π° ΡΡΠ΅Ρ ΡΠ½Π΅ΡΠ³ΠΈΠΈ Ρ ΠΈΠΌΠΈΡΠ΅ΡΠΊΠΈΡ ΡΠ΅Π°ΠΊΡΠΈΠΉ ΠΌΠ΅ΠΆΠ΄Ρ ΡΠ»Π΅ΠΊΡΡΠΎΠ΄Π°ΠΌΠΈ ΠΈ ΡΠ»Π΅ΠΊΡΡΠΎΠ»ΠΈΡΠ°ΠΌΠΈ; Π² Π³Π΅Π½Π΅ΡΠ°ΡΠΎΡΠ΅ β Π·Π° ΡΡΠ΅Ρ ΠΌΠ΅Ρ Π°Π½ΠΈΡΠ΅ΡΠΊΠΎΠΉ ΡΠ½Π΅ΡΠ³ΠΈΠΈ Π²ΡΠ°ΡΠ΅Π½ΠΈΡ ΡΠΎΡΠΎΡΠ° Π³Π΅Π½Π΅ΡΠ°ΡΠΎΡΠ° ΠΈ Ρ. ΠΏ.
Π ΠΎΠ»Ρ ΠΈΡΡΠΎΡΠ½ΠΈΠΊΠ° ΡΠΎΠΊΠ° Π² ΡΠ»Π΅ΠΊΡΡΠΈΡΠ΅ΡΠΊΠΎΠΉ ΡΠ΅ΠΏΠΈ, ΠΎΠ±ΡΠ°Π·Π½ΠΎ Π³ΠΎΠ²ΠΎΡΡ, ΡΠ°ΠΊΠ°Ρ ΠΆΠ΅, ΠΊΠ°ΠΊ ΡΠΎΠ»Ρ Π½Π°ΡΠΎΡΠ°, ΠΊΠΎΡΠΎΡΡΠΉ Π½Π΅ΠΎΠ±Ρ ΠΎΠ΄ΠΈΠΌ Π΄Π»Ρ ΠΏΠ΅ΡΠ΅ΠΊΠ°ΡΠΈΠ²Π°Π½ΠΈΡ ΠΆΠΈΠ΄ΠΊΠΎΡΡΠΈ Π² Π³ΠΈΠ΄ΡΠ°Π²Π»ΠΈΡΠ΅ΡΠΊΠΎΠΉ ΡΠΈΡΡΠ΅ΠΌΠ΅.
ΠΠΎΠ΄ Π΄Π΅ΠΉΡΡΠ²ΠΈΠ΅ΠΌ ΡΠΎΠ·Π΄Π°Π²Π°Π΅ΠΌΠΎΠ³ΠΎ ΠΏΠΎΠ»Ρ ΡΡΠΎΡΠΎΠ½Π½ΠΈΡ ΡΠΈΠ» ΡΠ»Π΅ΠΊΡΡΠΈΡΠ΅ΡΠΊΠΈΠ΅ Π·Π°ΡΡΠ΄Ρ Π΄Π²ΠΈΠΆΡΡΡΡ Π²Π½ΡΡΡΠΈ ΠΈΡΡΠΎΡΠ½ΠΈΠΊΠ° ΡΠΎΠΊΠ° ΠΏΡΠΎΡΠΈΠ² ΡΠΈΠ» ΡΠ»Π΅ΠΊΡΡΠΎΡΡΠ°ΡΠΈΡΠ΅ΡΠΊΠΎΠ³ΠΎ ΠΏΠΎΠ»Ρ, Π±Π»Π°Π³ΠΎΠ΄Π°ΡΡ ΡΠ΅ΠΌΡ Π½Π° ΠΊΠΎΠ½ΡΠ°Ρ ΡΠ΅ΠΏΠΈ ΠΏΠΎΠ΄Π΄Π΅ΡΠΆΠΈΠ²Π°Π΅ΡΡΡ ΡΠ°Π·Π½ΠΎΡΡΡ ΠΏΠΎΡΠ΅Π½ΡΠΈΠ°Π»ΠΎΠ² ΠΈ Π² ΡΠ΅ΠΏΠΈ ΡΠ΅ΡΠ΅Ρ ΠΏΠΎΡΡΠΎΡΠ½Π½ΡΠΉ ΡΠ»Π΅ΠΊΡΡΠΈΡΠ΅ΡΠΊΠΈΠΉ ΡΠΎΠΊ.
Π‘ΡΠΎΡΠΎΠ½Π½ΠΈΠ΅ ΡΠΈΠ»Ρ ΡΠΎΠ²Π΅ΡΡΠ°ΡΡ ΡΠ°Π±ΠΎΡΡ ΠΏΠΎ ΠΏΠ΅ΡΠ΅ΠΌΠ΅ΡΠ΅Π½ΠΈΡ ΡΠ»Π΅ΠΊΡΡΠΈΡΠ΅ΡΠΊΠΈΡ Π·Π°ΡΡΠ΄ΠΎΠ². Π€ΠΈΠ·ΠΈΒΡΠ΅ΡΠΊΠ°Ρ Π²Π΅Π»ΠΈΡΠΈΠ½Π°, ΠΎΠΏΡΠ΅Π΄Π΅Π»ΡΠ΅ΠΌΠ°Ρ ΡΠ°Π±ΠΎΡΠΎΠΉ, ΡΠΎΠ²Π΅ΡΡΠ°Π΅ΠΌΠΎΠΉ ΡΡΠΎΡΠΎΠ½Π½ΠΈΠΌΠΈ ΡΠΈΠ»Π°ΠΌΠΈ ΠΏΡΠΈ ΠΏΠ΅ΡΠ΅ΠΌΠ΅ΡΠ΅Π½ΠΈΠΈ Π΅Π΄ΠΈΠ½ΠΈΡΠ½ΠΎΠ³ΠΎ ΠΏΠΎΠ»ΠΎΠΆΠΈΡΠ΅Π»ΡΠ½ΠΎΠ³ΠΎ Π·Π°ΡΡΠ΄Π°, Π½Π°Π·ΡΠ²Π°Π΅ΡΡΡΡΠ»Π΅ΠΊΡΡΠΎΠ΄Π²ΠΈΠΆΡΡΠ΅ΠΉ ΡΠΈΠ»ΠΎΠΉ (Ρ.Π΄.Ρ.),Π΄Π΅ΠΉΡΡΠ²ΡΡΡΠ΅ΠΉ Π² ΡΠ΅ΠΏΠΈ:
Π‘ΡΠΎΡΠΎΠ½Π½ΡΡ ΡΠΈΠ»Π° FΡΡ, Π΄Π΅ΠΉΡΡΠ²ΡΡΡΠ°Ρ Π½Π° Π·Π°ΡΡΠ΄ Q, ΠΌΠΎΠΆΠ΅Ρ Π±ΡΡΡ Π²ΡΡΠ°ΠΆΠ΅Π½Π° ΠΊΠ°ΠΊ
Π³Π΄Π΅ Π β Π½Π°ΠΏΡΡΠΆΠ΅Π½Π½ΠΎΡΡΡ ΠΏΠΎΠ»Ρ ΡΡΠΎΡΠΎΠ½Π½ΠΈΡ ΡΠΈΠ». Π Π°Π±ΠΎΡΠ° ΠΆΠ΅ ΡΡΠΎΡΠΎΠ½Π½ΠΈΡ ΡΠΈΠ» ΠΏΠΎ ΠΏΠ΅ΡΠ΅ΠΌΠ΅ΡΠ΅Π½ΠΈΡ Π·Π°ΡΡΠ΄Π° Q0 Π½Π° Π·Π°ΠΌΠΊΠ½ΡΡΠΎΠΌ ΡΡΠ°ΡΡΠΊΠ΅ ΡΠ΅ΠΏΠΈ ΡΠ°Π²Π½Π°
Π Π°Π·Π΄Π΅Π»ΠΈΠ² (97.2) Π½Π° Q, ΠΏΠΎΠ»ΡΡΠΈΠΌ Π²ΡΡΠ°ΠΆΠ΅Π½ΠΈΠ΅ Π΄Π»Ρ Ρ. Π΄. Ρ., Π΄Π΅ΠΉΡΡΠ²ΡΡΡΠ΅ΠΉ Π² ΡΠ΅ΠΏΠΈ:
Ρ. Π΅. Ρ.Π΄.Ρ., Π΄Π΅ΠΉΡΡΠ²ΡΡΡΠ°Ρ Π² Π·Π°ΠΌΠΊΠ½ΡΡΠΎΠΉ ΡΠ΅ΠΏΠΈ, ΠΌΠΎΠΆΠ΅Ρ Π±ΡΡΡ ΠΎΠΏΡΠ΅Π΄Π΅Π»Π΅Π½Π° ΠΊΠ°ΠΊ ΡΠΈΡΠΊΡΠ»ΡΡΠΈΡ Π²Π΅ΠΊΡΠΎΡΠ° Π½Π°ΠΏΡΡΠΆΠ΅Π½Π½ΠΎΡΡΠΈ ΠΏΠΎΠ»Ρ ΡΡΠΎΡΠΎΠ½Π½ΠΈΡ ΡΠΈΠ». Π.Π΄.Ρ., Π΄Π΅ΠΉΡΡΠ²ΡΡΡΠ°Ρ Π½Π° ΡΡΠ°ΡΡΠΊΠ΅ 1β2, ΡΠ°Π²Π½Π°
ΠΠ° Π·Π°ΡΡΠ΄ Q0 ΠΏΠΎΠΌΠΈΠΌΠΎ ΡΡΠΎΡΠΎΠ½Π½ΠΈΡ ΡΠΈΠ» Π΄Π΅ΠΉΡΡΠ²ΡΡΡ ΡΠ°ΠΊΠΆΠ΅ ΡΠΈΠ»Ρ ΡΠ»Π΅ΠΊΡΡΠΎΡΡΠ°ΡΠΈΡΠ΅ΡΠΊΠΎΠ³ΠΎ ΠΏΠΎΠ»Ρ Fe=QE. Π’Π°ΠΊΠΈΠΌ ΠΎΠ±ΡΠ°Π·ΠΎΠΌ, ΡΠ΅Π·ΡΠ»ΡΡΠΈΡΡΡΡΠ°Ρ ΡΠΈΠ»Π°, Π΄Π΅ΠΉΡΡΠ²ΡΡΡΠ°Ρ Π² ΡΠ΅ΠΏΠΈ Π½Π° Π·Π°ΡΡΠ΄ Q0, ΡΠ°Π²Π½Π°
Π Π°Π±ΠΎΡΠ°, ΡΠΎΠ²Π΅ΡΡΠ°Π΅ΠΌΠ°Ρ ΡΠ΅Π·ΡΠ»ΡΡΠΈΡΡΡΡΠ΅ΠΉ ΡΠΈΠ»ΠΎΠΉ Π½Π°Π΄ Π·Π°ΡΡΠ΄ΠΎΠΌ Q0 Π½Π° ΡΡΠ°ΡΡΠΊΠ΅ 1β2, ΡΠ°Π²Π½Π°
ΠΡΠΏΠΎΠ»ΡΠ·ΡΡ Π²ΡΡΠ°ΠΆΠ΅Π½ΠΈΡ (97.3) ΠΈ (84.8), ΠΌΠΎΠΆΠ΅ΠΌ Π·Π°ΠΏΠΈΡΠ°ΡΡ
ΠΠ°ΠΏΡΡΠΆΠ΅Π½ΠΈΠ΅ΠΌ U Π½Π° ΡΡΠ°ΡΡΠΊΠ΅ 1β2 Π½Π°Π·ΡΠ²Π°Π΅ΡΡΡ ΡΠΈΠ·ΠΈΡΠ΅ΡΠΊΠ°Ρ Π²Π΅Π»ΠΈΡΠΈΠ½Π°, ΠΎΠΏΡΠ΅Π΄Π΅Π»ΡΠ΅ΠΌΠ°Ρ ΡΠ°Π±ΠΎΡΠΎΠΉ, ΡΠΎΠ²Π΅ΡΡΠ°Π΅ΠΌΠΎΠΉ ΡΡΠΌΠΌΠ°ΡΠ½ΡΠΌ ΠΏΠΎΠ»Π΅ΠΌ ΡΠ»Π΅ΠΊΡΡΠΎΡΡΠ°ΡΠΈΡΠ΅ΡΠΊΠΈΡ (ΠΊΡΠ»ΠΎΠ½ΠΎΠ²ΡΠΊΠΈΡ ) ΠΈ ΡΡΠΎΡΠΎΠ½Π½ΠΈΡ ΡΠΈΠ» ΠΏΡΠΈ ΠΏΠ΅ΡΠ΅ΠΌΠ΅ΡΠ΅Π½ΠΈΠΈ Π΅Π΄ΠΈΠ½ΠΈΡΠ½ΠΎΠ³ΠΎ ΠΏΠΎΠ»ΠΎΠΆΠΈΡΠ΅Π»ΡΠ½ΠΎΠ³ΠΎ Π·Π°ΡΡΠ΄Π° Π½Π° Π΄Π°Π½Π½ΠΎΠΌ ΡΡΠ°ΡΡΠΊΠ΅ ΡΠ΅ΠΏΠΈ. Π’Π°ΠΊΠΈΠΌ ΠΎΠ±ΡΠ°Π·ΠΎΠΌ, ΡΠΎΠ³Π»Π°ΡΠ½ΠΎ (97.4),
ΠΠΎΠ½ΡΡΠΈΠ΅ Π½Π°ΠΏΡΡΠΆΠ΅Π½ΠΈΡ ΡΠ²Π»ΡΠ΅ΡΡΡ ΠΎΠ±ΠΎΠ±ΡΠ΅Π½ΠΈΠ΅ΠΌ ΠΏΠΎΠ½ΡΡΠΈΡ ΡΠ°Π·Π½ΠΎΡΡΠΈ ΠΏΠΎΡΠ΅Π½ΡΠΈΠ°Π»ΠΎΠ²: Π½Π°ΠΏΡΡΠΆΠ΅Π½ΠΈΠ΅ Π½Π° ΠΊΠΎΠ½ΡΠ°Ρ ΡΡΠ°ΡΡΠΊΠ° ΡΠ΅ΠΏΠΈ ΡΠ°Π²Π½ΠΎ ΡΠ°Π·Π½ΠΎΡΡΠΈ ΠΏΠΎΡΠ΅Π½ΡΠΈΠ°Π»ΠΎΠ² Π² ΡΠΎΠΌ ΡΠ»ΡΡΠ°Π΅, Π΅ΡΠ»ΠΈ Π½Π° ΡΡΠΎΠΌ ΡΡΠ°ΡΡΠΊΠ΅ Π½Π΅ Π΄Π΅ΠΉΡΡΠ²ΡΠ΅Ρ Π.Π΄.Ρ., Ρ. Π΅. ΡΡΠΎΡΠΎΠ½Π½ΠΈΠ΅ ΡΠΈΠ»Ρ ΠΎΡΡΡΡΡΡΠ²ΡΡΡ.
18 ΠΡΠ°Π²ΠΈΠ»Π° ΠΠΈΡΡ Π³ΠΎΡΠ° Π΄Π»Ρ ΡΠ°Π·Π²Π΅ΡΠ²Π»Π΅Π½Π½ΡΡ ΡΠ΅ΠΏΠ΅ΠΉ
ΠΠ΅ΡΠ²ΠΎΠ΅ ΠΏΡΠ°Π²ΠΈΠ»ΠΎ ΠΠΈΡΡ Π³ΠΎΡΠ° ΡΡΠ²Π΅ΡΠΆΠ΄Π°Π΅Ρ, ΡΡΠΎ Π°Π»Π³Π΅Π±ΡΠ°ΠΈΡΠ΅ΡΠΊΠ°Ρ ΡΡΠΌΠΌΠ° ΡΠΎΠΊΠΎΠ², ΡΡ ΠΎΠ΄ΡΡΠΈΡ ΡΡ Π² Π»ΡΠ±ΠΎΠΌ ΡΠ·Π»Π΅ ΡΠ΅ΠΏΠΈ ΡΠ°Π²Π½Π° Π½ΡΠ»Ρ:
Π ΡΠ»ΡΡΠ°Π΅ ΡΡΡΠ°Π½ΠΎΠ²ΠΈΠ²ΡΠ΅Π³ΠΎΡΡ ΠΏΠΎΡΡΠΎΡΠ½Π½ΠΎΠ³ΠΎ ΡΠΎΠΊΠ° Π² ΡΠ΅ΠΏΠΈ Π½ΠΈ Π² ΠΎΠ΄Π½ΠΎΠΉ ΡΠΎΡΠΊΠ΅ ΠΏΡΠΎΠ²ΠΎΠ΄Π½ΠΈΠΊΠ°, Π½ΠΈ Π½Π° ΠΎΠ΄Π½ΠΎΠΌ ΠΈΠ· Π΅Π³ΠΎ ΡΡΠ°ΡΡΠΊΠΎΠ² Π½Π΅ Π΄ΠΎΠ»ΠΆΠ½Ρ Π½Π°ΠΊΠ°ΠΏΠ»ΠΈΠ²Π°ΡΡΡΡ ΡΠ»Π΅ΠΊΡΡΠΈΡΠ΅ΡΠΊΠΈΠ΅ Π·Π°ΡΡΠ΄Ρ (ΡΠ·Π΅Π» β Π»ΡΠ±ΠΎΠΉ ΡΡΠ°ΡΡΠΎΠΊ ΡΠ΅ΠΏΠΈ, Π³Π΄Π΅ ΡΡ ΠΎΠ΄ΡΡΡΡ Π±ΠΎΠ»Π΅Π΅ Π΄Π²ΡΡ ΠΏΡΠΎΠ²ΠΎΠ΄Π½ΠΈΠΊΠΎΠ² (ΡΠΈΡ. 7.8)).
Π ΠΈΡ. 7.8
Π’ΠΎΠΊΠΈ, ΡΡ ΠΎΠ΄ΡΡΠΈΠ΅ΡΡ ΠΊ ΡΠ·Π»Ρ, ΡΡΠΈΡΠ°ΡΡΡΡ ΠΏΠΎΠ»ΠΎΠΆΠΈΡΠ΅Π»ΡΠ½ΡΠΌΠΈ:
ΠΡΠΎΡΠΎΠ΅ ΠΏΡΠ°Π²ΠΈΠ»ΠΎ ΠΠΈΡΡ Π³ΠΎΡΠ°ΡΠ²Π»ΡΠ΅ΡΡΡ ΠΎΠ±ΠΎΠ±ΡΠ΅Π½ΠΈΠ΅ΠΌ Π·Π°ΠΊΠΎΠ½Π° ΠΠΌΠ° Π΄Π»Ρ ΡΠ°Π·Π²Π΅ΡΠ²Π»Π΅Π½Π½ΠΎΠΉ ΡΠ΅ΠΏΠΈ.ΠΠ»Ρ ΠΏΡΠΎΠΈΠ·Π²ΠΎΠ»ΡΠ½ΠΎΠ³ΠΎ Π·Π°ΠΌΠΊΠ½ΡΡΠΎΠ³ΠΎ ΠΊΠΎΠ½ΡΡΡΠ° Ρ ΠΏΡΠΎΠΈΠ·Π²ΠΎΠ»ΡΠ½ΡΠΌ ΡΠΈΡΠ»ΠΎΠΌ ΡΠ°Π·Π²Π΅ΡΠ²Π»Π΅Π½ΠΈΠΉ (ΡΠΈΡ. 7.9) ΠΌΠΎΠΆΠ½ΠΎ Π·Π°ΠΏΠΈΡΠ°ΡΡ Π΄Π»Ρ ΠΊΠ°ΠΆΠ΄ΠΎΠ³ΠΎ ΡΠ»Π΅ΠΌΠ΅Π½ΡΠ° ΠΊΠΎΠ½ΡΡΡΠ°:
Π ΠΈΡ. 7.9
Π‘ΠΊΠ»Π°Π΄ΡΠ²Π°Ρ ΡΡΠΈ ΡΡΠ°Π²Π½Π΅Π½ΠΈΡ ΠΏΠΎΠ»ΡΡΠΈΠΌ Π²ΡΠΎΡΠΎΠ΅ ΠΏΡΠ°Π²ΠΈΠ»ΠΎ ΠΠΈΡΡ Π³ΠΎΡΠ°:
Π Π»ΡΠ±ΠΎΠΌ Π·Π°ΠΌΠΊΠ½ΡΡΠΎΠΌ ΠΊΠΎΠ½ΡΡΡΠ΅ ΡΠ»Π΅ΠΊΡΡΠΈΡΠ΅ΡΠΊΠΎΠΉ ΡΠ΅ΠΏΠΈ Π°Π»Π³Π΅Π±ΡΠ°ΠΈΡΠ΅ΡΠΊΠ°Ρ ΡΡΠΌΠΌΠ° ΠΏΡΠΎΠΈΠ·Π²Π΅Π΄Π΅Π½ΠΈΡ ΡΠΎΠΊΠ° Π½Π° ΡΠΎΠΏΡΠΎΡΠΈΠ²Π»Π΅Π½ΠΈΠ΅ ΡΠ°Π²Π½Π° Π°Π»Π³Π΅Π±ΡΠ°ΠΈΡΠ΅ΡΠΊΠΎΠΉ ΡΡΠΌΠΌΠ΅ ΠΠΠ‘, Π΄Π΅ΠΉΡΡΠ²ΡΡΡΠΈΡ Π² ΡΡΠΎΠΌ ΠΆΠ΅ ΠΊΠΎΠ½ΡΡΡΠ΅.
ΠΠ±Ρ ΠΎΠ΄ ΠΊΠΎΠ½ΡΡΡΠΎΠ² ΠΎΡΡΡΠ΅ΡΡΠ²Π»ΡΠ΅ΡΡΡ ΠΏΠΎ ΡΠ°ΡΠΎΠ²ΠΎΠΉ ΡΡΡΠ΅Π»ΠΊΠ΅, Π΅ΡΠ»ΠΈ Π½Π°ΠΏΡΠ°Π²Π»Π΅Π½ΠΈΠ΅ ΠΎΠ±Ρ ΠΎΠ΄Π° ΡΠΎΠ²ΠΏΠ°Π΄Π°Π΅Ρ Ρ Π½Π°ΠΏΡΠ°Π²Π»Π΅Π½ΠΈΠ΅ΠΌ ΡΠΎΠΊΠ°, ΡΠΎ ΡΠΎΠΊ Π±Π΅ΡΠ΅ΡΡΡ ΡΠΎ Π·Π½Π°ΠΊΠΎΠΌ Β«ΠΏΠ»ΡΡΒ».
19. ΠΌΠΎΡΠ½ΠΎΡΡΡ Π² ΡΠ΅ΠΏΠΈ ΠΏΠΎΡΡΠΎΡΠ½Π½ΠΎΠ³ΠΎ ΡΠΎΠΊΠ°. Π Π°Π±ΠΎΡΠ° Π²ΡΡ ΠΎΠ΄Π° β ΡΠ°Π·Π½ΠΈΡΠ° ΠΌΠ΅ΠΆΠ΄Ρ ΠΌΠΈΠ½ΠΈΠΌΠ°Π»ΡΠ½ΠΎΠΉ ΡΠ½Π΅ΡΠ³ΠΈΠ΅ΠΉ (ΠΎΠ±ΡΡΠ½ΠΎ ΠΈΠ·ΠΌΠ΅ΡΡΠ΅ΠΌΠΎΠΉ Π² ΡΠ»Π΅ΠΊΡΡΠΎΠ½-Π²ΠΎΠ»ΡΡΠ°Ρ ), ΠΊΠΎΡΠΎΡΡΡ Π½Π΅ΠΎΠ±Ρ ΠΎΠ΄ΠΈΠΌΠΎ ΡΠΎΠΎΠ±ΡΠΈΡΡ ΡΠ»Π΅ΠΊΡΡΠΎΠ½Ρ Π΄Π»Ρ Π΅Π³ΠΎ Β«Π½Π΅ΠΏΠΎΡΡΠ΅Π΄ΡΡΠ²Π΅Π½Π½ΠΎΠ³ΠΎΒ» ΡΠ΄Π°Π»Π΅Π½ΠΈΡ ΠΈΠ· ΠΎΠ±ΡΡΠΌΠ° ΡΠ²ΡΡΠ΄ΠΎΠ³ΠΎ ΡΠ΅Π»Π°, ΠΈ ΡΠ½Π΅ΡΠ³ΠΈΠ΅ΠΉ Π€Π΅ΡΠΌΠΈ.
ΠΠ΄Π΅ΡΡ Β«Π½Π΅ΠΏΠΎΡΡΠ΅Π΄ΡΡΠ²Π΅Π½Π½ΠΎΡΡΡΒ» ΠΎΠ·Π½Π°ΡΠ°Π΅Ρ ΡΠΎ, ΡΡΠΎ ΡΠ»Π΅ΠΊΡΡΠΎΠ½ ΡΠ΄Π°Π»ΡΠ΅ΡΡΡ ΠΈΠ· ΡΠ²ΡΡΠ΄ΠΎΠ³ΠΎ ΡΠ΅Π»Π° ΡΠ΅ΡΠ΅Π· Π΄Π°Π½Π½ΡΡ ΠΏΠΎΠ²Π΅ΡΡ Π½ΠΎΡΡΡ ΠΈ ΠΏΠ΅ΡΠ΅ΠΌΠ΅ΡΠ°Π΅ΡΡΡ Π² ΡΠΎΡΠΊΡ, ΠΊΠΎΡΠΎΡΠ°Ρ ΡΠ°ΡΠΏΠΎΠ»ΠΎΠΆΠ΅Π½Π° Π΄ΠΎΡΡΠ°ΡΠΎΡΠ½ΠΎ Π΄Π°Π»Π΅ΠΊΠΎ ΠΎΡ ΠΏΠΎΠ²Π΅ΡΡ Π½ΠΎΡΡΠΈ ΠΏΠΎ Π°ΡΠΎΠΌΠ½ΡΠΌ ΠΌΠ°ΡΡΡΠ°Π±Π°ΠΌ (ΡΡΠΎΠ±Ρ ΡΠ»Π΅ΠΊΡΡΠΎΠ½ ΠΏΡΠΎΡΡΠ» Π²Π΅ΡΡ Π΄Π²ΠΎΠΉΠ½ΠΎΠΉ ΡΠ»ΠΎΠΉ), Π½ΠΎ Π΄ΠΎΡΡΠ°ΡΠΎΡΠ½ΠΎ Π±Π»ΠΈΠ·ΠΊΠΎ ΠΏΠΎ ΡΡΠ°Π²Π½Π΅Π½ΠΈΡ Ρ ΡΠ°Π·ΠΌΠ΅ΡΠ°ΠΌΠΈ ΠΌΠ°ΠΊΡΠΎΡΠΊΠΎΠΏΠΈΡΠ΅ΡΠΊΠΈΡ Π³ΡΠ°Π½Π΅ΠΉ ΠΊΡΠΈΡΡΠ°Π»Π»Π°.
ΠΡΠΈ ΡΡΠΎΠΌ ΠΏΡΠ΅Π½Π΅Π±ΡΠ΅Π³Π°ΡΡ Π΄ΠΎΠΏΠΎΠ»Π½ΠΈΡΠ΅Π»ΡΠ½ΠΎΠΉ ΡΠ°Π±ΠΎΡΠΎΠΉ, ΠΊΠΎΡΠΎΡΡΡ Π½Π΅ΠΎΠ±Ρ ΠΎΠ΄ΠΈΠΌΠΎ Π·Π°ΡΡΠ°ΡΠΈΡΡ Π½Π° ΠΏΡΠ΅ΠΎΠ΄ΠΎΠ»Π΅Π½ΠΈΠ΅ Π²Π½Π΅ΡΠ½ΠΈΡ ΠΏΠΎΠ»Π΅ΠΉ, Π²ΠΎΠ·Π½ΠΈΠΊΠ°ΡΡΠΈΡ ΠΈΠ·-Π·Π° ΠΏΠ΅ΡΠ΅ΡΠ°ΡΠΏΡΠ΅Π΄Π΅Π»Π΅Π½ΠΈΡ ΠΏΠΎΠ²Π΅ΡΡ Π½ΠΎΡΡΠ½ΡΡ Π·Π°ΡΡΠ΄ΠΎΠ². Π’Π°ΠΊΠΈΠΌ ΠΎΠ±ΡΠ°Π·ΠΎΠΌ, ΡΠ°Π±ΠΎΡΠ° Π²ΡΡ ΠΎΠ΄Π° Π΄Π»Ρ ΠΎΠ΄Π½ΠΎΠ³ΠΎ ΠΈ ΡΠΎΠ³ΠΎ ΠΆΠ΅ Π²Π΅ΡΠ΅ΡΡΠ²Π° Π΄Π»Ρ ΡΠ°Π·Π»ΠΈΡΠ½ΡΡ ΠΊΡΠΈΡΡΠ°Π»Π»ΠΎΠ³ΡΠ°ΡΠΈΡΠ΅ΡΠΊΠΈΡ ΠΎΡΠΈΠ΅Π½ΡΠ°ΡΠΈΠΉ ΠΏΠΎΠ²Π΅ΡΡ Π½ΠΎΡΡΠΈ ΠΎΠΊΠ°Π·ΡΠ²Π°Π΅ΡΡΡ ΡΠ°Π·Π»ΠΈΡΠ½ΠΎΠΉ.
ΠΡΠΈ ΡΠ΄Π°Π»Π΅Π½ΠΈΠΈ ΡΠ»Π΅ΠΊΡΡΠΎΠ½Π° Π½Π° Π±Π΅ΡΠΊΠΎΠ½Π΅ΡΠ½ΠΎΡΡΡ Π΅Π³ΠΎ Π²Π·Π°ΠΈΠΌΠΎΠ΄Π΅ΠΉΡΡΠ²ΠΈΠ΅ Ρ Π·Π°ΡΡΠ΄Π°ΠΌΠΈ, ΠΎΡΡΠ°ΡΡΠΈΠΌΠΈΡΡ Π²Π½ΡΡΡΠΈ ΡΠ²ΡΡΠ΄ΠΎΠ³ΠΎ ΡΠ΅Π»Π° ΠΏΡΠΈΠ²ΠΎΠ΄ΠΈΡ ΠΊ ΠΈΠ½Π΄ΡΡΠΈΡΠΎΠ²Π°Π½ΠΈΡ ΠΌΠ°ΠΊΡΠΎΡΠΊΠΎΠΏΠΈΡΠ΅ΡΠΊΠΈΡ ΠΏΠΎΠ²Π΅ΡΡ Π½ΠΎΡΡΠ½ΡΡ Π·Π°ΡΡΠ΄ΠΎΠ² (ΠΏΡΠΈ ΡΠ°ΡΡΠΌΠΎΡΡΠ΅Π½ΠΈΠΈ ΠΏΠΎΠ»ΡΠ±Π΅ΡΠΊΠΎΠ½Π΅ΡΠ½ΠΎΠ³ΠΎ ΠΎΠ±ΡΠ°Π·ΡΠ° Π² ΡΠ»Π΅ΠΊΡΡΠΎΡΡΠ°ΡΠΈΠΊΠ΅ ΡΡΠΎ Π½Π°Π·ΡΠ²Π°ΡΡ Β«ΠΈΠ·ΠΎΠ±ΡΠ°ΠΆΠ΅Π½ΠΈΠ΅ΠΌ Π·Π°ΡΡΠ΄Π°Β»).
ΠΡΠΈ ΠΏΠ΅ΡΠ΅ΠΌΠ΅ΡΠ΅Π½ΠΈΠΈ ΡΠ»Π΅ΠΊΡΡΠΎΠ½Π° Π² ΠΏΠΎΠ»Π΅ ΠΈΠ½Π΄ΡΡΠΈΡΠΎΠ²Π°Π½Π½ΠΎΠ³ΠΎ Π·Π°ΡΡΠ΄Π° ΡΠΎΠ²Π΅ΡΡΠ°Π΅ΡΡΡ Π΄ΠΎΠΏΠΎΠ»Π½ΠΈΡΠ΅Π»ΡΠ½Π°Ρ ΡΠ°Π±ΠΎΡΠ°, ΠΊΠΎΡΠΎΡΠ°Ρ ΠΎΠΏΡΠ΅Π΄Π΅Π»ΡΠ΅ΡΡΡ Π΄ΠΈΡΠ»Π΅ΠΊΡΡΠΈΡΠ΅ΡΠΊΠΎΠΉ ΠΏΡΠΎΠ½ΠΈΡΠ°Π΅ΠΌΠΎΡΡΡΡ Π²Π΅ΡΠ΅ΡΡΠ²Π°, Π³Π΅ΠΎΠΌΠ΅ΡΡΠΈΠ΅ΠΉ ΠΎΠ±ΡΠ°Π·ΡΠ° ΠΈ ΡΠ²ΠΎΠΉΡΡΠ²Π°ΠΌΠΈ Π΄ΡΡΠ³ΠΈΡ ΠΏΠΎΠ²Π΅ΡΡ Π½ΠΎΡΡΠ΅ΠΉ.
ΠΠ° ΡΡΠ΅Ρ ΡΡΠΎΠ³ΠΎ ΠΏΠΎΠ»Π½Π°Ρ ΡΠ°Π±ΠΎΡΠ° ΠΏΠΎ ΠΏΠ΅ΡΠ΅ΠΌΠ΅ΡΠ΅Π½ΠΈΡ ΡΠ»Π΅ΠΊΡΡΠΎΠ½Π° ΠΈΠ· Π»ΡΠ±ΠΎΠΉ ΡΠΎΡΠΊΠΈ ΠΎΠ±ΡΠ°Π·ΡΠ° Π² Π»ΡΠ±ΡΡ Π΄ΡΡΠ³ΡΡ ΡΠΎΡΠΊΡ (Π² ΡΠΎΠΌ ΡΠΈΡΠ»Π΅ ΠΈ ΡΠΎΡΠΊΡ Π±Π΅ΡΠΊΠΎΠ½Π΅ΡΠ½ΠΎΡΡΠΈ) Π½Π΅ Π·Π°Π²ΠΈΡΠΈΡ ΠΎΡ ΠΏΡΡΠΈ ΠΏΠ΅ΡΠ΅ΠΌΠ΅ΡΠ΅Π½ΠΈΡ, ΡΠΎ Π΅ΡΡΡ ΠΎΡ ΡΠΎΠ³ΠΎ, ΡΠ΅ΡΠ΅Π· ΠΊΠ°ΠΊΡΡ ΠΏΠΎΠ²Π΅ΡΡ Π½ΠΎΡΡΡ Π±ΡΠ» ΡΠ΄Π°Π»Π΅Π½ ΡΠ»Π΅ΠΊΡΡΠΎΠ½. ΠΠΎΡΡΠΎΠΌΡ Π² ΡΠΈΠ·ΠΈΠΊΠ΅ ΡΠ²ΡΡΠ΄ΠΎΠ³ΠΎ ΡΠ΅Π»Π° ΡΡΠ° ΡΠ°Π±ΠΎΡΠ° Π½Π΅ ΡΡΠΈΡΡΠ²Π°Π΅ΡΡΡ ΠΈ Π½Π΅ Π²Ρ ΠΎΠ΄ΠΈΡ Π² ΡΠ°Π±ΠΎΡΡ Π²ΡΡ ΠΎΠ΄Π°.
20.ΡΠ°Π±ΠΎΡΠ° Π²ΡΡ ΠΎΠ΄Π° ΡΠ»Π΅ΠΊΡΡΠΎΠ½Π°. ΡΠ΅ΡΠΌΠΎΡΠ»Π΅ΠΊΡΡΠΎΠ½Π½Π°Ρ ΡΠΌΠΈΡΡΠΈΡΠ’Π΅ΡΠΌΠΎΡΠ»Π΅ΠΊΡΡΠΎΜΠ½Π½Π°Ρ ΡΠΌΠΈΜΡΡΠΈΡ (ΡΡΡΠ΅ΠΊΡ Π ΠΈΡΠ°ΡΠ΄ΡΠΎΠ½Π°, ΡΡΡΠ΅ΠΊΡ ΠΠ΄ΠΈΡΠΎΠ½Π°) β ΡΠ²Π»Π΅Π½ΠΈΠ΅ ΠΈΡΠΏΡΡΠΊΠ°Π½ΠΈΡ ΡΠ»Π΅ΠΊΡΡΠΎΠ½ΠΎΠ² Π½Π°Π³ΡΠ΅ΡΡΠΌΠΈ ΡΠ΅Π»Π°ΠΌΠΈ.
ΠΠΎΠ½ΡΠ΅Π½ΡΡΠ°ΡΠΈΡ ΡΠ²ΠΎΠ±ΠΎΠ΄Π½ΡΡ ΡΠ»Π΅ΠΊΡΡΠΎΠ½ΠΎΠ² Π² ΠΌΠ΅ΡΠ°Π»Π»Π°Ρ Π΄ΠΎΡΡΠ°ΡΠΎΡΠ½ΠΎ Π²ΡΡΠΎΠΊΠ°, ΠΏΠΎΡΡΠΎΠΌΡ Π΄Π°ΠΆΠ΅ ΠΏΡΠΈ ΡΡΠ΅Π΄Π½ΠΈΡ ΡΠ΅ΠΌΠΏΠ΅ΡΠ°ΡΡΡΠ°Ρ Π²ΡΠ»Π΅Π΄ΡΡΠ²ΠΈΠ΅ ΡΠ°ΡΠΏΡΠ΅Π΄Π΅Π»Π΅Π½ΠΈΡ ΡΠ»Π΅ΠΊΡΡΠΎΠ½ΠΎΠ² ΠΏΠΎ ΡΠΊΠΎΡΠΎΡΡΡΠΌ (ΠΏΠΎ ΡΠ½Π΅ΡΠ³ΠΈΠΈ) Π½Π΅ΠΊΠΎΡΠΎΡΡΠ΅ ΡΠ»Π΅ΠΊΡΡΠΎΠ½Ρ ΠΎΠ±Π»Π°Π΄Π°ΡΡ ΡΠ½Π΅ΡΠ³ΠΈΠ΅ΠΉ, Π΄ΠΎΡΡΠ°ΡΠΎΡΠ½ΠΎΠΉ Π΄Π»Ρ ΠΏΡΠ΅ΠΎΠ΄ΠΎΠ»Π΅Π½ΠΈΡ ΠΏΠΎΡΠ΅Π½ΡΠΈΠ°Π»ΡΠ½ΠΎΠ³ΠΎ Π±Π°ΡΡΠ΅ΡΠ° Π½Π° Π³ΡΠ°Π½ΠΈΡΠ΅ ΠΌΠ΅ΡΠ°Π»Π»Π°.
Π‘ ΠΏΠΎΠ²ΡΡΠ΅Π½ΠΈΠ΅ΠΌ ΡΠ΅ΠΌΠΏΠ΅ΡΠ°ΡΡΡΡ ΡΠΈΡΠ»ΠΎ ΡΠ»Π΅ΠΊΡΡΠΎΠ½ΠΎΠ², ΠΊΠΈΠ½Π΅ΡΠΈΡΠ΅ΡΠΊΠ°Ρ ΡΠ½Π΅ΡΠ³ΠΈΡ ΡΠ΅ΠΏΠ»ΠΎΠ²ΠΎΠ³ΠΎ Π΄Π²ΠΈΠΆΠ΅Π½ΠΈΡ ΠΊΠΎΡΠΎΡΡΡ Π±ΠΎΠ»ΡΡΠ΅ ΡΠ°Π±ΠΎΡΡ Π²ΡΡ ΠΎΠ΄Π°, ΡΠ°ΡΡΠ΅Ρ, ΠΈ ΡΠ²Π»Π΅Π½ΠΈΠ΅ ΡΠ΅ΡΠΌΠΎΡΠ»Π΅ΠΊΡΡΠΎΠ½Π½ΠΎΠΉ ΡΠΌΠΈΡΡΠΈΠΈ ΡΡΠ°Π½ΠΎΠ²ΠΈΡΡΡ Π·Π°ΠΌΠ΅ΡΠ½ΡΠΌ.
ΠΡΡΠ»Π΅Π΄ΠΎΠ²Π°Π½ΠΈΠ΅ Π·Π°ΠΊΠΎΠ½ΠΎΠΌΠ΅ΡΠ½ΠΎΡΡΠ΅ΠΉ ΡΠ΅ΡΠΌΠΎΡΠ»Π΅ΠΊΡΡΠΎΠ½Π½ΠΎΠΉ ΡΠΌΠΈΡΡΠΈΠΈ ΠΌΠΎΠΆΠ½ΠΎ ΠΏΡΠΎΠ²Π΅ΡΡΠΈ Ρ ΠΏΠΎΠΌΠΎΡΡΡ ΠΏΡΠΎΡΡΠ΅ΠΉΡΠ΅ΠΉ Π΄Π²ΡΡ ΡΠ»Π΅ΠΊΡΡΠΎΠ΄Π½ΠΎΠΉ Π»Π°ΠΌΠΏΡ β Π²Π°ΠΊΡΡΠΌΠ½ΠΎΠ³ΠΎ Π΄ΠΈΠΎΠ΄Π°, ΠΏΡΠ΅Π΄ΡΡΠ°Π²Π»ΡΡΡΠ΅Π³ΠΎ ΡΠΎΠ±ΠΎΠΉ ΠΎΡΠΊΠ°ΡΠ°Π½Π½ΡΠΉ Π±Π°Π»Π»ΠΎΠ½, ΡΠΎΠ΄Π΅ΡΠΆΠ°ΡΠΈΠΉ Π΄Π²Π° ΡΠ»Π΅ΠΊΡΡΠΎΠ΄Π°: ΠΊΠ°ΡΠΎΠ΄ Π ΠΈ Π°Π½ΠΎΠ΄ Π. Π ΠΏΡΠΎΡΡΠ΅ΠΉΡΠ΅ΠΌ ΡΠ»ΡΡΠ°Π΅ ΠΊΠ°ΡΠΎΠ΄ΠΎΠΌ ΡΠ»ΡΠΆΠΈΡ Π½ΠΈΡΡ ΠΈΠ· ΡΡΠ³ΠΎΠΏΠ»Π°Π²ΠΊΠΎΠ³ΠΎ ΠΌΠ΅ΡΠ°Π»Π»Π° (Π½Π°ΠΏΡΠΈΠΌΠ΅Ρ, Π²ΠΎΠ»ΡΡΡΠ°ΠΌΠ°), Π½Π°ΠΊΠ°Π»ΠΈΠ²Π°Π΅ΠΌΠ°Ρ ΡΠ»Π΅ΠΊΡΡΠΈΡΠ΅ΡΠΊΠΈΠΌ ΡΠΎΠΊΠΎΠΌ.
ΠΠ½ΠΎΠ΄ ΡΠ°ΡΠ΅ Π²ΡΠ΅Π³ΠΎ ΠΈΠΌΠ΅Π΅Ρ ΡΠΎΡΠΌΡ ΠΌΠ΅ΡΠ°Π»Π»ΠΈΡΠ΅ΡΠΊΠΎΠ³ΠΎ ΡΠΈΠ»ΠΈΠ½Π΄ΡΠ°, ΠΎΠΊΡΡΠΆΠ°ΡΡΠ΅Π³ΠΎ ΠΊΠ°ΡΠΎΠ΄. ΠΡΠ»ΠΈ Π΄ΠΈΠΎΠ΄ Π²ΠΊΠ»ΡΡΠΈΡΡ Π² ΡΠ΅ΠΏΡ, ΡΠΎ ΠΏΡΠΈ Π½Π°ΠΊΠ°Π»ΠΈΠ²Π°Π½ΠΈΠΈ ΠΊΠ°ΡΠΎΠ΄Π° ΠΈ ΠΏΠΎΠ΄Π°ΡΠ΅ Π½Π° Π°Π½ΠΎΠ΄ ΠΏΠΎΠ»ΠΎΠΆΠΈΡΠ΅Π»ΡΠ½ΠΎΠ³ΠΎ Π½Π°ΠΏΡΡΠΆΠ΅Π½ΠΈΡ (ΠΎΡΠ½ΠΎΡΠΈΡΠ΅Π»ΡΠ½ΠΎ ΠΊΠ°ΡΠΎΠ΄Π°) Π² Π°Π½ΠΎΠ΄Π½ΠΎΠΉ ΡΠ΅ΠΏΠΈ Π΄ΠΈΠΎΠ΄Π° Π²ΠΎΠ·Π½ΠΈΠΊΠ°Π΅Ρ ΡΠΎΠΊ. ΠΡΠ»ΠΈ ΠΏΠΎΠΌΠ΅Π½ΡΡΡ ΠΏΠΎΠ»ΡΡΠ½ΠΎΡΡΡ Π±Π°ΡΠ°ΡΠ΅ΠΈ, ΡΠΎ ΡΠΎΠΊ ΠΏΡΠ΅ΠΊΡΠ°ΡΠ°Π΅ΡΡΡ, ΠΊΠ°ΠΊ Π±Ρ ΡΠΈΠ»ΡΠ½ΠΎ ΠΊΠ°ΡΠΎΠ΄ Π½ΠΈ Π½Π°ΠΊΠ°Π»ΠΈΠ²Π°Π»ΠΈ.
Π‘Π»Π΅Π΄ΠΎΠ²Π°ΡΠ΅Π»ΡΠ½ΠΎ, ΠΊΠ°ΡΠΎΠ΄ ΠΈΡΠΏΡΡΠΊΠ°Π΅Ρ ΠΎΡΡΠΈΡΠ°ΡΠ΅Π»ΡΠ½ΡΠ΅ ΡΠ°ΡΡΠΈΡΡ β ΡΠ»Π΅ΠΊΡΡΠΎΠ½Ρ. ΠΡΠ»ΠΈ ΠΏΠΎΠ΄Π΄Π΅ΡΠΆΠΈΠ²Π°ΡΡ ΡΠ΅ΠΌΠΏΠ΅ΡΠ°ΡΡΡΡ Π½Π°ΠΊΠ°Π»Π΅Π½Π½ΠΎΠ³ΠΎ ΠΊΠ°ΡΠΎΠ΄Π° ΠΏΠΎΡΡΠΎΡΠ½Π½ΠΎΠΉ ΠΈ ΡΠ½ΡΡΡ Π·Π°Π²ΠΈΡΠΈΠΌΠΎΡΡΡ Π°Π½ΠΎΠ΄Π½ΠΎΠ³ΠΎ ΡΠΎΠΊΠ° ΠΎΡ Π°Π½ΠΎΠ΄Π½ΠΎΠ³ΠΎ Π½Π°ΠΏΡΡΠΆΠ΅Π½ΠΈΡ β Π²ΠΎΠ»ΡΡ-Π°ΠΌΠΏΠ΅ΡΠ½ΡΡ Ρ Π°ΡΠ°ΠΊΡΠ΅ΡΠΈΡΡΠΈΠΊΡ, ΡΠΎ ΠΎΠΊΠ°Π·ΡΠ²Π°Π΅ΡΡΡ, ΡΡΠΎ ΠΎΠ½Π° Π½Π΅ ΡΠ²Π»ΡΠ΅ΡΡΡ Π»ΠΈΠ½Π΅ΠΉΠ½ΠΎΠΉ, ΡΠΎ Π΅ΡΡΡ Π΄Π»Ρ Π²Π°ΠΊΡΡΠΌΠ½ΠΎΠ³ΠΎ Π΄ΠΈΠΎΠ΄Π° Π·Π°ΠΊΠΎΠ½ ΠΠΌΠ° Π½Π΅ Π²ΡΠΏΠΎΠ»Π½ΡΠ΅ΡΡΡ.
ΠΠ°Π²ΠΈΡΠΈΠΌΠΎΡΡΡ ΡΠ΅ΡΠΌΠΎΡΠ»Π΅ΠΊΡΡΠΎΠ½Π½ΠΎΠ³ΠΎ ΡΠΎΠΊΠ° ΠΎΡ Π°Π½ΠΎΠ΄Π½ΠΎΠ³ΠΎ Π½Π°ΠΏΡΡΠΆΠ΅Π½ΠΈΡ Π² ΠΎΠ±Π»Π°ΡΡΠΈ ΠΌΠ°Π»ΡΡ ΠΏΠΎΠ»ΠΎΠΆΠΈΡΠ΅Π»ΡΠ½ΡΡ Π·Π½Π°ΡΠ΅Π½ΠΈΠΉ ΠΎΠΏΠΈΡΡΠ²Π°Π΅ΡΡΡ Π·Π°ΠΊΠΎΠ½ΠΎΠΌ ΡΡΠ΅Ρ Π²ΡΠΎΡΡΡ (ΡΡΡΠ°Π½ΠΎΠ²Π»Π΅Π½ ΡΡΡΡΠΊΠΈΠΌ ΡΠΈΠ·ΠΈΠΊΠΎΠΌ Π‘. Π. ΠΠΎΠ³ΡΡΠ»Π°Π²ΡΠΊΠΈΠΌ (1883β 1923) ΠΈ Π°ΠΌΠ΅ΡΠΈΠΊΠ°Π½ΡΠΊΠΈΠΌ ΡΠΈΠ·ΠΈΠΊΠΎΠΌ Π. ΠΠ΅Π½Π³ΠΌΡΡΠΎΠΌ (1881 β 1957)): , Π³Π΄Π΅ Π β ΠΊΠΎΡΡΡΠΈΡΠΈΠ΅Π½Ρ, Π·Π°Π²ΠΈΡΡΡΠΈΠΉ ΠΎΡ ΡΠΎΡΠΌΡ ΠΈ ΡΠ°Π·ΠΌΠ΅ΡΠΎΠ² ΡΠ»Π΅ΠΊΡΡΠΎΠ΄ΠΎΠ², Π° ΡΠ°ΠΊΠΆΠ΅ ΠΈΡ Π²Π·Π°ΠΈΠΌΠ½ΠΎΠ³ΠΎ ΡΠ°ΡΠΏΠΎΠ»ΠΎΠΆΠ΅Π½ΠΈΡ.
ΠΡΠΈ ΡΠ²Π΅Π»ΠΈΡΠ΅Π½ΠΈΠΈ Π°Π½ΠΎΠ΄Π½ΠΎΠ³ΠΎ Π½Π°ΠΏΡΡΠΆΠ΅Π½ΠΈΡ ΡΠΎΠΊ Π²ΠΎΠ·ΡΠ°ΡΡΠ°Π΅Ρ Π΄ΠΎ Π½Π΅ΠΊΠΎΡΠΎΡΠΎΠ³ΠΎ ΠΌΠ°ΠΊΡΠΈΠΌΠ°Π»ΡΠ½ΠΎΠ³ΠΎ Π·Π½Π°ΡΠ΅Π½ΠΈΡ, Π½Π°Π·ΡΠ²Π°Π΅ΠΌΠΎΠ³ΠΎ ΡΠΎΠΊΠΎΠΌ Π½Π°ΡΡΡΠ΅Π½ΠΈΡ. ΠΡΠΎ ΠΎΠ·Π½Π°ΡΠ°Π΅Ρ, ΡΡΠΎ ΠΏΠΎΡΡΠΈ Π²ΡΠ΅ ΡΠ»Π΅ΠΊΡΡΠΎΠ½Ρ, ΠΏΠΎΠΊΠΈΠ΄Π°ΡΡΠΈΠ΅ ΠΊΠ°ΡΠΎΠ΄, Π΄ΠΎΡΡΠΈΠ³Π°ΡΡ Π°Π½ΠΎΠ΄Π°, ΠΏΠΎΡΡΠΎΠΌΡ Π΄Π°Π»ΡΠ½Π΅ΠΉΡΠ΅Π΅ ΡΠ²Π΅Π»ΠΈΡΠ΅Π½ΠΈΠ΅ Π½Π°ΠΏΡΡΠΆΠ΅Π½Π½ΠΎΡΡΠΈ ΠΏΠΎΠ»Ρ Π½Π΅ ΠΌΠΎΠΆΠ΅Ρ ΠΏΡΠΈΠ²Π΅ΡΡΠΈ ΠΊ ΡΠ²Π΅Π»ΠΈΡΠ΅Π½ΠΈΡ ΡΠ΅ΡΠΌΠΎΡΠ»Π΅ΠΊΡΡΠΎΠ½Π½ΠΎΠ³ΠΎ ΡΠΎΠΊΠ°.
Π‘Π»Π΅Π΄ΠΎΠ²Π°ΡΠ΅Π»ΡΠ½ΠΎ, ΠΏΠ»ΠΎΡΠ½ΠΎΡΡΡ ΡΠΎΠΊΠ° Π½Π°ΡΡΡΠ΅Π½ΠΈΡ Ρ Π°ΡΠ°ΠΊΡΠ΅ΡΠΈΠ·ΡΠ΅Ρ ΡΠΌΠΈΡΡΠΈΠΎΠ½Π½ΡΡ ΡΠΏΠΎΡΠΎΠ±Π½ΠΎΡΡΡ ΠΌΠ°ΡΠ΅ΡΠΈΠ°Π»Π° ΠΊΠ°ΡΠΎΠ΄Π°. ΠΠ»ΠΎΡΠ½ΠΎΡΡΡ ΡΠΎΠΊΠ° Π½Π°ΡΡΡΠ΅Π½ΠΈΡ ΠΎΠΏΡΠ΅Π΄Π΅Π»ΡΠ΅ΡΡΡ ΡΠΎΡΠΌΡΠ»ΠΎΠΉ Π ΠΈΡΠ°ΡΠ΄ΡΠΎΠ½Π° β ΠΠ΅ΡΠΌΠ°Π½Π°, Π²ΡΠ²Π΅Π΄Π΅Π½Π½ΠΎΠΉ ΡΠ΅ΠΎΡΠ΅ΡΠΈΡΠ΅ΡΠΊΠΈ Π½Π° ΠΎΡΠ½ΠΎΠ²Π΅ ΠΊΠ²Π°Π½ΡΠΎΠ²ΠΎΠΉ ΡΡΠ°ΡΠΈΡΡΠΈΠΊΠΈ: , Π³Π΄Π΅ Π β ΡΠ°Π±ΠΎΡΠ° Π²ΡΡ ΠΎΠ΄Π° ΡΠ»Π΅ΠΊΡΡΠΎΠ½ΠΎΠ² ΠΈΠ· ΠΊΠ°ΡΠΎΠ΄Π°, Π’ β ΡΠ΅ΡΠΌΠΎΠ΄ΠΈΠ½Π°ΠΌΠΈΡΠ΅ΡΠΊΠ°Ρ ΡΠ΅ΠΌΠΏΠ΅ΡΠ°ΡΡΡΠ°, Π‘ β ΠΏΠΎΡΡΠΎΡΠ½Π½Π°Ρ, ΡΠ΅ΠΎΡΠ΅ΡΠΈΡΠ΅ΡΠΊΠΈ ΠΎΠ΄ΠΈΠ½Π°ΠΊΠΎΠ²Π°Ρ Π΄Π»Ρ Π²ΡΠ΅Ρ ΠΌΠ΅ΡΠ°Π»Π»ΠΎΠ² (ΡΡΠΎ Π½Π΅ ΠΏΠΎΠ΄ΡΠ²Π΅ΡΠΆΠ΄Π°Π΅ΡΡΡ ΡΠΊΡΠΏΠ΅ΡΠΈΠΌΠ΅Π½ΡΠΎΠΌ, ΡΡΠΎ, ΠΏΠΎ-Π²ΠΈΠ΄ΠΈΠΌΠΎΠΌΡ, ΠΎΠ±ΡΡΡΠ½ΡΠ΅ΡΡΡ ΠΏΠΎΠ²Π΅ΡΡ Π½ΠΎΡΡΠ½ΡΠΌΠΈ ΡΡΡΠ΅ΠΊΡΠ°ΠΌΠΈ). Π£ΠΌΠ΅Π½ΡΡΠ΅Π½ΠΈΠ΅ ΡΠ°Π±ΠΎΡΡ Π²ΡΡ ΠΎΠ΄Π° ΠΏΡΠΈΠ²ΠΎΠ΄ΠΈΡ ΠΊ ΡΠ΅Π·ΠΊΠΎΠΌΡ ΡΠ²Π΅Π»ΠΈΡΠ΅Π½ΠΈΡ ΠΏΠ»ΠΎΡΠ½ΠΎΡΡΠΈ ΡΠΎΠΊΠ° Π½Π°ΡΡΡΠ΅Π½ΠΈΡ. ΠΠΎΡΡΠΎΠΌΡ ΠΏΡΠΈΠΌΠ΅Π½ΡΡΡΡΡ ΠΎΠΊΡΠΈΠ΄Π½ΡΠ΅ ΠΊΠ°ΡΠΎΠ΄Ρ (Π½Π°ΠΏΡΠΈΠΌΠ΅Ρ, Π½ΠΈΠΊΠ΅Π»Ρ, ΠΏΠΎΠΊΡΡΡΡΠΉ ΠΎΠΊΡΠΈΠ΄ΠΎΠΌ ΡΠ΅Π»ΠΎΡΠ½ΠΎΠ·Π΅ΠΌΠ΅Π»ΡΠ½ΠΎΠ³ΠΎ ΠΌΠ΅ΡΠ°Π»Π»Π°), ΡΠ°Π±ΠΎΡΠ° Π²ΡΡ ΠΎΠ΄Π° ΠΊΠΎΡΠΎΡΡΡ ΡΠ°Π²Π½Π° 1 β1,5 ΡΠ.
β ΠΡΠ΅Π΄ΡΠ΄ΡΡΠ°Ρ12345678910Π‘Π»Π΅Π΄ΡΡΡΠ°Ρ β
Π Π΅ΠΊΠΎΠΌΠ΅Π½Π΄ΡΠ΅ΠΌΡΠ΅ ΡΡΡΠ°Π½ΠΈΡΡ:
ΠΡΡΠΎΡΠ½ΠΈΠΊ: https://lektsia.com/5x3cdb.html
ΠΠ»Π΅ΠΊΡΡΠΎΠ΄Π²ΠΈΠΆΡΡΠ°Ρ ΡΠΈΠ»Π° β ΠΠ»Π°ΡΡ!Π½Π°Ρ ΡΠΈΠ·ΠΈΠΊΠ°
Β«Π€ΠΈΠ·ΠΈΠΊΠ° β 10 ΠΊΠ»Π°ΡΡΒ»
ΠΡΠ±ΠΎΠΉ ΠΈΡΡΠΎΡΠ½ΠΈΠΊ ΡΠΎΠΊΠ° Ρ Π°ΡΠ°ΠΊΡΠ΅ΡΠΈΠ·ΡΠ΅ΡΡΡ ΡΠ»Π΅ΠΊΡΡΠΎΠ΄Π²ΠΈΠΆΡΡΠ΅ΠΉ ΡΠΈΠ»ΠΎΠΉ, ΠΈΠ»ΠΈ ΡΠΎΠΊΡΠ°ΡΡΠ½Π½ΠΎ ΠΠΠ‘. Π’Π°ΠΊ, Π½Π° ΠΊΡΡΠ³Π»ΠΎΠΉ Π±Π°ΡΠ°ΡΠ΅ΠΉΠΊΠ΅ Π΄Π»Ρ ΠΊΠ°ΡΠΌΠ°Π½Π½ΠΎΠ³ΠΎ ΡΠΎΠ½Π°ΡΠΈΠΊΠ° Π½Π°ΠΏΠΈΡΠ°Π½ΠΎ: 1,5 Π. Π§ΡΠΎ ΡΡΠΎ Π·Π½Π°ΡΠΈΡ?
ΠΡΠ»ΠΈ ΡΠΎΠ΅Π΄ΠΈΠ½ΠΈΡΡ ΠΏΡΠΎΠ²ΠΎΠ΄Π½ΠΈΠΊΠΎΠΌ Π΄Π²Π° ΡΠ°Π·Π½ΠΎΠΈΠΌΡΠ½Π½ΠΎ Π·Π°ΡΡΠΆΠ΅Π½Π½ΡΡ ΡΠ°ΡΠΈΠΊΠ°, ΡΠΎ Π·Π°ΡΡΠ΄Ρ Π±ΡΡΡΡΠΎ Π½Π΅ΠΉΡΡΠ°Π»ΠΈΠ·ΡΡΡ Π΄ΡΡΠ³ Π΄ΡΡΠ³Π°, ΠΏΠΎΡΠ΅Π½ΡΠΈΠ°Π»Ρ ΡΠ°ΡΠΈΠΊΠΎΠ² ΡΡΠ°Π½ΡΡ ΠΎΠ΄ΠΈΠ½Π°ΠΊΠΎΠ²ΡΠΌΠΈ, ΠΈ ΡΠ»Π΅ΠΊΡΡΠΈΡΠ΅ΡΠΊΠΎΠ΅ ΠΏΠΎΠ»Π΅ ΠΈΡΡΠ΅Π·Π½Π΅Ρ (ΡΠΈΡ. 15.9, Π°).
Π‘ΡΠΎΡΠΎΠ½Π½ΠΈΠ΅ ΡΠΈΠ»Ρ.
ΠΠ»Ρ ΡΠΎΠ³ΠΎ ΡΡΠΎΠ±Ρ ΡΠΎΠΊ Π±ΡΠ» ΠΏΠΎΡΡΠΎΡΠ½Π½ΡΠΌ, Π½Π°Π΄ΠΎ ΠΏΠΎΠ΄Π΄Π΅ΡΠΆΠΈΠ²Π°ΡΡ ΠΏΠΎΡΡΠΎΡΠ½Π½ΠΎΠ΅ Π½Π°ΠΏΡΡΠΆΠ΅Π½ΠΈΠ΅ ΠΌΠ΅ΠΆΠ΄Ρ ΡΠ°ΡΠΈΠΊΠ°ΠΌΠΈ.
ΠΠ»Ρ ΡΡΠΎΠ³ΠΎ Π½Π΅ΠΎΠ±Ρ ΠΎΠ΄ΠΈΠΌΠΎ ΡΡΡΡΠΎΠΉΡΡΠ²ΠΎ (ΠΈΡΡΠΎΡΠ½ΠΈΠΊ ΡΠΎΠΊΠ°), ΠΊΠΎΡΠΎΡΠΎΠ΅ ΠΏΠ΅ΡΠ΅ΠΌΠ΅ΡΠ°Π»ΠΎ Π±Ρ Π·Π°ΡΡΠ΄Ρ ΠΎΡ ΠΎΠ΄Π½ΠΎΠ³ΠΎ ΡΠ°ΡΠΈΠΊΠ° ΠΊ Π΄ΡΡΠ³ΠΎΠΌΡ Π² Π½Π°ΠΏΡΠ°Π²Π»Π΅Π½ΠΈΠΈ, ΠΏΡΠΎΡΠΈΠ²ΠΎΠΏΠΎΠ»ΠΎΠΆΠ½ΠΎΠΌ Π½Π°ΠΏΡΠ°Π²Π»Π΅Π½ΠΈΡ ΡΠΈΠ», Π΄Π΅ΠΉΡΡΠ²ΡΡΡΠΈΡ Π½Π° ΡΡΠΈ Π·Π°ΡΡΠ΄Ρ ΡΠΎ ΡΡΠΎΡΠΎΠ½Ρ ΡΠ»Π΅ΠΊΡΡΠΈΡΠ΅ΡΠΊΠΎΠ³ΠΎ ΠΏΠΎΠ»Ρ ΡΠ°ΡΠΈΠΊΠΎΠ².
Π ΡΠ°ΠΊΠΎΠΌ ΡΡΡΡΠΎΠΉΡΡΠ²Π΅ Π½Π° Π·Π°ΡΡΠ΄Ρ, ΠΊΡΠΎΠΌΠ΅ ΡΠ»Π΅ΠΊΡΡΠΈΡΠ΅ΡΠΊΠΈΡ ΡΠΈΠ», Π΄ΠΎΠ»ΠΆΠ½Ρ Π΄Π΅ΠΉΡΡΠ²ΠΎΠ²Π°ΡΡ ΡΠΈΠ»Ρ Π½Π΅ΡΠ»Π΅ΠΊΡΡΠΎΡΡΠ°ΡΠΈΡΠ΅ΡΠΊΠΎΠ³ΠΎ ΠΏΡΠΎΠΈΡΡ ΠΎΠΆΠ΄Π΅Π½ΠΈΡ (ΡΠΈΡ. 15.9, Π±). ΠΠ΄Π½ΠΎ Π»ΠΈΡΡ ΡΠ»Π΅ΠΊΡΡΠΈΡΠ΅ΡΠΊΠΎΠ΅ ΠΏΠΎΠ»Π΅ Π·Π°ΡΡΠΆΠ΅Π½Π½ΡΡ ΡΠ°ΡΡΠΈΡ (ΠΊΡΠ»ΠΎΠ½ΠΎΠ²ΡΠΊΠΎΠ΅ ΠΏΠΎΠ»Π΅) Π½Π΅ ΡΠΏΠΎΡΠΎΠ±Π½ΠΎ ΠΏΠΎΠ΄Π΄Π΅ΡΠΆΠΈΠ²Π°ΡΡ ΠΏΠΎΡΡΠΎΡΠ½Π½ΡΠΉ ΡΠΎΠΊ Π² ΡΠ΅ΠΏΠΈ.
ΠΡΠ±ΡΠ΅ ΡΠΈΠ»Ρ, Π΄Π΅ΠΉΡΡΠ²ΡΡΡΠΈΠ΅ Π½Π° ΡΠ»Π΅ΠΊΡΡΠΈΡΠ΅ΡΠΊΠΈ Π·Π°ΡΡΠΆΠ΅Π½Π½ΡΠ΅ ΡΠ°ΡΡΠΈΡΡ, Π·Π° ΠΈΡΠΊΠ»ΡΡΠ΅Π½ΠΈΠ΅ΠΌ ΡΠΈΠ» ΡΠ»Π΅ΠΊΡΡΠΎΡΡΠ°ΡΠΈΡΠ΅ΡΠΊΠΎΠ³ΠΎ ΠΏΡΠΎΠΈΡΡ ΠΎΠΆΠ΄Π΅Π½ΠΈΡ (Ρ. Π΅. ΠΊΡΠ»ΠΎΠ½ΠΎΠ²ΡΠΊΠΈΡ ), Π½Π°Π·ΡΠ²Π°ΡΡ ΡΡΠΎΡΠΎΠ½Π½ΠΈΠΌΠΈ ΡΠΈΠ»Π°ΠΌΠΈ.
ΠΡΠ²ΠΎΠ΄ ΠΎ Π½Π΅ΠΎΠ±Ρ ΠΎΠ΄ΠΈΠΌΠΎΡΡΠΈ ΡΡΠΎΡΠΎΠ½Π½ΠΈΡ ΡΠΈΠ» Π΄Π»Ρ ΠΏΠΎΠ΄Π΄Π΅ΡΠΆΠ°Π½ΠΈΡ ΠΏΠΎΡΡΠΎΡΠ½Π½ΠΎΠ³ΠΎ ΡΠΎΠΊΠ° Π² ΡΠ΅ΠΏΠΈ ΡΡΠ°Π½Π΅Ρ Π΅ΡΡ ΠΎΡΠ΅Π²ΠΈΠ΄Π½Π΅Π΅, Π΅ΡΠ»ΠΈ ΠΎΠ±ΡΠ°ΡΠΈΡΡΡΡ ΠΊ Π·Π°ΠΊΠΎΠ½Ρ ΡΠΎΡ ΡΠ°Π½Π΅Π½ΠΈΡ ΡΠ½Π΅ΡΠ³ΠΈΠΈ.
ΠΠ»Π΅ΠΊΡΡΠΎΡΡΠ°ΡΠΈΡΠ΅ΡΠΊΠΎΠ΅ ΠΏΠΎΠ»Π΅ ΠΏΠΎΡΠ΅Π½ΡΠΈΠ°Π»ΡΠ½ΠΎ. Π Π°Π±ΠΎΡΠ° ΡΡΠΎΠ³ΠΎ ΠΏΠΎΠ»Ρ ΠΏΡΠΈ ΠΏΠ΅ΡΠ΅ΠΌΠ΅ΡΠ΅Π½ΠΈΠΈ Π² Π½ΡΠΌ Π·Π°ΡΡΠΆΠ΅Π½Π½ΡΡ ΡΠ°ΡΡΠΈΡ ΠΏΠΎ Π·Π°ΠΌΠΊΠ½ΡΡΠΎΠΉ ΡΠ»Π΅ΠΊΡΡΠΈΡΠ΅ΡΠΊΠΎΠΉ ΡΠ΅ΠΏΠΈ ΡΠ°Π²Π½Π° Π½ΡΠ»Ρ. ΠΡΠΎΡ ΠΎΠΆΠ΄Π΅Π½ΠΈΠ΅ ΠΆΠ΅ ΡΠΎΠΊΠ° ΠΏΠΎ ΠΏΡΠΎΠ²ΠΎΠ΄Π½ΠΈΠΊΠ°ΠΌ ΡΠΎΠΏΡΠΎΠ²ΠΎΠΆΠ΄Π°Π΅ΡΡΡ Π²ΡΠ΄Π΅Π»Π΅Π½ΠΈΠ΅ΠΌ ΡΠ½Π΅ΡΠ³ΠΈΠΈ β ΠΏΡΠΎΠ²ΠΎΠ΄Π½ΠΈΠΊ Π½Π°Π³ΡΠ΅Π²Π°Π΅ΡΡΡ.
Π‘Π»Π΅Π΄ΠΎΠ²Π°ΡΠ΅Π»ΡΠ½ΠΎ, Π² ΡΠ΅ΠΏΠΈ Π΄ΠΎΠ»ΠΆΠ΅Π½ Π±ΡΡΡ ΠΊΠ°ΠΊΠΎΠΉ-ΡΠΎ ΠΈΡΡΠΎΡΠ½ΠΈΠΊ ΡΠ½Π΅ΡΠ³ΠΈΠΈ, ΠΏΠΎΡΡΠ°Π²Π»ΡΡΡΠΈΠΉ Π΅Ρ Π² ΡΠ΅ΠΏΡ. Π Π½ΡΠΌ, ΠΏΠΎΠΌΠΈΠΌΠΎ ΠΊΡΠ»ΠΎΠ½ΠΎΠ²ΡΠΊΠΈΡ ΡΠΈΠ», ΠΎΠ±ΡΠ·Π°ΡΠ΅Π»ΡΠ½ΠΎ Π΄ΠΎΠ»ΠΆΠ½Ρ Π΄Π΅ΠΉΡΡΠ²ΠΎΠ²Π°ΡΡ ΡΡΠΎΡΠΎΠ½Π½ΠΈΠ΅, Π½Π΅ΠΏΠΎΡΠ΅Π½ΡΠΈΠ°Π»ΡΠ½ΡΠ΅ ΡΠΈΠ»Ρ.
Π Π°Π±ΠΎΡΠ° ΡΡΠΈΡ ΡΠΈΠ» Π²Π΄ΠΎΠ»Ρ Π·Π°ΠΌΠΊΠ½ΡΡΠΎΠ³ΠΎ ΠΊΠΎΠ½ΡΡΡΠ° Π΄ΠΎΠ»ΠΆΠ½Π° Π±ΡΡΡ ΠΎΡΠ»ΠΈΡΠ½Π° ΠΎΡ Π½ΡΠ»Ρ.
ΠΠΌΠ΅Π½Π½ΠΎ Π² ΠΏΡΠΎΡΠ΅ΡΡΠ΅ ΡΠΎΠ²Π΅ΡΡΠ΅Π½ΠΈΡ ΡΠ°Π±ΠΎΡΡ ΡΡΠΈΠΌΠΈ ΡΠΈΠ»Π°ΠΌΠΈ Π·Π°ΡΡΠΆΠ΅Π½Π½ΡΠ΅ ΡΠ°ΡΡΠΈΡΡ ΠΏΡΠΈΠΎΠ±ΡΠ΅ΡΠ°ΡΡ Π²Π½ΡΡΡΠΈ ΠΈΡΡΠΎΡΠ½ΠΈΠΊΠ° ΡΠΎΠΊΠ° ΡΠ½Π΅ΡΠ³ΠΈΡ ΠΈ ΠΎΡΠ΄Π°ΡΡ Π΅Ρ Π·Π°ΡΠ΅ΠΌ ΠΏΡΠΎΠ²ΠΎΠ΄Π½ΠΈΠΊΠ°ΠΌ ΡΠ»Π΅ΠΊΡΡΠΈΡΠ΅ΡΠΊΠΎΠΉ ΡΠ΅ΠΏΠΈ.
Π‘ΡΠΎΡΠΎΠ½Π½ΠΈΠ΅ ΡΠΈΠ»Ρ ΠΏΡΠΈΠ²ΠΎΠ΄ΡΡ Π² Π΄Π²ΠΈΠΆΠ΅Π½ΠΈΠ΅ Π·Π°ΡΡΠΆΠ΅Π½Π½ΡΠ΅ ΡΠ°ΡΡΠΈΡΡ Π²Π½ΡΡΡΠΈ Π²ΡΠ΅Ρ ΠΈΡΡΠΎΡΠ½ΠΈΠΊΠΎΠ² ΡΠΎΠΊΠ°: Π² Π³Π΅Π½Π΅ΡΠ°ΡΠΎΡΠ°Ρ Π½Π° ΡΠ»Π΅ΠΊΡΡΠΎΡΡΠ°Π½ΡΠΈΡΡ , Π² Π³Π°Π»ΡΠ²Π°Π½ΠΈΡΠ΅ΡΠΊΠΈΡ ΡΠ»Π΅ΠΌΠ΅Π½ΡΠ°Ρ , Π°ΠΊΠΊΡΠΌΡΠ»ΡΡΠΎΡΠ°Ρ ΠΈ Ρ. Π΄.
ΠΡΠΈ Π·Π°ΠΌΡΠΊΠ°Π½ΠΈΠΈ ΡΠ΅ΠΏΠΈ ΡΠΎΠ·Π΄Π°ΡΡΡΡ ΡΠ»Π΅ΠΊΡΡΠΈΡΠ΅ΡΠΊΠΎΠ΅ ΠΏΠΎΠ»Π΅ Π²ΠΎ Π²ΡΠ΅Ρ ΠΏΡΠΎΠ²ΠΎΠ΄Π½ΠΈΠΊΠ°Ρ ΡΠ΅ΠΏΠΈ. ΠΠ½ΡΡΡΠΈ ΠΈΡΡΠΎΡΠ½ΠΈΠΊΠ° ΡΠΎΠΊΠ° Π·Π°ΡΡΠ΄Ρ Π΄Π²ΠΈΠΆΡΡΡΡ ΠΏΠΎΠ΄ Π΄Π΅ΠΉΡΡΠ²ΠΈΠ΅ΠΌ ΡΡΠΎΡΠΎΠ½Π½ΠΈΡ ΡΠΈΠ» ΠΏΡΠΎΡΠΈΠ² ΠΊΡΠ»ΠΎΠ½ΠΎΠ²ΡΠΊΠΈΡ ΡΠΈΠ» (ΡΠ»Π΅ΠΊΡΡΠΎΠ½Ρ ΠΎΡ ΠΏΠΎΠ»ΠΎΠΆΠΈΡΠ΅Π»ΡΠ½ΠΎ Π·Π°ΡΡΠΆΠ΅Π½Π½ΠΎΠ³ΠΎ ΡΠ»Π΅ΠΊΡΡΠΎΠ΄Π° ΠΊ ΠΎΡΡΠΈΡΠ°ΡΠ΅Π»ΡΠ½ΠΎΠΌΡ), Π° Π²ΠΎ Π²Π½Π΅ΡΠ½Π΅ΠΉ ΡΠ΅ΠΏΠΈ ΠΈΡ ΠΏΡΠΈΠ²ΠΎΠ΄ΠΈΡ Π² Π΄Π²ΠΈΠΆΠ΅Π½ΠΈΠ΅ ΡΠ»Π΅ΠΊΡΡΠΈΡΠ΅ΡΠΊΠΎΠ΅ ΠΏΠΎΠ»Π΅ (ΡΠΌ. ΡΠΈΡ. 15.9, Π±).
ΠΡΠΈΡΠΎΠ΄Π° ΡΡΠΎΡΠΎΠ½Π½ΠΈΡ ΡΠΈΠ».
ΠΡΠΈΡΠΎΠ΄Π° ΡΡΠΎΡΠΎΠ½Π½ΠΈΡ ΡΠΈΠ» ΠΌΠΎΠΆΠ΅Ρ Π±ΡΡΡ ΡΠ°Π·Π½ΠΎΠΎΠ±ΡΠ°Π·Π½ΠΎΠΉ. Π Π³Π΅Π½Π΅ΡΠ°ΡΠΎΡΠ°Ρ ΡΠ»Π΅ΠΊΡΡΠΎΡΡΠ°Π½ΡΠΈΠΉ ΡΡΠΎΡΠΎΠ½Π½ΠΈΠ΅ ΡΠΈΠ»Ρ β ΡΡΠΎ ΡΠΈΠ»Ρ, Π΄Π΅ΠΉΡΡΠ²ΡΡΡΠΈΠ΅ ΡΠΎ ΡΡΠΎΡΠΎΠ½Ρ ΠΌΠ°Π³Π½ΠΈΡΠ½ΠΎΠ³ΠΎ ΠΏΠΎΠ»Ρ Π½Π° ΡΠ»Π΅ΠΊΡΡΠΎΠ½Ρ Π² Π΄Π²ΠΈΠΆΡΡΠ΅ΠΌΡΡ ΠΏΡΠΎΠ²ΠΎΠ΄Π½ΠΈΠΊΠ΅.
Π Π³Π°Π»ΡΠ²Π°Π½ΠΈΡΠ΅ΡΠΊΠΎΠΌ ΡΠ»Π΅ΠΌΠ΅Π½ΡΠ΅, Π½Π°ΠΏΡΠΈΠΌΠ΅Ρ Π² ΡΠ»Π΅ΠΌΠ΅Π½ΡΠ΅ ΠΠΎΠ»ΡΡΠ°, Π΄Π΅ΠΉΡΡΠ²ΡΡΡ Ρ ΠΈΠΌΠΈΡΠ΅ΡΠΊΠΈΠ΅ ΡΠΈΠ»Ρ.
ΠΠ»Π΅ΠΌΠ΅Π½Ρ ΠΠΎΠ»ΡΡΠ° ΡΠΎΡΡΠΎΠΈΡ ΠΈΠ· ΡΠΈΠ½ΠΊΠΎΠ²ΠΎΠ³ΠΎ ΠΈ ΠΌΠ΅Π΄Π½ΠΎΠ³ΠΎ ΡΠ»Π΅ΠΊΡΡΠΎΠ΄ΠΎΠ², ΠΏΠΎΠΌΠ΅ΡΡΠ½Π½ΡΡ Π² ΡΠ°ΡΡΠ²ΠΎΡ ΡΠ΅ΡΠ½ΠΎΠΉ ΠΊΠΈΡΠ»ΠΎΡΡ. Π₯ΠΈΠΌΠΈΡΠ΅ΡΠΊΠΈΠ΅ ΡΠΈΠ»Ρ Π²ΡΠ·ΡΠ²Π°ΡΡ ΡΠ°ΡΡΠ²ΠΎΡΠ΅Π½ΠΈΠ΅ ΡΠΈΠ½ΠΊΠ° Π² ΠΊΠΈΡΠ»ΠΎΡΠ΅.
Π ΡΠ°ΡΡΠ²ΠΎΡ ΠΏΠ΅ΡΠ΅Ρ ΠΎΠ΄ΡΡ ΠΏΠΎΠ»ΠΎΠΆΠΈΡΠ΅Π»ΡΠ½ΠΎ Π·Π°ΡΡΠΆΠ΅Π½Π½ΡΠ΅ ΠΈΠΎΠ½Ρ ΡΠΈΠ½ΠΊΠ°, Π° ΡΠ°ΠΌ ΡΠΈΠ½ΠΊΠΎΠ²ΡΠΉ ΡΠ»Π΅ΠΊΡΡΠΎΠ΄ ΠΏΡΠΈ ΡΡΠΎΠΌ Π·Π°ΡΡΠΆΠ°Π΅ΡΡΡ ΠΎΡΡΠΈΡΠ°ΡΠ΅Π»ΡΠ½ΠΎ. (ΠΠ΅Π΄Ρ ΠΎΡΠ΅Π½Ρ ΠΌΠ°Π»ΠΎ ΡΠ°ΡΡΠ²ΠΎΡΡΠ΅ΡΡΡ Π² ΡΠ΅ΡΠ½ΠΎΠΉ ΠΊΠΈΡΠ»ΠΎΡΠ΅.
) ΠΠ΅ΠΆΠ΄Ρ ΡΠΈΠ½ΠΊΠΎΠ²ΡΠΌ ΠΈ ΠΌΠ΅Π΄Π½ΡΠΌ ΡΠ»Π΅ΠΊΡΡΠΎΠ΄Π°ΠΌΠΈ ΠΏΠΎΡΠ²Π»ΡΠ΅ΡΡΡ ΡΠ°Π·Π½ΠΎΡΡΡ ΠΏΠΎΡΠ΅Π½ΡΠΈΠ°Π»ΠΎΠ², ΠΊΠΎΡΠΎΡΠ°Ρ ΠΈ ΠΎΠ±ΡΡΠ»ΠΎΠ²Π»ΠΈΠ²Π°Π΅Ρ ΡΠΎΠΊ Π²ΠΎ Π²Π½Π΅ΡΠ½Π΅ΠΉ ΡΠ»Π΅ΠΊΡΡΠΈΡΠ΅ΡΠΊΠΎΠΉ ΡΠ΅ΠΏΠΈ.
- ΠΠ»Π΅ΠΊΡΡΠΎΠ΄Π²ΠΈΠΆΡΡΠ°Ρ ΡΠΈΠ»Π°.
- ΠΠ΅ΠΉΡΡΠ²ΠΈΠ΅ ΡΡΠΎΡΠΎΠ½Π½ΠΈΡ ΡΠΈΠ» Ρ Π°ΡΠ°ΠΊΡΠ΅ΡΠΈΠ·ΡΠ΅ΡΡΡ Π²Π°ΠΆΠ½ΠΎΠΉ ΡΠΈΠ·ΠΈΡΠ΅ΡΠΊΠΎΠΉ Π²Π΅Π»ΠΈΡΠΈΠ½ΠΎΠΉ, Π½Π°Π·ΡΠ²Π°Π΅ΠΌΠΎΠΉ ΡΠ»Π΅ΠΊΡΡΠΎΠ΄Π²ΠΈΠΆΡΡΠ΅ΠΉ ΡΠΈΠ»ΠΎΠΉ (ΡΠΎΠΊΡΠ°ΡΡΠ½Π½ΠΎ ΠΠΠ‘).
- ΠΠ»Π΅ΠΊΡΡΠΎΠ΄Π²ΠΈΠΆΡΡΠ°Ρ ΡΠΈΠ»Π° ΠΈΡΡΠΎΡΠ½ΠΈΠΊΠ° ΡΠΎΠΊΠ° ΡΠ°Π²Π½Π° ΠΎΡΠ½ΠΎΡΠ΅Π½ΠΈΡ ΡΠ°Π±ΠΎΡΡ ΡΡΠΎΡΠΎΠ½Π½ΠΈΡ ΡΠΈΠ» ΠΏΡΠΈ ΠΏΠ΅ΡΠ΅ΠΌΠ΅ΡΠ΅Π½ΠΈΠΈ Π·Π°ΡΡΠ΄Π° ΠΏΠΎ Π·Π°ΠΌΠΊΠ½ΡΡΠΎΠΌΡ ΠΊΠΎΠ½ΡΡΡΡ ΠΊ Π°Π±ΡΠΎΠ»ΡΡΠ½ΠΎΠΉ Π²Π΅Π»ΠΈΡΠΈΠ½Π΅ ΡΡΠΎΠ³ΠΎ Π·Π°ΡΡΠ΄Π°:
ΠΠ»Π΅ΠΊΡΡΠΎΠ΄Π²ΠΈΠΆΡΡΡΡ ΡΠΈΠ»Ρ, ΠΊΠ°ΠΊ ΠΈ Π½Π°ΠΏΡΡΠΆΠ΅Π½ΠΈΠ΅, Π²ΡΡΠ°ΠΆΠ°ΡΡ Π² Π²ΠΎΠ»ΡΡΠ°Ρ .
Π Π°Π·Π½ΠΎΡΡΡ ΠΏΠΎΡΠ΅Π½ΡΠΈΠ°Π»ΠΎΠ² Π½Π° ΠΊΠ»Π΅ΠΌΠΌΠ°Ρ Π±Π°ΡΠ°ΡΠ΅ΠΈ ΠΏΡΠΈ ΡΠ°Π·ΠΎΠΌΠΊΠ½ΡΡΠΎΠΉ ΡΠ΅ΠΏΠΈ ΡΠ°Π²Π½Π° ΡΠ»Π΅ΠΊΡΡΠΎΠ΄Π²ΠΈΠΆΡΡΠ΅ΠΉ ΡΠΈΠ»Π΅. ΠΠΠ‘ ΠΎΠ΄Π½ΠΎΠ³ΠΎ ΡΠ»Π΅ΠΌΠ΅Π½ΡΠ° Π±Π°ΡΠ°ΡΠ΅ΠΈ ΠΎΠ±ΡΡΠ½ΠΎ 1β2 Π.
ΠΠΎΠΆΠ½ΠΎ Π³ΠΎΠ²ΠΎΡΠΈΡΡ ΡΠ°ΠΊΠΆΠ΅ ΠΎΠ± ΡΠ»Π΅ΠΊΡΡΠΎΠ΄Π²ΠΈΠΆΡΡΠ΅ΠΉ ΡΠΈΠ»Π΅ ΠΈ Π½Π° Π»ΡΠ±ΠΎΠΌ ΡΡΠ°ΡΡΠΊΠ΅ ΡΠ΅ΠΏΠΈ. ΠΡΠΎ ΡΠ΄Π΅Π»ΡΠ½Π°Ρ ΡΠ°Π±ΠΎΡΠ° ΡΡΠΎΡΠΎΠ½Π½ΠΈΡ ΡΠΈΠ» (ΡΠ°Π±ΠΎΡΠ° ΠΏΠΎ ΠΏΠ΅ΡΠ΅ΠΌΠ΅ΡΠ΅Π½ΠΈΡ Π΅Π΄ΠΈΠ½ΠΈΡΠ½ΠΎΠ³ΠΎ Π·Π°ΡΡΠ΄Π°) Π½Π΅ Π²ΠΎ Π²ΡΡΠΌ ΠΊΠΎΠ½ΡΡΡΠ΅, Π° ΡΠΎΠ»ΡΠΊΠΎ Π½Π° Π΄Π°Π½Π½ΠΎΠΌ ΡΡΠ°ΡΡΠΊΠ΅.
- ΠΠ»Π΅ΠΊΡΡΠΎΠ΄Π²ΠΈΠΆΡΡΠ°Ρ ΡΠΈΠ»Π° Π³Π°Π»ΡΠ²Π°Π½ΠΈΡΠ΅ΡΠΊΠΎΠ³ΠΎ ΡΠ»Π΅ΠΌΠ΅Π½ΡΠ° Π΅ΡΡΡ Π²Π΅Π»ΠΈΡΠΈΠ½Π°, ΡΠΈΡΠ»Π΅Π½Π½ΠΎ ΡΠ°Π²Π½Π°Ρ ΡΠ°Π±ΠΎΡΠ΅ ΡΡΠΎΡΠΎΠ½Π½ΠΈΡ ΡΠΈΠ» ΠΏΡΠΈ ΠΏΠ΅ΡΠ΅ΠΌΠ΅ΡΠ΅Π½ΠΈΠΈ Π΅Π΄ΠΈΠ½ΠΈΡΠ½ΠΎΠ³ΠΎ ΠΏΠΎΠ»ΠΎΠΆΠΈΡΠ΅Π»ΡΠ½ΠΎΠ³ΠΎ Π·Π°ΡΡΠ΄Π° Π²Π½ΡΡΡΠΈ ΡΠ»Π΅ΠΌΠ΅Π½ΡΠ° ΠΎΡ ΠΎΠ΄Π½ΠΎΠ³ΠΎ ΠΏΠΎΠ»ΡΡΠ° ΠΊ Π΄ΡΡΠ³ΠΎΠΌΡ.
- Π Π°Π±ΠΎΡΠ° ΡΡΠΎΡΠΎΠ½Π½ΠΈΡ ΡΠΈΠ» Π½Π΅ ΠΌΠΎΠΆΠ΅Ρ Π±ΡΡΡ Π²ΡΡΠ°ΠΆΠ΅Π½Π° ΡΠ΅ΡΠ΅Π· ΡΠ°Π·Π½ΠΎΡΡΡ ΠΏΠΎΡΠ΅Π½ΡΠΈΠ°Π»ΠΎΠ², ΡΠ°ΠΊ ΠΊΠ°ΠΊ ΡΡΠΎΡΠΎΠ½Π½ΠΈΠ΅ ΡΠΈΠ»Ρ Π½Π΅ΠΏΠΎΡΠ΅Π½ΡΠΈΠ°Π»ΡΠ½Ρ ΠΈ ΠΈΡ ΡΠ°Π±ΠΎΡΠ° Π·Π°Π²ΠΈΡΠΈΡ ΠΎΡ ΡΠΎΡΠΌΡ ΡΡΠ°Π΅ΠΊΡΠΎΡΠΈΠΈ ΠΏΠ΅ΡΠ΅ΠΌΠ΅ΡΠ΅Π½ΠΈΡ Π·Π°ΡΡΠ΄ΠΎΠ².
- ΠΡΡΠΎΡΠ½ΠΈΠΊ: Β«Π€ΠΈΠ·ΠΈΠΊΠ° β 10 ΠΊΠ»Π°ΡΡΒ», 2014, ΡΡΠ΅Π±Π½ΠΈΠΊ ΠΡΠΊΠΈΡΠ΅Π², ΠΡΡ ΠΎΠ²ΡΠ΅Π², Π‘ΠΎΡΡΠΊΠΈΠΉ
Π‘Π»Π΅Π΄ΡΡΡΠ°Ρ ΡΡΡΠ°Π½ΠΈΡΠ° Β«ΠΠ°ΠΊΠΎΠ½ ΠΠΌΠ° Π΄Π»Ρ ΠΏΠΎΠ»Π½ΠΎΠΉ ΡΠ΅ΠΏΠΈΒ» ΠΠ°Π·Π°Π΄ Π² ΡΠ°Π·Π΄Π΅Π» Β«Π€ΠΈΠ·ΠΈΠΊΠ° β 10 ΠΊΠ»Π°ΡΡ, ΡΡΠ΅Π±Π½ΠΈΠΊ ΠΡΠΊΠΈΡΠ΅Π², ΠΡΡ ΠΎΠ²ΡΠ΅Π², Π‘ΠΎΡΡΠΊΠΈΠΉΒ»
ΠΠ°ΠΊΠΎΠ½Ρ ΠΏΠΎΡΡΠΎΡΠ½Π½ΠΎΠ³ΠΎ ΡΠΎΠΊΠ° β Π€ΠΈΠ·ΠΈΠΊΠ°, ΡΡΠ΅Π±Π½ΠΈΠΊ Π΄Π»Ρ 10 ΠΊΠ»Π°ΡΡΠ° β ΠΠ»Π°ΡΡ!Π½Π°Ρ ΡΠΈΠ·ΠΈΠΊΠ°
ΠΠ»Π΅ΠΊΡΡΠΈΡΠ΅ΡΠΊΠΈΠΉ ΡΠΎΠΊ. Π‘ΠΈΠ»Π° ΡΠΎΠΊΠ° β ΠΠ°ΠΊΠΎΠ½ ΠΠΌΠ° Π΄Π»Ρ ΡΡΠ°ΡΡΠΊΠ° ΡΠ΅ΠΏΠΈ. Π‘ΠΎΠΏΡΠΎΡΠΈΠ²Π»Π΅Π½ΠΈΠ΅ β ΠΠ»Π΅ΠΊΡΡΠΈΡΠ΅ΡΠΊΠΈΠ΅ ΡΠ΅ΠΏΠΈ. ΠΠΎΡΠ»Π΅Π΄ΠΎΠ²Π°ΡΠ΅Π»ΡΠ½ΠΎΠ΅ ΠΈ ΠΏΠ°ΡΠ°Π»Π»Π΅Π»ΡΠ½ΠΎΠ΅ ΡΠΎΠ΅Π΄ΠΈΠ½Π΅Π½ΠΈΡ ΠΏΡΠΎΠ²ΠΎΠ΄Π½ΠΈΠΊΠΎΠ² β ΠΡΠΈΠΌΠ΅ΡΡ ΡΠ΅ΡΠ΅Π½ΠΈΡ Π·Π°Π΄Π°Ρ ΠΏΠΎ ΡΠ΅ΠΌΠ΅ Β«ΠΠ°ΠΊΠΎΠ½ ΠΠΌΠ°.
ΠΠΎΡΠ»Π΅Π΄ΠΎΠ²Π°ΡΠ΅Π»ΡΠ½ΠΎΠ΅ ΠΈ ΠΏΠ°ΡΠ°Π»Π»Π΅Π»ΡΠ½ΠΎΠ΅ ΡΠΎΠ΅Π΄ΠΈΠ½Π΅Π½ΠΈΡ ΠΏΡΠΎΠ²ΠΎΠ΄Π½ΠΈΠΊΠΎΠ²Β» β Π Π°Π±ΠΎΡΠ° ΠΈ ΠΌΠΎΡΠ½ΠΎΡΡΡ ΠΏΠΎΡΡΠΎΡΠ½Π½ΠΎΠ³ΠΎ ΡΠΎΠΊΠ° β ΠΠ»Π΅ΠΊΡΡΠΎΠ΄Π²ΠΈΠΆΡΡΠ°Ρ ΡΠΈΠ»Π° β ΠΠ°ΠΊΠΎΠ½ ΠΠΌΠ° Π΄Π»Ρ ΠΏΠΎΠ»Π½ΠΎΠΉ ΡΠ΅ΠΏΠΈ β ΠΡΠΈΠΌΠ΅ΡΡ ΡΠ΅ΡΠ΅Π½ΠΈΡ Π·Π°Π΄Π°Ρ ΠΏΠΎ ΡΠ΅ΠΌΠ΅ Β«Π Π°Π±ΠΎΡΠ° ΠΈ ΠΌΠΎΡΠ½ΠΎΡΡΡ ΠΏΠΎΡΡΠΎΡΠ½Π½ΠΎΠ³ΠΎ ΡΠΎΠΊΠ°.
ΠΠ°ΠΊΠΎΠ½ ΠΠΌΠ° Π΄Π»Ρ ΠΏΠΎΠ»Π½ΠΎΠΉ ΡΠ΅ΠΏΠΈΒ»
ΠΡΡΠΎΡΠ½ΠΈΠΊ: http://class-fizika.ru/10_a164.html
Π§Π΅ΠΌ ΠΎΡΠ»ΠΈΡΠ°Π΅ΡΡΡ ΠΠΠ‘ ΠΎΡ Π½Π°ΠΏΡΡΠΆΠ΅Π½ΠΈΡ: ΠΏΡΠΎΡΡΠΎΠ΅ ΠΎΠ±ΡΡΡΠ½Π΅Π½ΠΈΠ΅ Π½Π° ΠΏΡΠΈΠΌΠ΅ΡΠ΅
ΠΠ½ΠΎΠ³ΠΈΠ΅ Π»ΡΠ΄ΠΈ (Π² ΡΠΎ ΡΠΈΡΠ»Π΅ ΠΈ Π½Π΅ΠΊΠΎΡΠΎΡΡΠ΅ ΡΠ»Π΅ΠΊΡΡΠΈΠΊΠΈ) ΠΏΡΡΠ°ΡΡ ΠΏΠΎΠ½ΡΡΠΈΠ΅ ΡΠ»Π΅ΠΊΡΡΠΎΠ΄Π²ΠΈΠΆΡΡΠ΅ΠΉ ΡΠΈΠ»Ρ (ΠΠΠ‘) ΠΈ Π½Π°ΠΏΡΡΠΆΠ΅Π½ΠΈΡ. Π₯ΠΎΡΡ ΡΡΠΈ ΠΏΠΎΠ½ΡΡΠΈΡ ΠΈΠΌΠ΅ΡΡ ΠΎΡΠ»ΠΈΡΠΈΡ.
ΠΠ΅ΡΠΌΠΎΡΡΡ Π½Π° ΡΠΎ, ΡΡΠΎ ΠΎΠ½ΠΈ Π½Π΅Π·Π½Π°ΡΠΈΡΠ΅Π»ΡΠ½ΡΠ΅, Π½Π΅ ΡΠΏΠ΅ΡΠΈΠ°Π»ΠΈΡΡΡ ΡΠ»ΠΎΠΆΠ½ΠΎ Π² Π½ΠΈΡ ΡΠ°Π·ΠΎΠ±ΡΠ°ΡΡΡΡ. ΠΠ΅ ΠΌΠ°Π»ΠΎΠ²Π°ΠΆΠ½ΡΡ ΡΠΎΠ»Ρ Π² ΡΡΠΎΠΌ ΠΈΠ³ΡΠ°Π΅Ρ Π΅Π΄ΠΈΠ½ΠΈΡΠ° ΠΈΠ·ΠΌΠ΅ΡΠ΅Π½ΠΈΡ. ΠΠ°ΠΏΡΡΠΆΠ΅Π½ΠΈΠ΅ ΠΈ ΠΠΠ‘ ΠΈΠ·ΠΌΠ΅ΡΡΡΡΡΡ Π² ΠΎΠ΄Π½ΠΈΡ Π΅Π΄ΠΈΠ½ΠΈΡΠ°Ρ β ΠΠΎΠ»ΡΡΠ°Ρ .
ΠΠ° ΡΡΠΎΠΌ ΠΎΡΠ»ΠΈΡΠΈΡ Π½Π΅ Π·Π°ΠΊΠ°Π½ΡΠΈΠ²Π°ΡΡΡΡ, ΠΏΠΎΠ΄ΡΠΎΠ±Π½ΠΎ ΠΎΠ±ΠΎ Π²ΡΠ΅ΠΌ ΠΌΡ ΡΠ°ΡΡΠΊΠ°Π·Π°Π»ΠΈ Π² ΡΡΠ°ΡΡΠ΅!
Π§ΡΠΎ ΡΠ°ΠΊΠΎΠ΅ ΡΠ»Π΅ΠΊΡΡΠΎΠ΄Π²ΠΈΠΆΡΡΠ°Ρ ΡΠΈΠ»Π°
ΠΠΎΠ΄ΡΠΎΠ±Π½ΠΎ ΡΡΠΎΡ Π²ΠΎΠΏΡΠΎΡ ΠΌΡ ΡΠ°ΡΡΠΌΠΎΡΡΠ΅Π»ΠΈ Π² ΠΎΡΠ΄Π΅Π»ΡΠ½ΠΎΠΉ ΡΡΠ°ΡΡΠ΅:Β https://samelectrik.ru/chto-takoe-eds-obyasnenie-prostymi-slovami.html
ΠΠΎΠ΄ ΠΠΠ‘ ΠΏΠΎΠ½ΠΈΠΌΠ°Π΅ΡΡΡ ΡΠΈΠ·ΠΈΡΠ΅ΡΠΊΠ°Ρ Π²Π΅Π»ΠΈΡΠΈΠ½Π°, Ρ Π°ΡΠ°ΠΊΡΠ΅ΡΠΈΠ·ΡΡΡΠ°Ρ ΡΠ°Π±ΠΎΡΡ ΠΊΠ°ΠΊΠΈΡ -Π»ΠΈΠ±ΠΎ ΡΡΠΎΡΠΎΠ½Π½ΠΈΡ ΡΠΈΠ», Π½Π°Ρ ΠΎΠ΄ΡΡΠΈΡ ΡΡ Π² ΠΈΡΡΠΎΡΠ½ΠΈΠΊΠ°Ρ ΠΏΠΈΡΠ°Π½ΠΈΡ ΠΏΠΎΡΡΠΎΡΠ½Π½ΠΎΠ³ΠΎ ΠΈΠ»ΠΈ ΠΏΠ΅ΡΠ΅ΠΌΠ΅Π½Π½ΠΎΠ³ΠΎ ΡΠΎΠΊΠ°.
ΠΡΠΈ ΡΡΠΎΠΌ, Π΅ΡΠ»ΠΈ ΠΈΠΌΠ΅Π΅ΡΡΡ Π·Π°ΠΌΠΊΠ½ΡΡΡΠΉ ΠΊΠΎΠ½ΡΡΡ, ΡΠΎ ΠΌΠΎΠΆΠ½ΠΎ ΡΠΊΠ°Π·Π°ΡΡ, ΡΡΠΎ ΠΠΠ‘ ΡΠ°Π²Π½Π° ΡΠ°Π±ΠΎΡΠ΅ ΡΠΈΠ» ΠΏΠΎ ΠΏΠ΅ΡΠ΅ΠΌΠ΅ΡΠ΅Π½ΠΈΡ ΠΏΠΎΠ»ΠΎΠΆΠΈΡΠ΅Π»ΡΠ½ΠΎΠ³ΠΎ Π·Π°ΡΡΠ΄Π° ΠΊ ΠΎΡΡΠΈΡΠ°ΡΠ΅Π»ΡΠ½ΠΎΠΌΡ ΠΏΠΎ Π·Π°ΠΌΠΊΠ½ΡΡΠΎΠΉ ΡΠ΅ΠΏΠΈ.
ΠΠ»ΠΈ ΠΏΡΠΎΡΡΡΠΌΠΈ ΡΠ»ΠΎΠ²Π°ΠΌΠΈ, ΠΠΠ‘ ΠΈΡΡΠΎΡΠ½ΠΈΠΊΠ° ΡΠΎΠΊΠ° ΠΏΡΠ΅Π΄ΡΡΠ°Π²Π»ΡΠ΅Ρ ΡΠ°Π±ΠΎΡΡ, Π½Π΅ΠΎΠ±Ρ ΠΎΠ΄ΠΈΠΌΡΡ Π΄Π»Ρ ΠΏΠ΅ΡΠ΅ΠΌΠ΅ΡΠ΅Π½ΠΈΡ Π΅Π΄ΠΈΠ½ΠΈΡΠ½ΠΎΠ³ΠΎ Π·Π°ΡΡΠ΄Π° ΠΌΠ΅ΠΆΠ΄Ρ ΠΏΠΎΠ»ΡΡΠ°ΠΌΠΈ.
ΠΡΠΈ ΡΡΠΎΠΌ Π΅ΡΠ»ΠΈ ΠΈΡΡΠΎΡΠ½ΠΈΠΊ ΡΠΎΠΊΠ° ΠΈΠΌΠ΅ΡΡΠ΅Π³ΠΎ Π±Π΅ΡΠΊΠΎΠ½Π΅ΡΠ½ΡΡ ΠΌΠΎΡΠ½ΠΎΡΡΡ, Π° Π²Π½ΡΡΡΠ΅Π½Π½Π΅Π΅ ΡΠΎΠΏΡΠΎΡΠΈΠ²Π»Π΅Π½ΠΈΠ΅ Π±ΡΠ΄Π΅Ρ ΠΎΡΡΡΡΡΡΠ²ΠΎΠ²Π°ΡΡ (ΠΏΠΎΠ·ΠΈΡΠΈΡ Π Π½Π° ΡΠΈΡΡΠ½ΠΊΠ΅), ΡΠΎ ΠΠΠ‘ ΠΌΠΎΠΆΠ½ΠΎ ΡΠ°ΡΡΡΠΈΡΠ°ΡΡ ΠΏΠΎ Π·Π°ΠΊΠΎΠ½Ρ ΠΠΌΠ° Π΄Π»Ρ ΡΡΠ°ΡΡΠΊΠ° ΡΠ΅ΠΏΠΈ, Ρ.ΠΊ. Π½Π°ΠΏΡΡΠΆΠ΅Π½ΠΈΠ΅ ΠΈ ΡΠ»Π΅ΠΊΡΡΠΎΠ΄Π²ΠΈΠΆΡΡΠ°Ρ ΡΠΈΠ»Π° Π² ΡΡΠΎΠΌ ΡΠ»ΡΡΠ°Π΅ ΡΠ°Π²Π½Ρ.
I=U/R,
Π³Π΄Π΅ U β Π½Π°ΠΏΡΡΠΆΠ΅Π½ΠΈΠ΅, Π° Π² ΡΠ°ΡΡΠΌΠΎΡΡΠ΅Π½Π½ΠΎΠΌ ΠΏΡΠΈΠΌΠ΅ΡΠ΅ β ΠΠΠ‘.
ΠΠ΄Π½Π°ΠΊΠΎ, ΡΠ΅Π°Π»ΡΠ½ΡΠΉ ΠΈΡΡΠΎΡΠ½ΠΈΠΊ ΠΏΠΈΡΠ°Π½ΠΈΡ ΠΈΠΌΠ΅Π΅Ρ ΠΊΠΎΠ½Π΅ΡΠ½ΠΎΠ΅ Π²Π½ΡΡΡΠ΅Π½Π½Π΅Π΅ ΡΠΎΠΏΡΠΎΡΠΈΠ²Π»Π΅Π½ΠΈΠ΅. ΠΠΎΡΡΠΎΠΌΡ ΡΠ°ΠΊΠΎΠΉ ΡΠ°ΡΡΠ΅Ρ Π½Π΅Π»ΡΠ·Ρ ΠΏΡΠΈΠΌΠ΅Π½ΡΡΡ Π½Π° ΠΏΡΠ°ΠΊΡΠΈΠΊΠ΅. Π ΡΡΠΎΠΌ ΡΠ»ΡΡΠ°Π΅ Π΄Π»Ρ ΠΎΠΏΡΠ΅Π΄Π΅Π»Π΅Π½ΠΈΡ ΠΠΠ‘ ΠΏΠΎΠ»ΡΠ·ΡΡΡΡΡ ΡΠΎΡΠΌΡΠ»ΠΎΠΉ Π΄Π»Ρ ΠΏΠΎΠ»Π½ΠΎΠΉ ΡΠ΅ΠΏΠΈ.
I=E/(R+r),
Π³Π΄Π΅ E (ΡΠ°ΠΊΠΆΠ΅ ΠΎΠ±ΠΎΠ·Π½Π°ΡΠ°Π΅ΡΡΡ ΠΊΠ°ΠΊ Β«ΤΒ») β ΠΠΠ‘; R β ΡΠΎΠΏΡΠΎΡΠΈΠ²Π»Π΅Π½ΠΈΠ΅ Π½Π°Π³ΡΡΠ·ΠΊΠΈ, r β Π²Π½ΡΡΡΠ΅Π½Π½Π΅Π΅ ΡΠΎΠΏΡΠΎΡΠΈΠ²Π»Π΅Π½ΠΈΠ΅ ΠΈΡΡΠΎΡΠ½ΠΈΠΊΠ° ΡΠ»Π΅ΠΊΡΡΠΎΠΏΠΈΡΠ°Π½ΠΈΡ, I β ΡΠΎΠΊ Π² ΡΠ΅ΠΏΠΈ.
ΠΠ΄Π½Π°ΠΊΠΎ, ΡΡΠ° ΡΠΎΡΠΌΡΠ»Π° Π½Π΅ ΡΡΠΈΡΡΠ²Π°Π΅Ρ ΡΠΎΠΏΡΠΎΡΠΈΠ²Π»Π΅Π½ΠΈΠ΅ ΠΏΡΠΎΠ²ΠΎΠ΄Π½ΠΈΠΊΠΎΠ² ΡΠ΅ΠΏΠΈ. ΠΡΠΈ ΡΡΠΎΠΌ Π½Π΅ΠΎΠ±Ρ ΠΎΠ΄ΠΈΠΌΠΎ ΠΏΠΎΠ½ΠΈΠΌΠ°ΡΡ, ΡΡΠΎ Π²Π½ΡΡΡΠΈ ΠΈΡΡΠΎΡΠ½ΠΈΠΊΠ° ΠΏΠΎΡΡΠΎΡΠ½Π½ΠΎΠ³ΠΎ ΡΠΎΠΊΠ° ΠΈ Π²ΠΎ Π²Π½Π΅ΡΠ½Π΅ΠΉ ΡΠ΅ΠΏΠΈ, ΡΠΎΠΊ ΡΠ΅ΡΠ΅Ρ Π² ΡΠ°Π·Π½ΡΡ Π½Π°ΠΏΡΠ°Π²Π»Π΅Π½ΠΈΡΡ . Π Π°Π·Π½ΠΈΡΠ° Π·Π°ΠΊΠ»ΡΡΠ°Π΅ΡΡΡ Π² ΡΠΎΠΌ, ΡΡΠΎ Π²Π½ΡΡΡΠΈ ΡΠ»Π΅ΠΌΠ΅Π½ΡΠ° ΠΎΠ½ ΡΠ΅ΡΠ΅Ρ ΠΎΡ ΠΌΠΈΠ½ΡΡΠ° ΠΊ ΠΏΠ»ΡΡΡ, ΡΠΎ Π²ΠΎ Π²Π½Π΅ΡΠ½Π΅ΠΉ ΡΠ΅ΠΏΠΈ ΠΎΡ ΠΏΠ»ΡΡΠ° ΠΊ ΠΌΠΈΠ½ΡΡΡ.
ΠΡΠΎ Π½Π°Π³Π»ΡΠ΄Π½ΠΎ ΠΏΡΠ΅Π΄ΡΡΠ°Π²Π»Π΅Π½ΠΎ Π½Π° Π½ΠΈΠΆΠ΅ ΠΏΡΠΈΠ²Π΅Π΄Π΅Π½Π½ΠΎΠΌ ΡΠΈΡΡΠ½ΠΊΠ΅:
ΠΡΠΈ ΡΡΠΎΠΌ ΡΠ»Π΅ΠΊΡΡΠΎΠ΄Π²ΠΈΠΆΡΡΠ°Ρ ΡΠΈΠ»Π° ΠΈΠ·ΠΌΠ΅ΡΡΠ΅ΡΡΡ Π²ΠΎΠ»ΡΡΠΌΠ΅ΡΡΠΎΠΌ, Π² ΡΠ»ΡΡΠ°Π΅, ΠΊΠΎΠ³Π΄Π° Π½Π΅Ρ Π½Π°Π³ΡΡΠ·ΠΊΠΈ, Ρ.Π΅. ΠΈΡΡΠΎΡΠ½ΠΈΠΊ ΠΏΠΈΡΠ°Π½ΠΈΡ ΡΠ°Π±ΠΎΡΠ°Π΅Ρ Π² ΡΠ΅ΠΆΠΈΠΌΠ΅ Ρ ΠΎΠ»ΠΎΡΡΠΎΠ³ΠΎ Ρ ΠΎΠ΄Π°.
Π§ΡΠΎΠ±Ρ Π½Π°ΠΉΡΠΈ ΠΠΠ‘ ΡΠ΅ΡΠ΅Π· Π½Π°ΠΏΡΡΠΆΠ΅Π½ΠΈΠ΅ ΠΈ ΡΠΎΠΏΡΠΎΡΠΈΠ²Π»Π΅Π½ΠΈΠ΅ Π½Π°Π³ΡΡΠ·ΠΊΠΈ Π½ΡΠΆΠ½ΠΎ Π½Π°ΠΉΡΠΈ Π²Π½ΡΡΡΠ΅Π½Π½Π΅Π΅ ΡΠΎΠΏΡΠΎΡΠΈΠ²Π»Π΅Π½ΠΈΠ΅ ΠΈΡΡΠΎΡΠ½ΠΈΠΊΠ° ΠΏΠΈΡΠ°Π½ΠΈΡ, Π΄Π»Ρ ΡΡΠΎΠ³ΠΎ ΠΈΠ·ΠΌΠ΅ΡΡΡΡ Π½Π°ΠΏΡΡΠΆΠ΅Π½ΠΈΠ΅ Π΄Π²Π°ΠΆΠ΄Ρ ΠΏΡΠΈ ΡΠ°Π·Π½ΡΡ ΡΠΎΠΊΠ°Ρ Π½Π°Π³ΡΡΠ·ΠΊΠΈ, ΠΏΠΎΡΠ»Π΅ ΡΠ΅Π³ΠΎ Π½Π°Ρ ΠΎΠ΄ΡΡ Π²Π½ΡΡΡΠ΅Π½Π½Π΅Π΅ ΡΠΎΠΏΡΠΎΡΠΈΠ²Π»Π΅Π½ΠΈΠ΅.
ΠΠΈΠΆΠ΅ ΠΏΡΠΈΠ²Π΅Π΄Π΅Π½ ΠΏΠΎΡΡΠ΄ΠΎΠΊ Π²ΡΡΠΈΡΠ»Π΅Π½ΠΈΡ ΠΏΠΎ ΡΠΎΡΠΌΡΠ»Π°ΠΌ, Π΄Π°Π»Π΅Π΅ R1, R2 β ΡΠΎΠΏΡΠΎΡΠΈΠ²Π»Π΅Π½ΠΈΠ΅ Π½Π°Π³ΡΡΠ·ΠΊΠΈ Π΄Π»Ρ ΠΏΠ΅ΡΠ²ΠΎΠ³ΠΎ ΠΈ Π²ΡΠΎΡΠΎΠ³ΠΎ ΠΈΠ·ΠΌΠ΅ΡΠ΅Π½ΠΈΡ ΡΠΎΠΎΡΠ²Π΅ΡΡΡΠ²Π΅Π½Π½ΠΎ, ΠΎΡΡΠ°Π»ΡΠ½ΡΠ΅ Π²Π΅Π»ΠΈΡΠΈΠ½Ρ Π°Π½Π°Π»ΠΎΠ³ΠΈΡΠ½ΠΎ, U1, U2 β Π½Π°ΠΏΡΡΠΆΠ΅Π½ΠΈΡ ΠΈΡΡΠΎΡΠ½ΠΈΠΊΠ° Π½Π° Π΅Π³ΠΎ Π·Π°ΠΆΠΈΠΌΠ°Ρ ΠΏΠΎΠ΄ Π½Π°Π³ΡΡΠ·ΠΊΠΎΠΉ.
- ΠΡΠ°ΠΊ, Π½Π°ΠΌ ΠΈΠ·Π²Π΅ΡΡΠ΅Π½ ΡΠΎΠΊ, ΡΠΎΠ³Π΄Π° ΠΎΠ½ ΡΠ°Π²Π΅Π½:
- I1=E/(R1+r)
- I2=E/(R2+r)
- ΠΡΠΈ ΡΡΠΎΠΌ:
- R1=U1/I1
- R2=U2/I2
- ΠΡΠ»ΠΈ ΠΏΠΎΠ΄ΡΡΠ°Π²ΠΈΡΡ Π² ΠΏΠ΅ΡΠ²ΡΠ΅ ΡΡΠ°Π²Π½Π΅Π½ΠΈΡ, ΡΠΎ:
- I1=E/( (U1/I1)+r)
- I2=E/( (U2/I2)+r)
- Π’Π΅ΠΏΠ΅ΡΡ ΡΠ°Π·Π΄Π΅Π»ΠΈΠΌ Π»Π΅Π²ΡΠ΅ ΠΈ ΠΏΡΠ°Π²ΡΠ΅ ΡΠ°ΡΡΠΈ Π΄ΡΡΠ³ Π½Π° Π΄ΡΡΠ³Π°:
- (I1/I2)= [E/( (U1/I1)+r)]/[E/( (U2/I2)+r)]
- ΠΠΎΡΠ»Π΅ Π²ΡΡΠΈΡΠ»Π΅Π½ΠΈΡ ΠΎΡΠ½ΠΎΡΠΈΡΠ΅Π»ΡΠ½ΠΎ ΡΠΎΠΏΡΠΎΡΠΈΠ²Π»Π΅Π½ΠΈΡ ΠΈΡΡΠΎΡΠ½ΠΈΠΊΠ° ΡΠΎΠΊΠ° ΠΏΠΎΠ»ΡΡΠΈΠΌ:
- r=(U1-U2)/(I1-I2)
- ΠΠ½ΡΡΡΠ΅Π½Π½Π΅Π΅ ΡΠΎΠΏΡΠΎΡΠΈΠ²Π»Π΅Π½ΠΈΠ΅ r:
- r= (U1+U2)/I,
- Π³Π΄Π΅ U1, U2 β Π½Π°ΠΏΡΡΠΆΠ΅Π½ΠΈΠ΅ Π½Π° Π·Π°ΠΆΠΈΠΌΠ°Ρ ΠΈΡΡΠΎΡΠ½ΠΈΠΊΠ° ΠΏΡΠΈ ΡΠ°Π·Π½ΠΎΠΌ ΡΠΎΠΊΠ΅ Π½Π°Π³ΡΡΠ·ΠΊΠΈ, I β ΡΠΎΠΊ Π² ΡΠ΅ΠΏΠΈ.
- Π’ΠΎΠ³Π΄Π° ΠΠΠ‘ ΡΠ°Π²Π½ΠΎ:
- E=I*(R+r) ΠΈΠ»ΠΈ E=U1+I1*r
Π§ΡΠΎ ΡΠ°ΠΊΠΎΠ΅ Π½Π°ΠΏΡΡΠΆΠ΅Π½ΠΈΠ΅
ΠΠ»Π΅ΠΊΡΡΠΈΡΠ΅ΡΠΊΠΎΠ΅ Π½Π°ΠΏΡΡΠΆΠ΅Π½ΠΈΠ΅ (ΠΎΠ±ΠΎΠ·Π½Π°ΡΠ°Π΅ΡΡΡ ΠΊΠ°ΠΊ U) β ΡΡΠΎ ΡΠΈΠ·ΠΈΡΠ΅ΡΠΊΠ°Ρ Π²Π΅Π»ΠΈΡΠΈΠ½Π°, ΠΊΠΎΡΠΎΡΠ°Ρ ΠΎΡΡΠ°ΠΆΠ°Π΅Ρ ΠΊΠΎΠ»ΠΈΡΠ΅ΡΡΠ²Π΅Π½Π½ΡΡ Ρ Π°ΡΠ°ΠΊΡΠ΅ΡΠΈΡΡΠΈΠΊΡ ΡΠ°Π±ΠΎΡΡ ΡΠ»Π΅ΠΊΡΡΠΈΡΠ΅ΡΠΊΠΎΠ³ΠΎ ΠΏΠΎΠ»Ρ ΠΏΠΎ ΠΏΠ΅ΡΠ΅Π½ΠΎΡΡ Π·Π°ΡΡΠ΄Π° ΠΈΠ· ΡΠΎΡΠΊΠΈ Π Π² ΡΠΎΡΠΊΡ Π.
Π‘ΠΎΠΎΡΠ²Π΅ΡΡΡΠ²Π΅Π½Π½ΠΎ Π½Π°ΠΏΡΡΠΆΠ΅Π½ΠΈΠ΅ ΠΌΠΎΠΆΠ΅Ρ Π±ΡΡΡ ΠΌΠ΅ΠΆΠ΄Ρ Π΄Π²ΡΠΌΡ ΡΠΎΡΠΊΠ°ΠΌΠΈ ΡΠ΅ΠΏΠΈ, Π½ΠΎ Π² ΠΎΡΠ»ΠΈΡΠΈΠΈ ΠΎΡ ΠΠΠ‘ ΠΎΠ½ΠΎ ΠΌΠΎΠΆΠ΅Ρ Π±ΡΡΡ ΠΌΠ΅ΠΆΠ΄Ρ Π΄Π²ΡΠΌΡ Π²ΡΠ²ΠΎΠ΄Π°ΠΌΠΈ ΠΊΠ°ΠΊΠΎΠ³ΠΎ-ΡΠΎ ΠΈΠ· ΡΠ»Π΅ΠΌΠ΅Π½ΡΠΎΠ² ΡΠ΅ΠΏΠΈ.
ΠΠ°ΠΏΠΎΠΌΠ½ΠΈΠΌ, ΡΡΠΎ ΠΠΠ‘ Ρ Π°ΡΠ°ΠΊΡΠ΅ΡΠΈΠ·ΡΠ΅Ρ ΡΠ°Π±ΠΎΡΡ, Π²ΡΠΏΠΎΠ»Π½Π΅Π½Π½ΡΡ ΡΡΠΎΡΠΎΠ½Π½ΠΈΠΌΠΈ ΡΠΈΠ»Π°ΠΌΠΈ, ΡΠΎ Π΅ΡΡΡ ΡΠ°Π±ΠΎΡΡ ΡΠ°ΠΌΠΎΠ³ΠΎ ΠΈΡΡΠΎΡΠ½ΠΈΠΊΠ° ΡΠΎΠΊΠ° ΠΈΠ»ΠΈ ΠΠΠ‘ ΠΏΠΎ ΠΏΠ΅ΡΠ΅Π½ΠΎΡΡ Π·Π°ΡΡΠ΄Π° ΡΠ΅ΡΠ΅Π· Π²ΡΡ ΡΠ΅ΠΏΡ, Π° Π½Π΅ Π½Π° ΠΊΠΎΠ½ΠΊΡΠ΅ΡΠ½ΠΎΠΌ ΡΠ»Π΅ΠΌΠ΅Π½ΡΠ΅.
ΠΡΠΎ ΠΎΠΏΡΠ΅Π΄Π΅Π»Π΅Π½ΠΈΠ΅ ΠΌΠΎΠΆΠ½ΠΎ Π²ΡΡΠ°Π·ΠΈΡΡ ΠΏΡΠΎΡΡΡΠΌ ΡΠ·ΡΠΊΠΎΠΌ. ΠΠ°ΠΏΡΡΠΆΠ΅Π½ΠΈΠ΅ ΠΈΡΡΠΎΡΠ½ΠΈΠΊΠΎΠ² ΠΏΠΎΡΡΠΎΡΠ½Π½ΠΎΠ³ΠΎ ΡΠΎΠΊΠ° β ΡΡΠΎ ΡΠΈΠ»Π°, ΠΊΠΎΡΠΎΡΠ°Ρ ΠΏΠ΅ΡΠ΅ΠΌΠ΅ΡΠ°Π΅Ρ ΡΠ²ΠΎΠ±ΠΎΠ΄Π½ΡΠ΅ ΡΠ»Π΅ΠΊΡΡΠΎΠ½Ρ ΠΎΡ ΠΎΠ΄Π½ΠΎΠ³ΠΎ Π°ΡΠΎΠΌΠ° ΠΊ Π΄ΡΡΠ³ΠΎΠΌΡ Π² ΠΎΠΏΡΠ΅Π΄Π΅Π»Π΅Π½Π½ΠΎΠΌ Π½Π°ΠΏΡΠ°Π²Π»Π΅Π½ΠΈΠΈ.
ΠΠ»Ρ ΠΏΠ΅ΡΠ΅ΠΌΠ΅Π½Π½ΠΎΠ³ΠΎ ΡΠΎΠΊΠ° ΠΈΡΠΏΠΎΠ»ΡΠ·ΡΡΡ ΡΠ»Π΅Π΄ΡΡΡΠΈΠ΅ ΠΏΠΎΠ½ΡΡΠΈΡ:
- ΠΌΠ³Π½ΠΎΠ²Π΅Π½Π½ΠΎΠ΅ Π½Π°ΠΏΡΡΠΆΠ΅Π½ΠΈΠ΅ β ΡΡΠΎ ΡΠ°Π·Π½ΠΎΡΡΡ ΠΏΠΎΡΠ΅Π½ΡΠΈΠ°Π»ΠΎΠ² ΠΌΠ΅ΠΆΠ΄Ρ ΡΠΎΡΠΊΠ°ΠΌΠΈ Π² Π΄Π°Π½Π½ΡΠΉ ΠΏΡΠΎΠΌΠ΅ΠΆΡΡΠΎΠΊ Π²ΡΠ΅ΠΌΠ΅Π½ΠΈ;
- Π°ΠΌΠΏΠ»ΠΈΡΡΠ΄Π½ΠΎΠ΅ Π·Π½Π°ΡΠ΅Π½ΠΈΠ΅ β ΠΏΡΠ΅Π΄ΡΡΠ°Π²Π»ΡΠ΅Ρ ΠΌΠ°ΠΊΡΠΈΠΌΠ°Π»ΡΠ½ΡΡ Π²Π΅Π»ΠΈΡΠΈΠ½Ρ ΠΏΠΎ ΠΌΠΎΠ΄ΡΠ»Ρ ΠΌΠ³Π½ΠΎΠ²Π΅Π½Π½ΠΎΠ³ΠΎ Π·Π½Π°ΡΠ΅Π½ΠΈΡ Π½Π°ΠΏΡΡΠΆΠ΅Π½ΠΈΡ Π·Π° ΠΏΡΠΎΠΌΠ΅ΠΆΡΡΠΎΠΊ Π²ΡΠ΅ΠΌΠ΅Π½ΠΈ;
- ΡΡΠ΅Π΄Π½Π΅Π΅ Π·Π½Π°ΡΠ΅Π½ΠΈΠ΅ β ΠΏΠΎΡΡΠΎΡΠ½Π½Π°Ρ ΡΠΎΡΡΠ°Π²Π»ΡΡΡΠ°Ρ Π½Π°ΠΏΡΡΠΆΠ΅Π½ΠΈΡ;
- ΡΡΠ΅Π΄Π½Π΅ΠΊΠ²Π°Π΄ΡΠ°ΡΠΈΡΠ½ΠΎΠ΅ ΠΈ ΡΡΠ΅Π΄Π½Π΅Π²ΡΠΏΡΡΠΌΠ»Π΅Π½Π½ΠΎΠ΅.
ΠΠ°ΠΏΡΡΠΆΠ΅Π½ΠΈΠ΅ ΡΡΠ°ΡΡΠΊΠ° ΡΠ΅ΠΏΠΈ Π·Π°Π²ΠΈΡΠΈΡ ΠΎΡ ΠΌΠ°ΡΠ΅ΡΠΈΠ°Π»Π° ΠΏΡΠΎΠ²ΠΎΠ΄Π½ΠΈΠΊΠ°, ΡΠΎΠΏΡΠΎΡΠΈΠ²Π»Π΅Π½ΠΈΡ Π½Π°Π³ΡΡΠ·ΠΊΠΈ ΠΈ ΡΠ΅ΠΌΠΏΠ΅ΡΠ°ΡΡΡΡ. Π’Π°ΠΊ ΠΆΠ΅ ΠΊΠ°ΠΊ ΠΈ ΡΠ»Π΅ΠΊΡΡΠΎΠ΄Π²ΠΈΠΆΡΡΠ°Ρ ΡΠΈΠ»Π° ΠΈΠ·ΠΌΠ΅ΡΡΠ΅ΡΡΡ Π² ΠΠΎΠ»ΡΡΠ°Ρ .
Π§Π°ΡΡΠΎ Π΄Π»Ρ ΠΏΠΎΠ½ΠΈΠΌΠ°Π½ΠΈΡ ΡΠΈΠ·ΠΈΡΠ΅ΡΠΊΠΎΠ³ΠΎ ΡΠΌΡΡΠ»Π° Π½Π°ΠΏΡΡΠΆΠ΅Π½ΠΈΡ, Π΅Π³ΠΎ ΡΡΠ°Π²Π½ΠΈΠ²Π°ΡΡ Ρ Π²ΠΎΠ΄ΠΎΠ½Π°ΠΏΠΎΡΠ½ΠΎΠΉ Π±Π°ΡΠ½Π΅ΠΉ. Π‘ΡΠΎΠ»Π± Π²ΠΎΠ΄Ρ ΠΎΡΠΎΠΆΠ΄Π΅ΡΡΠ²Π»ΡΡΡ Ρ Π½Π°ΠΏΡΡΠΆΠ΅Π½ΠΈΠ΅ΠΌ, Π° ΠΏΠΎΡΠΎΠΊ Ρ ΡΠΎΠΊΠΎΠΌ.
ΠΡΠΈ ΡΡΠΎΠΌ ΡΡΠΎΠ»Π± Π²ΠΎΠ΄Ρ Π² Π±Π°ΡΠ½Π΅ ΠΏΠΎΡΡΠ΅ΠΏΠ΅Π½Π½ΠΎ ΡΠΌΠ΅Π½ΡΡΠ°Π΅ΡΡΡ, ΡΡΠΎ Ρ Π°ΡΠ°ΠΊΡΠ΅ΡΠΈΠ·ΡΠ΅Ρ ΠΏΠΎΠ½ΠΈΠΆΠ΅Π½ΠΈΠ΅ Π½Π°ΠΏΡΡΠΆΠ΅Π½ΠΈΡ ΠΈ ΡΠΌΠ΅Π½ΡΡΠ΅Π½ΠΈΡ ΡΠΈΠ»Ρ ΡΠΎΠΊΠ°.
Π’Π°ΠΊ Π² ΡΠ΅ΠΌ ΠΆΠ΅ ΠΎΡΠ»ΠΈΡΠΈΠ΅
ΠΠ»Ρ Π»ΡΡΡΠ΅Π³ΠΎ ΠΏΠΎΠ½ΠΈΠΌΠ°Π½ΠΈΡ, Π² ΡΠ΅ΠΌ ΡΠΎΡΡΠΎΠΈΡ ΡΠ°Π·Π½ΠΈΡΠ° ΡΠ»Π΅ΠΊΡΡΠΎΠ΄Π²ΠΈΠΆΡΡΠ΅ΠΉ ΡΠΈΠ»Ρ ΠΎΡ Π½Π°ΠΏΡΡΠΆΠ΅Π½ΠΈΡ, ΡΠ°ΡΡΠΌΠΎΡΡΠΈΠΌ ΠΏΡΠΈΠΌΠ΅Ρ. ΠΠΌΠ΅Π΅ΡΡΡ ΠΈΡΡΠΎΡΠ½ΠΈΠΊ ΡΠ»Π΅ΠΊΡΡΠΈΡΠ΅ΡΠΊΠΎΠΉ ΡΠ½Π΅ΡΠ³ΠΈΠΈ Π±Π΅ΡΠΊΠΎΠ½Π΅ΡΠ½ΠΎΠΉ ΠΌΠΎΡΠ½ΠΎΡΡΠΈ, Π² ΠΊΠΎΡΠΎΡΠΎΠΌ ΠΎΡΡΡΡΡΡΠ²ΡΠ΅Ρ Π²Π½ΡΡΡΠ΅Π½Π½Π΅Π΅ ΡΠΎΠΏΡΠΎΡΠΈΠ²Π»Π΅Π½ΠΈΠ΅. Π ΡΠ»Π΅ΠΊΡΡΠΈΡΠ΅ΡΠΊΠΎΠΉ ΡΠ΅ΠΏΠΈ ΡΠΌΠΎΠ½ΡΠΈΡΠΎΠ²Π°Π½Π° Π½Π°Π³ΡΡΠ·ΠΊΠ°. Π ΡΡΠΎΠΌ ΡΠ»ΡΡΠ°Π΅ Π±ΡΠ΄Π΅Ρ ΡΠΏΡΠ°Π²Π΅Π΄Π»ΠΈΠ²ΠΎ ΡΡΠ²Π΅ΡΠΆΠ΄Π΅Π½ΠΈΠ΅, ΡΡΠΎ ΠΠΠ‘ ΠΈ Π½Π°ΠΏΡΡΠΆΠ΅Π½ΠΈΠ΅ ΡΠΎΠΆΠ΄Π΅ΡΡΠ²Π΅Π½Π½ΠΎ ΡΠ°Π²Π½Ρ, Ρ.Π΅ ΠΌΠ΅ΠΆΠ΄Ρ ΡΡΠΈΠΌΠΈ ΠΏΠΎΠ½ΡΡΠΈΡΠΌΠΈ ΠΎΡΡΡΡΡΡΠ²ΡΠ΅Ρ ΡΠ°Π·Π½ΠΈΡΠ°.
ΠΠ΄Π½Π°ΠΊΠΎ, ΡΡΠΎ ΠΈΠ΄Π΅Π°Π»ΡΠ½ΡΠ΅ ΡΡΠ»ΠΎΠ²ΠΈΡ, ΠΊΠΎΡΠΎΡΡΠ΅ Π² ΡΠ΅Π°Π»ΡΠ½ΠΎΠΉ ΠΆΠΈΠ·Π½ΠΈ Π½Π΅ Π²ΡΡΡΠ΅ΡΠ°ΡΡΡΡ. ΠΡΠΈ ΡΡΠ»ΠΎΠ²ΠΈΡ ΠΈΡΠΏΠΎΠ»ΡΠ·ΡΡΡ ΠΈΡΠΊΠ»ΡΡΠΈΡΠ΅Π»ΡΠ½ΠΎ ΠΏΡΠΈ ΡΠ°ΡΡΠ΅ΡΠ°Ρ . Π ΡΠ΅Π°Π»ΡΠ½ΠΎΠΉ ΠΆΠΈΠ·Π½ΠΈ ΡΡΠΈΡΡΠ²Π°Π΅ΡΡΡ Π²Π½ΡΡΡΠ΅Π½Π½Π΅Π΅ ΡΠΎΠΏΡΠΎΡΠΈΠ²Π»Π΅Π½ΠΈΠ΅ ΠΈΡΡΠΎΡΠ½ΠΈΠΊΠ° ΠΏΠΈΡΠ°Π½ΠΈΡ. Π ΡΡΠΎΠΌ ΡΠ»ΡΡΠ°Π΅ ΠΠΠ‘ ΠΈ Π½Π°ΠΏΡΡΠΆΠ΅Π½ΠΈΠ΅ ΠΈΠΌΠ΅ΡΡ ΠΎΡΠ»ΠΈΡΠΈΡ.
ΠΠ° ΡΠΈΡΡΠ½ΠΊΠ΅ ΠΏΡΠ΅Π΄ΡΡΠ°Π²Π»Π΅Π½ΠΎ, ΠΊΠ°ΠΊΠ°Ρ ΡΠ°Π·Π½ΠΈΡΠ° Π±ΡΠ΄Π΅Ρ Π² Π·Π½Π°ΡΠ΅Π½ΠΈΡΡ ΡΠ»Π΅ΠΊΡΡΠΎΠ΄Π²ΠΈΠΆΡΡΠ΅ΠΉ ΡΠΈΠ»Ρ ΠΈ Π½Π°ΠΏΡΡΠΆΠ΅Π½ΠΈΠΈ Π² ΡΠ΅Π°Π»ΡΠ½ΡΡ ΡΡΠ»ΠΎΠ²ΠΈΡΡ . ΠΡΡΠ΅ΠΏΡΠΈΠ²Π΅Π΄Π΅Π½Π½Π°Ρ ΡΠΎΡΠΌΡΠ»Π° Π·Π°ΠΊΠΎΠ½Π° ΠΠΌΠ° Π΄Π»Ρ ΠΏΠΎΠ»Π½ΠΎΠΉ ΡΠ΅ΠΏΠΈ ΠΎΠΏΠΈΡΡΠ²Π°Π΅Ρ Π²ΡΠ΅ ΠΏΡΠΎΡΠ΅ΡΡΡ. ΠΡΠΈ ΡΠ°Π·ΠΎΠΌΠΊΠ½ΡΡΠΎΠΉ ΡΠ΅ΠΏΠΈ Π½Π° ΠΊΠ»Π΅ΠΌΠΌΠ°Ρ Π±Π°ΡΠ°ΡΠ΅ΠΉΠΊΠΈ Π±ΡΠ΄Π΅Ρ Π·Π½Π°ΡΠ΅Π½ΠΈΠ΅ 1,5 ΠΠΎΠ»ΡΡΠ°. ΠΡΠΎ Π·Π½Π°ΡΠ΅Π½ΠΈΠ΅ ΠΠΠ‘. ΠΠΎΠ΄ΠΊΠ»ΡΡΠΈΠ² Π½Π°Π³ΡΡΠ·ΠΊΡ, Π² Π΄Π°Π½Π½ΠΎΠΌ ΡΠ»ΡΡΠ°Π΅ ΡΡΠΎ Π»Π°ΠΌΠΏΠΎΡΠΊΠ°, Π½Π° Π½Π΅ΠΉ Π±ΡΠ΄Π΅Ρ Π½Π°ΠΏΡΡΠΆΠ΅Π½ΠΈΠ΅ 1 Π²ΠΎΠ»ΡΡ.
Π Π°Π·Π½ΠΈΡΠ° ΠΎΡ ΠΈΠ΄Π΅Π°Π»ΡΠ½ΠΎΠ³ΠΎ ΠΈΡΡΠΎΡΠ½ΠΈΠΊΠ° Π·Π°ΠΊΠ»ΡΡΠ°Π΅ΡΡΡ Π² Π½Π°Π»ΠΈΡΠΈΠΈ Π²Π½ΡΡΡΠ΅Π½Π½Π΅Π³ΠΎ ΡΠΎΠΏΡΠΎΡΠΈΠ²Π»Π΅Π½ΠΈΡ ΠΈΡΡΠΎΡΠ½ΠΈΠΊΠ° ΠΏΠΈΡΠ°Π½ΠΈΡ. ΠΠ° ΡΡΠΎΠΌ ΡΠΎΠΏΡΠΎΡΠΈΠ²Π»Π΅Π½ΠΈΠΈ ΠΈ ΠΏΡΠΎΠΈΡΡ ΠΎΠ΄ΠΈΡ ΠΏΠ°Π΄Π΅Π½ΠΈΠ΅ Π½Π°ΠΏΡΡΠΆΠ΅Π½ΠΈΡ. ΠΡΠΈ ΠΏΡΠΎΡΠ΅ΡΡΡ ΠΎΠΏΠΈΡΡΠ²Π°Π΅Ρ Π·Π°ΠΊΠΎΠ½ ΠΠΌΠ° Π΄Π»Ρ ΠΏΠΎΠ»Π½ΠΎΠΉ ΡΠ΅ΠΏΠΈ.
ΠΡΠ»ΠΈ ΠΈΠ·ΠΌΠ΅ΡΠΈΡΠ΅Π»ΡΠ½ΡΠΉ ΠΏΡΠΈΠ±ΠΎΡ Π½Π° Π·Π°ΠΆΠΈΠΌΠ°Ρ ΠΈΡΡΠΎΡΠ½ΠΈΠΊΠ° ΡΠ»Π΅ΠΊΡΡΠΎΡΠ½Π΅ΡΠ³ΠΈΠΈ ΠΏΠΎΠΊΠ°Π·ΡΠ²Π°Π΅Ρ Π·Π½Π°ΡΠ΅Π½ΠΈΠ΅ 1,5 ΠΠΎΠ»ΡΡΠ°, ΡΡΠΎ Π±ΡΠ΄Π΅Ρ ΡΠ»Π΅ΠΊΡΡΠΎΠ΄Π²ΠΈΠΆΡΡΠ°Ρ ΡΠΈΠ»Π°, Π½ΠΎ ΠΏΠΎΠ²ΡΠΎΡΠΈΠΌ, ΠΏΡΠΈ ΡΡΠ»ΠΎΠ²ΠΈΠΈ ΠΎΡΡΡΡΡΡΠ²ΠΈΡ Π½Π°Π³ΡΡΠ·ΠΊΠΈ.
ΠΡΠΈ ΠΏΠΎΠ΄ΠΊΠ»ΡΡΠ΅Π½ΠΈΠΈ Π½Π°Π³ΡΡΠ·ΠΊΠΈ Π½Π° ΠΊΠ»Π΅ΠΌΠΌΠ°Ρ Π±ΡΠ΄Π΅Ρ Π·Π°Π²Π΅Π΄ΠΎΠΌΠΎ ΠΌΠ΅Π½ΡΡΠ΅Π΅ Π·Π½Π°ΡΠ΅Π½ΠΈΠ΅. ΠΡΠΎ ΠΈ Π΅ΡΡΡ Π½Π°ΠΏΡΡΠΆΠ΅Π½ΠΈΠ΅.
ΠΡΠ²ΠΎΠ΄
ΠΠ· Π²ΡΡΠ΅ΡΠΊΠ°Π·Π°Π½Π½ΠΎΠ³ΠΎ ΠΌΠΎΠΆΠ½ΠΎ ΡΠ΄Π΅Π»Π°ΡΡ Π²ΡΠ²ΠΎΠ΄, ΡΡΠΎ ΠΎΡΠ½ΠΎΠ²Π½Π°Ρ ΡΠ°Π·Π½ΠΈΡΠ° ΠΌΠ΅ΠΆΠ΄Ρ ΠΠΠ‘ ΠΈ Π½Π°ΠΏΡΡΠΆΠ΅Π½ΠΈΠ΅ΠΌ ΡΠΎΡΡΠΎΠΈΡ:
- ΠΠ»Π΅ΠΊΡΡΠΎΠ΄Π²ΠΈΠΆΡΡΠ°Ρ ΡΠΈΠ»Π° Π·Π°Π²ΠΈΡΠΈΡ ΠΎΡ ΠΈΡΡΠΎΡΠ½ΠΈΠΊΠ° ΠΏΠΈΡΠ°Π½ΠΈΡ, Π° Π½Π°ΠΏΡΡΠΆΠ΅Π½ΠΈΠ΅ Π·Π°Π²ΠΈΡΠΈΡ ΠΎΡ ΠΏΠΎΠ΄ΠΊΠ»ΡΡΠ΅Π½Π½ΠΎΠΉ Π½Π°Π³ΡΡΠ·ΠΊΠΈ ΠΈ ΡΠΎΠΊΠ°, ΠΏΡΠΎΡΠ΅ΠΊΠ°ΡΡΠ΅Π³ΠΎ ΠΏΠΎ ΡΠ΅ΠΏΠΈ.
- ΠΠ»Π΅ΠΊΡΡΠΎΠ΄Π²ΠΈΠΆΡΡΠ°Ρ ΡΠΈΠ»Π° ΡΡΠΎ ΡΠΈΠ·ΠΈΡΠ΅ΡΠΊΠ°Ρ Π²Π΅Π»ΠΈΡΠΈΠ½Π°, Ρ Π°ΡΠ°ΠΊΡΠ΅ΡΠΈΠ·ΡΡΡΠ°Ρ ΡΠ°Π±ΠΎΡΡ ΡΡΠΎΡΠΎΠ½Π½ΠΈΡ ΡΠΈΠ» Π½Π΅ΡΠ»Π΅ΠΊΡΡΠΈΡΠ΅ΡΠΊΠΎΠ³ΠΎ ΠΏΡΠΎΠΈΡΡ ΠΎΠΆΠ΄Π΅Π½ΠΈΡ, ΠΏΡΠΎΠΈΡΡ ΠΎΠ΄ΡΡΠΈΡ Π² ΡΠ΅ΠΏΡΡ ΠΏΠΎΡΡΠΎΡΠ½Π½ΠΎΠ³ΠΎ ΠΈ ΠΏΠ΅ΡΠ΅ΠΌΠ΅Π½Π½ΠΎΠ³ΠΎ ΡΠΎΠΊΠ°.
- ΠΠ°ΠΏΡΡΠΆΠ΅Π½ΠΈΠ΅ ΠΈ ΠΠΠ‘ ΠΈΠΌΠ΅Π΅Ρ Π΅Π΄ΠΈΠ½ΡΡ Π΅Π΄ΠΈΠ½ΠΈΡΡ ΠΈΠ·ΠΌΠ΅ΡΠ΅Π½ΠΈΡ β ΠΠΎΠ»ΡΡ.
- U -Π²Π΅Π»ΠΈΡΠΈΠ½Π° ΡΠΈΠ·ΠΈΡΠ΅ΡΠΊΠ°Ρ, ΡΠ°Π²Π½Π°Ρ ΡΠ°Π±ΠΎΡΠ΅ ΡΡΡΠ΅ΠΊΡΠΈΠ²Π½ΠΎΠ³ΠΎ ΡΠ»Π΅ΠΊΡΡΠΈΡΠ΅ΡΠΊΠΎΠ³ΠΎ ΠΏΠΎΠ»Ρ, ΠΏΡΠΎΠΈΠ·Π²ΠΎΠ΄ΠΈΠΌΠΎΠΉ ΠΏΡΠΈ ΠΏΠ΅ΡΠ΅Π½ΠΎΡΠ΅ Π΅Π΄ΠΈΠ½ΠΈΡΠ½ΠΎΠ³ΠΎ ΠΏΡΠΎΠ±Π½ΠΎΠ³ΠΎ Π·Π°ΡΡΠ΄Π° ΠΈΠ· ΡΠΎΡΠΊΠΈ Π Π² ΡΠΎΡΠΊΡ Π.
Π’Π°ΠΊΠΈΠΌ ΠΎΠ±ΡΠ°Π·ΠΎΠΌ, ΠΊΡΠ°ΡΠΊΠΎ, Π΅ΡΠ»ΠΈ ΠΏΡΠ΅Π΄ΡΡΠ°Π²ΠΈΡΡ U Π² Π²ΠΈΠ΄Π΅ ΡΡΠΎΠ»Π±Π° Π²ΠΎΠ΄Ρ, ΡΠΎ ΠΠΠ‘ ΠΌΠΎΠΆΠ½ΠΎ ΠΏΡΠ΅Π΄ΡΡΠ°Π²ΠΈΡΡ ΡΡΠΎ ΡΡΠΎ Π½Π°ΡΠΎΡ, ΠΏΠΎΠ΄Π΄Π΅ΡΠΆΠΈΠ²Π°ΡΡΠΈΠΉ ΡΡΠΎΠ²Π΅Π½Ρ Π²ΠΎΠ΄Ρ Π½Π° ΠΏΠΎΡΡΠΎΡΠ½Π½ΠΎΠΌ ΡΡΠΎΠ²Π½Π΅. ΠΠ°Π΄Π΅Π΅ΠΌΡΡ, ΠΏΠΎΡΠ»Π΅ ΠΏΡΠΎΡΡΠ΅Π½ΠΈΡ ΡΡΠ°ΡΡΠΈ ΠΠ°ΠΌ ΡΡΠ°Π»ΠΎ ΠΏΠΎΠ½ΡΡΠ½ΠΎ ΠΎΡΠ½ΠΎΠ²Π½ΠΎΠ΅ ΠΎΡΠ»ΠΈΡΠΈΠ΅!
ΠΠ°ΡΠ΅ΡΠΈΠ°Π»Ρ ΠΏΠΎ ΡΠ΅ΠΌΠ΅:
ΠΡΡΠΎΡΠ½ΠΈΠΊ: https://samelectrik.ru/chem-otlichaetsya-eds-ot-napryazheniya-prostoe-obyasnenie-na-primere.html
Π‘ΡΠΎΡΠΎΠ½Π½ΠΈΠ΅ ΡΠΈΠ»Ρ. ΠΠ»Π΅ΠΊΡΡΠΎΠ΄Π²ΠΈΠΆΡΡΠ°Ρ ΡΠΈΠ»Π° ΠΈ Π½Π°ΠΏΡΡΠΆΠ΅Π½ΠΈΠ΅
ΠΡΠ»ΠΈ Π² ΡΠ΅ΠΏΠΈ Π½Π° ΡΠ²ΠΎΠ±ΠΎΠ΄Π½ΡΠ΅ Π½ΠΎΡΠΈΡΠ΅Π»ΠΈ Π·Π°ΡΡΠ΄Π° Π΄Π΅ΠΉΡΡΠ²ΡΡΡ ΡΠΎΠ»ΡΠΊΠΎ ΡΠΈΠ»Ρ ΡΠ»Π΅ΠΊΡΡΠΎΡΡΠ°ΡΠΈΡΠ΅ΡΠΊΠΎΠ³ΠΎ ΠΏΠΎΠ»Ρ, ΡΠΎ ΠΏΡΠΎΠΈΡΡ ΠΎΠ΄ΠΈΡ ΠΏΠ΅ΡΠ΅ΠΌΠ΅ΡΠ΅Π½ΠΈΠ΅ Π½ΠΎΡΠΈΡΠ΅Π»Π΅ΠΉ (ΠΎΠ½ΠΈ ΠΏΡΠ΅Π΄ΠΏΠΎΠ»Π°Π³Π°ΡΡΡΡ ΠΏΠΎΠ»ΠΎΠΆΠΈΡΠ΅Π»ΡΠ½ΡΠΌΠΈ) ΠΎΡ ΡΠΎΡΠ΅ΠΊ Ρ Π±ΠΎΠ»ΡΡΠΈΠΌ ΠΏΠΎΡΠ΅Π½ΡΠΈΠ°Π»ΠΎΠΌ ΠΊ ΡΠΎΡΠΊΠ°ΠΌ Ρ ΠΌΠ΅Π½ΡΡΠΈΠΌ ΠΏΠΎΡΠ΅Π½ΡΠΈΠ°Π»ΠΎΠΌ. ΠΡΠΎ ΠΏΡΠΈΠ²Π΅Π΄Π΅Ρ ΠΊ Π²ΡΡΠ°Π²Π½ΠΈΠ²Π°Π½ΠΈΡ ΠΏΠΎΡΠ΅Π½ΡΠΈΠ°Π»ΠΎΠ² Π²ΠΎ Π²ΡΠ΅Ρ ΡΠΎΡΠΊΠ°Ρ ΡΠ΅ΠΏΠΈ ΠΈ ΠΊ ΠΈΡΡΠ΅Π·Π½ΠΎΠ²Π΅Π½ΠΈΡ ΡΠ»Π΅ΠΊΡΡΠΈΡΠ΅ΡΠΊΠΎΠ³ΠΎ ΠΏΠΎΠ»Ρ.
ΠΠΎΡΡΠΎΠΌΡ Π΄Π»Ρ ΡΡΡΠ΅ΡΡΠ²ΠΎΠ²Π°Π½ΠΈΡ ΠΏΠΎΡΡΠΎΡΠ½Π½ΠΎΠ³ΠΎ ΡΠΎΠΊΠ° Π² ΡΠ΅ΠΏΠΈ Π½Π΅ΠΎΠ±Ρ ΠΎΠ΄ΠΈΠΌΠΎ Π½Π°Π»ΠΈΡΠΈΠ΅ ΡΡΡΡΠΎΠΉΡΡΠ²Π°, ΡΠΏΠΎΡΠΎΠ±Π½ΠΎΠ³ΠΎ ΡΠΎΠ·Π΄Π°Π²Π°ΡΡ ΠΈ ΠΏΠΎΠ΄Π΄Π΅ΡΠΆΠΈΠ²Π°ΡΡ ΡΠ°Π·Π½ΠΎΡΡΡ ΠΏΠΎΡΠ΅Π½ΡΠΈΠ°Π»ΠΎΠ² Π·Π° ΡΡΠ΅Ρ ΡΠ°Π±ΠΎΡΡ ΡΠΈΠ» Π½Π΅ΡΠ»Π΅ΠΊΡΡΠΎΡΡΠ°ΡΠΈΡΠ΅ΡΠΊΠΎΠ³ΠΎ ΠΏΡΠΎΠΈΡΡ ΠΎΠΆΠ΄Π΅Π½ΠΈΡ. Π’Π°ΠΊΠΈΠ΅ ΡΡΡΡΠΎΠΉΡΡΠ²Π° Π½Π°Π·ΡΠ²Π°ΡΡΡΡ ΠΈΡΡΠΎΡΠ½ΠΈΠΊΠ°ΠΌΠΈ ΡΠΎΠΊΠ°.
Π‘ΠΈΠ»Ρ Π½Π΅ΡΠ»Π΅ΠΊΡΡΠΎΡΡΠ°ΡΠΈΡΠ΅ΡΠΊΠΎΠ³ΠΎ ΠΏΡΠΎΠΈΡΡ ΠΎΠΆΠ΄Π΅Π½ΠΈΡ, Π΄Π΅ΠΉΡΡΠ²ΡΡΡΠΈΠ΅ Π½Π° Π·Π°ΡΡΠ΄Ρ Π²Π½ΡΡΡΠΈ ΠΈΡΡΠΎΡΠ½ΠΈΠΊΠ° ΡΠΎΠΊΠ°, Π½Π°Π·ΡΠ²Π°ΡΡΡΡ ΡΡΠΎΡΠΎΠ½Π½ΠΈΠΌΠΈ.
ΠΡΠΈΡΠΎΠ΄Π° ΡΡΠΎΡΠΎΠ½Π½ΠΈΡ ΡΠΈΠ» ΠΌΠΎΠΆΠ΅Ρ Π±ΡΡΡ ΡΠ°Π·Π»ΠΈΡΠ½ΠΎΠΉ.
ΠΠ°ΠΏΡΠΈΠΌΠ΅Ρ, Π² Π³Π°Π»ΡΠ²Π°Π½ΠΈΡΠ΅ΡΠΊΠΈΡ ΡΠ»Π΅ΠΌΠ΅Π½ΡΠ°Ρ ΠΎΠ½ΠΈ Π²ΠΎΠ·Π½ΠΈΠΊΠ°ΡΡ Π·Π° ΡΡΠ΅Ρ ΡΠ½Π΅ΡΠ³ΠΈΠΈ Ρ ΠΈΠΌΠΈΡΠ΅ΡΠΊΠΈΡ ΡΠ΅Π°ΠΊΡΠΈΠΉ ΠΌΠ΅ΠΆΠ΄Ρ ΡΠ»Π΅ΠΊΡΡΠΎΠ΄Π°ΠΌΠΈ ΠΈ ΡΠ»Π΅ΠΊΡΡΠΎΠ»ΠΈΡΠ°ΠΌΠΈ, Π² Π³Π΅Π½Π΅ΡΠ°ΡΠΎΡΠ΅ β Π·Π° ΡΡΠ΅Ρ ΠΌΠ΅Ρ Π°Π½ΠΈΡΠ΅ΡΠΊΠΎΠΉ ΡΠ½Π΅ΡΠ³ΠΈΠΈ Π²ΡΠ°ΡΠ΅Π½ΠΈΡ ΡΠΎΡΠΎΡΠ° Π³Π΅Π½Π΅ΡΠ°ΡΠΎΡΠ° ΠΈ Ρ. ΠΏ.
Π ΠΎΠ»Ρ ΠΈΡΡΠΎΡΠ½ΠΈΠΊΠ° ΡΠΎΠΊΠ° Π² ΡΠ»Π΅ΠΊΡΡΠΈΡΠ΅ΡΠΊΠΎΠΉ ΡΠ΅ΠΏΠΈ, ΠΎΠ±ΡΠ°Π·Π½ΠΎ Π³ΠΎΠ²ΠΎΡΡ, ΡΠ°ΠΊΠ°Ρ ΠΆΠ΅, ΠΊΠ°ΠΊ ΡΠΎΠ»Ρ Π½Π°ΡΠΎΡΠ°, ΠΊΠΎΡΠΎΡΡΠΉ Π½Π΅ΠΎΠ±Ρ ΠΎΠ΄ΠΈΠΌ Π΄Π»Ρ ΠΏΠ΅ΡΠ΅ΠΊΠ°ΡΠΈΠ²Π°Π½ΠΈΡ ΠΆΠΈΠ΄ΠΊΠΎΡΡΠΈ Π² Π³ΠΈΠ΄ΡΠ°Π²Π»ΠΈΡΠ΅ΡΠΊΠΎΠΉ ΡΠΈΡΡΠ΅ΠΌΠ΅.
ΠΠΎΠ΄ Π΄Π΅ΠΉΡΡΠ²ΠΈΠ΅ΠΌ ΡΡΠΎΡΠΎΠ½Π½ΠΈΡ ΡΠΈΠ» ΡΠ»Π΅ΠΊΡΡΠΈΡΠ΅ΡΠΊΠΈΠ΅ Π·Π°ΡΡΠ΄Ρ Π΄Π²ΠΈΠΆΡΡΡΡ Π²Π½ΡΡΡΠΈ ΠΈΡΡΠΎΡΠ½ΠΈΠΊΠ° ΡΠΎΠΊΠ° ΠΏΡΠΎΡΠΈΠ² ΡΠΈΠ» ΡΠ»Π΅ΠΊΡΡΠΎΡΡΠ°ΡΠΈΡΠ΅ΡΠΊΠΎΠ³ΠΎ ΠΏΠΎΠ»Ρ, Π±Π»Π°Π³ΠΎΠ΄Π°ΡΡ ΡΠ΅ΠΌΡ Π½Π° ΠΊΠΎΠ½ΡΠ°Ρ ΡΠ΅ΠΏΠΈ ΠΏΠΎΠ΄Π΄Π΅ΡΠΆΠΈΠ²Π°Π΅ΡΡΡ ΡΠ°Π·Π½ΠΎΡΡΡ ΠΏΠΎΡΠ΅Π½ΡΠΈΠ°Π»ΠΎΠ² ΠΈ Π² ΡΠ΅ΠΏΠΈ ΡΠ΅ΡΠ΅Ρ ΠΏΠΎΡΡΠΎΡΠ½Π½ΡΠΉ ΡΠ»Π΅ΠΊΡΡΠΈΡΠ΅ΡΠΊΠΈΠΉ ΡΠΎΠΊ.
Π‘ΡΠΎΡΠΎΠ½Π½ΠΈΠ΅ ΡΠΈΠ»Ρ ΡΠΎΠ²Π΅ΡΡΠ°ΡΡ ΡΠ°Π±ΠΎΡΡ ΠΏΠΎ ΠΏΠ΅ΡΠ΅ΠΌΠ΅ΡΠ΅Π½ΠΈΡ ΡΠ»Π΅ΠΊΡΡΠΈΡΠ΅ΡΠΊΠΈΡ Π·Π°ΡΡΠ΄ΠΎΠ². Π€ΠΈΠ·ΠΈΡΠ΅ΡΠΊΠ°Ρ Π²Π΅Π»ΠΈΡΠΈΠ½Π°, ΠΎΠΏΡΠ΅Π΄Π΅Π»ΡΠ΅ΠΌΠ°Ρ ΡΠ°Π±ΠΎΡΠΎΠΉ, ΡΠΎΠ²Π΅ΡΡΠ°Π΅ΠΌΠΎΠΉ ΡΡΠΎΡΠΎΠ½Π½ΠΈΠΌΠΈ ΡΠΈΠ»Π°ΠΌΠΈ ΠΏΡΠΈ ΠΏΠ΅ΡΠ΅ΠΌΠ΅ΡΠ΅Π½ΠΈΠΈ Π΅Π΄ΠΈΠ½ΠΈΡΠ½ΠΎΠ³ΠΎ ΠΏΠΎΠ»ΠΎΠΆΠΈΡΠ΅Π»ΡΠ½ΠΎΠ³ΠΎ Π·Π°ΡΡΠ΄Π°, Π½Π°Π·ΡΠ²Π°Π΅ΡΡΡ ΡΠ»Π΅ΠΊΡΡΠΎΠ΄Π²ΠΈΠΆΡΡΠ΅ΠΉ ΡΠΈΠ»ΠΎΠΉ (ΠΠΠ‘) Β«Π,
ΠΡΠ° ΡΠ°Π±ΠΎΡΠ° ΠΏΡΠΎΠΈΠ·Π²ΠΎΠ΄ΠΈΡΡΡ Π·Π° ΡΡΠ΅Ρ ΡΠ½Π΅ΡΠ³ΠΈΠΈ, Π·Π°ΡΡΠ°ΡΠΈΠ²Π°Π΅ΠΌΠΎΠΉ Π² ΠΈΡΡΠΎΡΠ½ΠΈΠΊΠ΅ ΡΠΎΠΊΠ°, ΠΏΠΎΡΡΠΎΠΌΡ Π²Π΅Π»ΠΈΡΠΈΠ½Ρ W ΠΌΠΎΠΆΠ½ΠΎ ΡΠ°ΠΊΠΆΠ΅ Π½Π°Π·ΡΠ²Π°ΡΡ ΡΠ»Π΅ΠΊΡΡΠΎΠ΄Π²ΠΈΠΆΡΡΠ΅ΠΉ ΡΠΈΠ»ΠΎΠΉ ΠΈΡΡΠΎΡΠ½ΠΈΠΊΠ° ΡΠΎΠΊΠ°, Π²ΠΊΠ»ΡΡΠ΅Π½Π½ΠΎΠ³ΠΎ Π² ΡΠ΅ΠΏΡ.
Π§Π°ΡΡΠΎ, Π²ΠΌΠ΅ΡΡΠΎ ΡΠΎΠ³ΠΎ ΡΡΠΎΠ±Ρ ΡΠΊΠ°Π·Π°ΡΡ: Β«Π ΡΠ΅ΠΏΠΈ Π΄Π΅ΠΉΡΡΠ²ΡΡΡ ΡΡΠΎΡΠΎΠ½Π½ΠΈΠ΅ ΡΠΈΠ»ΡΒ», Π³ΠΎΠ²ΠΎΡΡΡ: Β«Π ΡΠ΅ΠΏΠΈ Ρ ΠΠΠ‘Β», Ρ.Π΅. ΡΠ΅ΡΠΌΠΈΠ½ Β«ΡΠ»Π΅ΠΊΡΡΠΎΠ΄Π²ΠΈΠΆΡΡΠ°Ρ ΡΠΈΠ»Π°Β» ΡΠΏΠΎΡΡΠ΅Π±Π»ΡΠ΅ΡΡΡ ΠΊΠ°ΠΊ Ρ Π°ΡΠ°ΠΊΡΠ΅ΡΠΈΡΡΠΈΠΊΠ° ΡΡΠΎΡΠΎΠ½Π½ΠΈΡ ΡΠΈΠ».
ΠΠΠ‘, ΠΊΠ°ΠΊ ΠΈ ΠΏΠΎΡΠ΅Π½ΡΠΈΠ°Π», Π²ΡΡΠ°ΠΆΠ°Π΅ΡΡΡ Π² Π²ΠΎΠ»ΡΡΠ°Ρ (ΡΠΌ. ΡΠΎΡΠΌΡΠ»Ρ (4) ΠΏ. 1.6 ΠΈ (1)).
ΠΠ° Π·Π°ΡΡΠ΄ Q0, ΠΏΠΎΠΌΠΈΠΌΠΎ ΡΡΠΎΡΠΎΠ½Π½ΠΈΡ ΡΠΈΠ», Π΄Π΅ΠΉΡΡΠ²ΡΡΡ ΡΠ°ΠΊΠΆΠ΅ ΡΠΈΠ»Ρ ΡΠ»Π΅ΠΊΡΡΠΎΡΡΠ°ΡΠΈΡΠ΅ΡΠΊΠΎΠ³ΠΎ ΠΏΠΎΠ»Ρ. Π Π°Π±ΠΎΡΠ°, ΡΠΎΠ²Π΅ΡΡΠ°Π΅ΠΌΠ°Ρ ΡΠΈΠ»Π°ΠΌΠΈ ΡΠ»Π΅ΠΊΡΡΠΎΡΡΠ°ΡΠΈΡΠ΅ΡΠΊΠΎΠ³ΠΎ ΠΏΠΎΠ»Ρ ΠΏΡΠΈ ΠΏΠ΅ΡΠ΅ΠΌΠ΅ΡΠ΅Π½ΠΈΠΈ Π·Π°ΡΡΠ΄Π° Q0 ΠΈΠ· ΡΠΎΡΠΊΠΈ 1 Π² ΡΠΎΡΠΊΡ 2 (ΡΠΌ. (3) ΠΏ. 8.6), ΡΠ°Π²Π½Π°:
Π Π°Π±ΠΎΡΠ°, ΡΠΎΠ²Π΅ΡΡΠ°Π΅ΠΌΠ°Ρ ΡΠ΅Π·ΡΠ»ΡΡΠΈΡΡΡΡΠ΅ΠΉ ΡΠΈΠ»ΠΎΠΉ Π½Π°Π΄ Π·Π°ΡΡΠ΄ΠΎΠΌ Q0Ha ΡΡΠ°ΡΡΠΊΠ΅ 1β2, ΡΠ°Π²Π½Π°:
ΠΡΠ»ΠΈ ΡΠ΅ΠΏΡ Π·Π°ΠΌΠΊΠ½ΡΡΠ°, ΡΠΎ ΡΠ°Π±ΠΎΡΠ° ΡΠ»Π΅ΠΊΡΡΠΎΡΡΠ°ΡΠΈΡΠ΅ΡΠΊΠΈΡ ΡΠΈΠ» ΡΠ°Π²Π½Π° Π½ΡΠ»Ρ, ΠΈ Π² Π΄Π°Π½Π½ΠΎΠΌ ΡΠ»ΡΡΠ°Π΅
ΠΠ°ΠΏΡΡΠΆΠ΅Π½ΠΈΠ΅ Π½Π° ΡΡΠ°ΡΡΠΊΠ΅ 1β2 β ΡΠΈΠ·ΠΈΡΠ΅ΡΠΊΠ°Ρ Π²Π΅Π»ΠΈΡΠΈΠ½Π°, ΡΠ°Π²Π½Π°Ρ ΡΠ°Π±ΠΎΡΠ΅, ΡΠΎΠ²Π΅ΡΡΠ°Π΅ΠΌΠΎΠΉ ΡΡΠΌΠΌΠ°ΡΠ½ΡΠΌ ΠΏΠΎΠ»Π΅ΠΌ ΡΠ»Π΅ΠΊΡΡΠΎΡΡΠ°ΡΠΈΡΠ΅ΡΠΊΠΈΡ (ΠΊΡΠ»ΠΎΠ½ΠΎΠ²ΡΠΊΠΈΡ ) ΠΈ ΡΡΠΎΡΠΎΠ½Π½ΠΈΡ ΡΠΈΠ» ΠΏΡΠΈ ΠΏΠ΅ΡΠ΅ΠΌΠ΅ΡΠ΅Π½ΠΈΠΈ Π΅Π΄ΠΈΠ½ΠΈΡΠ½ΠΎΠ³ΠΎ ΠΏΠΎΠ»ΠΎΠΆΠΈΡΠ΅Π»ΡΠ½ΠΎΠ³ΠΎ Π·Π°ΡΡΠ΄Π° Π½Π° Π΄Π°Π½Π½ΠΎΠΌ ΡΡΠ°ΡΡΠΊΠ΅ ΡΠ΅ΠΏΠΈ:
ΠΈΠ»ΠΈ, ΡΡΠΈΡΡΠ²Π°Ρ ΡΠΎΡΠΌΡΠ»Ρ (3), ΠΏΠΎΠ»ΡΡΠΈΠΌ
ΠΠΎΠ½ΡΡΠΈΠ΅ Π½Π°ΠΏΡΡΠΆΠ΅Π½ΠΈΡ ΡΠ²Π»ΡΠ΅ΡΡΡ ΠΎΠ±ΠΎΠ±ΡΠ΅Π½ΠΈΠ΅ΠΌ ΠΏΠΎΠ½ΡΡΠΈΡ ΡΠ°Π·Π½ΠΎΡΡΠΈ ΠΏΠΎΡΠ΅Π½ΡΠΈΠ°Π»ΠΎΠ²: Π½Π°ΠΏΡΡΠΆΠ΅Π½ΠΈΠ΅ Π½Π° ΠΊΠΎΠ½ΡΠ°Ρ ΡΡΠ°ΡΡΠΊΠ° ΡΠ΅ΠΏΠΈ ΡΠ°Π²Π½ΠΎ ΡΠ°Π·Π½ΠΎΡΡΠΈ ΠΏΠΎΡΠ΅Π½ΡΠΈΠ°Π»ΠΎΠ² Π² ΡΠΎΠΌ ΡΠ»ΡΡΠ°Π΅, Π΅ΡΠ»ΠΈ Π½Π° ΡΡΠΎΠΌ ΡΡΠ°ΡΡΠΊΠ΅ Π½Π΅ Π΄Π΅ΠΉΡΡΠ²ΡΠ΅Ρ ΠΠΠ‘, Ρ. Π΅. ΠΎΡΡΡΡΡΡΠ²ΡΡΡ ΡΡΠΎΡΠΎΠ½Π½ΠΈΠ΅ ΡΠΈΠ»Ρ.
ΠΡΡΠΎΡΠ½ΠΈΠΊ: https://bstudy.net/748089/spravochnik/storonnie_sily_elektrodvizhuschaya_sila_napryazhenie
Π Π°Π±ΠΎΡΠ° ΠΈ ΠΌΠΎΡΠ½ΠΎΡΡΡ ΡΠ»Π΅ΠΊΡΡΠΈΡΠ΅ΡΠΊΠΎΠ³ΠΎ ΡΠΎΠΊΠ° Π² ΡΠ΅ΠΏΠΈ
ΠΠΏΡΠ΅Π΄Π΅Π»Π΅Π½ΠΈΠ΅ 1ΠΠΎ Π²ΡΠ΅ΠΌΡ ΠΏΡΠΎΡΠ΅ΠΊΠ°Π½ΠΈΡ ΡΠΎΠΊΠ° ΠΏΠΎ ΠΎΠ΄Π½ΠΎΡΠΎΠ΄Π½ΠΎΠΌΡ ΡΡΠ°ΡΡΠΊΡ ΡΠ΅ΠΏΠΈ ΡΠ»Π΅ΠΊΡΡΠΈΡΠ΅ΡΠΊΠΎΠ΅ ΠΏΠΎΠ»Π΅ ΡΠΎΠ²Π΅ΡΡΠ°Π΅Ρ ΡΠ°Π±ΠΎΡΡ. ΠΠ° ΠΏΡΠΎΠΉΠ΄Π΅Π½Π½ΠΎΠ΅ Π²ΡΠ΅ΠΌΡ Ξt ΠΏΠΎ ΡΠ΅ΠΏΠΈ ΠΈΠΌΠ΅Π΅ΡΡΡ Π·Π°ΡΡΠ΄ Ξq=IΞt.
ΠΠ»Π΅ΠΊΡΡΠΈΡΠ΅ΡΠΊΠΎΠ΅ ΠΏΠΎΠ»Π΅ Π²ΡΠ΄Π΅Π»Π΅Π½Π½ΠΎΠ³ΠΎ ΡΡΠ°ΡΡΠΊΠ° Π²ΡΠΏΠΎΠ»Π½ΡΠ΅Ρ ΡΠ°Π±ΠΎΡΡ, ΡΠΎΡΠΌΡΠ»Ρ ΠΊΠΎΡΠΎΡΠΎΠΉ ΠΌΡ Π·Π°ΠΏΠΈΡΠ΅ΠΌ ΡΠ°ΠΊ: ΞA=(Ο1βΟ2)Β Ξq=ΞΟ12IΞt=UIΞt,Β Π³Π΄Π΅Β U=ΞΟ12Β β Π½Π°ΠΏΡΡΠΆΠ΅Π½ΠΈΠ΅. Π’Π°ΠΊΠ°Ρ Π²Π΅Π»ΠΈΡΠΈΠ½Π° Π½Π°Π·ΡΠ²Π°Π΅ΡΡΡ ΡΠ°Π±ΠΎΡΠΎΠΉ ΡΠ»Π΅ΠΊΡΡΠΈΡΠ΅ΡΠΊΠΎΠ³ΠΎ ΡΠΎΠΊΠ°.
ΠΠ±Π΅ ΡΠ°ΡΡΠΈ ΡΠΎΡΠΌΡΠ»Ρ RI=U Π²ΡΡΠ°ΠΆΠ°ΡΡ Π·Π°ΠΊΠΎΠ½ ΠΠΌΠ° Π΄Π»Ρ ΠΎΠ΄Π½ΠΎΡΠΎΠ΄Π½ΠΎΠ³ΠΎ ΡΡΠ°ΡΡΠΊΠ° ΡΠ΅ΠΏΠΈ Ρ ΡΠΎΠΏΡΠΎΡΠΈΠ²Π»Π΅Π½ΠΈΠ΅ΠΌ R, ΡΠΌΠ½ΠΎΠΆΠ΅Π½Π½ΡΠΌ Π½Π° IΞt. Π ΠΈΡΠΎΠ³Π΅ ΠΏΠΎΠ»ΡΡΠΈΠΌ ΡΠΎΠΎΡΠ½ΠΎΡΠ΅Π½ΠΈΠ΅ RI2Ξt=UIΞt=ΞA, Π²ΡΡΠ°ΠΆΠ°ΡΡΠ΅Π΅ Π·Π°ΠΊΠΎΠ½ ΡΠΎΡ ΡΠ°Π½Π΅Π½ΠΈΡ ΡΠ½Π΅ΡΠ³ΠΈΠΈ Π΄Π»Ρ ΠΎΠ΄Π½ΠΎΡΠΎΠ΄Π½ΠΎΠ³ΠΎ ΡΡΠ°ΡΡΠΊΠ° ΡΠ΅ΠΏΠΈ.Β Π Π°Π±ΠΎΡΠ° ΞAΒ ΡΠ»Π΅ΠΊΡΡΠΈΡΠ΅ΡΠΊΠΎΠ³ΠΎ ΡΠΎΠΊΠ°Β I, ΠΏΡΠΎΡΠ΅ΠΊΠ°ΡΡΠ΅Π³ΠΎ ΠΏΠΎ Π½Π΅ΠΏΠΎΠ΄Π²ΠΈΠΆΠ½ΠΎΠΌΡ ΠΏΡΠΎΠ²ΠΎΠ΄Π½ΠΈΠΊΡ Ρ ΡΠΎΠΏΡΠΎΡΠΈΠ²Π»Π΅Π½ΠΈΠ΅ΠΌΒ R, ΠΏΡΠ΅ΠΎΠ±ΡΠ°Π·ΡΠ΅ΡΡΡ Π² ΡΠ΅ΠΏΠ»ΠΎ ΞQ, Π²ΡΠ΄Π΅Π»ΡΡΡΠ΅Π΅ΡΡ Π½Π° ΠΏΡΠΎΠ²ΠΎΠ΄Π½ΠΈΠΊΠ΅.Β ΞQ=ΞA=RI2Ξt.
ΠΠ°ΠΊΠΎΠ½ ΠΠΆΠΎΡΠ»Ρ-ΠΠ΅Π½ΡΠ°
ΠΠΆ. ΠΠΆΠΎΡΠ»Ρ ΠΈ Π. ΠΠ΅Π½Ρ ΡΡΡΠ°Π½ΠΎΠ²ΠΈΠ»ΠΈ Π·Π°ΠΊΠΎΠ½ ΠΏΡΠ΅ΠΎΠ±ΡΠ°Π·ΠΎΠ²Π°Π½ΠΈΡ ΡΠ°Π±ΠΎΡΡ ΡΠΎΠΊΠ° Π² ΡΠ΅ΠΏΠ»ΠΎ.
ΠΠΏΡΠ΅Π΄Π΅Π»Π΅Π½ΠΈΠ΅ 2Π€ΠΎΡΠΌΡΠ»Π° ΠΌΠΎΡΠ½ΠΎΡΡΠΈ ΡΠ»Π΅ΠΊΡΡΠΈΡΠ΅ΡΠΊΠΎΠ³ΠΎ ΡΠΎΠΊΠ° (ΠΈΠ·ΠΌΠ΅ΡΡΠ΅ΡΡΡ Π² Π°ΠΌΠΏΠ΅ΡΠ°Ρ ) Π·Π°ΠΏΠΈΡΡΠ²Π°Π΅ΡΡΡΒ Π² Π²ΠΈΠ΄Π΅ ΠΎΡΠ½ΠΎΡΠ΅Π½ΠΈΡ ΠΈΠ·ΠΌΠ΅Π½Π΅Π½ΠΈΡ ΡΠ°Π±ΠΎΡΡ ΡΠΎΠΊΠ° ΞA Π·Π° ΠΎΠΏΡΠ΅Π΄Π΅Π»Π΅Π½Π½ΡΠΉ ΠΏΡΠΎΠΌΠ΅ΠΆΡΡΠΎΠΊ Π²ΡΠ΅ΠΌΠ΅Π½ΠΈ Ξt:
P=βAβt=UI=I2R=U2R.
Π Π°Π±ΠΎΡΠ° ΠΈ ΠΌΠΎΡΠ½ΠΎΡΡΡ ΡΠ»Π΅ΠΊΡΡΠΈΡΠ΅ΡΠΊΠΎΠ³ΠΎ ΡΠΎΠΊΠ° ΠΎΠ±ΡΠ°ΡΠ½ΠΎ ΠΏΡΠΎΠΏΠΎΡΡΠΈΠΎΠ½Π°Π»ΡΠ½Ρ.
ΠΡΠΆΠ½Π° ΠΏΠΎΠΌΠΎΡΡ ΠΏΡΠ΅ΠΏΠΎΠ΄Π°Π²Π°ΡΠ΅Π»Ρ?
ΠΠΏΠΈΡΠΈ Π·Π°Π΄Π°Π½ΠΈΠ΅Β β ΠΈΒ Π½Π°ΡΠΈ ΡΠΊΡΠΏΠ΅ΡΡΡ ΡΠ΅Π±Π΅ ΠΏΠΎΠΌΠΎΠ³ΡΡ!
ΠΠΏΠΈΡΠ°ΡΡ Π·Π°Π΄Π°Π½ΠΈΠ΅ΠΠΎ ΡΠ°Π±Π»ΠΈΡΠ΅ Π‘Π ΠΏΠΎΠ½ΡΡΠ½ΠΎ, Π² ΡΠ΅ΠΌ ΠΈΠ·ΠΌΠ΅ΡΡΠ΅ΡΡΡ ΠΌΠΎΡΠ½ΠΎΡΡΡ: Π² Π²Π°ΡΡΠ°Ρ (ΠΠ’), Π° ΡΠ°Π±ΠΎΡΠ° Π² ΠΠΆΠΎΡΠ»ΡΡ (ΠΠΆ).
ΠΠ΅ΡΠ΅ΠΉΠ΄Π΅ΠΌ ΠΊ ΡΠ°ΡΡΠΌΠΎΡΡΠ΅Π½ΠΈΡ ΠΏΠΎΠ»Π½ΠΎΠΉ ΡΠ΅ΠΏΠΈ ΠΏΠΎΡΡΠΎΡΠ½Π½ΠΎΠ³ΠΎ ΡΠΎΠΊΠ°, ΠΊΠΎΡΠΎΡΠ°Ρ ΡΠΎΡΡΠΎΠΈΡ ΠΈΠ· ΠΈΡΡΠΎΡΠ½ΠΈΠΊΠ° Ρ ΡΠ»Π΅ΠΊΡΡΠΎΠ΄Π²ΠΈΠΆΡΡΠ΅ΠΉ ΡΠΈΠ»ΠΎΠΉ Ξ΅ ΠΈ Π²Π½ΡΡΡΠ΅Π½Π½ΠΈΠΌ ΡΠΎΠΏΡΠΎΡΠΈΠ²Π»Π΅Π½ΠΈΠ΅ΠΌ r Π½Π° ΡΡΠ°ΡΡΠΊΠ΅ R.Β ΠΠ°ΠΏΠΈΡΡ ΠΎΡΠ½ΠΎΠ²Π½ΠΎΠ³ΠΎ Π·Π°ΠΊΠΎΠ½Π° ΠΠΌΠ° Π΄Π»Ρ ΠΏΠΎΠ»Π½ΠΎΠΉ ΡΠ΅ΠΏΠΈ ΠΈΠΌΠ΅Π΅Ρ Π²ΠΈΠ΄ (RΒ +Β r)I=Ξ΅. ΠΡΠΈ ΡΠΌΠ½ΠΎΠΆΠ΅Π½ΠΈΠΈ ΠΎΠ±Π΅ΠΈΡ ΡΠ°ΡΡΠ΅ΠΉ Π½Π° Ξq=IΞt ΠΏΠΎΠ»ΡΡΠ°Π΅ΠΌ, ΡΡΠΎ ΡΠΎΠΎΡΠ½ΠΎΡΠ΅Π½ΠΈΠ΅ Π΄Π»Ρ Π²ΡΡΠ°ΠΆΠ΅Π½ΠΈΡ ΡΠΎΡ ΡΠ°Π½Π΅Π½ΠΈΡ ΡΠ½Π΅ΡΠ³ΠΈΠΈ ΠΏΠΎΠ»Π½ΠΎΠΉ ΡΠ΅ΠΏΠΈ ΠΏΠΎΡΡΠΎΡΠ½Π½ΠΎΠ³ΠΎ ΡΠΎΠΊΠ° Π·Π°ΠΏΠΈΡΠ΅ΡΡΡ: RΒ I2Ξt+rΒ I2Ξt=Ρ IΞt=ΞAΡΡ. ΠΠ· Π»Π΅Π²ΠΎΠΉ ΡΠ°ΡΡΠΈ Π²ΠΈΠ΄Π½ΠΎ, ΡΡΠΎ ΞQ=RΒ I2Ξt ΠΎΠ±ΠΎΠ·Π½Π°ΡΠ°Π΅Ρ Π²ΡΠ΄Π΅Π»ΡΡΡΠ΅Π΅ΡΡ ΡΠ΅ΠΏΠ»ΠΎ Π½Π° Π²Π½Π΅ΡΠ½Π΅ΠΌ ΡΡΠ°ΡΡΠΊΠ΅ Π·Π° ΠΏΡΠΎΠΌΠ΅ΠΆΡΡΠΎΠΊ Π²ΡΠ΅ΠΌΠ΅Π½ΠΈ Ξt, Π° ΞQΠΈΡΡ=rI2Ξt β Π²Π½ΡΡΡΠΈ ΠΈΡΡΠΎΡΠ½ΠΈΠΊΠ° Π·Π° ΡΠΎΡ ΠΆΠ΅ Π²ΡΠ΅ΠΌΡ.
Ξ΅IΞtΒ β ΡΡΠΎ ΠΎΠ±ΠΎΠ·Π½Π°ΡΠ΅Π½ΠΈΠ΅ ΡΠ°Π±ΠΎΡΡ ΡΡΠΎΡΠΎΠ½Π½ΠΈΡ ΡΠΈΠ»Β ΞAΡΡ,Π΄Π΅ΠΉΡΡΠ²ΡΡΡΠΈΡ Π²Π½ΡΡΡΠΈ. ΠΡΠ»ΠΈ ΠΈΠΌΠ΅Π΅ΡΡΡ Π·Π°ΠΌΠΊΠ½ΡΡΠ°Ρ ΡΠ΅ΠΏΡ, ΡΠΎΠ³Π΄Π° ΞAΡΡΠΏΠ΅ΡΠ΅Ρ ΠΎΠ΄ΠΈΡ Π² ΡΠ΅ΠΏΠ»ΠΎ, ΠΊΠΎΡΠΎΡΠΎΠ΅ Π²ΡΠ΄Π΅Π»ΡΠ΅ΡΡΡ Π²ΠΎ Π²Π½Π΅ΡΠ½Π΅ΠΉ ΡΠ΅ΠΏΠΈ (ΞQ)ΠΈ Π²Π½ΡΡΡΠΈ ΠΈΡΡΠΎΡΠ½ΠΈΠΊΠ° (ΞQΠΈΡΡ).
ΞQ+ΞQΠΈΡΡ=ΞAΡΡ=Ξ΅IΞt.
Π Π°Π±ΠΎΡΠ° ΡΡΠΎΡΠΎΠ½Π½ΠΈΡ ΡΠΈΠ»
Π Π°Π±ΠΎΡΠ° ΡΠ»Π΅ΠΊΡΡΠΈΡΠ΅ΡΠΊΠΎΠ³ΠΎ ΠΏΠΎΠ»Ρ Π½Π΅ Π²Ρ ΠΎΠ΄ΠΈΡ Π² Π΄Π°Π½Π½ΠΎΠ΅ ΡΠΎΠΎΡΠ½ΠΎΡΠ΅Π½ΠΈΠ΅, ΡΠ°ΠΊ ΠΊΠ°ΠΊ Π² Π·Π°ΠΌΠΊΠ½ΡΡΠΎΠΉ ΡΠ΅ΠΏΠΈ ΡΠ°Π±ΠΎΡΠ° Π½Π΅ ΡΠΎΠ²Π΅ΡΡΠ°Π΅ΡΡΡ, ΡΠ»Π΅Π΄ΠΎΠ²Π°ΡΠ΅Π»ΡΠ½ΠΎ, ΡΠ΅ΠΏΠ»ΠΎ ΠΈΠ΄Π΅Ρ ΡΠΎΠ»ΡΠΊΠΎ ΠΎΡ Π²Π½ΡΡΡΠ΅Π½Π½ΠΈΡ ΡΡΠΎΡΠΎΠ½Π½ΠΈΡ ΡΠΈΠ». Π Π΄Π°Π½Π½ΠΎΠΌ ΡΠ»ΡΡΠ°Π΅ ΡΠ»Π΅ΠΊΡΡΠΈΡΠ΅ΡΠΊΠΎΠ΅ ΠΏΠΎΠ»Π΅ ΠΏΠ΅ΡΠ΅ΡΠ°ΡΠΏΡΠ΅Π΄Π΅Π»ΡΠ΅Ρ ΡΠ΅ΠΏΠ»ΠΎ ΠΏΠΎ Π²ΡΠ΅ΠΌ ΡΡΠ°ΡΡΠΊΠ°ΠΌ ΡΠ΅ΠΏΠΈ.
ΠΠ½Π΅ΡΠ½ΡΡ ΡΠ΅ΠΏΡ ΠΌΠΎΠΆΠ΅Ρ ΠΈΠΌΠ΅ΡΡ Π½Π΅ ΡΠΎΠ»ΡΠΊΠΎ ΠΏΡΠΎΠ²ΠΎΠ΄Π½ΠΈΠΊ Ρ R ΡΠΎΠΏΡΠΎΡΠΈΠ²Π»Π΅Π½ΠΈΠ΅ΠΌ, Π½ΠΎ ΠΈ ΠΌΠ΅Ρ Π°Π½ΠΈΠ·ΠΌ, ΠΏΠΎΡΡΠ΅Π±Π»ΡΡΡΠΈΠΉ ΠΌΠΎΡΠ½ΠΎΡΡΡ. Π’Π°ΠΊΠΎΠΉ ΡΠ»ΡΡΠ°ΠΉ Π³ΠΎΠ²ΠΎΡΠΈΡ ΠΎ ΡΠΎΠΌ, ΡΡΠΎ R ΡΠΊΠ²ΠΈΠ²Π°Π»Π΅Π½ΡΠ½ΠΎ ΡΠΎΠΏΡΠΎΡΠΈΠ²Π»Π΅Π½ΠΈΡ Π½Π°Π³ΡΡΠ·ΠΊΠΈ. ΠΠ½Π΅ΡΠ³ΠΈΡ, ΠΊΠΎΡΠΎΡΠ°Ρ Π²ΡΠ΄Π΅Π»ΡΠ΅ΡΡΡΒ ΠΏΠΎ Π²Π½Π΅ΡΠ½Π΅ΠΉ ΡΠ΅ΠΏΠΈ, ΠΏΡΠ΅ΠΎΠ±ΡΠ°Π·ΡΠ΅ΡΡΡ Π² ΡΠ΅ΠΏΠ»ΠΎ ΠΈ Π΄ΡΡΠ³ΠΈΠ΅ Π²ΠΈΠ΄Ρ ΡΠ½Π΅ΡΠ³ΠΈΠΈ.
ΠΠΏΡΠ΅Π΄Π΅Π»Π΅Π½ΠΈΠ΅ 3Π Π°Π±ΠΎΡΠ°, ΡΠΎΠ²Π΅ΡΡΠ°Π΅ΠΌΠ°Ρ ΡΡΠΎΡΠΎΠ½Π½ΠΈΠΌΠΈ ΡΠΈΠ»Π°ΠΌΠΈ Π·Π° Π΅Π΄ΠΈΠ½ΠΈΡΡ Π²ΡΠ΅ΠΌΠ΅Π½ΠΈ, ΡΠ°Π²Π½ΡΠ΅ΡΡΡ PΠΈΡΡ=Ξ΅I=Ξ΅2R+r. ΠΠ½Π΅ΡΠ½ΡΡ ΡΠ΅ΠΏΡ Ρ Π°ΡΠ°ΠΊΡΠ΅ΡΠΈΠ·ΡΠ΅ΡΡΡ ΠΌΠΎΡΠ½ΠΎΡΡΡΡ P=RI2=Ξ΅I-rI2=Ξ΅2R(R+r)2.
ΠΠΎΡΡΡΠΈΡΠΈΠ΅Π½ΡΠΎΠΌ ΠΏΠΎΠ»Π΅Π·Π½ΠΎΠ³ΠΎ ΠΈΡΡΠΎΡΠ½ΠΈΠΊΠ° Π½Π°Π·ΡΠ²Π°ΡΡ ΠΎΡΠ½ΠΎΡΠ΅Π½ΠΈΠ΅ Ξ·=PPΠΈΡΡ, Π·Π°ΠΏΠΈΡΡΠ²Π°Π΅ΠΌΠΎΠ΅ ΠΊΠ°ΠΊ Ξ·=PPΠΈΡΡ=1-rΞ΅I=RR+r.
Π ΠΈΡΡΠ½ΠΎΠΊ 1.11.1 ΠΏΠΎΠΊΠ°Π·ΡΠ²Π°Π΅Ρ Π·Π°Π²ΠΈΡΠΈΠΌΠΎΡΡΡ PΠΈΡΡ, ΠΏΠΎΠ»Π΅Π·Π½ΠΎΠΉ Π , Π²ΡΠ΄Π΅Π»ΡΠ΅ΠΌΠΎΠΉ Π²ΠΎ Π²Π½Π΅ΡΠ½Π΅ΠΉ ΡΠ΅ΠΏΠΈ, ΠΊΠΏΠ΄ Ξ· ΠΎΡ ΡΠΎΠΊΠ° I Π΄Π»Ρ ΠΈΡΡΠΎΡΠ½ΠΈΠΊΠ° Ρ ΠΠΠ‘, ΡΠ°Π²Π½ΠΎΠΉ Ξ΅, ΠΈ Π²Π½ΡΡΡΠ΅Π½Π½ΠΈΠΌ ΡΠΎΠΏΡΠΎΡΠΈΠ²Π»Π΅Π½ΠΈΠ΅ΠΌ r. ΠΠ·ΠΌΠ΅Π½Π΅Π½ΠΈΠ΅ ΡΠΎΠΊΠ° Π² ΡΠ΅ΠΏΠΈ ΠΏΡΠΎΠΈΡΡ ΠΎΠ΄ΠΈΡ Π² ΠΏΡΠ΅Π΄Π΅Π»Π°Ρ ΠΎΡΒ I=0( ΠΏΡΠΈ R=β) Π΄ΠΎΒ I=IΠΊΠ·=Ξ΅r( ΠΏΡΠΈΒ R=0).
Π ΠΈΡΡΠ½ΠΎΠΊ 1.11.1. ΠΠ°Π²ΠΈΡΠΈΠΌΠΎΡΡΡ ΠΌΠΎΡΠ½ΠΎΡΡΠΈ ΠΈΡΡΠΎΡΠ½ΠΈΠΊΠ°Β PΠΈΡΡ, ΠΌΠΎΡΠ½ΠΎΡΡΠΈ Π²ΠΎ Π²Π½Π΅ΡΠ½Π΅ΠΉ ΡΠ΅ΠΏΠΈΒ Π Β ΠΈ ΠΠΠ ΠΈΡΡΠΎΡΠ½ΠΈΠΊΠ° Ξ· ΠΎΡ ΡΠΈΠ»Ρ ΡΠΎΠΊΠ°.
ΠΡΠΈΠ²Π΅Π΄Π΅Π½Π½ΡΠ΅ Π³ΡΠ°ΡΠΈΠΊΠΈ ΠΏΠΎΠΊΠ°Π·ΡΠ²Π°ΡΡ, ΡΡΠΎ ΠΌΠ°ΠΊΡΠΈΠΌΠ°Π»ΡΠ½Π°Ρ ΠΌΠΎΡΠ½ΠΎΡΡΡ Π²ΠΎ Π²Π½Π΅ΡΠ½Π΅ΠΉ ΡΠ΅ΠΏΠΈ ΠΌΠΎΠΆΠ΅Ρ Π±ΡΡΡ Π΄ΠΎΡΡΠΈΠ³Π½ΡΡΠ° ΠΏΡΠΈ R=r ΠΈ Π·Π°ΠΏΠΈΡΠ΅ΡΡΡ Pmax=Ξ΅24r. Π€ΠΎΡΠΌΡΠ»Π° ΡΠΎΠΊΠ° Π² ΡΠ΅ΠΏΠΈ Π±ΡΠ΄Π΅Ρ ΠΈΠΌΠ΅ΡΡ Π²ΠΈΠ΄ Imax=12IΠΊΠ·=Ξ΅2r, Π³Π΄Π΅ ΠΠΠ ΠΈΡΡΠΎΡΠ½ΠΈΠΊΠ° Π½Π΅ ΠΏΡΠ΅Π²ΡΡΠ°Π΅Ρ 50%. ΠΡΠΈ Iβ0ΠΌΠΎΠΆΠ΅Ρ Π΄ΠΎΡΡΠΈΠ³Π°ΡΡΡΡ ΠΌΠ°ΠΊΡΠΈΠΌΠ°Π»ΡΠ½ΠΎΠ΅ Π·Π½Π°ΡΠ΅Π½ΠΈΠ΅ ΠΠΠ, ΡΠΎΠ³Π΄Π° ΡΠΎΠΏΡΠΎΡΠΈΠ²Π»Π΅Π½ΠΈΠ΅ Rββ. ΠΡΠΈ ΠΊΠΎΡΠΎΡΠΊΠΎΠΌ Π·Π°ΠΌΡΠΊΠ°Π½ΠΈΠΈ Π·Π½Π°ΡΠ΅Π½ΠΈΠ΅ ΠΌΠΎΡΠ½ΠΎΡΡΠΈ Π =0.Β Π’ΠΎΠ³Π΄Π° ΠΎΠ½Π° ΡΠΎΠ»ΡΠΊΠΎ Π²ΡΠ΄Π΅Π»ΡΠ΅ΡΡΡ Π²Π½ΡΡΡΠΈ ΠΈΡΡΠΎΡΠ½ΠΈΠΊΠ°, ΡΡΠΎ Π³ΡΠΎΠ·ΠΈΡ ΠΏΠ΅ΡΠ΅Π³ΡΠ΅Π²ΠΎΠΌ, ΠΏΡΠΈΡΠ΅ΠΌ ΠΠΠ ΠΎΠ±ΡΠ°ΡΠ°Π΅ΡΡΡ Π² Π½ΠΎΠ»Ρ.
ΡΡΡΡ ΠΈ ΠΏΡΠΈΠ½ΡΠΈΠΏ Π΄Π»Ρ Π½Π°ΡΠΈΠ½Π°ΡΡΠΈΡ ΡΠ°ΠΉΠ½ΠΈΠΊΠΎΠ²
Π§ΡΠΎ ΡΠ°ΠΊΠΎΠ΅ ΠΠΠ‘Β (ΡΠ»Π΅ΠΊΡΡΠΎΠ΄Π²ΠΈΠΆΡΡΠ°Ρ ΡΠΈΠ»Π°) Π² ΡΠΈΠ·ΠΈΠΊΠ΅? ΠΠ»Π΅ΠΊΡΡΠΈΡΠ΅ΡΠΊΠΈΠΉ ΡΠΎΠΊ ΠΏΠΎΠ½ΡΡΠ΅Π½ Π΄Π°Π»Π΅ΠΊΠΎ Π½Π΅ ΠΊΠ°ΠΆΠ΄ΠΎΠΌΡ. ΠΠ°ΠΊ ΠΊΠΎΡΠΌΠΈΡΠ΅ΡΠΊΠ°Ρ Π΄Π°Π»Ρ, ΡΠΎΠ»ΡΠΊΠΎ ΠΏΠΎΠ΄ ΡΠ°ΠΌΡΠΌ Π½ΠΎΡΠΎΠΌ. ΠΠΎΠΎΠ±ΡΠ΅, ΠΎΠ½ ΠΈ ΡΡΠ΅Π½ΡΠΌ ΠΏΠΎΠ½ΡΡΠ΅Π½ Π½Π΅ Π΄ΠΎ ΠΊΠΎΠ½ΡΠ°. ΠΠΎΡΡΠ°ΡΠΎΡΠ½ΠΎ Π²ΡΠΏΠΎΠΌΠ½ΠΈΡΡ ΠΠΈΠΊΠΎΠ»Ρ Π’Π΅ΡΠ»Π° Ρ Π΅Π³ΠΎ Π·Π½Π°ΠΌΠ΅Π½ΠΈΡΡΠΌΠΈ ΡΠΊΡΠΏΠ΅ΡΠΈΠΌΠ΅Π½ΡΠ°ΠΌΠΈ, Π½Π° Π²Π΅ΠΊΠ° ΠΎΠΏΠ΅ΡΠ΅Π΄ΠΈΠ²ΡΠΈΠΌΠΈ ΡΠ²ΠΎΠ΅ Π²ΡΠ΅ΠΌΡ ΠΈ Π΄Π°ΠΆΠ΅ Π² Π½Π°ΡΠΈ Π΄Π½ΠΈ ΠΎΡΡΠ°ΡΡΠΈΠΌΠΈΡΡ Π² ΠΎΡΠ΅ΠΎΠ»Π΅ ΡΠ°ΠΉΠ½Ρ. Π‘Π΅Π³ΠΎΠ΄Π½Ρ ΠΌΡ Π½Π΅ ΡΠ°Π·Π³Π°Π΄ΡΠ²Π°Π΅ΠΌ Π±ΠΎΠ»ΡΡΠΈΡ ΡΠ°ΠΉΠ½, Π½ΠΎ ΠΏΡΡΠ°Π΅ΠΌΡΡ ΡΠ°Π·ΠΎΠ±ΡΠ°ΡΡΡΡ Π² ΡΠΎΠΌ, ΡΡΠΎ ΡΠ°ΠΊΠΎΠ΅ ΠΠΠ‘ Π² ΡΠΈΠ·ΠΈΠΊΠ΅.
ΠΠΏΡΠ΅Π΄Π΅Π»Π΅Π½ΠΈΠ΅ ΠΠΠ‘ Π² ΡΠΈΠ·ΠΈΠΊΠ΅
ΠΠΠ‘ β ΡΠ»Π΅ΠΊΡΡΠΎΠ΄Π²ΠΈΠΆΡΡΠ°Ρ ΡΠΈΠ»Π°. Β ΠΠ±ΠΎΠ·Π½Π°ΡΠ°Π΅ΡΡΡ Π±ΡΠΊΠ²ΠΎΠΉ E ΠΈΠ»ΠΈ ΠΌΠ°Π»Π΅Π½ΡΠΊΠΎΠΉ Π³ΡΠ΅ΡΠ΅ΡΠΊΠΎΠΉ Π±ΡΠΊΠ²ΠΎΠΉ ΡΠΏΡΠΈΠ»ΠΎΠ½.
ΠΠ»Π΅ΠΊΡΡΠΎΠ΄Π²ΠΈΠΆΡΡΠ°Ρ ΡΠΈΠ»Π° – ΡΠΊΠ°Π»ΡΡΠ½Π°Ρ ΡΠΈΠ·ΠΈΡΠ΅ΡΠΊΠ°Ρ Π²Π΅Π»ΠΈΡΠΈΠ½Π°, Ρ Π°ΡΠ°ΠΊΡΠ΅ΡΠΈΠ·ΡΡΡΠ°Ρ ΡΠ°Π±ΠΎΡΡ ΡΡΠΎΡΠΎΠ½Π½ΠΈΡ ΡΠΈΠ» (ΡΠΈΠ» Π½Π΅ΡΠ»Π΅ΠΊΡΡΠΈΡΠ΅ΡΠΊΠΎΠ³ΠΎ ΠΏΡΠΎΠΈΡΡ ΠΎΠΆΠ΄Π΅Π½ΠΈΡ), Π΄Π΅ΠΉΡΡΠ²ΡΡΡΠΈΡ Π² ΡΠ»Π΅ΠΊΡΡΠΈΡΠ΅ΡΠΊΠΈΡ ΡΠ΅ΠΏΡΡ ΠΏΠ΅ΡΠ΅ΠΌΠ΅Π½Π½ΠΎΠ³ΠΎ ΠΈ ΠΏΠΎΡΡΠΎΡΠ½Π½ΠΎΠ³ΠΎ ΡΠΎΠΊΠ°.
ΠΠΠ‘, ΠΊΠ°ΠΊ ΠΈ Π½Π°ΠΏΡΡΠΆΠ΅Π½ΠΈΠ΅, ΠΈΠ·ΠΌΠ΅ΡΡΠ΅ΡΡΡ Π² Π²ΠΎΠ»ΡΡΠ°Ρ . ΠΠ΄Π½Π°ΠΊΠΎ ΠΠΠ‘ ΠΈ Π½Π°ΠΏΡΡΠΆΠ΅Π½ΠΈΠ΅ β ΡΠ²Π»Π΅Π½ΠΈΡ ΡΠ°Π·Π½ΡΠ΅.
ΠΠ°ΠΏΡΡΠΆΠ΅Π½ΠΈΠ΅ (ΠΌΠ΅ΠΆΠ΄Ρ ΡΠΎΡΠΊΠ°ΠΌΠΈ Π ΠΈ Π) β ΡΠΈΠ·ΠΈΡΠ΅ΡΠΊΠ°Ρ Π²Π΅Π»ΠΈΡΠΈΠ½Π°, ΡΠ°Π²Π½Π°Ρ ΡΠ°Π±ΠΎΡΠ΅ ΡΡΡΠ΅ΠΊΡΠΈΠ²Π½ΠΎΠ³ΠΎ ΡΠ»Π΅ΠΊΡΡΠΈΡΠ΅ΡΠΊΠΎΠ³ΠΎ ΠΏΠΎΠ»Ρ, ΡΠΎΠ²Π΅ΡΡΠ°Π΅ΠΌΠΎΠΉ ΠΏΡΠΈ ΠΏΠ΅ΡΠ΅Π½ΠΎΡΠ΅ Π΅Π΄ΠΈΠ½ΠΈΡΠ½ΠΎΠ³ΠΎ ΠΏΡΠΎΠ±Π½ΠΎΠ³ΠΎ Π·Π°ΡΡΠ΄Π° ΠΈΠ· ΠΎΠ΄Π½ΠΎΠΉ ΡΠΎΡΠΊΠΈ Π² Π΄ΡΡΠ³ΡΡ.
ΠΠ±ΡΡΡΠ½ΡΠ΅ΠΌ ΡΡΡΡ ΠΠΠ‘Β “Π½Π° ΠΏΠ°Π»ΡΡΠ°Ρ ”
Π§ΡΠΎΠ±Ρ ΡΠ°Π·ΠΎΠ±ΡΠ°ΡΡΡΡ Π² ΡΠΎΠΌ, ΡΡΠΎ Π΅ΡΡΡ ΡΡΠΎ, ΠΌΠΎΠΆΠ½ΠΎ ΠΏΡΠΈΠ²Π΅ΡΡΠΈ ΠΏΡΠΈΠΌΠ΅Ρ-Π°Π½Π°Π»ΠΎΠ³ΠΈΡ. ΠΡΠ΅Π΄ΡΡΠ°Π²ΠΈΠΌ, ΡΡΠΎ Ρ Π½Π°Ρ Π΅ΡΡΡ Π²ΠΎΠ΄ΠΎΠ½Π°ΠΏΠΎΡΠ½Π°Ρ Π±Π°ΡΠ½Ρ, ΠΏΠΎΠ»Π½ΠΎΡΡΡΡ Π·Π°ΠΏΠΎΠ»Π½Π΅Π½Π½Π°Ρ Π²ΠΎΠ΄ΠΎΠΉ. Π‘ΡΠ°Π²Π½ΠΈΠΌ ΡΡΡ Π±Π°ΡΠ½Ρ Ρ Π±Π°ΡΠ°ΡΠ΅ΠΉΠΊΠΎΠΉ.
Π‘Ρ Π΅ΠΌΠ° Π²ΠΎΠ΄ΠΎΠ½Π°ΠΏΠΎΡΠ½ΠΎΠΉ Π±Π°ΡΠ½ΠΈ
ΠΠΎΠ΄Π° ΠΎΠΊΠ°Π·ΡΠ²Π°Π΅Ρ ΠΌΠ°ΠΊΡΠΈΠΌΠ°Π»ΡΠ½ΠΎΠ΅ Π΄Π°Π²Π»Π΅Π½ΠΈΠ΅ Π½Π° Π΄Π½ΠΎ Π±Π°ΡΠ½ΠΈ, ΠΊΠΎΠ³Π΄Π° Π±Π°ΡΠ½Ρ Π·Π°ΠΏΠΎΠ»Π½Π΅Π½Π° ΠΏΠΎΠ»Π½ΠΎΡΡΡΡ. Π‘ΠΎΠΎΡΠ²Π΅ΡΡΡΠ²Π΅Π½Π½ΠΎ, Β ΡΠ΅ΠΌ ΠΌΠ΅Π½ΡΡΠ΅ Π²ΠΎΠ΄Ρ Π² Π±Π°ΡΠ½Π΅, ΡΠ΅ΠΌ ΡΠ»Π°Π±Π΅Π΅ Π΄Π°Π²Π»Π΅Π½ΠΈΠ΅ ΠΈ Π½Π°ΠΏΠΎΡ Π²ΡΡΠ΅ΠΊΠ°ΡΡΠ΅ΠΉ ΠΈΠ· ΠΊΡΠ°Π½Π° Π²ΠΎΠ΄Ρ. ΠΡΠ»ΠΈ ΠΎΡΠΊΡΡΡΡ ΠΊΡΠ°Π½, Π²ΠΎΠ΄Π° Π±ΡΠ΄Π΅Ρ ΠΏΠΎΡΡΠ΅ΠΏΠ΅Π½Π½ΠΎ Π²ΡΡΠ΅ΠΊΠ°ΡΡ ΡΠ½Π°ΡΠ°Π»Π° ΠΏΠΎΠ΄ ΡΠΈΠ»ΡΠ½ΡΠΌ Π½Π°ΠΏΠΎΡΠΎΠΌ, Π° ΠΏΠΎΡΠΎΠΌ Π²ΡΠ΅ ΠΌΠ΅Π΄Π»Π΅Π½Π½Π΅Π΅, ΠΏΠΎΠΊΠ° Π½Π°ΠΏΠΎΡ Π½Π΅ ΠΎΡΠ»Π°Π±Π½Π΅Ρ ΡΠΎΠ²ΡΠ΅ΠΌ. ΠΠ΄Π΅ΡΡ Π½Π°ΠΏΡΡΠΆΠ΅Π½ΠΈΠ΅ β ΡΡΠΎ ΡΠΎ Π΄Π°Π²Π»Π΅Π½ΠΈΠ΅, ΠΊΠΎΡΠΎΡΠΎΠ΅ Π²ΠΎΠ΄Π° ΠΎΠΊΠ°Π·ΡΠ²Π°Π΅Ρ Π½Π° Π΄Π½ΠΎ. ΠΠ° ΡΡΠΎΠ²Π΅Π½Ρ Π½ΡΠ»Π΅Π²ΠΎΠ³ΠΎ Π½Π°ΠΏΡΡΠΆΠ΅Π½ΠΈΡ ΠΏΡΠΈΠΌΠ΅ΠΌ ΡΠ°ΠΌΠΎ Π΄Π½ΠΎ Π±Π°ΡΠ½ΠΈ.
ΠΠΎΠ΄ΠΎΠΊΠ°ΡΠΊΠ°
Π’ΠΎ ΠΆΠ΅ ΡΠ°ΠΌΠΎΠ΅ ΠΈ Ρ Π±Π°ΡΠ°ΡΠ΅ΠΉΠΊΠΎΠΉ. Π‘Π½Π°ΡΠ°Π»Π° ΠΌΡ Π²ΠΊΠ»ΡΡΠ°Π΅ΠΌ Π½Π°Ρ ΠΈΡΡΠΎΡΠ½ΠΈΠΊ ΡΠΎΠΊΠ° (Π±Π°ΡΠ°ΡΠ΅ΠΉΠΊΡ) Π² ΡΠ΅ΠΏΡ, Π·Π°ΠΌΡΠΊΠ°Ρ Π΅Π΅. ΠΡΡΡΡ ΡΡΠΎ Π±ΡΠ΄ΡΡ ΡΠ°ΡΡ ΠΈΠ»ΠΈ ΡΠΎΠ½Π°ΡΠΈΠΊ. ΠΠΎΠΊΠ° ΡΡΠΎΠ²Π΅Π½Ρ Π½Π°ΠΏΡΡΠΆΠ΅Π½ΠΈΡ Π΄ΠΎΡΡΠ°ΡΠΎΡΠ½ΡΠΉ ΠΈ Π±Π°ΡΠ°ΡΠ΅ΠΉΠΊΠ° Π½Π΅ ΡΠ°Π·ΡΡΠ΄ΠΈΠ»Π°ΡΡ, ΡΠΎΠ½Π°ΡΠΈΠΊ ΡΠ²Π΅ΡΠΈΡ ΡΡΠΊΠΎ, Π·Π°ΡΠ΅ΠΌ ΠΏΠΎΡΡΠ΅ΠΏΠ΅Π½Π½ΠΎ Π³Π°ΡΠ½Π΅Ρ, ΠΏΠΎΠΊΠ° Π½Π΅ ΠΏΠΎΡΡΡ Π½Π΅Ρ ΡΠΎΠ²ΡΠ΅ΠΌ.
ΠΠΎ ΠΊΠ°ΠΊ ΡΠ΄Π΅Π»Π°ΡΡ ΡΠ°ΠΊ, ΡΡΠΎΠ±Ρ Π½Π°ΠΏΠΎΡ Π½Π΅ ΠΈΡΡΡΠΊΠ°Π»? ΠΠ½ΡΠΌΠΈ ΡΠ»ΠΎΠ²Π°ΠΌΠΈ, ΠΊΠ°ΠΊ ΠΏΠΎΠ΄Π΄Π΅ΡΠΆΠΈΠ²Π°ΡΡ Π² Π±Π°ΡΠ½Π΅ ΠΏΠΎΡΡΠΎΡΠ½Π½ΡΠΉ ΡΡΠΎΠ²Π΅Π½Ρ Π²ΠΎΠ΄Ρ, Π° Π½Π° ΠΏΠΎΠ»ΡΡΠ°Ρ ΠΈΡΡΠΎΡΠ½ΠΈΠΊΠ° ΡΠΎΠΊΠ° β ΠΏΠΎΡΡΠΎΡΠ½Π½ΡΡ ΡΠ°Π·Π½ΠΎΡΡΡ ΠΏΠΎΡΠ΅Π½ΡΠΈΠ°Π»ΠΎΠ². ΠΠΎ ΠΏΡΠΈΠΌΠ΅ΡΡ Π±Π°ΡΠ½ΠΈ ΠΠΠ‘ ΠΏΡΠ΅Π΄ΡΡΠ°Π²Π»ΡΠ΅ΡΡΡ ΠΊΠ°ΠΊ Π±Ρ Π½Π°ΡΠΎΡΠΎΠΌ, ΠΊΠΎΡΠΎΡΡΠΉ ΠΎΠ±Π΅ΡΠΏΠ΅ΡΠΈΠ²Π°Π΅Ρ ΠΏΡΠΈΡΠΎΠΊ Π² Π±Π°ΡΠ½Ρ Π½ΠΎΠ²ΠΎΠΉ Π²ΠΎΠ΄Ρ.
Π‘ΠΎΠ²Π΅ΡΡΠΊΠ°Ρ Π±Π°ΡΠ°ΡΠ΅ΠΉΠΊΠ°
ΠΡΠΈΡΠΎΠ΄Π° ΠΠΠ‘
ΠΡΠΈΡΠΈΠ½Π° Π²ΠΎΠ·Π½ΠΈΠΊΠ½ΠΎΠ²Π΅Π½ΠΈΡ ΠΠΠ‘ Π² ΡΠ°Π·Π½ΡΡ ΠΈΡΡΠΎΡΠ½ΠΈΠΊΠ°Ρ ΡΠΎΠΊΠ° ΡΠ°Π·Π½Π°Ρ. ΠΠΎ ΠΏΡΠΈΡΠΎΠ΄Π΅ Π²ΠΎΠ·Π½ΠΈΠΊΠ½ΠΎΠ²Π΅Π½ΠΈΡ ΡΠ°Π·Π»ΠΈΡΠ°ΡΡ ΡΠ»Π΅Π΄ΡΡΡΠΈΠ΅ ΡΠΈΠΏΡ:
- Β Π₯ΠΈΠΌΠΈΡΠ΅ΡΠΊΠ°Ρ ΠΠΠ‘. Β ΠΠΎΠ·Π½ΠΈΠΊΠ°Π΅Ρ Π² Π±Π°ΡΠ°ΡΠ΅ΠΉΠΊΠ°Ρ ΠΈ Π°ΠΊΠΊΡΠΌΡΠ»ΡΡΠΎΡΠ°Ρ Π²ΡΠ»Π΅Π΄ΡΡΠ²ΠΈΠ΅ Β Ρ ΠΈΠΌΠΈΡΠ΅ΡΠΊΠΈΡ ΡΠ΅Π°ΠΊΡΠΈΠΉ.
- Π’Π΅ΡΠΌΠΎ ΠΠΠ‘.Β ΠΠΎΠ·Π½ΠΈΠΊΠ°Π΅Ρ, ΠΊΠΎΠ³Π΄Π° Π½Π°Ρ ΠΎΠ΄ΡΡΠΈΠ΅ΡΡ ΠΏΡΠΈ ΡΠ°Π·Π½ΡΡ ΡΠ΅ΠΌΠΏΠ΅ΡΠ°ΡΡΡΠ°Ρ ΠΊΠΎΠ½ΡΠ°ΠΊΡΡ Β ΡΠ°Π·Π½ΠΎΡΠΎΠ΄Π½ΡΡ ΠΏΡΠΎΠ²ΠΎΠ΄Π½ΠΈΠΊΠΎΠ² ΡΠΎΠ΅Π΄ΠΈΠ½Π΅Π½Ρ.
- ΠΠΠ‘ ΠΈΠ½Π΄ΡΠΊΡΠΈΠΈ. ΠΠΎΠ·Π½ΠΈΠΊΠ°Π΅Ρ Π² Π³Π΅Π½Π΅ΡΠ°ΡΠΎΡΠ΅ ΠΏΡΠΈΒ ΠΏΠΎΠΌΠ΅ΡΠ΅Π½ΠΈΠΈ Π²ΡΠ°ΡΠ°ΡΡΠ΅Π³ΠΎΡΡ ΠΏΡΠΎΠ²ΠΎΠ΄Π½ΠΈΠΊΠ° Π² ΠΌΠ°Π³Π½ΠΈΡΠ½ΠΎΠ΅ ΠΏΠΎΠ»Π΅. ΠΠΠ‘ Π±ΡΠ΄Π΅Ρ Π½Π°Π²ΠΎΠ΄ΠΈΡΡΡΡ Π² ΠΏΡΠΎΠ²ΠΎΠ΄Π½ΠΈΠΊΠ΅, ΠΊΠΎΠ³Π΄Π° ΠΏΡΠΎΠ²ΠΎΠ΄Π½ΠΈΠΊ Β ΠΏΠ΅ΡΠ΅ΡΠ΅ΠΊΠ°Π΅Ρ ΡΠΈΠ»ΠΎΠ²ΡΠ΅ Π»ΠΈΠ½ΠΈΠΈ ΠΏΠΎΡΡΠΎΡΠ½Π½ΠΎΠ³ΠΎ ΠΌΠ°Π³Π½ΠΈΡΠ½ΠΎΠ³ΠΎ ΠΏΠΎΠ»Ρ ΠΈΠ»ΠΈ ΠΊΠΎΠ³Π΄Π° ΠΌΠ°Π³Π½ΠΈΡΠ½ΠΎΠ΅ ΠΏΠΎΠ»Π΅ ΠΈΠ·ΠΌΠ΅Π½ΡΠ΅ΡΡΡ ΠΏΠΎ Π²Π΅Π»ΠΈΡΠΈΠ½Π΅.
- Π€ΠΎΡΠΎΡΠ»Π΅ΠΊΡΡΠΈΡΠ΅ΡΠΊΠ°Ρ ΠΠΠ‘. ΠΠΎΠ·Π½ΠΈΠΊΠ½ΠΎΠ²Π΅Π½ΠΈΡ ΡΡΠΎΠΉ ΠΠΠ‘ ΡΠΏΠΎΡΠΎΠ±ΡΡΠ²ΡΠ΅Ρ ΡΠ²Π»Π΅Π½ΠΈΠ΅ Β Π²Π½Π΅ΡΠ½Π΅Π³ΠΎ ΠΈΠ»ΠΈ Π²Π½ΡΡΡΠ΅Π½Π½Π΅Π³ΠΎ ΡΠΎΡΠΎΡΡΡΠ΅ΠΊΡΠ°.
- ΠΡΠ΅Π·ΠΎΡΠ»Π΅ΠΊΡΡΠΈΡΠ΅ΡΠΊΠ°Ρ ΠΠΠ‘. ΠΠΠ‘ Π²ΠΎΠ·Π½ΠΈΠΊΠ°Π΅Ρ ΠΏΡΠΈ ΡΠ°ΡΡΡΠΆΠ΅Π½ΠΈΠΈ ΠΈΠ»ΠΈ ΡΠ΄Π°Π²Π»ΠΈΠ²Π°Π½ΠΈΠΈ Π²Π΅ΡΠ΅ΡΡΠ².
ΠΠΎΡΠΎΠ³ΠΈΠ΅ Π΄ΡΡΠ·ΡΡ, ΡΠ΅Π³ΠΎΠ΄Π½Ρ ΠΌΡ ΡΠ°ΡΡΠΌΠΎΡΡΠ΅Π»ΠΈ ΡΠ΅ΠΌΡ Β«ΠΠΠ‘ Π΄Π»Ρ ΡΠ°ΠΉΠ½ΠΈΠΊΠΎΠ²Β». ΠΠ°ΠΊ Π²ΠΈΠ΄ΠΈΠΌ, ΠΠΠ‘ Β β Β ΡΠΈΠ»Π° Π½Π΅ΡΠ»Π΅ΠΊΡΡΠΈΡΠ΅ΡΠΊΠΎΠ³ΠΎ ΠΏΡΠΎΠΈΡΡ ΠΎΠΆΠ΄Π΅Π½ΠΈΡ, ΠΊΠΎΡΠΎΡΠ°Ρ ΠΏΠΎΠ΄Π΄Π΅ΡΠΆΠΈΠ²Π°Π΅Ρ ΠΏΡΠΎΡΠ΅ΠΊΠ°Π½ΠΈΠ΅ ΡΠ»Π΅ΠΊΡΡΠΈΡΠ΅ΡΠΊΠΎΠ³ΠΎ ΡΠΎΠΊΠ° Π² ΡΠ΅ΠΏΠΈ. ΠΡΠ»ΠΈ ΠΡ Ρ ΠΎΡΠΈΡΠ΅ ΡΠ·Π½Π°ΡΡ, ΠΊΠ°ΠΊ ΡΠ΅ΡΠ°ΡΡΡΡ Π·Π°Π΄Π°ΡΠΈ Ρ ΠΠΠ‘, ΡΠΎΠ²Π΅ΡΡΠ΅ΠΌ ΠΎΠ±ΡΠ°ΡΠΈΡΡΡΡ ΠΊ Π½Π°ΡΠΈΠΌ Π°Π²ΡΠΎΡΠ°ΠΌ β ΡΠΊΡΡΠΏΡΠ»Π΅Π·Π½ΠΎ ΠΎΡΠΎΠ±ΡΠ°Π½Π½ΡΠΌ ΠΈ ΠΏΡΠΎΠ²Π΅ΡΠ΅Π½Π½ΡΠΌ ΡΠΏΠ΅ΡΠΈΠ°Π»ΠΈΡΡΠ°ΠΌ, ΠΊΠΎΡΠΎΡΡΠ΅ Π±ΡΡΡΡΠΎ ΠΈ Π΄ΠΎΡ ΠΎΠ΄ΡΠΈΠ²ΠΎ ΡΠ°Π·ΡΡΡΠ½ΡΡ Ρ ΠΎΠ΄ ΡΠ΅ΡΠ΅Π½ΠΈΡ Π»ΡΠ±ΠΎΠΉ ΡΠ΅ΠΌΠ°ΡΠΈΡΠ΅ΡΠΊΠΎΠΉ Π·Π°Π΄Π°ΡΠΈ.Β Π ΠΏΠΎ ΡΡΠ°Π΄ΠΈΡΠΈΠΈ Π² ΠΊΠΎΠ½ΡΠ΅ ΠΏΡΠ΅Π΄Π»Π°Π³Π°Π΅ΠΌ ΠΠ°ΠΌ ΠΏΠΎΡΠΌΠΎΡΡΠ΅ΡΡ ΠΎΠ±ΡΡΠ°ΡΡΠ΅Π΅ Π²ΠΈΠ΄Π΅ΠΎ. ΠΡΠΈΡΡΠ½ΠΎΠ³ΠΎ ΠΏΡΠΎΡΠΌΠΎΡΡΠ° ΠΈ ΡΡΠΏΠ΅Ρ ΠΎΠ² Π² ΡΡΠ΅Π±Π΅!
Β
ΠΠ²ΡΠΎΡ: ΠΠ²Π°Π½
ΠΠ²Π°Π½ ΠΠΎΠ»ΠΎΠ±ΠΊΠΎΠ², ΠΈΠ·Π²Π΅ΡΡΠ½ΡΠΉ ΡΠ°ΠΊΠΆΠ΅ ΠΊΠ°ΠΊ ΠΠΆΠΎΠ½ΠΈ. ΠΠ°ΡΠΊΠ΅ΡΠΎΠ»ΠΎΠ³, Π°Π½Π°Π»ΠΈΡΠΈΠΊ ΠΈ ΠΊΠΎΠΏΠΈΡΠ°ΠΉΡΠ΅Ρ ΠΊΠΎΠΌΠΏΠ°Π½ΠΈΠΈ Zaochnik. ΠΠΎΠ΄Π°ΡΡΠΈΠΉ Π½Π°Π΄Π΅ΠΆΠ΄Ρ ΠΌΠΎΠ»ΠΎΠ΄ΠΎΠΉ ΠΏΠΈΡΠ°ΡΠ΅Π»Ρ. ΠΠΈΡΠ°Π΅Ρ Π»ΡΠ±ΠΎΠ²Ρ ΠΊ ΡΠΈΠ·ΠΈΠΊΠ΅, ΡΠ°ΡΠΈΡΠ΅ΡΠ½ΡΠΌ Π²Π΅ΡΠ°ΠΌ ΠΈ ΡΠ²ΠΎΡΡΠ΅ΡΡΠ²Ρ Π§. ΠΡΠΊΠΎΠ²ΡΠΊΠΈ.
ΠΠ»Π΅ΠΊΡΡΠΎΠ΄Π²ΠΈΠΆΡΡΠ°Ρ ΡΠΈΠ»Π° (ΠΠΠ‘)
ΠΠ΅Π²ΠΎΠ·ΠΌΠΎΠΆΠ½ΠΎ ΠΏΠΎΠ»ΡΡΠ°ΡΡ Π² ΠΏΡΠΎΠ²ΠΎΠ΄Π½ΠΈΠΊΠ΅ ΠΏΠΎΡΡΠΎΡΠ½Π½ΡΠΉ ΡΠ»Π΅ΠΊΡΡΠΈΡΠ΅ΡΠΊΠΈΠΉ ΡΠΎΠΊ, Π΅ΡΠ»ΠΈ Π΄Π»Ρ ΡΠΎΠ·Π΄Π°Π½ΠΈΡ Π½Π°ΠΏΡΡΠΆΠ΅Π½ΠΈΡ Π½Π° Π΅Π³ΠΎ ΠΊΠΎΠ½ΡΠ°Ρ ΠΈΠΌΠ΅ΡΡΡΡ ΡΠΎΠ»ΡΠΊΠΎ, Π½Π°ΠΏΡΠΈΠΌΠ΅Ρ, Π·Π°ΡΡΠΆΠ΅Π½Π½ΡΠ΅ ΠΊΠΎΠ½Π΄Π΅Π½ΡΠ°ΡΠΎΡΡ. ΠΠ»Π΅ΠΊΡΡΠΎΡΡΠ°ΡΠΈΡΠ΅ΡΠΊΠΎΠ΅ ΠΏΠΎΠ»Π΅ Π±ΡΠ΄Π΅Ρ ΠΏΠ΅ΡΠ΅ΠΌΠ΅ΡΠ°ΡΡ Π·Π°ΡΡΠ΄Ρ ΡΠ°ΠΊ, ΡΡΠΎ ΡΠ°Π·Π½ΠΎΡΡΠΈ ΠΏΠΎΡΠ΅Π½ΡΠΈΠ°Π»ΠΎΠ² Π±ΡΠ΄ΡΡ ΡΠΌΠ΅Π½ΡΡΠ°ΡΡΡΡ.
ΠΠ»Ρ ΡΠΎΠ³ΠΎ ΡΡΠΎΠ±Ρ Π² ΡΠ΅ΠΏΠΈ ΠΏΡΠΎΠ²ΠΎΠ΄Π½ΠΈΠΊΠΎΠ² Π½Π΅ΠΏΡΠ΅ΡΡΠ²Π½ΠΎ ΠΏΠΎΠ΄Π΄Π΅ΡΠΆΠΈΠ²Π°Π»ΡΡ ΡΠ»Π΅ΠΊΡΡΠΈΡΠ΅ΡΠΊΠΈΠΉ ΡΠΎΠΊ Π½Π΅ΠΎΠ±Ρ ΠΎΠ΄ΠΈΠΌΠΎ Π½Π°Π»ΠΈΡΠΈΠ΅ Π² Π½Π΅ΠΉ ΠΊΠ°ΠΊΠΎΠ³ΠΎ β Π»ΠΈΠ±ΠΎ ΡΡΡΡΠΎΠΉΡΡΠ²Π°, Π² ΠΊΠΎΡΠΎΡΠΎΠΌ ΠΏΡΠΎΠΈΡΡ ΠΎΠ΄ΠΈΠ»ΠΎ Π±Ρ ΡΠ°Π·Π΄Π΅Π»Π΅Π½ΠΈΠ΅ ΡΠ»Π΅ΠΊΡΡΠΈΡΠ΅ΡΠΊΠΈΡ Π·Π°ΡΡΠ΄ΠΎΠ² ΠΈ ΡΠ°ΠΊΠΈΠΌ ΠΎΠ±ΡΠ°Π·ΠΎΠΌ ΠΏΠΎΠ΄Π΄Π΅ΡΠΆΠΈΠ²Π°Π»ΠΎΡΡ Π½Π°ΠΏΡΡΠΆΠ΅Π½ΠΈΠ΅ Π² ΡΠ΅ΠΏΠΈ.
Π’Π°ΠΊΠΎΠ΅ ΡΡΡΡΠΎΠΉΡΡΠ²ΠΎ Π½Π°Π·ΡΠ²Π°ΡΡ ΠΈΡΡΠΎΡΠ½ΠΈΠΊΠΎΠΌ (Π³Π΅Π½Π΅ΡΠ°ΡΠΎΡΠΎΠΌ) ΡΠ»Π΅ΠΊΡΡΠΈΡΠ΅ΡΠΊΠΎΠ³ΠΎ ΡΠΎΠΊΠ°.
ΠΠΏΡΠ΅Π΄Π΅Π»Π΅Π½ΠΈΠ΅ 1
Π‘ΠΈΠ»Ρ, ΠΊΠΎΡΠΎΡΡΠ΅ ΡΠ°Π·Π΄Π΅Π»ΡΡΡ Π·Π°ΡΡΠ΄Ρ Π² ΠΈΡΡΠΎΡΠ½ΠΈΠΊΠ΅ ΡΠΎΠΊΠ°, Π½Π°Π·ΡΠ²Π°ΡΡ ΡΡΠΎΡΠΎΠ½Π½ΠΈΠΌΠΈ. Π‘ΡΠΎΡΠΎΠ½Π½ΠΈΠ΅ ΡΠΈΠ»Ρ – ΡΡΠΎ ΡΠΈΠ»Ρ Π½Π΅ΡΠ»Π΅ΠΊΡΡΠΎΡΡΠ°ΡΠΈΡΠ΅ΡΠΊΠΎΠ³ΠΎ ΠΏΡΠΎΠΈΡΡ ΠΎΠΆΠ΄Π΅Π½ΠΈΡ, ΠΎΠ½ΠΈ ΡΠ°Π±ΠΎΡΠ°ΡΡ Π²Π½ΡΡΡΠΈ ΠΈΡΡΠΎΡΠ½ΠΈΠΊΠ° ΡΠΎΠΊΠ°.
Π‘ΡΠΎΡΠΎΠ½Π½ΠΈΠ΅ ΡΠΈΠ»Ρ ΡΠΎΠ·Π΄Π°ΡΡ ΡΠ°Π·Π½ΠΎΡΡΡ ΠΏΠΎΡΠ΅Π½ΡΠΈΠ°Π»ΠΎΠ² ΠΌΠ΅ΠΆΠ΄Ρ ΠΊΠΎΠ½ΡΠ°ΠΌΠΈ ΡΠ°ΡΡΠΈ ΡΠ΅ΠΏΠΈ. Π’ΠΎΠ³Π΄Π° Π² ΡΠ°ΡΡΠΌΠ°ΡΡΠΈΠ²Π°Π΅ΠΌΠΎΠΉ ΡΠ°ΡΡΠΈ ΡΠ΅ΠΏΠΈ ΡΠ»Π΅ΠΊΡΡΠΈΡΠ΅ΡΠΊΠΈΠΉ ΡΠΎΠΊ Π²ΡΠ·ΡΠ²Π°Π΅Ρ ΠΏΠΎΠ»Π΅, ΠΊΠΎΡΠΎΡΠΎΠ΅ ΠΏΠΎΡΠΎΠΆΠ΄Π°Π΅Ρ ΡΠ°Π·Π½ΠΎΡΡΡ ΠΏΠΎΡΠ΅Π½ΡΠΈΠ°Π»ΠΎΠ² ΠΌΠ΅ΠΆΠ΄Ρ ΠΊΠΎΠ½ΡΠ°ΠΌΠΈ ΡΠ΅ΠΏΠΈ.
Π‘ΡΠΎΡΠΎΠ½Π½ΠΈΠ΅ ΡΠΈΠ»Ρ ΠΌΠΎΠ³ΡΡ ΠΈΠΌΠ΅ΡΡ ΡΠ°Π·Π½ΡΡ ΠΏΡΠΈΡΠΎΠ΄Ρ:
- ΠΌΠ΅Ρ Π°Π½ΠΈΡΠ΅ΡΠΊΡΡ,
- ΡΠ»Π΅ΠΊΡΡΠΎΠΌΠ°Π³Π½ΠΈΡΠ½ΡΡ,
- Ρ ΠΈΠΌΠΈΡΠ΅ΡΠΊΡΡ ΠΈ Π΄ΡΡΠ³ΡΡ.
ΠΡΠΈ Π΄Π²ΠΈΠΆΠ΅Π½ΠΈΠΈ ΡΠ»Π΅ΠΊΡΡΠΈΡΠ΅ΡΠΊΠΎΠ³ΠΎ Π·Π°ΡΡΠ΄Π° Π² Π·Π°ΠΌΠΊΠ½ΡΡΠΎΠΉ ΡΠ΅ΠΏΠΈ, ΡΠ°Π±ΠΎΡΠ°, ΠΊΠΎΡΠΎΡΡΡ Π²ΡΠΏΠΎΠ»Π½ΡΡΡ ΡΠ»Π΅ΠΊΡΡΠΎΡΡΠ°ΡΠΈΡΠ΅ΡΠΊΠΈΠ΅ ΡΠΈΠ»Ρ, ΡΠ°Π²Π½Π° Π½ΡΠ»Ρ. ΠΠΎΡΡΠΎΠΌΡ, ΡΠ΅Π·ΡΠ»ΡΡΠΈΡΡΡΡΠ°Ρ ΡΠ°Π±ΠΎΡΠ° ΡΠΈΠ», ΠΊΠΎΡΠΎΡΡΠ΅ Π΄Π΅ΠΉΡΡΠ²ΡΡΡ Π½Π° Π·Π°ΡΡΠ΄ ΠΏΡΠΈ ΡΠ°ΠΊΠΎΠΌ Π΄Π²ΠΈΠΆΠ΅Π½ΠΈΠΈ, Π±ΡΠ΄Π΅Ρ ΡΠ°Π²Π½Π° ΡΠ°Π±ΠΎΡΠ΅ ΡΡΠΎΡΠΎΠ½Π½ΠΈΡ ΡΠΈΠ».
ΠΠΏΡΠ΅Π΄Π΅Π»Π΅Π½ΠΈΠ΅ 2
ΠΠ»Π΅ΠΊΡΡΠΎΠ΄Π²ΠΈΠΆΡΡΠ΅ΠΉ ΡΠΈΠ»ΠΎΠΉ (ΠΠΠ‘) Π³Π΅Π½Π΅ΡΠ°ΡΠΎΡΠ° ΡΠΎΠΊΠ° Π½Π°Π·ΡΠ²Π°ΡΡ ΡΠΈΠ·ΠΈΡΠ΅ΡΠΊΡΡ Π²Π΅Π»ΠΈΡΠΈΠ½Ρ, ΡΠ°Π²Π½ΡΡ:
$Ζ=\frac{A}{q}\left( 1 \right)$,
Π³Π΄Π΅ $A$ β ΡΠ°Π±ΠΎΡΠ° ΡΡΠΎΡΠΎΠ½Π½ΠΈΡ ΡΠΈΠ» ΠΏΡΠΈ ΠΏΠ΅ΡΠ΅ΠΌΠ΅ΡΠ΅Π½ΠΈΠΈ ΠΏΠΎΠ»ΠΎΠΆΠΈΡΠ΅Π»ΡΠ½ΠΎΠ³ΠΎ Π·Π°ΡΡΠ΄Π° $q$ Π²Π½ΡΡΡΠΈ ΠΈΡΡΠΎΡΠ½ΠΈΠΊΠ° ΠΎΡ ΠΎΡΡΠΈΡΠ°ΡΠ΅Π»ΡΠ½ΠΎΠ³ΠΎ ΠΏΠΎΠ»ΡΡΠ° ΠΊ ΠΏΠΎΠ»ΠΎΠΆΠΈΡΠ΅Π»ΡΠ½ΠΎΠΌΡ.
ΠΠ°ΠΏΡΠ°Π²Π»Π΅Π½ΠΈΠ΅ΠΌ ΠΠΠ‘ ΡΡΠΈΡΠ°ΡΡ Π½Π°ΠΏΡΠ°Π²Π»Π΅Π½ΠΈΠ΅, Π² ΠΊΠΎΡΠΎΡΠΎΠΌ Π²Π½ΡΡΡΠΈ ΠΈΡΡΠΎΡΠ½ΠΈΠΊΠ° Π΄Π²ΠΈΠΆΡΡΡΡ ΠΏΠΎΠ»ΠΎΠΆΠΈΡΠ΅Π»ΡΠ½ΡΠ΅ Π·Π°ΡΡΠ΄Ρ. ΠΡΠ»ΠΈ ΠΈΡΡΠΎΡΠ½ΠΈΠΊ ΠΠΠ‘ Π² ΡΠ΅ΠΏΠΈ ΠΎΠ΄ΠΈΠ½, ΡΠΎ Π½Π°ΠΏΡΠ°Π²Π»Π΅Π½ΠΈΠ΅ ΠΠΠ‘ ΡΠΎΠ²ΠΏΠ°Π΄Π΅Ρ Ρ Π½Π°ΠΏΡΠ°Π²Π»Π΅Π½ΠΈΠ΅ΠΌ ΡΠΎΠΊΠ° Π² ΠΊΠΎΠ½ΡΡΡΠ΅ ΡΠ΅ΠΏΠΈ.
Π‘Π»ΠΎΠ²ΠΎΡΠΎΡΠ΅ΡΠ°Π½ΠΈΠ΅ Β«ΡΠ»Π΅ΠΊΡΡΠΎΠ΄Π²ΠΈΠΆΡΡΠ°Ρ ΡΠΈΠ»Π°Β» Π½Π΅ Π½Π°Π΄ΠΎ ΠΏΠΎΠ½ΠΈΠΌΠ°ΡΡ Π΄ΠΎΡΠ»ΠΎΠ²Π½ΠΎ, ΡΠ°ΠΊ ΠΊΠ°ΠΊ ΡΠ°Π·ΠΌΠ΅ΡΠ½ΠΎΡΡΡ ΠΠΠ‘ ΠΎΡΠ»ΠΈΡΠ½Π° ΠΎΡ ΡΠ°Π·ΠΌΠ΅ΡΠ½ΠΎΡΡΠΈ ΡΠΈΠ»Ρ ΠΈΠ»ΠΈ ΡΠ°Π±ΠΎΡΡ.
$[Ζ]=Π.$
B β Π²ΠΎΠ»ΡΡ Π² ΠΠ΅ΠΆΠ΄ΡΠ½Π°ΡΠΎΠ΄Π½ΠΎΠΉ ΡΠΈΡΡΠ΅ΠΌΠ΅ Π΅Π΄ΠΈΠ½ΠΈΡ (Π‘Π).
Π ΠΊΠ°ΡΠ΅ΡΡΠ²Π΅ ΠΌΠ΅ΡΡ ΠΠΠ‘, ΠΊΠΎΡΠΎΡΡΡ ΡΠΎΠ·Π΄Π°Π΅Ρ Π³Π΅Π½Π΅ΡΠ°ΡΠΎΡ, ΠΏΡΠΈΠ½ΠΈΠΌΠ°ΡΡ ΡΠ°Π·Π½ΠΎΡΡΡ ΠΏΠΎΡΠ΅Π½ΡΠΈΠ°Π»ΠΎΠ², ΡΠΎΠ·Π΄Π°Π²Π°Π΅ΠΌΡΡ Π½Π° Π΅Π³ΠΎ Π·Π°ΠΆΠΈΠΌΠ°Ρ , ΠΊΠΎΠ³Π΄Π° Π³Π΅Π½Π΅ΡΠ°ΡΠΎΡ ΡΠ°Π·ΠΎΠΌΠΊΠ½ΡΡ.
ΠΠ»Π΅ΠΊΡΡΠΈΡΠ΅ΡΠΊΠΎΠ΅ Π½Π°ΠΏΡΡΠΆΠ΅Π½ΠΈΠ΅ ΠΈ ΠΠΠ‘
ΠΠΎΠΏΡΡΡΠΈΠΌ, Ρ Π½Π°Ρ ΠΈΠΌΠ΅Π΅ΡΡΡ ΡΠ»Π΅ΠΊΡΡΠΈΡΠ΅ΡΠΊΠΎΠ΅ ΠΏΠΎΠ»Π΅. Π Π°ΡΡΠΌΠΎΡΡΠΈΠΌ Π² Π½Π΅ΠΌ ΠΏΡΠΎΠΈΠ·Π²ΠΎΠ»ΡΠ½ΡΡ ΠΊΡΠΈΠ²ΡΡ (ΡΠΈΡ.1) $l$, ΠΊΠΎΡΠΎΡΠ°Ρ ΡΠΎΠ΅Π΄ΠΈΠ½ΡΠ΅Ρ ΡΠΎΡΠΊΠΈ $A$ ΠΈ $B$. Π£ΠΊΠ°ΠΆΠ΅ΠΌ Π½Π° ΡΡΠΎΠΉ ΠΊΡΠΈΠ²ΠΎ ΠΏΠΎΠ»ΠΎΠΆΠΈΡΠ΅Π»ΡΠ½ΠΎΠ΅ Π½Π°ΠΏΡΠ°Π²Π»Π΅Π½ΠΈΠ΅.
Π ΠΈΡΡΠ½ΠΎΠΊ 1. ΠΠ»Π΅ΠΊΡΡΠΈΡΠ΅ΡΠΊΠΎΠ΅ ΠΏΠΎΠ»Π΅. ΠΠ²ΡΠΎΡ24 β ΠΈΠ½ΡΠ΅ΡΠ½Π΅Ρ-Π±ΠΈΡΠΆΠ° ΡΡΡΠ΄Π΅Π½ΡΠ΅ΡΠΊΠΈΡ ΡΠ°Π±ΠΎΡ
ΠΠ°ΠΏΡΡΠΆΠ΅Π½ΠΈΠ΅ ΠΏΠΎ ΠΈΠ·Π±ΡΠ°Π½Π½ΠΎΠΉ Π½Π°ΠΌΠΈ ΠΊΡΠΈΠ²ΠΎΠΉ ΡΠ°Π²Π½ΠΎ:
$U=\int\limits_l {\vec{E}d\vec{l}=\int\limits_l {E_{l}dl} \left( 2 \right).} $
Π’Π°ΠΊ ΠΊΠ°ΠΊ Π½Π°ΠΏΡΡΠΆΠ΅Π½Π½ΠΎΡΡΡ $\vec E$ ΠΈΠΌΠ΅Π΅Ρ ΡΠΌΡΡΠ» ΡΠΈΠ»Ρ, ΠΊΠΎΡΠΎΡΠ°Ρ Π΄Π΅ΠΉΡΡΠ²ΡΠ΅Ρ Π½Π° Π΅Π΄ΠΈΠ½ΠΈΡΠ½ΡΠΉ ΠΏΠΎΠ»ΠΎΠΆΠΈΡΠ΅Π»ΡΠ½ΡΠΉ Π·Π°ΡΡΠ΄, ΡΠΎ ΠΈΠ½ΡΠ΅Π³ΡΠ°Π» (2) β ΡΡΠΎ ΡΠ°Π±ΠΎΡΠ° ΠΏΠΎΠ»Ρ ΠΏΠΎ Π΄Π²ΠΈΠΆΠ΅Π½ΠΈΡ Π·Π°ΡΡΠ΄Π° ΠΏΠΎ ΠΊΡΠΈΠ²ΠΎΠΉ $l$. ΠΠ°ΠΏΡΡΠΆΠ΅Π½ΠΈΠ΅ ΡΠ°Π²Π½ΠΎ ΡΠ°Π·Π½ΠΎΡΡΠΈ ΠΏΠΎΡΠ΅Π½ΡΠΈΠ°Π»ΠΎΠ² Π² Π½Π°ΡΠ°Π»Π΅ ΠΈ ΠΊΠΎΠ½ΡΠ΅ ΡΠ°ΡΡΠΌΠ°ΡΡΠΈΠ²Π°Π΅ΠΌΠΎΠΉ ΠΊΡΠΈΠ²ΠΎΠΉ:
$U=\varphi_{1}-\varphi_{2}\left( 3 \right)$.
ΠΠ»Π΅ΠΊΡΡΠΈΡΠ΅ΡΠΊΠΎΠ΅ Π½Π°ΠΏΡΡΠΆΠ΅Π½ΠΈΠ΅ Π²Π΄ΠΎΠ»Ρ ΠΊΡΠΈΠ²ΠΎΠΉ Π½Π΅ Π·Π°Π²ΠΈΡΠΈΡ ΠΎΡ Π΅Π΅ ΡΠΎΡΠΌΡ ΠΈ ΠΏΠΎΠ»Π½ΠΎΡΡΡΡ ΠΎΠΏΡΠ΅Π΄Π΅Π»Π΅Π½ΠΎ ΠΏΠΎΠ»ΠΎΠΆΠ΅Π½ΠΈΠ΅ΠΌ Π½Π°ΡΠ°Π»Π° ΠΈ ΠΊΠΎΠ½ΡΠ° Π»ΠΈΠ½ΠΈΠΈ.
Π Π°ΡΡΠΌΠΎΡΡΠΈΠΌ ΡΠΈΡΠΊΡΠ»ΡΡΠΈΡ Π²Π΅ΠΊΡΠΎΡΠ° Π½Π°ΠΏΡΡΠΆΠ΅Π½Π½ΠΎΡΡΠΈ ΠΏΠΎ ΠΊΠΎΠ½ΡΡΡΡ $L$ ΡΠΈΡ.2.
Π ΠΈΡΡΠ½ΠΎΠΊ 2. Π¦ΠΈΡΠΊΡΠ»ΡΡΠΈΡ Π²Π΅ΠΊΡΠΎΡΠ° Π½Π°ΠΏΡΡΠΆΠ΅Π½Π½ΠΎΡΡΠΈ ΠΏΠΎ ΠΊΠΎΠ½ΡΡΡΡ. ΠΠ²ΡΠΎΡ24 β ΠΈΠ½ΡΠ΅ΡΠ½Π΅Ρ-Π±ΠΈΡΠΆΠ° ΡΡΡΠ΄Π΅Π½ΡΠ΅ΡΠΊΠΈΡ ΡΠ°Π±ΠΎΡ
ΠΡΠ΄Π΅Π»ΠΈΠΌ Π½Π° ΡΠ°ΡΡΠΌΠ°ΡΡΠΈΠ²Π°Π΅ΠΌΠΎΠΌ ΠΊΠΎΠ½ΡΡΡΠ΅ Π΄Π²Π΅ ΡΠΎΡΠΊΠΈ $A$ ΠΈ $B$, ΠΊΠΎΡΠΎΡΡΠ΅ Π΄Π΅Π»ΡΡ Π½Π°Ρ ΠΊΠΎΠ½ΡΡΡ Π½Π° Π΄Π²Π° Π½Π΅Π·Π°ΠΌΠΊΠ½ΡΡΡΡ ΠΊΡΠΈΠ²ΠΎΠ»ΠΈΠ½Π΅ΠΉΠ½ΡΡ ΠΎΡΡΠ΅Π·ΠΊΠ° $l_{12}$ ΠΈ $l_{21}$, ΡΡΠΈΡΡΠ²Π°Ρ (2) ΠΈ (3), ΠΈΠΌΠ΅Π΅ΠΌ:
$\oint\limits_L {\vec{E}d\vec{l}=\int\limits_A^B{\vec{E}d\vec{l}+\int\limits_B^A {\vec{E}d\vec{l}=} } } \left( \varphi{1}-\varphi_{2} \right)+\left( \varphi_{2}-\varphi_{1} \right)=0\,\left( 4 \right)$
ΠΡ ΠΏΠΎΠ»ΡΡΠΈΠ»ΠΈ, ΡΡΠΎ ΡΠΈΡΠΊΡΠ»ΡΡΠΈΡ Π²Π΅ΠΊΡΠΎΡΠ° Π½Π°ΠΏΡΡΠΆΠ΅Π½Π½ΠΎΡΡΠΈ ΠΏΠΎ Π·Π°ΠΌΠΊΠ½ΡΡΠΎΠΌΡ ΠΊΠΎΠ½ΡΡΡΡ ΡΠ°Π²Π½Π° Π½ΡΠ»Ρ.
ΠΠΏΡΠ΅Π΄Π΅Π»Π΅Π½ΠΈΠ΅ 3
Π ΡΠ΅ΠΎΡΠΈΠΈ ΡΠ»Π΅ΠΊΡΡΠΈΡΠ΅ΡΡΠ²Π° ΡΠ»Π΅ΠΊΡΡΠΎΠ΄Π²ΠΈΠΆΡΡΠ΅ΠΉ ΡΠΈΠ»ΠΎΠΉ ΠΊΠΎΠ½ΡΡΡΠ° (ΠΠΠ‘) Π½Π°Π·ΡΠ²Π°ΡΡ ΡΠΈΡΠΊΡΠ»ΡΡΠΈΡ Π²Π΅ΠΊΡΠΎΡΠ° Π½Π°ΠΏΡΡΠΆΠ΅Π½Π½ΠΎΡΡΠΈ ΠΏΠΎ ΡΡΠΎΠΌΡ ΠΊΠΎΠ½ΡΡΡΡ.
$Ζ=\oint\limits_L {\vec{E}d\vec{l}=0\, \left( 5 \right).} $
Π ΡΠ»Π΅ΠΊΡΡΠΎΡΡΠ°ΡΠΈΡΠ΅ΡΠΊΠΎΠΌ ΠΏΠΎΠ»Π΅ ΠΠΠ‘ Π»ΡΠ±ΠΎΠ³ΠΎ Π·Π°ΠΌΠΊΠ½ΡΡΠΎΠ³ΠΎ ΠΊΠΎΠ½ΡΡΡΠ° ΡΠ°Π²Π½Π° Π½ΡΠ»Ρ.
ΠΠ°ΠΊΠΎΠ½ ΠΠΌΠ° Π΄Π»Ρ ΡΠ΅ΠΏΠΈ Ρ ΠΠΠ‘
ΠΡΡΡΡ Ρ Π½Π°Ρ ΠΈΠΌΠ΅Π΅ΡΡΡ Ρ ΠΈΠΌΠΈΡΠ΅ΡΠΊΠΈΠΉ ΠΈΡΡΠΎΡΠ½ΠΈΠΊ ΠΠΠ‘ – ΡΠ»Π΅ΠΌΠ΅Π½Ρ ΠΠΎΠ»ΡΡΠ°. ΠΠ½ ΡΠΎΡΡΠΎΠΈΡ ΠΈΠ· Π΄Π²ΡΡ ΡΠ»Π΅ΠΊΡΡΠΎΠ΄ΠΎΠ²:
- ΠΌΠ΅Π΄Π½ΠΎΠ³ΠΎ,
- ΡΠΈΠ½ΠΊΠΎΠ²ΠΎΠ³ΠΎ,
ΠΊΠΎΡΠΎΡΡΠ΅ Π½Π°Ρ ΠΎΠ΄ΡΡΡΡ Π² ΡΠ°ΡΡΠ²ΠΎΡΠ΅ ΡΠ΅ΡΠ½ΠΎΠΉ ΠΊΠΈΡΠ»ΠΎΡΡ.
Π¦ΠΈΠ½ΠΊ ΡΠ°ΡΡΠ²ΠΎΡΡΠ΅ΡΡΡ Π² ΠΊΠΈΡΠ»ΠΎΡΠ΅, ΠΏΡΠΈ ΡΡΠΎΠΌ ΡΠ΅ΡΡΠ΅Ρ ΠΏΠΎΠ»ΠΎΠΆΠΈΡΠ΅Π»ΡΠ½ΡΠ΅ ΠΈΠΎΠ½Ρ ΠΈ ΠΏΠΎΠ»ΡΡΠ°Π΅Ρ ΠΎΡΠ½ΠΎΡΠΈΡΠ΅Π»ΡΠ½ΠΎ ΡΠ°ΡΡΠ²ΠΎΡΠ° Π΄ΠΎ ΠΎΡΡΠΈΡΠ°ΡΠ΅Π»ΡΠ½ΠΎΠ³ΠΎ ΠΏΠΎΡΠ΅Π½ΡΠΈΠ°Π»Π°. ΠΠ΅Π΄Π½ΡΠΉ ΡΠ»Π΅ΠΊΡΡΠΎΠ΄ ΠΈΠΌΠ΅Π΅Ρ ΠΏΠΎΠ»ΠΎΠΆΠΈΡΠ΅Π»ΡΠ½ΡΠΉ ΠΏΠΎΡΠ΅Π½ΡΠΈΠ°Π». Π Π΅Π·ΡΠ»ΡΡΠΈΡΡΡΡΠ°Ρ ΡΡΠΎΡΠΎΠ½Π½ΡΡ ΠΠΠ‘ ΠΏΠΎΠ»ΡΡΠ°Π΅ΡΡΡ ΠΏΡΠΈΠΌΠ΅ΡΠ½ΠΎ ΡΠ°Π²Π½Π° 1,1 Π. ΠΠ½Π° ΡΠΎΡΡΠ΅Π΄ΠΎΡΠΎΡΠ΅Π½Π° Π² ΡΠΎΠ½ΠΊΠΈΡ ΡΠ»ΠΎΡΡ ΠΊΠΎΠ½ΡΠ°ΠΊΡΠΎΠ² ΡΠΈΠ½ΠΊ β ΡΠ»Π΅ΠΊΡΡΠΎΠ»ΠΈΡ ΠΈ ΡΠ»Π΅ΠΊΡΡΠΎΠ»ΠΈΡ β ΠΌΠ΅Π΄Ρ. ΠΡΠΈ Π²ΠΊΠ»ΡΡΠ΅Π½ΠΈΠΈ ΡΠ»Π΅ΠΌΠ΅Π½ΡΠ° Π² ΡΠ΅ΠΏΡ (ΡΠΈΡ.3), ΠΏΠΎ ΠΊΠΎΠ½ΡΡΡΡ $L$ Π±ΡΠ΄Π΅Ρ ΡΠ΅ΡΡ ΡΠΎΠΊ $I$. ΠΡΠΈ ΡΡΠΎΠΌ Π½Π° ΡΠΎΠΏΡΠΎΡΠΈΠ²Π»Π΅Π½ΠΈΡΡ Π²Π½Π΅ΡΠ½Π΅ΠΉ (1) ΠΈ Π²Π½ΡΡΡΠ΅Π½Π½Π΅ΠΉ ΡΠ°ΡΡΠ΅ΠΉ ΡΠ΅ΠΏΠΈ ΠΏΠΎΡΠ²ΡΡΡΡ ΡΠ°Π·Π½ΠΎΡΡΠΈ ΠΏΠΎΡΠ΅Π½ΡΠΈΠ°Π»Π°.
Π ΠΈΡΡΠ½ΠΎΠΊ 3. Π¦Π΅ΠΏΡ. ΠΠ²ΡΠΎΡ24 β ΠΈΠ½ΡΠ΅ΡΠ½Π΅Ρ-Π±ΠΈΡΠΆΠ° ΡΡΡΠ΄Π΅Π½ΡΠ΅ΡΠΊΠΈΡ ΡΠ°Π±ΠΎΡ
ΠΠΎΠΏΡΡΡΠΈΠΌ, ΡΡΠΎ ΡΠΎΠΏΡΠΎΡΠΈΠ²Π»Π΅Π½ΠΈΡ ΡΡΠ°ΡΡΠΊΠΎΠ² ΡΠ΅ΠΏΠΈ ΠΈΠΌΠ΅ΡΡ ΡΠ°Π²Π½ΠΎΠΌΠ΅ΡΠ½ΡΠ΅ ΡΠ°ΡΠΏΡΠ΅Π΄Π΅Π»Π΅Π½ΠΈΡ Π²Π΄ΠΎΠ»Ρ ΠΊΠΎΠ½ΡΡΡΠ° $L$.
ΠΠΎ Π·Π°ΠΊΠΎΠ½Ρ ΡΠΎΡ ΡΠ°Π½Π΅Π½ΠΈΡ ΡΠ½Π΅ΡΠ³ΠΈΠΈ ΡΠ°Π±ΠΎΡΠ° ΡΠ»Π΅ΠΊΡΡΠΈΡΠ΅ΡΠΊΠΎΠ³ΠΎ ΠΏΠΎΠ»Ρ ($A_q$) ΠΏΠΎ Π΄Π²ΠΈΠΆΠ΅Π½ΠΈΡ Π·Π°ΡΡΠ΄Π° $q$ Π²Π΄ΠΎΠ»Ρ Π²Π½Π΅ΡΠ½Π΅Π³ΠΎ ΡΡΠ°ΡΡΠΊΠ° ΡΠ΅ΠΏΠΈ $1$ ΠΈ Π² ΡΠ»Π΅ΠΊΡΡΠΎΠ»ΠΈΡΠ΅ ($2$) ΡΠ°Π²Π½Π°:
$A_{q}=\left( \varphi_{1}-\varphi_{2} \right)q+\left( \varphi_{3}-\varphi_{4} \right)q\left( 6 \right)$.
Π‘ΡΠΌΠΌΠ°ΡΠ½ΡΡ ΡΠ°Π±ΠΎΡΡ ΡΡΠΎΡΠΎΠ½Π½ΠΈΡ ΡΠΈΠ» Π·Π°ΠΏΠΈΡΠ΅ΠΌ ΠΊΠ°ΠΊ:
$Ζ_q=A_{st}=\left( \varphi_{3}-\varphi_{2} \right)q+\left( \varphi_{1}-\varphi_{4} \right)q\left( 7 \right)$.
Π‘ΡΠ°Π²Π½ΠΈΠ² ΠΏΡΠ°Π²ΡΠ΅ ΡΠ°ΡΡΠΈ Π²ΡΡΠ°ΠΆΠ΅Π½ΠΈΠΉ (6) ΠΈ (7) ΠΈΠΌΠ΅Π΅ΠΌ:
$A_{q}=A_{st}\left( 8 \right)$.
Π€ΠΎΡΠΌΡΠ»Π° (8) ΠΎΠ·Π½Π°ΡΠ°Π΅Ρ, ΡΡΠΎ ΡΠ°Π±ΠΎΡΠ° ΡΠ»Π΅ΠΊΡΡΠΈΡΠ΅ΡΠΊΠΎΠ³ΠΎ ΠΏΠΎΠ»Ρ ΡΠ°Π²Π½Π° ΡΠ°Π±ΠΎΡΠ΅ ΡΡΠΎΡΠΎΠ½Π½ΠΈΡ ΡΠΈΠ» ΠΈΡΡΠΎΡΠ½ΠΈΠΊΠ°. ΠΡΠΈΠ½ΠΈΠΌΠ°Ρ Π²ΠΎ Π²Π½ΠΈΠΌΠ°Π½ΠΈΠ΅, ΡΡΠΎ:
$\varphi_{1}-\varphi_{2}=IR\, ;\, \varphi_{3}-\varphi_{4}=Ir\, \left( 9\right)$. ΠΏΠΎΠ»ΡΡΠΈΠΌ:
$Ζ=I\left( R+r \right)\left( 10 \right)$.
Π€ΠΎΡΠΌΡΠ»Π° (10) Π½Π°Π·ΡΠ²Π°Π΅ΡΡΡ Π·Π°ΠΊΠΎΠ½ΠΎΠΌ ΠΠΌΠ° Π΄Π»Ρ Π·Π°ΠΌΠΊΠ½ΡΡΠΎΠΉ ΡΠ΅ΠΏΠΈ.
ΠΡΠΎΡΠΎΠ΅ ΠΏΡΠ°Π²ΠΈΠ»ΠΎ ΠΠΈΡΡ Π³ΠΎΡΠ°
ΠΠ· Π·Π°ΠΊΠΎΠ½Π° ΠΠΌΠ° (10) ΡΠ»Π΅Π΄ΡΠ΅Ρ, ΡΡΠΎ ΠΠΠ‘, ΠΊΠΎΡΠΎΡΠ°Ρ Π²ΠΊΠ»ΡΡΠ΅Π½Π° Π² ΡΠ΅ΠΏΡ, ΡΠ°Π²Π½Π° ΡΡΠΌΠΌΠ΅ ΠΏΡΠΎΠΈΠ·Π²Π΅Π΄Π΅Π½ΠΈΠΉ ΡΠΈΠ»Ρ ΡΠΎΠΊΠ° Π½Π° ΡΠΎΠΏΡΠΎΡΠΈΠ²Π»Π΅Π½ΠΈΡ, ΠΊΠΎΡΠΎΡΡΠ΅ ΠΈΠΌΠ΅ΡΡΡΡ Π² ΡΠ΅ΠΏΠΈ. Π£ΡΠ²Π΅ΡΠΆΠ΄Π΅Π½ΠΈΠ΅ Π΄Π°Π½Π½ΠΎΠ³ΠΎ ΡΠΎΠ΄Π°, ΠΎΡΠ½ΠΎΡΠΈΠΌΠΎΠ΅ ΠΊ Π»ΡΠ±ΡΠΌ Π·Π°ΠΌΠΊΠ½ΡΡΡΠΌ ΡΠ΅ΠΏΡΠΌ, Π½Π°Π·ΡΠ²Π°ΡΡ Π²ΡΠΎΡΡΠΌ ΠΏΡΠ°Π²ΠΈΠ»ΠΎΠΌ ΠΠΈΡΡ Π³ΠΎΡΠ°.
Π‘ΡΠΎΡΠΌΡΠ»ΠΈΡΡΠ΅ΠΌ Π΄Π°Π½Π½ΠΎΠ΅ ΠΏΡΠ°Π²ΠΈΠ»ΠΎ ΡΠ°ΠΊ:
ΠΠ»Π³Π΅Π±ΡΠ°ΠΈΡΠ΅ΡΠΊΠ°Ρ ΡΡΠΌΠΌΠ° ΠΏΡΠΎΠΈΠ·Π²Π΅Π΄Π΅Π½ΠΈΠΉ ΡΠΈΠ» ΡΠΎΠΊΠΎΠ² Π½Π° ΡΠΎΠΏΡΠΎΡΠΈΠ²Π»Π΅Π½ΠΈΡ ΠΏΠΎ Π»ΡΠ±ΠΎΠΌΡ Π·Π°ΠΌΠΊΠ½ΡΡΠΎΠΌΡ ΠΊΠΎΠ½ΡΡΡΡ, ΡΠ°Π²Π½Π° ΡΡΠΌΠΌΠ°ΡΠ½ΠΎΠΉ ΠΠΠ‘, ΠΊΠΎΡΠΎΡΡΠ΅ Π²Ρ ΠΎΠ΄ΡΡ Π² ΡΠ°ΡΡΠΌΠ°ΡΡΠΈΠ²Π°Π΅ΠΌΡΠΉ ΠΊΠΎΠ½ΡΡΡ.
ΠΡΠΎΠΈΠ·Π²Π΅Π΄Π΅Π½ΠΈΠ΅ ΡΠΈΠ»Ρ ΡΠΎΠΊΠ° Π½Π° ΡΠΎΠΏΡΠΎΡΠΈΠ²Π»Π΅Π½ΠΈΠ΅ ΡΡΠ°ΡΡΠΊΠ° ΡΠ΅ΠΏΠΈ ΡΡΠΈΡΠ°ΡΡ Π±ΠΎΠ»ΡΡΠΈΠΌ Π½ΡΠ»Ρ, Π΅ΡΠ»ΠΈ ΠΈΠ·Π±ΡΠ°Π½Π½ΠΎΠ΅ Π½Π°ΠΏΡΠ°Π²Π»Π΅Π½ΠΈΠ΅ ΠΎΠ±Ρ ΠΎΠ΄Π° ΠΊΠΎΠ½ΡΡΡΠ° ΡΠΎΠ²ΠΏΠ°Π΄Π°Π΅Ρ Ρ Π½Π°ΠΏΡΠ°Π²Π»Π΅Π½ΠΈΠ΅ΠΌ ΡΠ΅ΡΠ΅Π½ΠΈΡ ΡΠΎΠΊΠ° Π½Π° ΡΡΠΎΠΌ ΡΡΠ°ΡΡΠΊΠ΅. Π ΠΏΡΠΎΡΠΈΠ²Π½ΠΎΠΌ ΡΠ»ΡΡΠ°Π΅ ΠΏΡΠΎΠΈΠ·Π²Π΅Π΄Π΅Π½ΠΈΠ΅ ΠΎΡΡΠΈΡΠ°ΡΠ΅Π»ΡΠ½ΠΎ.
ΠΠΠ‘ ΡΡΠΈΡΠ°ΡΡ ΠΏΠΎΠ»ΠΎΠΆΠΈΡΠ΅Π»ΡΠ½ΠΎΠΉ, Π΅ΡΠ»ΠΈ Π² ΡΠ΅Π·ΡΠ»ΡΡΠ°ΡΠ΅ ΠΎΠ±Ρ ΠΎΠ΄Π° ΠΊΠΎΠ½ΡΡΡΠ° Π² ΠΈΡΡΠΎΡΠ½ΠΈΠΊΠ΅ ΠΎΡΡΡΠ΅ΡΡΠ²Π»ΡΠ΅ΡΡΡ ΠΏΠ΅ΡΠ΅Ρ ΠΎΠ΄ ΠΎΡ ΠΏΠΎΠ»ΡΡΠ° ΡΠΎ Π·Π½Π°ΠΊΠΎΠΌ ΠΌΠΈΠ½ΡΡ ΠΊ ΠΏΠΎΠ»ΡΡΡ ΡΠΎ Π·Π½Π°ΠΊΠΎΠΌ ΠΏΠ»ΡΡ.
ΠΡΠΈ Π½Π΅ΠΈΠ·Π²Π΅ΡΡΠ½ΠΎΠΌ Π½Π°ΠΏΡΠ°Π²Π»Π΅Π½ΠΈΠΈ ΡΠΎΠΊΠΎΠ², ΠΈΡ Π½Π°ΠΏΡΠ°Π²Π»Π΅Π½ΠΈΡ ΠΏΡΠΈΠ½ΠΈΠΌΠ°ΡΡ ΠΏΡΠΎΠΈΠ·Π²ΠΎΠ»ΡΠ½ΠΎ. ΠΡΠ»ΠΈ Π² ΡΠ΅Π·ΡΠ»ΡΡΠ°ΡΠ΅ Π²ΡΡΠΈΡΠ»Π΅Π½ΠΈΠΉ ΠΏΠΎΠ»ΡΡΠ°ΡΡ Π·Π½Π°ΠΊ ΠΌΠΈΠ½ΡΡ Π΄Π»Ρ ΡΠ°ΡΡΠΌΠ°ΡΡΠΈΠ²Π°Π΅ΠΌΠΎΠ³ΠΎ ΡΠΎΠΊΠ°, ΡΠΎ ΡΡΠΎ Π·Π½Π°ΡΠΈΡ, ΡΡΠΎ Π²Π΅ΡΠ½ΡΠΌ Π½Π°ΠΏΡΠ°Π²Π»Π΅Π½ΠΈΠ΅ΠΌ ΡΠΎΠΊΠ° Π±ΡΠ΄Π΅Ρ ΠΏΡΠΎΡΠΈΠ²ΠΎΠΏΠΎΠ»ΠΎΠΆΠ½ΠΎΠ΅ ΠΏΡΠΈΠ½ΡΡΠΎΠΌΡ.N {I_{m}R_{m}\left( 11\right),} $
Π³Π΄Π΅ $N$ – ΠΊΠΎΠ»ΠΈΡΠ΅ΡΡΠ²ΠΎ ΡΡΠ°ΡΡΠΊΠΎΠ² ΠΈΠ·Π±ΡΠ°Π½Π½ΠΎΠ³ΠΎ ΠΊΠΎΠ½ΡΡΡΠ°.
ΠΡΠΎΡΠΎΠ΅ ΠΏΡΠ°Π²ΠΈΠ»ΠΎ ΠΠΈΡΡ Π³ΠΎΡΠ° ΠΏΠΎΠ·Π²ΠΎΠ»ΡΠ΅Ρ Π·Π°ΠΏΠΈΡΠ°ΡΡ Π½Π΅Π·Π°Π²ΠΈΡΠΈΠΌΡΠ΅ ΡΡΠ°Π²Π½Π΅Π½ΠΈΡ ΡΠΎΠ»ΡΠΊΠΎ Π΄Π»Ρ ΠΊΠΎΠ½ΡΡΡΠΎΠ² ΡΠ»ΠΎΠΆΠ½ΠΎΠΉ ΡΠ΅ΠΏΠΈ, ΠΊΠΎΡΠΎΡΡΠ΅ Π½Π΅ ΠΏΠΎΠ»ΡΡΠ΅Π½Ρ Π½Π°Π»ΠΎΠΆΠ΅Π½ΠΈΠ΅ΠΌ ΡΠΆΠ΅ ΠΎΠΏΠΈΡΠ°Π½Π½ΡΡ .
ΠΠΎΠ»ΠΈΡΠ΅ΡΡΠ²ΠΎ Π½Π΅Π·Π°Π²ΠΈΡΠΈΠΌΡΡ ΠΊΠΎΠ½ΡΡΡΠΎΠ² ($n_2$) ΠΌΠΎΠΆΠ½ΠΎ ΠΎΠΏΡΠ΅Π΄Π΅Π»ΠΈΡΡ:
$n_2=p-m+1$(12),
Π³Π΄Π΅ $p$ – ΠΊΠΎΠ»ΠΈΡΠ΅ΡΡΠ²ΠΎ Π²Π΅ΡΠ²Π΅ΠΉ Π² ΡΠ΅ΠΏΠΈ; $m$- ΠΊΠΎΠ»ΠΈΡΠ΅ΡΡΠ²ΠΎ ΡΠ·Π»ΠΎΠ².
ΠΠ½Π°Π»ΠΈΠ· ΡΠΈΡΡΠ°ΡΠΈΠΉ Ρ ΡΡΠ°ΡΡΠΈΠ΅ΠΌ Π²Π½Π΅ΡΠ½ΠΈΡ ΡΠΈΠ»
Π ΠΏΡΠ΅Π΄ΡΠ΄ΡΡΠ΅ΠΉ ΡΠ°ΡΡΠΈ Π£ΡΠΎΠΊΠ° 2 ΠΎΠ±ΡΡΠΆΠ΄Π°Π»Π°ΡΡ Π²Π·Π°ΠΈΠΌΠΎΡΠ²ΡΠ·Ρ ΠΌΠ΅ΠΆΠ΄Ρ ΡΠ°Π±ΠΎΡΠΎΠΉ ΠΈ ΠΈΠ·ΠΌΠ΅Π½Π΅Π½ΠΈΠ΅ΠΌ ΡΠ½Π΅ΡΠ³ΠΈΠΈ. ΠΡΡΠΊΠΈΠΉ ΡΠ°Π·, ΠΊΠΎΠ³Π΄Π° Π½Π°Π΄ ΠΎΠ±ΡΠ΅ΠΊΡΠΎΠΌ Π²ΠΎΠ·Π΄Π΅ΠΉΡΡΠ²ΡΠ΅Ρ Π²Π½Π΅ΡΠ½ΡΡ ΡΠΈΠ»Π°, ΠΏΡΠΎΠΈΡΡ ΠΎΠ΄ΠΈΡ ΠΈΠ·ΠΌΠ΅Π½Π΅Π½ΠΈΠ΅ ΠΎΠ±ΡΠ΅ΠΉ ΠΌΠ΅Ρ Π°Π½ΠΈΡΠ΅ΡΠΊΠΎΠΉ ΡΠ½Π΅ΡΠ³ΠΈΠΈ ΠΎΠ±ΡΠ΅ΠΊΡΠ°. ΠΡΠ»ΠΈ ΡΠΎΠ»ΡΠΊΠΎ Π²Π½ΡΡΡΠ΅Π½Π½ΠΈΠ΅ ΡΠΈΠ»Ρ Π²ΡΠΏΠΎΠ»Π½ΡΡΡ ΡΠ°Π±ΠΎΡΡ (Π½Π΅ ΡΠ°Π±ΠΎΡΠ°ΡΡ Π²Π½Π΅ΡΠ½ΠΈΠ΅ ΡΠΈΠ»Ρ), ΠΎΠ±ΡΠ°Ρ ΠΌΠ΅Ρ Π°Π½ΠΈΡΠ΅ΡΠΊΠ°Ρ ΡΠ½Π΅ΡΠ³ΠΈΡ Π½Π΅ ΠΈΠ·ΠΌΠ΅Π½ΡΠ΅ΡΡΡ; ΠΎΠ±ΡΠ°Ρ ΠΌΠ΅Ρ Π°Π½ΠΈΡΠ΅ΡΠΊΠ°Ρ ΡΠ½Π΅ΡΠ³ΠΈΡ ΡΠΎΡΡΠ°Π²Π»ΡΠ΅Ρ ΡΠΎΡ ΡΠ°Π½Π΅Π½Π½ΡΡ . ΠΠΎΡΠΊΠΎΠ»ΡΠΊΡ Π²Π½Π΅ΡΠ½ΠΈΠ΅ ΡΠΈΠ»Ρ ΡΠΏΠΎΡΠΎΠ±Π½Ρ ΠΈΠ·ΠΌΠ΅Π½ΡΡΡ ΠΎΠ±ΡΡΡ ΠΌΠ΅Ρ Π°Π½ΠΈΡΠ΅ΡΠΊΡΡ ΡΠ½Π΅ΡΠ³ΠΈΡ ΠΎΠ±ΡΠ΅ΠΊΡΠ°, ΠΈΡ ΠΈΠ½ΠΎΠ³Π΄Π° Π½Π°Π·ΡΠ²Π°ΡΡ Π½Π΅ΠΊΠΎΠ½ΡΠ΅ΡΠ²Π°ΡΠΈΠ²Π½ΡΠΌΠΈ ΡΠΈΠ»Π°ΠΌΠΈ.ΠΠΎΡΠΊΠΎΠ»ΡΠΊΡ Π²Π½ΡΡΡΠ΅Π½Π½ΠΈΠ΅ ΡΠΈΠ»Ρ Π½Π΅ ΠΈΠ·ΠΌΠ΅Π½ΡΡΡ ΠΎΠ±ΡΡΡ ΠΌΠ΅Ρ Π°Π½ΠΈΡΠ΅ΡΠΊΡΡ ΡΠ½Π΅ΡΠ³ΠΈΡ ΠΎΠ±ΡΠ΅ΠΊΡΠ°, ΠΈΡ ΠΈΠ½ΠΎΠ³Π΄Π° Π½Π°Π·ΡΠ²Π°ΡΡ ΠΊΠΎΠ½ΡΠ΅ΡΠ²Π°ΡΠΈΠ²Π½ΡΠΌΠΈ ΡΠΈΠ»Π°ΠΌΠΈ. Π ΡΡΠΎΠΉ ΡΠ°ΡΡΠΈ Π£ΡΠΎΠΊΠ° 2 ΠΌΡ ΠΏΡΠΎΠ΄ΠΎΠ»ΠΆΠΈΠΌ ΠΈΡΡΠ»Π΅Π΄ΠΎΠ²Π°ΡΡ ΠΊΠΎΠ»ΠΈΡΠ΅ΡΡΠ²Π΅Π½Π½ΡΡ ΡΠ²ΡΠ·Ρ ΠΌΠ΅ΠΆΠ΄Ρ ΡΠ°Π±ΠΎΡΠΎΠΉ ΠΈ ΡΠ½Π΅ΡΠ³ΠΈΠ΅ΠΉ.
Π Π°Π±ΠΎΡΠ° Ρ ΡΠ½Π΅ΡΠ³ΠΈΠ΅ΠΉΠΠΎΠ»ΠΈΡΠ΅ΡΡΠ²Π΅Π½Π½Π°Ρ ΡΠ²ΡΠ·Ρ ΠΌΠ΅ΠΆΠ΄Ρ ΡΠ°Π±ΠΎΡΠΎΠΉ ΠΈ ΠΌΠ΅Ρ Π°Π½ΠΈΡΠ΅ΡΠΊΠΎΠΉ ΡΠ½Π΅ΡΠ³ΠΈΠ΅ΠΉ Π²ΡΡΠ°ΠΆΠ°Π΅ΡΡΡ ΡΠ»Π΅Π΄ΡΡΡΠΈΠΌ ΡΡΠ°Π²Π½Π΅Π½ΠΈΠ΅ΠΌ:
TME i + W Π΄ΠΎΠ± = TME fΠ£ΡΠ°Π²Π½Π΅Π½ΠΈΠ΅ ΡΡΠ²Π΅ΡΠΆΠ΄Π°Π΅Ρ, ΡΡΠΎ Π½Π°ΡΠ°Π»ΡΠ½ΠΎΠ΅ ΠΊΠΎΠ»ΠΈΡΠ΅ΡΡΠ²ΠΎ ΠΏΠΎΠ»Π½ΠΎΠΉ ΠΌΠ΅Ρ Π°Π½ΠΈΡΠ΅ΡΠΊΠΎΠΉ ΡΠ½Π΅ΡΠ³ΠΈΠΈ (TME i ) ΠΏΠ»ΡΡ ΡΠ°Π±ΠΎΡΠ°, ΡΠΎΠ²Π΅ΡΡΠ°Π΅ΠΌΠ°Ρ Π²Π½Π΅ΡΠ½ΠΈΠΌΠΈ ΡΠΈΠ»Π°ΠΌΠΈ (W ext ), ΡΠ°Π²Π½ΠΎ ΠΊΠΎΠ½Π΅ΡΠ½ΠΎΠΌΡ ΠΊΠΎΠ»ΠΈΡΠ΅ΡΡΠ²Ρ ΠΏΠΎΠ»Π½ΠΎΠΉ ΠΌΠ΅Ρ Π°Π½ΠΈΡΠ΅ΡΠΊΠΎΠΉ ΡΠ½Π΅ΡΠ³ΠΈΠΈ (TME f ).Π‘Π»Π΅Π΄ΡΠ΅Ρ ΡΠ΄Π΅Π»Π°ΡΡ Π½Π΅ΡΠΊΠΎΠ»ΡΠΊΠΎ Π·Π°ΠΌΠ΅ΡΠ°Π½ΠΈΠΉ ΠΏΠΎ ΠΏΠΎΠ²ΠΎΠ΄Ρ ΠΏΡΠΈΠ²Π΅Π΄Π΅Π½Π½ΠΎΠ³ΠΎ Π²ΡΡΠ΅ ΡΡΠ°Π²Π½Π΅Π½ΠΈΡ. ΠΠΎ-ΠΏΠ΅ΡΠ²ΡΡ , ΠΌΠ΅Ρ Π°Π½ΠΈΡΠ΅ΡΠΊΠ°Ρ ΡΠ½Π΅ΡΠ³ΠΈΡ ΠΌΠΎΠΆΠ΅Ρ Π±ΡΡΡ Π»ΠΈΠ±ΠΎ ΠΏΠΎΡΠ΅Π½ΡΠΈΠ°Π»ΡΠ½ΠΎΠΉ ΡΠ½Π΅ΡΠ³ΠΈΠ΅ΠΉ (Π² ΡΡΠΎΠΌ ΡΠ»ΡΡΠ°Π΅ ΠΎΠ½Π° ΠΌΠΎΠΆΠ΅Ρ Π±ΡΡΡ Π²ΡΠ·Π²Π°Π½Π° ΠΏΡΡΠΆΠΈΠ½Π°ΠΌΠΈ ΠΈΠ»ΠΈ Π³ΡΠ°Π²ΠΈΡΠ°ΡΠΈΠ΅ΠΉ), Π»ΠΈΠ±ΠΎ ΠΊΠΈΠ½Π΅ΡΠΈΡΠ΅ΡΠΊΠΎΠΉ ΡΠ½Π΅ΡΠ³ΠΈΠ΅ΠΉ. Π£ΡΠΈΡΡΠ²Π°Ρ ΡΡΠΎΡ ΡΠ°ΠΊΡ, ΠΏΡΠΈΠ²Π΅Π΄Π΅Π½Π½ΠΎΠ΅ Π²ΡΡΠ΅ ΡΡΠ°Π²Π½Π΅Π½ΠΈΠ΅ ΠΌΠΎΠΆΠ½ΠΎ ΠΏΠ΅ΡΠ΅ΠΏΠΈΡΠ°ΡΡ ΠΊΠ°ΠΊ
KE i + PE i + W ext = KE f + PE fΠΡΠΎΡΠΎΠ΅ Π·Π°ΠΌΠ΅ΡΠ°Π½ΠΈΠ΅, ΠΊΠΎΡΠΎΡΠΎΠ΅ ΡΠ»Π΅Π΄ΡΠ΅Ρ ΡΠ΄Π΅Π»Π°ΡΡ Π² ΠΎΡΠ½ΠΎΡΠ΅Π½ΠΈΠΈ ΠΏΡΠΈΠ²Π΅Π΄Π΅Π½Π½ΠΎΠ³ΠΎ Π²ΡΡΠ΅ ΡΡΠ°Π²Π½Π΅Π½ΠΈΡ, Π·Π°ΠΊΠ»ΡΡΠ°Π΅ΡΡΡ Π² ΡΠΎΠΌ, ΡΡΠΎ ΡΠ°Π±ΠΎΡΠ°, ΡΠΎΠ²Π΅ΡΡΠ°Π΅ΠΌΠ°Ρ Π²Π½Π΅ΡΠ½ΠΈΠΌΠΈ ΡΠΈΠ»Π°ΠΌΠΈ, ΠΌΠΎΠΆΠ΅Ρ Π±ΡΡΡ ΠΏΠΎΠ»ΠΎΠΆΠΈΡΠ΅Π»ΡΠ½ΠΎΠΉ ΠΈΠ»ΠΈ ΠΎΡΡΠΈΡΠ°ΡΠ΅Π»ΡΠ½ΠΎΠΉ.ΠΡΠΈΠ½ΠΈΠΌΠ°Π΅Ρ Π»ΠΈ ΡΠ°Π±ΠΎΡΠΈΠΉ ΡΠ»Π΅Π½ ΠΏΠΎΠ»ΠΎΠΆΠΈΡΠ΅Π»ΡΠ½ΠΎΠ΅ ΠΈΠ»ΠΈ ΠΎΡΡΠΈΡΠ°ΡΠ΅Π»ΡΠ½ΠΎΠ΅ Π·Π½Π°ΡΠ΅Π½ΠΈΠ΅, Π·Π°Π²ΠΈΡΠΈΡ ΠΎΡ ΡΠ³Π»Π° ΠΌΠ΅ΠΆΠ΄Ρ ΡΠΈΠ»ΠΎΠΉ ΠΈ Π΄Π²ΠΈΠΆΠ΅Π½ΠΈΠ΅ΠΌ. ΠΡΠΏΠΎΠΌΠ½ΠΈΡΠ΅ ΠΈΠ· Π£ΡΠΎΠΊΠ° 1, ΡΡΠΎ ΡΠ°Π±ΠΎΡΠ° Π·Π°Π²ΠΈΡΠΈΡ ΠΎΡ ΡΠ³Π»Π° ΠΌΠ΅ΠΆΠ΄Ρ Π²Π΅ΠΊΡΠΎΡΠ°ΠΌΠΈ ΡΠΈΠ»Ρ ΠΈ ΡΠΌΠ΅ΡΠ΅Π½ΠΈΡ. ΠΡΠ»ΠΈ ΡΠ³ΠΎΠ» ΡΠΎΡΡΠ°Π²Π»ΡΠ΅Ρ 180 Π³ΡΠ°Π΄ΡΡΠΎΠ², Π° ΠΈΠ½ΠΎΠ³Π΄Π° Π±ΡΠ²Π°Π΅Ρ, ΡΠΎ ΡΠ°Π±ΠΎΡΠΈΠΉ ΡΡΠΎΠΊ Π±ΡΠ΄Π΅Ρ ΠΎΡΡΠΈΡΠ°ΡΠ΅Π»ΡΠ½ΡΠΌ. ΠΡΠ»ΠΈ ΡΠ³ΠΎΠ» ΡΠ°Π²Π΅Π½ 0 Π³ΡΠ°Π΄ΡΡΠΎΠ², ΡΠΎ ΡΠ°Π±ΠΎΡΠΈΠΉ ΡΠ»Π΅Π½ Π±ΡΠ΄Π΅Ρ ΠΏΠΎΠ»ΠΎΠΆΠΈΡΠ΅Π»ΡΠ½ΡΠΌ.
ΠΡΠΈΠ²Π΅Π΄Π΅Π½Π½ΠΎΠ΅ Π²ΡΡΠ΅ ΡΡΠ°Π²Π½Π΅Π½ΠΈΠ΅ Π²ΡΡΠ°ΠΆΠ°Π΅Ρ ΠΊΠΎΠ»ΠΈΡΠ΅ΡΡΠ²Π΅Π½Π½ΡΡ ΡΠ²ΡΠ·Ρ ΠΌΠ΅ΠΆΠ΄Ρ ΡΠ°Π±ΠΎΡΠΎΠΉ ΠΈ ΡΠ½Π΅ΡΠ³ΠΈΠ΅ΠΉ. ΠΡΠΎ ΡΡΠ°Π²Π½Π΅Π½ΠΈΠ΅ Π±ΡΠ΄Π΅Ρ ΠΎΡΠ½ΠΎΠ²ΠΎΠΉ Π΄Π»Ρ ΠΎΡΡΠ°Π»ΡΠ½ΠΎΠΉ ΡΠ°ΡΡΠΈ ΡΡΠΎΠ³ΠΎ ΡΡΡΡΠΎΠΉΡΡΠ²Π°.ΠΡΠΎ ΡΡΠΎΡΠΌΠΈΡΡΠ΅Ρ ΠΎΡΠ½ΠΎΠ²Ρ ΠΊΠΎΠ½ΡΠ΅ΠΏΡΡΠ°Π»ΡΠ½ΠΎΠ³ΠΎ Π°ΡΠΏΠ΅ΠΊΡΠ° Π½Π°ΡΠ΅Π³ΠΎ ΠΈΡΡΠ»Π΅Π΄ΠΎΠ²Π°Π½ΠΈΡ ΡΠ°Π±ΠΎΡΡ ΠΈ ΡΠ½Π΅ΡΠ³ΠΈΠΈ, Π° ΡΠ°ΠΊΠΆΠ΅ , ΡΡΠΊΠΎΠ²ΠΎΠ΄ΡΡΠ΅Π³ΠΎ force Π΄Π»Ρ Π½Π°ΡΠ΅Π³ΠΎ ΠΏΠΎΠ΄Ρ ΠΎΠ΄Π° ΠΊ ΡΠ΅ΡΠ΅Π½ΠΈΡ ΠΌΠ°ΡΠ΅ΠΌΠ°ΡΠΈΡΠ΅ΡΠΊΠΈΡ Π·Π°Π΄Π°Ρ. Π±ΠΎΠ»ΡΡΠΎΠΉ ΡΡΠ΅Π· ΠΌΠΈΡΠ° Π΄Π²ΠΈΠΆΠ΅Π½ΠΈΡ ΠΌΠΎΠΆΠ½ΠΎ ΠΏΠΎΠ½ΡΡΡ, ΠΈΡΠΏΠΎΠ»ΡΠ·ΡΡ ΡΡΡ Π²Π·Π°ΠΈΠΌΠΎΡΠ²ΡΠ·Ρ ΠΌΠ΅ΠΆΠ΄Ρ ΡΠ°Π±ΠΎΡΠΎΠΉ ΠΈ ΡΠ½Π΅ΡΠ³ΠΈΠ΅ΠΉ.
ΠΠΎΠ΄ΡΠ΅ΠΌ ΡΡΠ°Π½Π³ΠΈ Π²Π΅ΡΡΠΈΠΊΠ°Π»ΡΠ½ΠΎΠ§ΡΠΎΠ±Ρ Π½Π°ΡΠ°ΡΡ Π½Π°ΡΠ΅ ΠΈΡΡΠ»Π΅Π΄ΠΎΠ²Π°Π½ΠΈΠ΅ ΠΎΡΠ½ΠΎΡΠ΅Π½ΠΈΡ ΡΠ°Π±ΠΎΡΠ°-ΡΠ½Π΅ΡΠ³ΠΈΡ, ΠΌΡ ΠΈΡΡΠ»Π΅Π΄ΡΠ΅ΠΌ ΡΠΈΡΡΠ°ΡΠΈΠΈ, Π² ΠΊΠΎΡΠΎΡΡΡ ΡΠ°Π±ΠΎΡΠ° Π²ΡΠΏΠΎΠ»Π½ΡΠ΅ΡΡΡ Π²Π½Π΅ΡΠ½ΠΈΠΌΠΈ ΡΠΈΠ»Π°ΠΌΠΈ (Π½Π΅ΠΊΠΎΠ½ΡΠ΅ΡΠ²Π°ΡΠΈΠ²Π½ΡΠΌΠΈ ΡΠΈΠ»Π°ΠΌΠΈ).ΠΡΠ΅Π΄ΡΡΠ°Π²ΡΡΠ΅ ΡΠ΅Π±Π΅ ΡΡΠ°Π½Π³ΠΈΡΡΠ°, ΠΊΠΎΡΠΎΡΡΠΉ ΠΏΡΠΈΠ»Π°Π³Π°Π΅Ρ ΠΊ ΡΡΠ°Π½Π³Π΅ Π½Π°ΠΏΡΠ°Π²Π»Π΅Π½Π½ΡΡ Π²Π²Π΅ΡΡ ΡΠΈΠ»Ρ (ΡΠΊΠ°ΠΆΠ΅ΠΌ, 1000 Π), ΡΡΠΎΠ±Ρ ΠΏΠ΅ΡΠ΅ΠΌΠ΅ΡΡΠΈΡΡ Π΅Π΅ Π²Π²Π΅ΡΡ Π½Π° Π·Π°Π΄Π°Π½Π½ΠΎΠ΅ ΡΠ°ΡΡΡΠΎΡΠ½ΠΈΠ΅ (ΡΠΊΠ°ΠΆΠ΅ΠΌ, 0,25 ΠΌΠ΅ΡΡΠ°) Ρ ΠΏΠΎΡΡΠΎΡΠ½Π½ΠΎΠΉ ΡΠΊΠΎΡΠΎΡΡΡΡ. ΠΠ°ΡΠ°Π»ΡΠ½Π°Ρ ΡΠ½Π΅ΡΠ³ΠΈΡ ΠΏΠ»ΡΡ ΡΠ°Π±ΠΎΡΠ°, ΡΠΎΠ²Π΅ΡΡΠ°Π΅ΠΌΠ°Ρ Π²Π½Π΅ΡΠ½Π΅ΠΉ ΡΠΈΠ»ΠΎΠΉ, ΡΠ°Π²Π½ΡΠ΅ΡΡΡ ΠΊΠΎΠ½Π΅ΡΠ½ΠΎΠΉ ΡΠ½Π΅ΡΠ³ΠΈΠΈ. ΠΡΠ»ΠΈ ΡΡΠ°Π½Π³Π° Π½Π°ΡΠΈΠ½Π°Π΅ΡΡΡ Ρ 1500 ΠΠΆΠΎΡΠ»Π΅ΠΉ ΡΠ½Π΅ΡΠ³ΠΈΠΈ (ΡΡΠΎ ΠΏΡΠΎΡΡΠΎ Π²ΡΠ΄ΡΠΌΠ°Π½Π½ΠΎΠ΅ Π·Π½Π°ΡΠ΅Π½ΠΈΠ΅), Π° ΡΡΠ°Π½Π³ΠΈΡΡ Π²ΡΠΏΠΎΠ»Π½ΡΠ΅Ρ 250 ΠΠΆΠΎΡΠ»Π΅ΠΉ ΡΠ°Π±ΠΎΡΡ (F β’ d β’ ΠΊΠΎΡΠΈΠ½ΡΡ ΡΠ³Π»Π° = 1000 Π β’ 0,25 ΠΌ β’ ΠΊΠΎΡΠΈΠ½ΡΡ 0 Π³ΡΠ°Π΄ΡΡΠΎΠ² = 250 ΠΠΆ), ΡΠΎΠ³Π΄Π° ΡΡΠ°Π½Π³Π° Π½Π°Π±Π΅ΡΠ΅Ρ 1750 ΠΠΆΠΎΡΠ»Π΅ΠΉ ΠΌΠ΅Ρ Π°Π½ΠΈΡΠ΅ΡΠΊΠΎΠΉ ΡΠ½Π΅ΡΠ³ΠΈΠΈ. ΠΠΎΠ½Π΅ΡΠ½ΠΎΠ΅ ΠΊΠΎΠ»ΠΈΡΠ΅ΡΡΠ²ΠΎ ΠΌΠ΅Ρ Π°Π½ΠΈΡΠ΅ΡΠΊΠΎΠΉ ΡΠ½Π΅ΡΠ³ΠΈΠΈ (1750 ΠΠΆ) ΡΠ°Π²Π½ΠΎ Π½Π°ΡΠ°Π»ΡΠ½ΠΎΠΌΡ ΠΊΠΎΠ»ΠΈΡΠ΅ΡΡΠ²Ρ ΠΌΠ΅Ρ Π°Π½ΠΈΡΠ΅ΡΠΊΠΎΠΉ ΡΠ½Π΅ΡΠ³ΠΈΠΈ (1500 ΠΠΆ) ΠΏΠ»ΡΡ ΡΠ°Π±ΠΎΡΠ°, ΡΠΎΠ²Π΅ΡΡΠ°Π΅ΠΌΠ°Ρ Π²Π½Π΅ΡΠ½ΠΈΠΌΠΈ ΡΠΈΠ»Π°ΠΌΠΈ (250 ΠΠΆ).
Π’Π΅ΠΏΠ΅ΡΡ ΡΠ°ΡΡΠΌΠΎΡΡΠΈΠΌ Π±Π΅ΠΉΡΠ±ΠΎΠ»ΡΠ½ΠΎΠ³ΠΎ ΠΊΠ΅ΡΡΠ΅ΡΠ°, ΠΊΠΎΡΠΎΡΡΠΉ ΠΏΡΠΈΠΌΠ΅Π½ΡΠ΅Ρ Π½Π°ΠΏΡΠ°Π²Π»Π΅Π½Π½ΡΡ Π²ΠΏΡΠ°Π²ΠΎ ΡΠΈΠ»Ρ (ΡΠΊΠ°ΠΆΠ΅ΠΌ, 6000 Π) ΠΊ Π±Π΅ΠΉΡΠ±ΠΎΠ»ΡΠ½ΠΎΠΌΡ ΠΌΡΡΡ, Π΄Π²ΠΈΠΆΡΡΠ΅ΠΌΡΡΡ Π²Π»Π΅Π²ΠΎ, ΡΡΠΎΠ±Ρ ΠΏΠ΅ΡΠ΅Π²Π΅ΡΡΠΈ Π΅Π³ΠΎ Ρ Π²ΡΡΠΎΠΊΠΎΠΉ ΡΠΊΠΎΡΠΎΡΡΠΈ Π² ΠΈΡΡ ΠΎΠ΄Π½ΠΎΠ΅ ΠΏΠΎΠ»ΠΎΠΆΠ΅Π½ΠΈΠ΅ Π½Π° Π·Π°Π΄Π°Π½Π½ΠΎΠΌ ΡΠ°ΡΡΡΠΎΡΠ½ΠΈΠΈ (ΡΠΊΠ°ΠΆΠ΅ΠΌ, 0,10 ΠΌΠ΅ΡΡΠ°). ΠΠ°ΡΠ°Π»ΡΠ½Π°Ρ ΡΠ½Π΅ΡΠ³ΠΈΡ ΠΏΠ»ΡΡ ΡΠ°Π±ΠΎΡΠ°, ΡΠΎΠ²Π΅ΡΡΠ°Π΅ΠΌΠ°Ρ Π²Π½Π΅ΡΠ½Π΅ΠΉ ΡΠΈΠ»ΠΎΠΉ, ΡΠ°Π²Π½ΡΠ΅ΡΡΡ ΠΊΠΎΠ½Π΅ΡΠ½ΠΎΠΉ ΡΠ½Π΅ΡΠ³ΠΈΠΈ. ΠΡΠ»ΠΈ ΠΌΡΡ Π½Π°ΡΠΈΠ½Π°Π΅ΡΡΡ Ρ 605 ΠΠΆΠΎΡΠ»Π΅ΠΉ ΡΠ½Π΅ΡΠ³ΠΈΠΈ (ΡΡΠΎ ΠΏΡΠΎΡΡΠΎ Π΅ΡΠ΅ ΠΎΠ΄Π½ΠΎ ΠΏΡΠΈΠ΄ΡΠΌΠ°Π½Π½ΠΎΠ΅ Π·Π½Π°ΡΠ΅Π½ΠΈΠ΅), Π° Π»ΠΎΠ²Π΅Ρ Π²ΡΠΏΠΎΠ»Π½ΡΠ΅Ρ -600 ΠΠΆΠΎΡΠ»Π΅ΠΉ ΡΠ°Π±ΠΎΡΡ (F β’ d β’ ΠΊΠΎΡΠΈΠ½ΡΡ ΡΠ³Π»Π° = 6000 Π β’ 0.10 ΠΌ β’ ΠΊΠΎΡΠΈΠ½ΡΡ 180 Π³ΡΠ°Π΄ΡΡΠΎΠ² = -600 ΠΠΆ), ΡΠΎ ΠΌΡΡ Π·Π°ΠΊΠΎΠ½ΡΠΈΡΡΡ Ρ 5 ΠΠΆΠΎΡΠ»ΡΠΌΠΈ ΠΌΠ΅Ρ Π°Π½ΠΈΡΠ΅ΡΠΊΠΎΠΉ ΡΠ½Π΅ΡΠ³ΠΈΠΈ. ΠΠΎΠ½Π΅ΡΠ½Π°Ρ ΡΠ½Π΅ΡΠ³ΠΈΡ (5 ΠΠΆ) ΡΠ°Π²Π½Π° Π½Π°ΡΠ°Π»ΡΠ½ΠΎΠΉ ΡΠ½Π΅ΡΠ³ΠΈΠΈ (605 ΠΠΆ) ΠΏΠ»ΡΡ ΡΠ°Π±ΠΎΡΠ°, ΡΠΎΠ²Π΅ΡΡΠ°Π΅ΠΌΠ°Ρ Π²Π½Π΅ΡΠ½ΠΈΠΌΠΈ ΡΠΈΠ»Π°ΠΌΠΈ (-600 ΠΠΆ).
Π’ΡΠ΅Π½Π°ΠΆΠ΅ΡΠ’Π΅ΠΏΠ΅ΡΡ ΡΠ°ΡΡΠΌΠΎΡΡΠΈΠΌ Π°Π²ΡΠΎΠΌΠΎΠ±ΠΈΠ»Ρ, ΠΊΠΎΡΠΎΡΡΠΉ Π·Π°Π½ΠΎΡΠΈΡ Ρ Π²ΡΡΠΎΠΊΠΎΠΉ ΡΠΊΠΎΡΠΎΡΡΠΈ Π½Π° Π±ΠΎΠ»Π΅Π΅ Π½ΠΈΠ·ΠΊΡΡ. Π‘ΠΈΠ»Π° ΡΡΠ΅Π½ΠΈΡ ΠΌΠ΅ΠΆΠ΄Ρ ΡΠΈΠ½Π°ΠΌΠΈ ΠΈ Π΄ΠΎΡΠΎΠ³ΠΎΠΉ ΠΎΠΊΠ°Π·ΡΠ²Π°Π΅Ρ Π»Π΅Π²ΠΎΠ΅ Π²ΠΎΠ·Π΄Π΅ΠΉΡΡΠ²ΠΈΠ΅ (ΡΠΊΠ°ΠΆΠ΅ΠΌ, 8000 Π) Π½Π° Π΄Π²ΠΈΠΆΡΡΠΈΠΉΡΡ Π²ΠΏΡΠ°Π²ΠΎ Π°Π²ΡΠΎΠΌΠΎΠ±ΠΈΠ»Ρ Π½Π° Π·Π°Π΄Π°Π½Π½ΠΎΠΌ ΡΠ°ΡΡΡΠΎΡΠ½ΠΈΠΈ (ΡΠΊΠ°ΠΆΠ΅ΠΌ, 30 ΠΌ).ΠΠ°ΡΠ°Π»ΡΠ½Π°Ρ ΡΠ½Π΅ΡΠ³ΠΈΡ ΠΏΠ»ΡΡ ΡΠ°Π±ΠΎΡΠ°, ΡΠΎΠ²Π΅ΡΡΠ°Π΅ΠΌΠ°Ρ Π²Π½Π΅ΡΠ½Π΅ΠΉ ΡΠΈΠ»ΠΎΠΉ, ΡΠ°Π²Π½ΡΠ΅ΡΡΡ ΠΊΠΎΠ½Π΅ΡΠ½ΠΎΠΉ ΡΠ½Π΅ΡΠ³ΠΈΠΈ. ΠΡΠ»ΠΈ Π°Π²ΡΠΎΠΌΠΎΠ±ΠΈΠ»Ρ Π½Π°ΡΠΈΠ½Π°Π΅ΡΡΡ Ρ 320 000 ΠΠΆΠΎΡΠ»Π΅ΠΉ ΡΠ½Π΅ΡΠ³ΠΈΠΈ (ΡΡΠΎ ΠΏΡΠΎΡΡΠΎ Π΅ΡΠ΅ ΠΎΠ΄Π½ΠΎ ΠΏΡΠΈΠ΄ΡΠΌΠ°Π½Π½ΠΎΠ΅ Π·Π½Π°ΡΠ΅Π½ΠΈΠ΅), Π° ΡΠΈΠ»Π° ΡΡΠ΅Π½ΠΈΡ ΡΠΎΡΡΠ°Π²Π»ΡΠ΅Ρ -240 000 ΠΠΆΠΎΡΠ»Π΅ΠΉ ΡΠ°Π±ΠΎΡΡ (F β’ d β’ ΠΊΠΎΡΠΈΠ½ΡΡ ΡΠ³Π»Π° = 8000 Π β’ 30 ΠΌ β’ ΠΊΠΎΡΠΈΠ½ΡΡ 180 Π³ΡΠ°Π΄ΡΡΠΎΠ² = -240 000 ΠΠΆ), ΡΠΎ ΠΌΠ°ΡΠΈΠ½Π° ΡΠΈΠ½ΠΈΡΠΈΡΡΠ΅Ρ Ρ 80 000 ΠΠΆΠΎΡΠ»Π΅ΠΉ ΠΌΠ΅Ρ Π°Π½ΠΈΡΠ΅ΡΠΊΠΎΠΉ ΡΠ½Π΅ΡΠ³ΠΈΠΈ. ΠΠΎΠ½Π΅ΡΠ½Π°Ρ ΡΠ½Π΅ΡΠ³ΠΈΡ (80 000 ΠΠΆ) ΡΠ°Π²Π½Π° Π½Π°ΡΠ°Π»ΡΠ½ΠΎΠΉ ΡΠ½Π΅ΡΠ³ΠΈΠΈ (320 000 ΠΠΆ) ΠΏΠ»ΡΡ ΡΠ°Π±ΠΎΡΠ°, ΡΠΎΠ²Π΅ΡΡΠ°Π΅ΠΌΠ°Ρ Π²Π½Π΅ΡΠ½ΠΈΠΌΠΈ ΡΠΈΠ»Π°ΠΌΠΈ (-240 000 ΠΠΆ).
ΠΡΡΡΠ³ΠΈΠ²Π°Π½ΠΈΠ΅ ΡΠ΅Π»Π΅ΠΆΠΊΠΈ ΠΏΠΎ Π½Π°ΠΊΠ»ΠΎΠ½Π½ΠΎΠΉ ΠΏΠΎΠ²Π΅ΡΡ Π½ΠΎΡΡΠΈ Ρ ΠΏΠΎΡΡΠΎΡΠ½Π½ΠΎΠΉ ΡΠΊΠΎΡΠΎΡΡΡΡΠ ΠΊΠ°ΡΠ΅ΡΡΠ²Π΅ ΠΏΠΎΡΠ»Π΅Π΄Π½Π΅Π³ΠΎ ΠΏΡΠΈΠΌΠ΅ΡΠ° ΡΠ°ΡΡΠΌΠΎΡΡΠΈΠΌ ΡΠ΅Π»Π΅ΠΆΠΊΡ, ΠΊΠΎΡΠΎΡΡΡ ΡΡΡΠ΄Π΅Π½Ρ ΠΏΠΎΠ΄Π½ΠΈΠΌΠ°Π΅Ρ ΠΏΠΎ Π½Π°ΠΊΠ»ΠΎΠ½Π½ΠΎΠΉ ΠΏΠ»ΠΎΡΠΊΠΎΡΡΠΈ Ρ ΠΏΠΎΡΡΠΎΡΠ½Π½ΠΎΠΉ ΡΠΊΠΎΡΠΎΡΡΡΡ Π²ΠΎ Π²ΡΠ΅ΠΌΡ Π»Π°Π±ΠΎΡΠ°ΡΠΎΡΠ½ΠΎΠΉ ΡΠ°Π±ΠΎΡΡ ΠΏΠΎ ΡΠΈΠ·ΠΈΠΊΠ΅.ΠΡΠΈΠ»ΠΎΠΆΠ΅Π½Π½Π°Ρ ΠΊ ΡΠ΅Π»Π΅ΠΆΠΊΠ΅ ΡΠΈΠ»Π° (ΡΠΊΠ°ΠΆΠ΅ΠΌ, 18 Π) Π½Π°ΠΏΡΠ°Π²Π»Π΅Π½Π° ββΠΏΠ°ΡΠ°Π»Π»Π΅Π»ΡΠ½ΠΎ ΡΠΊΠ»ΠΎΠ½Ρ, Π·Π°ΡΡΠ°Π²Π»ΡΡ ΡΠ΅Π»Π΅ΠΆΠΊΡ ΡΠΌΠ΅ΡΠ°ΡΡΡΡ ΠΏΠ°ΡΠ°Π»Π»Π΅Π»ΡΠ½ΠΎ ΡΠΊΠ»ΠΎΠ½Ρ ΠΏΡΠΈ Π·Π°Π΄Π°Π½Π½ΠΎΠΌ ΡΠΌΠ΅ΡΠ΅Π½ΠΈΠΈ (ΡΠΊΠ°ΠΆΠ΅ΠΌ, 0,7 ΠΌ). ΠΠ°ΡΠ°Π»ΡΠ½Π°Ρ ΡΠ½Π΅ΡΠ³ΠΈΡ ΠΏΠ»ΡΡ ΡΠ°Π±ΠΎΡΠ°, ΡΠΎΠ²Π΅ΡΡΠ°Π΅ΠΌΠ°Ρ Π²Π½Π΅ΡΠ½Π΅ΠΉ ΡΠΈΠ»ΠΎΠΉ, ΡΠ°Π²Π½ΡΠ΅ΡΡΡ ΠΊΠΎΠ½Π΅ΡΠ½ΠΎΠΉ ΡΠ½Π΅ΡΠ³ΠΈΠΈ. ΠΡΠ»ΠΈ ΡΠ΅Π»Π΅ΠΆΠΊΠ° Π½Π°ΡΠΈΠ½Π°Π΅ΡΡΡ Ρ 0 ΠΠΆΠΎΡΠ»Π΅ΠΉ ΡΠ½Π΅ΡΠ³ΠΈΠΈ (ΡΡΠΎ ΠΏΡΠΎΡΡΠΎ Π΅ΡΠ΅ ΠΎΠ΄Π½ΠΎ ΠΏΡΠΈΠ΄ΡΠΌΠ°Π½Π½ΠΎΠ΅ Π·Π½Π°ΡΠ΅Π½ΠΈΠ΅), Π° ΡΡΠ΅Π½ΠΈΠΊ Π²ΡΠΏΠΎΠ»Π½ΡΠ΅Ρ 12,6 ΠΠΆΠΎΡΠ»Π΅ΠΉ ΡΠ°Π±ΠΎΡΡ (F β’ d β’ ΠΊΠΎΡΠΈΠ½ΡΡ ΡΠ³Π»Π° = 18 Π β’ 0,7 ΠΌ β’ ΠΊΠΎΡΠΈΠ½ΡΡ 0 Π³ΡΠ°Π΄ΡΡΠΎΠ² = 12,6 ΠΠΆ), ΡΠΎΠ³Π΄Π° ΡΠ΅Π»Π΅ΠΆΠΊΠ° Π·Π°ΠΊΠΎΠ½ΡΠΈΡΡΡ Ρ 12,6 ΠΠΆΠΎΡΠ»ΡΠΌΠΈ ΠΌΠ΅Ρ Π°Π½ΠΈΡΠ΅ΡΠΊΠΎΠΉ ΡΠ½Π΅ΡΠ³ΠΈΠΈ.ΠΠΎΠ½Π΅ΡΠ½Π°Ρ ΡΠ½Π΅ΡΠ³ΠΈΡ (12,6 ΠΠΆ) ΡΠ°Π²Π½Π° Π½Π°ΡΠ°Π»ΡΠ½ΠΎΠΉ ΡΠ½Π΅ΡΠ³ΠΈΠΈ (0 ΠΠΆ) ΠΏΠ»ΡΡ ΡΠ°Π±ΠΎΡΠ°, ΡΠΎΠ²Π΅ΡΡΠ°Π΅ΠΌΠ°Ρ Π²Π½Π΅ΡΠ½ΠΈΠΌΠΈ ΡΠΈΠ»Π°ΠΌΠΈ (12,6 ΠΠΆ).
Π ΠΊΠ°ΠΆΠ΄ΠΎΠΌ ΠΈΠ· ΡΡΠΈΡ ΠΏΡΠΈΠΌΠ΅ΡΠΎΠ² Π²Π½Π΅ΡΠ½ΡΡ ΡΠΈΠ»Π° Π΄Π΅ΠΉΡΡΠ²ΡΠ΅Ρ Π½Π° ΠΎΠ±ΡΠ΅ΠΊΡ Π½Π° Π·Π°Π΄Π°Π½Π½ΠΎΠΌ ΡΠ°ΡΡΡΠΎΡΠ½ΠΈΠΈ, ΠΈΠ·ΠΌΠ΅Π½ΡΡ ΠΎΠ±ΡΡΡ ΠΌΠ΅Ρ Π°Π½ΠΈΡΠ΅ΡΠΊΡΡ ΡΠ½Π΅ΡΠ³ΠΈΡ ΠΎΠ±ΡΠ΅ΠΊΡΠ°. ΠΡΠ»ΠΈ Π²Π½Π΅ΡΠ½ΡΡ ΡΠΈΠ»Π° (ΠΈΠ»ΠΈ Π½Π΅ΠΊΠΎΠ½ΡΠ΅ΡΠ²Π°ΡΠΈΠ²Π½Π°Ρ ΡΠΈΠ»Π°) ΡΠΎΠ²Π΅ΡΡΠ°Π΅Ρ ΠΏΠΎΠ»ΠΎΠΆΠΈΡΠ΅Π»ΡΠ½ΡΡ ΡΠ°Π±ΠΎΡΡ, ΡΠΎ ΠΎΠ±ΡΠ΅ΠΊΡ ΠΏΠΎΠ»ΡΡΠ°Π΅Ρ ΠΌΠ΅Ρ Π°Π½ΠΈΡΠ΅ΡΠΊΡΡ ΡΠ½Π΅ΡΠ³ΠΈΡ. ΠΠΎΠ»ΠΈΡΠ΅ΡΡΠ²ΠΎ ΠΏΠΎΠ»ΡΡΠ΅Π½Π½ΠΎΠΉ ΡΠ½Π΅ΡΠ³ΠΈΠΈ ΡΠ°Π²Π½ΠΎ ΡΠ°Π±ΠΎΡΠ΅, ΠΏΡΠΎΠ΄Π΅Π»Π°Π½Π½ΠΎΠΉ Π½Π°Π΄ ΠΎΠ±ΡΠ΅ΠΊΡΠΎΠΌ.ΠΡΠ»ΠΈ Π²Π½Π΅ΡΠ½ΡΡ ΡΠΈΠ»Π° (ΠΈΠ»ΠΈ Π½Π΅ΠΊΠΎΠ½ΡΠ΅ΡΠ²Π°ΡΠΈΠ²Π½Π°Ρ ΡΠΈΠ»Π°) ΡΠΎΠ²Π΅ΡΡΠ°Π΅Ρ ΠΎΡΡΠΈΡΠ°ΡΠ΅Π»ΡΠ½ΡΡ ΡΠ°Π±ΠΎΡΡ, ΡΠΎ ΠΎΠ±ΡΠ΅ΠΊΡ ΡΠ΅ΡΡΠ΅Ρ ΠΌΠ΅Ρ Π°Π½ΠΈΡΠ΅ΡΠΊΡΡ ΡΠ½Π΅ΡΠ³ΠΈΡ. ΠΠΎΠ»ΠΈΡΠ΅ΡΡΠ²ΠΎ ΠΏΠΎΡΠ΅ΡΡΠ½Π½ΠΎΠΉ ΠΌΠ΅Ρ Π°Π½ΠΈΡΠ΅ΡΠΊΠΎΠΉ ΡΠ½Π΅ΡΠ³ΠΈΠΈ ΡΠ°Π²Π½ΠΎ ΡΠ°Π±ΠΎΡΠ΅, ΠΏΡΠΎΠ΄Π΅Π»Π°Π½Π½ΠΎΠΉ Π½Π°Π΄ ΠΎΠ±ΡΠ΅ΠΊΡΠΎΠΌ. Π ΠΎΠ±ΡΠ΅ΠΌ, ΠΏΠΎΠ»Π½Π°Ρ ΠΌΠ΅Ρ Π°Π½ΠΈΡΠ΅ΡΠΊΠ°Ρ ΡΠ½Π΅ΡΠ³ΠΈΡ ΠΎΠ±ΡΠ΅ΠΊΡΠ° Π² Π½Π°ΡΠ°Π»ΡΠ½ΠΎΠΌ ΡΠΎΡΡΠΎΡΠ½ΠΈΠΈ (Π΄ΠΎ Π²ΡΠΏΠΎΠ»Π½Π΅Π½ΠΈΡ ΡΠ°Π±ΠΎΡΡ) ΠΏΠ»ΡΡ ΠΏΡΠΎΠ΄Π΅Π»Π°Π½Π½Π°Ρ ΡΠ°Π±ΠΎΡΠ° ΡΠ°Π²Π½ΡΠ΅ΡΡΡ ΠΏΠΎΠ»Π½ΠΎΠΉ ΠΌΠ΅Ρ Π°Π½ΠΈΡΠ΅ΡΠΊΠΎΠΉ ΡΠ½Π΅ΡΠ³ΠΈΠΈ Π² ΠΊΠΎΠ½Π΅ΡΠ½ΠΎΠΌ ΡΠΎΡΡΠΎΡΠ½ΠΈΠΈ.
ΠΠ°ΡΠ° ΠΎΡΠ΅ΡΠ΅Π΄Ρ ΠΏΠΎΠΏΡΠΎΠ±ΠΎΠ²Π°ΡΡΠΡΠ΅Π΄ΡΡΠ°Π²Π»Π΅Π½Π½ΠΎΠ΅ Π·Π΄Π΅ΡΡ ΡΠΎΠΎΡΠ½ΠΎΡΠ΅Π½ΠΈΠ΅ ΡΠ°Π±ΠΎΡΡ ΠΈ ΡΠ½Π΅ΡΠ³ΠΈΠΈ ΠΌΠΎΠΆΠ½ΠΎ ΠΊΠΎΠΌΠ±ΠΈΠ½ΠΈΡΠΎΠ²Π°ΡΡ Ρ Π²ΡΡΠ°ΠΆΠ΅Π½ΠΈΡΠΌΠΈ Π΄Π»Ρ ΠΏΠΎΡΠ΅Π½ΡΠΈΠ°Π»ΡΠ½ΠΎΠΉ ΠΈ ΠΊΠΈΠ½Π΅ΡΠΈΡΠ΅ΡΠΊΠΎΠΉ ΡΠ½Π΅ΡΠ³ΠΈΠΈ Π΄Π»Ρ ΡΠ΅ΡΠ΅Π½ΠΈΡ ΡΠ»ΠΎΠΆΠ½ΡΡ Π·Π°Π΄Π°Ρ.ΠΠ°ΠΊ ΠΈ Π²ΡΠ΅ ΡΠ»ΠΎΠΆΠ½ΡΠ΅ Π·Π°Π΄Π°ΡΠΈ, ΠΈΡ ΠΌΠΎΠΆΠ½ΠΎ ΡΠ΄Π΅Π»Π°ΡΡ ΠΏΡΠΎΡΡΡΠΌΠΈ , Π΅ΡΠ»ΠΈ ΡΠ½Π°ΡΠ°Π»Π° ΠΏΡΠΎΠ°Π½Π°Π»ΠΈΠ·ΠΈΡΠΎΠ²Π°ΡΡ ΠΈΡ Ρ ΠΊΠΎΠ½ΡΠ΅ΠΏΡΡΠ°Π»ΡΠ½ΠΎΠΉ ΡΠΎΡΠΊΠΈ Π·ΡΠ΅Π½ΠΈΡ ΠΈ ΡΠ°Π·Π±ΠΈΡΡ Π½Π° ΡΠ°ΡΡΠΈ. ΠΡΡΠ³ΠΈΠΌΠΈ ΡΠ»ΠΎΠ²Π°ΠΌΠΈ, ΠΈΠ·Π±Π΅Π³Π°ΠΉΡΠ΅ ΡΠ°ΡΡΠΌΠ°ΡΡΠΈΠ²Π°ΡΡ ΠΏΡΠΎΠ±Π»Π΅ΠΌΡ ΡΠ°Π±ΠΎΡΠ΅ΠΉ ΡΠ½Π΅ΡΠ³ΠΈΠΈ ΠΊΠ°ΠΊ ΠΏΡΠΎΡΡΡΠ΅ ΠΌΠ°ΡΠ΅ΠΌΠ°ΡΠΈΡΠ΅ΡΠΊΠΈΠ΅ ΠΏΡΠΎΠ±Π»Π΅ΠΌΡ. Π‘ΠΊΠΎΡΠ΅Π΅ Π·Π°ΠΉΠΌΠΈΡΠ΅ΡΡ ΡΠ²ΠΎΠΈΠΌ ΡΠΌΠΎΠΌ ΠΈ ΠΈΡΠΏΠΎΠ»ΡΠ·ΡΠΉΡΠ΅ ΡΠ²ΠΎΠ΅ ΠΏΠΎΠ½ΠΈΠΌΠ°Π½ΠΈΠ΅ ΡΠΈΠ·ΠΈΡΠ΅ΡΠΊΠΈΡ ΠΊΠΎΠ½ΡΠ΅ΠΏΡΠΈΠΉ, ΡΡΠΎΠ±Ρ ΠΏΠΎΠ΄ΠΎΠΉΡΠΈ ΠΊ ΠΏΡΠΎΠ±Π»Π΅ΠΌΠ΅. Π‘ΠΏΡΠΎΡΠΈΡΠ΅: Β«ΠΠ°ΠΊΠΈΠ΅ ΡΠΎΡΠΌΡ ΡΠ½Π΅ΡΠ³ΠΈΠΈ ΠΏΡΠΈΡΡΡΡΡΠ²ΡΡΡ ΠΈΠ·Π½Π°ΡΠ°Π»ΡΠ½ΠΎ ΠΈ Π² ΠΊΠΎΠ½Π΅ΡΠ½ΠΎΠΌ ΠΈΡΠΎΠ³Π΅?Β» ΠΈ Β«ΠΡΠ½ΠΎΠ²ΡΠ²Π°ΡΡΡ Π½Π° ΡΡΠ°Π²Π½Π΅Π½ΠΈΡΡ , ΠΊΠ°ΠΊΠΎΠ΅ ΠΊΠΎΠ»ΠΈΡΠ΅ΡΡΠ²ΠΎ ΠΊΠ°ΠΆΠ΄ΠΎΠΉ ΡΠΎΡΠΌΡ ΡΠ½Π΅ΡΠ³ΠΈΠΈ ΠΏΡΠΈΡΡΡΡΡΠ²ΡΠ΅Ρ ΠΈΠ·Π½Π°ΡΠ°Π»ΡΠ½ΠΎ ΠΈ Π² ΠΊΠΎΠ½Π΅ΡΠ½ΠΎΠΌ ΠΈΡΠΎΠ³Π΅?Β» ΠΈ Β«Π Π°Π±ΠΎΡΠ°ΡΡ Π»ΠΈ Π²Π½Π΅ΡΠ½ΠΈΠ΅ ΡΠΈΠ»Ρ?Β» ΠΡΠΏΠΎΠ»ΡΠ·ΡΠΉΡΠ΅ ΡΡΠΎΡ ΠΏΠΎΠ΄Ρ ΠΎΠ΄ Π΄Π»Ρ ΡΠ΅ΡΠ΅Π½ΠΈΡ ΡΠ»Π΅Π΄ΡΡΡΠΈΡ ΡΡΠ΅Ρ ΠΏΡΠ°ΠΊΡΠΈΡΠ΅ΡΠΊΠΈΡ Π·Π°Π΄Π°Ρ.ΠΠΎΡΠ»Π΅ ΡΠ΅ΡΠ΅Π½ΠΈΡ Π½Π°ΠΆΠΌΠΈΡΠ΅ ΠΊΠ½ΠΎΠΏΠΊΡ, ΡΡΠΎΠ±Ρ ΠΏΡΠΎΡΠΌΠΎΡΡΠ΅ΡΡ ΠΎΡΠ²Π΅ΡΡ.
Π₯ΠΎΡΠΈΠΌ ΠΏΡΠ΅Π΄Π»ΠΎΠΆΠΈΡΡ … ΠΠ½ΠΎΠ³Π΄Π° ΠΏΡΠΎΡΡΠΎ ΠΏΡΠΎΡΠΈΡΠ°ΡΡ ΠΎΠ± ΡΡΠΎΠΌ Π½Π΅Π΄ΠΎΡΡΠ°ΡΠΎΡΠ½ΠΎ. ΠΡ Π΄ΠΎΠ»ΠΆΠ½Ρ Ρ Π½ΠΈΠΌ Π²Π·Π°ΠΈΠΌΠΎΠ΄Π΅ΠΉΡΡΠ²ΠΎΠ²Π°ΡΡ! Π ΡΡΠΎ ΠΈΠΌΠ΅Π½Π½ΠΎ ΡΠΎ, ΡΡΠΎ Π²Ρ Π΄Π΅Π»Π°Π΅ΡΠ΅, ΠΊΠΎΠ³Π΄Π° ΠΈΡΠΏΠΎΠ»ΡΠ·ΡΠ΅ΡΠ΅ ΠΎΠ΄Π½ΠΎ ΠΈΠ· ΠΈΠ½ΡΠ΅ΡΠ°ΠΊΡΠΈΠ²Π½ΡΡ ΠΌΠ°ΡΠ΅ΡΠΈΠ°Π»ΠΎΠ² The Physics Classroom. ΠΡ Ρ ΠΎΡΠ΅Π»ΠΈ Π±Ρ ΠΏΡΠ΅Π΄Π»ΠΎΠΆΠΈΡΡ Π²Π°ΠΌ ΡΠΎΠ²ΠΌΠ΅ΡΡΠΈΡΡ ΡΡΠ΅Π½ΠΈΠ΅ ΡΡΠΎΠΉ ΡΡΡΠ°Π½ΠΈΡΡ Ρ ΠΈΡΠΏΠΎΠ»ΡΠ·ΠΎΠ²Π°Π½ΠΈΠ΅ΠΌ Π½Π°ΡΠ΅Π³ΠΎ ΠΈΠ½ΡΠ΅ΡΠ°ΠΊΡΠΈΠ²Π½ΠΎΠ³ΠΎ ΠΈΠ½ΡΠ΅ΡΠ°ΠΊΡΠΈΠ²Π½ΠΎΠ³ΠΎ ΠΏΡΠΈΠ»ΠΎΠΆΠ΅Π½ΠΈΡ Β«ΠΡΠΎ Π²ΡΠ΅ Π² Π³ΠΎΡΡΒ» ΠΈ / ΠΈΠ»ΠΈ ΠΈΠ½ΡΠ΅ΡΠ°ΠΊΡΠΈΠ²Π½ΠΎΠ³ΠΎ ΠΈΠ½ΡΠ΅ΡΠ°ΠΊΡΠΈΠ²Π½ΠΎΠ³ΠΎ ΠΈΠ½ΡΠ΅ΡΡΠ΅ΠΉΡΠ° Β«Π’ΠΎΡΠΌΠΎΠ·Π½ΠΎΠΉ ΠΏΡΡΡΒ».ΠΠ±Π° ΠΈΠ½ΡΠ΅ΡΠ°ΠΊΡΠΈΠ²Π½ΡΡ ΡΠ»Π΅ΠΌΠ΅Π½ΡΠ° ΠΌΠΎΠΆΠ½ΠΎ Π½Π°ΠΉΡΠΈ Π² ΡΠ°Π·Π΄Π΅Π»Π΅ Β«ΠΠ½ΡΠ΅ΡΠ°ΠΊΡΠΈΠ²Π½Π°Ρ ΡΠΈΠ·ΠΈΠΊΠ°Β» Π½Π° Π½Π°ΡΠ΅ΠΌ Π²Π΅Π±-ΡΠ°ΠΉΡΠ΅, ΠΈ ΠΎΠ½ΠΈ ΠΏΡΠ΅Π΄ΠΎΡΡΠ°Π²Π»ΡΡΡ ΠΈΠ½ΡΠ΅ΡΠ°ΠΊΡΠΈΠ²Π½ΡΡ Π²ΠΎΠ·ΠΌΠΎΠΆΠ½ΠΎΡΡΡ ΠΈΠ·ΡΡΠΈΡΡ Π·Π½Π°ΡΠ΅Π½ΠΈΠ΅ Π²Π·Π°ΠΈΠΌΠΎΡΠ²ΡΠ·ΠΈ ΠΌΠ΅ΠΆΠ΄Ρ ΡΠ°Π±ΠΎΡΠΎΠΉ ΠΈ ΡΠ½Π΅ΡΠ³ΠΈΠ΅ΠΉ.
ΠΠ²ΡΠΎΠΌΠΎΠ±ΠΈΠ»Ρ ΠΌΠ°ΡΡΠΎΠΉ 1000 ΠΊΠ³, Π΄Π²ΠΈΠΆΡΡΠΈΠΉΡΡ ΡΠΎ ΡΠΊΠΎΡΠΎΡΡΡΡ 25 ΠΌ / Ρ, ΠΎΡΡΠ°Π½Π°Π²Π»ΠΈΠ²Π°Π΅ΡΡΡ Π² ΡΠ°Π»Π°Π·ΠΊΠ°Ρ . ΠΠ²ΡΠΎΠΌΠΎΠ±ΠΈΠ»Ρ ΠΈΡΠΏΡΡΡΠ²Π°Π΅Ρ ΡΠΈΠ»Ρ ΡΡΠ΅Π½ΠΈΡ 8000 Π. ΠΠΏΡΠ΅Π΄Π΅Π»ΠΈΡΠ΅ ΡΠΎΡΠΌΠΎΠ·Π½ΠΎΠΉ ΠΏΡΡΡ Π°Π²ΡΠΎΠΌΠΎΠ±ΠΈΠ»Ρ.
ΠΡΠ°ΠΊΡΠΈΡΠ΅ΡΠΊΠ°Ρ Π·Π°Π΄Π°ΡΠ° β 2
Π ΠΊΠΎΠ½ΡΠ΅ ΠΏΠΎΠ΅Π·Π΄ΠΊΠΈ Π½Π° Π°ΠΌΠ΅ΡΠΈΠΊΠ°Π½ΡΠΊΠΈΡ Π³ΠΎΡΠΊΠ°Ρ “Π£Π΄Π°ΡΠ½Π°Ρ Π²ΠΎΠ»Π½Π°” 6000-ΠΊΠΈΠ»ΠΎΠ³ΡΠ°ΠΌΠΌΠΎΠ²ΡΠΉ ΡΠΎΡΡΠ°Π² Π²Π°Π³ΠΎΠ½ΠΎΠ² (Π²ΠΊΠ»ΡΡΠ°Ρ ΠΏΠ°ΡΡΠ°ΠΆΠΈΡΠΎΠ²) Π·Π°ΠΌΠ΅Π΄Π»ΡΠ΅ΡΡΡ ΡΠΎ ΡΠΊΠΎΡΠΎΡΡΠΈ 20 ΠΌ / Ρ Π΄ΠΎ ΡΠΊΠΎΡΠΎΡΡΠΈ 5 ΠΌ / Ρ Π½Π° ΡΠ°ΡΡΡΠΎΡΠ½ΠΈΠΈ 20 ΠΌΠ΅ΡΡΠΎΠ².ΠΠΏΡΠ΅Π΄Π΅Π»ΠΈΡΠ΅ ΡΠΎΡΠΌΠΎΠ·Π½ΠΎΠ΅ ΡΡΠΈΠ»ΠΈΠ΅, Π½Π΅ΠΎΠ±Ρ ΠΎΠ΄ΠΈΠΌΠΎΠ΅ Π΄Π»Ρ Π·Π°ΠΌΠ΅Π΄Π»Π΅Π½ΠΈΡ ΠΏΠΎΠ΅Π·Π΄Π° Π½Π° ΡΡΡ Π²Π΅Π»ΠΈΡΠΈΠ½Ρ.
ΠΡΠ°ΠΊΡΠΈΡΠ΅ΡΠΊΠ°Ρ Π·Π°Π΄Π°ΡΠ° β 3
Π’Π΅Π»Π΅ΠΆΠΊΠ° Ρ ΠΏΡΠΎΠ΄ΡΠΊΡΠ°ΠΌΠΈ ΡΡΠΎΠΈΡ Π½Π° Π²Π΅ΡΡΠΈΠ½Π΅ Ρ ΠΎΠ»ΠΌΠ° Π²ΡΡΠΎΡΠΎΠΉ 2,0 ΠΌ. Π’Π΅Π»Π΅ΠΆΠΊΠ° Π½Π°ΡΠΈΠ½Π°Π΅Ρ ΠΊΠ°ΡΠΈΡΡΡΡ, ΠΏΠΎΠΊΠ° Π½Π΅ Π½Π°ΡΠΊΠ½Π΅ΡΡΡ Π½Π° ΠΏΠ΅Π½Ρ Ρ ΠΏΠΎΠ΄Π½ΠΎΠΆΠΈΡ Ρ ΠΎΠ»ΠΌΠ°. ΠΡΠΈ ΡΠ΄Π°ΡΠ΅ Π±Π°Π½ΠΊΠ° ΠΏΠ΅ΡΡΠΈΠΊΠΎΠ² ΠΌΠ°ΡΡΠΎΠΉ 0,25 ΠΊΠ³ Π²ΡΠ»Π΅ΡΠ°Π΅Ρ ΠΈΠ· ΡΠ΅Π»Π΅ΠΆΠΊΠΈ Π³ΠΎΡΠΈΠ·ΠΎΠ½ΡΠ°Π»ΡΠ½ΠΎ ΠΈ ΡΠ΄Π°ΡΡΠ΅ΡΡΡ ΠΎ ΠΏΡΠΈΠΏΠ°ΡΠΊΠΎΠ²Π°Π½Π½ΡΠΉ Π°Π²ΡΠΎΠΌΠΎΠ±ΠΈΠ»Ρ ΡΠΎ ΡΡΠ΅Π΄Π½Π΅ΠΉ ΡΠΈΠ»ΠΎΠΉ 500 Π.ΠΠ°ΡΠΊΠΎΠ»ΡΠΊΠΎ Π³Π»ΡΠ±ΠΎΠΊΠ° Π²ΠΌΡΡΠΈΠ½Π° Π² Π°Π²ΡΠΎΠΌΠΎΠ±ΠΈΠ»Π΅ (Ρ.Π΅. Π½Π° ΠΊΠ°ΠΊΠΎΠΌ ΡΠ°ΡΡΡΠΎΡΠ½ΠΈΠΈ ΡΠΈΠ»Π° 500 Π Π΄Π΅ΠΉΡΡΠ²ΡΠ΅Ρ Π½Π° Π±Π°Π½ΠΊΡ Ρ ΠΏΠ΅ΡΡΠΈΠΊΠ°ΠΌΠΈ, ΠΏΡΠ΅ΠΆΠ΄Π΅ ΡΠ΅ΠΌ ΠΎΠ½Π° ΠΎΡΡΠ°Π½ΠΎΠ²ΠΈΡΡΡ)?
ΠΡΠ΅ ΡΡΠΈ Π²ΡΡΠ΅ΡΠΏΠΎΠΌΡΠ½ΡΡΡΠ΅ ΠΏΡΠΎΠ±Π»Π΅ΠΌΡ ΠΈΠΌΠ΅ΡΡ ΠΎΠ΄Π½Ρ ΠΎΠ±ΡΡΡ ΡΠ΅ΡΡΡ: ΡΡΡΠ΅ΡΡΠ²ΡΠ΅Ρ ΡΠΈΠ»Π°, Π΄Π΅ΠΉΡΡΠ²ΡΡΡΠ°Ρ Π½Π° ΡΠ°ΡΡΡΠΎΡΠ½ΠΈΠΈ, ΡΡΠΎΠ±Ρ ΠΎΡΠ²ΠΎΠ΄ΠΈΡΡ ΠΌΠ΅Ρ Π°Π½ΠΈΡΠ΅ΡΠΊΡΡ ΡΠ½Π΅ΡΠ³ΠΈΡ ΠΎΡ ΠΎΠ±ΡΠ΅ΠΊΡΠ°.2) ΠΎΠ±ΡΠ΅ΠΊΡΠ° ΡΠ²ΡΠ·Π°Π½Π° Ρ ΠΊΠΈΠ½Π΅ΡΠΈΡΠ΅ΡΠΊΠΎΠΉ ΡΠ½Π΅ΡΠ³ΠΈΠ΅ΠΉ, ΡΠ°ΠΊΠΆΠ΅ Π΄ΠΎΠ»ΠΆΠ½Π° Π±ΡΡΡ ΠΏΡΡΠΌΠ°Ρ ΡΠ²ΡΠ·Ρ ΠΌΠ΅ΠΆΠ΄Ρ ΡΠΎΡΠΌΠΎΠ·Π½ΡΠΌ ΠΏΡΡΠ΅ΠΌ ΠΈ ΠΊΠ²Π°Π΄ΡΠ°ΡΠΎΠΌ ΡΠΊΠΎΡΠΎΡΡΠΈ. ΠΠ±ΡΠ°ΡΠΈΡΠ΅ Π²Π½ΠΈΠΌΠ°Π½ΠΈΠ΅ Π½Π° Π²ΡΠ²ΠΎΠ΄ Π½ΠΈΠΆΠ΅.
TME i + W Π΄ΠΎΠ± = TME fKE i + W ext = 0 ΠΠΆ
0,5 β’ m β’ v i 2 + F β’ d β’ cos (Theta) = 0 ΠΠΆ
0,5 β’ ΠΌ β’ v i 2 = F β’ d
v i 2 d
ΠΡΡΠ΅ΠΏΡΠΈΠ²Π΅Π΄Π΅Π½Π½ΠΎΠ΅ ΡΡΠ°Π²Π½Π΅Π½ΠΈΠ΅ ΠΏΠΎΠΊΠ°Π·ΡΠ²Π°Π΅Ρ, ΡΡΠΎ ΡΠΎΡΠΌΠΎΠ·Π½ΠΎΠΉ ΠΏΡΡΡ Π·Π°Π²ΠΈΡΠΈΡ ΠΎΡ ΠΊΠ²Π°Π΄ΡΠ°ΡΠ° ΡΠΊΠΎΡΠΎΡΡΠΈ .ΠΡΠΎ ΠΎΠ·Π½Π°ΡΠ°Π΅Ρ, ΡΡΠΎ Π΄Π²ΡΠΊΡΠ°ΡΠ½ΠΎΠ΅ ΡΠ²Π΅Π»ΠΈΡΠ΅Π½ΠΈΠ΅ ΡΠΊΠΎΡΠΎΡΡΠΈ ΠΏΡΠΈΠ²Π΅Π΄Π΅Ρ ΠΊ ΡΠ΅ΡΡΡΠ΅Ρ ΠΊΡΠ°ΡΠ½ΠΎΠΌΡ (Π΄Π²Π° Π² ΠΊΠ²Π°Π΄ΡΠ°ΡΠ΅) ΡΠ²Π΅Π»ΠΈΡΠ΅Π½ΠΈΡ ΡΠΎΡΠΌΠΎΠ·Π½ΠΎΠ³ΠΎ ΠΏΡΡΠΈ. Π’ΡΠ΅Ρ ΠΊΡΠ°ΡΠ½ΠΎΠ΅ ΡΠ²Π΅Π»ΠΈΡΠ΅Π½ΠΈΠ΅ ΡΠΊΠΎΡΠΎΡΡΠΈ ΠΏΡΠΈΠ²Π΅Π΄Π΅Ρ ΠΊ Π΄Π΅Π²ΡΡΠΈΠΊΡΠ°ΡΠ½ΠΎΠΌΡ (ΡΡΠ΅Ρ ΠΊΡΠ°ΡΠ½ΠΎΠΌΡ) ΡΠ²Π΅Π»ΠΈΡΠ΅Π½ΠΈΡ ΡΠΎΡΠΌΠΎΠ·Π½ΠΎΠ³ΠΎ ΠΏΡΡΠΈ. Π ΡΠ΅ΡΡΡΠ΅Ρ ΠΊΡΠ°ΡΠ½ΠΎΠ΅ ΡΠ²Π΅Π»ΠΈΡΠ΅Π½ΠΈΠ΅ ΡΠΊΠΎΡΠΎΡΡΠΈ ΠΏΡΠΈΠ²Π΅Π΄Π΅Ρ ΠΊ ΡΠ΅ΡΡΠ½Π°Π΄ΡΠ°ΡΠΈΠΊΡΠ°ΡΠ½ΠΎΠΌΡ (ΡΠ΅ΡΡΡΠ΅ Π² ΠΊΠ²Π°Π΄ΡΠ°ΡΡ) ΡΠ²Π΅Π»ΠΈΡΠ΅Π½ΠΈΡ ΡΠΎΡΠΌΠΎΠ·Π½ΠΎΠ³ΠΎ ΠΏΡΡΠΈ. ΠΡΠΎ Π΅ΡΠ΅ ΠΎΠ΄ΠΈΠ½ ΠΏΡΠΈΠΌΠ΅Ρ, Π² ΠΊΠΎΡΠΎΡΠΎΠΌ ΡΡΠ°Π²Π½Π΅Π½ΠΈΠ΅ ΡΡΠ°Π½ΠΎΠ²ΠΈΡΡΡ Π±ΠΎΠ»ΡΡΠ΅, ΡΠ΅ΠΌ ΠΏΡΠΎΡΡΠΎ Π°Π»Π³Π΅Π±ΡΠ°ΠΈΡΠ΅ΡΠΊΠΈΠΌ ΡΠ΅ΡΠ΅ΠΏΡΠΎΠΌ ΡΠ΅ΡΠ΅Π½ΠΈΡ ΠΏΡΠΎΠ±Π»Π΅ΠΌ. Π£ΡΠ°Π²Π½Π΅Π½ΠΈΡ ΡΠ°ΠΊΠΆΠ΅ ΠΌΠΎΠ³ΡΡ Π±ΡΡΡ ΠΌΠΎΡΠ½ΡΠΌ ΡΡΠΊΠΎΠ²ΠΎΠ΄ΡΡΠ²ΠΎΠΌ ΠΊ ΡΠ°Π·ΠΌΡΡΠ»Π΅Π½ΠΈΡΠΌ ΠΎ ΡΠΎΠΌ, ΠΊΠ°ΠΊ Π΄Π²Π΅ Π²Π΅Π»ΠΈΡΠΈΠ½Ρ ΡΠ²ΡΠ·Π°Π½Ρ Π΄ΡΡΠ³ Ρ Π΄ΡΡΠ³ΠΎΠΌ.Π ΡΠ»ΡΡΠ°Π΅ Π΄Π΅ΠΉΡΡΠ²ΠΈΡ Π³ΠΎΡΠΈΠ·ΠΎΠ½ΡΠ°Π»ΡΠ½ΠΎΠΉ ΡΠΈΠ»Ρ, Π·Π°ΡΡΠ°Π²Π»ΡΡΡΠ΅ΠΉ ΠΎΠ±ΡΠ΅ΠΊΡ ΠΎΡΡΠ°Π½Π°Π²Π»ΠΈΠ²Π°ΡΡΡΡ Π½Π° Π½Π΅ΠΊΠΎΡΠΎΡΠΎΠΌ Π³ΠΎΡΠΈΠ·ΠΎΠ½ΡΠ°Π»ΡΠ½ΠΎΠΌ ΡΠ°ΡΡΡΠΎΡΠ½ΠΈΠΈ, ΡΠΎΡΠΌΠΎΠ·Π½ΠΎΠΉ ΠΏΡΡΡ ΠΎΠ±ΡΠ΅ΠΊΡΠ° ΡΠ²ΡΠ·Π°Π½ Ρ ΠΊΠ²Π°Π΄ΡΠ°ΡΠΎΠΌ ΡΠΊΠΎΡΠΎΡΡΠΈ ΠΎΠ±ΡΠ΅ΠΊΡΠ°.
ΠΡΠΎΠ²Π΅ΡΡΡΠ΅ ΡΠ²ΠΎΠ΅ ΠΏΠΎΠ½ΠΈΠΌΠ°Π½ΠΈΠ΅, ΠΏΡΠ΅Π΄ΡΠΊΠ°Π·Π°Π² Π·Π½Π°ΡΠ΅Π½ΠΈΡ ΡΠΎΡΠΌΠΎΠ·Π½ΠΎΠ³ΠΎ ΠΏΡΡΠΈ Π² ΡΠ°Π±Π»ΠΈΡΠ΅ Π½ΠΈΠΆΠ΅ (ΠΈ ΠΏΡΠΎΡΠΌΠΎΡΡΠΈΡΠ΅ ΠΏΡΠ°ΠΊΡΠΈΡΠ΅ΡΠΊΠΈΠ΅ Π·Π°Π΄Π°ΡΠΈ Π² ΠΊΠΎΠ½ΡΠ΅ ΡΡΠΎΠΉ ΡΡΡΠ°Π½ΠΈΡΡ).
| Π‘ΠΊΠΎΡΠΎΡΡΡ (ΠΌ / Ρ) | ΠΡΡΠ°Π½ΠΎΠ²ΠΎΡΠ½ΡΠΉ ΠΏΡΡΡ (ΠΌ) |
| 0 ΠΌ / Ρ | 0 |
| 5 ΠΌ / Ρ | 4 ΠΌΠ΅Ρ. |
| 10 ΠΌ / Ρ | |
| 15 ΠΌ / Ρ | |
| 20 ΠΌ / Ρ | |
| 25 ΠΌ / Ρ |
ΠΡΡΠ΅ΡΠΏΠΎΠΌΡΠ½ΡΡΡΠΉ ΠΏΡΠΈΠ½ΡΠΈΠΏ – ΡΠΎΡΠΌΠΎΠ·Π½ΠΎΠΉ ΠΏΡΡΡ ΠΏΡΠΎΠΏΠΎΡΡΠΈΠΎΠ½Π°Π»Π΅Π½ ΠΊΠ²Π°Π΄ΡΠ°ΡΡ ΡΠΊΠΎΡΠΎΡΡΠΈ – ΡΠ°ΡΡΠΎ Π½Π°Ρ ΠΎΠ΄ΠΈΡΡΡ Π² ΡΠ΅Π½ΡΡΠ΅ Π²Π½ΠΈΠΌΠ°Π½ΠΈΡ ΠΏΠΎΠΏΡΠ»ΡΡΠ½ΡΡ ΡΠΈΠ·ΠΈΡΠ΅ΡΠΊΠΈΡ Π»Π°Π±ΠΎΡΠ°ΡΠΎΡΠΈΠΉ.ΠΠ²ΡΠΎΠΌΠΎΠ±ΠΈΠ»Ρ Hot Wheels ΠΊΠ°ΡΠΈΡΡΡ ΠΏΠΎ Π½Π°ΠΊΠ»ΠΎΠ½Π½ΠΎΠΉ ΠΏΠ»ΠΎΡΠΊΠΎΡΡΠΈ Π½Π° ΡΡΠ°ΠΆ Π½ΠΈΠΆΠ΅. ΠΠΎΡΡΠΈΠ³Π½ΡΠ² ΠΏΠΎΠ»Π°, ΠΎΠ½ ΡΠ΄Π°ΡΡΠ΅ΡΡΡ ΠΎΠ± ΡΡΠΈΠΊ ΠΊΠΎΠΌΠΏΡΡΡΠ΅ΡΠ½ΡΡ Π΄ΠΈΡΠΊΠ΅Ρ ΠΈ ΠΎΡΡΠ°Π½Π°Π²Π»ΠΈΠ²Π°Π΅ΡΡΡ Π² ΡΠ΅Π·ΡΠ»ΡΡΠ°ΡΠ΅ ΡΡΠ΅Π½ΠΈΡ ΠΌΠ΅ΠΆΠ΄Ρ ΡΠΈΡΡΠ΅ΠΌΠΎΠΉ Π°Π²ΡΠΎΠΌΠΎΠ±ΠΈΠ»Ρ / ΡΡΠΈΠΊ ΠΈ ΠΏΠΎΠ»ΠΎΠΌ. ΠΡΠ΅ΠΌΡ ΡΠΎΡΠΎΡΡΠ΅ΠΌΠΊΠΈ ΠΈΡΠΏΠΎΠ»ΡΠ·ΡΠ΅ΡΡΡ Π΄Π»Ρ ΠΎΠΏΡΠ΅Π΄Π΅Π»Π΅Π½ΠΈΡ ΡΠΊΠΎΡΠΎΡΡΠΈ Π°Π²ΡΠΎΠΌΠΎΠ±ΠΈΠ»Ρ Π΄ΠΎ ΡΠ΄Π°ΡΠ° ΠΏΠΎ ΡΡΠΈΠΊΡ. ΠΡΠΏΠΎΠ»Π½ΡΠ΅ΡΡΡ Π½Π΅ΡΠΊΠΎΠ»ΡΠΊΠΎ ΠΈΡΠΏΡΡΠ°Π½ΠΈΠΉ, ΡΠΎΠ±ΠΈΡΠ°Π΅ΡΡΡ Π½Π°Π±ΠΎΡ Π΄Π°Π½Π½ΡΡ ΠΈ Π½Π°Π½ΠΎΡΠΈΡΡΡ Π½Π° Π³ΡΠ°ΡΠΈΠΊ. ΠΠΎ ΠΌΠ΅ΡΠ΅ ΡΠ²Π΅Π»ΠΈΡΠ΅Π½ΠΈΡ ΡΠΊΠΎΡΠΎΡΡΠΈ Π°Π²ΡΠΎΠΌΠΎΠ±ΠΈΠ»Ρ ΡΠΎΡΠΌΠΎΠ·Π½ΠΎΠΉ ΠΏΡΡΡ ΡΠ²Π΅Π»ΠΈΡΠΈΠ²Π°Π΅ΡΡΡ. ΠΡΠ»ΠΈ Π΄Π°Π½Π½ΡΠ΅ Π½Π°Π½Π΅ΡΠ΅Π½Ρ Π½Π° Π³ΡΠ°ΡΠΈΠΊ, ΡΠΎ Π²ΠΈΠ΄Π½ΠΎ ΡΠ΅ΡΠΊΠΎΠ΅ ΡΠΎΠΎΡΠ½ΠΎΡΠ΅Π½ΠΈΠ΅ ΠΌΠΎΡΠ½ΠΎΡΡΠΈ.ΠΡΠ»ΠΈ Π΄Π»Ρ Π½Π°Π±ΠΎΡΠ° Π΄Π°Π½Π½ΡΡ Π²ΡΠΏΠΎΠ»Π½ΡΠ΅ΡΡΡ ΡΡΠ΅ΠΏΠ΅Π½Π½Π°Ρ ΡΠ΅Π³ΡΠ΅ΡΡΠΈΡ, ΡΠ΅Π·ΡΠ»ΡΡΠ°ΡΡ ΠΎΠ±ΡΡΠ½ΠΎ ΠΏΠΎΠΊΠ°Π·ΡΠ²Π°ΡΡ, ΡΡΠΎ d = k β’ v 2 , Π³Π΄Π΅ k – ΠΊΠΎΠ½ΡΡΠ°Π½ΡΠ° ΠΏΡΠΎΠΏΠΎΡΡΠΈΠΎΠ½Π°Π»ΡΠ½ΠΎΡΡΠΈ.
ΠΡΠΈΠΌΠ΅ΡΡ, ΡΠΏΠΎΠΌΡΠ½ΡΡΡΠ΅ Π½Π° ΡΡΠΎΠΉ ΡΡΡΠ°Π½ΠΈΡΠ΅, Π²ΠΊΠ»ΡΡΠ°ΡΡ ΠΏΡΠΈΠΌΠ΅Π½Π΅Π½ΠΈΠ΅ ΠΎΡΠ½ΠΎΡΠ΅Π½ΠΈΡ ΡΠ°Π±ΠΎΡΠ°-ΡΠ½Π΅ΡΠ³ΠΈΡ ΠΊ ΡΠΈΡΡΠ°ΡΠΈΡΠΌ, Π² ΠΊΠΎΡΠΎΡΡΡ Π·Π°Π΄Π΅ΠΉΡΡΠ²ΠΎΠ²Π°Π½Ρ Π²Π½Π΅ΡΠ½ΠΈΠ΅ ΠΈΠ»ΠΈ Π½Π΅ΠΊΠΎΠ½ΡΠ΅ΡΠ²Π°ΡΠΈΠ²Π½ΡΠ΅ ΡΠΈΠ»Ρ, Π²ΡΠΏΠΎΠ»Π½ΡΡΡΠΈΠ΅ ΡΠ°Π±ΠΎΡΡ. Π‘ΠΎΠ²Π΅ΡΡΠ΅Π½Π½ΠΎ ΠΈΠ½ΠΎΠΉ ΠΈΡΡ ΠΎΠ΄ ΠΏΡΠΈΠ²ΠΎΠ΄ΠΈΡ ΠΊ ΡΠΈΡΡΠ°ΡΠΈΡΠΌ, Π² ΠΊΠΎΡΠΎΡΡΡ Π½Π΅ ΡΠ°Π±ΠΎΡΠ°ΡΡ Π²Π½Π΅ΡΠ½ΠΈΠ΅ ΡΠΈΠ»Ρ. Π‘Π»Π΅Π΄ΡΡΡΠ°Ρ ΡΠ°ΡΡΡ Π£ΡΠΎΠΊΠ° 2 Π²ΠΊΠ»ΡΡΠ°Π΅Ρ Π°Π½Π°Π»ΠΈΠ· ΡΡΠΈΡ ΡΠΈΡΡΠ°ΡΠΈΠΉ.
ΠΠΈΠ½Π΅ΡΠΈΡΠ΅ΡΠΊΠ°Ρ ΡΠ½Π΅ΡΠ³ΠΈΡ ΠΈ ΡΠ΅ΠΎΡΠ΅ΠΌΠ° ΡΠ°Π±ΠΎΡΡ-ΡΠ½Π΅ΡΠ³ΠΈΠΈ
Π¦Π΅Π»ΠΈ ΠΎΠ±ΡΡΠ΅Π½ΠΈΡ
Π ΠΊΠΎΠ½ΡΡ ΡΡΠΎΠ³ΠΎ ΡΠ°Π·Π΄Π΅Π»Π° Π²Ρ ΡΠΌΠΎΠΆΠ΅ΡΠ΅:
- ΠΠ±ΡΡΡΠ½ΠΈΡΠ΅ ΡΠ°Π±ΠΎΡΡ ΠΊΠ°ΠΊ ΠΏΠ΅ΡΠ΅Π΄Π°ΡΡ ΡΠ½Π΅ΡΠ³ΠΈΠΈ, Π° ΡΠΈΡΡΡΡ ΡΠ°Π±ΠΎΡΡ – ΠΊΠ°ΠΊ ΡΠ°Π±ΠΎΡΡ, ΡΠΎΠ²Π΅ΡΡΠ°Π΅ΠΌΡΡ ΡΠΈΡΡΠΎΠΉ ΡΠΈΠ»ΠΎΠΉ.
- ΠΠ±ΡΡΡΠ½ΠΈΡΠ΅ ΠΈ ΠΏΡΠΈΠΌΠ΅Π½ΠΈΡΠ΅ ΡΠ΅ΠΎΡΠ΅ΠΌΡ ΡΠ°Π±ΠΎΡΡ-ΡΠ½Π΅ΡΠ³ΠΈΠΈ.
Π Π°Π±ΠΎΡΠ° ΠΏΠ΅ΡΠ΅Π΄Π°Π΅Ρ ΡΠ½Π΅ΡΠ³ΠΈΡ
Π§ΡΠΎ ΠΏΡΠΎΠΈΡΡ ΠΎΠ΄ΠΈΡ Ρ ΡΠ°Π±ΠΎΡΠΎΠΉ, Π²ΡΠΏΠΎΠ»Π½ΡΠ΅ΠΌΠΎΠΉ Π² ΡΠΈΡΡΠ΅ΠΌΠ΅? ΠΠ½Π΅ΡΠ³ΠΈΡ ΠΏΠ΅ΡΠ΅Π΄Π°Π΅ΡΡΡ Π² ΡΠΈΡΡΠ΅ΠΌΡ, Π½ΠΎ Π² ΠΊΠ°ΠΊΠΎΠΉ ΡΠΎΡΠΌΠ΅? ΠΠ½ ΠΎΡΡΠ°Π½Π΅ΡΡΡ Π² ΡΠΈΡΡΠ΅ΠΌΠ΅ ΠΈΠ»ΠΈ ΠΏΡΠΎΠ΄Π²ΠΈΠ½Π΅ΡΡΡ Π΄Π°Π»ΡΡΠ΅? ΠΡΠ²Π΅ΡΡ Π·Π°Π²ΠΈΡΡΡ ΠΎΡ ΡΠΈΡΡΠ°ΡΠΈΠΈ.ΠΠ°ΠΏΡΠΈΠΌΠ΅Ρ, Π΅ΡΠ»ΠΈ Π½Π° Π³Π°Π·ΠΎΠ½ΠΎΠΊΠΎΡΠΈΠ»ΠΊΡ Π½Π° Π ΠΈΡΡΠ½ΠΊΠ΅ 1Π° ΡΠΎΠ»ΠΊΠ½ΡΡΡ Π΄ΠΎΡΡΠ°ΡΠΎΡΠ½ΠΎ ΡΠΈΠ»ΡΠ½ΠΎ, ΡΡΠΎΠ±Ρ ΠΎΠ½Π° ΠΏΡΠΎΠ΄ΠΎΠ»ΠΆΠ°Π»Π° ΡΠ°Π±ΠΎΡΠ°ΡΡ Ρ ΠΏΠΎΡΡΠΎΡΠ½Π½ΠΎΠΉ ΡΠΊΠΎΡΠΎΡΡΡΡ, ΡΠΎΠ³Π΄Π° ΡΠ½Π΅ΡΠ³ΠΈΡ, Π²Π»ΠΎΠΆΠ΅Π½Π½Π°Ρ Π² Π³Π°Π·ΠΎΠ½ΠΎΠΊΠΎΡΠΈΠ»ΠΊΡ ΡΠ΅Π»ΠΎΠ²Π΅ΠΊΠΎΠΌ, Π½Π΅ΠΏΡΠ΅ΡΡΠ²Π½ΠΎ ΡΠ΄Π°Π»ΡΠ΅ΡΡΡ Π·Π° ΡΡΠ΅Ρ ΡΡΠ΅Π½ΠΈΡ ΠΈ Π² ΠΊΠΎΠ½Π΅ΡΠ½ΠΎΠΌ ΠΈΡΠΎΠ³Π΅ ΠΏΠΎΠΊΠΈΠ΄Π°Π΅Ρ ΡΠΈΡΡΠ΅ΠΌΡ Π² Π²ΠΈΠ΄Π΅ ΡΠ΅ΠΏΠ»ΠΎΠΏΠ΅ΡΠ΅Π΄Π°ΡΠΈ. . ΠΠ°ΠΏΡΠΎΡΠΈΠ², ΡΠ°Π±ΠΎΡΠ°, ΠΏΡΠΎΠ΄Π΅Π»Π°Π½Π½Π°Ρ Ρ ΠΏΠΎΡΡΡΠ΅Π»Π΅ΠΌ ΡΠ΅Π»ΠΎΠ²Π΅ΠΊΠΎΠΌ, Π½Π΅ΡΡΡΠΈΠΌ Π΅Π³ΠΎ ΠΏΠΎ Π»Π΅ΡΡΠ½ΠΈΡΠ΅ Π½Π° ΡΠΈΡΡΠ½ΠΊΠ΅ 1d, Ρ ΡΠ°Π½ΠΈΡΡΡ Π² ΡΠΈΡΡΠ΅ΠΌΠ΅ ΠΏΠΎΡΡΡΠ΅Π»Ρ-ΠΠ΅ΠΌΠ»Ρ ΠΈ ΠΌΠΎΠΆΠ΅Ρ Π±ΡΡΡ Π²ΠΎΡΡΡΠ°Π½ΠΎΠ²Π»Π΅Π½Π° ββΠ² Π»ΡΠ±ΠΎΠ΅ Π²ΡΠ΅ΠΌΡ, ΠΊΠ°ΠΊ ΠΏΠΎΠΊΠ°Π·Π°Π½ΠΎ Π½Π° ΡΠΈΡΡΠ½ΠΊΠ΅ 1e. Π€Π°ΠΊΡΠΈΡΠ΅ΡΠΊΠΈ, ΡΡΡΠΎΠΈΡΠ΅Π»ΡΡΡΠ²ΠΎ ΠΏΠΈΡΠ°ΠΌΠΈΠ΄ Π² ΠΡΠ΅Π²Π½Π΅ΠΌ ΠΠ³ΠΈΠΏΡΠ΅ ΡΠ²Π»ΡΠ΅ΡΡΡ ΠΏΡΠΈΠΌΠ΅ΡΠΎΠΌ Ρ ΡΠ°Π½Π΅Π½ΠΈΡ ΡΠ½Π΅ΡΠ³ΠΈΠΈ Π² ΡΠΈΡΡΠ΅ΠΌΠ΅ ΠΏΡΡΠ΅ΠΌ Π²ΡΠΏΠΎΠ»Π½Π΅Π½ΠΈΡ ΡΠ°Π±ΠΎΡΡ Ρ ΡΠΈΡΡΠ΅ΠΌΠΎΠΉ.ΠΠ΅ΠΊΠΎΡΠΎΡΠ°Ρ ΡΠ½Π΅ΡΠ³ΠΈΡ, ΠΏΠ΅ΡΠ΅Π΄Π°Π²Π°Π΅ΠΌΠ°Ρ ΠΊΠ°ΠΌΠ΅Π½Π½ΡΠΌ Π±Π»ΠΎΠΊΠ°ΠΌ ΠΏΡΠΈ ΠΈΡ ΠΏΠΎΠ΄ΡΠ΅ΠΌΠ΅ Π²ΠΎ Π²ΡΠ΅ΠΌΡ ΡΡΡΠΎΠΈΡΠ΅Π»ΡΡΡΠ²Π° ΠΏΠΈΡΠ°ΠΌΠΈΠ΄, ΠΎΡΡΠ°Π΅ΡΡΡ Π² ΡΠΈΡΡΠ΅ΠΌΠ΅ ΠΊΠ°ΠΌΠ΅Π½Ρ-ΠΠ΅ΠΌΠ»Ρ ΠΈ ΠΈΠΌΠ΅Π΅Ρ ΠΏΠΎΡΠ΅Π½ΡΠΈΠ°Π» Π΄Π»Ρ Π²ΡΠΏΠΎΠ»Π½Π΅Π½ΠΈΡ ΡΠ°Π±ΠΎΡΡ.
Π ΠΈΡΡΠ½ΠΎΠΊ 1. ΠΡΠΈΠΌΠ΅ΡΡ ΡΠ°Π±ΠΎΡΡ. (a) Π Π°Π±ΠΎΡΠ°, Π²ΡΠΏΠΎΠ»Π½ΡΠ΅ΠΌΠ°Ρ ΡΠΈΠ»ΠΎΠΉ F Π½Π° ΡΡΠΎΠΉ Π³Π°Π·ΠΎΠ½ΠΎΠΊΠΎΡΠΈΠ»ΠΊΠ΅, ΡΠΎΡΡΠ°Π²Π»ΡΠ΅Ρ Fd cos ΞΈ . ΠΠ±ΡΠ°ΡΠΈΡΠ΅ Π²Π½ΠΈΠΌΠ°Π½ΠΈΠ΅, ΡΡΠΎ F cos ΞΈ – ΡΡΠΎ ΡΠΎΡΡΠ°Π²Π»ΡΡΡΠ°Ρ ΡΠΈΠ»Ρ Π² Π½Π°ΠΏΡΠ°Π²Π»Π΅Π½ΠΈΠΈ Π΄Π²ΠΈΠΆΠ΅Π½ΠΈΡ. (Π±) Π§Π΅Π»ΠΎΠ²Π΅ΠΊ, Π΄Π΅ΡΠΆΠ°ΡΠΈΠΉ ΠΏΠΎΡΡΡΠ΅Π»Ρ, Π½Π΅ ΡΠ°Π±ΠΎΡΠ°Π΅Ρ Ρ Π½ΠΈΠΌ, ΠΏΠΎΡΠΎΠΌΡ ΡΡΠΎ Π½Π΅Ρ Π΄Π²ΠΈΠΆΠ΅Π½ΠΈΡ.ΠΠ½Π΅ΡΠ³ΠΈΡ Π½Π΅ ΠΏΠ΅ΡΠ΅Π΄Π°Π΅ΡΡΡ Π½ΠΈ Π² ΡΠ΅ΠΌΠΎΠ΄Π°Π½, Π½ΠΈ ΠΈΠ· Π½Π΅Π³ΠΎ. (c) Π§Π΅Π»ΠΎΠ²Π΅ΠΊ, ΠΏΠ΅ΡΠ΅ΠΌΠ΅ΡΠ°ΡΡΠΈΠΉ ΠΏΠΎΡΡΡΠ΅Π»Ρ Π² Π³ΠΎΡΠΈΠ·ΠΎΠ½ΡΠ°Π»ΡΠ½ΠΎΠΌ Π½Π°ΠΏΡΠ°Π²Π»Π΅Π½ΠΈΠΈ Ρ ΠΏΠΎΡΡΠΎΡΠ½Π½ΠΎΠΉ ΡΠΊΠΎΡΠΎΡΡΡΡ, Π½Π΅ ΡΠ°Π±ΠΎΡΠ°Π΅Ρ Ρ Π½ΠΈΠΌ ΠΈ Π½Π΅ ΠΏΠ΅ΡΠ΅Π΄Π°Π΅Ρ Π΅ΠΌΡ ΡΠ½Π΅ΡΠ³ΠΈΡ. (d) Π Π°Π±ΠΎΡΠ° Ρ ΠΏΠΎΡΡΡΠ΅Π»Π΅ΠΌ Π²ΡΠΏΠΎΠ»Π½ΡΠ΅ΡΡΡ ΠΏΡΡΠ΅ΠΌ Π΅Π³ΠΎ ΠΏΠΎΠ΄ΡΠ΅ΠΌΠ° ΠΏΠΎ Π»Π΅ΡΡΠ½ΠΈΡΠ΅ Ρ ΠΏΠΎΡΡΠΎΡΠ½Π½ΠΎΠΉ ΡΠΊΠΎΡΠΎΡΡΡΡ, ΠΏΠΎΡΠΊΠΎΠ»ΡΠΊΡ ΠΎΠ±ΡΠ·Π°ΡΠ΅Π»ΡΠ½ΠΎ ΠΏΡΠΈΡΡΡΡΡΠ²ΡΠ΅Ρ ΡΠΎΡΡΠ°Π²Π»ΡΡΡΠ°Ρ ΡΠΈΠ»Ρ F Π² Π½Π°ΠΏΡΠ°Π²Π»Π΅Π½ΠΈΠΈ Π΄Π²ΠΈΠΆΠ΅Π½ΠΈΡ. ΠΠ½Π΅ΡΠ³ΠΈΡ ΠΏΠ΅ΡΠ΅Π΄Π°Π΅ΡΡΡ Π² ΠΏΠΎΡΡΡΠ΅Π»Ρ ΠΈ, Π² ΡΠ²ΠΎΡ ΠΎΡΠ΅ΡΠ΅Π΄Ρ, ΠΌΠΎΠΆΠ΅Ρ ΠΈΡΠΏΠΎΠ»ΡΠ·ΠΎΠ²Π°ΡΡΡΡ Π΄Π»Ρ ΡΠ°Π±ΠΎΡΡ. e) ΠΊΠΎΠ³Π΄Π° ΠΏΠΎΡΡΡΠ΅Π»Ρ ΠΎΠΏΡΡΠΊΠ°Π΅ΡΡΡ, ΡΠ½Π΅ΡΠ³ΠΈΡ ΠΏΠ΅ΡΠ΅Π΄Π°Π΅ΡΡΡ ΠΈΠ· ΠΏΠΎΡΡΡΠ΅Π»Ρ Π² ΡΠ»Π΅ΠΊΡΡΠΈΡΠ΅ΡΠΊΠΈΠΉ Π³Π΅Π½Π΅ΡΠ°ΡΠΎΡ.ΠΠ΄Π΅ΡΡ ΡΠ°Π±ΠΎΡΠ°, Π²ΡΠΏΠΎΠ»Π½ΡΠ΅ΠΌΠ°Ρ Π³Π΅Π½Π΅ΡΠ°ΡΠΎΡΠΎΠΌ Ρ ΠΏΠΎΡΡΡΠ΅Π»Π΅ΠΌ, ΡΠ²Π»ΡΠ΅ΡΡΡ ΠΎΡΡΠΈΡΠ°ΡΠ΅Π»ΡΠ½ΠΎΠΉ, ΡΡΠΎ ΠΏΡΠΈΠ²ΠΎΠ΄ΠΈΡ ΠΊ ΠΎΡΠ²Π΅Π΄Π΅Π½ΠΈΡ ΡΠ½Π΅ΡΠ³ΠΈΠΈ ΠΈΠ· ΠΏΠΎΡΡΡΠ΅Π»Ρ, ΠΏΠΎΡΠΎΠΌΡ ΡΡΠΎ F ΠΈ d Π½Π°Ρ ΠΎΠ΄ΡΡΡΡ Π² ΠΏΡΠΎΡΠΈΠ²ΠΎΠΏΠΎΠ»ΠΎΠΆΠ½ΡΡ Π½Π°ΠΏΡΠ°Π²Π»Π΅Π½ΠΈΡΡ .
Π ΡΡΠΎΠΌ ΡΠ°Π·Π΄Π΅Π»Π΅ ΠΌΡ Π½Π°ΡΠΈΠ½Π°Π΅ΠΌ ΠΈΠ·ΡΡΠ΅Π½ΠΈΠ΅ ΡΠ°Π·Π»ΠΈΡΠ½ΡΡ Π²ΠΈΠ΄ΠΎΠ² ΡΠ°Π±ΠΎΡΡ ΠΈ ΡΠΎΡΠΌ ΡΠ½Π΅ΡΠ³ΠΈΠΈ. ΠΡ ΠΎΠ±Π½Π°ΡΡΠΆΠΈΠΌ, ΡΡΠΎ Π½Π΅ΠΊΠΎΡΠΎΡΡΠ΅ Π²ΠΈΠ΄Ρ ΡΠ°Π±ΠΎΡΡ, Π½Π°ΠΏΡΠΈΠΌΠ΅Ρ, ΠΎΡΡΠ°Π²Π»ΡΡΡ ΡΠ½Π΅ΡΠ³ΠΈΡ ΡΠΈΡΡΠ΅ΠΌΡ ΠΏΠΎΡΡΠΎΡΠ½Π½ΠΎΠΉ, ΡΠΎΠ³Π΄Π° ΠΊΠ°ΠΊ Π΄ΡΡΠ³ΠΈΠ΅ ΠΊΠ°ΠΊΠΈΠΌ-ΡΠΎ ΠΎΠ±ΡΠ°Π·ΠΎΠΌ ΠΈΠ·ΠΌΠ΅Π½ΡΡΡ ΡΠΈΡΡΠ΅ΠΌΡ, Π½Π°ΠΏΡΠΈΠΌΠ΅Ρ Π·Π°ΡΡΠ°Π²Π»ΡΡΡ Π΅Π΅ Π΄Π²ΠΈΠ³Π°ΡΡΡΡ. ΠΡ ΡΠ°ΠΊΠΆΠ΅ ΡΠ°Π·ΡΠ°Π±ΠΎΡΠ°Π΅ΠΌ ΠΎΠΏΡΠ΅Π΄Π΅Π»Π΅Π½ΠΈΡ Π²Π°ΠΆΠ½ΡΡ ΡΠΎΡΠΌ ΡΠ½Π΅ΡΠ³ΠΈΠΈ, ΡΠ°ΠΊΠΈΡ ΠΊΠ°ΠΊ ΡΠ½Π΅ΡΠ³ΠΈΡ Π΄Π²ΠΈΠΆΠ΅Π½ΠΈΡ.
Π§ΠΈΡΡΠ°Ρ ΡΠ°Π±ΠΎΡΠ° ΠΈ ΡΠ΅ΠΎΡΠ΅ΠΌΠ° ΡΠ°Π±ΠΎΡΡ-ΡΠ½Π΅ΡΠ³ΠΈΠΈ
ΠΡ Π·Π½Π°Π΅ΠΌ ΠΈΠ· ΠΈΠ·ΡΡΠ΅Π½ΠΈΡ Π·Π°ΠΊΠΎΠ½ΠΎΠ² ΠΡΡΡΠΎΠ½Π° Π² Π΄ΠΈΠ½Π°ΠΌΠΈΠΊΠ΅: ΡΠΈΠ»Π° ΠΈ Π·Π°ΠΊΠΎΠ½Ρ Π΄Π²ΠΈΠΆΠ΅Π½ΠΈΡ ΠΡΡΡΠΎΠ½Π°, ΡΡΠΎ ΡΠ΅Π·ΡΠ»ΡΡΠΈΡΡΡΡΠ°Ρ ΡΠΈΠ»Π° Π²ΡΠ·ΡΠ²Π°Π΅Ρ ΡΡΠΊΠΎΡΠ΅Π½ΠΈΠ΅. Π ΡΡΠΎΠΌ ΡΠ°Π·Π΄Π΅Π»Π΅ ΠΌΡ ΡΠ²ΠΈΠ΄ΠΈΠΌ, ΡΡΠΎ ΡΠ°Π±ΠΎΡΠ°, ΡΠΎΠ²Π΅ΡΡΠ°Π΅ΠΌΠ°Ρ ΡΠΈΡΡΠΎΠΉ ΡΠΈΠ»ΠΎΠΉ, Π΄Π°Π΅Ρ ΡΠΈΡΡΠ΅ΠΌΠ΅ ΡΠ½Π΅ΡΠ³ΠΈΡ Π΄Π²ΠΈΠΆΠ΅Π½ΠΈΡ, ΠΈ Π² ΠΏΡΠΎΡΠ΅ΡΡΠ΅ ΠΌΡ ΡΠ°ΠΊΠΆΠ΅ Π½Π°ΠΉΠ΄Π΅ΠΌ Π²ΡΡΠ°ΠΆΠ΅Π½ΠΈΠ΅ Π΄Π»Ρ ΡΠ½Π΅ΡΠ³ΠΈΠΈ Π΄Π²ΠΈΠΆΠ΅Π½ΠΈΡ.
ΠΠ°Π²Π°ΠΉΡΠ΅ Π½Π°ΡΠ½Π΅ΠΌ Ρ ΡΠ°ΡΡΠΌΠΎΡΡΠ΅Π½ΠΈΡ ΠΎΠ±ΡΠ΅ΠΉ, ΠΈΠ»ΠΈ ΡΠΈΡΡΠΎΠΉ, ΡΠ°Π±ΠΎΡΡ, ΠΏΡΠΎΠ΄Π΅Π»Π°Π½Π½ΠΎΠΉ Π² ΡΠΈΡΡΠ΅ΠΌΠ΅. Π§ΠΈΡΡΠ°Ρ ΡΠ°Π±ΠΎΡΠ° ΠΎΠΏΡΠ΅Π΄Π΅Π»ΡΠ΅ΡΡΡ ΠΊΠ°ΠΊ ΡΡΠΌΠΌΠ° ΡΠ°Π±ΠΎΡΡ, Π²ΡΠΏΠΎΠ»Π½Π΅Π½Π½ΠΎΠΉ Π²ΡΠ΅ΠΌΠΈ Π²Π½Π΅ΡΠ½ΠΈΠΌΠΈ ΡΠΈΠ»Π°ΠΌΠΈ, ΡΠΎ Π΅ΡΡΡ ΡΠΈΡΡΠ°Ρ ΡΠ°Π±ΠΎΡΠ° – ΡΡΠΎ ΡΠ°Π±ΠΎΡΠ°, Π²ΡΠΏΠΎΠ»Π½Π΅Π½Π½Π°Ρ ΡΠΈΡΡΠΎΠΉ Π²Π½Π΅ΡΠ½Π΅ΠΉ ΡΠΈΠ»ΠΎΠΉ F ΡΠΈΡΡΠ°Ρ .Π ΡΠΎΡΠΌΠ΅ ΡΡΠ°Π²Π½Π΅Π½ΠΈΡ ΡΡΠΎ W net = F net d cos ΞΈ , Π³Π΄Π΅ ΞΈ – ΡΠ³ΠΎΠ» ΠΌΠ΅ΠΆΠ΄Ρ Π²Π΅ΠΊΡΠΎΡΠΎΠΌ ΡΠΈΠ»Ρ ΠΈ Π²Π΅ΠΊΡΠΎΡΠΎΠΌ ΡΠΌΠ΅ΡΠ΅Π½ΠΈΡ.
ΠΠ° ΡΠΈΡ. 2Π° ΠΏΠΎΠΊΠ°Π·Π°Π½ Π³ΡΠ°ΡΠΈΠΊ Π·Π°Π²ΠΈΡΠΈΠΌΠΎΡΡΠΈ ΡΠΈΠ»Ρ ΠΎΡ ΡΠΌΠ΅ΡΠ΅Π½ΠΈΡ Π΄Π»Ρ ΡΠΎΡΡΠ°Π²Π»ΡΡΡΠ΅ΠΉ ΡΠΈΠ»Ρ Π² Π½Π°ΠΏΡΠ°Π²Π»Π΅Π½ΠΈΠΈ ΡΠΌΠ΅ΡΠ΅Π½ΠΈΡ, ΡΠΎ Π΅ΡΡΡ Π³ΡΠ°ΡΠΈΠΊ F cos ΞΈ ΠΏΡΠΎΡΠΈΠ² d . Π ΡΡΠΎΠΌ ΡΠ»ΡΡΠ°Π΅ F cos ΞΈ ΡΠ²Π»ΡΠ΅ΡΡΡ ΠΏΠΎΡΡΠΎΡΠ½Π½ΡΠΌ. ΠΡ ΠΌΠΎΠΆΠ΅ΡΠ΅ Π²ΠΈΠ΄Π΅ΡΡ, ΡΡΠΎ ΠΏΠ»ΠΎΡΠ°Π΄Ρ ΠΏΠΎΠ΄ Π³ΡΠ°ΡΠΈΠΊΠΎΠΌ ΡΠ°Π²Π½Π° Fd cos ΞΈ , ΠΈΠ»ΠΈ ΠΏΡΠΎΠ΄Π΅Π»Π°Π½Π½ΠΎΠΉ ΡΠ°Π±ΠΎΡΠ΅.ΠΠ° ΡΠΈΡ. 2b ΠΏΠΎΠΊΠ°Π·Π°Π½ Π±ΠΎΠ»Π΅Π΅ ΠΎΠ±ΡΠΈΠΉ ΠΏΡΠΎΡΠ΅ΡΡ ΠΈΠ·ΠΌΠ΅Π½Π΅Π½ΠΈΡ ΡΠΈΠ»Ρ. ΠΠ»ΠΎΡΠ°Π΄Ρ ΠΏΠΎΠ΄ ΠΊΡΠΈΠ²ΠΎΠΉ ΡΠ°Π·Π΄Π΅Π»Π΅Π½Π° Π½Π° ΠΏΠΎΠ»ΠΎΡΡ, ΠΊΠ°ΠΆΠ΄Π°Ρ ΠΈΠ· ΠΊΠΎΡΠΎΡΡΡ ΠΈΠΌΠ΅Π΅Ρ ΡΡΠ΅Π΄Π½ΡΡ ΡΠΈΠ»Ρ ( F cos ΞΈ ) i (ΡΡΠ΅Π΄Π½.) . ΠΡΠΏΠΎΠ»Π½Π΅Π½Π½Π°Ρ ΡΠ°Π±ΠΎΡΠ° ΡΠΎΡΡΠ°Π²Π»ΡΠ΅Ρ ( F cos ΞΈ ) i (ΡΡΠ΅Π΄Π½.) d i Π΄Π»Ρ ΠΊΠ°ΠΆΠ΄ΠΎΠΉ ΠΏΠΎΠ»ΠΎΡΡ, Π° ΠΎΠ±ΡΠ°Ρ ΠΏΡΠΎΠ΄Π΅Π»Π°Π½Π½Π°Ρ ΡΠ°Π±ΠΎΡΠ° ΡΠ°Π²Π½Π° ΡΡΠΌΠΌΠ΅ W i . Π’Π°ΠΊΠΈΠΌ ΠΎΠ±ΡΠ°Π·ΠΎΠΌ, ΠΎΠ±ΡΠ°Ρ ΠΏΡΠΎΠ΄Π΅Π»Π°Π½Π½Π°Ρ ΡΠ°Π±ΠΎΡΠ° – ΡΡΠΎ ΠΎΠ±ΡΠ°Ρ ΠΏΠ»ΠΎΡΠ°Π΄Ρ ΠΏΠΎΠ΄ ΠΊΡΠΈΠ²ΠΎΠΉ, ΠΏΠΎΠ»Π΅Π·Π½ΠΎΠ΅ ΡΠ²ΠΎΠΉΡΡΠ²ΠΎ, ΠΎ ΠΊΠΎΡΠΎΡΠΎΠΌ ΠΌΡ ΠΏΠΎΠ³ΠΎΠ²ΠΎΡΠΈΠΌ ΠΏΠΎΠ·ΠΆΠ΅.
Π ΠΈΡ. 2. (a) ΠΡΠ°ΡΠΈΠΊ F cos ΞΈ ΠΎΡ d , ΠΊΠΎΠ³Π΄Π° F cos ΞΈ ΡΠ²Π»ΡΠ΅ΡΡΡ ΠΏΠΎΡΡΠΎΡΠ½Π½ΡΠΌ. ΠΠ»ΠΎΡΠ°Π΄Ρ ΠΏΠΎΠ΄ ΠΊΡΠΈΠ²ΠΎΠΉ ΠΏΡΠ΅Π΄ΡΡΠ°Π²Π»ΡΠ΅Ρ ΡΠ°Π±ΠΎΡΡ, ΡΠΎΠ²Π΅ΡΡΠ°Π΅ΠΌΡΡ ΡΠΈΠ»ΠΎΠΉ. (Π±) ΠΡΠ°ΡΠΈΠΊ Π·Π°Π²ΠΈΡΠΈΠΌΠΎΡΡΠΈ F cos ΞΈ ΠΎΡ d , Π² ΠΊΠΎΡΠΎΡΠΎΠΌ ΡΠΈΠ»Π° ΠΈΠ·ΠΌΠ΅Π½ΡΠ΅ΡΡΡ. Π Π°Π±ΠΎΡΠ°, ΠΏΡΠΎΠ΄Π΅Π»Π°Π½Π½Π°Ρ Π΄Π»Ρ ΠΊΠ°ΠΆΠ΄ΠΎΠ³ΠΎ ΠΈΠ½ΡΠ΅ΡΠ²Π°Π»Π°, – ΡΡΠΎ ΠΏΠ»ΠΎΡΠ°Π΄Ρ ΠΊΠ°ΠΆΠ΄ΠΎΠΉ ΠΏΠΎΠ»ΠΎΡΡ; ΡΠ°ΠΊΠΈΠΌ ΠΎΠ±ΡΠ°Π·ΠΎΠΌ, ΠΎΠ±ΡΠ°Ρ ΠΏΠ»ΠΎΡΠ°Π΄Ρ ΠΏΠΎΠ΄ ΠΊΡΠΈΠ²ΠΎΠΉ ΡΠ°Π²Π½Π° ΠΎΠ±ΡΠ΅ΠΉ ΠΏΡΠΎΠ΄Π΅Π»Π°Π½Π½ΠΎΠΉ ΡΠ°Π±ΠΎΡΠ΅.
Π§ΠΈΡΡΡΡ ΡΠ°Π±ΠΎΡΡ Π±ΡΠ΄Π΅Ρ ΠΏΡΠΎΡΠ΅ ΠΈΡΡΠ»Π΅Π΄ΠΎΠ²Π°ΡΡ, Π΅ΡΠ»ΠΈ ΠΌΡ ΡΠ°ΡΡΠΌΠΎΡΡΠΈΠΌ ΠΎΠ΄Π½ΠΎΠΌΠ΅ΡΠ½ΡΡ ΡΠΈΡΡΠ°ΡΠΈΡ, ΠΊΠΎΠ³Π΄Π° ΡΠΈΠ»Π° ΠΈΡΠΏΠΎΠ»ΡΠ·ΡΠ΅ΡΡΡ Π΄Π»Ρ ΡΡΠΊΠΎΡΠ΅Π½ΠΈΡ ΠΎΠ±ΡΠ΅ΠΊΡΠ° Π² Π½Π°ΠΏΡΠ°Π²Π»Π΅Π½ΠΈΠΈ, ΠΏΠ°ΡΠ°Π»Π»Π΅Π»ΡΠ½ΠΎΠΌ Π΅Π³ΠΎ Π½Π°ΡΠ°Π»ΡΠ½ΠΎΠΉ ΡΠΊΠΎΡΠΎΡΡΠΈ.Π’Π°ΠΊΠ°Ρ ΡΠΈΡΡΠ°ΡΠΈΡ Π²ΠΎΠ·Π½ΠΈΠΊΠ°Π΅Ρ Π΄Π»Ρ ΡΠΏΠ°ΠΊΠΎΠ²ΠΊΠΈ Π½Π° Π»Π΅Π½ΡΠΎΡΠ½ΠΎΠΌ ΡΠΎΠ»ΠΈΠΊΠΎΠ²ΠΎΠΌ ΠΊΠΎΠ½Π²Π΅ΠΉΠ΅ΡΠ΅, ΠΏΠΎΠΊΠ°Π·Π°Π½Π½ΠΎΠΌ Π½Π° Π ΠΈΡΡΠ½ΠΊΠ΅ 3.
Π ΠΈΡ. 3. ΠΠ°ΠΊΠ΅Ρ Π½Π° ΡΠΎΠ»ΠΈΠΊΠΎΠ²ΠΎΠΉ Π»Π΅Π½ΡΠ΅ ΠΏΡΠΎΠ΄Π²ΠΈΠ³Π°Π΅ΡΡΡ Π³ΠΎΡΠΈΠ·ΠΎΠ½ΡΠ°Π»ΡΠ½ΠΎ Π½Π° ΡΠ°ΡΡΡΠΎΡΠ½ΠΈΠ΅ d .
Π‘ΠΈΠ»Π° ΡΡΠΆΠ΅ΡΡΠΈ ΠΈ Π½ΠΎΡΠΌΠ°Π»ΡΠ½Π°Ρ ΡΠΈΠ»Π°, Π΄Π΅ΠΉΡΡΠ²ΡΡΡΠ°Ρ Π½Π° ΡΠΏΠ°ΠΊΠΎΠ²ΠΊΡ, ΠΏΠ΅ΡΠΏΠ΅Π½Π΄ΠΈΠΊΡΠ»ΡΡΠ½Ρ ΠΏΠ΅ΡΠ΅ΠΌΠ΅ΡΠ΅Π½ΠΈΡ ΠΈ Π½Π΅ ΡΠ°Π±ΠΎΡΠ°ΡΡ. ΠΠΎΠ»Π΅Π΅ ΡΠΎΠ³ΠΎ, ΠΎΠ½ΠΈ ΡΠ°ΠΊΠΆΠ΅ ΡΠ°Π²Π½Ρ ΠΏΠΎ Π²Π΅Π»ΠΈΡΠΈΠ½Π΅ ΠΈ ΠΏΡΠΎΡΠΈΠ²ΠΎΠΏΠΎΠ»ΠΎΠΆΠ½Ρ ΠΏΠΎ Π½Π°ΠΏΡΠ°Π²Π»Π΅Π½ΠΈΡ, ΠΏΠΎΡΡΠΎΠΌΡ ΠΎΠ½ΠΈ ΡΠΎΠΊΡΠ°ΡΠ°ΡΡΡΡ ΠΏΡΠΈ Π²ΡΡΠΈΡΠ»Π΅Π½ΠΈΠΈ ΡΠΈΡΡΠΎΠΉ ΡΠΈΠ»Ρ. Π§ΠΈΡΡΠ°Ρ ΡΠΈΠ»Π° Π²ΠΎΠ·Π½ΠΈΠΊΠ°Π΅Ρ ΠΈΡΠΊΠ»ΡΡΠΈΡΠ΅Π»ΡΠ½ΠΎ ΠΈΠ· ΠΏΡΠΈΠ»ΠΎΠΆΠ΅Π½Π½ΠΎΠΉ Π³ΠΎΡΠΈΠ·ΠΎΠ½ΡΠ°Π»ΡΠ½ΠΎΠΉ ΡΠΈΠ»Ρ F app ΠΈ Π³ΠΎΡΠΈΠ·ΠΎΠ½ΡΠ°Π»ΡΠ½ΠΎΠΉ ΡΠΈΠ»Ρ ΡΡΠ΅Π½ΠΈΡ f .Π’Π°ΠΊΠΈΠΌ ΠΎΠ±ΡΠ°Π·ΠΎΠΌ, ΠΊΠ°ΠΊ ΠΈ ΠΎΠΆΠΈΠ΄Π°Π»ΠΎΡΡ, ΡΠΈΡΡΠ°Ρ ΡΠΈΠ»Π° ΠΏΠ°ΡΠ°Π»Π»Π΅Π»ΡΠ½Π° ΡΠΌΠ΅ΡΠ΅Π½ΠΈΡ, ΡΠ°ΠΊ ΡΡΠΎ ΞΈ = 0ΒΊ ΠΈ cos ΞΈ = 1, Π° ΡΠΈΡΡΠ°Ρ ΡΠ°Π±ΠΎΡΠ° ΠΎΠΏΡΠ΅Π΄Π΅Π»ΡΠ΅ΡΡΡ ΠΊΠ°ΠΊ W net = F net Π΄ .
ΠΡΡΠ΅ΠΊΡ ΡΠΈΡΡΠΎΠΉ ΡΠΈΠ»Ρ F net Π·Π°ΠΊΠ»ΡΡΠ°Π΅ΡΡΡ Π² ΡΡΠΊΠΎΡΠ΅Π½ΠΈΠΈ ΠΏΠ°ΠΊΠ΅ΡΠ° Ρ v 0 Π΄ΠΎ v . ΠΠΈΠ½Π΅ΡΠΈΡΠ΅ΡΠΊΠ°Ρ ΡΠ½Π΅ΡΠ³ΠΈΡ ΠΏΠ°ΠΊΠ΅ΡΠ° ΡΠ²Π΅Π»ΠΈΡΠΈΠ²Π°Π΅ΡΡΡ, ΡΠΊΠ°Π·ΡΠ²Π°Ρ Π½Π° ΡΠΎ, ΡΡΠΎ ΡΠΈΡΡΠ°Ρ ΡΠ°Π±ΠΎΡΠ°, Π²ΡΠΏΠΎΠ»Π½ΡΠ΅ΠΌΠ°Ρ Π² ΡΠΈΡΡΠ΅ΠΌΠ΅, ΡΠ²Π»ΡΠ΅ΡΡΡ ΠΏΠΎΠ»ΠΎΠΆΠΈΡΠ΅Π»ΡΠ½ΠΎΠΉ.(Π‘ΠΌ. ΠΡΠΈΠΌΠ΅Ρ 1.) ΠΡΠΏΠΎΠ»ΡΠ·ΡΡ Π²ΡΠΎΡΠΎΠΉ Π·Π°ΠΊΠΎΠ½ ΠΡΡΡΠΎΠ½Π° ΠΈ Π·Π°Π½ΠΈΠΌΠ°ΡΡΡ Π°Π»Π³Π΅Π±ΡΠΎΠΉ, ΠΌΡ ΠΌΠΎΠΆΠ΅ΠΌ ΠΏΡΠΈΠΉΡΠΈ ΠΊ ΠΈΠ½ΡΠ΅ΡΠ΅ΡΠ½ΠΎΠΌΡ Π²ΡΠ²ΠΎΠ΄Ρ. ΠΠΎΠ΄ΡΡΠ°Π½ΠΎΠ²ΠΊΠ° F net = ma ΠΈΠ· Π²ΡΠΎΡΠΎΠ³ΠΎ Π·Π°ΠΊΠΎΠ½Π° ΠΡΡΡΠΎΠ½Π° Π΄Π°Π΅Ρ W net = mad .
Π§ΡΠΎΠ±Ρ ΠΏΠΎΠ»ΡΡΠΈΡΡ Π²Π·Π°ΠΈΠΌΠΎΡΠ²ΡΠ·Ρ ΠΌΠ΅ΠΆΠ΄Ρ ΡΠ°Π±ΠΎΡΠΎΠΉ ΡΠ΅ΡΠΈ ΠΈ ΡΠΊΠΎΡΠΎΡΡΡΡ, ΠΏΡΠΈΠ΄Π°Π²Π°Π΅ΠΌΠΎΠΉ ΡΠΈΡΡΠ΅ΠΌΠ΅ Π΄Π΅ΠΉΡΡΠ²ΡΡΡΠ΅ΠΉ Π½Π° Π½Π΅Π΅ ΡΠΈΡΡΠΎΠΉ ΡΠΈΠ»ΠΎΠΉ, Π²ΠΎΠ·ΡΠΌΠ΅ΠΌ d = x – x 0 ΠΈ Π²ΠΎΡΠΏΠΎΠ»ΡΠ·ΡΠ΅ΠΌΡΡ ΡΡΠ°Π²Π½Π΅Π½ΠΈΠ΅ΠΌ, ΠΈΠ·ΡΡΠ΅Π½Π½ΡΠΌ Π² ΡΡΠ°Π²Π½Π΅Π½ΠΈΡΡ Π΄Π²ΠΈΠΆΠ΅Π½ΠΈΡ Π΄Π»Ρ ΠΏΠΎΡΡΠΎΡΠ½Π½ΠΎΠ³ΠΎ ΡΡΠΊΠΎΡΠ΅Π½ΠΈΡ. Π² ΠΎΠ΄Π½ΠΎΠΌ ΠΈΠ·ΠΌΠ΅ΡΠ΅Π½ΠΈΠΈ Π΄Π»Ρ ΠΈΠ·ΠΌΠ΅Π½Π΅Π½ΠΈΡ ΡΠΊΠΎΡΠΎΡΡΠΈ Π½Π° ΡΠ°ΡΡΡΠΎΡΠ½ΠΈΠΈ d , Π΅ΡΠ»ΠΈ ΡΡΠΊΠΎΡΠ΅Π½ΠΈΠ΅ ΠΈΠΌΠ΅Π΅Ρ ΠΏΠΎΡΡΠΎΡΠ½Π½ΠΎΠ΅ Π·Π½Π°ΡΠ΅Π½ΠΈΠ΅ a ; Π° ΠΈΠΌΠ΅Π½Π½ΠΎ, v 2 = v 0 2 + 2 ad (ΠΎΠ±ΡΠ°ΡΠΈΡΠ΅ Π²Π½ΠΈΠΌΠ°Π½ΠΈΠ΅, ΡΡΠΎ a ΠΏΠΎΡΠ²Π»ΡΠ΅ΡΡΡ Π² Π²ΡΡΠ°ΠΆΠ΅Π½ΠΈΠΈ Π΄Π»Ρ ΡΠΈΡΡΠΎΠΉ ΡΠ°Π±ΠΎΡΡ).2 \\ [/ latex], ΡΡΠΎ ΡΠ½Π΅ΡΠ³ΠΈΡ, ΡΠ²ΡΠ·Π°Π½Π½Π°Ρ Ρ ΠΏΠΎΡΡΡΠΏΠ°ΡΠ΅Π»ΡΠ½ΡΠΌ Π΄Π²ΠΈΠΆΠ΅Π½ΠΈΠ΅ΠΌ. ΠΠΈΠ½Π΅ΡΠΈΡΠ΅ΡΠΊΠ°Ρ ΡΠ½Π΅ΡΠ³ΠΈΡ – ΡΡΠΎ ΡΠΎΡΠΌΠ° ΡΠ½Π΅ΡΠ³ΠΈΠΈ, ΡΠ²ΡΠ·Π°Π½Π½Π°Ρ Ρ Π΄Π²ΠΈΠΆΠ΅Π½ΠΈΠ΅ΠΌ ΡΠ°ΡΡΠΈΡΡ, ΠΎΡΠ΄Π΅Π»ΡΠ½ΠΎΠ³ΠΎ ΡΠ΅Π»Π° ΠΈΠ»ΠΈ ΡΠΈΡΡΠ΅ΠΌΡ ΠΎΠ±ΡΠ΅ΠΊΡΠΎΠ², Π΄Π²ΠΈΠΆΡΡΠΈΡ ΡΡ Π²ΠΌΠ΅ΡΡΠ΅.
ΠΡ Π·Π½Π°Π΅ΠΌ, ΡΡΠΎ ΡΡΠ΅Π±ΡΠ΅ΡΡΡ ΡΠ½Π΅ΡΠ³ΠΈΡ, ΡΡΠΎΠ±Ρ ΠΏΡΠΈΠ²Π΅ΡΡΠΈ ΠΎΠ±ΡΠ΅ΠΊΡ, ΡΠ°ΠΊΠΎΠΉ ΠΊΠ°ΠΊ Π°Π²ΡΠΎΠΌΠΎΠ±ΠΈΠ»Ρ ΠΈΠ»ΠΈ ΠΏΠ°ΠΊΠ΅Ρ Π½Π° Π ΠΈΡΡΠ½ΠΊΠ΅ 3, ΠΊ ΡΠΊΠΎΡΠΎΡΡΠΈ, Π½ΠΎ ΠΌΠΎΠΆΠ΅Ρ Π±ΡΡΡ Π½Π΅ΠΌΠ½ΠΎΠ³ΠΎ ΡΠ΄ΠΈΠ²ΠΈΡΠ΅Π»ΡΠ½ΠΎ, ΡΡΠΎ ΠΊΠΈΠ½Π΅ΡΠΈΡΠ΅ΡΠΊΠ°Ρ ΡΠ½Π΅ΡΠ³ΠΈΡ ΠΏΡΠΎΠΏΠΎΡΡΠΈΠΎΠ½Π°Π»ΡΠ½Π° ΠΊΠ²Π°Π΄ΡΠ°ΡΡ ΡΠΊΠΎΡΠΎΡΡΠΈ. ΠΡΠ° ΠΏΡΠΎΠΏΠΎΡΡΠΈΠΎΠ½Π°Π»ΡΠ½ΠΎΡΡΡ ΠΎΠ·Π½Π°ΡΠ°Π΅Ρ, Π½Π°ΠΏΡΠΈΠΌΠ΅Ρ, ΡΡΠΎ Π°Π²ΡΠΎΠΌΠΎΠ±ΠΈΠ»Ρ, Π΄Π²ΠΈΠΆΡΡΠΈΠΉΡΡ ΡΠΎ ΡΠΊΠΎΡΠΎΡΡΡΡ 100 ΠΊΠΌ / Ρ, ΠΈΠΌΠ΅Π΅Ρ Π² ΡΠ΅ΡΡΡΠ΅ ΡΠ°Π·Π° Π±ΠΎΠ»ΡΡΡΡ ΠΊΠΈΠ½Π΅ΡΠΈΡΠ΅ΡΠΊΡΡ ΡΠ½Π΅ΡΠ³ΠΈΡ, ΡΠ΅ΠΌ ΠΏΡΠΈ 50 ΠΊΠΌ / Ρ, ΡΡΠΎ ΠΏΠΎΠΌΠΎΠ³Π°Π΅Ρ ΠΎΠ±ΡΡΡΠ½ΠΈΡΡ, ΠΏΠΎΡΠ΅ΠΌΡ ΡΡΠΎΠ»ΠΊΠ½ΠΎΠ²Π΅Π½ΠΈΡ Π½Π° Π²ΡΡΠΎΠΊΠΎΠΉ ΡΠΊΠΎΡΠΎΡΡΠΈ Π½Π°ΡΡΠΎΠ»ΡΠΊΠΎ ΡΠ°Π·ΡΡΡΠΈΡΠ΅Π»ΡΠ½Ρ.Π’Π΅ΠΏΠ΅ΡΡ ΠΌΡ ΡΠ°ΡΡΠΌΠΎΡΡΠΈΠΌ ΡΠ΅ΡΠΈΡ ΠΏΡΠΈΠΌΠ΅ΡΠΎΠ², ΡΡΠΎΠ±Ρ ΠΏΡΠΎΠΈΠ»Π»ΡΡΡΡΠΈΡΠΎΠ²Π°ΡΡ ΡΠ°Π·Π»ΠΈΡΠ½ΡΠ΅ Π°ΡΠΏΠ΅ΠΊΡΡ ΡΠ°Π±ΠΎΡΡ ΠΈ ΡΠ½Π΅ΡΠ³ΠΈΠΈ.
ΠΡΠΈΠΌΠ΅Ρ 1. Π Π°ΡΡΠ΅Ρ ΠΊΠΈΠ½Π΅ΡΠΈΡΠ΅ΡΠΊΠΎΠΉ ΡΠ½Π΅ΡΠ³ΠΈΠΈ ΡΠΏΠ°ΠΊΠΎΠ²ΠΊΠΈ
ΠΡΠ΅Π΄ΠΏΠΎΠ»ΠΎΠΆΠΈΠΌ, ΡΡΠΎ 30,0-ΠΊΠΈΠ»ΠΎΠ³ΡΠ°ΠΌΠΌΠΎΠ²Π°Ρ ΡΠΏΠ°ΠΊΠΎΠ²ΠΊΠ° Π½Π° ΡΠΎΠ»ΠΈΠΊΠΎΠ²ΠΎΠΉ Π»Π΅Π½ΡΠΎΡΠ½ΠΎΠΉ ΠΊΠΎΠ½Π²Π΅ΠΉΠ΅ΡΠ½ΠΎΠΉ ΡΠΈΡΡΠ΅ΠΌΠ΅, ΠΏΠΎΠΊΠ°Π·Π°Π½Π½ΠΎΠΉ Π½Π° ΡΠΈΡΡΠ½ΠΊΠ΅ 3, Π΄Π²ΠΈΠΆΠ΅ΡΡΡ ΡΠΎ ΡΠΊΠΎΡΠΎΡΡΡΡ 0,500 ΠΌ / Ρ. ΠΠ°ΠΊΠΎΠ²Π° Π΅Π³ΠΎ ΠΊΠΈΠ½Π΅ΡΠΈΡΠ΅ΡΠΊΠ°Ρ ΡΠ½Π΅ΡΠ³ΠΈΡ?
Π‘ΡΡΠ°ΡΠ΅Π³ΠΈΡ
ΠΠΎΡΠΊΠΎΠ»ΡΠΊΡ Π΄Π°Π½Ρ ΠΌΠ°ΡΡΠ° ΠΌ ΠΈ ΡΠΊΠΎΡΠΎΡΡΡ v , ΠΊΠΈΠ½Π΅ΡΠΈΡΠ΅ΡΠΊΠ°Ρ ΡΠ½Π΅ΡΠ³ΠΈΡ ΠΌΠΎΠΆΠ΅Ρ Π±ΡΡΡ ΡΠ°ΡΡΡΠΈΡΠ°Π½Π° Π½Π° ΠΎΡΠ½ΠΎΠ²Π΅ Π΅Π΅ ΠΎΠΏΡΠ΅Π΄Π΅Π»Π΅Π½ΠΈΡ, ΠΏΡΠΈΠ²Π΅Π΄Π΅Π½Π½ΠΎΠ³ΠΎ Π² ΡΡΠ°Π²Π½Π΅Π½ΠΈΠΈ [Π»Π°ΡΠ΅ΠΊΡ] \ text {KE} = \ frac {1} {2} mv ^ 2 \ \[/Π»Π°ΡΠ΅ΠΊΡ].2 \\ [/ Π»Π°ΡΠ΅ΠΊΡ].
ΠΠ²ΠΎΠ΄ ΠΈΠ·Π²Π΅ΡΡΠ½ΡΡ Π·Π½Π°ΡΠ΅Π½ΠΈΠΉ Π΄Π°Π΅Ρ KE = 0,5 (30,0 ΠΊΠ³) (0,500 ΠΌ / Ρ) 2 , ΡΡΠΎ Π΄Π°Π΅Ρ
KE = 3,75 ΠΊΠ³ ΠΌ 2 / Ρ 2 = 3,75 ΠΠΆ.
ΠΠ±ΡΡΠΆΠ΄Π΅Π½ΠΈΠ΅
ΠΠ±ΡΠ°ΡΠΈΡΠ΅ Π²Π½ΠΈΠΌΠ°Π½ΠΈΠ΅, ΡΡΠΎ Π΅Π΄ΠΈΠ½ΠΈΡΠ΅ΠΉ ΠΊΠΈΠ½Π΅ΡΠΈΡΠ΅ΡΠΊΠΎΠΉ ΡΠ½Π΅ΡΠ³ΠΈΠΈ ΡΠ²Π»ΡΠ΅ΡΡΡ Π΄ΠΆΠΎΡΠ»Ρ, ΡΠΎ ΠΆΠ΅ ΡΠ°ΠΌΠΎΠ΅, ΡΡΠΎ ΠΈ Π΅Π΄ΠΈΠ½ΠΈΡΠ° ΡΠ°Π±ΠΎΡΡ, ΠΊΠ°ΠΊ ΡΠΏΠΎΠΌΠΈΠ½Π°Π»ΠΎΡΡ ΠΏΡΠΈ ΠΏΠ΅ΡΠ²ΠΎΠΌ ΠΎΠΏΡΠ΅Π΄Π΅Π»Π΅Π½ΠΈΠΈ ΡΠ°Π±ΠΎΡΡ. Π’Π°ΠΊΠΆΠ΅ ΠΈΠ½ΡΠ΅ΡΠ΅ΡΠ½ΠΎ ΡΠΎ, ΡΡΠΎ, Ρ ΠΎΡΡ ΡΡΠΎ Π΄ΠΎΠ²ΠΎΠ»ΡΠ½ΠΎ ΠΌΠ°ΡΡΠΈΠ²Π½ΡΠΉ ΠΏΠ°ΠΊΠ΅Ρ, Π΅Π³ΠΎ ΠΊΠΈΠ½Π΅ΡΠΈΡΠ΅ΡΠΊΠ°Ρ ΡΠ½Π΅ΡΠ³ΠΈΡ Π½Π΅Π²Π΅Π»ΠΈΠΊΠ° ΠΏΡΠΈ ΡΠ°ΠΊΠΎΠΉ ΠΎΡΠ½ΠΎΡΠΈΡΠ΅Π»ΡΠ½ΠΎ Π½ΠΈΠ·ΠΊΠΎΠΉ ΡΠΊΠΎΡΠΎΡΡΠΈ. ΠΡΠΎΡ ΡΠ°ΠΊΡ ΡΠΎΠ³Π»Π°ΡΡΠ΅ΡΡΡ Ρ Π½Π°Π±Π»ΡΠ΄Π΅Π½ΠΈΠ΅ΠΌ, ΡΡΠΎ Π»ΡΠ΄ΠΈ ΠΌΠΎΠ³ΡΡ ΠΏΠ΅ΡΠ΅ΠΌΠ΅ΡΠ°ΡΡ ΠΏΠ°ΠΊΠ΅ΡΡ ΡΠ°ΠΊΠΈΠΌ ΠΎΠ±ΡΠ°Π·ΠΎΠΌ, Π½Π΅ ΠΈΠ·Π½ΡΡΡΡ ΡΠ΅Π±Ρ.
ΠΡΠΈΠΌΠ΅Ρ 2. ΠΠΏΡΠ΅Π΄Π΅Π»Π΅Π½ΠΈΠ΅ ΡΠ°Π±ΠΎΡΡ ΠΏΠΎ ΡΡΠΊΠΎΡΠ΅Π½ΠΈΡ ΠΏΠ°ΠΊΠ΅ΡΠ°
ΠΡΠ΅Π΄ΠΏΠΎΠ»ΠΎΠΆΠΈΠΌ, ΡΡΠΎ Π²Ρ ΡΠΎΠ»ΠΊΠ°Π΅ΡΠ΅ 30,0-ΠΊΠΈΠ»ΠΎΠ³ΡΠ°ΠΌΠΌΠΎΠ²ΡΠΉ ΠΏΠ°ΠΊΠ΅Ρ, ΠΏΠΎΠΊΠ°Π·Π°Π½Π½ΡΠΉ Π½Π° ΡΠΈΡ. 3, Ρ ΠΏΠΎΡΡΠΎΡΠ½Π½ΠΎΠΉ ΡΠΈΠ»ΠΎΠΉ 120 Π Π½Π° ΡΠ°ΡΡΡΠΎΡΠ½ΠΈΠ΅ 0,800 ΠΌ, Π° ΡΠΈΠ»Π° ΡΡΠ΅Π½ΠΈΡ ΠΏΡΠΎΡΠΈΠ²ΠΎΠΏΠΎΠ»ΠΎΠΆΠ½ΠΎΠΉ ΡΡΠΎΡΠΎΠ½Ρ Π² ΡΡΠ΅Π΄Π½Π΅ΠΌ ΡΠΎΡΡΠ°Π²Π»ΡΠ΅Ρ 5,00 Π.
- Π Π°ΡΡΡΠΈΡΠ°ΠΉΡΠ΅ ΡΠΈΡΡΡΡ ΡΠ°Π±ΠΎΡΡ, ΠΏΡΠΎΠ΄Π΅Π»Π°Π½Π½ΡΡ Ρ ΡΠΏΠ°ΠΊΠΎΠ²ΠΊΠΎΠΉ.
- Π Π΅ΡΠΈΡΠ΅ ΡΡ ΠΆΠ΅ ΠΏΡΠΎΠ±Π»Π΅ΠΌΡ, ΡΡΠΎ ΠΈ Π² ΡΠ°ΡΡΠΈ 1, Π½Π° ΡΡΠΎΡ ΡΠ°Π· ΠΎΠΏΡΠ΅Π΄Π΅Π»ΠΈΠ² ΡΠ°Π±ΠΎΡΡ, Π²ΡΠΏΠΎΠ»Π½ΡΠ΅ΠΌΡΡ ΠΊΠ°ΠΆΠ΄ΠΎΠΉ ΡΠΈΠ»ΠΎΠΉ, ΠΊΠΎΡΠΎΡΠ°Ρ Π²Π½ΠΎΡΠΈΡ Π²ΠΊΠ»Π°Π΄ Π² ΡΠ΅Π·ΡΠ»ΡΡΠΈΡΡΡΡΡΡ ΡΠΈΠ»Ρ.
Π‘ΡΡΠ°ΡΠ΅Π³ΠΈΡ ΠΈ ΠΊΠΎΠ½ΡΠ΅ΠΏΡΠΈΡ ΡΠ°ΡΡΠΈ 1
ΠΡΠΎ Π΄Π²ΠΈΠΆΠ΅Π½ΠΈΠ΅ Π² Π·Π°Π΄Π°ΡΠ΅ ΠΎΠ΄Π½ΠΎΠ³ΠΎ ΠΈΠ·ΠΌΠ΅ΡΠ΅Π½ΠΈΡ, ΠΏΠΎΡΠΎΠΌΡ ΡΡΠΎ Π½Π°ΠΏΡΠ°Π²Π»Π΅Π½Π½Π°Ρ Π²Π½ΠΈΠ· ΡΠΈΠ»Π° (ΠΎΡ Π²Π΅ΡΠ° ΡΠΏΠ°ΠΊΠΎΠ²ΠΊΠΈ) ΠΈ Π½ΠΎΡΠΌΠ°Π»ΡΠ½Π°Ρ ΡΠΈΠ»Π° ΠΈΠΌΠ΅ΡΡ ΡΠ°Π²Π½ΡΡ Π²Π΅Π»ΠΈΡΠΈΠ½Ρ ΠΈ ΠΏΡΠΎΡΠΈΠ²ΠΎΠΏΠΎΠ»ΠΎΠΆΠ½ΠΎΠ΅ Π½Π°ΠΏΡΠ°Π²Π»Π΅Π½ΠΈΠ΅, ΡΠ°ΠΊ ΡΡΠΎ ΠΎΠ½ΠΈ ΠΊΠΎΠΌΠΏΠ΅Π½ΡΠΈΡΡΡΡΡΡ ΠΏΡΠΈ Π²ΡΡΠΈΡΠ»Π΅Π½ΠΈΠΈ ΡΠΈΡΡΠΎΠΉ ΡΠΈΠ»Ρ, Π² ΡΠΎ Π²ΡΠ΅ΠΌΡ ΠΊΠ°ΠΊ ΠΏΡΠΈΠ»ΠΎΠΆΠ΅Π½Π½Π°Ρ ΡΠΈΠ»Π°, ΡΡΠ΅Π½ΠΈΠ΅, ΠΈ ΡΠΌΠ΅ΡΠ΅Π½ΠΈΡ Π²ΡΠ΅ Π³ΠΎΡΠΈΠ·ΠΎΠ½ΡΠ°Π»ΡΠ½ΡΠ΅.(Π‘ΠΌ. Π ΠΈΡΡΠ½ΠΎΠΊ 3.) ΠΠ°ΠΊ ΠΈ ΠΎΠΆΠΈΠ΄Π°Π»ΠΎΡΡ, ΡΠΈΡΡΠ°Ρ ΡΠ°Π±ΠΎΡΠ° – ΡΡΠΎ ΡΠΈΡΡΠ°Ρ ΡΠΈΠ»Π°, ΡΠΌΠ½ΠΎΠΆΠ΅Π½Π½Π°Ρ Π½Π° ΡΠ°ΡΡΡΠΎΡΠ½ΠΈΠ΅.
Π Π΅ΡΠ΅Π½ΠΈΠ΅ Π΄Π»Ρ Π§Π°ΡΡΠΈ 1
Π§ΠΈΡΡΠ°Ρ ΡΠΈΠ»Π° ΡΠ°Π²Π½Π° ΡΠΎΠ»ΠΊΠ°ΡΡΠ΅ΠΉ ΡΠΈΠ»Π΅ ΠΌΠΈΠ½ΡΡ ΡΡΠ΅Π½ΠΈΠ΅, ΠΈΠ»ΠΈ F net = 120 Π – 5,00 Π = 115 Π. Π’Π°ΠΊΠΈΠΌ ΠΎΠ±ΡΠ°Π·ΠΎΠΌ, ΡΠΈΡΡΠ°Ρ ΡΠ°Π±ΠΎΡΠ° ΡΠ°Π²Π½Π°
[Π»Π°ΡΠ΅ΠΊΡ] \ begin {array} {lll} W _ {\ text {net}} & = & F _ {\ text {net}} d = (115 \ text {N}) (0.800 \ text {m}) \\ \ text {} & = & 9.20 \ text {N} \ cdot {\ text {m}} = 92.0 \ text {J} \ end {array} \\ [/ latex]
ΠΠ±ΡΡΠΆΠ΄Π΅Π½ΠΈΠ΅ ΡΠ°ΡΡΠΈ 1
ΠΡΠΎ Π·Π½Π°ΡΠ΅Π½ΠΈΠ΅ ΠΏΡΠ΅Π΄ΡΡΠ°Π²Π»ΡΠ΅Ρ ΡΠΎΠ±ΠΎΠΉ ΡΠΈΡΡΡΡ ΡΠ°Π±ΠΎΡΡ, Π²ΡΠΏΠΎΠ»Π½Π΅Π½Π½ΡΡ Ρ ΠΏΠ°ΠΊΠ΅ΡΠΎΠΌ.Π§Π΅Π»ΠΎΠ²Π΅ΠΊ Π½Π° ΡΠ°ΠΌΠΎΠΌ Π΄Π΅Π»Π΅ Π²ΡΠΏΠΎΠ»Π½ΡΠ΅Ρ Π±ΠΎΠ»ΡΡΠ΅ ΡΠ°Π±ΠΎΡΡ, ΠΏΠΎΡΠΎΠΌΡ ΡΡΠΎ ΡΡΠ΅Π½ΠΈΠ΅ ΠΏΡΠ΅ΠΏΡΡΡΡΠ²ΡΠ΅Ρ Π΄Π²ΠΈΠΆΠ΅Π½ΠΈΡ. Π’ΡΠ΅Π½ΠΈΠ΅ ΡΠΎΠ²Π΅ΡΡΠ°Π΅Ρ Π½Π΅Π³Π°ΡΠΈΠ²Π½ΡΡ ΡΠ°Π±ΠΎΡΡ ΠΈ ΡΠ΄Π°Π»ΡΠ΅Ρ ΡΠ°ΡΡΡ ΡΠ½Π΅ΡΠ³ΠΈΠΈ, ΠΊΠΎΡΠΎΡΡΡ ΡΠ΅Π»ΠΎΠ²Π΅ΠΊ ΡΡΠ°ΡΠΈΡ, ΠΈ ΠΏΡΠ΅ΠΎΠ±ΡΠ°Π·ΡΠ΅Ρ Π΅Π΅ Π² ΡΠ΅ΠΏΠ»ΠΎΠ²ΡΡ ΡΠ½Π΅ΡΠ³ΠΈΡ. Π§ΠΈΡΡΠ°Ρ ΡΠ°Π±ΠΎΡΠ° ΡΠ°Π²Π½Π° ΡΡΠΌΠΌΠ΅ ΡΠ°Π±ΠΎΡΡ, ΠΏΡΠΎΠ΄Π΅Π»Π°Π½Π½ΠΎΠΉ ΠΊΠ°ΠΆΠ΄ΠΎΠΉ ΠΎΡΠ΄Π΅Π»ΡΠ½ΠΎΠΉ ΡΠΈΠ»ΠΎΠΉ.
Π‘ΡΡΠ°ΡΠ΅Π³ΠΈΡ ΠΈ ΠΊΠΎΠ½ΡΠ΅ΠΏΡΠΈΡ ΡΠ°ΡΡΠΈ 2
Π ΡΠΈΠ»Π°ΠΌ, Π΄Π΅ΠΉΡΡΠ²ΡΡΡΠΈΠΌ Π½Π° ΡΠΏΠ°ΠΊΠΎΠ²ΠΊΡ, ΠΎΡΠ½ΠΎΡΡΡΡΡ ΡΠΈΠ»Π° ΡΡΠΆΠ΅ΡΡΠΈ, Π½ΠΎΡΠΌΠ°Π»ΡΠ½Π°Ρ ΡΠΈΠ»Π°, ΡΠΈΠ»Π° ΡΡΠ΅Π½ΠΈΡ ΠΈ ΠΏΡΠΈΠ»ΠΎΠΆΠ΅Π½Π½Π°Ρ ΡΠΈΠ»Π°. ΠΠΎΡΠΌΠ°Π»ΡΠ½Π°Ρ ΡΠΈΠ»Π° ΠΈ ΡΠΈΠ»Π° ΡΡΠΆΠ΅ΡΡΠΈ ΠΏΠ΅ΡΠΏΠ΅Π½Π΄ΠΈΠΊΡΠ»ΡΡΠ½Ρ ΠΏΠ΅ΡΠ΅ΠΌΠ΅ΡΠ΅Π½ΠΈΡ ΠΈ ΠΏΠΎΡΡΠΎΠΌΡ Π½Π΅ ΡΠ°Π±ΠΎΡΠ°ΡΡ.{\ circ}) = F _ {\ text {fr}} d \\\ text {} & = & – (5.00 \ text {N}) (0.800 \ text {m}) \\\ text {} & = & -4.00 \ text {J} \ end {array} \\ [/ latex]
Π’Π°ΠΊΠΈΠΌ ΠΎΠ±ΡΠ°Π·ΠΎΠΌ, ΠΊΠΎΠ»ΠΈΡΠ΅ΡΡΠ²ΠΎ ΡΠ°Π±ΠΎΡΡ, ΡΠΎΠ²Π΅ΡΡΠ°Π΅ΠΌΠΎΠΉ Π³ΡΠ°Π²ΠΈΡΠ°ΡΠΈΠ΅ΠΉ, Π½ΠΎΡΠΌΠ°Π»ΡΠ½ΠΎΠΉ ΡΠΈΠ»ΠΎΠΉ, ΠΏΡΠΈΠ»ΠΎΠΆΠ΅Π½Π½ΠΎΠΉ ΡΠΈΠ»ΠΎΠΉ ΠΈ ΡΡΠ΅Π½ΠΈΠ΅ΠΌ, ΡΠΎΡΡΠ°Π²Π»ΡΠ΅Ρ, ΡΠΎΠΎΡΠ²Π΅ΡΡΡΠ²Π΅Π½Π½ΠΎ,
.[Π»Π°ΡΠ΅ΠΊΡ] \ begin {array} {lll} W _ {\ text {gr}} & = & 0, \\ W _ {\ text {N}} & = & 0, \\ W _ {\ text {app}} & = & 96.0 \ text {J}, \\ W _ {\ text {fr}} & = & – 4.00. \ Text {J} \ end {array} \\ [/ latex]
ΠΠ±ΡΠ°Ρ ΠΏΡΠΎΠ΄Π΅Π»Π°Π½Π½Π°Ρ ΡΠ°Π±ΠΎΡΠ° ΠΊΠ°ΠΊ ΡΡΠΌΠΌΠ° ΡΠ°Π±ΠΎΡΡ, Π²ΡΠΏΠΎΠ»Π½Π΅Π½Π½ΠΎΠΉ ΠΊΠ°ΠΆΠ΄ΠΎΠΉ ΡΠΈΠ»ΠΎΠΉ, ΡΠΎΠ³Π΄Π° ΡΠΎΡΡΠ°Π²Π»ΡΠ΅Ρ ΠΡ ΠΈΡΠΎΠ³ΠΎ = ΠΡ gr + W N + W app + W ΡΡ = 92.0 ΠΠΆ.
ΠΠ±ΡΡΠΆΠ΄Π΅Π½ΠΈΠ΅ ΡΠ°ΡΡΠΈ 2
Π Π°ΡΡΠ΅ΡΠ½Π°Ρ ΠΎΠ±ΡΠ°Ρ ΡΠ°Π±ΠΎΡΠ° ΠΡ ΠΈΡΠΎΠ³ΠΎ , ΠΏΠΎΡΠΊΠΎΠ»ΡΠΊΡ ΡΡΠΌΠΌΠ° ΡΠ°Π±ΠΎΡΡ ΠΊΠ°ΠΆΠ΄ΠΎΠΉ ΡΠΈΠ»Ρ ΡΠΎΠ³Π»Π°ΡΡΠ΅ΡΡΡ, ΠΊΠ°ΠΊ ΠΈ ΠΎΠΆΠΈΠ΄Π°Π»ΠΎΡΡ, Ρ ΡΠ°Π±ΠΎΡΠΎΠΉ ΠΡ Π½Π΅ΡΡΠΎ , Π²ΡΠΏΠΎΠ»Π½Π΅Π½Π½ΠΎΠΉ ΡΠΈΡΡΠΎΠΉ ΡΠΈΠ»ΠΎΠΉ. Π Π°Π±ΠΎΡΠ°, Π²ΡΠΏΠΎΠ»Π½ΡΠ΅ΠΌΠ°Ρ ΡΠΎΠ²ΠΎΠΊΡΠΏΠ½ΠΎΡΡΡΡ ΡΠΈΠ», Π΄Π΅ΠΉΡΡΠ²ΡΡΡΠΈΡ Π½Π° ΠΎΠ±ΡΠ΅ΠΊΡ, ΠΌΠΎΠΆΠ΅Ρ Π±ΡΡΡ ΡΠ°ΡΡΡΠΈΡΠ°Π½Π° Π»ΡΠ±ΡΠΌ ΠΏΠΎΠ΄Ρ ΠΎΠ΄ΠΎΠΌ.
ΠΡΠΈΠΌΠ΅Ρ 3. ΠΠΏΡΠ΅Π΄Π΅Π»Π΅Π½ΠΈΠ΅ ΡΠΊΠΎΡΠΎΡΡΠΈ ΡΠ°Π±ΠΎΡΡ ΠΈ ΡΠ½Π΅ΡΠ³ΠΈΠΈ
ΠΠ°ΠΉΠ΄ΠΈΡΠ΅ ΡΠΊΠΎΡΠΎΡΡΡ ΠΏΠ°ΠΊΠ΅ΡΠ° Π½Π° Π ΠΈΡΡΠ½ΠΊΠ΅ 3 Π² ΠΊΠΎΠ½ΡΠ΅ ΡΠΎΠ»ΡΠΊΠ°, ΠΈΡΠΏΠΎΠ»ΡΠ·ΡΡ ΠΊΠΎΠ½ΡΠ΅ΠΏΡΠΈΠΈ ΡΠ°Π±ΠΎΡΡ ΠΈ ΡΠ½Π΅ΡΠ³ΠΈΠΈ.2} {30.0 \ text {kg}}} \\\ text {} & = & 2.53 \ text {m / s} \ end {array} \\ [/ latex]
ΠΠ±ΡΡΠΆΠ΄Π΅Π½ΠΈΠ΅
ΠΡΠΏΠΎΠ»ΡΠ·ΡΡ ΡΠ°Π±ΠΎΡΡ ΠΈ ΡΠ½Π΅ΡΠ³ΠΈΡ, ΠΌΡ Π½Π΅ ΡΠΎΠ»ΡΠΊΠΎ ΠΏΡΠΈΡ ΠΎΠ΄ΠΈΠΌ ΠΊ ΠΎΡΠ²Π΅ΡΡ, ΠΌΡ Π²ΠΈΠ΄ΠΈΠΌ, ΡΡΠΎ ΠΊΠΎΠ½Π΅ΡΠ½Π°Ρ ΠΊΠΈΠ½Π΅ΡΠΈΡΠ΅ΡΠΊΠ°Ρ ΡΠ½Π΅ΡΠ³ΠΈΡ – ΡΡΠΎ ΡΡΠΌΠΌΠ° Π½Π°ΡΠ°Π»ΡΠ½ΠΎΠΉ ΠΊΠΈΠ½Π΅ΡΠΈΡΠ΅ΡΠΊΠΎΠΉ ΡΠ½Π΅ΡΠ³ΠΈΠΈ ΠΈ ΡΠΈΡΡΠΎΠΉ ΡΠ°Π±ΠΎΡΡ, ΠΏΡΠΎΠ΄Π΅Π»Π°Π½Π½ΠΎΠΉ Ρ ΡΠΏΠ°ΠΊΠΎΠ²ΠΊΠΎΠΉ. ΠΡΠΎ ΠΎΠ·Π½Π°ΡΠ°Π΅Ρ, ΡΡΠΎ ΡΠ°Π±ΠΎΡΠ° Π΄Π΅ΠΉΡΡΠ²ΠΈΡΠ΅Π»ΡΠ½ΠΎ ΡΠ²Π΅Π»ΠΈΡΠΈΠ²Π°Π΅Ρ ΡΠ½Π΅ΡΠ³ΠΈΡ ΡΠΏΠ°ΠΊΠΎΠ²ΠΊΠΈ.
ΠΡΠΈΠΌΠ΅Ρ 4. Π Π°Π±ΠΎΡΠ° ΠΈ ΡΠ½Π΅ΡΠ³ΠΈΡ ΡΠΎΠΆΠ΅ ΠΌΠΎΠ³ΡΡ ΠΎΠΏΡΠ΅Π΄Π΅Π»ΡΡΡ ΡΠ°ΡΡΡΠΎΡΠ½ΠΈΠ΅
ΠΠ°ΠΊ Π΄Π°Π»Π΅ΠΊΠΎ ΠΏΠ°ΠΊΠΎΠ²ΠΊΠ° Π½Π° ΡΠΈΡ. 3 ΠΏΡΠΎΠ΄Π²ΠΈΠ³Π°Π΅ΡΡΡ ΠΏΠΎ ΠΈΠ½Π΅ΡΡΠΈΠΈ ΠΏΠΎΡΠ»Π΅ ΡΠΎΠ»ΡΠΊΠ°, Π΅ΡΠ»ΠΈ ΡΡΠ΅Π½ΠΈΠ΅ ΠΎΡΡΠ°Π΅ΡΡΡ ΠΏΠΎΡΡΠΎΡΠ½Π½ΡΠΌ? ΠΡΠΏΠΎΠ»ΡΠ·ΡΠΉΡΠ΅ ΡΠΎΠΎΠ±ΡΠ°ΠΆΠ΅Π½ΠΈΡ ΡΠ°Π±ΠΎΡΡ ΠΈ ΡΠ½Π΅ΡΠ³ΠΈΠΈ.
Π‘ΡΡΠ°ΡΠ΅Π³ΠΈΡ
ΠΡ Π·Π½Π°Π΅ΠΌ, ΡΡΠΎ ΠΊΠ°ΠΊ ΡΠΎΠ»ΡΠΊΠΎ ΡΠ΅Π»ΠΎΠ²Π΅ΠΊ ΠΏΠ΅ΡΠ΅ΡΡΠ°Π½Π΅Ρ ΡΠΎΠ»ΠΊΠ°ΡΡ, ΡΡΠ΅Π½ΠΈΠ΅ ΠΎΡΡΠ°Π½ΠΎΠ²ΠΈΡ ΡΠΏΠ°ΠΊΠΎΠ²ΠΊΡ. Π§ΡΠΎ ΠΊΠ°ΡΠ°Π΅ΡΡΡ ΡΠ½Π΅ΡΠ³ΠΈΠΈ, ΡΡΠ΅Π½ΠΈΠ΅ Π²ΡΠΏΠΎΠ»Π½ΡΠ΅Ρ ΠΎΡΡΠΈΡΠ°ΡΠ΅Π»ΡΠ½ΡΡ ΡΠ°Π±ΠΎΡΡ Π΄ΠΎ ΡΠ΅Ρ ΠΏΠΎΡ, ΠΏΠΎΠΊΠ° Π½Π΅ ΡΠ±ΠΈΡΠ°Π΅Ρ Π²ΡΡ ΠΊΠΈΠ½Π΅ΡΠΈΡΠ΅ΡΠΊΡΡ ΡΠ½Π΅ΡΠ³ΠΈΡ ΡΠΏΠ°ΠΊΠΎΠ²ΠΊΠΈ. Π Π°Π±ΠΎΡΠ°, ΡΠΎΠ²Π΅ΡΡΠ°Π΅ΠΌΠ°Ρ ΡΡΠ΅Π½ΠΈΠ΅ΠΌ, – ΡΡΠΎ ΡΠΈΠ»Π° ΡΡΠ΅Π½ΠΈΡ, ΡΠΌΠ½ΠΎΠΆΠ΅Π½Π½Π°Ρ Π½Π° ΠΏΡΠΎΠΉΠ΄Π΅Π½Π½ΠΎΠ΅ ΡΠ°ΡΡΡΠΎΡΠ½ΠΈΠ΅, ΡΠΌΠ½ΠΎΠΆΠ΅Π½Π½ΠΎΠ΅ Π½Π° ΠΊΠΎΡΠΈΠ½ΡΡ ΡΠ³Π»Π° ΠΌΠ΅ΠΆΠ΄Ρ ΡΠΈΠ»ΠΎΠΉ ΡΡΠ΅Π½ΠΈΡ ΠΈ ΡΠΌΠ΅ΡΠ΅Π½ΠΈΠ΅ΠΌ; ΡΠ»Π΅Π΄ΠΎΠ²Π°ΡΠ΅Π»ΡΠ½ΠΎ, ΡΡΠΎ Π΄Π°Π΅Ρ Π½Π°ΠΌ ΡΠΏΠΎΡΠΎΠ± ΠΎΠΏΡΠ΅Π΄Π΅Π»ΠΈΡΡ ΡΠ°ΡΡΡΠΎΡΠ½ΠΈΠ΅, ΠΏΡΠΎΠΉΠ΄Π΅Π½Π½ΠΎΠ΅ ΠΏΠΎΡΠ»Π΅ ΡΠΎΠ³ΠΎ, ΠΊΠ°ΠΊ ΡΠ΅Π»ΠΎΠ²Π΅ΠΊ ΠΏΡΠ΅ΠΊΡΠ°ΡΠΈΠ» ΡΠΎΠ»ΠΊΠ°ΡΡ.
Π Π΅ΡΠ΅Π½ΠΈΠ΅
ΠΠΎΡΠΌΠ°Π»ΡΠ½Π°Ρ ΡΠΈΠ»Π° ΠΈ ΡΠΈΠ»Π° ΡΡΠΆΠ΅ΡΡΠΈ ΠΎΡΠΌΠ΅Π½ΡΡΡΡΡ ΠΏΡΠΈ Π²ΡΡΠΈΡΠ»Π΅Π½ΠΈΠΈ ΡΠΈΡΡΠΎΠΉ ΡΠΈΠ»Ρ.ΠΠΎΡΠΈΠ·ΠΎΠ½ΡΠ°Π»ΡΠ½Π°Ρ ΡΠΈΠ»Π° ΡΡΠ΅Π½ΠΈΡ ΡΠΎΠ³Π΄Π° ΠΏΡΠ΅Π΄ΡΡΠ°Π²Π»ΡΠ΅Ρ ΡΠΎΠ±ΠΎΠΉ ΡΠ΅Π·ΡΠ»ΡΡΠΈΡΡΡΡΡΡ ΡΠΈΠ»Ρ, ΠΈ ΠΎΠ½Π° Π΄Π΅ΠΉΡΡΠ²ΡΠ΅Ρ ΠΏΡΠΎΡΠΈΠ²ΠΎΠΏΠΎΠ»ΠΎΠΆΠ½ΠΎ ΡΠΌΠ΅ΡΠ΅Π½ΠΈΡ, ΠΏΠΎΡΡΠΎΠΌΡ ΞΈ = 180ΒΊ. Π§ΡΠΎΠ±Ρ ΡΠΌΠ΅Π½ΡΡΠΈΡΡ ΠΊΠΈΠ½Π΅ΡΠΈΡΠ΅ΡΠΊΡΡ ΡΠ½Π΅ΡΠ³ΠΈΡ ΠΏΠ°ΠΊΠ΅ΡΠ° Π΄ΠΎ Π½ΡΠ»Ρ, ΡΠ°Π±ΠΎΡΠ° Π·Π° ΡΡΠ΅Ρ ΡΡΠ΅Π½ΠΈΡ Π΄ΠΎΠ»ΠΆΠ½Π° Π±ΡΡΡ ΠΌΠΈΠ½ΡΡ ΠΊΠΈΠ½Π΅ΡΠΈΡΠ΅ΡΠΊΠ°Ρ ΡΠ½Π΅ΡΠ³ΠΈΡ, Ρ ΠΊΠΎΡΠΎΡΠΎΠΉ ΠΏΠ°ΠΊΠ΅Ρ Π±ΡΠ» Π·Π°ΠΏΡΡΠ΅Π½, ΠΏΠ»ΡΡ ΡΠΎ, ΡΡΠΎ ΠΏΠ°ΠΊΠ΅Ρ Π½Π°ΠΊΠΎΠΏΠΈΠ» Π² ΡΠ΅Π·ΡΠ»ΡΡΠ°ΡΠ΅ ΡΠΎΠ»ΠΊΠ°Π½ΠΈΡ. Π’Π°ΠΊΠΈΠΌ ΠΎΠ±ΡΠ°Π·ΠΎΠΌ, W fr = -95,75 ΠΠΆ. ΠΡΠΎΠΌΠ΅ ΡΠΎΠ³ΠΎ, W fr = f d β² cos ΞΈ = – fd β², Π³Π΄Π΅ d β² – ΡΠ°ΡΡΡΠΎΡΠ½ΠΈΠ΅, Π½Π΅ΠΎΠ±Ρ ΠΎΠ΄ΠΈΠΌΠΎΠ΅ Π΄Π»Ρ ΠΎΡΡΠ°Π½Π°Π²Π»ΠΈΠ²Π°ΡΡΡΡ.Π’Π°ΠΊΠΈΠΌ ΠΎΠ±ΡΠ°Π·ΠΎΠΌ,
[Π»Π°ΡΠ΅ΠΊΡ] \ displaystyle {d} \ prime = – \ frac {W _ {\ text {fr}}} {f} = – \ frac {-95,75 \ text {J}} {5,00 \ text {N}} \ \ [/ Π»Π°ΡΠ΅ΠΊΡ]
ΠΈ ΠΏΠΎΡΡΠΎΠΌΡ d β² = 19,2 ΠΌ.
ΠΠ±ΡΡΠΆΠ΄Π΅Π½ΠΈΠ΅
ΠΡΠΎ ΡΠ°Π·ΡΠΌΠ½ΠΎΠ΅ ΡΠ°ΡΡΡΠΎΡΠ½ΠΈΠ΅, Π½Π° ΠΊΠΎΡΠΎΡΠΎΠΌ ΡΠΏΠ°ΠΊΠΎΠ²ΠΊΠ° ΠΌΠΎΠΆΠ΅Ρ Π΄Π²ΠΈΠ³Π°ΡΡΡΡ ΠΏΠΎ ΠΈΠ½Π΅ΡΡΠΈΠΎΠ½Π½ΠΎΠΉ ΠΊΠ°ΡΡΡΠΊΠ΅ Π½Π° ΠΊΠΎΠ½Π²Π΅ΠΉΠ΅ΡΠ½ΠΎΠΉ ΡΠΈΡΡΠ΅ΠΌΠ΅ Π±Π΅Π· ΡΡΠ΅Π½ΠΈΡ. ΠΠ±ΡΠ°ΡΠΈΡΠ΅ Π²Π½ΠΈΠΌΠ°Π½ΠΈΠ΅, ΡΡΠΎ ΡΠ°Π±ΠΎΡΠ°, ΡΠΎΠ²Π΅ΡΡΠ°Π΅ΠΌΠ°Ρ ΡΡΠ΅Π½ΠΈΠ΅ΠΌ, ΠΎΡΡΠΈΡΠ°ΡΠ΅Π»ΡΠ½Π° (ΡΠΈΠ»Π° Π½Π°ΠΏΡΠ°Π²Π»Π΅Π½Π° ββΠ² ΠΏΡΠΎΡΠΈΠ²ΠΎΠΏΠΎΠ»ΠΎΠΆΠ½ΠΎΠΌ Π½Π°ΠΏΡΠ°Π²Π»Π΅Π½ΠΈΠΈ Π΄Π²ΠΈΠΆΠ΅Π½ΠΈΡ), ΠΏΠΎΡΡΠΎΠΌΡ ΠΎΠ½Π° ΡΠ½ΠΈΠΌΠ°Π΅Ρ ΠΊΠΈΠ½Π΅ΡΠΈΡΠ΅ΡΠΊΡΡ ΡΠ½Π΅ΡΠ³ΠΈΡ.
ΠΠ΅ΠΊΠΎΡΠΎΡΡΠ΅ ΠΈΠ· ΠΏΡΠΈΠΌΠ΅ΡΠΎΠ² Π² ΡΡΠΎΠΌ ΡΠ°Π·Π΄Π΅Π»Π΅ ΠΌΠΎΠ³ΡΡ Π±ΡΡΡ ΡΠ΅ΡΠ΅Π½Ρ Π±Π΅Π· ΡΡΠ΅ΡΠ° ΡΠ½Π΅ΡΠ³ΠΈΠΈ, Π½ΠΎ Π·Π° ΡΡΠ΅Ρ ΡΠΏΡΡΠ΅Π½ΠΈΡ ΠΏΠΎΠ½ΠΈΠΌΠ°Π½ΠΈΡ ΡΠΎΠ³ΠΎ, ΠΊΠ°ΠΊΠ°Ρ ΡΠ°Π±ΠΎΡΠ° ΠΈ ΡΠ½Π΅ΡΠ³ΠΈΡ Π΄Π΅Π»Π°ΡΡ Π² ΡΡΠΎΠΉ ΡΠΈΡΡΠ°ΡΠΈΠΈ.2 \\ [/ Π»Π°ΡΠ΅ΠΊΡ].
ΠΠΎΠ½ΡΠ΅ΠΏΡΡΠ°Π»ΡΠ½ΡΠ΅ Π²ΠΎΠΏΡΠΎΡΡ
- Π§Π΅Π»ΠΎΠ²Π΅ΠΊ Π½Π° Π ΠΈΡΡΠ½ΠΊΠ΅ 4 ΡΠ°Π±ΠΎΡΠ°Π΅Ρ Ρ Π³Π°Π·ΠΎΠ½ΠΎΠΊΠΎΡΠΈΠ»ΠΊΠΎΠΉ. ΠΡΠΈ ΠΊΠ°ΠΊΠΈΡ
ΡΡΠ»ΠΎΠ²ΠΈΡΡ
Π³Π°Π·ΠΎΠ½ΠΎΠΊΠΎΡΠΈΠ»ΠΊΠ° Π±ΡΠ΄Π΅Ρ Π½Π°Π±ΠΈΡΠ°ΡΡ ΡΠ½Π΅ΡΠ³ΠΈΡ? ΠΡΠΈ ΠΊΠ°ΠΊΠΈΡ
ΡΡΠ»ΠΎΠ²ΠΈΡΡ
ΠΎΠ½ ΠΏΠΎΡΠ΅ΡΡΠ΅Ρ ΡΠ½Π΅ΡΠ³ΠΈΡ?
Π ΠΈΡΡΠ½ΠΎΠΊ 4.
- Π§Π΅Π»ΠΎΠ²Π΅ΠΊ, ΡΠΎΠ»ΠΊΠ°ΡΡΠΈΠΉ Π³Π°Π·ΠΎΠ½ΠΎΠΊΠΎΡΠΈΠ»ΠΊΡ Ρ ΡΠΈΠ»ΠΎΠΉ F. Π‘ΠΈΠ»Π° ΠΏΡΠ΅Π΄ΡΡΠ°Π²Π»Π΅Π½Π° ββΠ²Π΅ΠΊΡΠΎΡΠΎΠΌ, ΡΠΎΡΡΠ°Π²Π»ΡΡΡΠΈΠΌ ΡΠ³ΠΎΠ» ΡΠ΅ΡΠ° Π½ΠΈΠΆΠ΅ Π³ΠΎΡΠΈΠ·ΠΎΠ½ΡΠ°Π»ΠΈ, Π° ΡΠ°ΡΡΡΠΎΡΠ½ΠΈΠ΅, ΠΏΡΠΎΠΉΠ΄Π΅Π½Π½ΠΎΠ΅ Π΄Π²ΠΈΠΆΠΈΡΠ΅Π»Π΅ΠΌ, ΠΏΡΠ΅Π΄ΡΡΠ°Π²Π»Π΅Π½ΠΎ Π²Π΅ΠΊΡΠΎΡΠΎΠΌ d. ΠΠΎΠΌΠΏΠΎΠ½Π΅Π½Ρ Π²Π΅ΠΊΡΠΎΡΠ° F Π²Π΄ΠΎΠ»Ρ Π²Π΅ΠΊΡΠΎΡΠ° d ΡΠ°Π²Π΅Π½ F ΠΊΠΎΡΠΈΠ½ΡΡ ΡΠ΅ΡΠ°.Π Π°Π±ΠΎΡΠ°, ΠΏΡΠΎΠ΄Π΅Π»Π°Π½Π½Π°Ρ ΡΠ΅Π»ΠΎΠ²Π΅ΠΊΠΎΠΌ, W ΡΠ°Π²Π½Π° F d ΠΊΠΎΡΠΈΠ½ΡΡ ΡΠ΅ΡΠ°.
Π Π°Π±ΠΎΡΠ°, ΠΏΡΠΎΠ΄Π΅Π»Π°Π½Π½Π°Ρ Π² ΡΠΈΡΡΠ΅ΠΌΠ΅, Π²ΠΊΠ»Π°Π΄ΡΠ²Π°Π΅Ρ Π² Π½Π΅Π΅ ΡΠ½Π΅ΡΠ³ΠΈΡ. Π Π°Π±ΠΎΡΠ°, Π²ΡΠΏΠΎΠ»Π½ΡΠ΅ΠΌΠ°Ρ ΡΠΈΡΡΠ΅ΠΌΠΎΠΉ, Π»ΠΈΡΠ°Π΅Ρ Π΅Π΅ ΡΠ½Π΅ΡΠ³ΠΈΠΈ. ΠΡΠΈΠ²Π΅Π΄ΠΈΡΠ΅ ΠΏΡΠΈΠΌΠ΅Ρ Π΄Π»Ρ ΠΊΠ°ΠΆΠ΄ΠΎΠ³ΠΎ ΡΡΠ²Π΅ΡΠΆΠ΄Π΅Π½ΠΈΡ. - ΠΡΠΈ Π²ΡΡΠΈΡΠ»Π΅Π½ΠΈΠΈ ΡΠΊΠΎΡΠΎΡΡΠΈ Π² ΠΏΡΠΈΠΌΠ΅ΡΠ΅ 3 ΠΌΡ ΡΠΎΡ ΡΠ°Π½ΠΈΠ»ΠΈ ΡΠΎΠ»ΡΠΊΠΎ ΠΏΠΎΠ»ΠΎΠΆΠΈΡΠ΅Π»ΡΠ½ΡΠΉ ΠΊΠΎΡΠ΅Π½Ρ. ΠΠΎΡΠ΅ΠΌΡ?
ΠΠ°Π΄Π°ΡΠΈ ΠΈ ΡΠΏΡΠ°ΠΆΠ½Π΅Π½ΠΈΡ
- Π‘ΡΠ°Π²Π½ΠΈΡΠ΅ ΠΊΠΈΠ½Π΅ΡΠΈΡΠ΅ΡΠΊΡΡ ΡΠ½Π΅ΡΠ³ΠΈΡ Π³ΡΡΠ·ΠΎΠ²ΠΈΠΊΠ° ΠΌΠ°ΡΡΠΎΠΉ 20 000 ΠΊΠ³, Π΄Π²ΠΈΠΆΡΡΠ΅Π³ΠΎΡΡ ΡΠΎ ΡΠΊΠΎΡΠΎΡΡΡΡ 110 ΠΊΠΌ / Ρ, Ρ ΠΊΠΈΠ½Π΅ΡΠΈΡΠ΅ΡΠΊΠΎΠΉ ΡΠ½Π΅ΡΠ³ΠΈΠ΅ΠΉ ΠΊΠΎΡΠΌΠΎΠ½Π°Π²ΡΠ° Π²Π΅ΡΠΎΠΌ 80,0 ΠΊΠ³ Π½Π° ΠΎΡΠ±ΠΈΡΠ΅, Π΄Π²ΠΈΠΆΡΡΠ΅Π³ΠΎΡΡ ΡΠΎ ΡΠΊΠΎΡΠΎΡΡΡΡ 27 500 ΠΊΠΌ / Ρ.
- (a) ΠΠ°ΡΠΊΠΎΠ»ΡΠΊΠΎ Π±ΡΡΡΡΠΎ Π΄ΠΎΠ»ΠΆΠ΅Π½ Π΄Π²ΠΈΠ³Π°ΡΡΡΡ ΡΠ»ΠΎΠ½ Π²Π΅ΡΠΎΠΌ 3000 ΠΊΠ³, ΡΡΠΎΠ±Ρ ΠΈΠΌΠ΅ΡΡ ΡΠ°ΠΊΡΡ ββΠΆΠ΅ ΠΊΠΈΠ½Π΅ΡΠΈΡΠ΅ΡΠΊΡΡ ΡΠ½Π΅ΡΠ³ΠΈΡ, ΠΊΠ°ΠΊ 65-ΠΉ ΡΠ»ΠΎΠ½.Π‘ΠΏΡΠΈΠ½ΡΠ΅Ρ 0 ΠΊΠ³ Π±Π΅ΠΆΠΈΡ ΡΠΎ ΡΠΊΠΎΡΠΎΡΡΡΡ 10,0 ΠΌ / Ρ? (Π±) ΠΠ±ΡΡΠ΄ΠΈΡΠ΅, ΠΊΠ°ΠΊ Π±ΠΎΠ»ΡΡΠ°Ρ ΡΠ½Π΅ΡΠ³ΠΈΡ, Π½Π΅ΠΎΠ±Ρ ΠΎΠ΄ΠΈΠΌΠ°Ρ Π΄Π»Ρ ΠΏΠ΅ΡΠ΅Π΄Π²ΠΈΠΆΠ΅Π½ΠΈΡ Π±ΠΎΠ»Π΅Π΅ ΠΊΡΡΠΏΠ½ΡΡ ΠΆΠΈΠ²ΠΎΡΠ½ΡΡ , Π±ΡΠ΄Π΅Ρ ΡΠ²ΡΠ·Π°Π½Π° ΡΠΎ ΡΠΊΠΎΡΠΎΡΡΡΡ ΠΌΠ΅ΡΠ°Π±ΠΎΠ»ΠΈΠ·ΠΌΠ°.
- ΠΠ°ΠΊΠΎΠ΅ Π·Π½Π°ΡΠ΅Π½ΠΈΠ΅ ΠΈΠΌΠ΅Π΅Ρ ΠΊΠΈΠ½Π΅ΡΠΈΡΠ΅ΡΠΊΠ°Ρ ΡΠ½Π΅ΡΠ³ΠΈΡ Π°Π²ΠΈΠ°Π½ΠΎΡΡΠ° ΠΌΠ°ΡΡΠΎΠΉ 90 000 ΡΠΎΠ½Π½ Π½Π° ΡΠΊΠΎΡΠΎΡΡΠΈ 30 ΡΠ·Π»ΠΎΠ²? ΠΠ°ΠΌ Π½ΡΠΆΠ½ΠΎ Π±ΡΠ΄Π΅Ρ Π½Π°ΠΉΡΠΈ ΠΎΠΏΡΠ΅Π΄Π΅Π»Π΅Π½ΠΈΠ΅ ΠΌΠΎΡΡΠΊΠΎΠΉ ΠΌΠΈΠ»ΠΈ (1 ΡΠ·Π΅Π» = 1 ΠΌΠΎΡΡΠΊΠ°Ρ ΠΌΠΈΠ»Ρ / Ρ).
- (a) Π Π°ΡΡΡΠΈΡΠ°ΠΉΡΠ΅ ΡΡΠΈΠ»ΠΈΠ΅, Π½Π΅ΠΎΠ±Ρ ΠΎΠ΄ΠΈΠΌΠΎΠ΅ Π΄Π»Ρ ΠΎΡΡΠ°Π½ΠΎΠ²ΠΊΠΈ Π°Π²ΡΠΎΠΌΠΎΠ±ΠΈΠ»Ρ ΠΌΠ°ΡΡΠΎΠΉ 950 ΠΊΠ³ ΡΠΎ ΡΠΊΠΎΡΠΎΡΡΠΈ 90,0 ΠΊΠΌ / Ρ Π½Π° ΡΠ°ΡΡΡΠΎΡΠ½ΠΈΠΈ 120 ΠΌ (Π΄ΠΎΠ²ΠΎΠ»ΡΠ½ΠΎ ΡΠΈΠΏΠΈΡΠ½ΠΎΠ΅ ΡΠ°ΡΡΡΠΎΡΠ½ΠΈΠ΅ Π΄Π»Ρ ΠΎΡΡΠ°Π½ΠΎΠ²ΠΊΠΈ Π±Π΅Π· ΠΏΠ°Π½ΠΈΠΊΠΈ).(b) ΠΡΠ΅Π΄ΠΏΠΎΠ»ΠΎΠΆΠΈΠΌ, ΡΡΠΎ Π²ΠΌΠ΅ΡΡΠΎ ΡΡΠΎΠ³ΠΎ Π°Π²ΡΠΎΠΌΠΎΠ±ΠΈΠ»Ρ Π½Π° ΠΏΠΎΠ»Π½ΠΎΠΉ ΡΠΊΠΎΡΠΎΡΡΠΈ Π²ΡΠ΅Π·Π°Π΅ΡΡΡ Π² Π±Π΅ΡΠΎΠ½Π½ΡΡ ΠΎΠΏΠΎΡΡ ΠΈ ΠΎΡΡΠ°Π½Π°Π²Π»ΠΈΠ²Π°Π΅ΡΡΡ ΡΠ΅ΡΠ΅Π· 2,00 ΠΌ. ΠΡΡΠΈΡΠ»ΠΈΡΠ΅ ΡΠΈΠ»Ρ, Π΄Π΅ΠΉΡΡΠ²ΡΡΡΡΡ Π½Π° Π°Π²ΡΠΎΠΌΠΎΠ±ΠΈΠ»Ρ, ΠΈ ΡΡΠ°Π²Π½ΠΈΡΠ΅ Π΅Π΅ Ρ ΡΠΈΠ»ΠΎΠΉ, ΡΠΊΠ°Π·Π°Π½Π½ΠΎΠΉ Π² ΡΠ°ΡΡΠΈ (Π°).
- ΠΠ°ΠΌΠΏΠ΅Ρ Π°Π²ΡΠΎΠΌΠΎΠ±ΠΈΠ»Ρ ΡΠΏΡΠΎΠ΅ΠΊΡΠΈΡΠΎΠ²Π°Π½ ΡΠ°ΠΊΠΈΠΌ ΠΎΠ±ΡΠ°Π·ΠΎΠΌ, ΡΡΠΎΠ±Ρ Π²ΡΠ΄Π΅ΡΠΆΠΈΠ²Π°ΡΡ ΡΡΠΎΠ»ΠΊΠ½ΠΎΠ²Π΅Π½ΠΈΠ΅ Ρ Π½Π΅ΠΏΠΎΠ΄Π²ΠΈΠΆΠ½ΡΠΌ ΠΏΡΠ΅Π΄ΠΌΠ΅ΡΠΎΠΌ Π½Π° ΡΠΊΠΎΡΠΎΡΡΠΈ 4,0 ΠΊΠΌ / Ρ (1,1 ΠΌ / Ρ) Π±Π΅Π· ΠΏΠΎΠ²ΡΠ΅ΠΆΠ΄Π΅Π½ΠΈΡ ΠΊΡΠ·ΠΎΠ²Π° Π°Π²ΡΠΎΠΌΠΎΠ±ΠΈΠ»Ρ. ΠΠ°ΠΌΠΏΠ΅Ρ Π°ΠΌΠΎΡΡΠΈΠ·ΠΈΡΡΠ΅Ρ ΡΠ΄Π°Ρ, ΠΏΠΎΠ³Π»ΠΎΡΠ°Ρ ΡΠΈΠ»Ρ Π½Π° ΡΠ°ΡΡΡΠΎΡΠ½ΠΈΠΈ. ΠΡΡΠΈΡΠ»ΠΈΡΠ΅ Π²Π΅Π»ΠΈΡΠΈΠ½Ρ ΡΡΠ΅Π΄Π½Π΅ΠΉ ΡΠΈΠ»Ρ, Π΄Π΅ΠΉΡΡΠ²ΡΡΡΠ΅ΠΉ Π½Π° Π±Π°ΠΌΠΏΠ΅Ρ, ΠΊΠΎΡΠΎΡΡΠΉ ΡΠ°Π·ΡΡΡΠ°Π΅ΡΡΡ Π½Π° 0,200 ΠΌ ΠΏΡΠΈ ΠΎΡΡΠ°Π½ΠΎΠ²ΠΊΠ΅ Π°Π²ΡΠΎΠΌΠΎΠ±ΠΈΠ»Ρ ΠΌΠ°ΡΡΠΎΠΉ 900 ΠΊΠ³ Ρ Π½Π°ΡΠ°Π»ΡΠ½ΠΎΠΉ ΡΠΊΠΎΡΠΎΡΡΠΈ, ΡΠ°Π²Π½ΠΎΠΉ 1.1 ΠΌ / Ρ.
- ΠΠΎΠΊΡΠ΅ΡΡΠΊΠΈΠ΅ ΠΏΠ΅ΡΡΠ°ΡΠΊΠΈ ΠΈΠΌΠ΅ΡΡ ΠΌΡΠ³ΠΊΡΡ ΠΏΠΎΠ΄ΠΊΠ»Π°Π΄ΠΊΡ Π΄Π»Ρ ΡΠΌΠ΅Π½ΡΡΠ΅Π½ΠΈΡ ΡΠΈΠ»Ρ ΡΠ΄Π°ΡΠ°. (a) Π Π°ΡΡΡΠΈΡΠ°ΠΉΡΠ΅ ΡΠΈΠ»Ρ, ΠΏΡΠΈΠ»Π°Π³Π°Π΅ΠΌΡΡ Π±ΠΎΠΊΡΠ΅ΡΡΠΊΠΎΠΉ ΠΏΠ΅ΡΡΠ°ΡΠΊΠΎΠΉ ΠΊ Π»ΠΈΡΡ ΡΠΎΠΏΠ΅ΡΠ½ΠΈΠΊΠ°, Π΅ΡΠ»ΠΈ ΠΏΠ΅ΡΡΠ°ΡΠΊΠ° ΠΈ Π»ΠΈΡΠΎ ΡΠΆΠΈΠΌΠ°ΡΡ 7,50 ΡΠΌ Π²ΠΎ Π²ΡΠ΅ΠΌΡ ΡΠ΄Π°ΡΠ°, ΠΏΡΠΈ ΠΊΠΎΡΠΎΡΠΎΠΌ ΡΡΠΊΠ° ΠΈ ΠΏΠ΅ΡΡΠ°ΡΠΊΠ° Π²Π΅ΡΠΎΠΌ 7,00 ΠΊΠ³ ΠΎΡΡΠ°Π½Π°Π²Π»ΠΈΠ²Π°ΡΡΡΡ Ρ Π½Π°ΡΠ°Π»ΡΠ½ΠΎΠΉ ΡΠΊΠΎΡΠΎΡΡΠΈ 10,0 ΠΌ / Ρ. (b) Π Π°ΡΡΡΠΈΡΠ°ΠΉΡΠ΅ ΡΠΈΠ»Ρ, ΠΎΠΊΠ°Π·ΡΠ²Π°Π΅ΠΌΡΡ ΠΈΠ΄Π΅Π½ΡΠΈΡΠ½ΡΠΌ ΡΠ΄Π°ΡΠΎΠΌ Π² ΡΡΠ°ΡΡΠ΅ ΠΊΡΠΎΠ²Π°Π²ΡΠ΅ Π²ΡΠ΅ΠΌΠ΅Π½Π°, ΠΊΠΎΠ³Π΄Π° Π½Π΅ ΠΈΡΠΏΠΎΠ»ΡΠ·ΠΎΠ²Π°Π»ΠΈΡΡ ΠΏΠ΅ΡΡΠ°ΡΠΊΠΈ, Π° ΡΡΡΡΠ°Π²Ρ ΠΈ Π»ΠΈΡΠΎ ΡΠΆΠΈΠΌΠ°Π»ΠΈΡΡ ΡΠΎΠ»ΡΠΊΠΎ Π½Π° 2 ΡΠΌ. (c) ΠΠ±ΡΡΠ΄ΠΈΡΠ΅ Π²Π΅Π»ΠΈΡΠΈΠ½Ρ ΡΠΈΠ»Ρ Π² ΠΏΠ΅ΡΡΠ°ΡΠΊΠ΅. ΠΠ°ΠΆΠ΅ΡΡΡ, ΡΡΠΎ ΠΎΠ½ Π΄ΠΎΡΡΠ°ΡΠΎΡΠ½ΠΎ Π²ΡΡΠΎΠΊ, ΡΡΠΎΠ±Ρ Π½Π°Π½Π΅ΡΡΠΈ ΡΡΠΎΠ½, Π΄Π°ΠΆΠ΅ Π΅ΡΠ»ΠΈ ΠΎΠ½ Π½ΠΈΠΆΠ΅, ΡΠ΅ΠΌ ΡΠΈΠ»Π° Π±Π΅Π· ΠΏΠ΅ΡΡΠ°ΡΠΊΠΈ?
- ΠΡΠΏΠΎΠ»ΡΠ·ΡΡ ΡΠΎΠΎΠ±ΡΠ°ΠΆΠ΅Π½ΠΈΡ ΡΠ½Π΅ΡΠ³ΠΈΠΈ, Π²ΡΡΠΈΡΠ»ΠΈΡΠ΅ ΡΡΠ΅Π΄Π½ΡΡ ΡΠΈΠ»Ρ a 60.Π‘ΠΏΡΠΈΠ½ΡΠ΅Ρ Π²Π΅ΡΠΎΠΌ 0 ΠΊΠ³ Π΄Π΅Π»Π°Π΅Ρ Π΄Π²ΠΈΠΆΠ΅Π½ΠΈΠ΅ Π½Π°Π·Π°Π΄ ΠΏΠΎ ΡΡΠ°ΡΡΠ΅ Π΄Π»Ρ ΡΡΠΊΠΎΡΠ΅Π½ΠΈΡ ΠΎΡ 2,00 Π΄ΠΎ 8,00 ΠΌ / Ρ Π½Π° ΡΠ°ΡΡΡΠΎΡΠ½ΠΈΠΈ 25,0 ΠΌ, Π΅ΡΠ»ΠΈ ΠΎΠ½ Π²ΡΡΡΠ΅ΡΠ°Π΅Ρ Π²ΡΡΡΠ΅ΡΠ½ΡΠΉ Π²Π΅ΡΠ΅Ρ, ΠΊΠΎΡΠΎΡΡΠΉ ΠΎΠΊΠ°Π·ΡΠ²Π°Π΅Ρ Π½Π° Π½Π΅Π³ΠΎ ΡΡΠ΅Π΄Π½ΡΡ ΡΠΈΠ»Ρ 30,0 Π.
ΠΠ»ΠΎΡΡΠ°ΡΠΈΠΉ
ΡΠΈΡΡΠ°Ρ ΡΠ°Π±ΠΎΡΠ°: ΡΠ°Π±ΠΎΡΠ°, Π²ΡΠΏΠΎΠ»Π½Π΅Π½Π½Π°Ρ ΡΠΈΡΡΠΎΠΉ ΡΠΈΠ»ΠΎΠΉ ΠΈΠ»ΠΈ Π²Π΅ΠΊΡΠΎΡΠ½ΠΎΠΉ ΡΡΠΌΠΌΠΎΠΉ Π²ΡΠ΅Ρ ΡΠΈΠ», Π΄Π΅ΠΉΡΡΠ²ΡΡΡΠΈΡ Π½Π° ΠΎΠ±ΡΠ΅ΠΊΡ
ΡΠ΅ΠΎΡΠ΅ΠΌΠ° ΡΠ°Π±ΠΎΡΡ-ΡΠ½Π΅ΡΠ³ΠΈΠΈ: ΡΠ΅Π·ΡΠ»ΡΡΠ°Ρ, ΠΎΡΠ½ΠΎΠ²Π°Π½Π½ΡΠΉ Π½Π° Π·Π°ΠΊΠΎΠ½Π°Ρ ΠΡΡΡΠΎΠ½Π°, ΡΡΠΎ ΡΠΈΡΡΠ°Ρ ΡΠ°Π±ΠΎΡΠ°, Π²ΡΠΏΠΎΠ»Π½Π΅Π½Π½Π°Ρ Π½Π°Π΄ ΠΎΠ±ΡΠ΅ΠΊΡΠΎΠΌ, ΡΠ°Π²Π½Π° Π΅Π³ΠΎ ΠΈΠ·ΠΌΠ΅Π½Π΅Π½ΠΈΡ ΠΊΠΈΠ½Π΅ΡΠΈΡΠ΅ΡΠΊΠΎΠΉ ΡΠ½Π΅ΡΠ³ΠΈΠΈ
ΠΊΠΈΠ½Π΅ΡΠΈΡΠ΅ΡΠΊΠ°Ρ ΡΠ½Π΅ΡΠ³ΠΈΡ: ΡΠ½Π΅ΡΠ³ΠΈΡ, ΠΊΠΎΡΠΎΡΡΡ ΠΎΠ±ΡΠ΅ΠΊΡ ΠΈΠΌΠ΅Π΅Ρ Π² ΡΠ΅Π·ΡΠ»ΡΡΠ°ΡΠ΅ ΡΠ²ΠΎΠ΅Π³ΠΎ Π΄Π²ΠΈΠΆΠ΅Π½ΠΈΡ, ΡΠ°Π²Π½Π°Ρ [latex] \ frac {1} {2} {\ text {mv}} ^ {2} \\ [/ latex] Π΄Π»Ρ ΠΏΠΎΡΡΡΠΏΠ°ΡΠ΅Π»ΡΠ½ΠΎΠ³ΠΎ (Ρ.Π΅., Π±Π΅Π· Π²ΡΠ°ΡΠ΅Π½ΠΈΡ) Π΄Π²ΠΈΠΆΠ΅Π½ΠΈΠ΅ ΠΎΠ±ΡΠ΅ΠΊΡΠ° ΠΌΠ°ΡΡΠΎΠΉ ΠΌ , Π΄Π²ΠΈΠΆΡΡΠ΅Π³ΠΎΡΡ ΡΠΎ ΡΠΊΠΎΡΠΎΡΡΡΡ v
ΠΠ·Π±ΡΠ°Π½Π½ΡΠ΅ ΡΠ΅ΡΠ΅Π½ΠΈΡ ΠΏΡΠΎΠ±Π»Π΅ΠΌ ΠΈ ΡΠΏΡΠ°ΠΆΠ½Π΅Π½ΠΈΡ
1. [Π»Π°ΡΠ΅ΠΊΡ] \ frac {1} {250} \\ [/ latex]
3. 1,1 Γ 10 10
5. 2,8 Γ 10 3 N
7. 102 N
7. Π ΠΠΠΠ§ΠΠ― Π ΠΠΠΠΠ’ΠΠ§ΠΠ‘ΠΠΠ― ΠΠΠΠ ΠΠΠ―
7. Π ΠΠΠΠ§ΠΠ― Π ΠΠΠΠΠ’ΠΠ§ΠΠ‘ΠΠΠ― ΠΠΠΠ ΠΠΠ―Π ΡΡΠΎΠΉ Π³Π»Π°Π²Π΅ ΠΌΡ ΠΏΠΎΠ·Π½Π°ΠΊΠΎΠΌΠΈΠΌΡΡ Ρ ΠΏΠΎΠ½ΡΡΠΈΡΠΌΠΈ ΡΠ°Π±ΠΎΡΡ ΠΈ ΠΊΠΈΠ½Π΅ΡΠΈΡΠ΅ΡΠΊΠΎΠΉ ΡΠ½Π΅ΡΠ³ΠΈΠΈ.ΠΡΠΈ ΠΈΠ½ΡΡΡΡΠΌΠ΅Π½ΡΡ Π·Π½Π°ΡΠΈΡΠ΅Π»ΡΠ½ΠΎ ΡΠΏΡΠΎΡΡΡΡ ΡΠ΅ΡΠ΅Π½ΠΈΠ΅ Π½Π΅ΠΊΠΎΡΠΎΡΡΡ ΠΏΡΠΎΠ±Π»Π΅ΠΌ. ΠΌΠΎΠΆΠ½ΠΎ ΡΠ΅ΡΠΈΡΡ.
Π ΠΈΡΡΠ½ΠΎΠΊ 7.1. Π‘ΠΈΠ»Π° F , Π΄Π΅ΠΉΡΡΠ²ΡΡΡΠ°Ρ Π½Π° ΡΠ΅Π»ΠΎ. Π Π΅Π·ΡΠ»ΡΡΠΈΡΡΡΡΠΈΠΉ ΡΠΌΠ΅ΡΠ΅Π½ΠΈΠ΅ ΠΎΠ±ΠΎΠ·Π½Π°ΡΠ°Π΅ΡΡΡ Π²Π΅ΠΊΡΠΎΡΠΎΠΌ d .
ΠΡΠ΅Π΄ΠΏΠΎΠ»ΠΎΠΆΠΈΠΌ, ΡΡΠΎ Π½Π° ΡΠ΅Π»ΠΎ Π΄Π΅ΠΉΡΡΠ²ΡΠ΅Ρ ΠΏΠΎΡΡΠΎΡΠ½Π½Π°Ρ ΡΠΈΠ»Π° F, ΠΏΠΎΠΊΠ° ΠΎΠ±ΡΠ΅ΠΊΡ Π΄Π²ΠΈΠΆΠ΅ΡΡΡ ΠΏΠΎ ΡΠ°ΡΡΡΠΎΡΠ½ΠΈΠ΅ d. Π ΡΠΈΠ»Π° F, ΠΈ ΡΠΌΠ΅ΡΠ΅Π½ΠΈΠ΅ d ΡΠ²Π»ΡΡΡΡΡ Π²Π΅ΠΊΡΠΎΡΠ°ΠΌΠΈ, ΠΊΠΎΡΠΎΡΡΠ΅ Π½Π΅ ΡΠ²Π»ΡΡΡΡΡ ΠΎΠ±ΡΠ·Π°ΡΠ΅Π»ΡΠ½ΠΎ ΡΠΊΠ°Π·ΡΠ²Π°Ρ Π² ΡΠΎΠΌ ΠΆΠ΅ Π½Π°ΠΏΡΠ°Π²Π»Π΅Π½ΠΈΠΈ (ΡΠΌ. ΡΠΈΡΡΠ½ΠΎΠΊ 7.1). Π Π°Π±ΠΎΡΠ° ΠΏΡΠΎΠ΄Π΅Π»Π°Π½Π° ΡΠΈΠ»Π° F, Π΄Π΅ΠΉΡΡΠ²ΡΡΡΠ°Ρ Π½Π° ΠΎΠ±ΡΠ΅ΠΊΡ, ΠΊΠΎΠ³Π΄Π° ΠΎΠ½ ΠΏΡΠ΅ΡΠ΅ΡΠΏΠ΅Π²Π°Π΅Ρ ΡΠΌΠ΅ΡΠ΅Π½ΠΈΠ΅ d, ΠΎΠΏΡΠ΅Π΄Π΅Π»ΡΠ΅ΡΡΡ ΠΊΠ°ΠΊ
Π Π°Π±ΠΎΡΠ°, ΡΠΎΠ²Π΅ΡΡΠ°Π΅ΠΌΠ°Ρ ΡΠΈΠ»ΠΎΠΉ F, ΡΠ°Π²Π½Π° Π½ΡΠ»Ρ, Π΅ΡΠ»ΠΈ:
* d = 0: ΡΠΌΠ΅ΡΠ΅Π½ΠΈΠ΅ ΡΠ°Π²Π½ΠΎ Π½ΡΠ»Ρ
* [phi] = 90 Π³ΡΠ°Π΄ΡΡΠΎΠ²: ΡΠΈΠ»Π°, ΠΏΠ΅ΡΠΏΠ΅Π½Π΄ΠΈΠΊΡΠ»ΡΡΠ½Π°Ρ ΠΏΠ΅ΡΠ΅ΠΌΠ΅ΡΠ΅Π½ΠΈΡ
Π ΠΈΡ. 7.2. ΠΠΎΠ»ΠΎΠΆΠΈΡΠ΅Π»ΡΠ½Π°Ρ ΠΈΠ»ΠΈ ΠΎΡΡΠΈΡΠ°ΡΠ΅Π»ΡΠ½Π°Ρ ΡΠ°Π±ΠΎΡΠ°.
Π Π°Π±ΠΎΡΠ°, ΡΠΎΠ²Π΅ΡΡΠ°Π΅ΠΌΠ°Ρ ΡΠΈΠ»ΠΎΠΉ F, ΠΌΠΎΠΆΠ΅Ρ Π±ΡΡΡ ΠΏΠΎΠ»ΠΎΠΆΠΈΡΠ΅Π»ΡΠ½ΠΎΠΉ ΠΈΠ»ΠΈ ΠΎΡΡΠΈΡΠ°ΡΠ΅Π»ΡΠ½ΠΎΠΉ, Π² Π·Π°Π²ΠΈΡΠΈΠΌΠΎΡΡΠΈ ΠΎΡ [ΡΠΈ].ΠΠ°ΠΏΡΠΈΠΌΠ΅Ρ, ΠΏΡΠ΅Π΄ΠΏΠΎΠ»ΠΎΠΆΠΈΠΌ, ΡΡΠΎ Ρ Π½Π°Ρ Π΅ΡΡΡ ΠΎΠ±ΡΠ΅ΠΊΡ, Π΄Π²ΠΈΠΆΡΡΠΈΠΉΡΡ Ρ ΠΏΠΎΡΡΠΎΡΠ½Π½ΠΎΠΉ ΡΠΊΠΎΡΠΎΡΡΡΡ. Π ΠΌΠΎΠΌΠ΅Π½Ρ Π²ΡΠ΅ΠΌΠ΅Π½ΠΈ t = 0 Ρ ΠΏΡΠΈΠΊΠ»Π°Π΄ΡΠ²Π°Π΅ΡΡΡ ΡΠΈΠ»Π° F. ΠΡΠ»ΠΈ F – Π΅Π΄ΠΈΠ½ΡΡΠ²Π΅Π½Π½Π°Ρ ΡΠΈΠ»Π°, Π΄Π΅ΠΉΡΡΠ²ΡΡΡΠ°Ρ Π½Π° ΡΠ΅Π»ΠΎ, ΠΎΠ±ΡΠ΅ΠΊΡ Π±ΡΠ΄Π΅Ρ Π»ΠΈΠ±ΠΎ ΡΠ²Π΅Π»ΠΈΡΠΈΠ²Π°ΡΡ, Π»ΠΈΠ±ΠΎ ΡΠΌΠ΅Π½ΡΡΠ°ΡΡ ΡΠ²ΠΎΡ ΡΠΊΠΎΡΠΎΡΡΡ Π² Π·Π°Π²ΠΈΡΠΈΠΌΠΎΡΡΠΈ ΠΎΡ ΡΠΊΠ°Π·ΡΠ²Π°ΡΡ Π»ΠΈ ΡΠΊΠΎΡΠΎΡΡΡ v ΠΈ ΡΠΈΠ»Π° F Π½Π° ΠΎΠ΄Π½ΠΎ ΠΈ ΡΠΎ ΠΆΠ΅ Π½Π°ΠΏΡΠ°Π²Π»Π΅Π½ΠΈΠ΅ (ΡΠΌ. ΡΠΈΡΡΠ½ΠΎΠΊ 7.2). ΠΡΠ»ΠΈ ( F * v )> 0, ΡΠΊΠΎΡΠΎΡΡΡ ΠΎΠ±ΡΠ΅ΠΊΡ Π±ΡΠ΄Π΅Ρ ΡΠ²Π΅Π»ΠΈΡΠΈΠ²Π°ΡΡΡΡ, ΠΈ ΡΠ°Π±ΠΎΡΠ°, Π²ΡΠΏΠΎΠ»Π½ΡΠ΅ΠΌΠ°Ρ ΡΠΈΠ»ΠΎΠΉ Π½Π°Π΄ ΠΎΠ±ΡΠ΅ΠΊΡΠΎΠΌ, Π±ΡΠ΄Π΅Ρ ΠΏΠΎΠ»ΠΎΠΆΠΈΡΠ΅Π»ΡΠ½ΠΎΠΉ. ΠΡΠ»ΠΈ ( F * v ) <0, ΡΠΊΠΎΡΠΎΡΡΡ ΠΎΠ±ΡΠ΅ΠΊΡΠ° ΡΠΌΠ΅Π½ΡΡΠΈΡΡΡ ΠΈ ΡΠ°Π±ΠΎΡΠ°, Π²ΡΠΏΠΎΠ»Π½ΡΠ΅ΠΌΠ°Ρ ΡΠΈΠ»ΠΎΠΉ, Π²ΠΎΠ·Π΄Π΅ΠΉΡΡΠ²ΡΡΡΠ΅ΠΉ Π½Π° ΠΎΠ±ΡΠ΅ΠΊΡ, ΠΎΡΡΠΈΡΠ°ΡΠ΅Π»ΡΠ½Π°.ΠΡΠ»ΠΈ ( F * v ) = 0 ΠΌΡ ΠΈΠΌΠ΅Π΅ΠΌ Π΄Π΅Π»ΠΎ Ρ ΡΠ΅Π½ΡΡΠΎΡΡΡΠ΅ΠΌΠΈΡΠ΅Π»ΡΠ½ΡΠΌ Π΄Π²ΠΈΠΆΠ΅Π½ΠΈΠ΅ΠΌ ΠΈ ΡΠΊΠΎΡΠΎΡΡΡ ΠΎΠ±ΡΠ΅ΠΊΡΠ° ΠΎΡΡΠ°Π΅ΡΡΡ ΠΏΠΎΡΡΠΎΡΠ½Π½ΡΠΉ. ΠΠ±ΡΠ°ΡΠΈΡΠ΅ Π²Π½ΠΈΠΌΠ°Π½ΠΈΠ΅, ΡΡΠΎ Π΄Π»Ρ ΡΠΈΠ»Ρ ΡΡΠ΅Π½ΠΈΡ ( F * v ) <0 (Π²ΡΠ΅Π³Π΄Π°) ΠΈ ΡΠΊΠΎΡΠΎΡΡΡ ΠΎΠ±ΡΠ΅ΠΊΡΠ° Π²ΡΠ΅Π³Π΄Π° ΡΠ½ΠΈΠΆΠ°Π΅ΡΡΡ!
ΠΠΎ ΠΎΠΏΡΠ΅Π΄Π΅Π»Π΅Π½ΠΈΡ, ΡΠ°Π±ΠΎΡΠ° – ΡΡΠΎ ΡΠΊΠ°Π»ΡΡ. ΠΠ΄ΠΈΠ½ΠΈΡΠ° ΡΠ°Π±ΠΎΡΡ – ΠΠΆΠΎΡΠ»Ρ (J). ΠΠ· ΠΠ· ΠΎΠΏΡΠ΅Π΄Π΅Π»Π΅Π½ΠΈΡ ΡΠ°Π±ΠΎΡΡ Π²ΠΈΠ΄Π½ΠΎ, ΡΡΠΎ:
1 ΠΠΆ = 1 Π Β· ΠΌ = 1 ΠΊΠ³ Β· ΠΌ 2 / Ρ 2
Π ΠΈΡΡΠ½ΠΎΠΊ 7.3. Π‘ΠΈΠ»Ρ, Π΄Π΅ΠΉΡΡΠ²ΡΡΡΠΈΠ΅ Π½Π° ΡΠ΅ΠΉΡ.
ΠΡΠΈΠΌΠ΅Ρ Π·Π°Π΄Π°ΡΠΈ 7-2
Π‘Π΅ΠΉΡ ΠΌΠ°ΡΡΠΎΠΉ m ΠΏΠ΅ΡΠ΅ΠΌΠ΅ΡΠ°Π΅ΡΡΡ ΠΏΠΎ ΠΏΠ»ΠΈΡΠΎΡΠ½ΠΎΠΌΡ ΠΏΠΎΠ»Ρ Ρ ΠΏΠΎΡΡΠΎΡΠ½Π½ΠΎΠΉ ΡΠΊΠΎΡΠΎΡΡΡΡ Π² ΡΠ΅ΡΠ΅Π½ΠΈΠ΅ ΡΠ°ΡΡΡΠΎΡΠ½ΠΈΠ΅ d. ΠΠΎΡΡΡΠΈΡΠΈΠ΅Π½Ρ ΡΡΠ΅Π½ΠΈΡ ΠΌΠ΅ΠΆΠ΄Ρ Π΄Π½ΠΎΠΌ ΡΠ΅ΠΉΡΠ° ΠΈ ΡΡΠ°ΠΆ Ρ ΠΊ . ΠΠΏΡΠ΅Π΄Π΅Π»ΠΈΡΠ΅ Π²ΡΠ΅ ΡΠΈΠ»Ρ, Π΄Π΅ΠΉΡΡΠ²ΡΡΡΠΈΠ΅ Π½Π° ΡΠ΅ΠΉΡ ΠΈ ΡΠ°ΡΡΡΠΈΡΠ°ΡΡ ΡΠ°Π±ΠΎΡΡ, ΠΏΡΠΎΠ΄Π΅Π»Π°Π½Π½ΡΡ ΠΊΠ°ΠΆΠ΄ΡΠΌ ΠΈΠ· Π½ΠΈΡ . ΠΠ°ΠΊΠ°Ρ Π² ΡΠ΅Π»ΠΎΠΌ ΠΏΡΠΎΠ΄Π΅Π»Π°Π½Π½Π°Ρ ΡΠ°Π±ΠΎΡΠ°?
ΠΠ° ΡΠΈΡ. 7.3 ΠΏΠΎΠΊΠ°Π·Π°Π½Ρ Π²ΡΠ΅ ΡΠΈΠ»Ρ, Π΄Π΅ΠΉΡΡΠ²ΡΡΡΠΈΠ΅ Π½Π° ΡΠ΅ΠΉΡ. ΠΠΎΡΠΊΠΎΠ»ΡΠΊΡ ΡΠ΅ΠΉΡ Π΄Π²ΠΈΠΆΠ΅ΡΡΡ Ρ ΠΏΠΎΡΡΠΎΡΠ½Π½ΠΎΠΉ ΡΠΊΠΎΡΠΎΡΡΡΡ, Π΅Π³ΠΎ ΡΡΠΊΠΎΡΠ΅Π½ΠΈΠ΅ ΡΠ°Π²Π½ΠΎ Π½ΡΠ»Ρ, Π° ΡΠ΅Π·ΡΠ»ΡΡΠΈΡΡΡΡΠ°Ρ ΡΠΈΠ»Π° Π΄Π΅ΠΉΡΡΠ²ΡΡΡΠΈΠΉ Π½Π° Π½Π΅ΠΌ ΡΠ°Π²Π΅Π½ Π½ΡΠ»Ρ
ΠΠΎΠΌΠΏΠΎΠ½Π΅Π½ΡΡ ΡΠΈΡΡΠΎΠΉ ΡΠΈΠ»Ρ ΠΏΠΎ ΠΎΡΠΈ x ΠΈ ΠΏΠΎ ΠΎΡΠΈ y ΡΠ»Π΅Π΄ΠΎΠ²Π°ΡΠ΅Π»ΡΠ½ΠΎ, ΡΠ°ΠΊΠΆΠ΅ Π΄ΠΎΠ»ΠΆΠ½ΠΎ Π±ΡΡΡ Π½ΠΎΠ»Ρ
ΠΡΠΎΡΠΎΠ΅ ΡΡΠ°Π²Π½Π΅Π½ΠΈΠ΅ ΠΏΠΎΠΊΠ°Π·ΡΠ²Π°Π΅Ρ, ΡΡΠΎ N = W = m g.ΠΡΠΈΠΌΠ΅Π½ΡΠ΅ΠΌΠ°Ρ ΡΠΈΠ»Π° Π² ΡΠ΅ΠΉΡ ΡΠ΅ΠΏΠ΅ΡΡ ΠΌΠΎΠΆΠ½ΠΎ ΡΠ°ΡΡΡΠΈΡΠ°ΡΡ
Π Π°Π±ΠΎΡΠ°, ΠΏΡΠΎΠ΄Π΅Π»Π°Π½Π½Π°Ρ Π½Π°Π΄ ΡΠ΅ΠΉΡΠΎΠΌ ΠΊΠ°ΠΆΠ΄ΠΎΠΉ ΠΈΠ· ΡΠ΅ΡΡΡΠ΅Ρ ΡΠΈΠ», ΡΠ΅ΠΏΠ΅ΡΡ ΠΌΠΎΠΆΠ΅Ρ Π±ΡΡΡ Π²ΡΡΠΈΡΠ»Π΅Π½ΠΎ:
Π’Π°ΠΊΠΈΠΌ ΠΎΠ±ΡΠ°Π·ΠΎΠΌ, ΠΎΠ±ΡΠΈΠΉ ΠΎΠ±ΡΠ΅ΠΌ ΡΠ°Π±ΠΎΡΡ, ΠΏΡΠΎΠ΄Π΅Π»Π°Π½Π½ΠΎΠΉ Ρ ΡΠ΅ΠΉΡΠΎΠΌ, ΡΠΎΡΡΠ°Π²Π»ΡΠ΅Ρ
.
ΡΠ΅Π³ΠΎ ΠΈ ΡΠ»Π΅Π΄ΠΎΠ²Π°Π»ΠΎ ΠΎΠΆΠΈΠ΄Π°ΡΡ, ΠΏΠΎΡΠΊΠΎΠ»ΡΠΊΡ ΡΠΈΡΡΠ°Ρ ΡΠΈΠ»Π° Π½Π° ΡΠ΅ΠΉΡΠ΅ ΡΠ°Π²Π½Π° Π½ΡΠ»Ρ.
ΠΡΠΈΠΌΠ΅Ρ Π·Π°Π΄Π°ΡΠΈ 1
ΠΠ±ΡΠ΅ΡΠ΅ΡΠΊΠ° ΠΌΠ°ΡΡΠΎΠΉ m ΠΏΠΎΠ΄Π½ΠΈΠΌΠ°Π΅ΡΡΡ ΠΏΠΎ ΠΎΡΠΊΠΎΡΡ (ΡΠ³ΠΎΠ» Π½Π°ΠΊΠ»ΠΎΠ½Π° [theta]) Ρ ΠΏΠΎΡΡΠΎΡΠ½Π½ΠΎΠΉ ΡΠΊΠΎΡΠΎΡΡΡΡ. Π Π°ΡΡΡΠΈΡΠ°ΠΉΡΠ΅ ΠΎΠ±ΡΠ΅ΠΌ ΡΠ°Π±ΠΎΡΡ, ΠΏΡΠΎΠ΄Π΅Π»Π°Π½Π½ΠΎΠΉ ΡΡΠΈΠ»ΠΈΠ΅ ΠΏΠΎΡΠ»Π΅ ΡΠΎΠ³ΠΎ, ΠΊΠ°ΠΊ ΡΡΠΈΠΊ ΠΏΠ΅ΡΠ΅ΠΌΠ΅ΡΡΠΈΠ»ΡΡ Π½Π° Π²ΡΡΠΎΡΡ h (ΡΠΌ. Π ΠΈΡΡΠ½ΠΎΠΊ 7.4).
Π ΠΈΡΡΠ½ΠΎΠΊ 7.4. ΠΡΠΈΠΌΠ΅Ρ Π·Π°Π΄Π°ΡΠΈ 1.
Π‘ΠΈΡΡΠ΅ΠΌΠ° ΠΊΠΎΠΎΡΠ΄ΠΈΠ½Π°Ρ, ΠΊΠΎΡΠΎΡΠ°Ρ Π±ΡΠ΄Π΅Ρ ΠΈΡΠΏΠΎΠ»ΡΠ·ΠΎΠ²Π°ΡΡΡΡ, ΠΏΠΎΠΊΠ°Π·Π°Π½Π° Π½Π° ΡΠΈΡΡΠ½ΠΊΠ΅ 4. ΠΠΎΡΠΊΠΎΠ»ΡΠΊΡ ΡΡΠΈΠΊ Π΄Π²ΠΈΠΆΠ΅ΡΡΡ Ρ ΠΏΠΎΡΡΠΎΡΠ½Π½ΠΎΠΉ ΡΠΊΠΎΡΠΎΡΡΡΡ, ΡΠ΅Π·ΡΠ»ΡΡΠΈΡΡΡΡΠ°Ρ ΡΠΈΠ»Π° Π² ΠΎΡΡΡ x ΠΈ y Π½Π°ΠΏΡΠ°Π²Π»Π΅Π½ΠΈΠ΅ Π΄ΠΎΠ»ΠΆΠ½ΠΎ Π±ΡΡΡ Π½ΡΠ»Π΅Π²ΡΠΌ.Π§ΠΈΡΡΠ°Ρ ΡΠΈΠ»Π° Π² Π½Π°ΠΏΡΠ°Π²Π»Π΅Π½ΠΈΠΈ x ΡΠ°Π²Π½Π°
.
Π° ΡΠΈΠ»Π° F, Π½Π΅ΠΎΠ±Ρ ΠΎΠ΄ΠΈΠΌΠ°Ρ Π΄Π»Ρ ΠΏΠ΅ΡΠ΅ΠΌΠ΅ΡΠ΅Π½ΠΈΡ ΡΡΠΈΠΊΠ° Ρ ΠΏΠΎΡΡΠΎΡΠ½Π½ΠΎΠΉ ΡΠΊΠΎΡΠΎΡΡΡΡ, ΡΠ°Π²Π½Π° ΡΠΈΠΊΡΠΈΡΠΎΠ²Π°Π½ΠΎ:
ΠΡΠ° ΡΠΈΠ»Π° Π΄Π΅ΠΉΡΡΠ²ΡΠ΅Ρ Π½Π° ΡΠ°ΡΡΡΠΎΡΠ½ΠΈΠΈ d. ΠΠ½Π°ΡΠ΅Π½ΠΈΠ΅ d ΡΠΈΠΊΡΠΈΡΡΠ΅ΡΡΡ ΡΠ³ΠΎΠ» [theta] ΠΈ Π²ΡΡΠΎΡΠ° h:
(ΡΠΌ. ΡΠΈΡΡΠ½ΠΎΠΊ 7.4). Π Π°Π±ΠΎΡΠ°, ΠΏΡΠΎΠ΄Π΅Π»Π°Π½Π½Π°Ρ ΡΠΈΠ»ΠΎΠΉ Π½Π° ΠΎΠ±ΡΠ΅ΡΠ΅ΡΠΊΠ΅, Π΄Π°Π½Π° ΠΏΠΎ
Π Π°Π±ΠΎΡΠ°, ΠΏΡΠΎΠ΄Π΅Π»Π°Π½Π½Π°Ρ Ρ ΡΡΠΈΠΊΠΎΠΌ ΠΏΠΎΠ΄ Π΄Π΅ΠΉΡΡΠ²ΠΈΠ΅ΠΌ ΡΠΈΠ»Ρ ΡΡΠΆΠ΅ΡΡΠΈ, ΠΎΠΏΡΠ΅Π΄Π΅Π»ΡΠ΅ΡΡΡ ΠΊΠ°ΠΊ
.
Π Π°Π±ΠΎΡΠ°, ΡΠΎΠ²Π΅ΡΡΠ°Π΅ΠΌΠ°Ρ Π½Π° ΠΎΠ±ΡΠ΅ΡΠ΅ΡΠΊΠ΅ Π½ΠΎΡΠΌΠ°Π»ΡΠ½ΠΎΠΉ ΡΠΈΠ»ΠΎΠΉ N, ΡΠ°Π²Π½Π° Π½ΡΠ»Ρ, ΠΏΠΎΡΠΊΠΎΠ»ΡΠΊΡ N ΡΠ°Π²Π½ΠΎ ΠΏΠ΅ΡΠΏΠ΅Π½Π΄ΠΈΠΊΡΠ»ΡΡΠ½ΠΎ d.ΠΠ΅Π»Π°Π΅ΠΌ Π²ΡΠ²ΠΎΠ΄, ΡΡΠΎ ΠΎΠ±ΡΠ°Ρ ΠΏΡΠΎΠ΄Π΅Π»Π°Π½Π½Π°Ρ ΡΠ°Π±ΠΎΡΠ° ΠΏΠΎ ΠΎΠ±ΡΠ΅ΡΠ΅ΡΠΊΠ΅ Π΄Π°Π½Π° ΠΏΠΎ
ΡΡΠΎ ΠΎΠΆΠΈΠ΄Π°Π»ΠΎΡΡ, ΠΏΠΎΡΠΊΠΎΠ»ΡΠΊΡ ΡΠ΅Π·ΡΠ»ΡΡΠΈΡΡΡΡΠ°Ρ ΡΠΈΠ»Π° Π½Π° ΡΡΠΈΠΊΠ΅ ΡΠ°Π²Π½Π° Π½ΡΠ»Ρ.
Π ΠΈΡΡΠ½ΠΎΠΊ 7.5. Π―ΡΠΈΠΊ ΠΏΠ΅ΡΠ΅ΠΌΠ΅ΡΠ°Π»ΡΡ Π² Π²Π΅ΡΡΠΈΠΊΠ°Π»ΡΠ½ΠΎΠΌ Π½Π°ΠΏΡΠ°Π²Π»Π΅Π½ΠΈΠΈ.
ΠΡΠ»ΠΈ ΡΠΎΡ ΠΆΠ΅ ΡΡΠΈΠΊ Π±ΡΠ» ΠΏΠΎΠ΄Π½ΡΡ Π½Π° Π²ΡΡΠΎΡΡ h ΠΏΠΎ Π²Π΅ΡΡΠΈΠΊΠ°Π»ΠΈ Π½Π°ΠΏΡΠ°Π²Π»Π΅Π½ΠΈΠΈ (ΡΠΌ. ΡΠΈΡΡΠ½ΠΎΠΊ 7.5), ΡΠΈΠ»Π° F, Π½Π΅ΠΎΠ±Ρ ΠΎΠ΄ΠΈΠΌΠ°Ρ Π΄Π»Ρ ΡΠΎΠ·Π΄Π°Π½ΠΈΡ ΠΏΠΎΡΡΠΎΡΠ½Π½ΠΎΠΉ ΡΠΊΠΎΡΠΎΡΡΠΈ Π±ΡΠ΄Π΅Ρ ΡΠ°Π²Π½ΠΎ
F = m g
ΠΡΠ° ΡΠΈΠ»Π° Π΄Π΅ΠΉΡΡΠ²ΡΠ΅Ρ Π½Π° ΡΠ°ΡΡΡΠΎΡΠ½ΠΈΠΈ h, ΠΈ ΡΠ°Π±ΠΎΡΠ°, ΡΠΎΠ²Π΅ΡΡΠ°Π΅ΠΌΠ°Ρ ΡΡΠΎΠΉ ΡΠΈΠ»ΠΎΠΉ Π½Π° ΠΎΠ±ΡΠ΅ΠΊΡ
W F = m g h
ΡΡΠΎ ΡΠ°Π²Π½ΡΠ΅ΡΡΡ ΡΠ°Π±ΠΎΡΠ΅, ΡΠΎΠ²Π΅ΡΡΠ°Π΅ΠΌΠΎΠΉ ΡΠΈΠ»ΠΎΠΉ Π½Π° Π½Π°ΠΊΠ»ΠΎΠ½Π½ΠΎΠΌ ΡΠΊΠ»ΠΎΠ½Π΅.Π₯ΠΎΡΡ ΡΠ°Π±ΠΎΡΠ°, Π²ΡΠΏΠΎΠ»Π½ΡΠ΅ΠΌΠ°Ρ ΠΊΠ°ΠΆΠ΄ΠΎΠΉ ΡΠΈΠ»ΠΎΠΉ, ΠΎΠ΄ΠΈΠ½Π°ΠΊΠΎΠ²Π°, ΡΠΈΠ»Π° ΡΡΠ΅Π±ΡΠ΅ΠΌΠΎΠ³ΠΎ ΡΠΈΠ»Π° ΡΠΈΠ»ΡΠ½ΠΎ ΡΠ°Π·Π»ΠΈΡΠ°Π΅ΡΡΡ Π² ΠΊΠ°ΠΆΠ΄ΠΎΠΌ ΠΈΠ· Π΄Π²ΡΡ ΡΠ»ΡΡΠ°Π΅Π².
ΠΡΠΈΠΌΠ΅Ρ Π·Π°Π΄Π°ΡΠΈ 2
ΠΠ»ΠΎΠΊ ΠΌΠ°ΡΡΠΎΠΉ 3,57 ΠΊΠ³ Π²ΡΡΡΠ³ΠΈΠ²Π°Π΅ΡΡΡ Ρ ΠΏΠΎΡΡΠΎΡΠ½Π½ΠΎΠΉ ΡΠΊΠΎΡΠΎΡΡΡΡ 4,06 ΠΌ ΠΏΠΎ Π³ΠΎΡΠΈΠ·ΠΎΠ½ΡΠ°Π»ΡΠ½ΠΎΠΌΡ ΠΏΠΎΠ»Ρ Ρ ΠΏΠΎΠΌΠΎΡΡΡ Π²Π΅ΡΠ΅Π²ΠΊΠ°, ΠΏΡΠΈΠΊΠ»Π°Π΄ΡΠ²Π°ΡΡΠ°Ρ ΡΠΈΠ»Ρ 7,68 Π ΠΏΠΎΠ΄ ΡΠ³Π»ΠΎΠΌ 15 Π³ΡΠ°Π΄ΡΡΠΎΠ². Π²ΡΡΠ΅ Π³ΠΎΡΠΈΠ·ΠΎΠ½ΡΠ°Π»ΠΈ. ΠΡΡΠΈΡΠ»ΠΈΡΠ΅ (Π°) ΡΠ°Π±ΠΎΡΡ, ΠΏΡΠΎΠ΄Π΅Π»Π°Π½Π½ΡΡ Π²Π΅ΡΠ΅Π²ΠΊΠΎΠΉ Π½Π° Π±Π»ΠΎΠΊΠ΅, ΠΈ (Π±) ΠΊΠΎΡΡΡΠΈΡΠΈΠ΅Π½Ρ ΠΊΠΈΠ½Π΅ΡΠΈΡΠ΅ΡΠΊΠΎΠ΅ ΡΡΠ΅Π½ΠΈΠ΅ ΠΌΠ΅ΠΆΠ΄Ρ Π±Π»ΠΎΠΊΠΎΠΌ ΠΈ ΠΏΠΎΠ»ΠΎΠΌ.
Π ΠΈΡΡΠ½ΠΎΠΊ 7.6. ΠΡΠΈΠΌΠ΅Ρ Π·Π°Π΄Π°ΡΠΈ 2.
ΠΠ° ΠΌΠ°ΡΡΡ m Π΄Π΅ΠΉΡΡΠ²ΡΡΡ ΡΠ΅ΡΡΡΠ΅ ΡΠΈΠ»Ρ: Π³ΡΠ°Π²ΠΈΡΠ°ΡΠΈΠΎΠ½Π½Π°Ρ ΡΠΈΠ»Π° W, Π½ΠΎΡΠΌΠ°Π»ΡΠ½Π°Ρ ΡΠΈΠ»Π° N, ΡΠΈΠ»Π° ΡΡΠ΅Π½ΠΈΡ f k ΠΈ ΠΏΡΠΈΠ»ΠΎΠΆΠ΅Π½Π½Π°Ρ ΡΠΈΠ»Π° F. ΠΡΠΈ ΡΠ΅ΡΡΡΠ΅ ΡΠΈΠ»Ρ ΡΡ Π΅ΠΌΠ°ΡΠΈΡΠ΅ΡΠΊΠΈ ΠΏΠΎΠΊΠ°Π·Π°Π½Ρ Π½Π° ΡΠΈΡΡΠ½ΠΊΠ΅ 7.6. ΠΠΎΡΠΊΠΎΠ»ΡΠΊΡ ΡΠΊΠΎΡΠΎΡΡΡ ΠΌΠ°ΡΡΠ° ΠΏΠΎΡΡΠΎΡΠ½Π½Π°, Π΅Π³ΠΎ ΡΡΠΊΠΎΡΠ΅Π½ΠΈΠ΅ ΡΠ°Π²Π½ΠΎ Π½ΡΠ»Ρ. X ΠΈ y-ΠΊΠΎΠΌΠΏΠΎΠ½Π΅Π½ΡΡ ΡΠΈΡΡΠΎΠΉ ΡΠΈΠ»Ρ, Π΄Π΅ΠΉΡΡΠ²ΡΡΡΠ΅ΠΉ Π½Π° ΠΌΠ°ΡΡΡ, ΡΠ°Π²Π½Ρ
ΠΠΎΡΠΊΠΎΠ»ΡΠΊΡ ΡΠ΅Π·ΡΠ»ΡΡΠΈΡΡΡΡΠ°Ρ ΡΠΈΠ»Π°, Π΄Π΅ΠΉΡΡΠ²ΡΡΡΠ°Ρ Π½Π° ΠΌΠ°ΡΡΡ, Π΄ΠΎΠ»ΠΆΠ½Π° Π±ΡΡΡ ΡΠ°Π²Π½Π° Π½ΡΠ»Ρ, ΠΏΠΎΡΠ»Π΅Π΄Π½Π΅Π΅ ΡΡΠ°Π²Π½Π΅Π½ΠΈΠ΅ ΠΌΠΎΠΆΠ΅Ρ ΠΈΡΠΏΠΎΠ»ΡΠ·ΠΎΠ²Π°ΡΡΡΡ Π΄Π»Ρ ΠΎΠΏΡΠ΅Π΄Π΅Π»Π΅Π½ΠΈΡ Π½ΠΎΡΠΌΠ°Π»ΡΠ½ΠΎΠΉ ΡΠΈΠ»Ρ N:
ΠΠΈΠ½Π΅ΡΠΈΡΠ΅ΡΠΊΠ°Ρ ΡΠΈΠ»Π° ΡΡΠ΅Π½ΠΈΡ f k ΠΎΠΏΡΠ΅Π΄Π΅Π»ΡΠ΅ΡΡΡ ΠΊΠ°ΠΊ
.
ΠΠ΄Π½Π°ΠΊΠΎ, ΠΏΠΎΡΠΊΠΎΠ»ΡΠΊΡ ΡΠΈΡΡΠ°Ρ ΡΠΎΡΡΠ°Π²Π»ΡΡΡΠ°Ρ ΡΠΈΠ»Ρ Π²Π΄ΠΎΠ»Ρ ΠΎΡΠΈ x Π΄ΠΎΠ»ΠΆΠ½Π° ΡΠ°ΠΊΠΆΠ΅ ΡΠ°Π²Π½Π° Π½ΡΠ»Ρ, ΠΊΠΈΠ½Π΅ΡΠΈΡΠ΅ΡΠΊΠ°Ρ ΡΠΈΠ»Π° ΡΡΠ΅Π½ΠΈΡ f k ΡΠ°ΠΊΠΆΠ΅ ΡΠ²ΡΠ·Π°Π½Π° Ρ ΠΏΡΠΈΠΌΠ΅Π½ΡΠ΅Ρ ΡΠΈΠ»Ρ ΡΠ»Π΅Π΄ΡΡΡΠΈΠΌ ΠΎΠ±ΡΠ°Π·ΠΎΠΌ
ΠΠΎΠΌΠ±ΠΈΠ½ΠΈΡΡΡ ΡΡΠΈ ΠΏΠΎΡΠ»Π΅Π΄Π½ΠΈΠ΅ Π΄Π²Π° Π²ΡΡΠ°ΠΆΠ΅Π½ΠΈΡ, ΠΌΡ ΠΌΠΎΠΆΠ΅ΠΌ ΠΎΠΏΡΠ΅Π΄Π΅Π»ΠΈΡΡ ΠΊΠΎΡΡΡΠΈΡΠΈΠ΅Π½Ρ ΠΊΠΈΠ½Π΅ΡΠΈΡΠ΅ΡΠΊΠΎΠ³ΠΎ ΡΡΠ΅Π½ΠΈΡ:
Π Π°Π±ΠΎΡΡ, ΡΠΎΠ²Π΅ΡΡΠ°Π΅ΠΌΡΡ Π²Π΅ΡΠ΅Π²ΠΊΠΎΠΉ Ρ ΠΌΠ°ΡΡΠΎΠΉ m, ΠΌΠΎΠΆΠ½ΠΎ ΡΠ°ΡΡΡΠΈΡΠ°ΡΡ Π΄ΠΎΡΡΠ°ΡΠΎΡΠ½ΠΎ Π»Π΅Π³ΠΊΠΎ:
Π Π°Π±ΠΎΡΠ°, ΡΠΎΠ²Π΅ΡΡΠ°Π΅ΠΌΠ°Ρ ΡΠΈΠ»ΠΎΠΉ ΡΡΠ΅Π½ΠΈΡ, ΠΎΠΏΡΠ΅Π΄Π΅Π»ΡΠ΅ΡΡΡ ΠΏΠΎ ΡΠΎΡΠΌΡΠ»Π΅
.
Π Π°Π±ΠΎΡΠ°, ΡΠΎΠ²Π΅ΡΡΠ°Π΅ΠΌΠ°Ρ Π½ΠΎΡΠΌΠ°Π»ΡΠ½ΠΎΠΉ ΡΠΈΠ»ΠΎΠΉ N ΠΈ Π²Π΅ΡΠΎΠΌ W, ΡΠ°Π²Π½Π° Π½ΡΠ»Ρ, ΠΏΠΎΡΠΊΠΎΠ»ΡΠΊΡ ΡΠΈΠ»Π° ΠΈ ΠΏΠ΅ΡΠ΅ΠΌΠ΅ΡΠ΅Π½ΠΈΠ΅ ΠΏΠ΅ΡΠΏΠ΅Π½Π΄ΠΈΠΊΡΠ»ΡΡΠ½Ρ.ΠΠ±ΡΠ°Ρ ΡΠ°Π±ΠΎΡΠ°, ΠΏΡΠΎΠ΄Π΅Π»Π°Π½Π½Π°Ρ Ρ ΠΌΠ°ΡΡΠΎΠΉ, ΡΠΎΡΡΠ°Π²Π»ΡΠ΅Ρ ΠΏΠΎΡΡΠΎΠΌΡ Π·Π°Π΄Π°Π½ΠΎ
ΠΡΠΎ Π½Π΅ΡΠ΄ΠΈΠ²ΠΈΡΠ΅Π»ΡΠ½ΠΎ, ΠΏΠΎΡΠΊΠΎΠ»ΡΠΊΡ ΡΠ΅Π·ΡΠ»ΡΡΠΈΡΡΡΡΠ°Ρ ΡΠΈΠ»Π°, Π΄Π΅ΠΉΡΡΠ²ΡΡΡΠ°Ρ Π½Π° ΠΌΠ°ΡΡΡ, ΡΠ°Π²Π½Π° Π½ΡΠ»Ρ.
Π ΠΏΡΠ΅Π΄ΡΠ΄ΡΡΠ΅ΠΌ ΠΎΠ±ΡΡΠΆΠ΄Π΅Π½ΠΈΠΈ ΠΌΡ ΠΏΡΠ΅Π΄ΠΏΠΎΠ»ΠΎΠΆΠΈΠ»ΠΈ, ΡΡΠΎ ΡΠΈΠ»Π°, Π΄Π΅ΠΉΡΡΠ²ΡΡΡΠ°Ρ Π½Π° ΠΎΠ±ΡΠ΅ΠΊΡ ΠΏΠΎΡΡΠΎΡΠ½Π½ΠΎ (Π½Π΅ Π·Π°Π²ΠΈΡΠΈΡ ΠΎΡ ΠΏΠΎΠ»ΠΎΠΆΠ΅Π½ΠΈΡ ΠΈ / ΠΈΠ»ΠΈ Π²ΡΠ΅ΠΌΠ΅Π½ΠΈ). ΠΠ΄Π½Π°ΠΊΠΎ Π²ΠΎ ΠΌΠ½ΠΎΠ³ΠΈΡ ΡΠ»ΡΡΠ°ΡΡ ΡΡΠΎ Π½Π΅Π²Π΅ΡΠ½ΠΎΠ΅ ΠΏΡΠ΅Π΄ΠΏΠΎΠ»ΠΎΠΆΠ΅Π½ΠΈΠ΅. ΠΠ° ΡΡΠ΅Ρ ΡΠΌΠ΅Π½ΡΡΠ΅Π½ΠΈΡ ΡΠ°Π·ΠΌΠ΅ΡΠ° ΡΠΌΠ΅ΡΠ΅Π½ΠΈΡ (Π½Π°ΠΏΡΠΈΠΌΠ΅Ρ, ΡΠΌΠ΅Π½ΡΡΠΈΠ² ΠΈΠ½ΡΠ΅ΡΠ²Π°Π» Π²ΡΠ΅ΠΌΠ΅Π½ΠΈ), ΠΌΡ ΠΌΠΎΠΆΠ΅ΠΌ ΠΏΠΎΠ»ΡΡΠΈΡΡ ΠΈΠ½ΡΠ΅ΡΠ²Π°Π» Π±ΠΎΠ»Π΅Π΅ ΡΠΈΠ»Π° ΠΊΠΎΡΠΎΡΠΎΠ³ΠΎ ΠΏΠΎΡΡΠΈ ΠΏΠΎΡΡΠΎΡΠ½Π½Π°.Π Π°Π±ΠΎΡΠ°, ΠΏΡΠΎΠ΄Π΅Π»Π°Π½Π½Π°Ρ Π·Π° ΡΡΠΎΡ Π½Π΅Π±ΠΎΠ»ΡΡΠΎΠΉ ΠΏΡΠΎΠΌΠ΅ΠΆΡΡΠΎΠΊ Π²ΡΠ΅ΠΌΠ΅Π½ΠΈ (dW) ΠΌΠΎΠΆΠ½ΠΎ ΡΠ°ΡΡΡΠΈΡΠ°ΡΡ
ΠΠ±ΡΠ°Ρ ΡΠ°Π±ΠΎΡΠ°, ΡΠΎΠ²Π΅ΡΡΠ°Π΅ΠΌΠ°Ρ ΡΠΈΠ»ΠΎΠΉ F, ΡΠ°Π²Π½Π° ΡΡΠΌΠΌΠ΅ Π²ΡΠ΅Ρ dW
.
ΠΡΠΈΠΌΠ΅Ρ: ΠΏΡΡΠΆΠΈΠ½Π°
ΠΡΠΈΠΌΠ΅ΡΠΎΠΌ ΠΏΠ΅ΡΠ΅ΠΌΠ΅Π½Π½ΠΎΠ³ΠΎ ΡΡΠΈΠ»ΠΈΡ ΡΠ²Π»ΡΠ΅ΡΡΡ ΡΠΈΠ»Π° ΠΏΡΡΠΆΠΈΠ½Ρ. ΡΡΠΎ ΡΠ°ΡΡΡΠ³ΠΈΠ²Π°Π΅ΡΡΡ ΠΈΠ»ΠΈ ΡΠΆΠΈΠΌΠ°Π΅ΡΡΡ. ΠΡΠ΅Π΄ΠΏΠΎΠ»ΠΎΠΆΠΈΠΌ, ΠΌΡ ΠΎΠΏΡΠ΅Π΄Π΅Π»ΡΠ΅ΠΌ Π½Π°ΡΡ ΡΠΈΡΡΠ΅ΠΌΡ ΠΊΠΎΠΎΡΠ΄ΠΈΠ½Π°Ρ ΡΠ°ΠΊΠΈΠΌ ΠΎΠ±ΡΠ°Π·ΠΎΠΌ ΡΡΠΎ Π΅Π³ΠΎ Π½Π°ΡΠ°Π»ΠΎ ΡΠΎΠ²ΠΏΠ°Π΄Π°Π΅Ρ Ρ ΠΊΠΎΠ½ΡΠΎΠΌ ΠΏΡΡΠΆΠΈΠ½Ρ Π² ΡΠ°ΡΡΠ»Π°Π±Π»Π΅Π½Π½ΠΎΠΌ ΡΠΎΡΡΠΎΡΠ½ΠΈΠΈ (ΡΠΌ. ΡΠΈΡΡΠ½ΠΎΠΊ 7.7). ΠΡΡΠΆΠΈΠ½Π° ΡΠ°ΡΡΡΠ³ΠΈΠ²Π°Π΅ΡΡΡ, Π΅ΡΠ»ΠΈ x> 0, ΠΈ ΡΠΆΠΈΠΌΠ°Π΅ΡΡΡ, Π΅ΡΠ»ΠΈ x < 0. Π‘ΠΈΠ»Π°, ΠΏΡΠΈΠ»Π°Π³Π°Π΅ΠΌΠ°Ρ ΠΏΡΡΠΆΠΈΠ½ΠΎΠΉ, Π±ΡΠ΄Π΅Ρ ΠΏΡΡΠ°ΡΡΡΡ Π²Π΅ΡΠ½ΡΡΡ ΠΏΡΡΠΆΠΈΠ½Ρ Π² ΠΈΡΡ ΠΎΠ΄Π½ΠΎΠ΅ ΠΏΠΎΠ»ΠΎΠΆΠ΅Π½ΠΈΠ΅. ΡΠ°ΡΡΠ»Π°Π±Π»Π΅Π½Π½ΠΎΠ΅ ΡΠΎΡΡΠΎΡΠ½ΠΈΠ΅:
, Π΅ΡΠ»ΠΈ x <0: F> 0
, Π΅ΡΠ»ΠΈ x> 0: F <0
ΠΠΊΡΠΏΠ΅ΡΠΈΠΌΠ΅Π½ΡΠ°Π»ΡΠ½ΠΎ ΡΡΡΠ°Π½ΠΎΠ²Π»Π΅Π½ΠΎ, ΡΡΠΎ Π΄Π»Ρ ΠΌΠ½ΠΎΠ³ΠΈΡ ΠΏΡΡΠΆΠΈΠ½ ΡΠΈΠ»Π° ΠΏΡΠΎΠΏΠΎΡΡΠΈΠΎΠ½Π°Π»ΡΠ½ΠΎ x:
F = – k x
Π ΠΈΡΡΠ½ΠΎΠΊ 7.7. Π Π°ΡΡΠ»Π°Π±Π»Π΅Π½Π½ΡΠ΅, ΡΠ°ΡΡΡΠ½ΡΡΡΠ΅ ΠΈ ΡΠΆΠ°ΡΡΠ΅ ΠΏΡΡΠΆΠΈΠ½Ρ.
Π³Π΄Π΅ k – ΠΆΠ΅ΡΡΠΊΠΎΡΡΡ ΠΏΡΡΠΆΠΈΠ½Ρ (ΠΏΠΎΠ»ΠΎΠΆΠΈΡΠ΅Π»ΡΠ½Π°Ρ ΠΈ Π½Π΅ Π·Π°Π²ΠΈΡΡΡΠ°Ρ ΠΎΡ ΠΠΊΡ).ΠΠ΄ΠΈΠ½ΠΈΡΡ Π‘Π Π΄Π»Ρ ΠΆΠ΅ΡΡΠΊΠΎΡΡΠΈ ΠΏΡΡΠΆΠΈΠ½Ρ – Π / ΠΌ. Π§Π΅ΠΌ Π±ΠΎΠ»ΡΡΠ΅ ΠΏΡΡΠΆΠΈΠ½Π° ΠΏΠΎΡΡΠΎΡΠ½Π½Π°Ρ, ΡΠ΅ΠΌ ΠΆΠ΅ΡΡΡΠ΅ ΠΏΡΡΠΆΠΈΠ½Π°. Π Π°Π±ΠΎΡΠ°, ΠΏΡΠΎΠ΄Π΅Π»Π°Π½Π½Π°Ρ ΠΏΡΡΠΆΠΈΠ½ΠΎΠΉ Π½Π° ΠΎΠ±ΡΠ΅ΠΊΡΠ΅ ΠΏΡΠΈΠΊΡΠ΅ΠΏΠ»Π΅Π½Π½ΡΠΉ ΠΊ Π΅Π³ΠΎ ΠΊΠΎΠ½ΡΡ, ΠΌΠΎΠΆΠ½ΠΎ Π²ΡΡΠΈΡΠ»ΠΈΡΡ, Π΅ΡΠ»ΠΈ ΠΌΡ Π·Π½Π°Π΅ΠΌ Π½Π°ΡΠ°Π»ΡΠ½ΠΎΠ΅ ΠΏΠΎΠ»ΠΎΠΆΠ΅Π½ΠΈΠ΅ x i ΠΈ ΠΊΠΎΠ½Π΅ΡΠ½ΠΎΠ΅ ΠΏΠΎΠ»ΠΎΠΆΠ΅Π½ΠΈΠ΅ x f ΠΎΠ±ΡΠ΅ΠΊΡΠ°:
ΠΡΠ»ΠΈ ΠΏΡΡΠΆΠΈΠ½Π° ΠΈΠ·Π½Π°ΡΠ°Π»ΡΠ½ΠΎ Π½Π°Ρ ΠΎΠ΄ΠΈΡΡΡ Π² ΡΠ°ΡΡΠ»Π°Π±Π»Π΅Π½Π½ΠΎΠΌ ΡΠΎΡΡΠΎΡΠ½ΠΈΠΈ (x i = 0) Π½Π°Ρ ΠΎΠ΄ΠΈΠΌ, ΡΡΠΎ ΠΊ Π²Π΅ΡΠ½Π΅ ΠΏΡΠΎΠ΄Π΅Π»Π°Π½Π½Π°Ρ ΡΠ°Π±ΠΎΡΠ°
Π ΠΈΡΡΠ½ΠΎΠΊ 7.8. ΠΠ°ΡΡΠ½ΠΈΠΊ Π² ΠΏΠ»ΠΎΡΠΊΠΎΡΡΠΈ x-y
Π Π°ΡΡΠΌΠΎΡΡΠΈΠΌ ΠΌΠ°ΡΡΠ½ΠΈΠΊ, ΠΏΠΎΠΊΠ°Π·Π°Π½Π½ΡΠΉ Π½Π° ΡΠΈΡΡΠ½ΠΊΠ΅ 7.8. ΠΠ°ΡΡΠ½ΠΈΠΊ ΠΏΠ΅ΡΠ΅ΠΌΠ΅ΡΠ°Π΅ΡΡΡ ΠΈΠ· ΠΈΠ· ΠΏΠΎΠ»ΠΎΠΆΠ΅Π½ΠΈΡ 1 Π² ΠΏΠΎΠ»ΠΎΠΆΠ΅Π½ΠΈΠ΅ 2 Ρ ΠΏΠΎΠΌΠΎΡΡΡ ΠΏΠΎΡΡΠΎΡΠ½Π½ΠΎΠΉ ΡΠΈΠ»Ρ F, Π½Π°ΠΏΡΠ°Π²Π»Π΅Π½Π½ΠΎΠΉ Π² Π³ΠΎΡΠΈΠ·ΠΎΠ½ΡΠ°Π»ΡΠ½ΠΎΠΌ Π½Π°ΠΏΡΠ°Π²Π»Π΅Π½ΠΈΠΈ. Π½Π°ΠΏΡΠ°Π²Π»Π΅Π½ΠΈΠ΅ (ΡΠΌ. ΡΠΈΡΡΠ½ΠΎΠΊ 7.8). ΠΠ°ΡΡΠ° ΠΌΠ°ΡΡΠ½ΠΈΠΊΠ° m. Π§ΡΠΎ Π·Π° ΡΠ°Π±ΠΎΡΠ° ΠΎΡΡΡΠ΅ΡΡΠ²Π»ΡΠ΅ΡΡΡ ΡΡΠΌΠΌΠΎΠΉ ΠΏΡΠΈΠ»ΠΎΠΆΠ΅Π½Π½ΠΎΠΉ ΡΠΈΠ»Ρ ΠΈ Π³ΡΠ°Π²ΠΈΡΠ°ΡΠΈΠΎΠ½Π½ΠΎΠΉ ΡΠΈΠ»Ρ, ΡΡΠΎΠ±Ρ ΠΏΠ΅ΡΠ΅ΠΌΠ΅ΡΡΠΈΡΡ ΠΌΠ°ΡΡΠ½ΠΈΠΊ ΠΈΠ· ΠΏΠΎΠ»ΠΎΠΆΠ΅Π½ΠΈΡ 1 Π² ΠΏΠΎΠ»ΠΎΠΆΠ΅Π½ΠΈΠ΅ 2?
ΠΠ΅ΡΠΎΠ΄ 1 – ΡΠ»ΠΎΠΆΠ½ΡΠΉ
ΠΠ΅ΠΊΡΠΎΡΠ½Π°Ρ ΡΡΠΌΠΌΠ° ΠΏΡΠΈΠ»ΠΎΠΆΠ΅Π½Π½ΠΎΠΉ ΡΠΈΠ»Ρ ΠΈ Π³ΡΠ°Π²ΠΈΡΠ°ΡΠΈΠΎΠ½Π½ΠΎΠΉ ΡΠΈΠ»Ρ ΡΠ°Π²Π½Π° ΠΏΠΎΠΊΠ°Π·Π°Π½ΠΎ Π½Π° ΡΠΈΡΡΠ½ΠΊΠ΅ 7.9. Π£Π³ΠΎΠ» ΠΌΠ΅ΠΆΠ΄Ρ ΠΏΡΠΈΠ»ΠΎΠΆΠ΅Π½Π½ΠΎΠΉ ΡΠΈΠ»ΠΎΠΉ F ΠΈ Π²Π΅ΠΊΡΠΎΡΠ½ΠΎΠΉ ΡΡΠΌΠΌΠΎΠΉ F t – ΡΡΠΎ. ΠΠ° ΡΠΈΡΡΠ½ΠΊΠ΅ 7.9 ΠΏΠΎΠΊΠ°Π·Π°Π½ΠΎ, ΡΡΠΎ ΡΠ»Π΅Π΄ΡΡΡΠΈΠ΅ ΡΡΠ°Π²Π½Π΅Π½ΠΈΡ ΡΠ²ΡΠ·ΡΠ²Π°ΡΡ F Ρ F Ρ ΠΈ F Π³ ΠΎΡ Π΄ΠΎ F Ρ :
Π ΠΈΡΡΠ½ΠΎΠΊ 7.9. ΠΠ΅ΠΊΡΠΎΡΠ½Π°Ρ ΡΡΠΌΠΌΠ° F Ρ ΠΈΠ· F Π³ ΠΈ F.
Π§ΡΠΎΠ±Ρ ΡΠ°ΡΡΡΠΈΡΠ°ΡΡ ΡΠ°Π±ΠΎΡΡ, Π²ΡΠΏΠΎΠ»Π½Π΅Π½Π½ΡΡ ΠΎΠ±ΡΠ΅ΠΉ ΡΠΈΠ»ΠΎΠΉ Π½Π° ΠΌΠ°ΡΡΠ½ΠΈΠΊ, Π½Π°ΠΌ Π½ΡΠΆΠ½ΠΎ Π·Π½Π°ΡΡ ΡΠ³ΠΎΠ» ΠΌΠ΅ΠΆΠ΄Ρ ΠΏΠΎΠ»Π½ΠΎΠΉ ΡΠΈΠ»ΠΎΠΉ ΠΈ Π½Π°ΠΏΡΠ°Π²Π»Π΅Π½ΠΈΠ΅ΠΌ Π΄Π²ΠΈΠΆΠ΅Π½ΠΈΡ.Π ΠΈΡΡΠ½ΠΎΠΊ 7.10 ΠΏΠΎΠΊΠ°Π·ΡΠ²Π°Π΅Ρ, ΡΡΠΎ Π΅ΡΠ»ΠΈ ΡΠ³ΠΎΠ» ΠΌΠ΅ΠΆΠ΄Ρ ΠΌΠ°ΡΡΠ½ΠΈΠΊΠΎΠΌ ΠΈ ΠΡΡ Y – [ΡΠ΅ΡΠ°], ΡΠ³ΠΎΠ» ΠΌΠ΅ΠΆΠ΄Ρ ΠΎΠ±ΡΠ΅ΠΉ ΡΠΈΠ»ΠΎΠΉ ΠΈ Π½Π°ΠΏΡΠ°Π²Π»Π΅Π½ΠΈΠ΅ΠΌ Π΄Π²ΠΈΠΆΠ΅Π½ΠΈΠ΅ ΡΠ°Π²Π½ΠΎ [ΡΠ΅ΡΠ°] + Π°. Π Π°ΡΡΡΠΎΡΠ½ΠΈΠ΅ dr Π·Π°Π²ΠΈΡΠΈΡ ΠΎΡ d [ΡΠ΅ΡΠ°]:
ΠΠ»Ρ ΠΎΡΠ΅Π½Ρ Π½Π΅Π±ΠΎΠ»ΡΡΠΎΠ³ΠΎ ΡΠ°ΡΡΡΠΎΡΠ½ΠΈΡ dr ΡΠ³ΠΎΠ» ΠΌΠ΅ΠΆΠ΄Ρ dr ΠΈ F t Π½Π΅ ΠΈΠ·ΠΌΠ΅Π½ΠΈΡΡΡ. Π Π°Π±ΠΎΡΠ°, ΠΏΡΠΎΠ΄Π΅Π»Π°Π½Π½Π°Ρ F t Π½Π° ΠΌΠ°ΡΡΠ½ΠΈΠΊΠ΅, ΡΠΊΠ°Π·Π°Π½Π° Π²
.
ΠΠ±ΡΠ°Ρ ΡΠ°Π±ΠΎΡΠ°, ΠΏΡΠΎΠ΄Π΅Π»Π°Π½Π½Π°Ρ F t , ΠΌΠΎΠΆΠ΅Ρ Π±ΡΡΡ ΠΏΠΎΠ»ΡΡΠ΅Π½Π° ΠΏΡΡΠ΅ΠΌ ΠΈΠ½ΡΠ΅Π³ΡΠΈΡΠΎΠ²Π°Π½ΠΈΡ ΡΡΠ°Π²Π½Π΅Π½ΠΈΠ΅ Π΄Π»Ρ dW ΠΏΠΎ Π²ΡΠ΅ΠΌ ΡΠ³Π»Π°ΠΌ ΠΌΠ΅ΠΆΠ΄Ρ [theta] = 0deg.ΠΈ [ΡΠ΅ΡΠ°] = [theta] ΠΌΠ°ΠΊΡ. . ΠΠ°ΠΊΡΠΈΠΌΠ°Π»ΡΠ½ΡΠΉ ΡΠ³ΠΎΠ» Π»Π΅Π³ΠΊΠΎ Π²ΡΡΠ°Π·ΠΈΡΡ ΡΠ΅ΡΠ΅Π· r ΠΈ h:
Π ΠΈΡΡΠ½ΠΎΠΊ 7.10. Π£Π³ΠΎΠ» ΠΌΠ΅ΠΆΠ΄Ρ ΡΡΠΌΠΌΠ°ΡΠ½ΠΎΠΉ ΡΠΈΠ»ΠΎΠΉ ΠΈ Π½Π°ΠΏΡΠ°Π²Π»Π΅Π½ΠΈΠ΅ΠΌ.
ΠΡΠ΅Π³ΠΎ Π²ΡΠΏΠΎΠ»Π½Π΅Π½ΠΎ
ΡΠ°Π±ΠΎΡ.
ΠΡΠΏΠΎΠ»ΡΠ·ΡΡ ΠΎΠ΄Π½ΠΎ ΠΈΠ· ΡΡΠΈΠ³ΠΎΠ½ΠΎΠΌΠ΅ΡΡΠΈΡΠ΅ΡΠΊΠΈΡ ΡΠΎΠΆΠ΄Π΅ΡΡΠ² (ΠΡΠΈΠ»ΠΎΠΆΠ΅Π½ΠΈΠ΅, ΡΡΡ. A15), ΠΌΡ ΠΌΠΎΠΆΠ΅ΠΌ ΠΏΠ΅ΡΠ΅ΠΏΠΈΡΠΈΡΠ΅ ΡΡΠΎ Π²ΡΡΠ°ΠΆΠ΅Π½ΠΈΠ΅ ΠΊΠ°ΠΊ
ΠΡΠΏΠΎΠ»ΡΠ·ΡΡ ΠΏΡΠΈΠ²Π΅Π΄Π΅Π½Π½ΡΠ΅ Π²ΡΡΠ΅ ΡΡΠ°Π²Π½Π΅Π½ΠΈΡ Π΄Π»Ρ F t cos (a), F t sin (a), r cos ([theta] max ) ΠΈ r sin ([theta] max ) ΠΌΡ ΠΌΠΎΠΆΠ΅ΠΌ ΠΏΠ΅ΡΠ΅ΠΏΠΈΡΠ΅ΠΌ ΡΡΠΎ Π²ΡΡΠ°ΠΆΠ΅Π½ΠΈΠ΅ ΠΈ ΠΏΠΎΠ»ΡΡΠΈΠΌ Π΄Π»Ρ W:
ΠΠ΅ΡΠΎΠ΄ 2 – ΠΏΡΠΎΡΡΠΎΠΉ
Π‘ΡΠΌΠΌΠ°ΡΠ½Π°Ρ ΡΠ°Π±ΠΎΡΠ°, ΡΠΎΠ²Π΅ΡΡΠ΅Π½Π½Π°Ρ Π½Π° ΠΌΠ°ΡΡΠ½ΠΈΠΊΠ΅ ΠΏΡΠΈΠ»ΠΎΠΆΠ΅Π½Π½ΠΎΠΉ ΡΠΈΠ»ΠΎΠΉ F ΠΈ Π³ΡΠ°Π²ΠΈΡΠ°ΡΠΈΠΎΠ½Π½Π°Ρ ΡΠΈΠ»Π° F g ΠΌΠΎΠ³Π»Π° Π±ΡΡΡ ΠΏΠΎΠ»ΡΡΠ΅Π½Π° Π½Π°ΠΌΠ½ΠΎΠ³ΠΎ ΠΏΡΠΎΡΠ΅, Π΅ΡΠ»ΠΈ Π±Ρ Π±ΡΠ»ΠΎ ΠΈΡΠΏΠΎΠ»ΡΠ·ΠΎΠ²Π°Π½ΠΎ ΡΠΎΠΎΡΠ½ΠΎΡΠ΅Π½ΠΈΠ΅:
ΠΠ±ΡΠ°Ρ ΡΠ°Π±ΠΎΡΠ° W – ΡΡΠΎ ΡΡΠΌΠΌΠ° ΡΠ°Π±ΠΎΡΡ, ΡΠΎΠ²Π΅ΡΡΠ΅Π½Π½ΠΎΠΉ ΠΏΡΠΈΠ»ΠΎΠΆΠ΅Π½Π½ΠΎΠΉ ΡΠΈΠ»ΠΎΠΉ F ΠΈ ΡΠ°Π±ΠΎΡΠ°, ΡΠΎΠ²Π΅ΡΡΠ°Π΅ΠΌΠ°Ρ ΡΠΈΠ»ΠΎΠΉ ΡΡΠΆΠ΅ΡΡΠΈ F g .ΠΡΠΈ Π΄Π²Π΅ Π²Π΅Π»ΠΈΡΠΈΠ½Ρ Π»Π΅Π³ΠΊΠΎ ΡΠ°ΡΡΡΠΈΡΡΠ²Π°Π΅ΡΡΡ:
Π Π²ΡΠ΅Π³ΠΎ ΡΠ°Π±ΠΎΡ
ΡΡΠΎ ΠΈΠ΄Π΅Π½ΡΠΈΡΠ½ΠΎ ΡΠ΅Π·ΡΠ»ΡΡΠ°ΡΡ, ΠΏΠΎΠ»ΡΡΠ΅Π½Π½ΠΎΠΌΡ Ρ ΠΈΡΠΏΠΎΠ»ΡΠ·ΠΎΠ²Π°Π½ΠΈΠ΅ΠΌ ΠΌΠ΅ΡΠΎΠ΄Π° 1.
ΠΠ°Π±Π»ΡΠ΄Π΅Π½ΠΈΠ΅ Π·Π° Π΄Π²ΠΈΠΆΠ΅Π½ΠΈΠ΅ΠΌ ΠΎΠ±ΡΠ΅ΠΊΡΠ° Ρ ΠΎΠΏΡΠ΅Π΄Π΅Π»Π΅Π½Π½ΠΎΠΉ ΡΠΊΠΎΡΠΎΡΡΡΡ ΡΠΊΠ°Π·ΡΠ²Π°Π΅Ρ Π½Π° ΡΡΠΎ ΠΊΠΎΠ³Π΄Π°-ΡΠΎ Π² ΠΏΡΠΎΡΠ»ΠΎΠΌ Π½Π°Π΄ ΡΡΠΈΠΌ, Π΄ΠΎΠ»ΠΆΠ½ΠΎ Π±ΡΡΡ, Π²Π΅Π»Π°ΡΡ ΡΠ°Π±ΠΎΡΠ°.ΠΡΠ΅Π΄ΠΏΠΎΠ»ΠΎΠΆΠΈΠΌ, Π½Π°Ρ ΠΎΠ±ΡΠ΅ΠΊΡ ΠΈΠΌΠ΅Π΅Ρ ΠΌΠ°ΡΡΡ m ΠΈ Π΄Π²ΠΈΠΆΠ΅ΡΡΡ ΡΠΎ ΡΠΊΠΎΡΠΎΡΡΡΡ v. ΠΠ³ΠΎ ΡΠ΅ΠΊΡΡΠ°Ρ ΡΠΊΠΎΡΠΎΡΡΡ ΡΠ°Π²Π½Π° ΡΠ΅Π·ΡΠ»ΡΡΠ°Ρ Π΄Π΅ΠΉΡΡΠ²ΠΈΡ ΡΠΈΠ»Ρ F. ΠΠ»Ρ Π΄Π°Π½Π½ΠΎΠΉ ΡΠΈΠ»Ρ F ΠΌΡ ΠΌΠΎΠΆΠ΅ΠΌ ΠΏΠΎΠ»ΡΡΠΈΡΡ ΡΡΠΊΠΎΡΠ΅Π½ΠΈΠ΅ Π½Π°ΡΠ΅Π³ΠΎ ΠΎΠ±ΡΠ΅ΠΊΡ:
ΠΡΠ΅Π΄ΠΏΠΎΠ»Π°Π³Π°Ρ, ΡΡΠΎ ΠΎΠ±ΡΠ΅ΠΊΡ Π½Π°Ρ ΠΎΠ΄ΠΈΠ»ΡΡ Π² ΡΠΎΡΡΠΎΡΠ½ΠΈΠΈ ΠΏΠΎΠΊΠΎΡ Π² ΠΌΠΎΠΌΠ΅Π½Ρ Π²ΡΠ΅ΠΌΠ΅Π½ΠΈ t = 0, ΠΌΡ ΠΌΠΎΠΆΠ΅ΠΌ ΠΏΠΎΠ»ΡΡΠΈΡΡ ΡΠΊΠΎΡΠΎΡΡΡ Π² Π»ΡΠ±ΠΎΠ΅ Π±ΠΎΠ»Π΅Π΅ ΠΏΠΎΠ·Π΄Π½Π΅Π΅ Π²ΡΠ΅ΠΌΡ:
Π‘Π»Π΅Π΄ΠΎΠ²Π°ΡΠ΅Π»ΡΠ½ΠΎ, Π²ΡΠ΅ΠΌΡ, Π·Π° ΠΊΠΎΡΠΎΡΠΎΠ΅ ΠΌΠ°ΡΡΠ° Π΄ΠΎΡΡΠΈΠ³Π°Π΅Ρ ΡΠΊΠΎΡΠΎΡΡΠΈ v, ΠΌΠΎΠΆΠ΅Ρ Π±ΡΡΡ Π²ΡΡΠΈΡΠ»Π΅Π½ΠΎ:
ΠΡΠ»ΠΈ Π² ΡΡΠΎ Π²ΡΠ΅ΠΌΡ Π²ΡΠΊΠ»ΡΡΠΈΡΡ ΡΠΈΠ»Ρ, ΠΌΠ°ΡΡΠ° ΠΏΡΠΎΠ΄ΠΎΠ»ΠΆΠΈΡ Π΄Π²ΠΈΠ³Π°ΡΡΡΡ Ρ ΠΏΠΎΡΡΠΎΡΠ½Π½Π°Ρ ΡΠΊΠΎΡΠΎΡΡΡ, ΡΠ°Π²Π½Π°Ρ v.Π§ΡΠΎΠ±Ρ ΡΠ°ΡΡΡΠΈΡΠ°ΡΡ ΡΠ°Π±ΠΎΡΡ, ΠΏΡΠΎΠ΄Π΅Π»Π°Π½Π½ΡΡ ΡΠΈΠ»Ρ F Π½Π° ΠΌΠ°ΡΡΡ, Π½Π°ΠΌ Π½ΡΠΆΠ½ΠΎ Π·Π½Π°ΡΡ ΠΎΠ±ΡΠ΅Π΅ ΡΠ°ΡΡΡΠΎΡΠ½ΠΈΠ΅, Π½Π° ΠΊΠΎΡΠΎΡΠΎΠΌ ΡΡΠ° ΡΠΈΠ»Π° Π΄Π΅ΠΉΡΡΠ²ΠΎΠ²Π°Π». ΠΡΠΎ ΡΠ°ΡΡΡΠΎΡΠ½ΠΈΠ΅ d Π»Π΅Π³ΠΊΠΎ Π½Π°ΠΉΡΠΈ ΠΈΠ· ΡΡΠ°Π²Π½Π΅Π½ΠΈΠΉ Π΄Π²ΠΈΠΆΠ΅Π½ΠΈΡ:
Π Π°Π±ΠΎΡΠ°, ΡΠΎΠ²Π΅ΡΡΠ°Π΅ΠΌΠ°Ρ ΡΠΈΠ»ΠΎΠΉ F Π½Π°Π΄ ΠΌΠ°ΡΡΠΎΠΉ, ΡΠ°Π²Π½Π°
.
Π Π°Π±ΠΎΡΠ° Π½Π΅ Π·Π°Π²ΠΈΡΠΈΡ ΠΎΡ ΡΠΈΠ»Ρ ΡΠΈΠ»Ρ F ΠΈ Π·Π°Π²ΠΈΡΠΈΡ ΡΠΎΠ»ΡΠΊΠΎ ΠΎΡ ΠΎΡ ΠΌΠ°ΡΡΡ ΠΎΠ±ΡΠ΅ΠΊΡΠ° ΠΈ Π΅Π³ΠΎ ΡΠΊΠΎΡΠΎΡΡΠΈ.ΠΠΎΡΠΊΠΎΠ»ΡΠΊΡ ΡΡΠ° ΡΠ°Π±ΠΎΡΠ° ΡΠ²ΡΠ·Π°Π½Π° Ρ Π΄Π²ΠΈΠΆΠ΅Π½ΠΈΠ΅ ΠΎΠ±ΡΠ΅ΠΊΡΠ°, ΠΎΠ½ΠΎ Π½Π°Π·ΡΠ²Π°Π΅ΡΡΡ Π΅Π³ΠΎ ΠΊΠΈΠ½Π΅ΡΠΈΡΠ΅ΡΠΊΠΎΠΉ ΡΠ½Π΅ΡΠ³ΠΈΠ΅ΠΉ K :
ΠΡΠ»ΠΈ ΠΊΠΈΠ½Π΅ΡΠΈΡΠ΅ΡΠΊΠ°Ρ ΡΠ½Π΅ΡΠ³ΠΈΡ ΡΠ°ΡΡΠΈΡΡ ΠΈΠ·ΠΌΠ΅Π½ΡΠ΅ΡΡΡ ΠΎΡ Π½Π΅ΠΊΠΎΡΠΎΡΠΎΠ³ΠΎ Π½Π°ΡΠ°Π»ΡΠ½ΠΎΠ³ΠΎ Π·Π½Π°ΡΠ΅Π½ΠΈΡ K i Π΄ΠΎ Π½Π΅ΠΊΠΎΡΠΎΡΠΎΠ³ΠΎ ΠΎΠΊΠΎΠ½ΡΠ°ΡΠ΅Π»ΡΠ½ΠΎΠ³ΠΎ Π·Π½Π°ΡΠ΅Π½ΠΈΡ K f ΠΎΠ±ΡΠ΅ΠΌ Π²ΡΠΏΠΎΠ»Π½Π΅Π½Π½ΡΡ ΡΠ°Π±ΠΎΡ Π½Π° ΡΠ°ΡΡΠΈΡΠ° Π·Π°Π΄Π°Π΅ΡΡΡ ΡΠΎΡΠΌΡΠ»ΠΎΠΉ
W = K f – K i
ΠΡΠΎ ΡΠΊΠ°Π·ΡΠ²Π°Π΅Ρ Π½Π° ΡΠΎ, ΡΡΠΎ ΠΈΠ·ΠΌΠ΅Π½Π΅Π½ΠΈΠ΅ ΠΊΠΈΠ½Π΅ΡΠΈΡΠ΅ΡΠΊΠΎΠΉ ΡΠ½Π΅ΡΠ³ΠΈΠΈ ΡΠ°ΡΡΠΈΡΡ ΡΠ°Π²Π½ΠΎ ΡΠ°Π²Π½ΠΎΠΉ ΠΎΠ±ΡΠ΅ΠΉ ΡΠ°Π±ΠΎΡΠ΅, ΡΠΎΠ²Π΅ΡΡΠ΅Π½Π½ΠΎΠΉ Π½Π°Π΄ ΡΡΠΎΠΉ ΡΠ°ΡΡΠΈΡΠ΅ΠΉ Π²ΡΠ΅ΠΌΠΈ ΡΠΈΠ»Π°ΠΌΠΈ, Π΄Π΅ΠΉΡΡΠ²ΡΡΡΠΈΠΌΠΈ Π½Π° ΠΡΠΎ.
ΠΠ»ΡΡΠ΅ΡΠ½Π°ΡΠΈΠ²Π½Π°Ρ Π΄Π΅ΡΠΈΠ²Π°ΡΠΈΡ
Π Π°ΡΡΠΌΠΎΡΡΠΈΠΌ ΡΠ°ΡΡΠΈΡΡ Ρ ΠΌΠ°ΡΡΠΎΠΉ m, Π΄Π²ΠΈΠΆΡΡΡΡΡΡ Π²Π΄ΠΎΠ»Ρ ΠΎΡΠΈ x ΠΈ Π½Π° ΠΊΠΎΡΠΎΡΡΡ Π΄Π΅ΠΉΡΡΠ²ΡΠ΅Ρ ΡΠ΅ΡΡ ΡΠΈΠ»Π° F (x), ΠΊΠΎΡΠΎΡΠ°Ρ ΡΠΊΠ°Π·ΡΠ²Π°Π΅Ρ Π²Π΄ΠΎΠ»Ρ ΠΎΡΠΈ x. Π Π°Π±ΠΎΡΠ°, ΡΠΎΠ²Π΅ΡΡΠ°Π΅ΠΌΠ°Ρ ΡΠΈΠ»ΠΎΠΉ F Π½Π° ΠΌΠ°ΡΡΡ m, ΠΊΠΎΠ³Π΄Π° ΡΠ°ΡΡΠΈΡΠ° ΠΏΠ΅ΡΠ΅ΠΌΠ΅ΡΠ°Π΅ΡΡΡ ΠΈΠ· ΠΈΡΡ ΠΎΠ΄Π½ΠΎΠ³ΠΎ ΠΏΠΎΠ»ΠΎΠΆΠ΅Π½ΠΈΡ x i Π² ΡΠ²ΠΎΠ΅ ΠΊΠΎΠ½Π΅ΡΠ½Π°Ρ ΠΏΠΎΠ·ΠΈΡΠΈΡ x f –
ΠΠ· ΠΎΠΏΡΠ΅Π΄Π΅Π»Π΅Π½ΠΈΡ a ΠΌΡ ΠΌΠΎΠΆΠ΅ΠΌ Π·Π°ΠΊΠ»ΡΡΠΈΡΡ
ΠΠΎΠ΄ΡΡΠ°Π²Π»ΡΡ ΡΡΠΎ Π²ΡΡΠ°ΠΆΠ΅Π½ΠΈΠ΅ Π² ΠΈΠ½ΡΠ΅Π³ΡΠ°Π», ΠΏΠΎΠ»ΡΡΠ°Π΅ΠΌ
ΠΡΠΈΠΌΠ΅Ρ Π·Π°Π΄Π°ΡΠΈ 3
ΠΠ±ΡΠ΅ΠΊΡ Ρ ΠΌΠ°ΡΡΠΎΠΉ m Π½Π°Ρ ΠΎΠ΄ΠΈΡΡΡ Π² ΡΠΎΡΡΠΎΡΠ½ΠΈΠΈ ΠΏΠΎΠΊΠΎΡ Π² ΠΌΠΎΠΌΠ΅Π½Ρ Π²ΡΠ΅ΠΌΠ΅Π½ΠΈ t = 0.ΠΠΎΠ΄ΠΏΠ°Π΄Π°Π΅Ρ ΠΏΠΎΠ΄ Π²Π»ΠΈΡΠ½ΠΈΠ΅ ΡΠΈΠ»Ρ ΡΡΠΆΠ΅ΡΡΠΈ Π½Π° ΡΠ°ΡΡΡΠΎΡΠ½ΠΈΠ΅ h (ΡΠΌ. ΡΠΈΡΡΠ½ΠΎΠΊ 7.11). Π§ΡΠΎ ΡΡΠΎ Π·Π° ΡΠΊΠΎΡΠΎΡΡΡ Π² ΡΡΠΎΠΉ ΡΠΎΡΠΊΠ΅?
ΠΠΎΡΠΊΠΎΠ»ΡΠΊΡ ΠΎΠ±ΡΠ΅ΠΊΡ ΠΈΠ·Π½Π°ΡΠ°Π»ΡΠ½ΠΎ Π½Π°Ρ ΠΎΠ΄ΠΈΡΡΡ Π² ΡΠΎΡΡΠΎΡΠ½ΠΈΠΈ ΠΏΠΎΠΊΠΎΡ, Π΅Π³ΠΎ Π½Π°ΡΠ°Π»ΡΠ½Π°Ρ ΠΊΠΈΠ½Π΅ΡΠΈΡΠ΅ΡΠΊΠ°Ρ ΡΠ½Π΅ΡΠ³ΠΈΡ ΡΠ°Π²Π½Π° Π½ΡΠ»Ρ:
K i = 0 ΠΠΆ
Π‘ΠΈΠ»Π°, Π΄Π΅ΠΉΡΡΠ²ΡΡΡΠ°Ρ Π½Π° ΠΎΠ±ΡΠ΅ΠΊΡ, – ΡΡΠΎ ΡΠΈΠ»Π° ΡΡΠΆΠ΅ΡΡΠΈ
F g = m g
Π ΠΈΡΡΠ½ΠΎΠΊ 7.11. ΠΠ°Π΄Π°ΡΡΠΈΠΉ ΠΎΠ±ΡΠ΅ΠΊΡ.
Π Π°Π±ΠΎΡΠ°, ΡΠΎΠ²Π΅ΡΡΠ°Π΅ΠΌΠ°Ρ Π³ΡΠ°Π²ΠΈΡΠ°ΡΠΈΠΎΠ½Π½ΠΎΠΉ ΡΠΈΠ»ΠΎΠΉ Π½Π°Π΄ ΠΎΠ±ΡΠ΅ΠΊΡΠΎΠΌ, ΠΏΡΠΎΡΡΠΎ ΡΠ°Π²Π½Π°
W = F g h = m g h
ΠΠΈΠ½Π΅ΡΠΈΡΠ΅ΡΠΊΠ°Ρ ΡΠ½Π΅ΡΠ³ΠΈΡ ΠΎΠ±ΡΠ΅ΠΊΡΠ° ΠΏΠΎΡΠ»Π΅ ΠΏΠ°Π΄Π΅Π½ΠΈΡ Π½Π° ΡΠ°ΡΡΡΠΎΡΠ½ΠΈΠ΅ h ΠΌΠΎΠΆΠ΅Ρ Π±ΡΡΡ ΡΠ°ΡΡΡΠΈΡΠ°Π½ΠΎ:
W = ΠΌ. Π³ . h = K f – K i = Π f
Π° Π΅Π³ΠΎ ΡΠΊΠΎΡΠΎΡΡΡ Π² ΡΡΠΎΠΉ ΡΠΎΡΠΊΠ΅ ΡΠ°Π²Π½Π°
Π ΠΈΡΡΠ½ΠΎΠΊ 7.12. ΠΠ²ΠΈΠΆΠ΅Π½ΠΈΠ΅ ΡΠ½Π°ΡΡΠ΄Π°.
ΠΡΠΈΠΌΠ΅Ρ Π·Π°Π΄Π°ΡΠΈ 4
ΠΠ΅ΠΉΡΠ±ΠΎΠ»ΡΠ½ΡΠΉ ΠΌΡΡ ΠΏΠΎΠ΄Π±ΡΠ°ΡΡΠ²Π°Π΅ΡΡΡ Π² Π²ΠΎΠ·Π΄ΡΡ Ρ Π½Π°ΡΠ°Π»ΡΠ½ΠΎΠΉ ΡΠΊΠΎΡΠΎΡΡΡΡ v 0 (ΡΠΌ. Π ΠΈΡΡΠ½ΠΎΠΊ 7.12). ΠΠ°ΠΊΠΎΠΉ Π½Π°ΠΈΠ²ΡΡΡΠ΅ΠΉ ΡΠΎΡΠΊΠΈ ΠΎΠ½ Π΄ΠΎΡΡΠΈΠ³Π°Π΅Ρ?
ΠΠ°ΡΠ°Π»ΡΠ½Π°Ρ ΠΊΠΈΠ½Π΅ΡΠΈΡΠ΅ΡΠΊΠ°Ρ ΡΠ½Π΅ΡΠ³ΠΈΡ Π±Π΅ΠΉΡΠ±ΠΎΠ»ΡΠ½ΠΎΠ³ΠΎ ΠΌΡΡΠ° –
.
Π ΡΠ°ΠΌΠΎΠΉ Π²ΡΡΠΎΠΊΠΎΠΉ ΡΠΎΡΠΊΠ΅ ΡΠΊΠΎΡΠΎΡΡΡ Π±Π΅ΠΉΡΠ±ΠΎΠ»ΡΠ½ΠΎΠ³ΠΎ ΠΌΡΡΠ° ΡΠ°Π²Π½Π° Π½ΡΠ»Ρ, ΠΈ ΠΏΠΎΡΡΠΎΠΌΡ Π΅Π³ΠΎ ΠΊΠΈΠ½Π΅ΡΠΈΡΠ΅ΡΠΊΠ°Ρ ΡΠ½Π΅ΡΠ³ΠΈΡ ΡΠ°Π²Π½Π° Π½ΡΠ»Ρ.ΠΡΠΎΠ΄Π΅Π»Π°Π½Π½Π°Ρ ΡΠ°Π±ΠΎΡΠ° ΠΏΠΎ Π±Π΅ΠΉΡΠ±ΠΎΠ»Ρ ΠΏΠΎ ΡΠΈΠ»Π΅ ΡΡΠΆΠ΅ΡΡΠΈ ΠΌΠΎΠΆΠ½ΠΎ ΠΏΠΎΠ»ΡΡΠΈΡΡ:
W = K f – K i = – K i
Π ΡΡΠΎΠΌ ΡΠ»ΡΡΠ°Π΅ Π½Π°ΠΏΡΠ°Π²Π»Π΅Π½ΠΈΠ΅ ΠΏΠ΅ΡΠ΅ΠΌΠ΅ΡΠ΅Π½ΠΈΡ ΠΌΡΡΠ° ΠΏΡΠΎΡΠΈΠ²ΠΎΠΏΠΎΠ»ΠΎΠΆΠ½ΠΎΠ΅. ΠΊ Π½Π°ΠΏΡΠ°Π²Π»Π΅Π½ΠΈΡ ΡΠΈΠ»Ρ ΡΡΠΆΠ΅ΡΡΠΈ. ΠΡΠ΅Π΄ΠΏΠΎΠ»ΠΎΠΆΠΈΠΌ, ΡΡΠΎ Π±Π΅ΠΉΡΠ±ΠΎΠ» Π΄ΠΎΡΡΠΈΠ³Π°Π΅Ρ Π²ΡΡΠΎΡΠ° h. ΠΠ° ΡΡΠΎΠΌ ΡΡΠ°ΠΏΠ΅ ΡΠ°Π±ΠΎΡΠ°, ΠΏΡΠΎΠ΄Π΅Π»Π°Π½Π½Π°Ρ Ρ Π±Π΅ΠΉΡΠ±ΠΎΠ»ΡΠ½ΡΠΌ ΠΌΡΡΠΎΠΌ, ΡΠΎΡΡΠ°Π²Π»ΡΠ΅Ρ
W = – m g h
Π’Π΅ΠΏΠ΅ΡΡ ΠΌΠΎΠΆΠ½ΠΎ ΡΠ°ΡΡΡΠΈΡΠ°ΡΡ ΠΌΠ°ΠΊΡΠΈΠΌΠ°Π»ΡΠ½ΡΡ Π²ΡΡΠΎΡΡ h:
Π ΠΏΠΎΠ²ΡΠ΅Π΄Π½Π΅Π²Π½ΠΎΠΉ ΠΆΠΈΠ·Π½ΠΈ ΠΎΠ±ΡΠ΅ΠΌ ΡΠ°Π±ΠΎΡΡ, ΠΊΠΎΡΠΎΡΡΠΉ ΠΌΠΎΠΆΠ΅Ρ Π²ΡΠΏΠΎΠ»Π½ΡΡΡ Π°ΠΏΠΏΠ°ΡΠ°Ρ, Π½Π΅ Π²Π΅Π»ΠΈΠΊ. Π²ΡΠ΅Π³Π΄Π° Π²Π°ΠΆΠ½ΠΎ.Π ΠΎΠ±ΡΠ΅ΠΌ, Π²Π°ΠΆΠ½Π΅Π΅ Π·Π½Π°ΡΡ Π²ΡΠ΅ΠΌΡ Π² ΠΏΡΠ΅Π΄Π΅Π»Π°Ρ ΠΊΠΎΡΠΎΡΡΠΉ ΠΌΠΎΠΆΠ΅Ρ Π±ΡΡΡ ΠΏΡΠΎΠ΄Π΅Π»Π°Π½ ΠΎΠΏΡΠ΅Π΄Π΅Π»Π΅Π½Π½ΡΠΉ ΠΎΠ±ΡΠ΅ΠΌ ΡΠ°Π±ΠΎΡΡ. ΠΠ°ΠΏΡΠΈΠΌΠ΅Ρ: Π²Π·ΡΡΠ²Π½ΠΎΠΉ ΡΡΡΠ΅ΠΊΡ Π΄ΠΈΠ½Π°ΠΌΠΈΡΠ° ΠΎΡΠ½ΠΎΠ²Π°Π½ Π½Π° Π΅Π³ΠΎ ΡΠΏΠΎΡΠΎΠ±Π½ΠΎΡΡΠΈ Π²ΡΠ΄Π΅Π»ΡΡΡ Π±ΠΎΠ»ΡΡΠΎΠ΅ ΠΊΠΎΠ»ΠΈΡΠ΅ΡΡΠ²ΠΎ ΡΠ½Π΅ΡΠ³ΠΈΠΈ Π² ΠΎΡΠ΅Π½Ρ ΠΊΠΎΡΠΎΡΠΊΠΎΠ΅ Π²ΡΠ΅ΠΌΡ. Π’Π°ΠΊΠΎΠΉ ΠΆΠ΅ ΠΎΠ±ΡΠ΅ΠΌ ΡΠ°Π±ΠΎΡΡ ΠΌΠΎΠΆΠ½ΠΎ Π±ΡΠ»ΠΎ Π±Ρ ΠΏΡΠΎΠ΄Π΅Π»Π°ΡΡ Ρ ΠΏΠΎΠΌΠΎΡΡΡ Π½Π΅Π±ΠΎΠ»ΡΡΠΎΠ³ΠΎ ΠΎΠ±ΠΎΠ³ΡΠ΅Π²Π°ΡΠ΅Π»Ρ (ΠΈ Π΅ΡΠ»ΠΈ ΠΎΠ½ ΡΠ°Π±ΠΎΡΠ°Π΅Ρ Π² ΡΠ΅ΡΠ΅Π½ΠΈΠ΅ Π΄Π»ΠΈΡΠ΅Π»ΡΠ½ΠΎΠ³ΠΎ Π²ΡΠ΅ΠΌΠ΅Π½ΠΈ), Π½ΠΎ ΠΎΠ±ΠΎΠ³ΡΠ΅Π²Π°ΡΠ΅Π»Ρ Π½Π΅ Π²ΡΠ·Π²Π°ΡΡ Π²Π·ΡΡΠ²Π°. ΠΠ½ΡΠ΅ΡΠ΅ΡΡΡΡΠ°Ρ Π²Π΅Π»ΠΈΡΠΈΠ½Π° – ΡΡΠΎ ΠΌΠΎΡΠ½ΠΎΡΡΡ. Π‘ΠΈΠ»Π° Π³ΠΎΠ²ΠΎΡΠΈΡ Π½Π°ΠΌ ΠΊΠΎΠ΅-ΡΡΠΎ ΠΎ ΡΠΊΠΎΡΠΎΡΡΠΈ Π²ΡΠΏΠΎΠ»Π½Π΅Π½ΠΈΡ ΡΠ°Π±ΠΎΡΡ.ΠΡΠ»ΠΈ ΠΎΠ±ΡΠ΅ΠΌ ΡΠ°Π±ΠΎΡΡ W ΡΠ°Π²Π΅Π½ Π²ΡΠΏΠΎΠ»Π½ΡΠ΅ΡΡΡ Π²ΠΎ Π²ΡΠ΅ΠΌΠ΅Π½Π½ΠΎΠΌ ΠΈΠ½ΡΠ΅ΡΠ²Π°Π»Π΅ [Delta] t, ΡΡΠ΅Π΄Π½ΡΡ ΠΌΠΎΡΠ½ΠΎΡΡΡ Π΄Π»Ρ ΡΡΠΎΠ³ΠΎ Π²ΡΠ΅ΠΌΠ΅Π½Π½ΠΎΠΉ ΠΈΠ½ΡΠ΅ΡΠ²Π°Π»
ΠΠ³Π½ΠΎΠ²Π΅Π½Π½ΡΡ ΠΌΠΎΡΠ½ΠΎΡΡΡ ΠΌΠΎΠΆΠ½ΠΎ Π·Π°ΠΏΠΈΡΠ°ΡΡ ΠΊΠ°ΠΊ
.
ΠΠ΄ΠΈΠ½ΠΈΡΠ° ΠΈΠ·ΠΌΠ΅ΡΠ΅Π½ΠΈΡ ΠΌΠΎΡΠ½ΠΎΡΡΠΈ Π² ΡΠΈΡΡΠ΅ΠΌΠ΅ Π‘Π – ΠΠΆ / Ρ ΠΈΠ»ΠΈ ΠΡ (ΠΠ°ΡΡ). ΠΠ°ΠΏΡΠΈΠΌΠ΅Ρ, Π½Π°ΡΠ΅ ΠΈΡΠΏΠΎΠ»ΡΠ·ΠΎΠ²Π°Π½ΠΈΠ΅ ΡΠ»Π΅ΠΊΡΡΠΈΡΠ΅ΡΡΠ²ΠΎ Π²ΡΠ΅Π³Π΄Π° Π²ΡΡΠ°ΠΆΠ°Π΅ΡΡΡ Π² ΠΊΠΈΠ»ΠΎΠ²Π°ΡΡΠ°Ρ . ΡΠ°Ρ. ΠΡΠΎΡ ΡΠΊΠ²ΠΈΠ²Π°Π»Π΅Π½ΡΠ½ΠΎ
7.3.1. ΠΊΠΡ . Ρ = (10 3 ΠΡ) (3600 Ρ) = 3.6 Ρ 10 6 ΠΠΆ = 3,6 ΠΠΠΆ
ΠΡ ΡΠ°ΠΊΠΆΠ΅ ΠΌΠΎΠΆΠ΅ΠΌ Π²ΡΡΠ°Π·ΠΈΡΡ ΠΌΠΎΡΠ½ΠΎΡΡΡ, ΠΏΠ΅ΡΠ΅Π΄Π°Π²Π°Π΅ΠΌΡΡ ΡΠ΅Π»Ρ, ΡΠ΅ΡΠ΅Π· ΡΠΈΠ»Ρ ΡΡΠΎ Π΄Π΅ΠΉΡΡΠ²ΡΠ΅Ρ Π½Π° ΡΠ΅Π»ΠΎ ΠΈ Π΅Π³ΠΎ ΡΠΊΠΎΡΠΎΡΡΡ. Π’Π°ΠΊΠΈΠΌ ΠΎΠ±ΡΠ°Π·ΠΎΠΌ, Π΄Π»Ρ ΡΠ°ΡΡΠΈΡΡ, Π΄Π²ΠΈΠΆΡΡΠ΅ΠΉΡΡ Π² ΠΎΠ΄Π½ΠΎΠΌ ΡΠ°Π·ΠΌΠ΅Ρ ΠΏΠΎΠ»ΡΡΠ°Π΅ΠΌ
Π Π±ΠΎΠ»Π΅Π΅ ΠΎΠ±ΡΠ΅ΠΌ ΡΠ»ΡΡΠ°Π΅ Π΄Π²ΠΈΠΆΠ΅Π½ΠΈΡ Π² ΡΡΠ΅Ρ ΠΈΠ·ΠΌΠ΅ΡΠ΅Π½ΠΈΡΡ ΠΌΠΎΡΠ½ΠΎΡΡΡ P ΠΌΠΎΠΆΠ΅Ρ Π±ΡΡΡ Π²ΡΡΠ°ΠΆΠ°Π΅ΡΡΡ ΠΊΠ°ΠΊ
ΠΡΠΏΡΠ°Π²Π»ΡΠΉΡΠ΅ ΠΊΠΎΠΌΠΌΠ΅Π½ΡΠ°ΡΠΈΠΈ, Π²ΠΎΠΏΡΠΎΡΡ ΠΈ / ΠΈΠ»ΠΈ ΠΏΡΠ΅Π΄Π»ΠΎΠΆΠ΅Π½ΠΈΡ ΠΏΠΎ ΡΠ»Π΅ΠΊΡΡΠΎΠ½Π½ΠΎΠΉ ΠΏΠΎΡΡΠ΅ Π½Π° Π°Π΄ΡΠ΅Ρ wolfs @ pas.rochester.edu ΠΈ / ΠΈΠ»ΠΈ ΠΏΠΎΡΠ΅ΡΠΈΡΠ΅ Π΄ΠΎΠΌΠ°ΡΠ½ΡΡ ΡΡΡΠ°Π½ΠΈΡΡ Π€ΡΡΠ½ΠΊΠ° ΠΠΎΠ»ΡΡΡΠ°.
Work – The Physics Hypertextbook
ΠΠ±ΡΡΠΆΠ΄Π΅Π½ΠΈΠ΅
ΡΡΠΎ ΡΠ°ΠΊΠΎΠ΅ ΡΠ°Π±ΠΎΡΠ°?
Π¦Π΅Π»Π΅Π²Π°Ρ Π°ΡΠ΄ΠΈΡΠΎΡΠΈΡ ΡΡΠΎΠΉ ΠΊΠ½ΠΈΠ³ΠΈ – Π»ΡΠ΄ΠΈ Ρ Π½Π΅ΠΊΠΎΡΠΎΡΡΠΌ ΠΎΠ±ΡΠ°Π·ΠΎΠ²Π°Π½ΠΈΠ΅ΠΌ. ΠΡΠΎ Π½Π΅ Π΄Π΅ΡΡΠΊΠ°Ρ ΠΊΠ½ΠΈΠ³Π°; ΠΈ ΠΏΠΎΠ΄ Π΄Π΅ΡΡΠΌΠΈ Ρ Π½Π΅ ΠΈΠΌΠ΅Ρ Π² Π²ΠΈΠ΄Ρ ΠΏΡΠΎΡΠΈΠ²ΠΎΠΏΠΎΠ»ΠΎΠΆΠ½ΠΎΡΡΡ Π²Π·ΡΠΎΡΠ»ΡΡ . Π― ΡΡΠΈΡΠ°Ρ ΠΏΠΎΠ΄ΡΠΎΡΡΠΊΠΎΠ² (ΠΈΠ»ΠΈ ΠΏΠΎΠ΄ΡΠΎΡΡΠΊΠΎΠ², Π΅ΡΠ»ΠΈ Ρ ΠΎΡΠΈΡΠ΅) ΠΏΡΠΎΡΠΎ-Π²Π·ΡΠΎΡΠ»ΡΠΌΠΈ. ΠΡΠ»ΠΈ ΡΡΠΎ ΠΎΡΠ½ΠΎΡΠΈΡΡΡ ΠΊ Π²Π°ΠΌ, Π·Π½Π°ΡΠΈΡ, Ρ Π²Π°Ρ Π±ΡΠ»ΠΎ ΡΠΎΡΠΌΠ°Π»ΡΠ½ΠΎΠ΅ Π½Π°ΡΡΠ½ΠΎΠ΅ ΠΎΠ±ΡΠ°Π·ΠΎΠ²Π°Π½ΠΈΠ΅ (Ρ ΠΎΡΠΎΡΠ΅Π΅, ΠΏΠ»ΠΎΡ ΠΎΠ΅ ΠΈΠ»ΠΈ ΡΡΠΎΠ΄Π»ΠΈΠ²ΠΎΠ΅).ΠΠ΄Π΅-ΡΠΎ ΠΏΠΎ Ρ ΠΎΠ΄Ρ Π΄Π΅Π»Π° Π²Ρ Π΄ΠΎΠ»ΠΆΠ½Ρ Π±ΡΠ»ΠΈ ΠΏΠΎΠ·Π½Π°ΠΊΠΎΠΌΠΈΡΡΡΡ Ρ ΠΊΠΎΠ½ΡΠ΅ΠΏΡΠΈΠ΅ΠΉ ΡΠ½Π΅ΡΠ³ΠΈΠΈ. ΠΡΠ»ΠΈ Π½Π΅Ρ, ΡΠΎ ΠΏΠ΅ΡΠ΅ΡΡΠ°Π½ΡΡΠ΅ ΡΠΈΡΠ°ΡΡ ΡΡΠΎ ΠΈ Π½Π°ΠΉΠ΄ΠΈΡΠ΅ ΡΠ΅Π±Π΅ ΠΎΠ±ΡΠ°Π·ΠΎΠ²Π°Π½ΠΈΠ΅ (ΠΈΠ»ΠΈ Ρ ΠΎΡΡ Π±Ρ ΠΊΠ°ΠΊΠΎΠΉ-ΡΠΎ ΠΆΠΈΠ·Π½Π΅Π½Π½ΡΠΉ ΠΎΠΏΡΡ).
Π’Π΅ ΠΈΠ· Π²Π°Ρ, Ρ ΠΊΠΎΠ³ΠΎ Π±ΡΠ»ΠΎ Π½Π΅Π±ΠΎΠ»ΡΡΠΎΠ΅ ΡΠΎΡΠΌΠ°Π»ΡΠ½ΠΎΠ΅ ΠΎΠ±ΡΠ°Π·ΠΎΠ²Π°Π½ΠΈΠ΅, Π²Π΅ΡΠΎΡΡΠ½ΠΎ, ΠΏΠΎΠ»ΡΡΠΈΠ»ΠΈ ΡΡΠΎΠΊ ΡΠ½Π΅ΡΠ³ΠΈΠΈ Π² ΠΊΠ°ΠΊΠΎΠΉ-ΡΠΎ ΠΌΠΎΠΌΠ΅Π½Ρ ΡΠ²ΠΎΠ΅ΠΉ ΠΆΠΈΠ·Π½ΠΈ. ΠΡΠ»ΠΈ ΡΠ°ΠΊ, ΡΠΎ Π²Π΅Π»ΠΈΠΊΠΈ ΡΠ°Π½ΡΡ, ΡΡΠΎ Π²Π°ΠΌ Π΄Π°Π»ΠΈ ΠΎΠΏΡΠ΅Π΄Π΅Π»Π΅Π½ΠΈΠ΅ ΡΠ½Π΅ΡΠ³ΠΈΠΈ ΠΊΠ°ΠΊ Β«ΡΠΏΠΎΡΠΎΠ±Π½ΠΎΡΡΡ Π²ΡΠΏΠΎΠ»Π½ΡΡΡ ΡΠ°Π±ΠΎΡΡΒ». ΠΡΠ»ΠΈ Π²Ρ Π±ΡΠ»ΠΈ Ρ ΠΎΡΠΎΡΠΈΠΌ ΡΡΠ΅Π½ΠΈΠΊΠΎΠΌ ΠΈΠ»ΠΈ ΠΏΡΠΎΡΡΠΎ Ρ ΠΎΡΠ΅Π»ΠΈ Π΄ΠΎΡΡΠ°Π²ΠΈΡΡ ΡΠ΄ΠΎΠ²ΠΎΠ»ΡΡΡΠ²ΠΈΠ΅ ΡΠ²ΠΎΠ΅ΠΌΡ ΡΡΠΈΡΠ΅Π»Ρ, Π²Ρ, Π²Π΅ΡΠΎΡΡΠ½ΠΎ, ΡΠ»ΡΡΠ°Π»ΠΈ ΡΡΠΎ ΠΈ ΡΠΊΠ°Π·Π°Π»ΠΈ ΡΠ΅Π±Π΅: Β«Π₯ΠΎΡΠΎΡΠΎ, ΡΠ½Π΅ΡΠ³ΠΈΡ – ΡΡΠΎ ΡΠΏΠΎΡΠΎΠ±Π½ΠΎΡΡΡ Π²ΡΠΏΠΎΠ»Π½ΡΡΡ ΡΠ°Π±ΠΎΡΡ.Β«ΠΡΠ»ΠΈ Π±Ρ Π²Ρ Π±ΡΠ»ΠΈ Π΄Π΅ΠΉΡΡΠ²ΠΈΡΠ΅Π»ΡΠ½ΠΎ Ρ ΠΎΡΠΎΡΠΈΠΌ ΡΡΠ΅Π½ΠΈΠΊΠΎΠΌ Ρ ΠΆΠ΅Π»Π°Π½ΠΈΠ΅ΠΌ ΡΡΠΈΡΡΡΡ ΠΈΠ»ΠΈ Π΄Π΅ΠΉΡΡΠ²ΠΈΡΠ΅Π»ΡΠ½ΠΎ ΠΏΠ»ΠΎΡ ΠΈΠΌ ΡΡΠ΅Π½ΠΈΠΊΠΎΠΌ Ρ ΠΆΠ΅Π»Π°Π½ΠΈΠ΅ΠΌ ΡΠΊΠ°Π·Π°ΡΡ Π½Π° ΠΈΠ½ΡΠ΅Π»Π»Π΅ΠΊΡΡΠ°Π»ΡΠ½ΡΠ΅ Π½Π΅Π΄ΠΎΡΡΠ°ΡΠΊΠΈ Π²Π°ΡΠ΅Π³ΠΎ ΡΡΠΈΡΠ΅Π»Ρ, ΡΠΎΠ³Π΄Π° Π²Π°ΠΌ ΡΠ»Π΅Π΄ΠΎΠ²Π°Π»ΠΎ Π±Ρ Π·Π°Π΄Π°ΡΡ ΡΠ»Π΅Π΄ΡΡΡΠΈΠΉ Π»ΠΎΠ³ΠΈΡΠ½ΡΠΉ Π²ΠΎΠΏΡΠΎΡ. Π§ΡΠΎ ΡΠ°ΠΊΠΎΠ΅ ΡΠ°Π±ΠΎΡΠ°?
ΠΠ°Π΄Π΅ΡΡΡ, Π²Π°ΠΌ Π΄Π°Π»ΠΈ ΠΏΡΠ°Π²ΠΈΠ»ΡΠ½ΡΠΉ ΠΎΡΠ²Π΅Ρ, Π½ΠΎ ΡΠ°Π½ΡΡ ΠΏΡΡΡΠ΄Π΅ΡΡΡ Π½Π° ΠΏΡΡΡΠ΄Π΅ΡΡΡ, ΡΡΠΎ Π²Ρ ΠΏΡΠΎΠΈΠ³Π½ΠΎΡΠΈΡΠΎΠ²Π°Π»ΠΈ. ΠΠ΅ ΠΏΠΎΡΠΎΠΌΡ, ΡΡΠΎ ΠΏΡΠ°Π²ΠΈΠ»ΡΠ½ΡΠΉ ΠΎΡΠ²Π΅Ρ ΡΠ°ΠΊ ΡΠ»ΠΎΠΆΠ½ΠΎ ΡΠ·Π½Π°ΡΡ, Π° ΠΏΠΎΡΠΎΠΌΡ, ΡΡΠΎ ΠΏΡΠ°Π²ΠΈΠ»ΡΠ½ΡΠΉ ΠΎΡΠ²Π΅Ρ ΡΠ°ΠΊ ΡΡΡΠ΄Π½ΠΎ ΠΎΠ±ΡΡΡΠ½ΠΈΡΡ ΠΈΠ»ΠΈ, ΠΏΠΎ ΠΊΡΠ°ΠΉΠ½Π΅ΠΉ ΠΌΠ΅ΡΠ΅, ΡΡΡΠ΄Π½ΠΎ ΠΎΠ±ΡΡΡΠ½ΠΈΡΡ ΡΠ°ΠΊ, ΡΡΠΎΠ±Ρ Π΅Π³ΠΎ ΠΌΠΎΠΆΠ½ΠΎ Π±ΡΠ»ΠΎ Π±ΡΡΡΡΠΎ ΡΠ»ΠΎΠ²ΠΈΡΡ.Π― Π΄ΡΠΌΠ°Ρ, ΡΡΠΎ Π² ΠΎΡΠ½ΠΎΠ²Π½ΠΎΠΌ ΡΠ²ΡΠ·Π°Π½ΠΎ Ρ ΡΠ΅ΠΌ, ΡΡΠΎ ΡΠ»ΠΎΠ²ΠΎ Β«ΡΠ°Π±ΠΎΡΠ°Β» ΠΈΠΌΠ΅Π΅Ρ Π΄Π²Π° Π·Π½Π°ΡΠ΅Π½ΠΈΡ: ΠΎΠ±ΡΡΠ½ΠΎΠ΅ Π΄Π»Ρ ΠΏΠΎΠ²ΡΠ΅Π΄Π½Π΅Π²Π½ΠΎΠΉ ΠΆΠΈΠ·Π½ΠΈ ΠΈ ΡΠ΅Ρ Π½ΠΈΡΠ΅ΡΠΊΠΎΠ΅ – Π΄Π»Ρ ΡΠΈΠ·ΠΈΠΊΠΈ.
Π’Π΅Ρ Π½ΠΈΡΠ΅ΡΠΊΠΈ ΡΠ°Π±ΠΎΡΠ° ΠΏΡΠ΅Π΄ΡΡΠ°Π²Π»ΡΠ΅Ρ ΡΠΎΠ±ΠΎΠΉ ΠΏΡΠΎΠΈΠ·Π²Π΅Π΄Π΅Π½ΠΈΠ΅ ΡΠΈΠ»Ρ-ΡΠΌΠ΅ΡΠ΅Π½ΠΈΡ (Π΄Π»Ρ ΡΠ΅Ρ ΠΈΠ· Π²Π°Ρ, ΠΊΡΠΎ ΠΏΡΠ΅Π΄ΠΏΠΎΡΠΈΡΠ°Π΅Ρ Π°Π»Π³Π΅Π±ΡΡ)
W = F β s cos ΞΈ
ΠΈΠ»ΠΈ ΠΈΠ½ΡΠ΅Π³ΡΠ°Π» ΠΏΠΎ ΠΏΡΡΡΠΌ ΡΠΈΠ»Π°-ΡΠΌΠ΅ΡΠ΅Π½ΠΈΠ΅ (Π΄Π»Ρ ΡΠ΅Ρ ΠΈΠ· Π²Π°Ρ, ΠΊΡΠΎ ΠΏΡΠ΅Π΄ΠΏΠΎΡΠΈΡΠ°Π΅Ρ ΠΈΡΡΠΈΡΠ»Π΅Π½ΠΈΠ΅).
Π― ΠΏΠΎΠ½ΠΈΠΌΠ°Ρ, ΡΡΠΎ Π΄Π»Ρ ΠΌΠ½ΠΎΠ³ΠΈΡ ΠΈΠ· Π²Π°Ρ ΡΡΠΎ Π±Π΅ΡΡΠΌΡΡΠ»Π΅Π½Π½ΠΎΠ΅ ΠΎΠΏΡΠ΅Π΄Π΅Π»Π΅Π½ΠΈΠ΅.Π’Π°ΠΊ ΠΌΠ½ΠΎΠ³ΠΎ ΡΠ»ΠΎΠ² ΠΈ ΡΠ°ΠΊ ΠΌΠ°Π»ΠΎ ΡΠΊΠ°Π·Π°Π½ΠΎ, Π½Π΅ ΡΠ°ΠΊ Π»ΠΈ? ΠΠ° ΡΠ°ΠΌΠΎΠΌ Π΄Π΅Π»Π΅, ΠΊΠ°ΠΊ ΡΠ°Π· Π½Π°ΠΎΠ±ΠΎΡΠΎΡ. ΠΡΠΎ ΠΎΠΏΡΠ΅Π΄Π΅Π»Π΅Π½ΠΈΠ΅ Π½Π°ΡΡΠΎΠ»ΡΠΊΠΎ ΠΊΠΎΠΌΠΏΠ°ΠΊΡΠ½ΠΎ, ΡΡΠΎ ΠΏΠΎΡ ΠΎΠΆΠ΅ Π½Π° ΠΏΠΎΡΠ·ΠΈΡ. ΠΠ½ Π³ΠΎΠ²ΠΎΡΠΈΡ ΠΊΠ°ΠΊ ΠΌΠΎΠΆΠ½ΠΎ Π±ΠΎΠ»ΡΡΠ΅, ΠΈΡΠΏΠΎΠ»ΡΠ·ΡΡ ΠΊΠ°ΠΊ ΠΌΠΎΠΆΠ½ΠΎ ΠΌΠ΅Π½ΡΡΠ΅ ΡΠ»ΠΎΠ². ΠΠ½ΠΎ Π½Π°ΡΡΠΎΠ»ΡΠΊΠΎ ΠΊΠΎΠΌΠΏΠ°ΠΊΡΠ½ΠΎ, ΡΡΠΎ ΠΎΠ±ΡΡΡΠ½Π΅Π½ΠΈΠ΅ Π΅Π³ΠΎ Π½Π° ΠΎΠ±ΡΡΠ½ΠΎΠΌ ΡΠ·ΡΠΊΠ΅ ΠΏΡΠΈΠ²ΠΎΠ΄ΠΈΡ ΠΊ ΡΠΎΠΌΡ, ΡΡΠΎ ΠΏΠΎΠ»Π΄ΡΠΆΠΈΠ½Ρ ΡΠ»ΠΎΠ² ΡΠ΅Ρ Π½ΠΈΡΠ΅ΡΠΊΠΎΠ³ΠΎ ΠΎΠΏΡΠ΅Π΄Π΅Π»Π΅Π½ΠΈΡ ΡΠ°ΡΡΠΈΡΡΡΡΡΡ Π΄ΠΎ ΠΏΠΎΡΡΠΈ ΡΠΎΡΠ½ΠΈ ΡΠ»ΠΎΠ² ΡΠ°ΠΊ Π½Π°Π·ΡΠ²Π°Π΅ΠΌΠΎΠ³ΠΎ Β«Π΅ΡΡΠ΅ΡΡΠ²Π΅Π½Π½ΠΎΠ³ΠΎ ΡΠ·ΡΠΊΠ°Β». ΠΠΎΠ·Π²ΠΎΠ»ΡΡΠ΅ ΠΌΠ½Π΅ ΠΎΠ±ΡΡΡΠ½ΠΈΡΡ, ΡΡΠΎ ΡΠ°ΠΊΠΎΠ΅ ΡΠ°Π±ΠΎΡΠ°, Ρ ΠΏΠΎΠΌΠΎΡΡΡ ΡΠ΅ΡΠΈΠΈ ΠΌΡΡΠ»Π΅Π½Π½ΡΡ ΠΎΠ±ΡΠ°Π·ΠΎΠ². ΠΠ°ΠΆΠ΄ΡΠΉ ΡΠ°Π·, ΠΊΠΎΠ³Π΄Π° ΠΏΡΠΈΠ²ΠΎΠ΄ΠΈΡΡΡ ΠΏΡΠΈΠΌΠ΅Ρ, ΠΏΠΎΠΌΠ½ΠΈΡΠ΅, ΡΡΠΎ ΡΠ°Π±ΠΎΡΠ° Π²ΡΠΏΠΎΠ»Π½ΡΠ΅ΡΡΡ Π²ΡΡΠΊΠΈΠΉ ΡΠ°Π·, ΠΊΠΎΠ³Π΄Π° ΡΠΈΠ»Π° Π²ΡΠ·ΡΠ²Π°Π΅Ρ ΡΠΌΠ΅ΡΠ΅Π½ΠΈΠ΅.
ΠΡΠ΅Π΄ΡΡΠ°Π²ΡΡΠ΅ ΡΠ΅Π±Π΅, ΡΡΠΎ ΡΡΠΈΡΠ΅Π»Ρ ΡΠΈΠ·ΠΈΠΊΠΈ Π½Π΅ΠΏΠΎΠ΄Π²ΠΈΠΆΠ½ΠΎ ΡΡΠΎΠΈΡ ΠΏΠ΅ΡΠ΅Π΄ ΠΊΠ»Π°ΡΡΠΎΠΌ ΡΡΠ΅Π½ΠΈΠΊΠΎΠ². ΠΠΎΡΠΊΠΎΠ»ΡΠΊΡ ΠΎΠ½ Π½Π΅ ΠΏΡΠΈΠ»Π°Π³Π°Π΅Ρ Π½ΠΈΠΊΠ°ΠΊΠΈΡ ΡΠΈΠ», ΠΊΠΎΡΠΎΡΡΠ΅ ΠΌΠΎΠ³Π»ΠΈ Π±Ρ ΡΠΌΠ΅ΡΡΠΈΡΡ ΡΡΠΎ-Π»ΠΈΠ±ΠΎ Π·Π° ΠΏΡΠ΅Π΄Π΅Π»Π°ΠΌΠΈ Π΅Π³ΠΎ ΡΠ΅Π»Π°, ΠΎΠ½ Π½Π΅ Π²ΡΠΏΠΎΠ»Π½ΡΠ΅Ρ Π½ΠΈΠΊΠ°ΠΊΠΎΠΉ ΡΠ°Π±ΠΎΡΡ. ΠΡΠ΅Π²ΠΈΠ΄Π½ΠΎ. ΠΠΎ Π²ΡΠΏΠΎΠ»Π½Π΅Π½ΠΈΠ΅ ΡΡΠΎΠ³ΠΎ Π² ΡΠ΅ΡΠ΅Π½ΠΈΠ΅ Π»ΡΠ±ΠΎΠ³ΠΎ ΠΏΡΠΎΠΌΠ΅ΠΆΡΡΠΊΠ° Π²ΡΠ΅ΠΌΠ΅Π½ΠΈ, Π±Π΅Π·ΡΡΠ»ΠΎΠ²Π½ΠΎ, ΠΈΡΡΠΎΡΠΈΡ Π΅Π³ΠΎ ΡΠ½Π΅ΡΠ³ΠΈΡ, ΠΊΠ°ΠΊ Π΅ΡΠ»ΠΈ Π±Ρ ΠΎΠ½ Π²Π΅ΡΡ Π΄Π΅Π½Ρ ΡΠΎΠ»ΠΊΠ°Π» Π±ΡΠΌΠ°Π³ΠΈ ΠΏΠΎ ΡΠ²ΠΎΠ΅ΠΌΡ ΡΡΠΎΠ»Ρ (ΠΏΡΠΈΠΌΠ΅Ρ, ΠΊΠΎΠ³Π΄Π° ΡΠΈΠ»Π° ΠΏΡΠΈΠ²ΠΎΠ΄ΠΈΡ ΠΊ ΡΠΌΠ΅ΡΠ΅Π½ΠΈΡ ). ΠΠΎΠ½Π΅ΡΠ½ΠΎ, ΡΠ΅ΠΏΠ΅ΡΡ Π²Ρ ΠΌΠΎΠ³Π»ΠΈ Π±Ρ ΡΠ±Π΅Π΄ΠΈΡΡ Π΅Π³ΠΎ, ΡΡΠΎ Π΅Π³ΠΎ ΠΎΠΏΡΠ΅Π΄Π΅Π»Π΅Π½ΠΈΠ΅ ΡΠ°Π±ΠΎΡΡ Π΄ΠΎΠ»ΠΆΠ½ΠΎ Π±ΡΡΡ Π½Π΅ΠΏΡΠ°Π²ΠΈΠ»ΡΠ½ΡΠΌ. ΠΠΎΠΆΠ΅Ρ Π±ΡΡΡ, ΠΏΠΎΠ΄ Π΄Π°Π²Π»Π΅Π½ΠΈΠ΅ΠΌ ΡΡΡΡΠΏΠΈΡ ΠΌΠ΅Π½ΡΡΠΈΠΉ ΡΡΠΈΡΠ΅Π»Ρ, Π½ΠΎ Π½Π΅ ΡΡΠΈΡΠ΅Π»Ρ ΡΠΈΠ·ΠΈΠΊΠΈ.
ΠΠ΅Π·ΡΡΠ»ΠΎΠ²Π½ΠΎ, ΡΡΠΈΡΠ΅Π»Ρ ΡΠΈΠ·ΠΈΠΊΠΈ ΠΈΠ»ΠΈ Π»ΡΠ±ΠΎΠΉ Π΄ΡΡΠ³ΠΎΠΉ ΡΠ΅Π»ΠΎΠ²Π΅ΠΊ, ΡΡΠΎΡΡΠΈΠΉ , – ΡΡΠΎ , Π²ΡΠΏΠΎΠ»Π½ΡΡΡΠΈΠΉ ΡΠ°Π±ΠΎΡΡ, Π½ΠΎ ΠΏΡΠΎΠ΄Π΅Π»Π°Π½Π½ΡΡ ΡΠ°Π±ΠΎΡΡ Π½Π΅Π»Π΅Π³ΠΊΠΎ ΡΠ²ΠΈΠ΄Π΅ΡΡ. ΠΠ½ΡΡΡΠΈ ΡΠ΅Π»Π° ΡΠ΅ΡΠ΄ΡΠ΅ ΠΏΠ΅ΡΠ΅ΠΊΠ°ΡΠΈΠ²Π°Π΅Ρ ΠΊΡΠΎΠ²Ρ, ΠΏΠΈΡΠ΅Π²Π°ΡΠΈΡΠ΅Π»ΡΠ½Π°Ρ ΡΠΈΡΡΠ΅ΠΌΠ° ΠΏΠ΅ΡΠ΅Π²Π°ΡΠΈΠ²Π°Π΅Ρ Π·Π°Π²ΡΡΠ°ΠΊ, ΡΠ΅ΡΠ΅ΠΏΡΠΎΡΡ ΠΏΠ΅ΡΠ΅ΠΌΠ΅ΡΠ°ΡΡ ΠΌΠΎΠ»Π΅ΠΊΡΠ»Ρ ΡΠ΅ΡΠ΅Π· ΠΊΠ»Π΅ΡΠΎΡΠ½ΡΠ΅ ΠΌΠ΅ΠΌΠ±ΡΠ°Π½Ρ. ΠΡ ΡΠ°Π±ΠΎΡΠ°Π΅ΠΌ, Π΄Π°ΠΆΠ΅ ΠΊΠΎΠ³Π΄Π° ΡΠΏΠΈΠΌ. Π‘ΠΈΠ»Ρ, Π²ΡΠ·ΡΠ²Π°ΡΡΠΈΠ΅ ΡΠΌΠ΅ΡΠ΅Π½ΠΈΡ, ΠΏΡΠΎΠΈΡΡ ΠΎΠ΄ΡΡ ΠΏΠΎΠ²ΡΡΠ΄Ρ Ρ Π½Π°Ρ ΠΏΠΎΠ΄ ΠΊΠΎΠΆΠ΅ΠΉ. Π§Π΅Π»ΠΎΠ²Π΅ΡΠ΅ΡΠΊΠΎΠ΅ ΡΠ΅Π»ΠΎ – ΡΡΠΎ Π·Π°Π½ΡΡΠΎΠ΅ ΠΌΠ΅ΡΡΠΎ.
ΠΡΠ»ΠΈ ΡΠΈΡΡΠ΅ΠΌΠ° Π² ΡΠ΅Π»ΠΎΠΌ Π²ΠΎΠ·Π΄Π΅ΠΉΡΡΠ²ΡΠ΅Ρ Π½Π° ΡΠ²ΠΎΠ΅ ΠΎΠΊΡΡΠΆΠ΅Π½ΠΈΠ΅ ΠΈ ΠΏΡΠΎΠΈΡΡ ΠΎΠ΄ΠΈΡ ΡΠΌΠ΅ΡΠ΅Π½ΠΈΠ΅, Π²ΡΠΏΠΎΠ»Π½Π΅Π½Π½Π°Ρ ΡΠ°Π±ΠΎΡΠ° Π½Π°Π·ΡΠ²Π°Π΅ΡΡΡ Π²Π½Π΅ΡΠ½Π΅ΠΉ ΡΠ°Π±ΠΎΡΠΎΠΉ .Π£ΡΠΈΡΠ΅Π»Ρ ΡΠΈΠ·ΠΈΠΊΠΈ, ΡΠΎΠ»ΠΊΠ°Ρ Π±ΡΠΌΠ°Π³ΠΈ ΡΠ΅ΡΠ΅Π· ΡΡΠΎΠ», Π²ΡΠΏΠΎΠ»Π½ΡΠ΅Ρ Π²Π½Π΅ΡΠ½ΡΡ ΡΠ°Π±ΠΎΡΡ. Π‘ΡΠΎΡΡΠΈΠΉ Π½Π΅ΠΏΠΎΠ΄Π²ΠΈΠΆΠ½ΠΎ ΡΡΠΈΡΠ΅Π»Ρ ΡΠΈΠ·ΠΈΠΊΠΈ Π½Π΅ Π²ΡΠΏΠΎΠ»Π½ΡΠ΅Ρ Π·Π½Π°ΡΠΈΡΠ΅Π»ΡΠ½ΠΎΠΉ Π²Π½Π΅ΡΠ½Π΅ΠΉ ΡΠ°Π±ΠΎΡΡ.
ΠΡΠ»ΠΈ ΡΠ°ΡΡΡ ΡΠΈΡΡΠ΅ΠΌΡ Π²ΠΎΠ·Π΄Π΅ΠΉΡΡΠ²ΡΠ΅Ρ Π½Π° Π΄ΡΡΠ³ΡΡ ΡΠ°ΡΡΡ ΡΠΎΠΉ ΠΆΠ΅ ΡΠΈΡΡΠ΅ΠΌΡ ΠΈ ΠΏΡΠΎΠΈΡΡ ΠΎΠ΄ΠΈΡ ΡΠΌΠ΅ΡΠ΅Π½ΠΈΠ΅, Π²ΡΠΏΠΎΠ»Π½Π΅Π½Π½Π°Ρ ΡΠ°Π±ΠΎΡΠ° Π½Π°Π·ΡΠ²Π°Π΅ΡΡΡ Π²Π½ΡΡΡΠ΅Π½Π½Π΅ΠΉ ΡΠ°Π±ΠΎΡΠΎΠΉ . Π£ΡΠΈΡΠ΅Π»Ρ ΡΠΈΠ·ΠΈΠΊΠΈ Π³Π»ΡΠ±ΠΎΠΊΠΎ ΠΌΡΡΠ»ΡΡΠΈΠΉ ΠΈΠ»ΠΈ Π»Π΅ΠΆΠ°ΡΠΈΠΉ Π² ΠΊΠΎΠΌΠ΅ Π²ΡΠΏΠΎΠ»Π½ΡΠ΅Ρ Π²Π½ΡΡΡΠ΅Π½Π½ΡΡ ΡΠ°Π±ΠΎΡΡ. (ΠΠΎΠΏΠΎΠ»Π½ΠΈΡΠ΅Π»ΡΠ½ΡΠΉ Π±Π°Π»Π», Π΅ΡΠ»ΠΈ Π²Ρ ΠΌΠΎΠΆΠ΅ΡΠ΅ ΠΎΡΠ»ΠΈΡΠΈΡΡ ΠΈΡ .) Π£ΡΠΈΡΠ΅Π»Ρ ΡΠΈΠ·ΠΈΠΊΠΈ, ΠΊΠΎΡΠΎΡΡΠΉ ΡΡΠΎ-ΡΠΎ Π΄Π΅Π»Π°Π΅Ρ – ΠΈΠ»ΠΈ Π½ΠΈΡΠ΅Π³ΠΎ Π½Π΅ Π΄Π΅Π»Π°Π΅Ρ – Π²ΡΠΏΠΎΠ»Π½ΡΠ΅Ρ Π²Π½ΡΡΡΠ΅Π½Π½ΡΡ ΡΠ°Π±ΠΎΡΡ.Π£ΠΌΠ΅ΡΡΠΈΠΉ ΡΡΠΈΡΠ΅Π»Ρ ΡΠΈΠ·ΠΈΠΊΠΈ Π½Π΅ Π²ΡΠΏΠΎΠ»Π½ΡΠ΅Ρ Π½ΠΈΠΊΠ°ΠΊΠΎΠΉ ΡΠ°Π±ΠΎΡΡ, Π²Π½ΡΡΡΠ΅Π½Π½Π΅ΠΉ ΠΈΠ»ΠΈ Π²Π½Π΅ΡΠ½Π΅ΠΉ. Π ΠΌΠ΅Ρ Π°Π½ΠΈΠΊΠ΅, ΠΊΠΎΠ³Π΄Π° ΠΌΡ Π³ΠΎΠ²ΠΎΡΠΈΠΌ, ΡΡΠΎ ΡΠ°Π±ΠΎΡΠ° ΡΠ΄Π΅Π»Π°Π½Π°, ΠΌΡ ΡΠ°ΡΡΠΎ ΠΈΠΌΠ΅Π΅ΠΌ Π² Π²ΠΈΠ΄Ρ Π²Π½Π΅ΡΠ½ΡΡ ΡΠ°Π±ΠΎΡΡ.
Π’Π΅ΠΏΠ΅ΡΡ, ΠΊΠΎΠ³Π΄Π° ΠΌΡ ΡΠ΅ΡΠΈΠ»ΠΈ, ΡΡΠΎ ΡΡΠΈΡΠ΅Π»Ρ, ΡΡΠΎΡΡΠΈΠΉ Π½Π° ΠΌΠ΅ΡΡΠ΅, Π½Π΅ Π²ΡΠΏΠΎΠ»Π½ΡΠ΅Ρ Π½ΠΈΠΊΠ°ΠΊΠΎΠΉ ΡΠ°Π±ΠΎΡΡ, Π΄Π°Π²Π°ΠΉΡΠ΅ ΠΏΡΠ΅Π΄ΡΡΠ°Π²ΠΈΠΌ, ΡΡΠΎ ΡΡΠΈΡΠ΅Π»Ρ Π΄Π²ΠΈΠ³Π°Π΅ΡΡΡ ΠΈ ΡΠΏΡΠ°ΡΠΈΠ²Π°Π΅Ρ, Π±ΡΠ»Π° Π»ΠΈ ΡΠ°Π±ΠΎΡΠ° Π²ΡΠΏΠΎΠ»Π½Π΅Π½Π°. Π₯ΠΌ, Ρ ΠΎΡΠΎΡΠΎ, ΠΊΠΎΠ³Π΄Π° ΡΡΠΊΠΈ ΠΈ Π½ΠΎΠ³ΠΈ Π½Π°ΡΠΈΠ½Π°ΡΡ Π΄Π²ΠΈΠ³Π°ΡΡΡΡ, ΡΠΈΡΡΠ°ΡΠΈΡ ΡΠΌΠ΅ΡΠ΅Π½Π½ΠΎ ΡΠ»ΠΎΠΆΠ½Π°Ρ. ΠΡΠΎ Π·Π°ΡΡΡΠ΄Π½ΡΠ΅Ρ ΠΎΠΏΡΠ΅Π΄Π΅Π»Π΅Π½ΠΈΠ΅ ΡΠΎΠ³ΠΎ, ΡΡΠΎ Π² Π΄Π²ΠΈΠΆΠ΅Π½ΠΈΠΈ ΡΡΠ΅Π±ΡΠ΅Ρ ΡΠ°Π±ΠΎΡΡ, Π° ΡΡΠΎ Π½Π΅Ρ. ΠΠ°ΠΌ Π½ΡΠΆΠ½ΠΎ Π΅ΡΠ΅ Π½Π΅ΠΌΠ½ΠΎΠ³ΠΎ ΡΠΏΡΠΎΡΡΠΈΡΡ.ΠΠ°ΠΉΡΠ΅ ΡΡΠΈΡΠ΅Π»Ρ ΠΊΠ½ΠΈΠ³Ρ (Π½Π°ΠΏΡΠΈΠΌΠ΅Ρ, ΡΡΠ΅Π±Π½ΠΈΠΊ ΡΠΈΠ·ΠΈΠΊΠΈ) ΠΈ ΠΏΠΎΠΏΡΠΎΡΠΈΡΠ΅ Π΅Π³ΠΎ ΠΏΠ΅ΡΠ΅ΠΌΠ΅ΡΡΠΈΡΡ ΠΊΠ½ΠΈΠ³Ρ Π½Π΅ΡΠΊΠΎΠ»ΡΠΊΠΈΠΌΠΈ ΠΏΡΠΎΡΡΡΠΌΠΈ ΡΠΏΠΎΡΠΎΠ±Π°ΠΌΠΈ. Π’Π΅ΠΏΠ΅ΡΡ Π²ΠΎΠ·Π½ΠΈΠΊΠ°Π΅Ρ Π²ΠΎΠΏΡΠΎΡ: Β«ΠΡΠΏΠΎΠ»Π½ΠΈΠ» Π»ΠΈ ΡΡΠΈΡΠ΅Π»Ρ ΠΊΠ°ΠΊΡΡ-Π½ΠΈΠ±ΡΠ΄Ρ ΡΠ°Π±ΠΎΡΡ ΠΏΠΎ ΠΊΠ½ΠΈΠ³Π΅ ?Β» ΠΡΠΎ Π³ΠΎΡΠ°Π·Π΄ΠΎ ΡΠΆΠ΅, ΡΠ΅ΠΌ ΡΠΏΡΠ°ΡΠΈΠ²Π°ΡΡ, Π²ΡΠΏΠΎΠ»Π½ΡΠ» Π»ΠΈ ΡΡΠΈΡΠ΅Π»Ρ ΠΊΠ°ΠΊΡΡ-Π»ΠΈΠ±ΠΎ ΡΠ°Π±ΠΎΡΡ, Π° ΡΡΠΎ Π·Π½Π°ΡΠΈΡ, ΡΡΠΎ Π½Π° Π½Π΅Π³ΠΎ Π»Π΅Π³ΡΠ΅ ΠΎΡΠ²Π΅ΡΠΈΡΡ ΠΈ ΠΎΠ½ Π»ΡΡΡΠ΅ ΠΏΠΎΠ΄Ρ ΠΎΠ΄ΠΈΡ Π΄Π»Ρ ΠΎΠ·Π½Π°ΠΊΠΎΠΌΠ»Π΅Π½ΠΈΡ Ρ ΠΊΠΎΠ½ΡΠ΅ΠΏΡΠΈΠ΅ΠΉ.
ΠΠ»Ρ ΡΡΠΈΡΠ΅Π»Ρ, Π΄Π΅ΡΠΆΠ°ΡΠ΅Π³ΠΎ ΠΊΠ½ΠΈΠ³Ρ ΠΈΠ»ΠΈ Π»ΡΠ±ΡΡ Π΄ΡΡΠ³ΡΡ ΡΠΈΡΡΠ΅ΠΌΡ Π² ΡΡΠΎΠΌ ΠΎΡΠ½ΠΎΡΠ΅Π½ΠΈΠΈ, ΡΠ°Π±ΠΎΡΠ° Π²ΡΠΏΠΎΠ»Π½ΡΠ΅ΡΡΡ Π²ΡΡΠΊΠΈΠΉ ΡΠ°Π·, ΠΊΠΎΠ³Π΄Π° ΡΠΈΠ»Π° ΠΏΡΠΈΠ²ΠΎΠ΄ΠΈΡ ΠΊ ΡΠΌΠ΅ΡΠ΅Π½ΠΈΡ. Π Π°ΡΡΠΌΠΎΡΡΠΈΠΌ ΡΠ»Π΅Π΄ΡΡΡΠΈΠ΅ ΡΠ΅ΡΡΡ ΠΏΡΠΈΠΌΠ΅ΡΠΎΠ², ΠΏΡΠ΅Π΄ΡΡΠ°Π²Π»Π΅Π½Π½ΡΡ ΠΏΠΎ ΡΡΠΈ Π·Π° ΡΠ°Π·.
ΠΠΈΠΊΠ°ΠΊΠ°Ρ ΡΠ°Π±ΠΎΡΠ° Π½Π΅ Π²ΡΠΏΠΎΠ»Π½ΡΠ΅ΡΡΡ Ρ ΡΡΠ΅Π±Π½ΠΈΠΊΠΎΠΌ, ΠΊΠΎΠ³Π΄Π° ΠΎΠ½ Π½Π°Ρ ΠΎΠ΄ΠΈΡΡΡ Π² ΠΏΠΎΠΊΠΎΠ΅. ΠΠΎΠ»ΠΎΠΆΠΈΡΠ΅Π»ΡΠ½Π°Ρ ΡΠ°Π±ΠΎΡΠ° Π²ΡΠΏΠΎΠ»Π½ΡΠ΅ΡΡΡ Ρ ΡΡΠ΅Π±Π½ΠΈΠΊΠΎΠΌ, ΠΊΠΎΠ³Π΄Π° ΠΎΠ½ ΠΏΠΎΠ΄Π½ΠΈΠΌΠ°Π΅ΡΡΡ Π²Π΅ΡΡΠΈΠΊΠ°Π»ΡΠ½ΠΎ Ρ ΠΏΠΎΡΡΠΎΡΠ½Π½ΠΎΠΉ ΡΠΊΠΎΡΠΎΡΡΡΡ. ΠΠΎΠ»ΠΎΠΆΠΈΡΠ΅Π»ΡΠ½Π°Ρ ΡΠ°Π±ΠΎΡΠ° ΡΠ°ΠΊΠΆΠ΅ Π²ΡΠΏΠΎΠ»Π½ΡΠ΅ΡΡΡ Ρ ΡΡΠ΅Π±Π½ΠΈΠΊΠΎΠΌ, ΠΊΠΎΠ³Π΄Π° ΠΎΠ½ ΠΏΠΎΠ΄Π½ΠΈΠΌΠ°Π΅ΡΡΡ ΠΏΠΎ Π΄ΠΈΠ°Π³ΠΎΠ½Π°Π»ΠΈ Ρ ΠΏΠΎΡΡΠΎΡΠ½Π½ΠΎΠΉ ΡΠΊΠΎΡΠΎΡΡΡΡ.ΠΠ΅ΡΠ²ΡΠΉ ΠΏΡΠΈΠΌΠ΅Ρ ΠΈΠΌΠ΅Π΅Ρ ΠΎΡΠ΅Π²ΠΈΠ΄Π½ΡΠΉ ΡΠΌΡΡΠ». ΠΡΠ»ΠΈ Π΄Π΅ΡΠΆΠ°ΡΡ ΠΊΠ½ΠΈΠ³Ρ, Π½Π΅ ΠΏΠ΅ΡΠ΅ΠΌΠ΅ΡΠ°Ρ Π΅Π΅, ΡΠ°Π±ΠΎΡΠ° Ρ ΠΊΠ½ΠΈΠ³ΠΎΠΉ Π½Π΅ Π²ΡΠΏΠΎΠ»Π½ΡΠ΅ΡΡΡ. ΠΠ°ΠΌΠ΅Π½ΠΈ ΡΡΠΈΡΠ΅Π»Ρ Π½Π° ΡΡΠΎΠ» ΠΈΠ»ΠΈ ΠΏΠΎΠ». ΠΠ° ΠΏΠΎΠ»Ρ Π»Π΅ΠΆΠΈΡ ΠΊΠ½ΠΈΠ³Π°. ΠΠ°ΠΊΡΡ ΡΠ°Π±ΠΎΡΡ Π²ΡΠΏΠΎΠ»Π½ΡΠ΅Ρ ΠΏΠΎΠ»? ΠΠΈΡΠ΅Π³ΠΎ Π½ΠΈΠΊΡΠ΄Π° Π½Π΅ Π΄Π΅Π½Π΅ΡΡΡ.ΠΠΈΡΠ΅Π³ΠΎ Π½Π΅ ΠΏΡΠΎΠΈΡΡ ΠΎΠ΄ΠΈΡ. ΠΠΈΡΠ΅Π³ΠΎ Π½Π΅ Π΄Π΅Π»Π°Π΅ΡΡΡ – Π΄Π°ΠΆΠ΅ Π½Π΅ ΡΠ°Π±ΠΎΡΠ°Π΅Ρ.
ΠΡΠΎΡΠΎΠΉ ΠΈ ΡΡΠ΅ΡΠΈΠΉ ΠΏΡΠΈΠΌΠ΅ΡΡ ΡΠΎΠΆΠ΅ ΠΈΠΌΠ΅ΡΡ ΡΠΌΡΡΠ». Π£ΡΠΈΡΠ΅Π»Ρ ΡΠΎΠ»ΠΊΠ°Π΅Ρ ΠΊΠ½ΠΈΠ³Ρ, ΠΈ ΠΎΠ½Π° Π΄Π²ΠΈΠΆΠ΅ΡΡΡ. Π‘ΠΈΠ»Π° ΠΏΡΠΈΠ²Π΅Π»Π° ΠΊ ΡΠΌΠ΅ΡΠ΅Π½ΠΈΡ. Π Π°Π±ΠΎΡΠ° Π±ΡΠ»Π° ΡΠ΄Π΅Π»Π°Π½Π°. ΠΡΠΎ ΡΠΎΠ³Π»Π°ΡΡΠ΅ΡΡΡ Ρ Π½Π°ΡΠΈΠΌ ΠΏΠΎΠ²ΡΠ΅Π΄Π½Π΅Π²Π½ΡΠΌ ΠΏΡΠ΅Π΄ΡΡΠ°Π²Π»Π΅Π½ΠΈΠ΅ΠΌ ΠΎ ΡΠ°Π±ΠΎΡΠ΅. ΠΡΠ΅ Π² ΠΏΠΎΡΡΠ΄ΠΊΠ΅ Ρ ΠΌΠΈΡΠΎΠΌ.
Π Π°ΡΡΠΌΠΎΡΡΠΈΠΌ Π΅ΡΠ΅ ΡΡΠΈ ΠΏΡΠΈΠΌΠ΅ΡΠ°.
Π Π°Π±ΠΎΡΠ° Ρ ΡΡΠ΅Π±Π½ΠΈΠΊΠΎΠΌ Π½Π΅ Π²ΡΠΏΠΎΠ»Π½ΡΠ΅ΡΡΡ, Π΅ΡΠ»ΠΈ Π΅Π³ΠΎ ΠΏΠ΅ΡΠ΅Π½ΠΎΡΡΡ Π³ΠΎΡΠΈΠ·ΠΎΠ½ΡΠ°Π»ΡΠ½ΠΎ Ρ ΠΏΠΎΡΡΠΎΡΠ½Π½ΠΎΠΉ ΡΠΊΠΎΡΠΎΡΡΡΡ. ΠΡΡΠΈΡΠ°ΡΠ΅Π»ΡΠ½Π°Ρ ΡΠ°Π±ΠΎΡΠ° Π²ΡΠΏΠΎΠ»Π½ΡΠ΅ΡΡΡ Ρ ΡΡΠ΅Π±Π½ΠΈΠΊΠΎΠΌ, ΠΊΠΎΠ³Π΄Π° Π΅Π³ΠΎ ΠΎΠΏΡΡΠΊΠ°ΡΡ ΠΏΠΎ Π΄ΠΈΠ°Π³ΠΎΠ½Π°Π»ΠΈ Ρ ΠΏΠΎΡΡΠΎΡΠ½Π½ΠΎΠΉ ΡΠΊΠΎΡΠΎΡΡΡΡ.ΠΡΡΠΈΡΠ°ΡΠ΅Π»ΡΠ½Π°Ρ ΡΠ°Π±ΠΎΡΠ° ΡΠ°ΠΊΠΆΠ΅ Π²ΡΠΏΠΎΠ»Π½ΡΠ΅ΡΡΡ Π½Π°Π΄ ΡΡΠ΅Π±Π½ΠΈΠΊΠΎΠΌ, ΠΊΠΎΠ³Π΄Π° ΠΎΠ½ ΠΎΠΏΡΡΠΊΠ°Π΅ΡΡΡ Π²Π΅ΡΡΠΈΠΊΠ°Π»ΡΠ½ΠΎ Ρ ΠΏΠΎΡΡΠΎΡΠ½Π½ΠΎΠΉ ΡΠΊΠΎΡΠΎΡΡΡΡ.ΠΠ΅ΡΠ²ΡΠΉ Π² ΡΡΠΎΠΌ Π½Π°Π±ΠΎΡΠ΅ Π½Π°Π΄ΠΎΠ΅Π΄Π»ΠΈΠ²ΡΠΉ. ΠΡΠΎ Π½Π΅Π»ΠΎΠ³ΠΈΡΠ½ΠΎ. ΠΠΎ ΡΡΡΠΈ, ΡΡΠΎ Π³ΠΎΠ²ΠΎΡΠΈΡ ΠΎ ΡΠΎΠΌ, ΡΡΠΎ Π½Π΅ Π½ΡΠΆΠ½ΠΎ ΠΏΠ΅ΡΠ΅Π½ΠΎΡΠΈΡΡ ΠΊΠ½ΠΈΠ³Ρ ΠΏΠΎ ΡΠΎΠ²Π½ΠΎΠΉ ΠΏΠΎΠ²Π΅ΡΡ Π½ΠΎΡΡΠΈ. ΠΡΠΎ Π½Π°ΡΡΠΎΠ»ΡΠΊΠΎ ΠΎΡΠ΅Π²ΠΈΠ΄Π½ΠΎ Π³Π»ΡΠΏΠΎ, ΡΡΠΎ Π΄ΠΎΠ»ΠΆΠ½ΠΎ Π±ΡΡΡ Π½Π΅ΠΏΡΠ°Π²ΠΈΠ»ΡΠ½ΠΎ, Π²Π΅ΡΠ½ΠΎ? ΠΠ΅ΠΏΡΠ°Π²ΠΈΠ»ΡΠ½ΡΠΉ! ΠΡΠΎ Π²Π΅ΡΠ½ΠΎ. (ΠΡ Π΄ΠΎΠ»ΠΆΠ½Ρ ΠΏΡΠΎΡΠΈΡΠ°ΡΡ ΡΡΠΎΡ ΠΏΠΎΡΠ»Π΅Π΄Π½ΠΈΠΉ Π±ΠΈΡ ΠΊΠ°ΠΊ Π²Π½ΡΡΡΠ΅Π½Π½ΠΈΠΉ Π΄ΠΈΠ°Π»ΠΎΠ³, ΡΡΠΎΠ±Ρ ΠΎΠ½ ΠΈΠΌΠ΅Π» ΡΠΌΡΡΠ».) Π Π°Π±ΠΎΡΠ° Π½Π°Π΄ ΠΎΠ±ΡΠ΅ΠΊΡΠΎΠΌ Π²ΡΠΏΠΎΠ»Π½ΡΠ΅ΡΡΡ Π²ΡΡΠΊΠΈΠΉ ΡΠ°Π·, ΠΊΠΎΠ³Π΄Π° ΡΠΈΠ»Π° Π²ΡΠ·ΡΠ²Π°Π΅Ρ ΡΠΌΠ΅ΡΠ΅Π½ΠΈΠ΅. Π ΡΡΠΎΠΌ ΠΏΡΠΈΠΌΠ΅ΡΠ΅ ΠΏΡΠΈΠ»ΠΎΠΆΠ΅Π½Π½Π°Ρ ΡΠΈΠ»Π° Π²Π΅ΡΡΠΈΠΊΠ°Π»ΡΠ½Π°, Π½ΠΎ ΡΠΌΠ΅ΡΠ΅Π½ΠΈΠ΅ Π³ΠΎΡΠΈΠ·ΠΎΠ½ΡΠ°Π»ΡΠ½ΠΎ.ΠΠ°ΠΊ Π²Π΅ΡΡΠΈΠΊΠ°Π»ΡΠ½Π°Ρ ΡΠΈΠ»Π° Π²Π»ΠΈΡΠ΅Ρ Π½Π° Π³ΠΎΡΠΈΠ·ΠΎΠ½ΡΠ°Π»ΡΠ½ΠΎΠ΅ Π΄Π²ΠΈΠΆΠ΅Π½ΠΈΠ΅? ΠΠΎΡΠΎΡΠΊΠΈΠΉ ΠΎΡΠ²Π΅Ρ: Β«ΠΡΠΎ Π½Π΅ ΡΠ°ΠΊΒ».
ΠΠ΅ΡΡΠΈΠΊΠ°Π»ΡΠ½ΡΠ΅ ΡΠΈΠ»Ρ Π²Π»ΠΈΡΡΡ Π½Π° Π²Π΅ΡΡΠΈΠΊΠ°Π»ΡΠ½ΠΎΠ΅ Π΄Π²ΠΈΠΆΠ΅Π½ΠΈΠ΅. ΠΠΎΡΠΈΠ·ΠΎΠ½ΡΠ°Π»ΡΠ½ΡΠ΅ ΡΠΈΠ»Ρ Π²Π»ΠΈΡΡΡ Π½Π° Π³ΠΎΡΠΈΠ·ΠΎΠ½ΡΠ°Π»ΡΠ½ΠΎΠ΅ Π΄Π²ΠΈΠΆΠ΅Π½ΠΈΠ΅. ΠΠΎΠ³Π΄Π° Π΄Π²ΠΈΠΆΠ΅Π½ΠΈΠ΅ ΠΈ ΡΠΈΠ»Π° ΠΏΠ°ΡΠ°Π»Π»Π΅Π»ΡΠ½Ρ, ΠΆΠΈΠ·Π½Ρ ΠΏΡΠΎΡΡΠ°. ΠΠΎΠ³Π΄Π° Π΄Π²ΠΈΠΆΠ΅Π½ΠΈΠ΅ ΠΈ ΡΠΈΠ»Π° , Π° Π½Π΅ ΠΏΠ°ΡΠ°Π»Π»Π΅Π»ΡΠ½Ρ, ΠΆΠΈΠ·Π½Ρ , Π° Π½Π΅ ΠΏΡΠΎΡΡΠΎ. ΠΠ½Π³Π΅Π»Ρ ΡΡ ΠΎΠ΄ΡΡ, ΠΈ Π΄Π΅ΠΌΠΎΠ½Ρ Π²ΡΡΡΠΏΠ°ΡΡ Π²ΠΎ Π²Π»Π°Π΄Π΅Π½ΠΈΠ΅. ΠΠΎΠ΄ Π΄Π΅ΠΌΠΎΠ½Π°ΠΌΠΈ Ρ ΠΏΠΎΠ΄ΡΠ°Π·ΡΠΌΠ΅Π²Π°Ρ Π²Π΅ΠΊΡΠΎΡΡ – Π² ΡΠ°ΡΡΠ½ΠΎΡΡΠΈ, Π²Π΅ΠΊΡΠΎΡΠ½ΡΠ΅ ΠΊΠΎΠΌΠΏΠΎΠ½Π΅Π½ΡΡ. Π Π°Π±ΠΎΡΠ° Π²ΡΠΏΠΎΠ»Π½ΡΠ΅ΡΡΡ Π²ΡΡΠΊΠΈΠΉ ΡΠ°Π·, ΠΊΠΎΠ³Π΄Π° ΡΠΈΠ»Π° ΠΈΠ»ΠΈ ΡΠΎΡΡΠ°Π²Π»ΡΡΡΠ°Ρ ΡΠΈΠ»Ρ ΠΏΡΠΈΠ²ΠΎΠ΄ΠΈΡ ΠΊ ΡΠΌΠ΅ΡΠ΅Π½ΠΈΡ.ΠΠΈΠΊΠ°ΠΊΠ°Ρ ΡΠΎΡΡΠ°Π²Π»ΡΡΡΠ°Ρ ΡΠΈΠ»Ρ Π½Π΅ Π΄Π΅ΠΉΡΡΠ²ΡΠ΅Ρ Π² Π½Π°ΠΏΡΠ°Π²Π»Π΅Π½ΠΈΠΈ Π΄Π²ΠΈΠΆΠ΅Π½ΠΈΡ, ΠΊΠΎΠ³Π΄Π° ΠΊΠ½ΠΈΠ³Π° ΠΏΠ΅ΡΠ΅ΠΌΠ΅ΡΠ°Π΅ΡΡΡ Π³ΠΎΡΠΈΠ·ΠΎΠ½ΡΠ°Π»ΡΠ½ΠΎ Ρ ΠΏΠΎΡΡΠΎΡΠ½Π½ΠΎΠΉ ΡΠΊΠΎΡΠΎΡΡΡΡ. Π‘ΠΈΠ»Π° ΠΈ ΡΠΌΠ΅ΡΠ΅Π½ΠΈΠ΅ Π½Π΅Π·Π°Π²ΠΈΡΠΈΠΌΡ. Π ΡΡΠ½Π°Ρ ΡΠ°Π±ΠΎΡΠ° Π½Π°Π΄ ΠΊΠ½ΠΈΠ³ΠΎΠΉ Π½Π΅ Π²ΡΠΏΠΎΠ»Π½ΡΠ΅ΡΡΡ.
ΠΠ·Π³Π»ΡΠ½ΠΈΡΠ΅ Π½Π° ΠΏΠΎΡΠ»Π΅Π΄Π½ΠΈΠ΅ Π΄Π²Π° ΠΏΡΠΈΠΌΠ΅ΡΠ° Π² ΡΡΠΎΠΌ Π½Π°Π±ΠΎΡΠ΅ ΠΈΠ· ΡΠ΅ΡΡΠΈ. ΠΠ΄Π΅ΡΡ ΠΌΡ Π²ΠΈΠ΄ΠΈΠΌ, ΡΡΠΎ Π²Π΅Π΄Π΅ΡΡΡ Π½Π΅Π³Π°ΡΠΈΠ²Π½Π°Ρ ΡΠ°Π±ΠΎΡΠ°. Π£ΡΠΈΡΡΠ²Π°Ρ ΡΠΎ, ΡΡΠΎ Ρ ΡΠΊΠ°Π·Π°Π» ΠΎ ΠΊΠΎΠΌΠΏΠΎΠ½Π΅Π½ΡΠ°Ρ , ΡΡΠΎ ΠΌΠΎΠΆΠ΅Ρ ΠΈΠΌΠ΅ΡΡ ΠΈΠ»ΠΈ Π½Π΅ ΠΈΠΌΠ΅ΡΡ Π΄Π»Ρ Π²Π°Ρ ΡΠΌΡΡΠ»Π°. Π ΡΠ½ΠΎΠ²Π°, ΠΊΠΎΠ³Π΄Π° ΡΠΈΠ»Π° ΠΈ ΡΠΌΠ΅ΡΠ΅Π½ΠΈΠ΅ ΠΏΠ°ΡΠ°Π»Π»Π΅Π»ΡΠ½Ρ, ΠΆΠΈΠ·Π½Ρ ΠΏΡΠΎΡΡΠ°.
ΠΡΠΈΠΌΠ΅Π½ΠΈΡΡ ΡΠΈΠ»Ρ
ΠΠΎΠ³Π΄Π° ΡΠΈΠ»Π° Π½Π΅ ΡΠΎΠ²ΡΠ΅ΠΌ ΠΏΠ°ΡΠ°Π»Π»Π΅Π»ΡΠ½Π° ΡΠΌΠ΅ΡΠ΅Π½ΠΈΡ, ΡΡΠΎ ΠΏΠΎΡ ΠΎΠΆΠ΅ Π½Π° ΡΠΎ, ΡΡΠΎ Π΄Π»Ρ Π²ΡΠΏΠΎΠ»Π½Π΅Π½ΠΈΡ ΡΠ°Π±ΠΎΡΡ ΠΈΡΠΏΠΎΠ»ΡΠ·ΡΠ΅ΡΡΡ ΠΌΠ΅Π½ΡΡΠ°Ρ ΡΠΈΠ»Π°.
ΠΡΠΈΠ»ΠΎΠΆΠΈΡΠ΅ ΠΌΠ΅Π½ΡΡΠ΅Π΅ ΡΡΠΈΠ»ΠΈΠ΅
ΠΡΠΎ ΡΠΎΠΆΠ΅ Π΄ΠΎΠ²ΠΎΠ»ΡΠ½ΠΎ ΠΏΡΠΎΡΡΠΎ. ΠΠΎΠ³Π΄Π° ΡΠ³ΠΎΠ» ΠΌΠ΅ΠΆΠ΄Ρ ΡΠΈΠ»ΠΎΠΉ ΠΈ ΡΠΌΠ΅ΡΠ΅Π½ΠΈΠ΅ΠΌ Π΄ΠΎΡΡΠΈΠ³Π°Π΅Ρ 90 Β°, ΡΠΎΡΡΠ°Π²Π»ΡΡΡΠ°Ρ ΡΠΈΠ»Ρ, ΠΏΠ°ΡΠ°Π»Π»Π΅Π»ΡΠ½Π°Ρ ΡΠΌΠ΅ΡΠ΅Π½ΠΈΡ, ΡΠΌΠ΅Π½ΡΡΠ°Π΅ΡΡΡ Π΄ΠΎ Π½ΡΠ»Ρ.
ΠΠ΅ ΠΏΡΠΈΠΌΠ΅Π½ΡΡΡ ΡΠΈΠ»Ρ
Π₯ΠΎΡΠΎΡΠΎ, ΡΠ½Π°ΡΠ°Π»Π° ΡΡΠΎ Π±ΡΠ»ΠΎ Π½Π΅Π»ΠΎΠ³ΠΈΡΠ½ΠΎ, Π½ΠΎ ΡΠ΅ΠΏΠ΅ΡΡ Π² ΡΡΠΎΠΌ Π΅ΡΡΡ ΡΠΌΡΡΠ».
Π§Π΅ΠΌ Π΄Π°Π»ΡΡΠ΅ Π΄Π²Π° Π²Π΅ΠΊΡΠΎΡΠ° ΡΠ΄Π°Π»ΡΡΡΡΡ ΠΎΡ ΠΏΠ°ΡΠ°Π»Π»Π΅Π»ΠΈ, ΡΠ΅ΠΌ ΠΌΠ΅Π½ΡΡΠ΅ ΡΠ°Π±ΠΎΡΡ Π²ΡΠΏΠΎΠ»Π½ΡΠ΅ΡΡΡ. Π£Π²Π΅Π»ΠΈΡΡΡΠ΅ ΡΠ³ΠΎΠ» Π΄ΠΎ 90 Β°. Π‘ΠΈΠ»Π° ΠΈ ΡΠΌΠ΅ΡΠ΅Π½ΠΈΠ΅ Π½Π°ΡΠΈΠ½Π°ΡΡ Π΄Π²ΠΈΠ³Π°ΡΡΡΡ Π² ΠΏΡΠΎΡΠΈΠ²ΠΎΠΏΠΎΠ»ΠΎΠΆΠ½ΡΡ Π½Π°ΠΏΡΠ°Π²Π»Π΅Π½ΠΈΡΡ .ΠΡΠΈ 90 Β° Π½ΠΈΠΊΠ°ΠΊΠΈΡ ΡΠ°Π±ΠΎΡ Π½Π΅ ΠΏΡΠΎΠΈΠ·Π²ΠΎΠ΄ΠΈΠ»ΠΎΡΡ. ΠΡΠ»ΠΈ ΡΠ³ΠΎΠ» ΠΏΡΠ΅Π²ΡΡΠ°Π΅Ρ 90 Β°, ΡΠ°Π±ΠΎΡΠ° Π½Π΅ Π΄ΠΎΠ»ΠΆΠ½Π° Π²ΡΠΏΠΎΠ»Π½ΡΡΡΡΡ. ΠΡΠΎ ΠΎΡΡΠΈΡΠ°ΡΠ΅Π»ΡΠ½Π°Ρ ΡΠ°Π±ΠΎΡΠ°.
ΠΡΠΈΠ»ΠΎΠΆΠΈΡΠ΅ ΠΌΠ΅Π½ΡΡΠ΅Π΅ ΡΡΠΈΠ»ΠΈΠ΅
ΠΡΡΡ Π΅ΡΠ΅ ΠΎΠ΄Π½Π° ΠΏΡΠΈΡΠΈΠ½Π° ΠΏΡΠΈΠ½ΡΡΡ Π½Π΅Π³Π°ΡΠΈΠ²Π½ΡΡ ΡΠ°Π±ΠΎΡΡ. ΠΠ½Π°ΠΊ ΡΠ°Π±ΠΎΡΡ ΡΠΊΠ°Π·ΡΠ²Π°Π΅Ρ Π½Π°ΠΏΡΠ°Π²Π»Π΅Π½ΠΈΠ΅ ΠΈΠ·ΠΌΠ΅Π½Π΅Π½ΠΈΡ. ΠΡΡΠΈΡΠ°ΡΠ΅Π»ΡΠ½ΡΠΉ Π·Π½Π°ΠΊ ΡΠΊΠ°Π·ΡΠ²Π°Π΅Ρ Π½Π° ΠΏΠΎΡΠ΅ΡΡ ΡΠ΅Π³ΠΎ-Π»ΠΈΠ±ΠΎ. Π ΡΠ»ΡΡΠ°Π΅ ΠΎΠΏΡΡΠΊΠ°Π½ΠΈΡ ΠΊΠ½ΠΈΠ³ΠΈ ΡΡΠΎ ΠΎΠ·Π½Π°ΡΠ°Π΅Ρ ΡΠ½ΠΈΠΆΠ΅Π½ΠΈΠ΅ Π΅Π΅ ΡΠΏΠΎΡΠΎΠ±Π½ΠΎΡΡΠΈ Π²ΡΠΏΠΎΠ»Π½ΡΡΡ ΡΠ°Π±ΠΎΡΡ – ΡΠ½ΠΈΠΆΠ΅Π½ΠΈΠ΅ Π΅Π΅ ΡΠ½Π΅ΡΠ³ΠΈΠΈ.
Π‘Π»Π΅Π΄ΡΠΉΡΠ΅ ΡΡΠΎΠΉ ΡΠ΅ΠΏΠΎΡΠΊΠ΅ ΡΠ°ΡΡΡΠΆΠ΄Π΅Π½ΠΈΠΉ. Π§ΡΠΎΠ±Ρ ΠΏΠΎΠ΄Π½ΡΡΡ ΠΊΠ½ΠΈΠ³Ρ, Π½ΡΠΆΠ½ΠΎ ΠΏΠΎΡΡΡΠ΄ΠΈΡΡΡΡ.ΠΠΎΠ΄Π½ΡΡΠΈΠ΅ ΠΊΠ½ΠΈΠ³ΠΈ ΠΏΠΎΠ²ΡΡΠ°Π΅Ρ Π΅Π΅ ΡΠ½Π΅ΡΠ³ΠΈΡ. Π’Π΅ΠΏΠ΅ΡΡ Ρ ΠΌΠΎΠ³Ρ ΠΈΡΠΏΠΎΠ»ΡΠ·ΠΎΠ²Π°ΡΡ ΡΠ½Π΅ΡΠ³ΠΈΡ, Ρ ΡΠ°Π½ΡΡΡΡΡΡ Π² ΠΊΠ½ΠΈΠ³Π΅, Π΄Π»Ρ ΡΠ°Π±ΠΎΡΡ – ΠΈ ΠΏΠΎΠ΄ Β«ΡΠ°Π±ΠΎΡΠΎΠΉΒ» Ρ ΠΈΠΌΠ΅Ρ Π² Π²ΠΈΠ΄Ρ ΡΠΈΠ·ΠΈΡΠ΅ΡΠΊΠΈΠΉ ΡΡΡΠ΄, Π° Π½Π΅ ΠΎΠ±ΡΡΠ΅Π½ΠΈΠ΅ Π°ΠΌΠ΅ΡΠΈΠΊΠ°Π½ΡΠΊΠΎΠΉ ΠΌΠΎΠ»ΠΎΠ΄Π΅ΠΆΠΈ. Π― ΠΌΠΎΠ³Ρ ΡΠΎΠ»ΠΊΠ°ΡΡ ΠΈΠΌ ΡΠ°Π·Π½ΡΠ΅ Π²Π΅ΡΠΈ – Π³ΡΠ΅ΡΠΊΠΈΠ΅ ΠΎΡΠ΅Ρ ΠΈ, Π½Π°ΡΠ΅ΠΊΠΎΠΌΡΡ , ΠΊΠ²Π°Π΄ΡΠ°ΡΠ½ΡΠ΅ ΠΊΠΎΠ»ΡΡΠΊΠΈ Π² ΠΊΡΡΠ³Π»ΡΠ΅ ΠΎΡΠ²Π΅ΡΡΡΠΈΡ. Π― Π΄Π΅Π»Π°Ρ ΡΡΡ ΡΠ°Π±ΠΎΡΡ, ΠΎΠΏΡΡΠΊΠ°Ρ ΠΊΠ½ΠΈΠ³Ρ. ΠΡΠΎ ΡΠ°ΠΊΠΆΠ΅ ΡΠ½ΠΈΠΆΠ°Π΅Ρ Π΅Π³ΠΎ ΡΠ½Π΅ΡΠ³ΠΈΡ. ΠΠ½ Π±ΠΎΠ»ΡΡΠ΅ Π½Π΅ ΠΌΠΎΠΆΠ΅Ρ ΡΠ°Π±ΠΎΡΠ°ΡΡ, ΠΊΠΎΠ³Π΄Π° ΡΠ½ΠΎΠ²Π° Π»Π΅ΠΆΠΈΡ Π½Π° ΡΡΠΎΠ»Π΅. ΠΠΎΠ΄Π½ΡΡΠΈΠ΅ ΠΊΠ½ΠΈΠ³ΠΈ Π΄Π΅ΠΉΡΡΠ²ΠΈΡΠ΅Π»ΡΠ½ΠΎ ΡΠ°Π±ΠΎΡΠ°Π΅Ρ. ΠΠ³ΠΎ ΠΎΠΏΡΡΠΊΠ°Π½ΠΈΠ΅ ΠΎΡΠΌΠ΅Π½ΡΠ΅Ρ ΡΠ°Π±ΠΎΡΡ Π½Π°Π΄ Π½ΠΈΠΌ. Π‘ ΡΠΎΡΠΊΠΈ Π·ΡΠ΅Π½ΠΈΡ ΡΠ°Π±ΠΎΡΡ ΠΈΠ»ΠΈ ΡΠ½Π΅ΡΠ³ΠΈΠΈ ΠΊΠ½ΠΈΠ³Π° Π²Π΅ΡΠ½ΡΠ»Π°ΡΡ Π² ΠΈΡΡ ΠΎΠ΄Π½ΠΎΠ΅ ΡΠΎΡΡΠΎΡΠ½ΠΈΠ΅.Π§ΠΈΡΠ»Π΅Π½Π½ΠΎ ΠΏΠΎΠ»ΠΎΠΆΠΈΡΠ΅Π»ΡΠ½Π°Ρ ΠΏΡΠΎΠ΄Π΅Π»Π°Π½Π½Π°Ρ ΡΠ°Π±ΠΎΡΠ°, ΠΏΠΎΠ²ΡΡΠ°ΡΡΠ°Ρ Π΅Π³ΠΎ, Π±ΡΠ»Π° Π°Π½Π½ΡΠ»ΠΈΡΠΎΠ²Π°Π½Π° ΠΎΡΡΠΈΡΠ°ΡΠ΅Π»ΡΠ½ΠΎΠΉ ΠΏΡΠΎΠ΄Π΅Π»Π°Π½Π½ΠΎΠΉ ΡΠ°Π±ΠΎΡΠΎΠΉ, ΠΏΠΎΠ½ΠΈΠΆΠ°ΡΡΠ΅ΠΉ Π΅Π³ΠΎ, ΡΡΠΎ ΠΏΡΠΈΠ²Π΅Π»ΠΎ ΠΊ Π½ΡΠ»Ρ Π²ΡΠΏΠΎΠ»Π½Π΅Π½Π½ΠΎΠΉ ΡΠ°Π±ΠΎΡΡ Π² ΡΠ΅Π»ΠΎΠΌ ΠΏΠΎ ΠΊΠ½ΠΈΠ³Π΅ . (Π‘ΠΈΡΡΠ°ΡΠΈΡ ΠΈΠ½Π°Ρ Π΄Π»Ρ ΡΠ°Π·Π±ΠΈΡΠΎΠ³ΠΎ Π³ΡΠ΅ΡΠΊΠΎΠ³ΠΎ ΠΎΡΠ΅Ρ Π°, Π½Π°ΡΠ΅ΠΊΠΎΠΌΠΎΠ³ΠΎ ΠΈΠ»ΠΈ ΠΊΠ²Π°Π΄ΡΠ°ΡΠ½ΠΎΠ³ΠΎ ΠΊΠΎΠ»ΡΡΠΊΠ°.)
Π°Π»Π³Π΅Π±ΡΠ°
Π Π°Π±ΠΎΡΠ° Π²ΡΠΏΠΎΠ»Π½ΡΠ΅ΡΡΡ Π²ΡΡΠΊΠΈΠΉ ΡΠ°Π·, ΠΊΠΎΠ³Π΄Π° ΡΠΈΠ»Π° Π²ΡΠ·ΡΠ²Π°Π΅Ρ ΡΠΌΠ΅ΡΠ΅Π½ΠΈΠ΅. ΠΡΠΈ ΠΏΡΠΎΡΠΈΡ ΡΠ°Π²Π½ΡΡ ΡΡΠ»ΠΎΠ²ΠΈΡΡ ΠΏΡΠΈΠΌΠ΅Π½Π΅Π½ΠΈΠ΅ Π±ΠΎΠ»ΡΡΠ΅ΠΉ ΡΠΈΠ»Ρ Π΄ΠΎΠ»ΠΆΠ½ΠΎ ΠΏΡΠΈΠ²ΠΎΠ΄ΠΈΡΡ ΠΊ Π²ΡΠΏΠΎΠ»Π½Π΅Π½ΠΈΡ Π±ΠΎΠ»ΡΡΠ΅Π³ΠΎ ΠΎΠ±ΡΠ΅ΠΌΠ° ΡΠ°Π±ΠΎΡΡ. Π’ΠΎΡΠ½ΠΎ ΡΠ°ΠΊ ΠΆΠ΅ ΠΏΡΠΈΠ»ΠΎΠΆΠ΅Π½ΠΈΠ΅ Π·Π°Π΄Π°Π½Π½ΠΎΠΉ ΡΠΈΠ»Ρ Π½Π° Π±ΠΎΠ»ΡΡΠ΅ΠΌ ΡΠ°ΡΡΡΠΎΡΠ½ΠΈΠΈ Π΄ΠΎΠ»ΠΆΠ½ΠΎ ΠΏΡΠΈΠ²Π΅ΡΡΠΈ ΠΊ Π²ΡΠΏΠΎΠ»Π½Π΅Π½ΠΈΡ Π±ΠΎΠ»ΡΡΠ΅Π³ΠΎ ΠΊΠΎΠ»ΠΈΡΠ΅ΡΡΠ²Π° ΡΠ°Π±ΠΎΡΡ.Π, ΠΊΠ°ΠΊ ΠΌΡ ΠΎΠ±ΡΡΠΆΠ΄Π°Π»ΠΈ Π² Π΄ΡΠΆΠΈΠ½Π΅ ΠΏΠ°ΡΠ°Π³ΡΠ°ΡΠΎΠ², ΠΏΡΠ΅Π΄ΡΠ΅ΡΡΠ²ΡΡΡΠΈΡ ΡΡΠΎΠΌΡ, Π²Π°ΠΆΠ½Π° ΡΠΎΡΡΠ°Π²Π»ΡΡΡΠ°Ρ ΡΠΈΠ»Ρ, ΠΏΠ°ΡΠ°Π»Π»Π΅Π»ΡΠ½Π°Ρ ΡΠΌΠ΅ΡΠ΅Π½ΠΈΡ. Π Π°Π±ΠΎΡΠ° ΠΏΡΡΠΌΠΎ ΠΏΡΠΎΠΏΠΎΡΡΠΈΠΎΠ½Π°Π»ΡΠ½Π° ΠΏΠ΅ΡΠ²ΡΠΌ Π΄Π²ΡΠΌ ΡΠ°ΠΊΡΠΎΡΠ°ΠΌ: ΡΠΈΠ»Π΅ ΠΈ ΠΏΠ΅ΡΠ΅ΠΌΠ΅ΡΠ΅Π½ΠΈΡ. ΠΠ°ΠΏΡΠ°Π²Π»Π΅Π½ΠΈΠ΅ ΠΎΠ±ΡΠ°Π±Π°ΡΡΠ²Π°Π΅ΡΡΡ ΡΡΠ½ΠΊΡΠΈΠ΅ΠΉ ΠΊΠΎΡΠΈΠ½ΡΡΠ°. ΠΠΎΡΠΈΠ½ΡΡ Π½Π°ΠΈΠ±ΠΎΠ»ΡΡΠΈΠΉ, ΠΊΠΎΠ³Π΄Π° ΡΠ³ΠΎΠ» ΡΠ°Π²Π΅Π½ Π½ΡΠ»Ρ (ΡΠ³ΠΎΠ» ΠΌΠ΅ΠΆΠ΄Ρ Π΄Π²ΡΠΌΡ Π²Π΅ΠΊΡΠΎΡΠ°ΠΌΠΈ, ΡΠΊΠ°Π·ΡΠ²Π°ΡΡΠΈΠΌΠΈ Π² ΠΎΠ΄Π½ΠΎΠΌ Π½Π°ΠΏΡΠ°Π²Π»Π΅Π½ΠΈΠΈ, ΡΠ°Π²Π΅Π½ Π½ΡΠ»Ρ), Π½ΠΎΠ»Ρ ΠΏΡΠΈ Π΄Π΅Π²ΡΠ½ΠΎΡΡΠ° Π³ΡΠ°Π΄ΡΡΠ°Ρ (ΡΠΈΠ»Ρ, ΠΏΠ΅ΡΠΏΠ΅Π½Π΄ΠΈΠΊΡΠ»ΡΡΠ½ΡΠ΅ ΡΠΌΠ΅ΡΠ΅Π½ΠΈΡ, Π½Π΅ Π΄Π΅ΠΉΡΡΠ²ΡΡΡ), ΠΈ ΠΎΡΡΠΈΡΠ°ΡΠ΅Π»ΡΠ½ΡΠΉ Π΄Π»Ρ ΡΡΠΏΡΡ ΡΠ³Π»ΠΎΠ² (ΡΠΈΠ»Ρ, Π΄Π΅ΠΉΡΡΠ²ΡΡΡΠΈΠ΅ Π² ΠΏΡΠΎΡΠΈΠ²ΠΎΠΏΠΎΠ»ΠΎΠΆΠ½ΠΎΠΌ Π½Π°ΠΏΡΠ°Π²Π»Π΅Π½ΠΈΠΈ ΡΠΌΠ΅ΡΠ΅Π½ΠΈΡ, ΠΎΡΠΌΠ΅Π½ΡΡΡ ΡΠ°Π±ΠΎΡΡ). .
Π Π°Π±ΠΎΡΠ° Π»ΡΡΡΠ΅ Π²ΡΠ΅Π³ΠΎ ΠΎΠΏΡΠ΅Π΄Π΅Π»ΡΠ΅ΡΡΡ ΡΡΠ°Π²Π½Π΅Π½ΠΈΠ΅ΠΌ. ΠΠΎΡ ΠΎΠ΄Π½Π° ΡΠ°ΡΠΏΡΠΎΡΡΡΠ°Π½Π΅Π½Π½Π°Ρ Π²Π΅ΡΡΠΈΡβ¦
W = F β s cos ΞΈ
Π³Π΄Π΅β¦
| W = | ΡΠ°Π±ΠΎΡ Π²ΡΠΏΠΎΠ»Π½Π΅Π½ΠΎ |
| F = | Π‘ΡΠ΅Π΄Π½Π΅Π΅ ΠΏΡΠΈΠ»ΠΎΠΆΠ΅Π½Π½ΠΎΠ΅ ΡΡΠΈΠ»ΠΈΠ΅ |
| β Ρ = | ΡΠΌΠ΅ΡΠ΅Π½ΠΈΠ΅, Π²ΡΠ·Π²Π°Π½Π½ΠΎΠ΅ ΡΠΈΠ»ΠΎΠΉ |
| ΞΈ = | ΡΠ³ΠΎΠ» ΡΠΈΠ»Π°-ΡΠΌΠ΅ΡΠ΅Π½ΠΈΠ΅ |
ΠΡΠΎ ΡΡΠ°Π²Π½Π΅Π½ΠΈΠ΅ ΠΏΡΠ΅Π΄ΠΏΠΎΠ»Π°Π³Π°Π΅Ρ, ΡΡΠΎ ΡΠΈΠ»Π° ΠΏΠΎΡΡΠΎΡΠ½Π½Π° ΠΊΠ°ΠΊ ΠΏΠΎ Π²Π΅Π»ΠΈΡΠΈΠ½Π΅, ΡΠ°ΠΊ ΠΈ ΠΏΠΎ Π½Π°ΠΏΡΠ°Π²Π»Π΅Π½ΠΈΡ ΠΎΡΠ½ΠΎΡΠΈΡΠ΅Π»ΡΠ½ΠΎ ΡΠΌΠ΅ΡΠ΅Π½ΠΈΡ Π² Π»ΡΠ±ΠΎΠ΅ Π²ΡΠ΅ΠΌΡ.ΠΠ»Ρ ΠΌΠ½ΠΎΠ³ΠΈΡ Π·Π°Π΄Π°Ρ ΡΡΠΎ ΠΏΡΠ΅Π΄ΠΏΠΎΠ»ΠΎΠΆΠ΅Π½ΠΈΠ΅ ΡΠ°Π·ΡΠΌΠ½ΠΎ, ΠΏΠΎΡΡΠΎΠΌΡ ΠΎΠ½ΠΎ Π½Π°ΠΏΠΈΡΠ°Π½ΠΎ Π·Π΄Π΅ΡΡ.
ΠΈΡΡΠΈΡΠ»Π΅Π½ΠΈΠ΅
ΠΠ»Ρ ΡΠ΅Ρ ΡΠ»ΡΡΠ°Π΅Π², ΠΊΠΎΠ³Π΄Π° ΠΈΠ·ΠΌΠ΅Π½Π΅Π½ΠΈΡ Π² Π²Π΅Π»ΠΈΡΠΈΠ½Π΅ ΠΈΠ»ΠΈ Π½Π°ΠΏΡΠ°Π²Π»Π΅Π½ΠΈΠΈ Π·Π½Π°ΡΠΈΡΠ΅Π»ΡΠ½Ρ, ΠΌΡ ΠΏΡΠ΅Π΄ΡΡΠ°Π²Π»ΡΠ΅ΠΌ Π½Π°ΡΠ΅ Π·Π½Π°ΠΊΠΎΠΌΠΎΠ΅ ΠΈΡΡΠΈΡΠ»Π΅Π½ΠΈΠ΅. ΠΡΠΈ Π½Π΅ΠΊΠΎΡΠΎΡΠΎΠΌ ΠΊΠΎΠ½Π΅ΡΠ½ΠΎΠΌ ΡΠΌΠ΅ΡΠ΅Π½ΠΈΠΈ ΡΠΈΠ»Π° ΠΌΠΎΠΆΠ΅Ρ ΠΈΠ·ΠΌΠ΅Π½ΡΡΡΡΡ ΠΏΠΎ Π²Π΅Π»ΠΈΡΠΈΠ½Π΅ ΠΈ Π½Π°ΠΏΡΠ°Π²Π»Π΅Π½ΠΈΡ. ΠΡΠΈ ΠΌΠ΅Π½ΡΡΠ΅ΠΌ ΡΠΌΠ΅ΡΠ΅Π½ΠΈΠΈ ΠΎΠ½ Π½Π°Π²Π΅ΡΠ½ΡΠΊΠ° ΠΈΠ·ΠΌΠ΅Π½ΠΈΡΡΡ ΠΌΠ΅Π½ΡΡΠ΅. Π Π°Π·ΡΠ΅ΠΆΡΡΠ΅ ΡΠΌΠ΅ΡΠ΅Π½ΠΈΠ΅ Π½Π° ΡΠ΅ΡΠΈΡ Π½Π΅Π±ΠΎΠ»ΡΡΠΈΡ ΡΠΌΠ΅ΡΠ΅Π½ΠΈΠΉ, Π²ΡΡΠΈΡΠ»ΠΈΡΠ΅ ΡΠ°Π±ΠΎΡΡ, ΠΏΡΠΎΠ΄Π΅Π»Π°Π½Π½ΡΡ Π½Π° ΠΊΠ°ΠΆΠ΄ΠΎΠΌ ΡΠ°Π³Π΅, ΠΈ ΡΠ»ΠΎΠΆΠΈΡΠ΅ ΡΠ΅Π·ΡΠ»ΡΡΠ°ΡΡ Π²ΠΌΠ΅ΡΡΠ΅. ΠΠ»Ρ Π΄ΠΎΡΡΠΈΠΆΠ΅Π½ΠΈΡ Π½Π°ΠΈΠ»ΡΡΡΠΈΡ ΡΠ΅Π·ΡΠ»ΡΡΠ°ΡΠΎΠ² ΠΏΠΎΠ·Π²ΠΎΠ»ΡΡΠ΅ ΡΡΡΠΏΠ΅Π½ΡΠΊΠ°ΠΌ ΠΏΡΠΈΠ±Π»ΠΈΠ·ΠΈΡΡΡΡ ΠΊ Π±Π΅ΡΠΊΠΎΠ½Π΅ΡΠ½ΠΎ ΠΌΠ°Π»ΠΎΠΌΡ ΡΠ°Π·ΠΌΠ΅ΡΡ.
ΠΠΎΠΊΠ° ΠΌΡ Π·Π°Π½ΠΈΠΌΠ°Π΅ΠΌΡΡ ΡΡΠΈΠΌ, Π΄Π°Π²Π°ΠΉΡΠ΅ ΡΠ°ΠΊΠΆΠ΅ Π·Π°ΠΌΠ΅Π½ΠΈΠΌ ΡΡΠ½ΠΊΡΠΈΡ ΠΊΠΎΡΠΈΠ½ΡΡΠ° Π±ΠΎΠ»Π΅Π΅ ΠΊΠΎΠΌΠΏΠ°ΠΊΡΠ½ΠΎΠΉ Π½ΠΎΡΠ°ΡΠΈΠ΅ΠΉ ΡΠΊΠ°Π»ΡΡΠ½ΠΎΠ³ΠΎ ΠΏΡΠΎΠΈΠ·Π²Π΅Π΄Π΅Π½ΠΈΡ. ΠΡΡΡ Π΄Π²Π° ΡΠΏΠΎΡΠΎΠ±Π° ΡΠΌΠ½ΠΎΠΆΠ΅Π½ΠΈΡ Π²Π΅ΠΊΡΠΎΡΠΎΠ² – ΡΠΊΠ°Π»ΡΡΠ½ΠΎΠ΅ ΠΏΡΠΎΠΈΠ·Π²Π΅Π΄Π΅Π½ΠΈΠ΅ Β· ΠΈ ΠΊΡΠΎΡΡ-ΠΏΡΠΎΠΈΠ·Π²Π΅Π΄Π΅Π½ΠΈΠ΅ Γ. Π‘ΠΊΠ°Π»ΡΡΠ½ΠΎΠ΅ ΠΏΡΠΎΠΈΠ·Π²Π΅Π΄Π΅Π½ΠΈΠ΅ – ΡΡΠΎ ΡΠΊΠ°Π»ΡΡΠ½ΡΠΉ ΠΏΡΠΎΠ΄ΡΠΊΡ, ΠΊΠΎΡΠΎΡΡΠΉ ΡΠ²Π΅Π»ΠΈΡΠΈΠ²Π°Π΅ΡΡΡ Ρ ΡΠ²Π΅Π»ΠΈΡΠ΅Π½ΠΈΠ΅ΠΌ ΡΡ ΠΎΠ΄ΡΡΠ²Π° Π½Π°ΠΏΡΠ°Π²Π»Π΅Π½ΠΈΡ. Π’ΡΠΈΠ³Π³Π΅ΡΠ½Π°Ρ ΡΡΠ½ΠΊΡΠΈΡ, ΠΊΠΎΡΠΎΡΠ°Ρ Π΄Π΅Π»Π°Π΅Ρ ΡΡΠΎ, – ΠΊΠΎΡΠΈΠ½ΡΡ. ΠΠ΅ΡΠ΅ΠΊΡΠ΅ΡΡΠ½ΠΎΠ΅ ΠΏΡΠΎΠΈΠ·Π²Π΅Π΄Π΅Π½ΠΈΠ΅ – ΡΡΠΎ Π²Π΅ΠΊΡΠΎΡΠ½ΠΎΠ΅ ΠΏΡΠΎΠΈΠ·Π²Π΅Π΄Π΅Π½ΠΈΠ΅, ΠΊΠΎΡΠΎΡΠΎΠ΅ ΡΠ²Π΅Π»ΠΈΡΠΈΠ²Π°Π΅ΡΡΡ Ρ ΡΠ²Π΅Π»ΠΈΡΠ΅Π½ΠΈΠ΅ΠΌ ΠΏΠ΅ΡΠΏΠ΅Π½Π΄ΠΈΠΊΡΠ»ΡΡΠ½ΠΎΡΡΠΈ ΠΈ Π²ΡΡ ΠΎΠ΄ΠΈΡ Π·Π° ΠΏΡΠ΅Π΄Π΅Π»Ρ ΠΏΠ»ΠΎΡΠΊΠΎΡΡΠΈ, ΡΠΎΠ΄Π΅ΡΠΆΠ°ΡΠ΅ΠΉ Π΄Π²Π° Π²Π΅ΠΊΡΠΎΡΠ°.Π’ΡΠΈΠ³Π³Π΅ΡΠ½Π°Ρ ΡΡΠ½ΠΊΡΠΈΡ, ΠΊΠΎΡΠΎΡΠ°Ρ ΡΡΠΎ Π΄Π΅Π»Π°Π΅Ρ, – ΡΠΈΠ½ΡΡ. ΠΠΎΡΠΊΠΎΠ»ΡΠΊΡ ΠΌΡ ΡΠ°Π½Π΅Π΅ ΠΎΠΏΡΠ΅Π΄Π΅Π»ΠΈΠ»ΠΈ ΠΊΠΎΡΠΈΠ½ΡΡ ΠΊΠ°ΠΊ ΠΏΡΠ°Π²ΠΈΠ»ΡΠ½ΡΡ ΡΡΠ½ΠΊΡΠΈΡ, ΠΌΡ Π±ΡΠ΄Π΅ΠΌ ΠΈΡΠΏΠΎΠ»ΡΠ·ΠΎΠ²Π°ΡΡ ΡΠΊΠ°Π»ΡΡΠ½ΠΎΠ΅ ΠΏΡΠΎΠΈΠ·Π²Π΅Π΄Π΅Π½ΠΈΠ΅.
Π ΠΏΡΠ΅Π΄Π΅Π»Π΅ ΠΊΠΎΠ½Π΅ΡΠ½ΠΎΠ΅ β s ΡΡΠ°Π½ΠΎΠ²ΠΈΡΡΡ Π±Π΅ΡΠΊΠΎΠ½Π΅ΡΠ½ΠΎ ΠΌΠ°Π»ΡΠΌ d s , Π° ΠΊΠΎΠ½Π΅ΡΠ½ΠΎΠ΅ β ΡΡΠ°Π½ΠΎΠ²ΠΈΡΡΡ Π±Π΅ΡΠΊΠΎΠ½Π΅ΡΠ½ΡΠΌ β«. ΠΠΎΠ½Π΅ΡΠ½Π°Ρ ΡΡΠΌΠΌΠ° ΠΊΠΎΠ½Π΅ΡΠ½ΡΡ Π²Π΅Π»ΠΈΡΠΈΠ½ Π²ΡΠ΅Π³Π΄Π° ΠΊΠΎΠ½Π΅ΡΠ½Π°. ΠΠ΅ΡΠΊΠΎΠ½Π΅ΡΠ½ΡΠΉ ΠΈΠ½ΡΠ΅Π³ΡΠ°Π» Π±Π΅ΡΠΊΠΎΠ½Π΅ΡΠ½ΠΎ ΠΌΠ°Π»ΡΡ Π΄ΠΈΡΡΠ΅ΡΠ΅Π½ΡΠΈΠ°Π»ΠΎΠ² ΡΠ°ΠΊΠΆΠ΅ ΠΌΠΎΠΆΠ΅Ρ Π±ΡΡΡ ΠΊΠΎΠ½Π΅ΡΠ½ΡΠΌ. ΠΠ°Π³ΠΈΡ ΠΈΡΡΠΈΡΠ»Π΅Π½ΠΈΡ Π² ΡΠΎΠΌ, ΡΡΠΎ ΠΏΠΎΡΠ»Π΅Π΄Π½Π΅Π΅ Π²ΠΎΠΎΠ±ΡΠ΅ ΠΌΠΎΠΆΠ΅Ρ Π±ΡΡΡ ΠΏΡΠ°Π²Π΄ΠΎΠΉ.
Π Π°Π±ΠΎΡΠ° Π»ΡΡΡΠ΅ Π²ΡΠ΅Π³ΠΎ ΠΎΠΏΡΠ΅Π΄Π΅Π»ΡΠ΅ΡΡΡ ΡΡΠ°Π²Π½Π΅Π½ΠΈΠ΅ΠΌ.ΠΠΎΡ Π΅ΡΠ΅ ΠΎΠ΄Π½Π° ΡΠ°ΡΠΏΡΠΎΡΡΡΠ°Π½Π΅Π½Π½Π°Ρ Π²Π΅ΡΡΠΈΡβ¦
ΠΡΠΎ ΡΡΠ°Π²Π½Π΅Π½ΠΈΠ΅ ΡΠ²Π»ΡΠ΅ΡΡΡ ΠΏΡΠΈΠΌΠ΅ΡΠΎΠΌ Π»ΠΈΠ½Π΅ΠΉΠ½ΠΎΠ³ΠΎ ΠΈΠ½ΡΠ΅Π³ΡΠ°Π»Π° (ΠΈΠ»ΠΈ Π»ΠΈΠ½Π΅ΠΉΠ½ΠΎΠ³ΠΎ ΠΈΠ½ΡΠ΅Π³ΡΠ°Π»Π° ). ΠΠΎΠ³Π΄Π° Π±ΠΎΠ»ΡΡΠΈΠ½ΡΡΠ²ΠΎ ΡΡΡΠ΄Π΅Π½ΡΠΎΠ² Π·Π½Π°ΠΊΠΎΠΌΡΡΡΡ Ρ ΠΈΠ½ΡΠ΅Π³ΡΠ°ΡΠΈΠ΅ΠΉ, ΠΈΠΌ Π³ΠΎΠ²ΠΎΡΡΡ, ΡΡΠΎ ΠΈΠ½ΡΠ΅Π³ΡΠ°ΡΠΈΡ – ΡΡΠΎ ΡΠΏΠΎΡΠΎΠ± Π½Π°ΠΉΡΠΈ ΠΏΠ»ΠΎΡΠ°Π΄Ρ ΠΏΠΎΠ΄ ΠΊΡΠΈΠ²ΠΎΠΉ. ΠΡΠΎ Π΄Π΅Π»Π°Π΅ΡΡΡ ΠΏΡΡΠ΅ΠΌ ΠΌΠ°ΡΠ΅ΠΌΠ°ΡΠΈΡΠ΅ΡΠΊΠΎΠ³ΠΎ ΡΠ°Π·Π±ΠΈΠ΅Π½ΠΈΡ ΠΊΡΠΈΠ²ΠΎΠΉ Π½Π° Π±Π΅ΡΠΊΠΎΠ½Π΅ΡΠ½ΠΎ ΠΌΠ°Π»ΡΠ΅ ΡΠ΅Π³ΠΌΠ΅Π½ΡΡ ΠΎΠ΄ΠΈΠ½Π°ΠΊΠΎΠ²ΠΎΠΉ ΡΠΈΡΠΈΠ½Ρ, ΠΈΠ·ΠΌΠ΅ΡΠ΅Π½ΠΈΡ ΠΏΠ»ΠΎΡΠ°Π΄ΠΈ ΠΏΡΡΠΌΠΎΡΠ³ΠΎΠ»ΡΠ½ΠΎΠΉ ΠΏΠΎΠ»ΠΎΡΡ, ΠΊΠΎΡΠΎΡΠ°Ρ ΠΏΠΎΠΌΠ΅ΡΠ°Π΅ΡΡΡ ΠΌΠ΅ΠΆΠ΄Ρ ΠΊΠ°ΠΆΠ΄ΡΠΌ ΡΠ΅Π³ΠΌΠ΅Π½ΡΠΎΠΌ ΠΊΡΠΈΠ²ΠΎΠΉ ΠΈ Π³ΠΎΡΠΈΠ·ΠΎΠ½ΡΠ°Π»ΡΠ½ΠΎΠΉ ΠΎΡΡΡ, Π° Π·Π°ΡΠ΅ΠΌ ΡΠ»ΠΎΠΆΠ΅Π½ΠΈΡ ΠΏΠ»ΠΎΡΠ°Π΄Π΅ΠΉ ΡΠ΅Π³ΠΌΠ΅Π½ΡΠΎΠ² Π²ΠΌΠ΅ΡΡΠ΅.ΠΠ΅Ρ Π½ΠΈΡΠ΅Π³ΠΎ ΠΏΠ»ΠΎΡ ΠΎΠ³ΠΎ Π² ΡΠΎΠΌ, ΡΡΠΎ ΡΡΠΎ Π²Π²Π΅Π΄Π΅Π½ΠΈΠ΅ Π² ΠΈΠ½ΡΠ΅Π³ΡΠ°ΡΠΈΡ, Π½ΠΎ ΠΈΠ½ΠΎΠ³Π΄Π° ΡΡΡΠ΄Π΅Π½ΡΡ Π·Π°ΡΠΈΠΊΠ»ΠΈΠ²Π°ΡΡΡΡ Π½Π° ΠΏΠΎΠ½ΡΡΠΈΠΈ, ΡΡΠΎ ΠΈΠ½ΡΠ΅Π³ΡΠ°ΡΠΈΡ – ΡΡΠΎ ΠΏΡΠΎΡΡΠΎ Β«ΠΏΠΎΠΈΡΠΊ ΠΎΠ±Π»Π°ΡΡΠΈΒ». ΠΠ° ΡΠ°ΠΌΠΎΠΌ Π΄Π΅Π»Π΅ ΠΈΠ½ΡΠ΅Π³ΡΠ°ΡΠΈΡ Π·Π°ΠΊΠ»ΡΡΠ°Π΅ΡΡΡ Π² ΡΠΎΠ΅Π΄ΠΈΠ½Π΅Π½ΠΈΠΈ ΡΠ°ΡΡΠ΅ΠΉ Π² Π΅Π΄ΠΈΠ½ΠΎΠ΅ ΡΠ΅Π»ΠΎΠ΅. ΠΡΠΎ ΠΎΡΠ½ΠΎΠ²Π½ΠΎΠ΅ Π·Π½Π°ΡΠ΅Π½ΠΈΠ΅ ΡΠ»ΠΎΠ²Π° Π½Π° Π°Π½Π³Π»ΠΈΠΉΡΠΊΠΎΠΌ ΡΠ·ΡΠΊΠ΅ ΠΈ – ΠΎΡΠ½ΠΎΠ²Π½ΠΎΠ΅ Π·Π½Π°ΡΠ΅Π½ΠΈΠ΅ ΡΠ»ΠΎΠ²Π° Π² ΠΈΡΡΠΈΡΠ»Π΅Π½ΠΈΠΈ. ΠΠ½ΡΠ΅Π³ΡΠΈΡΠΎΠ²Π°Π½ΠΈΠ΅ ΠΌΠΎΠΆΠ½ΠΎ ΠΈΡΠΏΠΎΠ»ΡΠ·ΠΎΠ²Π°ΡΡ Π΄Π»Ρ Π½Π°Ρ ΠΎΠΆΠ΄Π΅Π½ΠΈΡ ΠΏΠ»ΠΎΡΠ°Π΄ΠΈ ΠΏΠΎΠ΄ ΠΊΡΠΈΠ²ΠΎΠΉ (Ρ Π½Π°Π·ΠΎΠ²Ρ ΡΡΠΎ ΡΡΠ°Π΄ΠΈΡΠΈΠΎΠ½Π½ΡΠΌ ΠΈΠ½ΡΠ΅Π³ΡΠ°Π»ΠΎΠΌ ), Π½ΠΎ Π΅Π³ΠΎ ΡΠ°ΠΊΠΆΠ΅ ΠΌΠΎΠΆΠ½ΠΎ ΠΈΡΠΏΠΎΠ»ΡΠ·ΠΎΠ²Π°ΡΡ Π΄Π»Ρ ΠΎΠΏΡΠ΅Π΄Π΅Π»Π΅Π½ΠΈΡ ΠΊΠΎΠ»ΠΈΡΠ΅ΡΡΠ²Π° Π½Π΅ΠΊΠΎΡΠΎΡΠΎΠΉ Π²Π΅Π»ΠΈΡΠΈΠ½Ρ, Π½Π°ΠΊΠΎΠΏΠ»Π΅Π½Π½ΠΎΠΉ Π½Π° ΠΏΡΡΠΈ (ΠΈΠ½ΡΠ΅Π³ΡΠ°Π» ΠΏΠΎ ΠΏΡΡΠΈ ), ΡΡΠΎΠ±Ρ Π½Π°ΠΉΡΠΈ ΠΊΠΎΠ»ΠΈΡΠ΅ΡΡΠ²ΠΎ Π½Π΅ΠΊΠΎΡΠΎΡΠΎΠΉ Π²Π΅Π»ΠΈΡΠΈΠ½Ρ, Π·Π°Ρ Π²Π°ΡΠ΅Π½Π½ΠΎΠΉ ΠΏΠΎΠ²Π΅ΡΡ Π½ΠΎΡΡΡΡ ( ΠΈΠ½ΡΠ΅Π³ΡΠ°Π» ΠΏΠΎΠ²Π΅ΡΡ Π½ΠΎΡΡΠΈ ), ΠΈΠ»ΠΈ ΠΊΠΎΠ»ΠΈΡΠ΅ΡΡΠ²ΠΎ Π½Π΅ΠΊΠΎΡΠΎΡΠΎΠΉ Π²Π΅Π»ΠΈΡΠΈΠ½Ρ, ΡΠΎΠ΄Π΅ΡΠΆΠ°ΡΠ΅ΠΉΡΡ Π² ΠΎΠ±ΡΠ΅ΠΌΠ΅ (ΠΈΠ½ΡΠ΅Π³ΡΠ°Π» ΠΎΠ±ΡΠ΅ΠΌΠ° ).
ΠΠ²Π°ΡΡΠΈΡ
ΠΠ΄ΠΈΠ½ΠΈΡΠ° ΠΈΠ·ΠΌΠ΅ΡΠ΅Π½ΠΈΡ Π² ΡΠΈΡΡΠ΅ΠΌΠ΅ Π‘Π – Π΄ΠΆΠΎΡΠ»Ρ .
[J = Π Β· ΠΌ = ΠΊΠ³ Β· ΠΌ 2 / Ρ 2 ]
Π Π°Π±ΠΎΡΠ° ΠΈ ΡΠ½Π΅ΡΠ³ΠΈΡ ΠΌΠΎΠ³ΡΡ Π±ΡΡΡ Π²ΡΡΠ°ΠΆΠ΅Π½Ρ Π² ΠΎΠ΄Π½ΠΈΡ ΠΈ ΡΠ΅Ρ ΠΆΠ΅ Π΅Π΄ΠΈΠ½ΠΈΡΠ°Ρ . Π ΡΠΎΠΆΠ°Π»Π΅Π½ΠΈΡ, ΠΏΠΎΠΌΠΈΠΌΠΎ Π΄ΠΆΠΎΡΠ»Ρ Π΅ΡΡΡ ΠΌΠ½ΠΎΠ³ΠΎ Π΅Π΄ΠΈΠ½ΠΈΡ Π΄Π»Ρ ΡΠ½Π΅ΡΠ³ΠΈΠΈ. (ΠΡΠΎ ΠΎΠ±ΡΡΠΆΠ΄Π°Π΅ΡΡΡ Π² Π΄ΡΡΠ³ΠΎΠΌ ΡΠ°Π·Π΄Π΅Π»Π΅ ΡΡΠΎΠΉ ΠΊΠ½ΠΈΠ³ΠΈ.) ΠΠ°ΠΈΠ±ΠΎΠ»Π΅Π΅ ΡΠ°ΡΡΠΎ Π²ΡΡΡΠ΅ΡΠ°ΡΡΠΈΠ΅ΡΡ Π² Π‘Π¨Π Π² Π½Π°ΡΠ°Π»Π΅ 21 Π²Π΅ΠΊΠ°, Π²Π΅ΡΠΎΡΡΠ½ΠΎ, ΠΊΠ°Π»ΠΎΡΠΈΠΈ (Π΄ΠΈΠ΅ΡΠ° ΠΈ ΠΏΠΈΡΠ°Π½ΠΈΠ΅), Π±ΡΠΈΡΠ°Π½ΡΠΊΠΈΠ΅ ΡΠ΅ΠΏΠ»ΠΎΠ²ΡΠ΅ Π΅Π΄ΠΈΠ½ΠΈΡΡ (ΠΎΡΠΎΠΏΠ»Π΅Π½ΠΈΠ΅ ΠΈ ΠΎΡ Π»Π°ΠΆΠ΄Π΅Π½ΠΈΠ΅), ΠΊΠΈΠ»ΠΎΠ²Π°ΡΡ-ΡΠ°Ρ (ΡΡΠ΅ΡΠ° Π·Π° ΡΠ»Π΅ΠΊΡΡΠΈΡΠ΅ΡΡΠ²ΠΎ), ΡΠ΅ΠΏΠ»ΠΎΠ²ΡΠ΅ ( ΡΡΠ΅ΡΠ° Π·Π° ΠΏΡΠΈΡΠΎΠ΄Π½ΡΠΉ Π³Π°Π·), ΠΊΠ²Π°Π΄ΡΠΎΡΠΈΠΊΠ» (ΠΌΠ°ΠΊΡΠΎΡΠΊΠΎΠ½ΠΎΠΌΠΈΠΊΠ°), ΡΠΎΠ½Π½Π° ΡΡΠΎΡΠΈΠ»Π° (ΡΠ΄Π΅ΡΠ½ΠΎΠ΅ ΠΎΡΡΠΆΠΈΠ΅), ΡΡΠ³ (ΡΡΠ΅Π½ΡΠ΅ ΡΡΠ°ΡΡΠ΅Π³ΠΎ Π²ΠΎΠ·ΡΠ°ΡΡΠ°) ΠΈ ΡΡΡ-ΡΡΠ½Ρ (ΠΈΠ½ΠΆΠ΅Π½Π΅ΡΡ ΡΡΠ°ΡΡΠ΅Π³ΠΎ Π²ΠΎΠ·ΡΠ°ΡΡΠ°).ΠΠ΅ΡΠ²ΡΠ΅ Π΄Π²Π° Π² ΡΡΠΎΠΌ ΡΠΏΠΈΡΠΊΠ΅, ΠΊΠ°Π»ΠΎΡΠΈΡ ΠΈ Π±ΡΠΈΡΠ°Π½ΡΠΊΠ°Ρ ΡΠ΅ΠΏΠ»ΠΎΠ²Π°Ρ Π΅Π΄ΠΈΠ½ΠΈΡΠ°, Π±ΡΠ»ΠΈ Π²ΠΏΠ΅ΡΠ²ΡΠ΅ Π²Π²Π΅Π΄Π΅Π½Ρ ΡΡΠ΅Π½ΡΠΌΠΈ 19 Π²Π΅ΠΊΠ°, ΠΈΠ·ΡΡΠ°ΡΡΠΈΠΌΠΈ ΠΊΠ°Π»ΠΎΡΠΈΠΌΠ΅ΡΡΠΈΡ. (Π€ΡΠ°Π½ΡΡΠ·Ρ Π΄Π°Π»ΠΈ Π½Π°ΠΌ ΠΊΠ°Π»ΠΎΡΠΈΡ, Π° Π°Π½Π³Π»ΠΈΡΠ°Π½Π΅ Π΄Π°Π»ΠΈ Π±ΡΠΈΡΠ°Π½ΡΠΊΠΈΠ΅ ΡΠ΅ΠΏΠ»ΠΎΠ²ΡΠ΅ Π΅Π΄ΠΈΠ½ΠΈΡΡ ΠΈΠ»ΠΈ Π±ΡΠΈΡΠ°Π½ΡΠΊΠΈΠ΅ ΡΠ΅ΠΏΠ»ΠΎΠ²ΡΠ΅ Π΅Π΄ΠΈΠ½ΠΈΡΡ.) ΠΠΎΡΠ»Π΅Π΄Π½ΠΈΠΉ Π² ΡΠΏΠΈΡΠΊΠ΅ ΡΡΠ½Ρ-ΡΡΡ Π±ΡΠ» Π²Π²Π΅Π΄Π΅Π½ ΡΡΠ΅Π½ΡΠΌΠΈ 19 Π²Π΅ΠΊΠ°, ΠΈΠ·ΡΡΠ°ΡΡΠΈΠΌΠΈ ΠΌΠ΅Ρ Π°Π½ΠΈΠΊΡ. Π XIX Π²Π΅ΠΊΠ΅ ΠΊΠ°Π»ΠΎΡΠΈΠΌΠ΅ΡΡΠΈΡ ΠΈ ΠΌΠ΅Ρ Π°Π½ΠΈΠΊΠ° Π±ΡΠ»ΠΈ ΠΎΡΠ΄Π΅Π»ΡΠ½ΡΠΌΠΈ Π΄ΠΈΡΡΠΈΠΏΠ»ΠΈΠ½Π°ΠΌΠΈ. ΠΠ°Π»ΠΎΡΠΈΠΌΠ΅ΡΡΠΈΡ – ΡΡΠΎ ΠΈΡΡΠ»Π΅Π΄ΠΎΠ²Π°Π½ΠΈΠ΅ ΡΠ΅ΠΏΠ»Π°. ΠΠ΅Ρ Π°Π½ΠΈΠΊΠ° – ΡΡΠΎ ΠΈΠ·ΡΡΠ΅Π½ΠΈΠ΅ Π΄Π²ΠΈΠΆΠ΅Π½ΠΈΡ ΠΈ ΡΠΈΠ». ΠΠ±ΡΠ°Π·ΠΎΠ²Π°Π½Π½ΡΠΉ Π΄ΠΆΠ΅Π½ΡΠ»ΡΠΌΠ΅Π½ (Π° Π² ΡΠΎ Π²ΡΠ΅ΠΌΡ ΠΎΠ½ΠΈ ΠΎΠ±ΡΡΠ½ΠΎ Π±ΡΠ»ΠΈ ΠΌΡΠΆΡΠΈΠ½Π°ΠΌΠΈ) ΠΌΠΎΠ³ ΠΈΠ·ΡΡΠ°ΡΡ ΠΈ ΡΠΎ, ΠΈ Π΄ΡΡΠ³ΠΎΠ΅, Π½ΠΎ ΠΎΠ½, Π²Π΅ΡΠΎΡΡΠ½ΠΎ, Π½Π΅ ΡΠ²ΡΠ·ΡΠ²Π°Π» ΠΈΡ ΡΠΊΠΎΠ»ΡΠΊΠΎ-Π½ΠΈΠ±ΡΠ΄Ρ Π·Π½Π°ΡΠΈΡΠ΅Π»ΡΠ½ΡΠΌ ΠΎΠ±ΡΠ°Π·ΠΎΠΌ.Π’ΠΎ Π΅ΡΡΡ, Π΅ΡΠ»ΠΈ ΡΠΎΠ»ΡΠΊΠΎ Π΅Π³ΠΎ Π½Π΅ Π·Π²Π°Π»ΠΈ ΠΠΆΠΎΡΠ»Ρ.
ΠΠΆΠ΅ΠΉΠΌΡ ΠΠΆΠΎΡΠ»Ρ (1818β1889) Π±ΡΠ» Π±ΠΎΠ³Π°ΡΡΠΌ Π°Π½Π³Π»ΠΈΠΉΡΠΊΠΈΠΌ ΠΏΠΈΠ²ΠΎΠ²Π°ΡΠΎΠΌ, Π·Π°Π½ΠΈΠΌΠ°Π²ΡΠΈΠΌΡΡ ΡΠ°Π·Π»ΠΈΡΠ½ΡΠΌΠΈ Π°ΡΠΏΠ΅ΠΊΡΠ°ΠΌΠΈ Π½Π°ΡΠΊΠΈ ΠΈ ΡΠΊΠΎΠ½ΠΎΠΌΠΈΠΊΠΈ. ΠΠ½ΠΎΠ³Π΄Π° ΡΡΠΈ ΡΡΠΈΠ»ΠΈΡ ΡΠΎΠ²ΠΏΠ°Π΄Π°Π»ΠΈ. ΠΠ½ ΠΈΠ·ΠΎΠ±ΡΠ΅Π» ΡΡΡ-ΡΡΠ½Ρ ΠΊΠ°ΠΊ Π΅Π΄ΠΈΠ½ΠΈΡΡ ΡΠ°Π±ΠΎΡΡ: ΡΡΡ ΡΠ²Π»ΡΠ΅ΡΡΡ Π΅Π΄ΠΈΠ½ΠΈΡΠ΅ΠΉ ΠΏΠ΅ΡΠ΅ΠΌΠ΅ΡΠ΅Π½ΠΈΡ, Π° ΡΡΠ½Ρ – Π΅Π΄ΠΈΠ½ΠΈΡΠ΅ΠΉ ΡΠΈΠ»Ρ. ΠΡΠΎ ΠΏΠΎΠ·Π²ΠΎΠ»ΠΈΠ»ΠΎ Π΅ΠΌΡ ΠΊΠΎΠ»ΠΈΡΠ΅ΡΡΠ²Π΅Π½Π½ΠΎ ΡΡΠ°Π²Π½ΠΈΡΡ Β«ΡΠΊΠΎΠ½ΠΎΠΌΠΈΡΠ½ΠΎΡΡΡΒ» ΡΠ°Π·Π»ΠΈΡΠ½ΡΡ ΠΌΠ΅Ρ Π°Π½ΠΈΡΠ΅ΡΠΊΠΈΡ ΡΠΈΡΡΠ΅ΠΌ. Π ΡΠΎ Π²ΡΠ΅ΠΌΡ ΠΏΠ°ΡΠΎΠ²ΡΠ΅ Π΄Π²ΠΈΠ³Π°ΡΠ΅Π»ΠΈ, ΡΠ°Π±ΠΎΡΠ°ΡΡΠΈΠ΅ Π½Π° ΡΠ³Π»Π΅, Π±ΡΠ»ΠΈ ΠΎΡΠ½ΠΎΠ²Π½ΡΠΌ ΠΈΡΡΠΎΡΠ½ΠΈΠΊΠΎΠΌ ΠΏΡΠΎΠΌΡΡΠ»Π΅Π½Π½ΠΎΠΉ ΠΌΠΎΡΠΈ, Π½ΠΎ ΡΠΎΠ³Π΄Π° Π½Π° Π³ΠΎΡΠΈΠ·ΠΎΠ½ΡΠ΅ Π²ΡΡΠΎΠΊΠΈΡ ΡΠ΅Ρ Π½ΠΎΠ»ΠΎΠ³ΠΈΠΉ ΠΏΠΎΡΠ²ΠΈΠ»Π°ΡΡ ΡΠ»Π΅ΠΊΡΡΠΎΡΠ½Π΅ΡΠ³ΠΈΡ.ΠΠΆΠΎΡΠ»Ρ ΠΏΠΎΠ½ΡΠ», ΡΡΠΎ ΠΌΠ΅Ρ Π°Π½ΠΈΡΠ΅ΡΠΊΠ°Ρ ΡΠ°Π±ΠΎΡΠ°, ΡΠ΅ΠΏΠ»ΠΎ ΠΈ ΡΠ»Π΅ΠΊΡΡΠΈΡΠ΅ΡΠΊΠ°Ρ ΡΠ½Π΅ΡΠ³ΠΈΡ ΠΊΠ°ΠΊΠΈΠΌ-ΡΠΎ ΠΎΠ±ΡΠ°Π·ΠΎΠΌ Π²Π·Π°ΠΈΠΌΠΎΠ·Π°ΠΌΠ΅Π½ΡΠ΅ΠΌΡ. Π’Π΅ΠΏΠ»ΠΎ ΠΌΠΎΠΆΠ΅Ρ ΡΠ°Π±ΠΎΡΠ°ΡΡ. Π Π°Π±ΠΎΡΠ° ΠΌΠΎΠΆΠ΅Ρ Π²ΡΠ·Π²Π°ΡΡ ΡΠ΅ΠΏΠ»ΠΎ. Π Π°Π±ΠΎΡΠ° ΠΌΠΎΠΆΠ΅Ρ ΠΏΡΠΎΠΈΠ·Π²ΠΎΠ΄ΠΈΡΡ ΡΠ»Π΅ΠΊΡΡΠΈΡΠ΅ΡΡΠ²ΠΎ, ΠΠ»Π΅ΠΊΡΡΠΈΡΠ΅ΡΡΠ²ΠΎ ΠΌΠΎΠΆΠ΅Ρ ΠΏΡΠΎΠΈΠ·Π²ΠΎΠ΄ΠΈΡΡ ΡΠ°Π±ΠΎΡΡ, ΠΠ»Π΅ΠΊΡΡΠΈΡΠ΅ΡΡΠ²ΠΎ ΠΌΠΎΠΆΠ΅Ρ ΠΏΡΠΎΠΈΠ·Π²ΠΎΠ΄ΠΈΡΡ ΡΠ΅ΠΏΠ»ΠΎ. Π’Π΅ΠΏΠ»ΠΎ ΠΌΠΎΠΆΠ΅Ρ ΠΏΡΠΎΠΈΠ·Π²ΠΎΠ΄ΠΈΡΡ ΡΠ»Π΅ΠΊΡΡΠΈΡΠ΅ΡΡΠ²ΠΎ. ΠΠ½Π΅ΡΠ³ΠΈΡ – Π°ΠΊΡΠ΅Ρ ΡΠ°Π·Π½ΠΎΡΡΠΎΡΠΎΠ½Π½ΠΈΠΉ.
Π‘Π°ΠΌΡΠΉ ΠΈΠ·Π²Π΅ΡΡΠ½ΡΠΉ ΡΠΊΡΠΏΠ΅ΡΠΈΠΌΠ΅Π½ΡΠΠΆΠΎΡΠ»Ρ – ΡΡΠΎ, Π²Π΅ΡΠΎΡΡΠ½ΠΎ, ΠΎΠΏΡΠ΅Π΄Π΅Π»Π΅Π½ΠΈΠ΅ ΠΌΠ΅Ρ Π°Π½ΠΈΡΠ΅ΡΠΊΠΎΠ³ΠΎ ΡΠΊΠ²ΠΈΠ²Π°Π»Π΅Π½ΡΠ° ΡΠ΅ΠΏΠ»Π° (Ρ Π½Π°Π΄Π΅ΡΡΡ, ΡΡΠΎ ΠΎΠ½ Π±ΡΠ΄Π΅Ρ ΠΎΠ±ΡΡΠΆΠ΄Π°ΡΡΡΡ Π±ΠΎΠ»Π΅Π΅ ΠΏΠΎΠ΄ΡΠΎΠ±Π½ΠΎ Π² Π΄ΡΡΠ³ΠΎΠΌ ΠΌΠ΅ΡΡΠ΅ ΡΡΠΎΠΉ ΠΊΠ½ΠΈΠ³ΠΈ). Π’Π΅ΠΏΠ»ΠΎΡΠ° ΠΈΠ·ΠΌΠ΅ΡΡΠ»Π°ΡΡ Π² Π±ΡΠΈΡΠ°Π½ΡΠΊΠΈΡ ΡΠ΅ΠΏΠ»ΠΎΠ²ΡΡ Π΅Π΄ΠΈΠ½ΠΈΡΠ°Ρ (ΠΏΠΎ ΠΊΡΠ°ΠΉΠ½Π΅ΠΉ ΠΌΠ΅ΡΠ΅, Π±ΡΠΈΡΠ°Π½ΡΠ°ΠΌΠΈ), Π° ΡΠ°Π±ΠΎΡΠ° – Π² ΡΡΡ-ΡΡΠ½ΡΠ°Ρ (ΡΡΠΎ ΠΈΠ·ΠΎΠ±ΡΠ΅Π» ΠΠΆΠΎΡΠ»Ρ).ΠΠΆΠΎΡΠ»Ρ ΡΡΡΠ°Π½ΠΎΠ²ΠΈΠ», ΡΡΠΎ ΠΎΠ΄Π½Π° Π±ΡΠΈΡΠ°Π½ΡΠΊΠ°Ρ ΡΠ΅ΠΏΠ»ΠΎΠ²Π°Ρ Π΅Π΄ΠΈΠ½ΠΈΡΠ° ΡΠ΅ΠΏΠ»Π° ΡΠΊΠ²ΠΈΠ²Π°Π»Π΅Π½ΡΠ½Π° ΠΏΡΠΈΠΌΠ΅ΡΠ½ΠΎ 770 ΡΡΡ-ΡΡΠ½ΡΠ°ΠΌ ΠΌΠ΅Ρ Π°Π½ΠΈΡΠ΅ΡΠΊΠΎΠΉ ΡΠ°Π±ΠΎΡΡ – ΠΎΡΠ΅Π½Ρ Π±Π»ΠΈΠ·ΠΊΠΎ ΠΊ ΡΠ΅Π³ΠΎΠ΄Π½ΡΡΠ½Π΅ΠΌΡ Π·Π½Π°ΡΠ΅Π½ΠΈΡ 778 ΡΡΡ-ΡΡΠ½Ρ / Π±ΡΠΈΡΠ°Π½ΡΠΊΠΈΡ ΡΠ΅ΠΏΠ»ΠΎΠ²ΡΡ Π΅Π΄ΠΈΠ½ΠΈΡ. ΠΡΠΎΡ ΡΠ΅Π·ΡΠ»ΡΡΠ°Ρ Π±ΡΠ» Π²Π°ΠΆΠ΅Π½ Π΄Π»Ρ ΠΎΡΠΎΠ·Π½Π°Π½ΠΈΡ ΡΠΎΠ³ΠΎ, ΡΡΠΎ, Π½Π΅ΡΠΌΠΎΡΡΡ Π½Π° ΡΠΎ, ΡΡΠΎ ΠΎΠ½Π° ΠΏΡΠΎΡΠ²Π»ΡΠ΅ΡΡΡ Π²ΠΎ ΠΌΠ½ΠΎΠΆΠ΅ΡΡΠ²Π΅ ΡΠΎΡΠΌ, ΡΠ½Π΅ΡΠ³ΠΈΡ – ΡΡΠΎ ΠΎΠ΄Π½ΠΎ.
ΠΠ΅ΠΆΠ΄ΡΠ½Π°ΡΠΎΠ΄Π½Π°Ρ ΡΠΈΡΡΠ΅ΠΌΠ° Π΅Π΄ΠΈΠ½ΠΈΡ, ΠΊΠΎΡΠΎΡΠ°Ρ Π½Π°ΡΠ°Π»Π° Π΄ΠΎΠΌΠΈΠ½ΠΈΡΠΎΠ²Π°ΡΡ Π² Π½Π°ΡΡΠ½ΠΎΠΌ ΠΌΠΈΡΠ΅ Π² ΡΠ΅ΡΠ΅Π΄ΠΈΠ½Π΅ 20 Π²Π΅ΠΊΠ°, ΠΈΠΌΠ΅Π»Π° ΡΡΠ°Π½ΡΡΠ·ΡΠΊΠΎΠ΅ ΠΏΡΠΎΠΈΡΡ ΠΎΠΆΠ΄Π΅Π½ΠΈΠ΅. Π€ΡΡΠ°ΠΌ-ΡΡΠ½ΡΠ°ΠΌ ΠΈ Π±ΡΠΈΡΠ°Π½ΡΠΊΠΈΠΌ ΡΠ΅ΠΏΠ»ΠΎΠ²ΡΠΌ Π΅Π΄ΠΈΠ½ΠΈΡΠ°ΠΌ Π½Π΅ ΠΌΠ΅ΡΡΠΎ Π² ΡΡΠΎΠΉ Π³ΠΎΡΠ°Π·Π΄ΠΎ Π±ΠΎΠ»Π΅Π΅ Π»ΠΎΠ³ΠΈΡΠ½ΠΎΠΉ ΡΠΈΡΡΠ΅ΠΌΠ΅.12 Π΄ΡΠΉΠΌΠΎΠ² Π² ΡΡΡΠ΅. 16 ΡΠ½ΡΠΈΠΉ Π² ΡΡΠ½ΡΠ΅. 128 ΡΠ½ΡΠΈΠΉ Π² Π³Π°Π»Π»ΠΎΠ½Π΅ Π² Π‘Π¨Π ΠΈ Π½Π΅ΠΈΠ·Π²Π΅ΡΡΠ½ΠΎ ΡΠΊΠΎΠ»ΡΠΊΠΎ Π² ΠΠ΅Π»ΠΈΠΊΠΎΠ±ΡΠΈΡΠ°Π½ΠΈΠΈ. ΠΠ°ΡΠ΅ΠΌΠ°ΡΠΈΠΊΠ° Π±ΡΠ»Π° ΡΠ»ΠΈΡΠΊΠΎΠΌ ΡΠ»ΠΎΠΆΠ½ΠΎΠΉ. Parlez-vous les unitΓ©s mΓ©triques ? Π‘Π Π±ΡΠ» ΡΡΠ°Π½ΡΡΠ·ΡΠΊΠΈΠΌ ΠΏΠΎ ΠΏΡΠΎΠΈΡΡ ΠΎΠΆΠ΄Π΅Π½ΠΈΡ, Π½ΠΎ ΠΌΠ΅ΠΆΠ΄ΡΠ½Π°ΡΠΎΠ΄Π½ΡΠΌ ΠΏΠΎ ΡΠ²ΠΎΠ΅ΠΌΡ Ρ Π°ΡΠ°ΠΊΡΠ΅ΡΡ. ΠΠΎΠ³Π΄Π° ΠΏΡΠΎΠ·Π²ΡΡΠ°Π» ΠΏΡΠΈΠ·ΡΠ² Π½Π°Π·Π²Π°ΡΡ Π΅Π΄ΠΈΠ½ΠΈΡΡ ΡΠ½Π΅ΡΠ³ΠΈΠΈ, ΠΎΡΠ²Π΅Ρ Π±ΡΠ» Π³ΡΠΎΠΌΠΊΠΈΠΌ: ΠΠΆΠΎΡΠ»Ρ! ΠΡΠΏΡΡΠ΅Π½ΠΈΠ΅ Π³ΡΠ΅Ρ ΠΎΠ²!
ΠΠ΅ΠΊΠΎΡΠΎΡΡΠ΅ ΠΏΡΠΈΠΌΠ΅ΡΠ°Π½ΠΈΡ ΠΊ Π°Π³ΡΠ΅Π³Π°ΡΠ°ΠΌ.
- ΠΠΆΠΎΡΠ»Ρ ΡΠΊΠ²ΠΈΠ²Π°Π»Π΅Π½ΡΠ΅Π½ Π½ΡΡΡΠΎΠ½-ΠΌΠ΅ΡΡΡ , Π½ΠΎ ΠΎΠ½ Π½ΠΈΠΊΠΎΠ³Π΄Π° Π½Π΅ Π΄ΠΎΠ»ΠΆΠ΅Π½ Π½Π°Π·ΡΠ²Π°ΡΡΡΡ ΡΠ°ΠΊΠΎΠ²ΡΠΌ.ΠΡΠ° Π΅Π΄ΠΈΠ½ΠΈΡΠ° Π·Π°ΡΠ΅Π·Π΅ΡΠ²ΠΈΡΠΎΠ²Π°Π½Π° Π΄Π»Ρ ΠΊΡΡΡΡΡΠ΅Π³ΠΎ ΠΌΠΎΠΌΠ΅Π½ΡΠ°. ΠΡΡΡΡΡΠΈΠΉ ΠΌΠΎΠΌΠ΅Π½Ρ ΡΠ°ΠΊΠΆΠ΅ ΡΠ²Π»ΡΠ΅ΡΡΡ ΠΏΡΠΎΠΈΠ·Π²Π΅Π΄Π΅Π½ΠΈΠ΅ΠΌ ΡΠΈΠ»Ρ-ΡΠΌΠ΅ΡΠ΅Π½ΠΈΡ, Π½ΠΎ Π΄ΡΡΠ³ΠΎΠ³ΠΎ Π²ΠΈΠ΄Π°. ΠΡΡΡΡΡΠΈΠΉ ΠΌΠΎΠΌΠ΅Π½Ρ ΠΌΠ°ΠΊΡΠΈΠΌΠΈΠ·ΠΈΡΡΠ΅ΡΡΡ, ΠΊΠΎΠ³Π΄Π° ΡΠΈΠ»Π° ΠΈ ΡΠΌΠ΅ΡΠ΅Π½ΠΈΠ΅ ΠΏΠ΅ΡΠΏΠ΅Π½Π΄ΠΈΠΊΡΠ»ΡΡΠ½Ρ, ΡΡΠΎ ΠΎΠ·Π½Π°ΡΠ°Π΅Ρ, ΡΡΠΎ ΠΎΠ½ ΠΈΡΠΏΠΎΠ»ΡΠ·ΡΠ΅Ρ ΡΠΈΠ½ΡΡ Π²ΠΌΠ΅ΡΡΠΎ ΠΊΠΎΡΠΈΠ½ΡΡΠ° Π΄Π»Ρ ΡΠΎΠ³Π»Π°ΡΠΎΠ²Π°Π½ΠΈΡ Π½Π°ΠΏΡΠ°Π²Π»Π΅Π½ΠΈΡ (ΠΈΠ»ΠΈ Π΄Π»Ρ Π±ΠΎΠ»Π΅Π΅ ΠΏΡΠΎΠ΄Π²ΠΈΠ½ΡΡΡΡ ΡΠΈΡΠ°ΡΠ΅Π»Π΅ΠΉ ΠΎΠ½ ΠΈΡΠΏΠΎΠ»ΡΠ·ΡΠ΅Ρ ΠΏΠ΅ΡΠ΅ΠΊΡΠ΅ΡΡΠ½ΠΎΠ΅ ΠΏΡΠΎΠΈΠ·Π²Π΅Π΄Π΅Π½ΠΈΠ΅ Π²ΠΌΠ΅ΡΡΠΎ ΡΠΊΠ°Π»ΡΡΠ½ΠΎΠ³ΠΎ ΠΏΡΠΎΠΈΠ·Π²Π΅Π΄Π΅Π½ΠΈΡ). ΠΡΡΡΡΡΠΈΠΉ ΠΌΠΎΠΌΠ΅Π½Ρ Π½Π΅ ΠΈΠ·ΠΌΠ΅ΡΡΠ΅ΡΡΡ Π² Π΄ΠΆΠΎΡΠ»ΡΡ , ΠΈ ΡΠ°Π±ΠΎΡΡ Π½ΠΈΠΊΠΎΠ³Π΄Π° Π½Π΅ ΡΠ»Π΅Π΄ΡΠ΅Ρ ΠΈΠ·ΠΌΠ΅ΡΡΡΡ Π² Π½ΡΡΡΠΎΠ½-ΠΌΠ΅ΡΡΠ°Ρ .
- ΠΠ°ΡΡΡΠΎΠ²ΡΠΊΠ°Ρ Π΅Π΄ΠΈΠ½ΠΈΡΠ° ΡΠ°Π±ΠΎΡΡ – ΡΡΠ³ [ΡΡΠ³ = Π΄ΠΈΠ½ ΡΠΌ = Π³ ΡΠΌ 2 / Ρ 2 ].10 000 000 ΡΡΠ³ = 1 Π΄ΠΆΠΎΡΠ»Ρ. Π‘Π»ΠΎΠ²ΠΎ ΡΡΠ³ ΠΏΡΠΎΠΈΡΡ ΠΎΠ΄ΠΈΡ ΠΎΡ ΠΊΠ»Π°ΡΡΠΈΡΠ΅ΡΠΊΠΎΠ³ΠΎ Π³ΡΠ΅ΡΠ΅ΡΠΊΠΎΠ³ΠΎ ΡΠ»ΠΎΠ²Π°, ΠΎΠ±ΠΎΠ·Π½Π°ΡΠ°ΡΡΠ΅Π³ΠΎ ΡΠ°Π±ΠΎΡΡ: Ξ΅ΟΞ³ΞΏΞ½ ( ergon ). ERG ΡΠ°ΠΊΠΆΠ΅ Π±ΡΠ»ΠΎ Π½Π°Π·Π²Π°Π½ΠΈΠ΅ΠΌ ΡΠΏΠΎΡΡΠΈΠ²Π½ΠΎΠ³ΠΎ Π½Π°ΠΏΠΈΡΠΊΠ°, ΠΏΠΎΡΠ²ΠΈΠ²ΡΠ΅Π³ΠΎΡΡ Π² Π‘Π¨Π Π² ΠΊΠΎΠ½ΡΠ΅ 1960-Ρ ΠΈΠ»ΠΈ Π½Π°ΡΠ°Π»Π΅ 1970-Ρ Π³ΠΎΠ΄ΠΎΠ². ERG ΡΠ°ΡΡΠΈΡΡΠΎΠ²ΡΠ²Π°Π»ΠΎΡΡ ΠΊΠ°ΠΊ Β«Π·Π°ΠΌΠ΅Π½Π° ΡΠ»Π΅ΠΊΡΡΠΎΠ»ΠΈΡΠ° Π³Π»ΡΠΊΠΎΠ·ΠΎΠΉΒ».
- ΠΠ½Π³Π»ΠΎ-Π°ΠΌΠ΅ΡΠΈΠΊΠ°Π½ΡΠΊΠ°Ρ Π΅Π΄ΠΈΠ½ΠΈΡΠ° ΡΠ°Π±ΠΎΡΡ – ΡΡΡ-ΡΡΠ½Ρ (ΠΊΠΎΠ³Π΄Π° ΡΡΠ½Ρ ΡΠ²Π»ΡΠ΅ΡΡΡ Π΅Π΄ΠΈΠ½ΠΈΡΠ΅ΠΉ ΡΠΈΠ»Ρ) ΠΈΠ»ΠΈ ΡΡΡ-ΡΡΠ½ΡΠ°Π» (ΠΊΠΎΠ³Π΄Π° ΡΡΠ½Ρ ΡΠ²Π»ΡΠ΅ΡΡΡ Π΅Π΄ΠΈΠ½ΠΈΡΠ΅ΠΉ ΠΌΠ°ΡΡΡ). ΠΠ΅ΡΠ²ΠΎΠ΅ Π²ΡΡΡΠ΅ΡΠ°Π΅ΡΡΡ ΡΠ°ΡΠ΅, ΡΠ΅ΠΌ Π²ΡΠΎΡΠΎΠ΅. ΠΡΡΠ°Π½ΠΈΡΡ Ρ Π΅Π΄ΠΈΠ½ΠΈΡΠ°ΠΌΠΈ ΠΊΡΡΡΡΡΠ΅Π³ΠΎ ΠΌΠΎΠΌΠ΅Π½ΡΠ° ΠΌΠΎΠΆΠ½ΠΎ ΠΈΠ·Π±Π΅ΠΆΠ°ΡΡ, ΠΈΠ·ΠΌΠ΅Π½ΠΈΠ² ΠΏΠΎΡΡΠ΄ΠΎΠΊ.ΠΠ½Π³Π»ΠΎ-Π°ΠΌΠ΅ΡΠΈΠΊΠ°Π½ΡΠΊΠ°Ρ Π΅Π΄ΠΈΠ½ΠΈΡΠ° ΠΊΡΡΡΡΡΠ΅Π³ΠΎ ΠΌΠΎΠΌΠ΅Π½ΡΠ° – ΡΡΠ½Ρ-ΡΡΡ ΠΈΠ»ΠΈ ΡΡΠ½Ρ-ΡΡΡ Π² Π·Π°Π²ΠΈΡΠΈΠΌΠΎΡΡΠΈ ΠΎΡ Π²Π°ΡΠ΅Π³ΠΎ ΠΎΠΏΡΠ΅Π΄Π΅Π»Π΅Π½ΠΈΡ ΡΡΠ½ΡΠ°. Π ΡΠ½ΠΎΠ²Π° ΠΏΠ΅ΡΠ²ΠΎΠ΅ Π²ΡΡΡΠ΅ΡΠ°Π΅ΡΡΡ ΡΠ°ΡΠ΅, ΡΠ΅ΠΌ Π²ΡΠΎΡΠΎΠ΅. ΠΠΆΠ΅ΠΉΠΌΡ ΠΠΆΠΎΡΠ»Ρ ΠΈΠ·ΠΎΠ±ΡΠ΅Π» ΡΡΡ-ΡΡΠ½Ρ.
ΠΊΠΎΠ½ΡΠ΅ΡΠ²Π°ΡΠΈΠ²Π½ΡΠ΅ ΠΈ Π½Π΅ΠΊΠΎΠ½ΡΠ΅ΡΠ²Π°ΡΠΈΠ²Π½ΡΠ΅ ΡΠΈΠ»Ρ
ΡΠ΅ΠΊΡΡ
ΠΠΎΠ»ΠΎΠΆΠΈΡΠ΅Π»ΡΠ½Π°Ρ ΡΠ°Π±ΠΎΡΠ° Π²ΡΠΏΠΎΠ»Π½ΡΠ΅ΡΡΡ, ΠΊΠΎΠ³Π΄Π° ΡΡΠ΅Π±Π½ΠΈΠΊ ΠΏΠ΅ΡΠ΅ΠΌΠ΅ΡΠ°Π΅ΡΡΡ Π²ΠΏΡΠ°Π²ΠΎ ΠΏΠΎ ΠΏΠΎΠ²Π΅ΡΡ Π½ΠΎΡΡΠΈ ΡΡΠΎΠ»Π° ΡΡΠΎΠ²Π½Ρ Ρ ΠΏΠΎΡΡΠΎΡΠ½Π½ΠΎΠΉ ΡΠΊΠΎΡΠΎΡΡΡΡ. ΠΠΎΠ»ΠΎΠΆΠΈΡΠ΅Π»ΡΠ½Π°Ρ ΡΠ°Π±ΠΎΡΠ° ΡΠ°ΠΊΠΆΠ΅ Π²ΡΠΏΠΎΠ»Π½ΡΠ΅ΡΡΡ, ΠΊΠΎΠ³Π΄Π° ΡΡΠ΅Π±Π½ΠΈΠΊ ΠΏΠ΅ΡΠ΅ΠΌΠ΅ΡΠ°Π΅ΡΡΡ Π²Π»Π΅Π²ΠΎ ΠΏΠΎ ΠΏΠΎΠ²Π΅ΡΡ Π½ΠΎΡΡΠΈ ΡΡΠΎΠ»Π° ΡΡΠΎΠ²Π½Ρ Ρ ΠΏΠΎΡΡΠΎΡΠ½Π½ΠΎΠΉ ΡΠΊΠΎΡΠΎΡΡΡΡ.ΡΠ΅ΠΊΡΡ
ΠΠΎΠ»ΠΎΠΆΠΈΡΠ΅Π»ΡΠ½Π°Ρ ΡΠ°Π±ΠΎΡΠ° Π²ΡΠΏΠΎΠ»Π½ΡΠ΅ΡΡΡ Π½Π°Π΄ ΡΡΠ΅Π±Π½ΠΈΠΊΠΎΠΌ, ΠΊΠΎΠ³Π΄Π° ΠΎΠ½ ΠΏΠΎΠ΄Π½ΠΈΠΌΠ°Π΅ΡΡΡ Π²Π΅ΡΡΠΈΠΊΠ°Π»ΡΠ½ΠΎ Ρ ΠΏΠΎΡΡΠΎΡΠ½Π½ΠΎΠΉ ΡΠΊΠΎΡΠΎΡΡΡΡ. ΠΡΡΠΈΡΠ°ΡΠ΅Π»ΡΠ½Π°Ρ ΡΠ°Π±ΠΎΡΠ° Π²ΡΠΏΠΎΠ»Π½ΡΠ΅ΡΡΡ Π½Π°Π΄ ΡΡΠ΅Π±Π½ΠΈΠΊΠΎΠΌ, ΠΊΠΎΠ³Π΄Π° ΠΎΠ½ ΠΎΠΏΡΡΠΊΠ°Π΅ΡΡΡ Π²Π΅ΡΡΠΈΠΊΠ°Π»ΡΠ½ΠΎ Ρ ΠΏΠΎΡΡΠΎΡΠ½Π½ΠΎΠΉ ΡΠΊΠΎΡΠΎΡΡΡΡ.ΡΠ΅ΠΊΡΡ
ΡΠ΅ΠΎΡΠ΅ΠΌΠ° ΠΎΠ± ΡΠ½Π΅ΡΠ³ΠΈΠΈ ΡΠ°Π±ΠΎΡΡ
ΡΠ΅ΠΊΡΡ
W = β E
- ΡΠ°Π±ΠΎΡΠ° Π²ΡΠ·ΡΠ²Π°Π΅Ρ ΠΈΠ·ΠΌΠ΅Π½Π΅Π½ΠΈΠ΅ ΡΠ½Π΅ΡΠ³ΠΈΠΈ
- ΡΠ°Π±ΠΎΡΠ° ΠΏΠ΅ΡΠ΅Π²ΠΎΠ΄ΠΈΡ ΡΠ½Π΅ΡΠ³ΠΈΡ ΠΈΠ· ΠΎΠ΄Π½ΠΎΠΉ ΡΠΈΡΡΠ΅ΠΌΡ Π² Π΄ΡΡΠ³ΡΡ
Π£ΡΠ»ΠΎΠ²Π½ΡΠ΅ ΠΎΠ±ΠΎΠ·Π½Π°ΡΠ΅Π½ΠΈΡ:
- ΠΠΎΠ³Π΄Π° ΡΠΈΡΡΠ΅ΠΌΠ° ΡΠ°Π±ΠΎΡΠ°Π΅Ρ Π² ΡΠ²ΠΎΠ΅ΠΉ ΡΡΠ΅Π΄Π΅, W <0; ΡΠΎ Π΅ΡΡΡ ΠΏΠΎΠ»Π½Π°Ρ ΡΠ½Π΅ΡΠ³ΠΈΡ ΡΠΈΡΡΠ΅ΠΌΡ ΡΠΌΠ΅Π½ΡΡΠ°Π΅ΡΡΡ.Π Π°Π±ΠΎΡΠ° Π²ΡΠΏΠΎΠ»Π½ΡΠ΅ΡΡΡ ΠΏΠΎ ΡΠΈΡΡΠ΅ΠΌΠ΅.
- ΠΠΎΠ³Π΄Π° ΡΡΠ΅Π΄Π° ΡΠ°Π±ΠΎΡΠ°Π΅Ρ Π² ΡΠΈΡΡΠ΅ΠΌΠ΅, W > 0; ΡΠΎ Π΅ΡΡΡ ΠΏΠΎΠ»Π½Π°Ρ ΡΠ½Π΅ΡΠ³ΠΈΡ ΡΠΈΡΡΠ΅ΠΌΡ ΡΠ²Π΅Π»ΠΈΡΠΈΠ²Π°Π΅ΡΡΡ. Π Π°Π±ΠΎΡΠ° Π²Π΅Π΄Π΅ΡΡΡ ΠΏΠΎ ΡΠΈΡΡΠ΅ΠΌΠ΅ .
Π’ΠΎΠΌΠ°Ρ Π―Π½Π³ (1773β1829) Π±ΡΠ» ΠΏΠ΅ΡΠ²ΡΠΌ, ΠΊΡΠΎ ΠΈΡΠΏΠΎΠ»ΡΠ·ΠΎΠ²Π°Π» ΡΡΡ ΡΠΎΡΠΌΡΠ»Ρ. β ΠΡΠΎ ΠΏΡΠ°Π²Π΄Π°?
Π Π°Π±ΠΎΡΠ°
Π‘ΠΈΠ»Π° Π±Π΅Π· Π΄Π²ΠΈΠΆΠ΅Π½ΠΈΡ ΠΈΠ»ΠΈ ΡΠΈΠ»Π°, ΠΏΠ΅ΡΠΏΠ΅Π½Π΄ΠΈΠΊΡΠ»ΡΡΠ½Π°Ρ Π΄Π²ΠΈΠΆΠ΅Π½ΠΈΡ, Π½Π΅ ΡΠ°Π±ΠΎΡΠ°Π΅Ρ
ΠΡΠΈ Π΄Π²Π° ΠΏΡΠΈΠΌΠ΅ΡΠ° ΡΠΈΠ», ΠΊΠΎΡΠΎΡΡΠ΅ Π½Π΅ ΡΠ°Π±ΠΎΡΠ°ΡΡ, ΠΏΠ°ΡΠ°Π΄ΠΎΠΊΡΠ°Π»ΡΠ½Ρ.ΠΡ ΠΎΠΏΡΠ΅Π΄Π΅Π»Π΅Π½Π½ΠΎ ΠΌΠΎΠΆΠ΅ΡΠ΅ ΠΏΠΎΡΡΠ²ΡΡΠ²ΠΎΠ²Π°ΡΡ ΡΡΡΠ°Π»ΠΎΡΡΡ, Π²ΡΠΏΠΎΠ»Π½ΡΡ Π»ΡΠ±ΠΎΠ΅ ΠΈΠ· ΡΡΠΈΡ Π΄Π΅ΠΉΡΡΠ²ΠΈΠΉ, ΡΠ°ΠΊ ΠΊΠ°ΠΊ ΠΆΠ΅ Π²Ρ ΠΌΠΎΠΆΠ΅ΡΠ΅ ΡΠΊΠ°Π·Π°ΡΡ, ΡΡΠΎ ΡΠ°Π±ΠΎΡΠ° Π½Π΅ Π²ΡΠΏΠΎΠ»Π½ΡΠ΅ΡΡΡ?
Π ΡΠ»ΡΡΠ°Π΅, ΠΏΠΎΠΊΠ°Π·Π°Π½Π½ΠΎΠΌ ΡΠ»Π΅Π²Π°, Π½Π΅Π·Π°Π²ΠΈΡΠΈΠΌΠΎ ΠΎΡ ΡΠΎΠ³ΠΎ, Π½Π°ΡΠΊΠΎΠ»ΡΠΊΠΎ ΡΠΈΠ»ΡΠ½ΠΎ ΠΈ ΠΊΠ°ΠΊ Π΄ΠΎΠ»Π³ΠΎ Π²Ρ ΡΠΎΠ»ΠΊΠ°Π»ΠΈ ΡΡΠΈΠΊ, Π΅ΡΠ»ΠΈ ΡΡΠΈΠΊ Π½Π΅ Π΄Π²ΠΈΠ³Π°Π΅ΡΡΡ, Π·Π½Π°ΡΠΈΡ, Π²Ρ Π½Π΅ ΡΠ°Π±ΠΎΡΠ°Π»ΠΈ Ρ ΡΡΠΈΠΊΠΎΠΌ. ΠΠ½ ΡΠΈΠ΄ΠΈΡ Π½Π° ΡΠΎΠΌ ΠΆΠ΅ ΠΌΠ΅ΡΡΠ΅! ΠΠΎΡΠ΅ΠΌΡ ΡΠΎΠ³Π΄Π° Π²Ρ ΡΡΠ²ΡΡΠ²ΡΠ΅ΡΠ΅ ΡΡΡΠ°Π»ΠΎΡΡΡ (Π° ΡΠ°ΠΊΠΆΠ΅ ΡΠ°Π·ΠΎΡΠ°ΡΠΎΠ²Π°Π½ΠΈΠ΅ ΠΈ Ρ. Π.). Π Π΅ΡΠ΅Π½ΠΈΠ΅ ΡΡΠΎΠΉ Π΄ΠΈΠ»Π΅ΠΌΠΌΡ ΠΏΡΠΈΡ ΠΎΠ΄ΠΈΡ Π² ΡΠΎΠΌ ΡΠ»ΡΡΠ°Π΅, Π΅ΡΠ»ΠΈ ΡΡΠ΅ΡΡΡ, ΡΡΠΎ, ΠΊΠΎΠ³Π΄Π° Π²Π°ΡΠΈ ΠΌΡΡΡΡ ΠΈΡΠΏΠΎΠ»ΡΠ·ΡΡΡΡΡ Π΄Π»Ρ ΠΏΡΠΈΠ»ΠΎΠΆΠ΅Π½ΠΈΡ ΡΠΈΠ»Ρ ΠΊ ΡΠ΅ΠΌΡ-Π»ΠΈΠ±ΠΎ, ΠΎΡΠ΄Π΅Π»ΡΠ½ΡΠ΅ ΠΌΡΡΠ΅ΡΠ½ΡΠ΅ Π²ΠΎΠ»ΠΎΠΊΠ½Π° Π½Π°Ρ ΠΎΠ΄ΡΡΡΡ Π² Π½Π΅ΠΏΡΠ΅ΡΡΠ²Π½ΠΎΠΌ ΠΏΡΠΎΡΠ΅ΡΡΠ΅ ΡΠΎΠΊΡΠ°ΡΠ΅Π½ΠΈΡ ΠΈ Π²ΡΡΠ²ΠΎΠ±ΠΎΠΆΠ΄Π΅Π½ΠΈΡ, ΡΡΠΎΠ±Ρ ΠΏΠΎΠ΄Π΄Π΅ΡΠΆΠΈΠ²Π°ΡΡ ΠΎΠ±ΡΠΈΠΉ ΠΊΠΎΠ»Π»Π΅ΠΊΡΠΈΠ²Π½ΡΠΉ ΡΠ΅Π·ΡΠ»ΡΡΠ°Ρ ΠΏΠΎΡΡΠΎΡΠ½Π½ΠΎΠΉ ΡΠΈΠ»Ρ, Π²ΠΎΠ·Π΄Π΅ΠΉΡΡΠ²ΡΡΡΠ΅ΠΉ Π½Π° Π²Π½Π΅ΡΠ½ΠΈΠΉ ΠΎΠ±ΡΠ΅ΠΊΡ.ΠΡΠΎ ΡΠΎΠΊΡΠ°ΡΠ΅Π½ΠΈΠ΅ ΠΈ ΠΎΡΠΏΡΡΠΊΠ°Π½ΠΈΠ΅ Π²ΠΊΠ»ΡΡΠ°Π΅Ρ Π² ΡΠ΅Π±Ρ ΡΠΈΠ»Ρ ΠΈ Π΄Π²ΠΈΠΆΠ΅Π½ΠΈΠ΅ ΠΈ ΡΠΎΡΡΠ°Π²Π»ΡΠ΅Ρ Π²Π½ΡΡΡΠ΅Π½Π½ΡΡ ΡΠ°Π±ΠΎΡΡ Π² Π²Π°ΡΠ΅ΠΌ ΡΠ΅Π»Π΅. ΠΠ½Π΅ΡΠ³ΠΈΡ ΠΏΡΠΎΡΠ²Π»ΡΠ΅ΡΡΡ Π² Π½Π°Π³ΡΠ΅Π²Π°Π½ΠΈΠΈ Π²Π°ΡΠΈΡ ΠΌΡΡΠ΅ΡΠ½ΡΡ ΡΠΊΠ°Π½Π΅ΠΉ, Π½ΠΎ Π΅ΡΠ»ΠΈ ΡΡΠΈΠΊ Π½Π΅ Π΄Π²ΠΈΠ³Π°Π΅ΡΡΡ, ΡΠ΅ΡΠΊΠ° ΠΏΠΎ-ΠΏΡΠ΅ΠΆΠ½Π΅ΠΌΡ Π½Π΅ ΡΠ°Π±ΠΎΡΠ°Π΅Ρ.
ΠΡΠΈΠΌΠ΅Ρ ΡΠΏΡΠ°Π²Π° – Π΅ΡΠ΅ ΠΎΠ΄ΠΈΠ½ ΡΡΠ°Π½Π΄Π°ΡΡΠ½ΡΠΉ ΠΏΠ°ΡΠ°Π΄ΠΎΠΊΡ Π² ΠΎΠΏΡΠ΅Π΄Π΅Π»Π΅Π½ΠΈΠΈ ΡΠ°Π±ΠΎΡΡ. ΠΡΠ»ΠΈ ΡΡΠΈΠΊ ΠΏΠ΅ΡΠ΅Π½ΠΎΡΠΈΡΡΡ Ρ ΠΏΠΎΡΡΠΎΡΠ½Π½ΠΎΠΉ ΡΠΊΠΎΡΠΎΡΡΡΡ, ΡΠΎ Π΄Π»Ρ Π΅Π³ΠΎ Π΄Π²ΠΈΠΆΠ΅Π½ΠΈΡ Π½Π΅ ΡΡΠ΅Π±ΡΠ΅ΡΡΡ Π½ΠΈΠΊΠ°ΠΊΠΎΠΉ ΡΠΈΡΡΠΎΠΉ ΡΠΈΠ»Ρ. Π‘ΠΈΠ»Π°, ΠΏΡΠΈΠ»Π°Π³Π°Π΅ΠΌΠ°Ρ ΡΠ΅Π»ΠΎΠ²Π΅ΠΊΠΎΠΌ, Π½Π°ΠΏΡΠ°Π²Π»Π΅Π½Π° ββΠ²Π²Π΅ΡΡ , ΡΠ°Π²Π½Π°Ρ Π²Π΅ΡΡ ΠΊΠΎΡΠΎΠ±ΠΊΠΈ, ΠΈ ΡΡΠ° ΡΠΈΠ»Π° ΠΏΠ΅ΡΠΏΠ΅Π½Π΄ΠΈΠΊΡΠ»ΡΡΠ½Π° Π΄Π²ΠΈΠΆΠ΅Π½ΠΈΡ.ΠΡΠ»ΠΈ Π½Π΅Ρ Π΄Π²ΠΈΠΆΠ΅Π½ΠΈΡ Π² Π½Π°ΠΏΡΠ°Π²Π»Π΅Π½ΠΈΠΈ ΡΠΈΠ»Ρ, ΡΠΎ ΡΡΠ° ΡΠΈΠ»Π° Π½Π΅ ΡΠΎΠ²Π΅ΡΡΠ°Π΅Ρ Π½ΠΈΠΊΠ°ΠΊΠΎΠΉ ΡΠ°Π±ΠΎΡΡ. Π’Π΅ΠΌ Π½Π΅ ΠΌΠ΅Π½Π΅Π΅, Π²Ρ ΠΎΠΏΡΠ΅Π΄Π΅Π»Π΅Π½Π½ΠΎ ΡΡΠ²ΡΡΠ²ΡΠ΅ΡΠ΅, ΡΡΠΎ Π΄Π΅Π»Π°Π΅ΡΠ΅ ΡΠ°Π±ΠΎΡΡ, Π΅ΡΠ»ΠΈ Π½Π΅ΡΠ΅ΡΠ΅ ΡΡΠΆΠ΅Π»ΡΡ ΠΊΠΎΡΠΎΠ±ΠΊΡ. Π Π°Π·ΡΠ΅ΡΠ΅Π½ΠΈΠ΅ ΠΏΠ°ΡΠ°Π΄ΠΎΠΊΡΠ° Π°Π½Π°Π»ΠΎΠ³ΠΈΡΠ½ΠΎ ΠΏΠ΅ΡΠ²ΠΎΠΌΡ ΠΏΡΠΈΠΌΠ΅ΡΡ – Π²Π°ΡΠΈ ΠΌΡΡΡΡ Π΄ΠΎΠ»ΠΆΠ½Ρ ΡΠΎΡ ΡΠ°Π½ΡΡΡ Π΄ΠΎΠΏΠΎΠ»Π½ΠΈΡΠ΅Π»ΡΠ½ΠΎΠ΅ Π½Π°ΠΏΡΡΠΆΠ΅Π½ΠΈΠ΅, ΡΡΠΎΠ±Ρ ΠΎΡΡΠ°Π²Π°ΡΡΡΡ Π² Π²Π΅ΡΡΠΈΠΊΠ°Π»ΡΠ½ΠΎΠΌ ΠΏΠΎΠ»ΠΎΠΆΠ΅Π½ΠΈΠΈ ΠΏΠΎΠ΄ Π½Π°Π³ΡΡΠ·ΠΊΠΎΠΉ. ΠΡΠΎ ΡΡΠ΅Π±ΡΠ΅Ρ Π±ΠΎΠ»ΡΡΠ΅Π³ΠΎ Π²Π½ΡΡΡΠ΅Π½Π½Π΅Π³ΠΎ ΡΠΎΠΊΡΠ°ΡΠ΅Π½ΠΈΡ ΠΈ Π²ΡΡΠ²ΠΎΠ±ΠΎΠΆΠ΄Π΅Π½ΠΈΡ Π½Π°ΡΠΈΡ ΠΌΡΡΠ΅ΡΠ½ΡΡ Π²ΠΎΠ»ΠΎΠΊΠΎΠ½ ΠΈ, ΡΠ»Π΅Π΄ΠΎΠ²Π°ΡΠ΅Π»ΡΠ½ΠΎ, Π²Π½ΡΡΡΠ΅Π½Π½Π΅ΠΉ ΡΠ°Π±ΠΎΡΡ Π½Π°ΡΠ΅Π³ΠΎ ΡΠ΅Π»Π°. ΠΠΎ ΡΠ°Π±ΠΎΡΠ°, ΠΏΡΠΎΠ΄Π΅Π»Π°Π½Π½Π°Ρ Ρ ΠΊΠΎΡΠΎΠ±ΠΊΠΎΠΉ, ΡΠ°Π²Π½Π° Π½ΡΠ»Ρ, ΠΏΠΎΡΠΊΠΎΠ»ΡΠΊΡ ΠΏΡΠΈ Π΄Π²ΠΈΠΆΠ΅Π½ΠΈΠΈ ΠΏΠΎ ΠΏΡΡΠΌΠΎΠΉ Ρ ΠΏΠΎΡΡΠΎΡΠ½Π½ΠΎΠΉ ΡΠΊΠΎΡΠΎΡΡΡΡ Π΅Π³ΠΎ ΡΠ½Π΅ΡΠ³ΠΈΡ ΠΎΡΡΠ°Π΅ΡΡΡ ΡΠΎΠΉ ΠΆΠ΅ ΡΠ°ΠΌΠΎΠΉ.
ΠΡΡΡ ΠΌΠ½ΠΎΠ³ΠΎ Π²Π°ΠΆΠ½ΡΡ ΠΏΡΠΈΠΌΠ΅ΡΠΎΠ² ΡΠΈΠ», ΠΊΠΎΡΠΎΡΡΠ΅ Π½Π΅ ΡΠ°Π±ΠΎΡΠ°ΡΡ, ΠΏΠΎΡΠΎΠΌΡ ΡΡΠΎ Π΄Π΅ΠΉΡΡΠ²ΡΡΡ ΠΏΠ΅ΡΠΏΠ΅Π½Π΄ΠΈΠΊΡΠ»ΡΡΠ½ΠΎ Π΄Π²ΠΈΠΆΠ΅Π½ΠΈΡ. ΠΡΠΈ ΠΊΡΡΠ³ΠΎΠ²ΠΎΠΌ Π΄Π²ΠΈΠΆΠ΅Π½ΠΈΠΈ ΡΠ΅Π½ΡΡΠΎΡΡΡΠ΅ΠΌΠΈΡΠ΅Π»ΡΠ½Π°Ρ ΡΠΈΠ»Π° Π²ΡΠ΅Π³Π΄Π° Π΄Π΅ΠΉΡΡΠ²ΡΠ΅Ρ ΠΏΠΎΠ΄ ΠΏΡΡΠΌΡΠΌ ΡΠ³Π»ΠΎΠΌ ΠΊ ββΠ΄Π²ΠΈΠΆΠ΅Π½ΠΈΡ. ΠΠ½ ΠΌΠ΅Π½ΡΠ΅Ρ Π½Π°ΠΏΡΠ°Π²Π»Π΅Π½ΠΈΠ΅ Π΄Π²ΠΈΠΆΠ΅Π½ΠΈΡ, Π½ΠΎ Π½Π΅ Π²ΠΎΠ·Π΄Π΅ΠΉΡΡΠ²ΡΠ΅Ρ Π½Π° ΠΎΠ±ΡΠ΅ΠΊΡ. ΠΡΠΎ ΠΌΠΎΠΆΠ½ΠΎ ΠΏΡΠΈΠΌΠ΅Π½ΠΈΡΡ ΠΊ Π»ΡΠ±ΠΎΠΉ ΠΊΡΡΠ³ΠΎΠ²ΠΎΠΉ ΠΎΡΠ±ΠΈΡΠ΅.
7.2 ΠΠΈΠ½Π΅ΡΠΈΡΠ΅ΡΠΊΠ°Ρ ΡΠ½Π΅ΡΠ³ΠΈΡ ΠΈ ΡΠ΅ΠΎΡΠ΅ΠΌΠ° ΡΠ°Π±ΠΎΡΡ-ΡΠ½Π΅ΡΠ³ΠΈΠΈ
Π§ΠΈΡΡΠ°Ρ ΡΠ°Π±ΠΎΡΠ° ΠΈ ΡΠ΅ΠΎΡΠ΅ΠΌΠ° ΡΠ°Π±ΠΎΡΡ-ΡΠ½Π΅ΡΠ³ΠΈΠΈ
ΠΡ Π·Π½Π°Π΅ΠΌ ΠΈΠ· ΠΈΠ·ΡΡΠ΅Π½ΠΈΡ Π·Π°ΠΊΠΎΠ½ΠΎΠ² ΠΡΡΡΠΎΠ½Π° Π² Π΄ΠΈΠ½Π°ΠΌΠΈΠΊΠ΅: ΡΠΈΠ»Π° ΠΈ Π·Π°ΠΊΠΎΠ½Ρ Π΄Π²ΠΈΠΆΠ΅Π½ΠΈΡ ΠΡΡΡΠΎΠ½Π°, ΡΡΠΎ ΡΠ΅Π·ΡΠ»ΡΡΠΈΡΡΡΡΠ°Ρ ΡΠΈΠ»Π° Π²ΡΠ·ΡΠ²Π°Π΅Ρ ΡΡΠΊΠΎΡΠ΅Π½ΠΈΠ΅.Π ΡΡΠΎΠΌ ΡΠ°Π·Π΄Π΅Π»Π΅ ΠΌΡ ΡΠ²ΠΈΠ΄ΠΈΠΌ, ΡΡΠΎ ΡΠ°Π±ΠΎΡΠ°, ΡΠΎΠ²Π΅ΡΡΠ°Π΅ΠΌΠ°Ρ ΡΠΈΡΡΠΎΠΉ ΡΠΈΠ»ΠΎΠΉ, Π΄Π°Π΅Ρ ΡΠΈΡΡΠ΅ΠΌΠ΅ ΡΠ½Π΅ΡΠ³ΠΈΡ Π΄Π²ΠΈΠΆΠ΅Π½ΠΈΡ, ΠΈ Π² ΠΏΡΠΎΡΠ΅ΡΡΠ΅ ΠΌΡ ΡΠ°ΠΊΠΆΠ΅ Π½Π°ΠΉΠ΄Π΅ΠΌ Π²ΡΡΠ°ΠΆΠ΅Π½ΠΈΠ΅ Π΄Π»Ρ ΡΠ½Π΅ΡΠ³ΠΈΠΈ Π΄Π²ΠΈΠΆΠ΅Π½ΠΈΡ.
ΠΠ°Π²Π°ΠΉΡΠ΅ Π½Π°ΡΠ½Π΅ΠΌ Ρ ΡΠ°ΡΡΠΌΠΎΡΡΠ΅Π½ΠΈΡ ΠΎΠ±ΡΠ΅ΠΉ, ΠΈΠ»ΠΈ ΡΠΈΡΡΠΎΠΉ, ΡΠ°Π±ΠΎΡΡ, ΠΏΡΠΎΠ΄Π΅Π»Π°Π½Π½ΠΎΠΉ Π² ΡΠΈΡΡΠ΅ΠΌΠ΅. Π‘Π΅ΡΠ΅Π²Π°Ρ ΡΠ°Π±ΠΎΡΠ° ΠΎΠΏΡΠ΅Π΄Π΅Π»ΡΠ΅ΡΡΡ ΠΊΠ°ΠΊ ΡΡΠΌΠΌΠ° ΡΠ°Π±ΠΎΡΡ, Π²ΡΠΏΠΎΠ»Π½Π΅Π½Π½ΠΎΠΉ Π²ΡΠ΅ΠΌΠΈ Π²Π½Π΅ΡΠ½ΠΈΠΌΠΈ ΡΠΈΠ»Π°ΠΌΠΈ, ΡΠΎ Π΅ΡΡΡ ΡΠ΅ΡΠ΅Π²Π°Ρ ΡΠ°Π±ΠΎΡΠ° – ΡΡΠΎ ΡΠ°Π±ΠΎΡΠ°, Π²ΡΠΏΠΎΠ»Π½ΡΠ΅ΠΌΠ°Ρ ΡΠΈΡΡΠΎΠΉ Π²Π½Π΅ΡΠ½Π΅ΠΉ ΡΠΈΠ»ΠΎΠΉ FnetFnet ΡΠ°Π·ΠΌΠ΅ΡΠΎΠΌ 12 {F rSub {size 8 {“net”}}} {}. Π ΡΠΎΡΠΌΠ΅ ΡΡΠ°Π²Π½Π΅Π½ΠΈΡ ΡΡΠΎ Wnet = FnetdcosΞΈWnet = FnetdcosΞΈ size 12 {W rSub {size 8 {“net”}} = F rSub {size 8 {“net”}} d “cos” ΞΈ} {}, Π³Π΄Π΅ ΞΈΞΈ size 12 { ΞΈ} {} – ΡΠ³ΠΎΠ» ΠΌΠ΅ΠΆΠ΄Ρ Π²Π΅ΠΊΡΠΎΡΠΎΠΌ ΡΠΈΠ»Ρ ΠΈ Π²Π΅ΠΊΡΠΎΡΠΎΠΌ ΡΠΌΠ΅ΡΠ΅Π½ΠΈΡ.
ΠΠ° ΡΠΈΡ. 7.3 (a) ΠΏΠΎΠΊΠ°Π·Π°Π½ Π³ΡΠ°ΡΠΈΠΊ Π·Π°Π²ΠΈΡΠΈΠΌΠΎΡΡΠΈ ΡΠΈΠ»Ρ ΠΎΡ ΡΠΌΠ΅ΡΠ΅Π½ΠΈΡ Π΄Π»Ρ ΡΠΎΡΡΠ°Π²Π»ΡΡΡΠ΅ΠΉ ΡΠΈΠ»Ρ Π² Π½Π°ΠΏΡΠ°Π²Π»Π΅Π½ΠΈΠΈ ΡΠΌΠ΅ΡΠ΅Π½ΠΈΡ, ΡΠΎ Π΅ΡΡΡ Π΄Π»Ρ FcosΞΈFcosΞΈ ΡΠ°Π·ΠΌΠ΅ΡΠΎΠΌ 12 {F “cos” ΞΈ} {} Π² Π·Π°Π²ΠΈΡΠΈΠΌΠΎΡΡΠΈ ΠΎΡ dd ΡΠ°Π·ΠΌΠ΅ΡΠ° 12 {d} {} Π³ΡΠ°ΡΠΈΠΊ. Π ΡΡΠΎΠΌ ΡΠ»ΡΡΠ°Π΅ FcosΞΈFcosΞΈ size 12 {F “cos” ΞΈ} {} ΡΠ²Π»ΡΠ΅ΡΡΡ ΠΏΠΎΡΡΠΎΡΠ½Π½ΡΠΌ. ΠΡ ΠΌΠΎΠΆΠ΅ΡΠ΅ Π²ΠΈΠ΄Π΅ΡΡ, ΡΡΠΎ ΠΎΠ±Π»Π°ΡΡΡ ΠΏΠΎΠ΄ Π³ΡΠ°ΡΠΈΠΊΠΎΠΌ ΡΠΎΠΎΡΠ²Π΅ΡΡΡΠ²ΡΠ΅Ρ FdcosΞΈFdcosΞΈ ΡΠ°Π·ΠΌΠ΅ΡΠΎΠΌ 12 {F “cos” ΞΈ} {} ΠΈΠ»ΠΈ ΠΏΡΠΎΠ΄Π΅Π»Π°Π½Π½ΠΎΠΉ ΡΠ°Π±ΠΎΡΠ΅. ΠΠ° ΡΠΈΡ. 7.3 (b) ΠΏΠΎΠΊΠ°Π·Π°Π½ Π±ΠΎΠ»Π΅Π΅ ΠΎΠ±ΡΠΈΠΉ ΠΏΡΠΎΡΠ΅ΡΡ ΠΈΠ·ΠΌΠ΅Π½Π΅Π½ΠΈΡ ΡΠΈΠ»Ρ. ΠΠ»ΠΎΡΠ°Π΄Ρ ΠΏΠΎΠ΄ ΠΊΡΠΈΠ²ΠΎΠΉ ΡΠ°Π·Π΄Π΅Π»Π΅Π½Π° Π½Π° ΠΏΠΎΠ»ΠΎΡΡ, ΠΊΠ°ΠΆΠ΄Π°Ρ ΠΈΠ· ΠΊΠΎΡΠΎΡΡΡ ΠΈΠΌΠ΅Π΅Ρ ΡΡΠ΅Π΄Π½ΡΡ ΡΠΈΠ»Ρ (FcosΞΈ) i (ave) (FcosΞΈ) i (ave) ΡΠ°Π·ΠΌΠ΅Ρ 12 {\ (F “cos” ΞΈ \) rSub {size 8 {i \ (” ΠΏΡ. “\)}}} {}.ΠΡΠΎΠ΄Π΅Π»Π°Π½Π½Π°Ρ ΡΠ°Π±ΠΎΡΠ° (FcosΞΈ) i (ave) di (FcosΞΈ) i (ave) di size 12 {\ (F “cos” ΞΈ \) rSub {size 8 {i \ (“ave” \)}} d rSub { ΡΠ°Π·ΠΌΠ΅Ρ 8 {i}}} {} Π΄Π»Ρ ΠΊΠ°ΠΆΠ΄ΠΎΠΉ ΠΏΠΎΠ»ΠΎΡΡ, Π° ΠΎΠ±ΡΠ°Ρ ΠΏΡΠΎΠ΄Π΅Π»Π°Π½Π½Π°Ρ ΡΠ°Π±ΠΎΡΠ° ΠΏΡΠ΅Π΄ΡΡΠ°Π²Π»ΡΠ΅Ρ ΡΠΎΠ±ΠΎΠΉ ΡΡΠΌΠΌΡ WiWi size 12 {W rSub {size 8 {i}}} {}. Π’Π°ΠΊΠΈΠΌ ΠΎΠ±ΡΠ°Π·ΠΎΠΌ, ΠΎΠ±ΡΠ°Ρ ΠΏΡΠΎΠ΄Π΅Π»Π°Π½Π½Π°Ρ ΡΠ°Π±ΠΎΡΠ° – ΡΡΠΎ ΠΎΠ±ΡΠ°Ρ ΠΏΠ»ΠΎΡΠ°Π΄Ρ ΠΏΠΎΠ΄ ΠΊΡΠΈΠ²ΠΎΠΉ, ΠΏΠΎΠ»Π΅Π·Π½ΠΎΠ΅ ΡΠ²ΠΎΠΉΡΡΠ²ΠΎ, ΠΎ ΠΊΠΎΡΠΎΡΠΎΠΌ ΠΌΡ ΠΏΠΎΠ³ΠΎΠ²ΠΎΡΠΈΠΌ ΠΏΠΎΠ·ΠΆΠ΅.
Π ΠΈΡΡΠ½ΠΎΠΊ 7.3 (a) ΠΡΠ°ΡΠΈΠΊ Π·Π°Π²ΠΈΡΠΈΠΌΠΎΡΡΠΈ FcosΞΈFcosΞΈ ΠΎΡ ΡΠ°Π·ΠΌΠ΅ΡΠ° dd 12 {d} {}, ΠΊΠΎΠ³Π΄Π° FcosΞΈFcosΞΈ ΡΠ°Π·ΠΌΠ΅ΡΠΎΠΌ 12 {F “cos” ΞΈ} {} ΡΠ²Π»ΡΠ΅ΡΡΡ ΠΏΠΎΡΡΠΎΡΠ½Π½ΡΠΌ. ΠΠ»ΠΎΡΠ°Π΄Ρ ΠΏΠΎΠ΄ ΠΊΡΠΈΠ²ΠΎΠΉ ΠΏΡΠ΅Π΄ΡΡΠ°Π²Π»ΡΠ΅Ρ ΡΠ°Π±ΠΎΡΡ, ΡΠΎΠ²Π΅ΡΡΠ°Π΅ΠΌΡΡ ΡΠΈΠ»ΠΎΠΉ.(b) ΠΡΠ°ΡΠΈΠΊ Π·Π°Π²ΠΈΡΠΈΠΌΠΎΡΡΠΈ FcosΞΈFcosΞΈ ΡΠ°Π·ΠΌΠ΅ΡΠ° 12 {F “cos” q} {} ΠΎΡ ΡΠ°Π·ΠΌΠ΅ΡΠ° dd 12 {d} {}, Π² ΠΊΠΎΡΠΎΡΠΎΠΌ ΡΠΈΠ»Π° ΠΈΠ·ΠΌΠ΅Π½ΡΠ΅ΡΡΡ. Π Π°Π±ΠΎΡΠ°, ΠΏΡΠΎΠ΄Π΅Π»Π°Π½Π½Π°Ρ Π΄Π»Ρ ΠΊΠ°ΠΆΠ΄ΠΎΠ³ΠΎ ΠΈΠ½ΡΠ΅ΡΠ²Π°Π»Π°, – ΡΡΠΎ ΠΏΠ»ΠΎΡΠ°Π΄Ρ ΠΊΠ°ΠΆΠ΄ΠΎΠΉ ΠΏΠΎΠ»ΠΎΡΡ; ΡΠ°ΠΊΠΈΠΌ ΠΎΠ±ΡΠ°Π·ΠΎΠΌ, ΠΎΠ±ΡΠ°Ρ ΠΏΠ»ΠΎΡΠ°Π΄Ρ ΠΏΠΎΠ΄ ΠΊΡΠΈΠ²ΠΎΠΉ ΡΠ°Π²Π½Π° ΠΎΠ±ΡΠ΅ΠΉ ΠΏΡΠΎΠ΄Π΅Π»Π°Π½Π½ΠΎΠΉ ΡΠ°Π±ΠΎΡΠ΅.Π‘Π²ΡΠ·ΠΈ Π² ΡΠ΅Π°Π»ΡΠ½ΠΎΠΌ ΠΌΠΈΡΠ΅: ΡΠ°Π±ΠΎΡΠ° ΠΈ ΡΡΠΊΠΎΠ²ΠΎΠ΄ΡΡΠ²ΠΎ
Π Π°ΡΡΠΌΠΎΡΡΠΈΡΠ΅ Π²ΠΎΠ·ΠΌΠΎΠΆΠ½ΠΎΡΡΡ Π²ΠΎΠΆΠ΄Π΅Π½ΠΈΡ Π² ΠΌΠ°ΡΠΈΠ½Π΅. ΠΠΎ Π²ΡΠ΅ΠΌΡ Π΄Π²ΠΈΠΆΠ΅Π½ΠΈΡ Ρ Π²Π°Ρ Π΅ΡΡΡ ΠΏΠΎΡΡΡΠΏΠ°ΡΠ΅Π»ΡΠ½Π°Ρ ΡΠΊΠΎΡΠΎΡΡΡ ΠΈ, ΡΠ»Π΅Π΄ΠΎΠ²Π°ΡΠ΅Π»ΡΠ½ΠΎ, ΠΊΠΈΠ½Π΅ΡΠΈΡΠ΅ΡΠΊΠ°Ρ ΡΠ½Π΅ΡΠ³ΠΈΡ. ΠΠΎΠ³Π΄Π° Π²Ρ Π½Π°ΠΆΠΈΠΌΠ°Π΅ΡΠ΅ Π½Π° ΡΠΎΡΠΌΠΎΠ·, ΡΠΎΡΠΌΠΎΠ·Π° ΡΠΎΠ·Π΄Π°ΡΡ ΡΠΈΠ»Ρ, ΠΏΡΠΎΡΠΈΠ²ΠΎΠΏΠΎΠ»ΠΎΠΆΠ½ΡΡ Π½Π°ΠΏΡΠ°Π²Π»Π΅Π½ΠΈΡ Π²Π°ΡΠ΅Π³ΠΎ Π΄Π²ΠΈΠΆΠ΅Π½ΠΈΡ (Π΄Π΅ΠΉΡΡΠ²ΡΡ ΡΠ΅ΡΠ΅Π· ΠΊΠΎΠ»Π΅ΡΠ°).Π’ΠΎΡΠΌΠΎΠ·Π° Π²ΠΎΠ·Π΄Π΅ΠΉΡΡΠ²ΡΡΡ Π½Π° Π²Π°ΡΡ ΠΌΠ°ΡΠΈΠ½Ρ ΠΈ ΡΠΌΠ΅Π½ΡΡΠ°ΡΡ ΠΊΠΈΠ½Π΅ΡΠΈΡΠ΅ΡΠΊΡΡ ΡΠ½Π΅ΡΠ³ΠΈΡ. Π’ΠΎΡΠ½ΠΎ ΡΠ°ΠΊ ΠΆΠ΅, ΠΊΠΎΠ³Π΄Π° Π²Ρ ΡΡΠΊΠΎΡΡΠ΅ΡΠ΅ΡΡ, Π΄Π²ΠΈΠ³Π°ΡΠ΅Π»Ρ (Π΄Π΅ΠΉΡΡΠ²ΡΡΡΠΈΠΉ ΡΠ΅ΡΠ΅Π· ΠΊΠΎΠ»Π΅ΡΠ°) ΠΏΡΠΈΠΊΠ»Π°Π΄ΡΠ²Π°Π΅Ρ ΡΠΈΠ»Ρ Π² Π½Π°ΠΏΡΠ°Π²Π»Π΅Π½ΠΈΠΈ Π΄Π²ΠΈΠΆΠ΅Π½ΠΈΡ. ΠΠ²ΠΈΠ³Π°ΡΠ΅Π»Ρ Π΄Π΅ΠΉΡΡΠ²ΠΈΡΠ΅Π»ΡΠ½ΠΎ ΡΠ°Π±ΠΎΡΠ°Π΅Ρ Π½Π° Π²Π°ΡΠ΅ΠΌ Π°Π²ΡΠΎΠΌΠΎΠ±ΠΈΠ»Π΅ ΠΈ ΡΠ²Π΅Π»ΠΈΡΠΈΠ²Π°Π΅Ρ ΠΊΠΈΠ½Π΅ΡΠΈΡΠ΅ΡΠΊΡΡ ΡΠ½Π΅ΡΠ³ΠΈΡ. ΠΠ°ΠΊΠΎΠ½Π΅Ρ, Π΅ΡΠ»ΠΈ Π²Ρ Π·Π°Π²Π΅ΡΠ½Π΅ΡΠ΅ Π·Π° ΡΠ³ΠΎΠ» Ρ ΠΏΠΎΡΡΠΎΡΠ½Π½ΠΎΠΉ ΡΠΊΠΎΡΠΎΡΡΡΡ, Ρ Π²Π°Ρ Π±ΡΠ΄Π΅Ρ ΠΎΠ΄ΠΈΠ½Π°ΠΊΠΎΠ²Π°Ρ ΠΊΠΈΠ½Π΅ΡΠΈΡΠ΅ΡΠΊΠ°Ρ ΡΠ½Π΅ΡΠ³ΠΈΡ ΠΊΠ°ΠΊ Π΄ΠΎ ΠΏΠΎΠ²ΠΎΡΠΎΡΠ°, ΡΠ°ΠΊ ΠΈ ΠΏΠΎΡΠ»Π΅ Π½Π΅Π³ΠΎ. Π‘ΠΈΠ»Π°, ΠΏΡΠΈΠ»Π°Π³Π°Π΅ΠΌΠ°Ρ Π΄Π²ΠΈΠ³Π°ΡΠ΅Π»Π΅ΠΌ, Π±ΡΠ»Π° ΠΏΠ΅ΡΠΏΠ΅Π½Π΄ΠΈΠΊΡΠ»ΡΡΠ½Π° Π½Π°ΠΏΡΠ°Π²Π»Π΅Π½ΠΈΡ Π΄Π²ΠΈΠΆΠ΅Π½ΠΈΡ, ΠΏΠΎΡΡΠΎΠΌΡ Π½Π΅ ΡΠ°Π±ΠΎΡΠ°Π»Π° ΠΈ Π½Π΅ ΠΈΠ·ΠΌΠ΅Π½ΡΠ»Π° ΠΊΠΈΠ½Π΅ΡΠΈΡΠ΅ΡΠΊΡΡ ΡΠ½Π΅ΡΠ³ΠΈΡ.
Π§ΠΈΡΡΡΡ ΡΠ°Π±ΠΎΡΡ Π±ΡΠ΄Π΅Ρ ΠΏΡΠΎΡΠ΅ ΠΈΡΡΠ»Π΅Π΄ΠΎΠ²Π°ΡΡ, Π΅ΡΠ»ΠΈ ΠΌΡ ΡΠ°ΡΡΠΌΠΎΡΡΠΈΠΌ ΠΎΠ΄Π½ΠΎΠΌΠ΅ΡΠ½ΡΡ ΡΠΈΡΡΠ°ΡΠΈΡ, ΠΊΠΎΠ³Π΄Π° ΡΠΈΠ»Π° ΠΈΡΠΏΠΎΠ»ΡΠ·ΡΠ΅ΡΡΡ Π΄Π»Ρ ΡΡΠΊΠΎΡΠ΅Π½ΠΈΡ ΠΎΠ±ΡΠ΅ΠΊΡΠ° Π² Π½Π°ΠΏΡΠ°Π²Π»Π΅Π½ΠΈΠΈ, ΠΏΠ°ΡΠ°Π»Π»Π΅Π»ΡΠ½ΠΎΠΌ Π΅Π³ΠΎ Π½Π°ΡΠ°Π»ΡΠ½ΠΎΠΉ ΡΠΊΠΎΡΠΎΡΡΠΈ. Π’Π°ΠΊΠ°Ρ ΡΠΈΡΡΠ°ΡΠΈΡ Π²ΠΎΠ·Π½ΠΈΠΊΠ°Π΅Ρ Π΄Π»Ρ ΡΠΏΠ°ΠΊΠΎΠ²ΠΊΠΈ Π½Π° Π»Π΅Π½ΡΠΎΡΠ½ΠΎΠΌ ΡΠΎΠ»ΠΈΠΊΠΎΠ²ΠΎΠΌ ΠΊΠΎΠ½Π²Π΅ΠΉΠ΅ΡΠ΅, ΠΏΠΎΠΊΠ°Π·Π°Π½Π½ΠΎΠΌ Π½Π° Π ΠΈΡΡΠ½ΠΊΠ΅ 7.4.
Π ΠΈΡ. 7.4 ΠΠ°ΠΊΠ΅Ρ Π½Π° ΡΠΎΠ»ΠΈΠΊΠΎΠ²ΠΎΠΉ Π»Π΅Π½ΡΠ΅ ΠΏΡΠΎΠ΄Π²ΠΈΠ³Π°Π΅ΡΡΡ Π³ΠΎΡΠΈΠ·ΠΎΠ½ΡΠ°Π»ΡΠ½ΠΎ Π½Π° ΡΠ°ΡΡΡΠΎΡΠ½ΠΈΠ΅ dd.Π‘ΠΈΠ»Π° ΡΡΠΆΠ΅ΡΡΠΈ ΠΈ Π½ΠΎΡΠΌΠ°Π»ΡΠ½Π°Ρ ΡΠΈΠ»Π°, Π΄Π΅ΠΉΡΡΠ²ΡΡΡΠ°Ρ Π½Π° ΡΠΏΠ°ΠΊΠΎΠ²ΠΊΡ, ΠΏΠ΅ΡΠΏΠ΅Π½Π΄ΠΈΠΊΡΠ»ΡΡΠ½Ρ ΠΏΠ΅ΡΠ΅ΠΌΠ΅ΡΠ΅Π½ΠΈΡ ΠΈ Π½Π΅ ΡΠ°Π±ΠΎΡΠ°ΡΡ.ΠΡΠΎΠΌΠ΅ ΡΠΎΠ³ΠΎ, ΠΎΠ½ΠΈ ΡΠ°ΠΊΠΆΠ΅ ΡΠ°Π²Π½Ρ ΠΏΠΎ Π²Π΅Π»ΠΈΡΠΈΠ½Π΅ ΠΈ ΠΏΡΠΎΡΠΈΠ²ΠΎΠΏΠΎΠ»ΠΎΠΆΠ½Ρ ΠΏΠΎ Π½Π°ΠΏΡΠ°Π²Π»Π΅Π½ΠΈΡ, ΠΏΠΎΡΡΠΎΠΌΡ ΠΎΠ½ΠΈ ΠΎΡΠΌΠ΅Π½ΡΡΡΡΡ ΠΏΡΠΈ Π²ΡΡΠΈΡΠ»Π΅Π½ΠΈΠΈ ΡΠΈΡΡΠΎΠΉ ΡΠΈΠ»Ρ. Π§ΠΈΡΡΠ°Ρ ΡΠΈΠ»Π° Π²ΠΎΠ·Π½ΠΈΠΊΠ°Π΅Ρ ΠΈΡΠΊΠ»ΡΡΠΈΡΠ΅Π»ΡΠ½ΠΎ ΠΈΠ· ΠΏΡΠΈΠ»ΠΎΠΆΠ΅Π½Π½ΠΎΠΉ Π³ΠΎΡΠΈΠ·ΠΎΠ½ΡΠ°Π»ΡΠ½ΠΎΠΉ ΡΠΈΠ»Ρ FappFapp ΠΈ Π³ΠΎΡΠΈΠ·ΠΎΠ½ΡΠ°Π»ΡΠ½ΠΎΠΉ ΡΠΈΠ»Ρ ΡΡΠ΅Π½ΠΈΡ ff. Π’Π°ΠΊΠΈΠΌ ΠΎΠ±ΡΠ°Π·ΠΎΠΌ, ΠΊΠ°ΠΊ ΠΈ ΠΎΠΆΠΈΠ΄Π°Π»ΠΎΡΡ, ΡΠΈΡΡΠ°Ρ ΡΠΈΠ»Π° ΠΏΠ°ΡΠ°Π»Π»Π΅Π»ΡΠ½Π° ΡΠΌΠ΅ΡΠ΅Π½ΠΈΡ, ΡΠ°ΠΊ ΡΡΠΎ ΞΈ = 0ΒΊΞΈ = 0ΒΊ ΠΈ cosΞΈ = 1cosΞΈ = 1 ΡΠ°Π·ΠΌΠ΅Ρ 12 {“cos” q = 1} {}, Π° ΡΠΈΡΡΠ°Ρ ΡΠ°Π±ΠΎΡΠ° ΡΠ°Π²Π½Π°
7.7 Wnet = Fnetd.Wnet = Fnetd. ΡΠ°Π·ΠΌΠ΅Ρ 12 {W rSub {ΡΠ°Π·ΠΌΠ΅Ρ 8 {“net”}} = F rSub {ΡΠ°Π·ΠΌΠ΅Ρ 8 {“net”}} d} {}ΠΡΡΠ΅ΠΊΡ ΡΠΈΡΡΠΎΠΉ ΡΠΈΠ»Ρ FnetFnet ΡΠ°Π·ΠΌΠ΅ΡΠΎΠΌ 12 {F rSub {size 8 {“net”}}} {} Π·Π°ΠΊΠ»ΡΡΠ°Π΅ΡΡΡ Π² ΡΡΠΊΠΎΡΠ΅Π½ΠΈΠΈ ΠΏΠ°ΠΊΠ΅ΡΠ° Ρ v0v0 ΡΠ°Π·ΠΌΠ΅ΡΠ° 12 {v rSub {size 8 {0}}} {} Π΄ΠΎ ΡΠ°Π·ΠΌΠ΅ΡΠ° vv 12 {v} {}.ΠΠΈΠ½Π΅ΡΠΈΡΠ΅ΡΠΊΠ°Ρ ΡΠ½Π΅ΡΠ³ΠΈΡ ΠΏΠ°ΠΊΠ΅ΡΠ° ΡΠ²Π΅Π»ΠΈΡΠΈΠ²Π°Π΅ΡΡΡ, ΡΠΊΠ°Π·ΡΠ²Π°Ρ Π½Π° ΡΠΎ, ΡΡΠΎ ΡΠΈΡΡΠ°Ρ ΡΠ°Π±ΠΎΡΠ°, Π²ΡΠΏΠΎΠ»Π½ΡΠ΅ΠΌΠ°Ρ Π² ΡΠΈΡΡΠ΅ΠΌΠ΅, ΠΏΠΎΠ»ΠΎΠΆΠΈΡΠ΅Π»ΡΠ½Π° (ΡΠΌ. ΠΡΠΈΠΌΠ΅Ρ 7.2). ΠΡΠΏΠΎΠ»ΡΠ·ΡΡ Π²ΡΠΎΡΠΎΠΉ Π·Π°ΠΊΠΎΠ½ ΠΡΡΡΠΎΠ½Π° ΠΈ Π·Π°Π½ΠΈΠΌΠ°ΡΡΡ Π°Π»Π³Π΅Π±ΡΠΎΠΉ, ΠΌΡ ΠΌΠΎΠΆΠ΅ΠΌ ΠΏΡΠΈΠΉΡΠΈ ΠΊ ΠΈΠ½ΡΠ΅ΡΠ΅ΡΠ½ΠΎΠΌΡ Π²ΡΠ²ΠΎΠ΄Ρ. ΠΠΎΠ΄ΡΡΠ°Π½ΠΎΠ²ΠΊΠ° Fnet = maFnet = ma size 12 {F rSub {size 8 {“net”}} = ital “ma”} {} ΠΈΠ· Π²ΡΠΎΡΠΎΠ³ΠΎ Π·Π°ΠΊΠΎΠ½Π° ΠΡΡΡΠΎΠ½Π° Π΄Π°Π΅Ρ
7.8 Wnet = Π±Π΅Π·ΡΠΌΠ½ΡΠΉ. Wnet = Π±Π΅Π·ΡΠΌΠ½ΡΠΉ. ΡΠ°Π·ΠΌΠ΅Ρ 12 {W rSub {ΡΠ°Π·ΠΌΠ΅Ρ 8 {“net”}} = ital “mad”} {}Π§ΡΠΎΠ±Ρ ΠΏΠΎΠ»ΡΡΠΈΡΡ Π²Π·Π°ΠΈΠΌΠΎΡΠ²ΡΠ·Ρ ΠΌΠ΅ΠΆΠ΄Ρ ΡΠΈΡΡΠΎΠΉ ΡΠ°Π±ΠΎΡΠΎΠΉ ΠΈ ΡΠΊΠΎΡΠΎΡΡΡΡ, ΠΏΡΠΈΠ΄Π°Π²Π°Π΅ΠΌΠΎΠΉ ΡΠΈΡΡΠ΅ΠΌΠ΅ Π΄Π΅ΠΉΡΡΠ²ΡΡΡΠ΅ΠΉ Π½Π° Π½Π΅Π΅ ΡΠΈΡΡΠΎΠΉ ΡΠΈΠ»ΠΎΠΉ, ΠΌΡ Π±Π΅ΡΠ΅ΠΌ d = x β x0d = x β x0 ΡΠ°Π·ΠΌΠ΅Ρ 12 {d = x – x rSub {size 8 {0}} } {} ΠΈ ΠΈΡΠΏΠΎΠ»ΡΠ·ΡΠΉΡΠ΅ ΡΡΠ°Π²Π½Π΅Π½ΠΈΠ΅, ΠΈΠ·ΡΡΠ΅Π½Π½ΠΎΠ΅ Π² Π£ΡΠ°Π²Π½Π΅Π½ΠΈΡΡ Π΄Π²ΠΈΠΆΠ΅Π½ΠΈΡ Π΄Π»Ρ ΠΏΠΎΡΡΠΎΡΠ½Π½ΠΎΠ³ΠΎ ΡΡΠΊΠΎΡΠ΅Π½ΠΈΡ Π² ΠΎΠ΄Π½ΠΎΠΌ ΠΈΠ·ΠΌΠ΅ΡΠ΅Π½ΠΈΠΈ, Π΄Π»Ρ ΠΈΠ·ΠΌΠ΅Π½Π΅Π½ΠΈΡ ΡΠΊΠΎΡΠΎΡΡΠΈ Π½Π° ΡΠ°ΡΡΡΠΎΡΠ½ΠΈΠΈ dd, Π΅ΡΠ»ΠΈ ΡΡΠΊΠΎΡΠ΅Π½ΠΈΠ΅ ΠΈΠΌΠ΅Π΅Ρ ΠΏΠΎΡΡΠΎΡΠ½Π½ΠΎΠ΅ Π·Π½Π°ΡΠ΅Π½ΠΈΠ΅ aa; Π° ΠΈΠΌΠ΅Π½Π½ΠΎ, v2 = v02 + 2adv2 = v02 + 2ad.ΠΠ±ΡΠ°ΡΠΈΡΠ΅ Π²Π½ΠΈΠΌΠ°Π½ΠΈΠ΅, ΡΡΠΎ aa ΠΏΠΎΡΠ²Π»ΡΠ΅ΡΡΡ Π² Π²ΡΡΠ°ΠΆΠ΅Π½ΠΈΠΈ Π΄Π»Ρ ΡΠ΅ΡΠΈ. Π Π΅ΡΠ΅Π½ΠΈΠ΅ Π΄Π»Ρ ΡΡΠΊΠΎΡΠ΅Π½ΠΈΡ Π΄Π°Π΅Ρ a = v2 β v022da = v2 β v022d. ΠΠΎΠ³Π΄Π° aa ΠΏΠΎΠ΄ΡΡΠ°Π²Π»ΡΠ΅ΡΡΡ Π² ΠΏΡΠ΅Π΄ΡΠ΄ΡΡΠ΅Π΅ Π²ΡΡΠ°ΠΆΠ΅Π½ΠΈΠ΅ Π΄Π»Ρ WnetWnet, ΠΌΡ ΠΏΠΎΠ»ΡΡΠ°Π΅ΠΌ
7.9 Wnet = mv2-v022dd.Wnet = mv2-v022dd.ΠΠ ΡΠ°Π·ΠΌΠ΅ΡΠΎΠΌ 12 {d} {} ΠΎΡΠΌΠ΅Π½ΡΠ΅ΡΡΡ, ΠΈ ΠΌΡ ΠΈΠ·ΠΌΠ΅Π½ΡΠ΅ΠΌ ΡΡΠΎ ΡΠ°ΠΊ, ΡΡΠΎΠ±Ρ ΠΏΠΎΠ»ΡΡΠΈΡΡ
7.10 Wnet = 12mv2β12mv0 2.Wnet = 12mv2β12mv0 2. ΡΠ°Π·ΠΌΠ΅Ρ 12 {w “” lSub {size 8 {ital “net”}} = {{1} over {2}} ital “mv” rSup {size 8 {2}} – {{1} Π±ΠΎΠ»ΡΡΠ΅ {2}} ital “mv” “” lSub {size 8 {0}} “” lSup {size 8 {2}} “.”} {}ΠΡΠΎ Π²ΡΡΠ°ΠΆΠ΅Π½ΠΈΠ΅ Π½Π°Π·ΡΠ²Π°Π΅ΡΡΡ ΡΠ΅ΠΎΡΠ΅ΠΌΠΎΠΉ ΡΠ°Π±ΠΎΡΡ-ΡΠ½Π΅ΡΠ³ΠΈΠΈ, ΠΈ ΠΎΠ½ΠΎ ΡΠ°ΠΊΡΠΈΡΠ΅ΡΠΊΠΈ ΠΏΡΠΈΠΌΠ΅Π½ΡΠ΅Ρ Π² ΡΠ΅Π»ΠΎΠΌ – Π΄Π°ΠΆΠ΅ Π΄Π»Ρ ΡΠΈΠ», ΠΊΠΎΡΠΎΡΡΠ΅ ΠΌΠ΅Π½ΡΡΡΡΡ ΠΏΠΎ Π½Π°ΠΏΡΠ°Π²Π»Π΅Π½ΠΈΡ ΠΈ Π²Π΅Π»ΠΈΡΠΈΠ½Π΅, – Ρ ΠΎΡΡ ΠΌΡ Π²ΡΠ²Π΅Π»ΠΈ Π΅Π³ΠΎ Π΄Π»Ρ ΡΠ°ΡΡΠ½ΠΎΠ³ΠΎ ΡΠ»ΡΡΠ°Ρ ΠΏΠΎΡΡΠΎΡΠ½Π½ΠΎΠΉ ΡΠΈΠ»Ρ, ΠΏΠ°ΡΠ°Π»Π»Π΅Π»ΡΠ½ΠΎΠΉ ΡΠΌΠ΅ΡΠ΅Π½ΠΈΡ. Π’Π΅ΠΎΡΠ΅ΠΌΠ° ΠΏΠΎΠ΄ΡΠ°Π·ΡΠΌΠ΅Π²Π°Π΅Ρ, ΡΡΠΎ ΡΠ΅ΡΠ΅Π²Π°Ρ ΡΠ°Π±ΠΎΡΠ° Π² ΡΠΈΡΡΠ΅ΠΌΠ΅ ΡΠ°Π²Π½Π° ΠΈΠ·ΠΌΠ΅Π½Π΅Π½ΠΈΡ ΠΊΠΎΠ»ΠΈΡΠ΅ΡΡΠ²Π° 12mv212mv2 ΡΠ°Π·ΠΌΠ΅ΡΠ° 12 {{{1} ΠΏΠΎ ΡΡΠ°Π²Π½Π΅Π½ΠΈΡ Ρ {2}} ΠΊΡΡΡΠΈΠ²ΠΎΠΌ “mv” rSup {size 8 {2}}} {}. ΠΡΠ° Π²Π΅Π»ΠΈΡΠΈΠ½Π° – Π½Π°Ρ ΠΏΠ΅ΡΠ²ΡΠΉ ΠΏΡΠΈΠΌΠ΅Ρ ΡΠΎΡΠΌΡ ΡΠ½Π΅ΡΠ³ΠΈΠΈ.
Π’Π΅ΠΎΡΠ΅ΠΌΠ° ΡΠ°Π±ΠΎΡΡ-ΡΠ½Π΅ΡΠ³ΠΈΠΈ
Π§ΠΈΡΡΠ°Ρ ΡΠ°Π±ΠΎΡΠ° Π² ΡΠΈΡΡΠ΅ΠΌΠ΅ ΡΠ°Π²Π½Π° ΠΈΠ·ΠΌΠ΅Π½Π΅Π½ΠΈΡ ΠΊΠΎΠ»ΠΈΡΠ΅ΡΡΠ²Π° 12mv212mv2 ΡΠ°Π·ΠΌΠ΅ΡΠΎΠΌ 12 {{{size 8 {1}} ΠΏΠΎ ΡΡΠ°Π²Π½Π΅Π½ΠΈΡ Ρ {ΡΠ°Π·ΠΌΠ΅ΡΠΎΠΌ 8 {2}}} ital “mv” rSup {size 8 {2}}} {}.
7.11 Wnet = 12mv2β12mv0 2.Wnet = 12mv2β12mv0 2. ΡΠ°Π·ΠΌΠ΅Ρ 12 {w “” lSub {size 8 {ital “net”}} = {{1} over {2}} ital “mv” rSup {size 8 {2}} – {{1} Π±ΠΎΠ»ΡΡΠ΅ {2}} ital “mv” “” lSub {size 8 {0}} “” lSup {size 8 {2}} “.” } {}ΠΠ΅Π»ΠΈΡΠΈΠ½Π° 12mv212mv2 ΡΠ°Π·ΠΌΠ΅Ρ 12 {{{1} Π±ΠΎΠ»ΡΡΠ΅ {2}} ital “mv” rSup {size 8 {2}}} {} Π² ΡΠ΅ΠΎΡΠ΅ΠΌΠ΅ ΠΎ ΡΠ°Π±ΠΎΡΠ΅-ΡΠ½Π΅ΡΠ³ΠΈΠΈ ΠΎΠΏΡΠ΅Π΄Π΅Π»ΡΠ΅ΡΡΡ ΠΊΠ°ΠΊ ΠΏΠΎΡΡΡΠΏΠ°ΡΠ΅Π»ΡΠ½Π°Ρ ΠΊΠΈΠ½Π΅ΡΠΈΡΠ΅ΡΠΊΠ°Ρ ΡΠ½Π΅ΡΠ³ΠΈΡ (KE) ΠΌΠ°ΡΡΠ° ΠΌΠΌ ΡΠ°Π·ΠΌΠ΅Ρ 12 {ΠΌ} {} Π΄Π²ΠΈΠΆΠ΅ΡΡΡ ΡΠΎ ΡΠΊΠΎΡΠΎΡΡΡΡ vv ΡΠ°Π·ΠΌΠ΅ΡΠΎΠΌ 12 {v} {}. Π’ΡΠ°Π½ΡΠ»ΡΡΠΈΠΎΠ½Π½Π°Ρ ΠΊΠΈΠ½Π΅ΡΠΈΡΠ΅ΡΠΊΠ°Ρ ΡΠ½Π΅ΡΠ³ΠΈΡ ΠΎΡΠ»ΠΈΡΠ°Π΅ΡΡΡ ΠΎΡ Π²ΡΠ°ΡΠ°ΡΠ΅Π»ΡΠ½ΠΎΠΉ ΠΊΠΈΠ½Π΅ΡΠΈΡΠ΅ΡΠΊΠΎΠΉ ΡΠ½Π΅ΡΠ³ΠΈΠΈ , ΠΊΠΎΡΠΎΡΠ°Ρ Π±ΡΠ΄Π΅Ρ ΡΠ°ΡΡΠΌΠΎΡΡΠ΅Π½Π° ΠΏΠΎΠ·ΠΆΠ΅.Π ΡΠΎΡΠΌΠ΅ ΡΡΠ°Π²Π½Π΅Π½ΠΈΡ ΠΏΠΎΡΡΡΠΏΠ°ΡΠ΅Π»ΡΠ½Π°Ρ ΠΊΠΈΠ½Π΅ΡΠΈΡΠ΅ΡΠΊΠ°Ρ ΡΠ½Π΅ΡΠ³ΠΈΡ,
7.12 KE = 12 ΠΌ2, KE = 12 ΠΌ2, ΡΠ°Π·ΠΌΠ΅Ρ 12 {“KE” = {{1} Π±ΠΎΠ»ΡΡΠ΅ {2}} ital “mv” rSup {size 8 {2}},} {}– ΡΠ½Π΅ΡΠ³ΠΈΡ, ΡΠ²ΡΠ·Π°Π½Π½Π°Ρ Ρ ΠΏΠΎΡΡΡΠΏΠ°ΡΠ΅Π»ΡΠ½ΡΠΌ Π΄Π²ΠΈΠΆΠ΅Π½ΠΈΠ΅ΠΌ. ΠΠΈΠ½Π΅ΡΠΈΡΠ΅ΡΠΊΠ°Ρ ΡΠ½Π΅ΡΠ³ΠΈΡ – ΡΡΠΎ ΡΠΎΡΠΌΠ° ΡΠ½Π΅ΡΠ³ΠΈΠΈ, ΡΠ²ΡΠ·Π°Π½Π½Π°Ρ Ρ Π΄Π²ΠΈΠΆΠ΅Π½ΠΈΠ΅ΠΌ ΡΠ°ΡΡΠΈΡΡ, ΠΎΡΠ΄Π΅Π»ΡΠ½ΠΎΠ³ΠΎ ΡΠ΅Π»Π° ΠΈΠ»ΠΈ ΡΠΈΡΡΠ΅ΠΌΡ ΠΎΠ±ΡΠ΅ΠΊΡΠΎΠ², ΠΊΠΎΡΠΎΡΡΠ΅ Π΄Π²ΠΈΠΆΡΡΡΡ Π²ΠΌΠ΅ΡΡΠ΅.
ΠΡ Π·Π½Π°Π΅ΠΌ, ΡΡΠΎ ΡΡΠ΅Π±ΡΠ΅ΡΡΡ ΡΠ½Π΅ΡΠ³ΠΈΡ, ΡΡΠΎΠ±Ρ ΡΠ°Π·ΠΎΠ³Π½Π°ΡΡ ΠΎΠ±ΡΠ΅ΠΊΡ, Π½Π°ΠΏΡΠΈΠΌΠ΅Ρ Π°Π²ΡΠΎΠΌΠΎΠ±ΠΈΠ»Ρ ΠΈΠ»ΠΈ ΠΏΠ°ΠΊΠ΅Ρ Π½Π° ΡΠΈΡ. 7.4, Π΄ΠΎ ΡΠΊΠΎΡΠΎΡΡΠΈ; ΠΎΠ΄Π½Π°ΠΊΠΎ ΠΌΠΎΠΆΠ΅Ρ ΠΏΠΎΠΊΠ°Π·Π°ΡΡΡΡ Π½Π΅ΠΌΠ½ΠΎΠ³ΠΎ ΡΠ΄ΠΈΠ²ΠΈΡΠ΅Π»ΡΠ½ΡΠΌ, ΡΡΠΎ ΠΊΠΈΠ½Π΅ΡΠΈΡΠ΅ΡΠΊΠ°Ρ ΡΠ½Π΅ΡΠ³ΠΈΡ ΠΏΡΠΎΠΏΠΎΡΡΠΈΠΎΠ½Π°Π»ΡΠ½Π° ΠΊΠ²Π°Π΄ΡΠ°ΡΡ ΡΠΊΠΎΡΠΎΡΡΠΈ.ΠΡΠ° ΠΏΡΠΎΠΏΠΎΡΡΠΈΠΎΠ½Π°Π»ΡΠ½ΠΎΡΡΡ ΠΎΠ·Π½Π°ΡΠ°Π΅Ρ, Π½Π°ΠΏΡΠΈΠΌΠ΅Ρ, ΡΡΠΎ Π°Π²ΡΠΎΠΌΠΎΠ±ΠΈΠ»Ρ, Π΄Π²ΠΈΠΆΡΡΠΈΠΉΡΡ ΡΠΎ ΡΠΊΠΎΡΠΎΡΡΡΡ 100 ΠΊΠΌ / Ρ, ΠΈΠΌΠ΅Π΅Ρ Π² ΡΠ΅ΡΡΡΠ΅ ΡΠ°Π·Π° Π±ΠΎΠ»ΡΡΡΡ ΠΊΠΈΠ½Π΅ΡΠΈΡΠ΅ΡΠΊΡΡ ΡΠ½Π΅ΡΠ³ΠΈΡ, ΡΠ΅ΠΌ ΠΏΡΠΈ 50 ΠΊΠΌ / Ρ, ΡΡΠΎ ΠΏΠΎΠΌΠΎΠ³Π°Π΅Ρ ΠΎΠ±ΡΡΡΠ½ΠΈΡΡ, ΠΏΠΎΡΠ΅ΠΌΡ ΡΡΠΎΠ»ΠΊΠ½ΠΎΠ²Π΅Π½ΠΈΡ Π½Π° Π²ΡΡΠΎΠΊΠΎΠΉ ΡΠΊΠΎΡΠΎΡΡΠΈ Π½Π°ΡΡΠΎΠ»ΡΠΊΠΎ ΡΠ°Π·ΡΡΡΠΈΡΠ΅Π»ΡΠ½Ρ. Π’Π΅ΠΏΠ΅ΡΡ ΠΌΡ ΡΠ°ΡΡΠΌΠΎΡΡΠΈΠΌ ΡΠ΅ΡΠΈΡ ΠΏΡΠΈΠΌΠ΅ΡΠΎΠ², ΡΡΠΎΠ±Ρ ΠΏΡΠΎΠΈΠ»Π»ΡΡΡΡΠΈΡΠΎΠ²Π°ΡΡ ΡΠ°Π·Π»ΠΈΡΠ½ΡΠ΅ Π°ΡΠΏΠ΅ΠΊΡΡ ΡΠ°Π±ΠΎΡΡ ΠΈ ΡΠ½Π΅ΡΠ³ΠΈΠΈ.
ΠΡΠΈΠΌΠ΅Π½Π΅Π½ΠΈΠ΅ Π½Π°ΡΡΠ½ΡΡ ΠΏΡΠ°ΠΊΡΠΈΠΊ: Π°Π²ΡΠΎΠΌΠΎΠ±ΠΈΠ»ΠΈ Π½Π° Ρ ΠΎΠ»ΠΌΠ΅
Π‘ΠΎΠ±Π΅ΡΠΈΡΠ΅ ΠΏΠ°Π½Π΄ΡΡ, ΠΏΠΎΠ΄Ρ ΠΎΠ΄ΡΡΠΈΠΉ Π΄Π»Ρ ΠΊΠ°ΡΠ°Π½ΠΈΡ ΠΈΠ³ΡΡΡΠ΅ΡΠ½ΡΡ ΠΌΠ°ΡΠΈΠ½ΠΎΠΊ Π²Π²Π΅ΡΡ ΠΈ Π²Π½ΠΈΠ·. ΠΠ°ΡΠ΅ΠΌ Π·Π°ΠΏΠ»Π°Π½ΠΈΡΡΠΉΡΠ΅ ΡΠ΅ΡΠΈΡ ΡΠΊΡΠΏΠ΅ΡΠΈΠΌΠ΅Π½ΡΠΎΠ², ΡΡΠΎΠ±Ρ ΠΎΠΏΡΠ΅Π΄Π΅Π»ΠΈΡΡ, ΠΊΠ°ΠΊ Π½Π°ΠΏΡΠ°Π²Π»Π΅Π½ΠΈΠ΅ ΡΠΈΠ»Ρ ΠΎΡΠ½ΠΎΡΠΈΡΠ΅Π»ΡΠ½ΠΎ ΡΠΊΠΎΡΠΎΡΡΠΈ ΠΎΠ±ΡΠ΅ΠΊΡΠ° ΠΈΠ·ΠΌΠ΅Π½ΡΠ΅Ρ ΠΊΠΈΠ½Π΅ΡΠΈΡΠ΅ΡΠΊΡΡ ΡΠ½Π΅ΡΠ³ΠΈΡ ΠΎΠ±ΡΠ΅ΠΊΡΠ°.ΠΠ±ΡΠ°ΡΠΈΡΠ΅ Π²Π½ΠΈΠΌΠ°Π½ΠΈΠ΅, ΡΡΠΎ ΡΠΈΠ»Π° ΡΡΠΆΠ΅ΡΡΠΈ Π²ΠΎ Π²ΡΠ΅Ρ ΡΠ»ΡΡΠ°ΡΡ Π±ΡΠ΄Π΅Ρ Π½Π°ΠΏΡΠ°Π²Π»Π΅Π½Π° ββΠ²Π½ΠΈΠ·. Π§ΡΠΎ Π±ΡΠ΄Π΅Ρ, Π΅ΡΠ»ΠΈ Π·Π°Π²Π΅ΡΡΠΈ ΠΌΠ°ΡΠΈΠ½Ρ ΡΠ²Π΅ΡΡ Ρ? ΠΠ°ΠΊ Π½Π°ΡΡΠ΅Ρ Π½ΠΈΠΆΠ½Π΅ΠΉ ΡΠ°ΡΡΠΈ Ρ ΡΠ²Π΅Π»ΠΈΡΠΈΠ²Π°ΡΡΠ΅ΠΉΡΡ Π½Π°ΡΠ°Π»ΡΠ½ΠΎΠΉ ΡΠΊΠΎΡΠΎΡΡΡΡ? ΠΡΠ»ΠΈ Ρ Π²Π°Ρ Π΄ΠΎΡΡΠ°ΡΠΎΡΠ½ΠΎ ΡΠΈΡΠΎΠΊΠΈΠΉ ΠΏΠ°Π½Π΄ΡΡ, ΡΡΠΎ ΠΏΡΠΎΠΈΠ·ΠΎΠΉΠ΄Π΅Ρ, Π΅ΡΠ»ΠΈ Π²Ρ ΠΎΡΠΏΡΠ°Π²ΠΈΡΠ΅ ΠΈΠ³ΡΡΡΠ΅ΡΠ½ΡΡ ΠΌΠ°ΡΠΈΠ½ΠΊΡ ΠΏΡΡΠΌΠΎ ΡΠ΅ΡΠ΅Π· Π΄ΠΎΡΠΎΠ³Ρ? ΠΠ·ΠΌΠ΅Π½ΡΠ΅Ρ Π»ΠΈ ΠΈΠ·ΠΌΠ΅Π½Π΅Π½ΠΈΠ΅ ΠΏΠΎΠ²Π΅ΡΡ Π½ΠΎΡΡΠΈ ΠΏΠ°Π½Π΄ΡΡΠ° Π²Π°ΡΠΈ ΡΠ΅Π·ΡΠ»ΡΡΠ°ΡΡ?
ΠΡΠΈΠΌΠ΅Ρ ΠΎΡΠ²Π΅ΡΠ°: ΠΠΎΠ³Π΄Π° ΠΈΠ³ΡΡΡΠ΅ΡΠ½Π°Ρ ΠΌΠ°ΡΠΈΠ½ΠΊΠ° ΡΠΏΡΡΠΊΠ°Π΅ΡΡΡ ΠΏΠΎ ΡΠ°ΠΌΠΏΠ΅, Ρ ΠΊΠΎΠΌΠΏΠΎΠ½Π΅Π½ΡΠΎΠΌ ΡΠΈΠ»Ρ ΡΡΠΆΠ΅ΡΡΠΈ Π² ΡΠΎΠΌ ΠΆΠ΅ Π½Π°ΠΏΡΠ°Π²Π»Π΅Π½ΠΈΠΈ, ΠΊΠΈΠ½Π΅ΡΠΈΡΠ΅ΡΠΊΠ°Ρ ΡΠ½Π΅ΡΠ³ΠΈΡ ΡΠ²Π΅Π»ΠΈΡΠΈΠ²Π°Π΅ΡΡΡ. ΠΡΠΏΡΠ°Π²ΠΊΠ° Π°Π²ΡΠΎΠΌΠΎΠ±ΠΈΠ»Ρ ΠΏΠΎ ΡΠ°ΠΌΠΏΠ΅ ΡΠ½ΠΈΠΆΠ°Π΅Ρ ΠΊΠΈΠ½Π΅ΡΠΈΡΠ΅ΡΠΊΡΡ ΡΠ½Π΅ΡΠ³ΠΈΡ, ΠΏΠΎΡΠΊΠΎΠ»ΡΠΊΡ Π³ΡΠ°Π²ΠΈΡΠ°ΡΠΈΡ ΠΏΡΠΎΡΠΈΠ²ΠΎΠ΄Π΅ΠΉΡΡΠ²ΡΠ΅Ρ Π΄Π²ΠΈΠΆΠ΅Π½ΠΈΡ.ΠΡΠΏΡΠ°Π²ΠΊΠ° Π°Π²ΡΠΎΠΌΠΎΠ±ΠΈΠ»Ρ Π² ΡΡΠΎΡΠΎΠ½Ρ Π΄ΠΎΠ»ΠΆΠ½Π° ΠΏΡΠ°ΠΊΡΠΈΡΠ΅ΡΠΊΠΈ Π½Π΅ ΠΏΡΠΈΠ²Π΅ΡΡΠΈ ΠΊ ΠΈΠ·ΠΌΠ΅Π½Π΅Π½ΠΈΡΠΌ. ΠΡΠ»ΠΈ Ρ Π²Π°Ρ Π΅ΡΡΡ ΠΏΠΎΠ²Π΅ΡΡ Π½ΠΎΡΡΡ, ΠΊΠΎΡΠΎΡΠ°Ρ ΡΠΎΠ·Π΄Π°Π΅Ρ Π±ΠΎΠ»ΡΡΠ΅Π΅ ΡΡΠ΅Π½ΠΈΠ΅, ΡΠ΅ΠΌ Π³Π»Π°Π΄ΠΊΠ°Ρ ΠΏΠΎΠ²Π΅ΡΡ Π½ΠΎΡΡΡ, Π½Π°ΠΏΡΠΈΠΌΠ΅Ρ ΠΊΠΎΠ²Π΅Ρ, ΠΎΠ±ΡΠ°ΡΠΈΡΠ΅ Π²Π½ΠΈΠΌΠ°Π½ΠΈΠ΅, ΡΡΠΎ ΡΡΠ΅Π½ΠΈΠ΅ Π²ΡΠ΅Π³Π΄Π° ΠΏΡΠΎΡΠΈΠ²ΠΎΠ΄Π΅ΠΉΡΡΠ²ΡΠ΅Ρ Π΄Π²ΠΈΠΆΠ΅Π½ΠΈΡ ΠΈ, ΡΠ»Π΅Π΄ΠΎΠ²Π°ΡΠ΅Π»ΡΠ½ΠΎ, ΡΠΌΠ΅Π½ΡΡΠ°Π΅Ρ ΠΊΠΈΠ½Π΅ΡΠΈΡΠ΅ΡΠΊΡΡ ΡΠ½Π΅ΡΠ³ΠΈΡ.
ΠΡΠΈΠΌΠ΅Ρ 7.2 Π Π°ΡΡΠ΅Ρ ΠΊΠΈΠ½Π΅ΡΠΈΡΠ΅ΡΠΊΠΎΠΉ ΡΠ½Π΅ΡΠ³ΠΈΠΈ ΡΠΏΠ°ΠΊΠΎΠ²ΠΊΠΈ
ΠΡΠ΅Π΄ΠΏΠΎΠ»ΠΎΠΆΠΈΠΌ, ΡΡΠΎ 30,0-ΠΊΠΈΠ»ΠΎΠ³ΡΠ°ΠΌΠΌΠΎΠ²Π°Ρ ΡΠΏΠ°ΠΊΠΎΠ²ΠΊΠ° Π½Π° ΡΠΎΠ»ΠΈΠΊΠΎΠ²ΠΎΠΉ Π»Π΅Π½ΡΠΎΡΠ½ΠΎΠΉ ΠΊΠΎΠ½Π²Π΅ΠΉΠ΅ΡΠ½ΠΎΠΉ ΡΠΈΡΡΠ΅ΠΌΠ΅, ΠΏΠΎΠΊΠ°Π·Π°Π½Π½ΠΎΠΉ Π½Π° ΡΠΈΡ. 7.4, Π΄Π²ΠΈΠΆΠ΅ΡΡΡ ΡΠΎ ΡΠΊΠΎΡΠΎΡΡΡΡ 0,500 ΠΌ / Ρ. ΠΠ°ΠΊΠΎΠ²Π° Π΅Π³ΠΎ ΠΊΠΈΠ½Π΅ΡΠΈΡΠ΅ΡΠΊΠ°Ρ ΡΠ½Π΅ΡΠ³ΠΈΡ?
Π‘ΡΡΠ°ΡΠ΅Π³ΠΈΡ
ΠΠΎΡΠΊΠΎΠ»ΡΠΊΡ Π΄Π°Π½Ρ ΠΌΠ°ΡΡΠ°, ΠΌΠΌ ΠΈ ΡΠΊΠΎΡΠΎΡΡΡ vv, ΠΊΠΈΠ½Π΅ΡΠΈΡΠ΅ΡΠΊΠ°Ρ ΡΠ½Π΅ΡΠ³ΠΈΡ ΠΌΠΎΠΆΠ΅Ρ Π±ΡΡΡ ΡΠ°ΡΡΡΠΈΡΠ°Π½Π° Π½Π° ΠΎΡΠ½ΠΎΠ²Π΅ Π΅Π΅ ΠΎΠΏΡΠ΅Π΄Π΅Π»Π΅Π½ΠΈΡ, ΠΏΡΠΈΠ²Π΅Π΄Π΅Π½Π½ΠΎΠ³ΠΎ Π² ΡΡΠ°Π²Π½Π΅Π½ΠΈΠΈ KE = 12mv2KE = 12mv2 ΡΠ°Π·ΠΌΠ΅Ρ 12 {“KE” = {{1} over {2}} ital “mv” rSup {ΡΠ°Π·ΠΌΠ΅Ρ 8 {2}}} {}.
Π Π΅ΡΠ΅Π½ΠΈΠ΅
ΠΠΈΠ½Π΅ΡΠΈΡΠ΅ΡΠΊΠ°Ρ ΡΠ½Π΅ΡΠ³ΠΈΡ ΠΎΠΏΡΠ΅Π΄Π΅Π»ΡΠ΅ΡΡΡ ΠΊΠ°ΠΊ
. 7.13 KE = 12 ΠΌΠ²2. KE = 12 ΠΌΠ²2. ΡΠ°Π·ΠΌΠ΅Ρ 12 {“KE” = {{1} Π±ΠΎΠ»ΡΡΠ΅ {2}} ital “mv” rSup {size 8 {2}} “.” } {}ΠΠ²ΠΎΠ΄ ΠΈΠ·Π²Π΅ΡΡΠ½ΡΡ Π·Π½Π°ΡΠ΅Π½ΠΈΠΉ Π΄Π°Π΅Ρ
7.14 KE = 0,5 (30,0 ΠΊΠ³) (0,500 ΠΌ / Ρ) 2, KE = 0,5 (30,0 ΠΊΠ³) (0,500 ΠΌ / Ρ) 2, ΡΠ°Π·ΠΌΠ΅Ρ 12 {“KE” = 0 “.” 5 \ (“30” “.” 0 “ΠΊΠ³” \) \ (0 “.” “500” “ΠΌ / Ρ” \) rSup {ΡΠ°Π·ΠΌΠ΅Ρ 8 {2}},} {}, ΡΡΠΎ Π΄Π°Π΅Ρ
7,15 KE = 3,75 ΠΊΠ³β ΠΌ2 / Ρ2 = 3,75 J.KE = 3,75 ΠΊΠ³β ΠΌ2 / Ρ2 = 3,75 J. ΡΠ°Π·ΠΌΠ΅Ρ 12 {“KE” = 3 “.” “75” ‘”ΠΊΠ³” cdot m rSup {size 8 {2}} “/ s” rSup {size 8 {2}} = 3 “.”” 75 “‘J”. “} {}ΠΠ±ΡΡΠΆΠ΄Π΅Π½ΠΈΠ΅
ΠΠ±ΡΠ°ΡΠΈΡΠ΅ Π²Π½ΠΈΠΌΠ°Π½ΠΈΠ΅, ΡΡΠΎ Π΅Π΄ΠΈΠ½ΠΈΡΠ΅ΠΉ ΠΊΠΈΠ½Π΅ΡΠΈΡΠ΅ΡΠΊΠΎΠΉ ΡΠ½Π΅ΡΠ³ΠΈΠΈ ΡΠ²Π»ΡΠ΅ΡΡΡ Π΄ΠΆΠΎΡΠ»Ρ, ΡΠΎ ΠΆΠ΅ ΡΠ°ΠΌΠΎΠ΅, ΡΡΠΎ ΠΈ Π΅Π΄ΠΈΠ½ΠΈΡΠ° ΡΠ°Π±ΠΎΡΡ, ΠΊΠ°ΠΊ ΡΠΏΠΎΠΌΠΈΠ½Π°Π»ΠΎΡΡ ΠΏΡΠΈ ΠΏΠ΅ΡΠ²ΠΎΠΌ ΠΎΠΏΡΠ΅Π΄Π΅Π»Π΅Π½ΠΈΠΈ ΡΠ°Π±ΠΎΡΡ. Π’Π°ΠΊΠΆΠ΅ ΠΈΠ½ΡΠ΅ΡΠ΅ΡΠ½ΠΎ ΡΠΎ, ΡΡΠΎ, Ρ ΠΎΡΡ ΡΡΠΎ Π΄ΠΎΠ²ΠΎΠ»ΡΠ½ΠΎ ΠΌΠ°ΡΡΠΈΠ²Π½ΡΠΉ ΠΏΠ°ΠΊΠ΅Ρ, Π΅Π³ΠΎ ΠΊΠΈΠ½Π΅ΡΠΈΡΠ΅ΡΠΊΠ°Ρ ΡΠ½Π΅ΡΠ³ΠΈΡ Π½Π΅Π²Π΅Π»ΠΈΠΊΠ° ΠΏΡΠΈ ΡΠ°ΠΊΠΎΠΉ ΠΎΡΠ½ΠΎΡΠΈΡΠ΅Π»ΡΠ½ΠΎ Π½ΠΈΠ·ΠΊΠΎΠΉ ΡΠΊΠΎΡΠΎΡΡΠΈ. ΠΡΠΎΡ ΡΠ°ΠΊΡ ΡΠΎΠ³Π»Π°ΡΡΠ΅ΡΡΡ Ρ Π½Π°Π±Π»ΡΠ΄Π΅Π½ΠΈΠ΅ΠΌ, ΡΡΠΎ Π»ΡΠ΄ΠΈ ΠΌΠΎΠ³ΡΡ ΠΏΠ΅ΡΠ΅ΠΌΠ΅ΡΠ°ΡΡ ΠΏΠ°ΠΊΠ΅ΡΡ ΡΠ°ΠΊΠΈΠΌ ΠΎΠ±ΡΠ°Π·ΠΎΠΌ, Π½Π΅ ΠΈΠ·Π½ΡΡΡΡ ΡΠ΅Π±Ρ.
Π‘ΠΎΠ΅Π΄ΠΈΠ½Π΅Π½ΠΈΡ Π² ΡΠ΅Π°Π»ΡΠ½ΠΎΠΌ ΠΌΠΈΡΠ΅: ΡΠ΅Π½ΡΡ ΠΌΠ°ΡΡ
ΠΡΠ΅Π΄ΠΏΠΎΠ»ΠΎΠΆΠΈΠΌ, Ρ Π½Π°Ρ Π΅ΡΡΡ Π΄Π²Π΅ ΡΠΊΡΠΏΠ΅ΡΠΈΠΌΠ΅Π½ΡΠ°Π»ΡΠ½ΡΠ΅ ΡΠ΅Π»Π΅ΠΆΠΊΠΈ ΠΎΠ΄ΠΈΠ½Π°ΠΊΠΎΠ²ΠΎΠΉ ΠΌΠ°ΡΡΡ, ΡΠΊΡΠ΅ΠΏΠ»Π΅Π½Π½ΡΠ΅ Π²ΠΌΠ΅ΡΡΠ΅ Π½Π° ΡΠ΅Π»ΡΡΠ΅ Ρ ΡΠΆΠ°ΡΠΎΠΉ ΠΏΡΡΠΆΠΈΠ½ΠΎΠΉ ΠΌΠ΅ΠΆΠ΄Ρ Π½ΠΈΠΌΠΈ.ΠΠΎΠ³Π΄Π° Π·Π°ΡΠ΅Π»ΠΊΠ° ΠΎΡΠΏΡΡΠ΅Π½Π°, ΠΏΡΡΠΆΠΈΠ½Π° ΡΠ°Π±ΠΎΡΠ°Π΅Ρ Ρ ΡΠ΅Π»Π΅ΠΆΠΊΠ°ΠΌΠΈ Π½Π° 10 ΠΠΆ. ΠΡ ΡΠ²ΠΈΠ΄ΠΈΠΌ, ΠΊΠ°ΠΊ ΡΡΠΎ ΡΠ΄Π΅Π»Π°ΡΡ, Π² ΠΏΠ°ΡΠ΅ ΡΠ°Π·Π΄Π΅Π»ΠΎΠ². Π’Π΅Π»Π΅ΠΆΠΊΠΈ Π΄Π²ΠΈΠΆΡΡΡΡ ΠΎΡΠ½ΠΎΡΠΈΡΠ΅Π»ΡΠ½ΠΎ ΠΏΡΡΠΆΠΈΠ½Ρ, ΠΊΠΎΡΠΎΡΠ°Ρ ΡΠ²Π»ΡΠ΅ΡΡΡ ΡΠ΅Π½ΡΡΠΎΠΌ ΠΌΠ°ΡΡ ΡΠΈΡΡΠ΅ΠΌΡ. ΠΠ΄Π½Π°ΠΊΠΎ ΡΠ΅Π½ΡΡ ΠΌΠ°ΡΡ ΠΎΡΡΠ°Π΅ΡΡΡ Π½Π΅ΠΈΠ·ΠΌΠ΅Π½Π½ΡΠΌ. ΠΠ°ΠΊ ΠΌΡ ΠΌΠΎΠΆΠ΅ΠΌ ΡΡΠ΅ΡΡΡ ΠΊΠΈΠ½Π΅ΡΠΈΡΠ΅ΡΠΊΡΡ ΡΠ½Π΅ΡΠ³ΠΈΡ ΡΡΠΎΠΉ ΡΠΈΡΡΠ΅ΠΌΡ?
Π‘ΠΎΠ³Π»Π°ΡΠ½ΠΎ ΡΠ΅ΠΎΡΠ΅ΠΌΠ΅ ΡΠ°Π±ΠΎΡΡ-ΡΠ½Π΅ΡΠ³ΠΈΠΈ, ΡΠ°Π±ΠΎΡΠ°, Π²ΡΠΏΠΎΠ»Π½ΡΠ΅ΠΌΠ°Ρ ΠΏΡΡΠΆΠΈΠ½ΠΎΠΉ Π½Π° ΡΠ΅Π»Π΅ΠΆΠΊΠ°Ρ , Π΄ΠΎΠ»ΠΆΠ½Π° ΠΏΡΠ΅Π²ΡΠ°ΡΠΈΡΡΡΡ Π² ΠΊΠΈΠ½Π΅ΡΠΈΡΠ΅ΡΠΊΡΡ ΡΠ½Π΅ΡΠ³ΠΈΡ. ΠΡΠ°ΠΊ, ΡΡΠ° ΡΠΈΡΡΠ΅ΠΌΠ° ΠΈΠΌΠ΅Π΅Ρ ΠΊΠΈΠ½Π΅ΡΠΈΡΠ΅ΡΠΊΡΡ ΡΠ½Π΅ΡΠ³ΠΈΡ 10 ΠΠΆ. ΠΠΎΠ»Π½Π°Ρ ΠΊΠΈΠ½Π΅ΡΠΈΡΠ΅ΡΠΊΠ°Ρ ΡΠ½Π΅ΡΠ³ΠΈΡ ΡΠΈΡΡΠ΅ΠΌΡ – ΡΡΠΎ ΠΊΠΈΠ½Π΅ΡΠΈΡΠ΅ΡΠΊΠ°Ρ ΡΠ½Π΅ΡΠ³ΠΈΡ ΡΠ΅Π½ΡΡΠ° ΠΌΠ°ΡΡ ΡΠΈΡΡΠ΅ΠΌΡ ΠΎΡΠ½ΠΎΡΠΈΡΠ΅Π»ΡΠ½ΠΎ ΡΠΈΠΊΡΠΈΡΠΎΠ²Π°Π½Π½ΠΎΠ³ΠΎ Π½Π°ΡΠ°Π»Π° ΠΊΠΎΠΎΡΠ΄ΠΈΠ½Π°Ρ ΠΏΠ»ΡΡ ΠΊΠΈΠ½Π΅ΡΠΈΡΠ΅ΡΠΊΠ°Ρ ΡΠ½Π΅ΡΠ³ΠΈΡ ΠΊΠ°ΠΆΠ΄ΠΎΠΉ ΡΠ΅Π»Π΅ΠΆΠΊΠΈ ΠΎΡΠ½ΠΎΡΠΈΡΠ΅Π»ΡΠ½ΠΎ ΡΠ΅Π½ΡΡΠ° ΠΌΠ°ΡΡ.ΠΡ Π·Π½Π°Π΅ΠΌ, ΡΡΠΎ ΡΠ΅Π½ΡΡ ΠΌΠ°ΡΡ ΠΎΡΠ½ΠΎΡΠΈΡΠ΅Π»ΡΠ½ΠΎ Π½Π΅ΠΏΠΎΠ΄Π²ΠΈΠΆΠ½ΠΎΠ³ΠΎ Π½Π°ΡΠ°Π»Π° ΠΊΠΎΠΎΡΠ΄ΠΈΠ½Π°Ρ Π½Π΅ ΠΏΠ΅ΡΠ΅ΠΌΠ΅ΡΠ°Π΅ΡΡΡ, ΠΈ ΠΏΠΎΡΡΠΎΠΌΡ Π²ΡΡ ΠΊΠΈΠ½Π΅ΡΠΈΡΠ΅ΡΠΊΠ°Ρ ΡΠ½Π΅ΡΠ³ΠΈΡ Π΄ΠΎΠ»ΠΆΠ½Π° ΡΠ°ΡΠΏΡΠ΅Π΄Π΅Π»ΡΡΡΡΡ ΠΌΠ΅ΠΆΠ΄Ρ ΡΠ΅Π»Π΅ΠΆΠΊΠ°ΠΌΠΈ ΠΎΡΠ½ΠΎΡΠΈΡΠ΅Π»ΡΠ½ΠΎ ΡΠ΅Π½ΡΡΠ° ΠΌΠ°ΡΡ. ΠΠΎΡΠΊΠΎΠ»ΡΠΊΡ ΡΠ΅Π»Π΅ΠΆΠΊΠΈ ΠΈΠΌΠ΅ΡΡ ΡΠ°Π²Π½ΡΡ ΠΌΠ°ΡΡΡ, ΠΊΠ°ΠΆΠ΄Π°Ρ ΠΈΠ· Π½ΠΈΡ ΠΏΠΎΠ»ΡΡΠ°Π΅Ρ ΡΠ°Π²Π½ΠΎΠ΅ ΠΊΠΎΠ»ΠΈΡΠ΅ΡΡΠ²ΠΎ ΠΊΠΈΠ½Π΅ΡΠΈΡΠ΅ΡΠΊΠΎΠΉ ΡΠ½Π΅ΡΠ³ΠΈΠΈ, ΠΏΠΎΡΡΠΎΠΌΡ ΠΊΠ°ΠΆΠ΄Π°Ρ ΡΠ΅Π»Π΅ΠΆΠΊΠ° ΠΈΠΌΠ΅Π΅Ρ 5,0 ΠΠΆ ΠΊΠΈΠ½Π΅ΡΠΈΡΠ΅ΡΠΊΠΎΠΉ ΡΠ½Π΅ΡΠ³ΠΈΠΈ.
Π Π½Π°ΡΠ΅ΠΌ ΠΏΡΠΈΠΌΠ΅ΡΠ΅ ΡΠΈΠ»Ρ ΠΌΠ΅ΠΆΠ΄Ρ ΠΏΡΡΠΆΠΈΠ½ΠΎΠΉ ΠΈ ΠΊΠ°ΠΆΠ΄ΠΎΠΉ ΡΠ΅Π»Π΅ΠΆΠΊΠΎΠΉ ΡΠ²Π»ΡΡΡΡΡ Π²Π½ΡΡΡΠ΅Π½Π½ΠΈΠΌΠΈ ΠΏΠΎ ΠΎΡΠ½ΠΎΡΠ΅Π½ΠΈΡ ΠΊ ΡΠΈΡΡΠ΅ΠΌΠ΅. Π‘ΠΎΠ³Π»Π°ΡΠ½ΠΎ ΡΡΠ΅ΡΡΠ΅ΠΌΡ Π·Π°ΠΊΠΎΠ½Ρ ΠΡΡΡΠΎΠ½Π°, ΡΡΠΈ Π²Π½ΡΡΡΠ΅Π½Π½ΠΈΠ΅ ΡΠΈΠ»Ρ ΡΡΠ°Π²Π½ΠΎΠ²Π΅ΡΠΈΠ²Π°ΡΡΡΡ, ΠΏΠΎΡΠΊΠΎΠ»ΡΠΊΡ ΠΎΠ½ΠΈ ΡΠ°Π²Π½Ρ ΠΈ ΠΏΡΠΎΡΠΈΠ²ΠΎΠΏΠΎΠ»ΠΎΠΆΠ½Ρ ΠΏΠΎ Π½Π°ΠΏΡΠ°Π²Π»Π΅Π½ΠΈΡ.ΠΠ΄Π½Π°ΠΊΠΎ ΡΡΠΎ Π½Π΅ ΠΎΠ·Π½Π°ΡΠ°Π΅Ρ, ΡΡΠΎ ΡΡΠΈ Π²Π½ΡΡΡΠ΅Π½Π½ΠΈΠ΅ ΡΠΈΠ»Ρ Π½Π΅ ΡΠ°Π±ΠΎΡΠ°ΡΡ. Π’Π°ΠΊΠΈΠΌ ΠΎΠ±ΡΠ°Π·ΠΎΠΌ, ΠΈΠ·ΠΌΠ΅Π½Π΅Π½ΠΈΠ΅ ΠΊΠΈΠ½Π΅ΡΠΈΡΠ΅ΡΠΊΠΎΠΉ ΡΠ½Π΅ΡΠ³ΠΈΠΈ ΡΠΈΡΡΠ΅ΠΌΡ Π²ΡΠ·ΡΠ²Π°Π΅ΡΡΡ ΡΠ°Π±ΠΎΡΠΎΠΉ, ΡΠΎΠ²Π΅ΡΡΠ°Π΅ΠΌΠΎΠΉ ΡΠΈΠ»ΠΎΠΉ ΠΏΡΡΠΆΠΈΠ½Ρ, ΠΈ ΠΏΡΠΈΠ²ΠΎΠ΄ΠΈΡ ΠΊ Π΄Π²ΠΈΠΆΠ΅Π½ΠΈΡ Π΄Π²ΡΡ ΡΠ΅Π»Π΅ΠΆΠ΅ΠΊ ΠΎΡΠ½ΠΎΡΠΈΡΠ΅Π»ΡΠ½ΠΎ ΡΠ΅Π½ΡΡΠ° ΠΌΠ°ΡΡ.
ΠΡΠΈΠΌΠ΅Ρ 7.3 ΠΠΏΡΠ΅Π΄Π΅Π»Π΅Π½ΠΈΠ΅ ΡΠ°Π±ΠΎΡΡ ΠΏΠΎ ΡΡΠΊΠΎΡΠ΅Π½ΠΈΡ ΠΏΠ°ΠΊΠ΅ΡΠ°
ΠΡΠ΅Π΄ΠΏΠΎΠ»ΠΎΠΆΠΈΠΌ, ΡΡΠΎ Π²Ρ ΡΠΎΠ»ΠΊΠ°Π΅ΡΠ΅ 30,0-ΠΊΠΈΠ»ΠΎΠ³ΡΠ°ΠΌΠΌΠΎΠ²ΡΠΉ ΠΏΠ°ΠΊΠ΅Ρ, ΠΏΠΎΠΊΠ°Π·Π°Π½Π½ΡΠΉ Π½Π° ΡΠΈΡ. 7.4, Ρ ΠΏΠΎΡΡΠΎΡΠ½Π½ΠΎΠΉ ΡΠΈΠ»ΠΎΠΉ 120 Π Π½Π° ΡΠ°ΡΡΡΠΎΡΠ½ΠΈΠ΅ 0,800 ΠΌ, Π° ΡΠΈΠ»Π° ΡΡΠ΅Π½ΠΈΡ ΠΏΡΠΎΡΠΈΠ²ΠΎΠΏΠΎΠ»ΠΎΠΆΠ½ΠΎΠΉ ΡΡΠΎΡΠΎΠ½Ρ Π² ΡΡΠ΅Π΄Π½Π΅ΠΌ ΡΠΎΡΡΠ°Π²Π»ΡΠ΅Ρ 5.00 Π.
(a) Π Π°ΡΡΡΠΈΡΠ°ΠΉΡΠ΅ ΡΠΈΡΡΡΡ ΡΠ°Π±ΠΎΡΡ, ΠΏΡΠΎΠ΄Π΅Π»Π°Π½Π½ΡΡ Ρ ΡΠΏΠ°ΠΊΠΎΠ²ΠΊΠΎΠΉ. (b) Π Π΅ΡΠΈΡΠ΅ ΡΡ ΠΆΠ΅ Π·Π°Π΄Π°ΡΡ, ΡΡΠΎ ΠΈ Π² ΡΠ°ΡΡΠΈ (a), Π½Π° ΡΡΠΎΡ ΡΠ°Π· Π½Π°ΠΉΠ΄Ρ ΡΠ°Π±ΠΎΡΡ, Π²ΡΠΏΠΎΠ»Π½ΡΠ΅ΠΌΡΡ ΠΊΠ°ΠΆΠ΄ΠΎΠΉ ΡΠΈΠ»ΠΎΠΉ, ΠΊΠΎΡΠΎΡΠ°Ρ Π²Π½ΠΎΡΠΈΡ Π²ΠΊΠ»Π°Π΄ Π² ΡΠ΅Π·ΡΠ»ΡΡΠΈΡΡΡΡΡΡ ΡΠΈΠ»Ρ.
Π‘ΡΡΠ°ΡΠ΅Π³ΠΈΡ ΠΈ ΠΊΠΎΠ½ΡΠ΅ΠΏΡΠΈΡ (Π°)
ΠΡΠΎ Π·Π°Π΄Π°ΡΠ° Π΄Π²ΠΈΠΆΠ΅Π½ΠΈΡ Π² ΠΎΠ΄Π½ΠΎΠΌ ΠΈΠ·ΠΌΠ΅ΡΠ΅Π½ΠΈΠΈ. Π‘ΠΈΠ»Π°, Π½Π°ΠΏΡΠ°Π²Π»Π΅Π½Π½Π°Ρ Π²Π½ΠΈΠ· (ΠΎΡ Π²Π΅ΡΠ° ΡΠΏΠ°ΠΊΠΎΠ²ΠΊΠΈ), ΠΈ Π½ΠΎΡΠΌΠ°Π»ΡΠ½Π°Ρ ΡΠΈΠ»Π° ΠΈΠΌΠ΅ΡΡ ΡΠ°Π²Π½ΡΡ Π²Π΅Π»ΠΈΡΠΈΠ½Ρ ΠΈ ΠΏΡΠΎΡΠΈΠ²ΠΎΠΏΠΎΠ»ΠΎΠΆΠ½ΠΎΠ΅ Π½Π°ΠΏΡΠ°Π²Π»Π΅Π½ΠΈΠ΅, ΠΏΠΎΡΡΠΎΠΌΡ ΠΎΠ½ΠΈ Π²Π·Π°ΠΈΠΌΠ½ΠΎ ΠΊΠΎΠΌΠΏΠ΅Π½ΡΠΈΡΡΡΡΡΡ ΠΏΡΠΈ Π²ΡΡΠΈΡΠ»Π΅Π½ΠΈΠΈ ΡΠΈΡΡΠΎΠΉ ΡΠΈΠ»Ρ, Π² ΡΠΎ Π²ΡΠ΅ΠΌΡ ΠΊΠ°ΠΊ ΠΏΡΠΈΠ»ΠΎΠΆΠ΅Π½Π½Π°Ρ ΡΠΈΠ»Π°, ΡΡΠ΅Π½ΠΈΠ΅ ΠΈ ΡΠΌΠ΅ΡΠ΅Π½ΠΈΠ΅ ΡΠ²Π»ΡΡΡΡΡ Π³ΠΎΡΠΈΠ·ΠΎΠ½ΡΠ°Π»ΡΠ½ΡΠΌΠΈ (ΡΠΌ. Π ΠΈΡΡΠ½ΠΎΠΊ 7.4). ΠΠ°ΠΊ ΠΈ ΠΎΠΆΠΈΠ΄Π°Π»ΠΎΡΡ, ΡΠΈΡΡΠ°Ρ ΡΠ°Π±ΠΎΡΠ° – ΡΡΠΎ ΡΠΈΡΡΠ°Ρ ΡΠΈΠ»Π°, ΡΠΌΠ½ΠΎΠΆΠ΅Π½Π½Π°Ρ Π½Π° ΡΠ°ΡΡΡΠΎΡΠ½ΠΈΠ΅.
Π Π΅ΡΠ΅Π½ΠΈΠ΅ Π΄Π»Ρ (Π°)
Π§ΠΈΡΡΠ°Ρ ΡΠΈΠ»Π° – ΡΡΠΎ ΡΠΈΠ»Π° ΡΠΎΠ»ΡΠΊΠ° Π·Π° Π²ΡΡΠ΅ΡΠΎΠΌ ΡΡΠ΅Π½ΠΈΡ, ΠΈΠ»ΠΈ Fnet = 120 Π – 5,00 Π = 115 ΠFnet = 120 Π – 5,00 Π = 115 Π ΡΠ°Π·ΠΌΠ΅Ρ 12 {F rSub {ΡΠ°Π·ΠΌΠ΅Ρ 8 {“net”}} “= 120 Π – 5 “”. ” “00 N = 115 N”} {}. Π’Π°ΠΊΠΈΠΌ ΠΎΠ±ΡΠ°Π·ΠΎΠΌ, ΡΠΈΡΡΠ°Ρ ΡΠ°Π±ΠΎΡΠ°
7.16 Wnet = Fnetd = 115 N0.800 m = 92.0 Nβ m = 92.0 J.Wnet = Fnetd = 115 N0.800 m = 92.0 Nβ m = 92.0 J.alignl {stack {size 12 {W rSub {size 8 {) “net”}} = F rSub {ΡΠ°Π·ΠΌΠ΅Ρ 8 {“net”}} d = left (“115” ‘N ΡΠΏΡΠ°Π²Π°) left (0 “.”” 800 “ΠΏΡΠ°Π²)} {} #” “=” 92 “”. “0’N cdot m =” 92 “”. “0’J”. “{}}} {}ΠΠ±ΡΡΠΆΠ΄Π΅Π½ΠΈΠ΅ Π΄Π»Ρ (Π°)
ΠΡΠΎ Π·Π½Π°ΡΠ΅Π½ΠΈΠ΅ ΠΏΡΠ΅Π΄ΡΡΠ°Π²Π»ΡΠ΅Ρ ΡΠΎΠ±ΠΎΠΉ ΡΠΈΡΡΡΡ ΡΠ°Π±ΠΎΡΡ, Π²ΡΠΏΠΎΠ»Π½Π΅Π½Π½ΡΡ Ρ ΠΏΠ°ΠΊΠ΅ΡΠΎΠΌ. ΠΠ° ΡΠ°ΠΌΠΎΠΌ Π΄Π΅Π»Π΅ ΡΠ΅Π»ΠΎΠ²Π΅ΠΊ Π²ΡΠΏΠΎΠ»Π½ΡΠ΅Ρ Π±ΠΎΠ»ΡΡΠ΅ ΡΠ°Π±ΠΎΡΡ, ΠΏΠΎΡΠΎΠΌΡ ΡΡΠΎ ΡΡΠ΅Π½ΠΈΠ΅ ΠΏΡΠ΅ΠΏΡΡΡΡΠ²ΡΠ΅Ρ Π΄Π²ΠΈΠΆΠ΅Π½ΠΈΡ. Π’ΡΠ΅Π½ΠΈΠ΅ ΡΠΎΠ²Π΅ΡΡΠ°Π΅Ρ Π½Π΅Π³Π°ΡΠΈΠ²Π½ΡΡ ΡΠ°Π±ΠΎΡΡ ΠΈ ΡΠ΄Π°Π»ΡΠ΅Ρ ΡΠ°ΡΡΡ ΡΠ½Π΅ΡΠ³ΠΈΠΈ, ΠΊΠΎΡΠΎΡΡΡ ΡΠ΅Π»ΠΎΠ²Π΅ΠΊ ΡΡΠ°ΡΠΈΡ, ΠΈ ΠΏΡΠ΅ΠΎΠ±ΡΠ°Π·ΡΠ΅Ρ Π΅Π΅ Π² ΡΠ΅ΠΏΠ»ΠΎΠ²ΡΡ ΡΠ½Π΅ΡΠ³ΠΈΡ. Π§ΠΈΡΡΠ°Ρ ΡΠ°Π±ΠΎΡΠ° ΡΠ°Π²Π½Π° ΡΡΠΌΠΌΠ΅ ΡΠ°Π±ΠΎΡΡ, ΠΏΡΠΎΠ΄Π΅Π»Π°Π½Π½ΠΎΠΉ ΠΊΠ°ΠΆΠ΄ΠΎΠΉ ΠΎΡΠ΄Π΅Π»ΡΠ½ΠΎΠΉ ΡΠΈΠ»ΠΎΠΉ.
Π‘ΡΡΠ°ΡΠ΅Π³ΠΈΡ ΠΈ ΠΊΠΎΠ½ΡΠ΅ΠΏΡΠΈΡ (b)
Π ΡΠΈΠ»Π°ΠΌ, Π΄Π΅ΠΉΡΡΠ²ΡΡΡΠΈΠΌ Π½Π° ΡΠΏΠ°ΠΊΠΎΠ²ΠΊΡ, ΠΎΡΠ½ΠΎΡΡΡΡΡ ΡΠΈΠ»Π° ΡΡΠΆΠ΅ΡΡΠΈ, Π½ΠΎΡΠΌΠ°Π»ΡΠ½Π°Ρ ΡΠΈΠ»Π°, ΡΠΈΠ»Π° ΡΡΠ΅Π½ΠΈΡ ΠΈ ΠΏΡΠΈΠ»ΠΎΠΆΠ΅Π½Π½Π°Ρ ΡΠΈΠ»Π°.ΠΠΎΡΠΌΠ°Π»ΡΠ½Π°Ρ ΡΠΈΠ»Π° ΠΈ ΡΠΈΠ»Π° ΡΡΠΆΠ΅ΡΡΠΈ ΠΏΠ΅ΡΠΏΠ΅Π½Π΄ΠΈΠΊΡΠ»ΡΡΠ½Ρ ΠΏΠ΅ΡΠ΅ΠΌΠ΅ΡΠ΅Π½ΠΈΡ ΠΈ ΠΏΠΎΡΡΠΎΠΌΡ Π½Π΅ ΡΠ°Π±ΠΎΡΠ°ΡΡ.
Π Π΅ΡΠ΅Π½ΠΈΠ΅ Π΄Π»Ρ (b)
ΠΡΠΈΠ»ΠΎΠΆΠ΅Π½Π½Π°Ρ ΡΠΈΠ»Π° ΡΠ°Π±ΠΎΡΠ°Π΅Ρ.
7.17 Wapp = Fappdcos0ΒΊ = Fappd = 120 N0.800 m = 96.0 J.Wapp = Fappdcos0ΒΊ = Fappd = 120 N0.800 m = 96.0 J.alignl {stack {size 12 {W rSub {size 8 {“app”}} = F rSub {ΡΠ°Π·ΠΌΠ΅Ρ 8 {“app”}} d “cos” Π²Π»Π΅Π²ΠΎ (0 Β° Π²ΠΏΡΠ°Π²ΠΎ) = F rSub {ΡΠ°Π·ΠΌΠ΅Ρ 8 {“app”}} d} {} # “” = left (“120 N” ΡΠΏΡΠ°Π²Π°) Π²Π»Π΅Π²ΠΎ (0 “.” “800” “ΠΌ” Π²ΠΏΡΠ°Π²ΠΎ) {} # “” = “96” “.”” 0 J “”. “{}}} {}Π‘ΠΈΠ»Π° ΡΡΠ΅Π½ΠΈΡ ΠΈ ΡΠΌΠ΅ΡΠ΅Π½ΠΈΠ΅ ΠΈΠΌΠ΅ΡΡ ΠΏΡΠΎΡΠΈΠ²ΠΎΠΏΠΎΠ»ΠΎΠΆΠ½ΡΠ΅ Π½Π°ΠΏΡΠ°Π²Π»Π΅Π½ΠΈΡ, ΡΠ°ΠΊ ΡΡΠΎ ΞΈ = 180ΒΊΞΈ = 180ΒΊ, ΡΠ°Π·ΠΌΠ΅Ρ 12 {ΞΈ = “180” Β°} {}, Π° ΡΠ°Π±ΠΎΡΠ°, Π²ΡΠΏΠΎΠ»Π½ΡΠ΅ΠΌΠ°Ρ ΡΡΠ΅Π½ΠΈΠ΅ΠΌ, ΡΠ°Π²Π½Π°
7.18 Wfr = Ffrdcos180ΒΊ = βFfrd = β5.00 N0.800 m = β4.00 J.Wfr = Ffrdcos180ΒΊ = βFfrd = β5.00 N0.800 m = β4.00 J.alignl {stack {size 12 {W rSub {size 8 {) “fr”}} = F rSub {ΡΠ°Π·ΠΌΠ΅Ρ 8 {“fr”}} d “cos” Π²Π»Π΅Π²ΠΎ (“180” Β° Π²ΠΏΡΠ°Π²ΠΎ) = – F rSub {ΡΠ°Π·ΠΌΠ΅Ρ 8 {“fr”}} d} {} # “” = – left (5 “.” “00 N” right) left (0 “.” “” 800 “” m “right) {} # ital” “= – 4”. “. “00” J “.”{}}} {}Π’Π°ΠΊΠΈΠΌ ΠΎΠ±ΡΠ°Π·ΠΎΠΌ, ΠΊΠΎΠ»ΠΈΡΠ΅ΡΡΠ²ΠΎ ΡΠ°Π±ΠΎΡΡ, ΡΠΎΠ²Π΅ΡΡΠ°Π΅ΠΌΠΎΠΉ Π³ΡΠ°Π²ΠΈΡΠ°ΡΠΈΠ΅ΠΉ, Π½ΠΎΡΠΌΠ°Π»ΡΠ½ΠΎΠΉ ΡΠΈΠ»ΠΎΠΉ, ΠΏΡΠΈΠ»ΠΎΠΆΠ΅Π½Π½ΠΎΠΉ ΡΠΈΠ»ΠΎΠΉ ΠΈ ΡΡΠ΅Π½ΠΈΠ΅ΠΌ, ΡΠΎΡΡΠ°Π²Π»ΡΠ΅Ρ, ΡΠΎΠΎΡΠ²Π΅ΡΡΡΠ²Π΅Π½Π½ΠΎ,
. 7,19 Wgr = 0, WN = 0, Wapp = 96,0 ΠΠΆ, Wfr = β4,00 J.Wgr = 0, WN = 0, Wapp = 96,0 ΠΠΆ, Wfr = β4,00 J.alignl {stack {size 12 {W rSub {size 8 {“gr”}} = 0,} {} # W rSub {size 8 {N}} = 0, {} # W rSub {size 8 {“app”}} = “96” “.” 0 “J” {} # W rSub {size 8 {“fr”}} = – 4 “.” “00” “J” “.” {}}} {}ΠΠ±ΡΠ°Ρ ΠΏΡΠΎΠ΄Π΅Π»Π°Π½Π½Π°Ρ ΡΠ°Π±ΠΎΡΠ° ΠΊΠ°ΠΊ ΡΡΠΌΠΌΠ° ΡΠ°Π±ΠΎΡΡ, ΠΏΡΠΎΠ΄Π΅Π»Π°Π½Π½ΠΎΠΉ ΠΊΠ°ΠΆΠ΄ΠΎΠΉ ΡΠΈΠ»ΠΎΠΉ, ΡΠΎΠ³Π΄Π° ΡΠΎΡΡΠ°Π²Π»ΡΠ΅Ρ
. 7.20 Wtotal = Wgr + WN + Wapp + Wfr = 92,0 J.Wtotal = Wgr + WN + Wapp + Wfr = 92,0 J. ΡΠ°Π·ΠΌΠ΅Ρ 12 {W rSub {ΡΠ°Π·ΠΌΠ΅Ρ 8 {“total”}} = W rSub {ΡΠ°Π·ΠΌΠ΅Ρ 8 {“gr “}} + W rSub {ΡΠ°Π·ΠΌΠ΅Ρ 8 {N}} + W rSub {ΡΠ°Π·ΠΌΠ΅Ρ 8 {” app “}} + W rSub {ΡΠ°Π·ΠΌΠ΅Ρ 8 {” fr “}} =” 92 “”. ” 0 “J”} {}ΠΠ±ΡΡΠΆΠ΄Π΅Π½ΠΈΠ΅ Π΄Π»Ρ (Π±)
Π Π°ΡΡΡΠΈΡΠ°Π½Π½Π°Ρ ΠΎΠ±ΡΠ°Ρ ΡΠ°Π±ΠΎΡΠ° WtotalWtotal size 12 {W rSub {size 8 {“total”}}} {} ΠΊΠ°ΠΊ ΡΡΠΌΠΌΠ° ΡΠ°Π±ΠΎΡΡ ΠΊΠ°ΠΆΠ΄ΠΎΠΉ ΡΠΈΠ»Ρ ΡΠΎΠΎΡΠ²Π΅ΡΡΡΠ²ΡΠ΅Ρ ΡΠ°Π±ΠΎΡΠ΅, ΠΊΠ°ΠΊ ΠΈ ΠΎΠΆΠΈΠ΄Π°Π»ΠΎΡΡ, ΡΠ°Π·ΠΌΠ΅Ρ WnetWnet 12 {W rSub {size 8 { “net”}}} {} ΡΠ΄Π΅Π»Π°Π½ΠΎ ΡΠΈΡΡΠΎΠΉ ΡΠΈΠ»ΠΎΠΉ. Π Π°Π±ΠΎΡΠ°, Π²ΡΠΏΠΎΠ»Π½ΡΠ΅ΠΌΠ°Ρ ΡΠΎΠ²ΠΎΠΊΡΠΏΠ½ΠΎΡΡΡΡ ΡΠΈΠ», Π΄Π΅ΠΉΡΡΠ²ΡΡΡΠΈΡ Π½Π° ΠΎΠ±ΡΠ΅ΠΊΡ, ΠΌΠΎΠΆΠ΅Ρ Π±ΡΡΡ ΡΠ°ΡΡΡΠΈΡΠ°Π½Π° Π»ΡΠ±ΡΠΌ ΠΏΠΎΠ΄Ρ ΠΎΠ΄ΠΎΠΌ.
ΠΡΠΈΠΌΠ΅Ρ 7.4 ΠΠΏΡΠ΅Π΄Π΅Π»Π΅Π½ΠΈΠ΅ ΡΠΊΠΎΡΠΎΡΡΠΈ ΠΏΠΎ ΡΠ°Π±ΠΎΡΠ΅ ΠΈ ΡΠ½Π΅ΡΠ³ΠΈΠΈ
ΠΠ°ΠΉΠ΄ΠΈΡΠ΅ ΡΠΊΠΎΡΠΎΡΡΡ ΠΏΠ°ΠΊΠ΅ΡΠ° Π½Π° ΡΠΈΡ. 7.4 Π² ΠΊΠΎΠ½ΡΠ΅ ΠΏΡΠΎΡΠ°Π»ΠΊΠΈΠ²Π°Π½ΠΈΡ, ΠΈΡΠΏΠΎΠ»ΡΠ·ΡΡ ΠΊΠΎΠ½ΡΠ΅ΠΏΡΠΈΠΈ ΡΠ°Π±ΠΎΡΡ ΠΈ ΡΠ½Π΅ΡΠ³ΠΈΠΈ.
Π‘ΡΡΠ°ΡΠ΅Π³ΠΈΡ
ΠΠ΄Π΅ΡΡ ΠΌΠΎΠΆΠ½ΠΎ ΠΈΡΠΏΠΎΠ»ΡΠ·ΠΎΠ²Π°ΡΡ ΡΠ΅ΠΎΡΠ΅ΠΌΡ ΡΠ°Π±ΠΎΡΡ-ΡΠ½Π΅ΡΠ³ΠΈΠΈ, ΠΏΠΎΡΠΎΠΌΡ ΡΡΠΎ ΠΌΡ ΡΠΎΠ»ΡΠΊΠΎ ΡΡΠΎ Π²ΡΡΠΈΡΠ»ΠΈΠ»ΠΈ ΡΠΈΡΡΡΡ ΡΠ°Π±ΠΎΡΡ, ΡΠ°Π·ΠΌΠ΅Ρ WnetWnet 12 {W rSub {size 8 {“net”}}} {} ΠΈ Π½Π°ΡΠ°Π»ΡΠ½ΡΡ ΠΊΠΈΠ½Π΅ΡΠΈΡΠ΅ΡΠΊΡΡ ΡΠ½Π΅ΡΠ³ΠΈΡ, 12mv0212mv02 size 12 {{{ 1} Π±ΠΎΠ»ΡΡΠ΅ {2}} ital “mv” rSub {size 8 {0} rSup {size 8 {2}}}} {}.ΠΡΠΈ ΡΠ°ΡΡΠ΅ΡΡ ΠΏΠΎΠ·Π²ΠΎΠ»ΡΡΡ Π½Π°ΠΌ Π½Π°ΠΉΡΠΈ ΠΎΠΊΠΎΠ½ΡΠ°ΡΠ΅Π»ΡΠ½ΡΡ ΠΊΠΈΠ½Π΅ΡΠΈΡΠ΅ΡΠΊΡΡ ΡΠ½Π΅ΡΠ³ΠΈΡ, 12 ΠΌΠ²212 ΠΌΠ²2 ΡΠ°Π·ΠΌΠ΅Ρ 12 {{{1} ΡΠ²Π΅ΡΡ {2}} ital “mv” rSup {size 8 {2}}} {}, ΠΈ, ΡΠ°ΠΊΠΈΠΌ ΠΎΠ±ΡΠ°Π·ΠΎΠΌ, ΠΊΠΎΠ½Π΅ΡΠ½ΡΡ ΡΠΊΠΎΡΠΎΡΡΡ vv ΡΠ°Π·ΠΌΠ΅Ρ 12 {v } {}.
Π Π΅ΡΠ΅Π½ΠΈΠ΅
Π’Π΅ΠΎΡΠ΅ΠΌΠ° ΡΠ°Π±ΠΎΡΡ-ΡΠ½Π΅ΡΠ³ΠΈΠΈ Π² ΡΠΎΡΠΌΠ΅ ΡΡΠ°Π²Π½Π΅Π½ΠΈΡ:
7.21 Wnet = 12mv2β12mv02.Wnet = 12mv2β12mv02. ΡΠ°Π·ΠΌΠ΅Ρ 12 {W rSub {size 8 {“net”}} = {{1} Π±ΠΎΠ»ΡΡΠ΅ {2}} ital “mv” rSup {size 8 {2}} – {{1} Π±ΠΎΠ»ΡΡΠ΅ {2}} ital “mv” rSub {ΡΠ°Π·ΠΌΠ΅Ρ 8 {0} rSup {ΡΠ°Π·ΠΌΠ΅Ρ 8 {2}}} “.” } {}Π Π΅ΡΠ΅Π½ΠΈΠ΅ Π΄Π»Ρ 12mv212mv2 ΡΠ°Π·ΠΌΠ΅ΡΠ° 12 {{{1} Π±ΠΎΠ»ΡΡΠ΅ {2}} ital “mv” rSup {size 8 {2}}} {} Π΄Π°Π΅Ρ
7.22 12mv2 = Wnet + 12mv02. 12mv2 = Wnet + 12mv02. ΡΠ°Π·ΠΌΠ΅Ρ 12 {{{1} over {2}} ital “mv” “” lSup {size 8 {2}} = w rSub {size 8 {ital “net”}} + {{1} over {2}} ital “mv” “” lSub {size 8 {0}} “” lSup {size 8 {2}} “.” } {}Π’Π°ΠΊΠΈΠΌ ΠΎΠ±ΡΠ°Π·ΠΎΠΌ,
7.23 12mv2 = 92.0 J + 3.75 J = 95.75 J.12mv2 = 92.0 J + 3.75 J = 95.75 J. ΡΠ°Π·ΠΌΠ΅Ρ 12 {{{1} Π±ΠΎΠ»ΡΡΠ΅ {2}} ital “mv” rSup {size 8 {2}} = “92 “”. ” 0’J + 3 “.” “75” ‘J = “95” “.” “75” ‘J} {}ΠΠΏΡΠ΅Π΄Π΅Π»Π΅Π½ΠΈΠ΅ ΠΊΠΎΠ½Π΅ΡΠ½ΠΎΠΉ ΡΠΊΠΎΡΠΎΡΡΠΈ Π² ΡΠΎΠΎΡΠ²Π΅ΡΡΡΠ²ΠΈΠΈ Ρ Π·Π°ΠΏΡΠΎΡΠΎΠΌ ΠΈ Π²Π²ΠΎΠ΄ ΠΈΠ·Π²Π΅ΡΡΠ½ΡΡ Π·Π½Π°ΡΠ΅Π½ΠΈΠΉ Π΄Π°Π΅Ρ
7,24 v = 2 (95.75 ΠΠΆ) ΠΌ = 191,5 ΠΊΠ³β ΠΌ2 / Ρ 230,0 ΠΊΠ³ = 2,53 ΠΌ / Ρ. V = 2 (95,75 ΠΠΆ) ΠΌ = 191,5 ΠΊΠ³β ΠΌ2 / Ρ 230,0 ΠΊΠ³ = 2,53 ΠΌ / Ρ.ΠΠ±ΡΡΠΆΠ΄Π΅Π½ΠΈΠ΅
ΠΡΠΏΠΎΠ»ΡΠ·ΡΡ ΡΠ°Π±ΠΎΡΡ ΠΈ ΡΠ½Π΅ΡΠ³ΠΈΡ, ΠΌΡ Π½Π΅ ΡΠΎΠ»ΡΠΊΠΎ ΠΏΡΠΈΡ ΠΎΠ΄ΠΈΠΌ ΠΊ ΠΎΡΠ²Π΅ΡΡ, ΠΌΡ Π²ΠΈΠ΄ΠΈΠΌ, ΡΡΠΎ ΠΊΠΎΠ½Π΅ΡΠ½Π°Ρ ΠΊΠΈΠ½Π΅ΡΠΈΡΠ΅ΡΠΊΠ°Ρ ΡΠ½Π΅ΡΠ³ΠΈΡ – ΡΡΠΎ ΡΡΠΌΠΌΠ° Π½Π°ΡΠ°Π»ΡΠ½ΠΎΠΉ ΠΊΠΈΠ½Π΅ΡΠΈΡΠ΅ΡΠΊΠΎΠΉ ΡΠ½Π΅ΡΠ³ΠΈΠΈ ΠΏΠ»ΡΡ ΡΠΈΡΡΠ°Ρ ΡΠ°Π±ΠΎΡΠ°, ΠΏΡΠΎΠ΄Π΅Π»Π°Π½Π½Π°Ρ Ρ ΡΠΏΠ°ΠΊΠΎΠ²ΠΊΠΎΠΉ. ΠΡΠΎ ΠΎΠ·Π½Π°ΡΠ°Π΅Ρ, ΡΡΠΎ ΡΠ°Π±ΠΎΡΠ° Π΄Π΅ΠΉΡΡΠ²ΠΈΡΠ΅Π»ΡΠ½ΠΎ ΡΠ²Π΅Π»ΠΈΡΠΈΠ²Π°Π΅Ρ ΡΠ½Π΅ΡΠ³ΠΈΡ ΡΠΏΠ°ΠΊΠΎΠ²ΠΊΠΈ.
ΠΡΠΈΠΌΠ΅Ρ 7.5 Π Π°Π±ΠΎΡΠ° ΠΈ ΡΠ½Π΅ΡΠ³ΠΈΡ ΠΌΠΎΠ³ΡΡ Π²ΡΡΠ²ΠΈΡΡ ΡΠ»ΠΈΡΠΊΠΎΠΌ Π±ΠΎΠ»ΡΡΠΎΠ΅ ΡΠ°ΡΡΡΠΎΡΠ½ΠΈΠ΅
ΠΠ°ΠΊ Π΄Π°Π»Π΅ΠΊΠΎ ΠΏΠ°ΠΊΠΎΠ²ΠΊΠ° Π½Π° ΡΠΈΡ. 7.4 ΡΡ ΠΎΠ΄ΠΈΡ ΠΏΠΎ ΠΈΠ½Π΅ΡΡΠΈΠΈ ΠΏΠΎΡΠ»Π΅ ΡΠΎΠ»ΡΠΊΠ°, Π΅ΡΠ»ΠΈ ΡΡΠ΅Π½ΠΈΠ΅ ΠΎΡΡΠ°Π΅ΡΡΡ ΠΏΠΎΡΡΠΎΡΠ½Π½ΡΠΌ? ΠΡΠΏΠΎΠ»ΡΠ·ΡΠΉΡΠ΅ ΡΠΎΠΎΠ±ΡΠ°ΠΆΠ΅Π½ΠΈΡ ΡΠ°Π±ΠΎΡΡ ΠΈ ΡΠ½Π΅ΡΠ³ΠΈΠΈ.
Π‘ΡΡΠ°ΡΠ΅Π³ΠΈΡ
ΠΡ Π·Π½Π°Π΅ΠΌ, ΡΡΠΎ ΠΊΠ°ΠΊ ΡΠΎΠ»ΡΠΊΠΎ ΡΠ΅Π»ΠΎΠ²Π΅ΠΊ ΠΏΠ΅ΡΠ΅ΡΡΠ°Π½Π΅Ρ ΡΠΎΠ»ΠΊΠ°ΡΡ, ΡΡΠ΅Π½ΠΈΠ΅ ΠΎΡΡΠ°Π½ΠΎΠ²ΠΈΡ ΡΠΏΠ°ΠΊΠΎΠ²ΠΊΡ. Π§ΡΠΎ ΠΊΠ°ΡΠ°Π΅ΡΡΡ ΡΠ½Π΅ΡΠ³ΠΈΠΈ, ΡΡΠ΅Π½ΠΈΠ΅ Π²ΡΠΏΠΎΠ»Π½ΡΠ΅Ρ ΠΎΡΡΠΈΡΠ°ΡΠ΅Π»ΡΠ½ΡΡ ΡΠ°Π±ΠΎΡΡ Π΄ΠΎ ΡΠ΅Ρ ΠΏΠΎΡ, ΠΏΠΎΠΊΠ° Π½Π΅ ΡΠ±ΠΈΡΠ°Π΅Ρ Π²ΡΡ ΠΊΠΈΠ½Π΅ΡΠΈΡΠ΅ΡΠΊΡΡ ΡΠ½Π΅ΡΠ³ΠΈΡ ΡΠΏΠ°ΠΊΠΎΠ²ΠΊΠΈ. Π Π°Π±ΠΎΡΠ°, ΡΠΎΠ²Π΅ΡΡΠ°Π΅ΠΌΠ°Ρ ΡΡΠ΅Π½ΠΈΠ΅ΠΌ, – ΡΡΠΎ ΡΠΈΠ»Π° ΡΡΠ΅Π½ΠΈΡ, ΡΠΌΠ½ΠΎΠΆΠ΅Π½Π½Π°Ρ Π½Π° ΠΏΡΠΎΠΉΠ΄Π΅Π½Π½ΠΎΠ΅ ΡΠ°ΡΡΡΠΎΡΠ½ΠΈΠ΅, ΡΠΌΠ½ΠΎΠΆΠ΅Π½Π½Π°Ρ Π½Π° ΠΊΠΎΡΠΈΠ½ΡΡ ΡΠ³Π»Π° ΠΌΠ΅ΠΆΠ΄Ρ ΡΠΈΠ»ΠΎΠΉ ΡΡΠ΅Π½ΠΈΡ ΠΈ ΡΠΌΠ΅ΡΠ΅Π½ΠΈΠ΅ΠΌ; ΡΠ»Π΅Π΄ΠΎΠ²Π°ΡΠ΅Π»ΡΠ½ΠΎ, ΡΡΠΎ Π΄Π°Π΅Ρ Π½Π°ΠΌ ΡΠΏΠΎΡΠΎΠ± ΠΎΠΏΡΠ΅Π΄Π΅Π»ΠΈΡΡ ΡΠ°ΡΡΡΠΎΡΠ½ΠΈΠ΅, ΠΏΡΠΎΠΉΠ΄Π΅Π½Π½ΠΎΠ΅ ΠΏΠΎΡΠ»Π΅ ΡΠΎΠ³ΠΎ, ΠΊΠ°ΠΊ ΡΠ΅Π»ΠΎΠ²Π΅ΠΊ ΠΏΡΠ΅ΠΊΡΠ°ΡΠΈΠ» ΡΠΎΠ»ΠΊΠ°ΡΡ.
Π Π΅ΡΠ΅Π½ΠΈΠ΅
ΠΠΎΡΠΌΠ°Π»ΡΠ½Π°Ρ ΡΠΈΠ»Π° ΠΈ ΡΠΈΠ»Π° ΡΡΠΆΠ΅ΡΡΠΈ ΠΎΡΠΌΠ΅Π½ΡΡΡΡΡ ΠΏΡΠΈ Π²ΡΡΠΈΡΠ»Π΅Π½ΠΈΠΈ ΡΠΈΡΡΠΎΠΉ ΡΠΈΠ»Ρ.ΠΠΎΡΠΈΠ·ΠΎΠ½ΡΠ°Π»ΡΠ½Π°Ρ ΡΠΈΠ»Π° ΡΡΠ΅Π½ΠΈΡ ΡΠΎΠ³Π΄Π° ΠΏΡΠ΅Π΄ΡΡΠ°Π²Π»ΡΠ΅Ρ ΡΠΎΠ±ΠΎΠΉ ΡΠ΅Π·ΡΠ»ΡΡΠΈΡΡΡΡΡΡ ΡΠΈΠ»Ρ, ΠΈ ΠΎΠ½Π° Π΄Π΅ΠΉΡΡΠ²ΡΠ΅Ρ ΠΏΡΠΎΡΠΈΠ²ΠΎΠΏΠΎΠ»ΠΎΠΆΠ½ΠΎ ΡΠΌΠ΅ΡΠ΅Π½ΠΈΡ, ΠΏΠΎΡΡΠΎΠΌΡ ΞΈ = 180ΒΊΞΈ = 180ΒΊ. Π§ΡΠΎΠ±Ρ ΡΠΌΠ΅Π½ΡΡΠΈΡΡ ΠΊΠΈΠ½Π΅ΡΠΈΡΠ΅ΡΠΊΡΡ ΡΠ½Π΅ΡΠ³ΠΈΡ ΠΏΠ°ΠΊΠ΅ΡΠ° Π΄ΠΎ Π½ΡΠ»Ρ, ΡΠ°Π±ΠΎΡΠ° WfrWfr Π·Π° ΡΡΠ΅Ρ ΡΡΠ΅Π½ΠΈΡ Π΄ΠΎΠ»ΠΆΠ½Π° Π±ΡΡΡ ΠΌΠΈΠ½ΡΡ ΠΊΠΈΠ½Π΅ΡΠΈΡΠ΅ΡΠΊΠ°Ρ ΡΠ½Π΅ΡΠ³ΠΈΡ, Ρ ΠΊΠΎΡΠΎΡΠΎΠΉ ΠΏΠ°ΠΊΠ΅Ρ Π½Π°ΡΠ°Π», ΠΏΠ»ΡΡ ΡΠΎ, ΡΡΠΎ ΠΏΠ°ΠΊΠ΅Ρ Π½Π°ΠΊΠΎΠΏΠΈΠ» ΠΈΠ·-Π·Π° ΡΠΎΠ»ΠΊΠ°Π½ΠΈΡ. Π’Π°ΠΊΠΈΠΌ ΠΎΠ±ΡΠ°Π·ΠΎΠΌ, Wfr = -95,75 JWfr = -95,75 ΠΠΆ. ΠΡΠΎΠΌΠ΅ ΡΠΎΠ³ΠΎ, Wfr = fdβ²cosΞΈ = βfdβ²Wfr = fdβ²cosΞΈ = βfd β², Π³Π΄Π΅ dβ²d β² – ΡΠ°ΡΡΡΠΎΡΠ½ΠΈΠ΅, Π½Π΅ΠΎΠ±Ρ ΠΎΠ΄ΠΈΠΌΠΎΠ΅ Π΄Π»Ρ ΠΎΡΡΠ°Π½ΠΎΠ²ΠΊΠΈ. Π’Π°ΠΊΠΈΠΌ ΠΎΠ±ΡΠ°Π·ΠΎΠΌ,
7,25 d β² = – Wfrf = ββ 95,75 J5,00 N, d β² = – Wfrf = ββ 95,75 J5.00 N, ΡΠ°Π·ΠΌΠ΅Ρ 12 {{{d}} sup {‘} = – {{W rSub {size 8 {“fr”}}} Π±ΠΎΠ»ΡΡΠ΅ {f}} = – {{- “95” “.” “75” ‘J} Π±ΠΎΠ»ΡΡΠ΅ {5 “.” “00 Π”}}} {}ΠΈ ΡΠ°ΠΊ
7,26 d β² = 19,2 ΠΌ. D β² = 19,2 ΠΌ. ΡΠ°Π·ΠΌΠ΅Ρ 12 {{{d}} sup {‘} = “19” “.” 2 “ΠΌ”} {}ΠΠ±ΡΡΠΆΠ΄Π΅Π½ΠΈΠ΅
ΠΡΠΎ ΡΠ΅ΡΠ΅Π½ΠΈΠ΅ ΠΏΡΠ΅Π΄ΡΡΠ°Π²Π»ΡΠ΅Ρ ΡΠΎΠ±ΠΎΠΉ ΡΠ°Π·ΡΠΌΠ½ΠΎΠ΅ ΡΠ°ΡΡΡΠΎΡΠ½ΠΈΠ΅, Π½Π° ΠΊΠΎΡΠΎΡΠΎΠΌ ΡΠΏΠ°ΠΊΠΎΠ²ΠΊΠ° ΠΌΠΎΠΆΠ΅Ρ Π΄Π²ΠΈΠ³Π°ΡΡΡΡ ΠΏΠΎ ΠΈΠ½Π΅ΡΡΠΈΠΎΠ½Π½ΠΎΠΉ ΡΠΈΡΡΠ΅ΠΌΠ΅ ΠΎΡΠ½ΠΎΡΠΈΡΠ΅Π»ΡΠ½ΠΎ ΡΠ²ΠΎΠ±ΠΎΠ΄Π½ΠΎΠΉ ΠΎΡ ΡΡΠ΅Π½ΠΈΡ ΠΊΠΎΠ½Π²Π΅ΠΉΠ΅ΡΠ½ΠΎΠΉ ΡΠΈΡΡΠ΅ΠΌΡ. ΠΠ±ΡΠ°ΡΠΈΡΠ΅ Π²Π½ΠΈΠΌΠ°Π½ΠΈΠ΅, ΡΡΠΎ ΡΠ°Π±ΠΎΡΠ°, ΡΠΎΠ²Π΅ΡΡΠ°Π΅ΠΌΠ°Ρ ΡΡΠ΅Π½ΠΈΠ΅ΠΌ, ΠΎΡΡΠΈΡΠ°ΡΠ΅Π»ΡΠ½Π° – ΡΠΈΠ»Π° Π½Π°ΠΏΡΠ°Π²Π»Π΅Π½Π° ββΠ² ΠΏΡΠΎΡΠΈΠ²ΠΎΠΏΠΎΠ»ΠΎΠΆΠ½ΠΎΠΌ Π½Π°ΠΏΡΠ°Π²Π»Π΅Π½ΠΈΠΈ Π΄Π²ΠΈΠΆΠ΅Π½ΠΈΡ – ΠΏΠΎΡΡΠΎΠΌΡ ΠΎΠ½Π° ΡΠ½ΠΈΠΌΠ°Π΅Ρ ΠΊΠΈΠ½Π΅ΡΠΈΡΠ΅ΡΠΊΡΡ ΡΠ½Π΅ΡΠ³ΠΈΡ.
ΠΠ΅ΠΊΠΎΡΠΎΡΡΠ΅ ΠΈΠ· ΠΏΡΠΈΠΌΠ΅ΡΠΎΠ² Π² ΡΡΠΎΠΌ ΡΠ°Π·Π΄Π΅Π»Π΅ ΠΌΠΎΠ³ΡΡ Π±ΡΡΡ ΡΠ΅ΡΠ΅Π½Ρ Π±Π΅Π· ΡΡΠ΅ΡΠ° ΡΠ½Π΅ΡΠ³ΠΈΠΈ, Π½ΠΎ Π·Π° ΡΡΠ΅Ρ ΡΠΏΡΡΠ΅Π½ΠΈΡ ΠΏΠΎΠ½ΠΈΠΌΠ°Π½ΠΈΡ ΡΠΎΠ³ΠΎ, ΠΊΠ°ΠΊΠ°Ρ ΡΠ°Π±ΠΎΡΠ° ΠΈ ΡΠ½Π΅ΡΠ³ΠΈΡ Π΄Π΅Π»Π°ΡΡ Π² ΡΡΠΎΠΉ ΡΠΈΡΡΠ°ΡΠΈΠΈ. Π ΡΠ΅Π»ΠΎΠΌ ΡΠ΅ΡΠ΅Π½ΠΈΡ Ρ ΠΈΡΠΏΠΎΠ»ΡΠ·ΠΎΠ²Π°Π½ΠΈΠ΅ΠΌ ΡΠ½Π΅ΡΠ³ΠΈΠΈ ΠΎΠ±ΡΡΠ½ΠΎ ΠΊΠΎΡΠΎΡΠ΅ ΠΈ ΠΏΡΠΎΡΠ΅, ΡΠ΅ΠΌ ΡΠ΅ΡΠ΅Π½ΠΈΡ, ΠΈΡΠΏΠΎΠ»ΡΠ·ΡΡΡΠΈΠ΅ ΡΠΎΠ»ΡΠΊΠΎ ΠΊΠΈΠ½Π΅ΠΌΠ°ΡΠΈΠΊΡ ΠΈ Π΄ΠΈΠ½Π°ΠΌΠΈΠΊΡ.
Π΄ΠΎΠΌΠ°ΡΠ½ΠΈΡ Π·Π°Π΄Π°Π½ΠΈΠΉ ΠΈ ΡΠΏΡΠ°ΠΆΠ½Π΅Π½ΠΈΠΉ – Π Π°Π±ΠΎΡΠ°, Π²ΡΠΏΠΎΠ»Π½ΡΠ΅ΠΌΠ°Ρ Ρ ΠΈΡΠΏΠΎΠ»ΡΠ·ΠΎΠ²Π°Π½ΠΈΠ΅ΠΌ ΡΡΠ΅Π½ΠΈΡ ΠΈ Π΄ΡΡΠ³ΠΈΡ Π²Π½Π΅ΡΠ½ΠΈΡ ΡΠΈΠ»
ΠΠ»ΠΎΠΊ ΠΌΠ°ΡΡΠΎΠΉ $ 1 $ ΠΊΠ³ ΠΏΠΎΠΌΠ΅ΡΠ°Π΅ΡΡΡ Π² ΡΠΎΡΠΊΡ A Π½Π΅ΡΠΎΠ²Π½ΠΎΠΉ Π΄ΠΎΡΠΎΠΆΠΊΠΈ, ΠΏΠΎΠΊΠ°Π·Π°Π½Π½ΠΎΠΉ Π½Π° ΡΠΈΡΡΠ½ΠΊΠ΅.ΠΡΠ»ΠΈ ΡΠ»Π΅Π³ΠΊΠ° ΡΠ΄Π²ΠΈΠ½ΡΡΡ Π²ΠΏΡΠ°Π²ΠΎ, ΠΎΠ½ ΠΎΡΡΠ°Π½ΠΎΠ²ΠΈΡΡΡ Π² ΡΠΎΡΠΊΠ΅ B ΠΏΡΡΠΈ. Π Π°ΡΡΡΠΈΡΠ°ΠΉΡΠ΅ ΡΠ°Π±ΠΎΡΡ, ΠΏΡΠΎΠ΄Π΅Π»Π°Π½Π½ΡΡ ΡΠΈΠ»ΠΎΠΉ ΡΡΠ΅Π½ΠΈΡ Π½Π° Π±Π»ΠΎΠΊΠ΅ Π²ΠΎ Π²ΡΠ΅ΠΌΡ ΠΏΠ΅ΡΠ΅Ρ ΠΎΠ΄Π° ΠΎΡ ΡΠΎΡΠΊΠΈ A ΠΊ ΡΠΎΡΠΊΠ΅ B.
Π― ΠΏΠΎΠ΄ΠΎΡΠ΅Π» ΠΊ ΡΡΠΎΠΌΡ, ΠΈΡΠΏΠΎΠ»ΡΠ·ΡΡ Π·Π°ΠΊΠΎΠ½ ΡΠΎΡ ΡΠ°Π½Π΅Π½ΠΈΡ ΡΠ½Π΅ΡΠ³ΠΈΠΈ.
ΠΠΎΠΏΡΡΡΠΈΠΌ, Π½Π° Π³ΡΡΠ΅Π½ΠΈΡΠ΅ Π½Π΅Ρ ΡΡΠ΅Π½ΠΈΡ. ΠΠ°ΡΠ΅ΠΌ, Π΅ΡΠ»ΠΈ Π±Π»ΠΎΠΊ Π²ΡΡΠ°Π»ΠΊΠΈΠ²Π°Π΅ΡΡΡ ΠΈΠ· ΡΠΎΡΠΊΠΈ A, ΠΎΠ½ Π½Π΅ ΠΎΡΡΠ°Π½ΠΎΠ²ΠΈΡΡΡ Π² ΡΠΎΡΠΊΠ΅ B, Π½ΠΎ Π±ΡΠ΄Π΅Ρ ΠΈΠΌΠ΅ΡΡ Π½Π΅ΠΊΠΎΡΠΎΡΡΡ ΡΠΊΠΎΡΠΎΡΡΡ, ΡΠΊΠ°ΠΆΠ΅ΠΌ, $ Vb $. Π’Π΅ΠΏΠ΅ΡΡ ΠΌΡ ΠΌΠΎΠΆΠ΅ΠΌ Π»Π΅Π³ΠΊΠΎ ΡΠΊΠ°Π·Π°ΡΡ, ΡΡΠΎ ΠΏΠΎ Π·Π°ΠΊΠΎΠ½Ρ ΡΠΎΡ ΡΠ°Π½Π΅Π½ΠΈΡ ΡΠ½Π΅ΡΠ³ΠΈΠΈ
ΠΠ°ΡΠ°Π»ΡΠ½ΡΠΉ P.E $ + ΠΠ°ΡΠ°Π»ΡΠ½ΡΠΉ K.2 $ ΡΠ½Π΅ΡΠ³ΠΈΠΈ. ΠΠΎ Ρ Π·Π½Π°Ρ, ΡΡΠΎ
ΠΠ°ΡΠ°Π»ΡΠ½Π°Ρ ΠΎΠ±ΡΠ°Ρ ΡΠ½Π΅ΡΠ³ΠΈΡ $ = Π΄ΠΎΠ»Π»Π°ΡΠΎΠ² ΠΠΎΠ½Π΅ΡΠ½Π°Ρ ΠΎΠ±ΡΠ°Ρ ΡΠ½Π΅ΡΠ³ΠΈΡ
ΠΠ½Π°ΡΠΈΡ, ΠΏΠΎΡΠ΅ΡΡ ΡΠ½Π΅ΡΠ³ΠΈΠΈ Π΄ΠΎΠ»ΠΆΠ½Π° Π±ΡΡΡ ΠΏΡΠ΅ΠΎΠ±ΡΠ°Π·ΠΎΠ²Π°Π½Π° Π² ΠΊΠ°ΠΊΡΡ-ΡΠΎ Π΄ΡΡΠ³ΡΡ ΡΠΎΡΠΌΡ. ΠΡΡΠ³ΠΎΠΉ ΡΠΎΡΠΌΠΎΠΉ ΠΌΠΎΠΆΠ΅Ρ Π±ΡΡΡ ΡΠ΅ΠΏΠ»ΠΎΠ²Π°Ρ ΡΠ½Π΅ΡΠ³ΠΈΡ, ΠΏΡΠΎΠΈΠ·Π²ΠΎΠ΄ΠΈΠΌΠ°Ρ ΡΡΠ΅Π½ΠΈΠ΅ΠΌ, ΠΊΠΎΡΠΎΡΠ°Ρ Π±ΡΠ΄Π΅Ρ ΡΠ°Π²Π½Π° ΡΠ°Π±ΠΎΡΠ΅, ΡΠΎΠ²Π΅ΡΡΠ°Π΅ΠΌΠΎΠΉ ΡΠΈΠ»ΠΎΠΉ ΡΡΠ΅Π½ΠΈΡ, ΡΠΊΠ°ΠΆΠ΅ΠΌ, $ Wf $. Π’Π°ΠΊΠΈΠΌ ΠΎΠ±ΡΠ°Π·ΠΎΠΌ, ΠΌΡ Π΄ΠΎΠ»ΠΆΠ½Ρ Π΄ΠΎΠ±Π°Π²ΠΈΡΡ ΡΡΡ ΡΠ½Π΅ΡΠ³ΠΈΡ Π² ΡΡΠΎΡΠΎΠ½Ρ Final Total Energy . Π’Π°ΠΊΠΈΠΌ ΠΎΠ±ΡΠ°Π·ΠΎΠΌ, Π½Π°ΡΠ΅ ΠΏΠΎΡΠ»Π΅Π΄Π½Π΅Π΅ ΡΡΠ°Π²Π½Π΅Π½ΠΈΠ΅ Π±ΡΠ΄Π΅Ρ
.ΠΌΠ³H $ = 9000 $ 9 ΠΌΠ³H $ + $ Wf $
Π’Π°ΠΊΠΈΠΌ ΠΎΠ±ΡΠ°Π·ΠΎΠΌ, $ Wf = 9000 $ 9 ΠΌΠ³ $ ( $ H $ – $ 9 $) $.
ΠΠΎΠ΄ΡΡΠ°Π²Π»ΡΠ΅ΠΌ Π²ΡΠ΅ Π·Π½Π°ΡΠ΅Π½ΠΈΡ $ Wf = (1) (9,8) (1-0,8) = 1,96 ΠΠΆ $. ΠΠΎ ΠΎΡΠ²Π΅Ρ Π±ΡΠ» $ -1,96 J $. Π‘ΠΊΠ°ΠΆΠΈΡΠ΅, ΠΏΠΎΠΆΠ°Π»ΡΠΉΡΡΠ°, ΠΌΠΎΡ ΠΎΡΠΈΠ±ΠΊΡ. Π― ΠΎΡΠ΅Π½Ρ Π½Π΅ ΠΏΠΎΠ½ΠΈΠΌΠ°Ρ, ΠΊΠ°ΠΊ ΡΠ΅ΡΠ°ΡΡ Π²ΠΎΠΏΡΠΎΡΡ, ΡΠ²ΡΠ·Π°Π½Π½ΡΠ΅ Ρ ΡΠ°Π±ΠΎΡΠΎΠΉ, ΡΠ²ΡΠ·Π°Π½Π½ΠΎΠΉ Ρ ΡΡΠ΅Π½ΠΈΠ΅ΠΌ ΠΈ Π²Π½Π΅ΡΠ½ΠΈΠΌΠΈ ΡΠΈΠ»Π°ΠΌΠΈ. ΠΡΠ»ΠΈ Π±Ρ Π²Ρ ΠΌΠΎΠ³Π»ΠΈ ΠΎΠ±ΡΡΡΠ½ΠΈΡΡ ΠΌΠ½Π΅ ΠΊΠ°ΠΊΠΎΠΉ-Π»ΠΈΠ±ΠΎ Π΄ΡΡΠ³ΠΎΠΉ ΠΏΡΠΎΡΡΠΎΠΉ ΡΠΏΠΎΡΠΎΠ±, ΡΡΠΎ Π±ΡΠ»ΠΎ Π±Ρ ΠΌΠ½Π΅ ΠΎΡΠ΅Π½Ρ ΠΏΠΎΠ»Π΅Π·Π½ΠΎ.
ΠΡ ΠΌΠΎΠ³Π»ΠΈ Π±Ρ ΡΠΊΠ°Π·Π°ΡΡ, ΡΡΠΎ ΡΠΌΠ΅ΡΠ΅Π½ΠΈΠ΅ ΠΈ ΡΠΈΠ»Π° ΡΡΠ΅Π½ΠΈΡ ΠΏΡΠΎΡΠΈΠ²ΠΎΠΏΠΎΠ»ΠΎΠΆΠ½Ρ Π΄ΡΡΠ³ Π΄ΡΡΠ³Ρ, ΠΈ, ΡΠ»Π΅Π΄ΠΎΠ²Π°ΡΠ΅Π»ΡΠ½ΠΎ, $ Wf $ ΡΠ»Π΅Π΄ΠΎΠ²Π°Π»ΠΎ ΠΏΡΠΈΠ½ΡΡΡ ΠΊΠ°ΠΊ ΠΎΡΡΠΈΡΠ°ΡΠ΅Π»ΡΠ½ΠΎΠ΅ Π·Π½Π°ΡΠ΅Π½ΠΈΠ΅, Π½ΠΎ ΡΠ΅ΡΠ΅Π½ΠΈΠ΅ ΠΏΡΠΈΠ²Π΅Π΄Π΅Π½Π½ΠΎΠ³ΠΎ Π½ΠΈΠΆΠ΅ Π²ΠΎΠΏΡΠΎΡΠ° Π°Π½Π°Π»ΠΎΠ³ΠΈΡΠ½ΡΠΌ ΠΎΠ±ΡΠ°Π·ΠΎΠΌ Π΄Π°Π»ΠΎ ΠΌΠ½Π΅ ΠΏΡΠ°Π²ΠΈΠ»ΡΠ½ΡΠΉ ΠΎΡΠ²Π΅Ρ
ΠΡΠ»ΠΈ Ρ ΡΠ½ΠΎΠ²Π° ΠΈΡΠΏΠΎΠ»ΡΠ·ΡΡ ΠΠ°ΡΠ°Π»ΡΠ½Π°Ρ ΠΎΠ±ΡΠ°Ρ ΡΠ½Π΅ΡΠ³ΠΈΡ $ = Π΄ΠΎΠ»Π»Π°ΡΠΎΠ² ΠΠΎΠ½Π΅ΡΠ½Π°Ρ ΠΎΠ±ΡΠ°Ρ ΡΠ½Π΅ΡΠ³ΠΈΡ .



