4. Уравнения максвелла. @
4.1. Теория Максвелла для электромагнитного поля.@
В 60-х годах XIX столетия Д.К. Максвелл, ознакомившись с работами Фарадея, решил придать теории электричества и магнетизма математическую форму. Обобщив законы, установленные экспериментальным путем – закон полного тока, закон электромагнитной индукции и теорему Остроградского-Гаусса, – Максвелл дал полную картину электромагнитного поля. В теории Максвелла решается основная задача электродинамики – установление характеристик электромагнитного поля заданной системы электрических зарядов и токов, т.е. определение напряженности электрического поля Е и индукции магнитного поля В при известных величинах зарядов и токов, создающих эти поля. Необходимо отметить, что в своих выводах Максвелл не мог воспользоваться теорией относительности, так как она появилась лишь спустя 50 лет. Не были изучены электрические свойства веществ, не была установлена связь электромагнетизма и света. Другими словами, многие из доводов, которыми пользуемся мы сейчас при теоретическом обобщении результатов, были немыслимы во времена Максвелла.
Данная теория явилась величайшим вкладом в развитие классической физики. Она позволила с единой точки зрения охватить огромный круг явлений, начиная от электростатического поля неподвижных зарядов и кончая электромагнитной природой света. В этой теории не рассматривается молекулярное строение среды и внутренний механизм процессов, происходящих в веществе, находящемся в электромагнитном поле. Теория Максвелла – макроскопическая, в ней рассматриваются электромагнитные поля таких зарядов и токов, пространственная протяженность которых неизмеримо больше размеров атомов и молекул.
Электрические и магнитные свойства среды в теории Максвелла характеризуются тремя величинами: относительной диэлектрической проницаемостью ε, относительной магнитной проницаемостью μ и удельной электрической проводимостью γ. Предполагается, что эти параметры среды известны из опыта.
Данная теория представлена в виде системы четырех уравнений, называемых уравнениями Максвелла. Эти уравнения принято записывать в дифференциальной и интегральной форме. Уравнения в дифференциальной форме показывают, как связаны между собой характеристики электромагнитного поля и плотности электрических зарядов и токов в каждой точке этого поля. В данном разделе рассмотрены только уравнения Максвелла в интегральной форме – они содержат соотношения, справедливые для мысленно проведенных в электромагнитном поле неподвижных замкнутых контуров и поверхностей.
4.2. Первое уравнение Максвелла.@
При
рассмотрении неподвижного контура,
находящегося в переменном магнитном
поле, было установлено, что в нем
появляется э.д.с. индукции
.
С
другой стороны, появление э.д.с., по
определению, связано с работой сторонних
сил неэлектростатического происхождения,
и
.
Таким образом, можно записать
.
Под
действием переменного магнитного поля
в контуре возникает электрическое поле 
вдоль замкнутого контура равна нулю, а
циркуляция
по замкнутому контуру не равна нулю.
Данное электрическое поле имеет
непрерывные силовые линии, т.е. являетсявихревым.
Оно вызывает в контуре направленное
движение электронов по замкнутым
траекториям. Таким образом, всякое
изменение магнитного поля вызывает в
окружающем пространстве появление
вихревого электрического поля.Воспользуемся выражением для магнитного потока:
Если поверхность S, которую пронзает магнитный поток, и ограничивающий ее электрический контурLнеподвижны, то операции интегрирования по поверхности и дифференцирования по времени можно поменять местами. После этого мы получаем
.
В связи с тем, что
вектор В зависит в общем случае как от
времени, так и от координат, под знаком
интеграла записывается символ частной
производной В по времени (тогда как
магнитный поток
является функцией только времени).

.Итак, циркуляция
вектора напряженности электрического
поля по произвольному замкнутому контуру L равна взятой с обратным знаком скорости
изменения магнитного потока сквозь
поверхность S,
ограниченную этим контуром.Полученное уравнение – это первое уравнение Максвелла в интегральной форме. Оно показывает, что источником электрического поля могут быть не только электрические заряды, но и изменяющиеся во времени магнитные поля. Явление возникновения в пространстве вихревого электрического поля под влиянием переменного магнитного было использовано для создания индукционного ускорителя электронов – бетатрона. Бетатроны применяются в промышленности для просвечивания толстых металлических плит, в медицине – для лучевой терапии и в различных научных исследованиях.
studfiles.net
Четвертое уравнение Максвелла
Четвертое уравнение Максвелла в
интегральной форме совпадает с законом
Гаусса для магнитного поля, который
можно сформулировать следующим образом.
Поток вектора магнитной индукции через
любую замкнутую поверхность 
.
Это уравнение является четвертым уравнением Максвелла и называется также принципом непрерывности магнитного потока. В дифференциальной форме четвертое уравнение Максвелла получается, аналогично третьему, с помощью теоремы Остроградского-Гаусса:
,
тогда
,
может быть любым, то это равенство может
выполняться только при
.
−Линии вектора магнитной индукции
Физически смысл этого закона заключается
в неразрывности магнитных силовых
линий, что было установлено экспериментально.
Из замкнутости силовых линий следует,
что поток, «втекающий» в объем
,
в точности равен потоку, «вытекающему»
из этого же объема. Иначе говоря, не
существует линий вектора
:
они всегда пронизывают ее.Лекция 4. Обсуждение уравнение Максвелла и следствий из них. Сторонние силы Метод комплексных амплитуд, применение к уравнениям Максвелла. Энергетические соотношения
Выше мы рассмотрели систему уравнений Максвелла в комплексе. Эта система, как указывалось, описывает все возможные электромагнитные процессы. Решая эту систему уравнений, мы находим соотношения между векторами электромагнитного поля и связанными с ними токами и зарядами.
В любом процессе можно выделить особенности, позволяющие рассмотреть частные случаи системы уравнений Максвелла, упрощающие их решение. Ниже мы рассмотрим различные варианты таких случаев.
Обсуждение уравнений Максвелла
Вернемся к полной сводке уравнение Максвелла. Рассмотрение первых двух уравнений дает нам представление о строении электромагнитного поля.

Из первого уравнения следует, что силовые линии магнитного поля охватывают линии полного тока, образуя с ними правовинтовую систему (). Аналогично, пространственный максимум магнитного потока охватывается семейством замкнутых электрических силовых линий.
− Строение электромагнитного поля
Первые два уравнения обладают симметрией в следующем смысле: по первому уравнению изменение во времени электрической индукции порождает вихревое магнитное поле, вектор напряженности которого изменяется в пространстве. По второму уравнению изменение во времени магнитной индукции порождает вихревое электрическое поле, изменяющееся в пространстве.
Из этого следует:
Электрическое поле может создаваться не только зарядом, но и переменным магнитным полем. Переменный магнитный поток неизбежно вызывает вихревое электрическое поле.
Магнитное поле возбуждается не только током проводимости, но и электрическим полем. Переменный по времени поток вектора электрической индукции
неизбежно вызывает магнитное поле.Электрическое и магнитное поля могут существовать, взаимно порождая друг друга. Например, если в некоторой области существует электрическое поле, то его изменение во времени (уменьшение или возрастание) приведет к появлению переменного магнитного поля. В свою очередь, изменяющееся магнитное поле вызовет вихревое электрическое поле. Происходит непрерывное взаимодействие между полями: одно поддерживает другое, и наоборот. Это определяет возможность существования электромагнитных волн в средах вдали от тел с токами проводимости.
−Возникновение электромагнитной волны
Физическая сущность такого процесса
называется электромагнитной волной.
Переменное электрическое поле
в какой-то точке пространства вызывает,
согласно первому уравнению, появление
вокруг себя переменного магнитного
поля
.
Это появившееся магнитное поле, в свою
очередь, становясь причиной во втором
уравнении, вызывает появление вокруг
себя электрического поля и так далее.
Схематически этот процесс показан на
рисунке Рисунок 35 . Для получения полной
картины поля во всем пространстве
необходимо решить уравнения Максвелла.
Смысл третьего уравнения Максвелла прост, так как вполне исчерпывается понятиями дивергенции и потока вектора.

Линии вектора
начинаются на положительных и заканчиваются
на отрицательных зарядах. Если же в
какой-либо области пространства заряда
нет
,
то характер силовых линий вектора
должен соответствовать рисунку, т.е.
количество линий «вошедших» в область,
должно быть равно количеству «вышедших»
и в этой области.
− Силовые линии вектора электрической индукции
Как следует из вывода третьего уравнения, его интегральная форма представляет собой теорему Гаусса:
.
Четвертое уравнение по форме отличается
от третьего нулевой правой частью. В
силу четвертого уравнения расхождение
(дивергенция) вектора магнитной индукции
везде равна нулю. Это означает, что
магнитные силовые линии (линии вектора
)
всегда непрерывны, т.е. либо замкнуты,
либо идут из бесконечности в бесконечность.
Характер картин магнитных силовых
линий, таким образом, представлен на
рисунке Рисунок 37 .
−Картина силовых линий магнитного поля
Непрерывность магнитных силовых линий указывает на отсутствие в природе фактора, который можно было бы называть «магнитным зарядом».
studfiles.net
2.4. Четвертое уравнение Максвелла
Четвертое уравнение Максвелла базируется на законе Гаусса для магнитного поля, который можно сформулировать следующим образом: поток вектора магнитной индукции через любую замкнутую поверхность равен нулю:
| (2.16) |
Это уравнение означает, что не существует линий вектора магнитной индукции, которые только входят в замкнутую поверхность S или только выходят из нее. Они всегда пронизывают замкнутую поверхность насквозь.
Уравнение (2.16) называют четвертым уравнением Максвелла в интегральной форме.
К дифференциальной форме уравнения можно перейти с помощью теоремы Остроградского-Гаусса так же, как это было сделанов случае третьего уравнения Максвелла. В результате получим:
(2.17) |
Уравнение (2.17) называется четвертым уравнением Максвелла. Оно утверждает факт отсутствия в природе магнитных зарядов. Из этого уравнения следует также, что силовые линии магнитного поля являются непрерывными.
2.5. Уравнение непрерывности
Уравнение непрерывности является математической формулировкой закона сохранения заряда, которыйутверждает, чтони при каких условиях электрические заряды не могут самопроизвольно зарождаться или бесследно исчезать.
Рассмотрим произвольный замкнутый объем V, ограниченный поверхностьюS. Пусть внутри этого объема содержится некоторый заряд Q. Величина этого заряда может быть найдена интегрированиемобъемной плотности заряда по всему объему:
| (2.18) |
Предположим, что величина заряда в объеме изменяется. В соответствии с законом сохранения заряда следует считать, что часть зарядов пересекает поверхность S, ограничивающую объемV. При этом возникает ток проводимости с плотностьюJnp.
Проинтегрируем плотность тока проводимости по поверхности, ограничивающей наш объем. Получим:
| (2.19) |
По определению ток проводимости – это скорость изменения заряда:
| (2.20) |
Знак минус говорит о том, что ток считается положительным, если величина заряда внутри объема уменьшается. С помощью формул (2.19) и (2.20) легко связать скорость изменения плотности заряда с плотностью тока проводимости:
| (2.21) |
Для получения дифференциальной формы закона сохранения заряда преобразуем уравнение аналогично тому, что было сделано в предыдущем параграфе:
| (2.22) |
Соотношение (2.22) называется уравнением непрерывности.
2.6. Полная система уравнений Максвелла
Каждое из рассмотренных выше уравнений описывает некоторые свойства электромагнитного поля. Однако анализ электромагнитных процессов возможен только на основе решения системы уравнений Максвелла. Большинство задач электродинамики решается с помощью системы уравнений в дифференциальной форме:
Систему (2.23) необходимо решать совместно с материальными уравнениями, связывающими между собой векторы электромагнитного поля. В случае линейных изотропных сред эти уравнения имеют вид:
Уравнения Максвелла позволяют выделить следующие основные свойства электромагнитного поля:
электрическое и магнитное поля тесно связаны между собой: любое изменение одного из них вызывает изменение другого;
источниками электромагнитного поля являются заряды и токи;
магнитное поле всегда вихревое, электрическое поле может быть вихревым и потенциальным;
силовые линии электрического поля могут иметь истоки и стоки, силовые линии магнитного поля всегда непрерывны.
Из первого уравнения Максвелла следует, что линии магнитного поля охватывают линии полного тока, образуя с ними правовинтовую систему (рис. 2.3, а). Из второго уравнения Максвелла вытекает, что линии вихревого электрического поля охватывают линии вектора дВ/дt, образуя с ними левовинтовую систему (рис. 2.3, б).
Рис. 2.1. Взаимосвязи электрической и магнитной составляющих переменного электромагнитного поля |
В дополнение к уравнениям Максвелла в дифференциальной форме в ряде случаев необходимо использовать уравнения Максвелла в интегральной форме:
studfiles.net
5.4.Третье и четвертое уравнения Максвелла
Третье уравнение Максвелла является обобщением теоремы Гаусса для электростатического поля на случай любого нестационарного электрического поля:
,
.
Четвертое уравнение основано на предположении о том, что теорема Гаусса справедлива для произвольного магнитного поля:
.
ЛЕКЦИЯ 18
5.5. Полная система уравнений Максвелла электромагнитного
поля
Основу теории
Максвелла составляют четыре уравнения,
которые в электродинамике играют такую
же роль, как законы Ньютона в механике.
Система этих уравнений описывает
электромагнитное поле и может быть
записана для векторов
и
;
и
,
и
;
и
.
Для векторов
и
уравнения Максвелла имеют вид:
;
;
;
.
(5.8)
Для
векторов
и
:;
;
;
.
Если электрическое
и магнитное поля стационарны, т.е.
и
,
то из уравнений Максвелла следует, что
эти поля существуют независимо друг от
друга:
;
– это уравнения
электростатики;
;-
уравнения магнитостатики.
Систему уравнений Максвелла (5.8) необходимо дополнить еще материальными уравнениями, которые характеризуют электрические и магнитные свойства среды.
Если среда изотопная, несегнетоэлектрическая и неферромагнитная, и макротоки подчиняются закону Ома, то эти уравнения имеют вид:
;
;
(5.9)
На границе раздела сред должны выполняться граничные условия для векторов, характеризующих электромагнитное поле:
;
,
;, ( 5.10)
где
– поверхностная плотность зарядов;
– единичный вектор нормали к поверхности
раздела сред, проведенный из среды 2 в
среду 1;
–
единичный вектор касательной к поверхности
раздела сред,
–
единичный вектор касательной к поверхности
раздела сред и перпендикулярный к
;
– вектор линейной плотности поверхностного
тока проводимости, он направлен вдоль
поверхности по направлению тока в ней
и численно равен
,
где
– ток проводимости через малый участокdS сечения поверхности, проведенного
перпендикулярно к направлению
поверхностного тока.
Главный смысл
уравнений (5.8) заключается в том, что они
содержат уравнения движения
электромагнитного поля. Это означает,
что в каждом случае поля
и
могут быть найдены путем решения
уравнений (5.8).
Каждое решение выделяется с помощью начальных и граничных условий (5.10). Начальные условия определяют поля в некоторый фиксированный момент времени, который обычно принимается за нулевой. Задания полей в один из моментов времени достаточно для определения постоянных интегрирования уравнений (5.8), по времени, т.к. в (5.8) входят только первые производные по времени. Граничные условия выражают свойства, связанные с наличием поверхностей раздела, т.е. таких поверхностей, по разные стороны которых свойства системы различны, а также с ограничениями области существования поля какими-либо поверхностями. Граничные условия задают поля в любой момент времени на поверхностях такого рода. Если область существования поля очень велика, то условия на удаленных внешних границах трансформируются в задание полей в бесконечно удаленных точках, т.е. на бесконечности.
Поскольку электромагнитные взаимодействия осуществляются через электромагнитные поля, то тем самым оказывается, что электрический заряд является константой связи электрически заряженных частиц с электромагнитным полем. Поэтому электромагнитные поля возникают вокруг зарядов и токов, от которых и распространяются в окружающее пространство; электромагнитные поля действуют на заряды и токи.
Состояние
электромагнитного поля полностью
характеризуется двумя векторными
функциями координат и времени. Эти
векторные функции
и
называются электрическим и магнитным
полем. Множество значений, которые
независимые компоненты векторов
и
(четыре из шести) принимают во всех
точках пространства в данный момент
времени, задают состояние электромагнитного
поля в этот момент.
Электромагнитное
поле отличается от любой системы частиц
тем, что оно является физической системой
с бесконечно большим числом степеней
свободы ( в области существования поля
значения независимых компонент
и
составляют бесчисленное множество
величин, т.к. любая область пространства
содержит бесконечно большое число
точек).
Электромагнитные поля подчинятся принципу суперпозиции: при одновременном действии нескольких источников электромагнитного поля ( имеется несколько заряженных электричеством тел в свободном, т.е. не содержащем вещества, пространстве) образуется поле, равное сумме полей, создаваемых каждым источником:
;
.
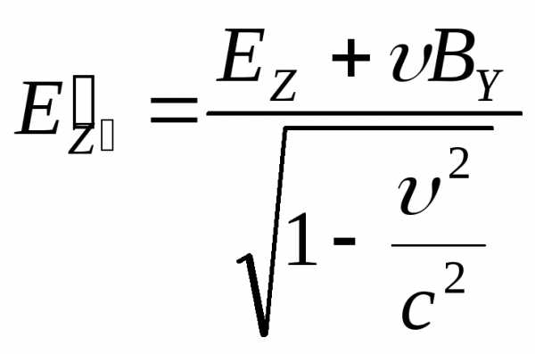
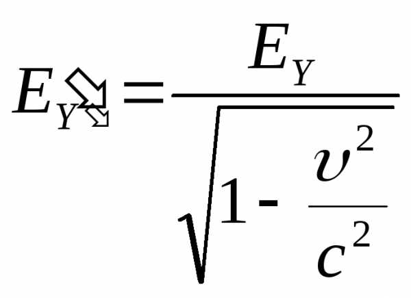
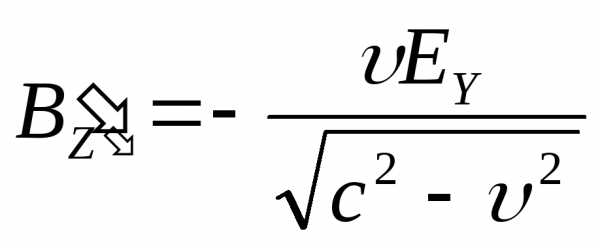
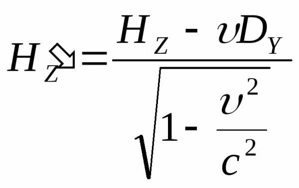
Уравнения
Максвелла инвариантны относительно
преобразований Лоренца. Электрические
заряды также не зависят от выбора
инерциальной системы отсчета. Формула
преобразований Лоренца для векторов
и
электромагнитного поля при переходе
от неподвижной инерциальной системы
отсчетаК к системе
,
движущейся относительноК прямолинейно и равномерно со скоростью
вдоль положительного направленияОХ,
имеют вид:
;
;
;
;
;
;
с
учетом (5.9) получаем для векторов
и
:
;
;
;
;
;
.
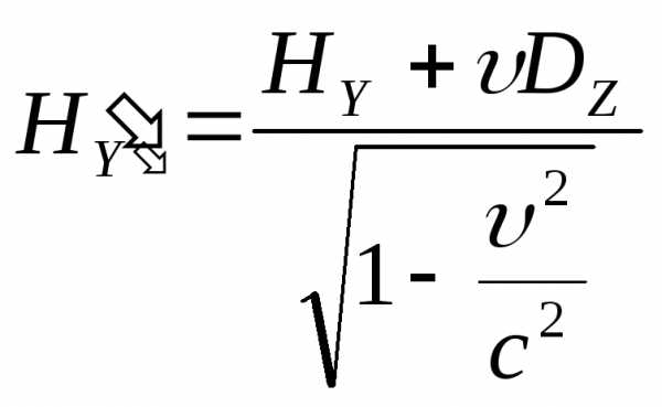
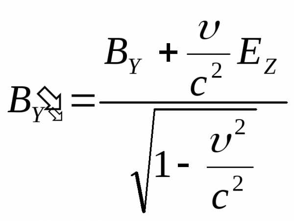
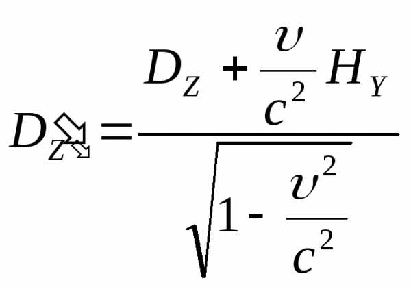
Здесь
– скорость света в вакууме. В среде
.
Из
преобразований Лоренца видно, что одно
и то же электромагнитное поле по-разному
проявляется в инерциальных системах
отсчета, движущихся друг относительно
друга. Например, если в системе отсчета К есть только электрическое поле,
(
– орт координатной оси) и
,
то в системе отсчета
будет наблюдаться и электрическое и
магнитное поле, векторы
и
взаимно перпендикулярны:
;
;
;
;
;
.
Если же в
есть магнитное поле, то в
также будут наблюдаться оба поля, у
которых
:
;
;
;
;
;
.
ЛЕКЦИЯ 19.
studfiles.net
4. Уравнения максвелла. @
4.1. Теория Максвелла для электромагнитного поля.@
В 60-х годах XIX столетия Д.К. Максвелл, ознакомившись с работами Фарадея, решил придать теории электричества и магнетизма математическую форму. Обобщив законы, установленные экспериментальным путем – закон полного тока, закон электромагнитной индукции и теорему Остроградского-Гаусса, – Максвелл дал полную картину электромагнитного поля. В теории Максвелла решается основная задача электродинамики – установление характеристик электромагнитного поля заданной системы электрических зарядов и токов, т.е. определение напряженности электрического поля Е и индукции магнитного поля В при известных величинах зарядов и токов, создающих эти поля. Необходимо отметить, что в своих выводах Максвелл не мог воспользоваться теорией относительности, так как она появилась лишь спустя 50 лет. Не были изучены электрические свойства веществ, не была установлена связь электромагнетизма и света. Другими словами, многие из доводов, которыми пользуемся мы сейчас при теоретическом обобщении результатов, были немыслимы во времена Максвелла.
Данная теория явилась величайшим вкладом в развитие классической физики. Она позволила с единой точки зрения охватить огромный круг явлений, начиная от электростатического поля неподвижных зарядов и кончая электромагнитной природой света. В этой теории не рассматривается молекулярное строение среды и внутренний механизм процессов, происходящих в веществе, находящемся в электромагнитном поле. Теория Максвелла – макроскопическая, в ней рассматриваются электромагнитные поля таких зарядов и токов, пространственная протяженность которых неизмеримо больше размеров атомов и молекул.
Электрические и магнитные свойства среды в теории Максвелла характеризуются тремя величинами: относительной диэлектрической проницаемостью ε, относительной магнитной проницаемостью μ и удельной электрической проводимостью γ. Предполагается, что эти параметры среды известны из опыта.
Данная теория представлена в виде системы четырех уравнений, называемых уравнениями Максвелла. Эти уравнения принято записывать в дифференциальной и интегральной форме. Уравнения в дифференциальной форме показывают, как связаны между собой характеристики электромагнитного поля и плотности электрических зарядов и токов в каждой точке этого поля. В данном разделе рассмотрены только уравнения Максвелла в интегральной форме – они содержат соотношения, справедливые для мысленно проведенных в электромагнитном поле неподвижных замкнутых контуров и поверхностей.
4.2. Первое уравнение Максвелла.@
При
рассмотрении неподвижного контура,
находящегося в переменном магнитном
поле, было установлено, что в нем
появляется э.д.с. индукции
.
С
другой стороны, появление э.д.с., по
определению, связано с работой сторонних
сил неэлектростатического происхождения,
и
.
Таким образом, можно записать
.
Под
действием переменного магнитного поля
в контуре возникает электрическое поле
.
Различие между этим полем и электростатическим
заключается в том, что циркуляция вектора
напряженности электростатического
поля
вдоль замкнутого контура равна нулю, а
циркуляция
по замкнутому контуру не равна нулю.
Данное электрическое поле имеет
непрерывные силовые линии, т.е. являетсявихревым.
Оно вызывает в контуре направленное
движение электронов по замкнутым
траекториям. Таким образом, всякое
изменение магнитного поля вызывает в
окружающем пространстве появление
вихревого электрического поля.
Воспользуемся выражением для магнитного потока:
Если поверхность S, которую пронзает магнитный поток, и ограничивающий ее электрический контурLнеподвижны, то операции интегрирования по поверхности и дифференцирования по времени можно поменять местами. После этого мы получаем
.
В связи с тем, что
вектор В зависит в общем случае как от
времени, так и от координат, под знаком
интеграла записывается символ частной
производной В по времени (тогда как
магнитный поток
является функцией только времени).
Поскольку
электрическое поле может быть и
стационарным (электростатическим), и
вихревым, то в общем случаеЦиркуляция
стационарного поля, как известно, равна
нулю, поэтому
.Итак, циркуляция
вектора напряженности электрического
поля по произвольному замкнутому контуру L равна взятой с обратным знаком скорости
изменения магнитного потока сквозь
поверхность S,
ограниченную этим контуром.
Полученное уравнение – это первое уравнение Максвелла в интегральной форме. Оно показывает, что источником электрического поля могут быть не только электрические заряды, но и изменяющиеся во времени магнитные поля. Явление возникновения в пространстве вихревого электрического поля под влиянием переменного магнитного было использовано для создания индукционного ускорителя электронов – бетатрона. Бетатроны применяются в промышленности для просвечивания толстых металлических плит, в медицине – для лучевой терапии и в различных научных исследованиях.
studfiles.net
4. Уравнения максвелла. @
4.1. Теория Максвелла для электромагнитного поля.@
В 60-х годах XIX столетия Д.К. Максвелл, ознакомившись с работами Фарадея, решил придать теории электричества и магнетизма математическую форму. Обобщив законы, установленные экспериментальным путем – закон полного тока, закон электромагнитной индукции и теорему Остроградского-Гаусса, – Максвелл дал полную картину электромагнитного поля. В теории Максвелла решается основная задача электродинамики – установление характеристик электромагнитного поля заданной системы электрических зарядов и токов, т.е. определение напряженности электрического поля Е и индукции магнитного поля В при известных величинах зарядов и токов, создающих эти поля. Необходимо отметить, что в своих выводах Максвелл не мог воспользоваться теорией относительности, так как она появилась лишь спустя 50 лет. Не были изучены электрические свойства веществ, не была установлена связь электромагнетизма и света. Другими словами, многие из доводов, которыми пользуемся мы сейчас при теоретическом обобщении результатов, были немыслимы во времена Максвелла.
Данная теория явилась величайшим вкладом в развитие классической физики. Она позволила с единой точки зрения охватить огромный круг явлений, начиная от электростатического поля неподвижных зарядов и кончая электромагнитной природой света. В этой теории не рассматривается молекулярное строение среды и внутренний механизм процессов, происходящих в веществе, находящемся в электромагнитном поле. Теория Максвелла – макроскопическая, в ней рассматриваются электромагнитные поля таких зарядов и токов, пространственная протяженность которых неизмеримо больше размеров атомов и молекул.
Электрические и магнитные свойства среды в теории Максвелла характеризуются тремя величинами: относительной диэлектрической проницаемостью ε, относительной магнитной проницаемостью μ и удельной электрической проводимостью γ. Предполагается, что эти параметры среды известны из опыта.
Данная теория представлена в виде системы четырех уравнений, называемых уравнениями Максвелла. Эти уравнения принято записывать в дифференциальной и интегральной форме. Уравнения в дифференциальной форме показывают, как связаны между собой характеристики электромагнитного поля и плотности электрических зарядов и токов в каждой точке этого поля. В данном разделе рассмотрены только уравнения Максвелла в интегральной форме – они содержат соотношения, справедливые для мысленно проведенных в электромагнитном поле неподвижных замкнутых контуров и поверхностей.
4.2. Первое уравнение Максвелла.@
При
рассмотрении неподвижного контура,
находящегося в переменном магнитном
поле, было установлено, что в нем
появляется э.д.с. индукции
.
С
другой стороны, появление э.д.с., по
определению, связано с работой сторонних
сил неэлектростатического происхождения,
и
.
Таким образом, можно записать
.
Под
действием переменного магнитного поля
в контуре возникает электрическое поле
.
Различие между этим полем и электростатическим
заключается в том, что циркуляция вектора
напряженности электростатического
поля
вдоль замкнутого контура равна нулю, а
циркуляция
по замкнутому контуру не равна нулю.
Данное электрическое поле имеет
непрерывные силовые линии, т.е. являетсявихревым.
Оно вызывает в контуре направленное
движение электронов по замкнутым
траекториям. Таким образом, всякое
изменение магнитного поля вызывает в
окружающем пространстве появление
вихревого электрического поля.
Воспользуемся выражением для магнитного потока:
Если поверхность S, которую пронзает магнитный поток, и ограничивающий ее электрический контурLнеподвижны, то операции интегрирования по поверхности и дифференцирования по времени можно поменять местами. После этого мы получаем
.
В связи с тем, что
вектор В зависит в общем случае как от
времени, так и от координат, под знаком
интеграла записывается символ частной
производной В по времени (тогда как
магнитный поток
является функцией только времени).
Поскольку
электрическое поле может быть и
стационарным (электростатическим), и
вихревым, то в общем случаеЦиркуляция
стационарного поля, как известно, равна
нулю, поэтому
.Итак, циркуляция
вектора напряженности электрического
поля по произвольному замкнутому контуру L равна взятой с обратным знаком скорости
изменения магнитного потока сквозь
поверхность S,
ограниченную этим контуром.
Полученное уравнение – это первое уравнение Максвелла в интегральной форме. Оно показывает, что источником электрического поля могут быть не только электрические заряды, но и изменяющиеся во времени магнитные поля. Явление возникновения в пространстве вихревого электрического поля под влиянием переменного магнитного было использовано для создания индукционного ускорителя электронов – бетатрона. Бетатроны применяются в промышленности для просвечивания толстых металлических плит, в медицине – для лучевой терапии и в различных научных исследованиях.
studfiles.net
Четвертое уравнение Максвелла
Четвертое уравнение Максвелла в
интегральной форме совпадает с законом
Гаусса для магнитного поля, который
можно сформулировать следующим образом.
Поток вектора магнитной индукции через
любую замкнутую поверхность
равен нулю, т.е.
.
Это уравнение является четвертым уравнением Максвелла и называется также принципом непрерывности магнитного потока. В дифференциальной форме четвертое уравнение Максвелла получается, аналогично третьему, с помощью теоремы Остроградского-Гаусса:
,
тогда
,
а так как объем
может быть любым, то это равенство может
выполняться только при
.
−Линии вектора магнитной индукции
Физически смысл этого закона заключается
в неразрывности магнитных силовых
линий, что было установлено экспериментально.
Из замкнутости силовых линий следует,
что поток, «втекающий» в объем
,
в точности равен потоку, «вытекающему»
из этого же объема. Иначе говоря, не
существует линий вектора
,
которые только входят, или, наоборот,
только выходят из поверхности
:
они всегда пронизывают ее.
Лекция 4. Обсуждение уравнение Максвелла и следствий из них. Сторонние силы Метод комплексных амплитуд, применение к уравнениям Максвелла. Энергетические соотношения
Выше мы рассмотрели систему уравнений Максвелла в комплексе. Эта система, как указывалось, описывает все возможные электромагнитные процессы. Решая эту систему уравнений, мы находим соотношения между векторами электромагнитного поля и связанными с ними токами и зарядами.
В любом процессе можно выделить особенности, позволяющие рассмотреть частные случаи системы уравнений Максвелла, упрощающие их решение. Ниже мы рассмотрим различные варианты таких случаев.
Обсуждение уравнений Максвелла
Вернемся к полной сводке уравнение Максвелла. Рассмотрение первых двух уравнений дает нам представление о строении электромагнитного поля.

Из первого уравнения следует, что силовые линии магнитного поля охватывают линии полного тока, образуя с ними правовинтовую систему (). Аналогично, пространственный максимум магнитного потока охватывается семейством замкнутых электрических силовых линий.
− Строение электромагнитного поля
Первые два уравнения обладают симметрией в следующем смысле: по первому уравнению изменение во времени электрической индукции порождает вихревое магнитное поле, вектор напряженности которого изменяется в пространстве. По второму уравнению изменение во времени магнитной индукции порождает вихревое электрическое поле, изменяющееся в пространстве.
Из этого следует:
Электрическое поле может создаваться не только зарядом, но и переменным магнитным полем. Переменный магнитный поток неизбежно вызывает вихревое электрическое поле.
Магнитное поле возбуждается не только током проводимости, но и электрическим полем. Переменный по времени поток вектора электрической индукции
неизбежно вызывает магнитное поле.Электрическое и магнитное поля могут существовать, взаимно порождая друг друга. Например, если в некоторой области существует электрическое поле, то его изменение во времени (уменьшение или возрастание) приведет к появлению переменного магнитного поля. В свою очередь, изменяющееся магнитное поле вызовет вихревое электрическое поле. Происходит непрерывное взаимодействие между полями: одно поддерживает другое, и наоборот. Это определяет возможность существования электромагнитных волн в средах вдали от тел с токами проводимости.
−Возникновение электромагнитной волны
Физическая сущность такого процесса
называется электромагнитной волной.
Переменное электрическое поле
в какой-то точке пространства вызывает,
согласно первому уравнению, появление
вокруг себя переменного магнитного
поля
.
Это появившееся магнитное поле, в свою
очередь, становясь причиной во втором
уравнении, вызывает появление вокруг
себя электрического поля и так далее.
Схематически этот процесс показан на
рисунке Рисунок 35 . Для получения полной
картины поля во всем пространстве
необходимо решить уравнения Максвелла.
Смысл третьего уравнения Максвелла прост, так как вполне исчерпывается понятиями дивергенции и потока вектора.

Линии вектора
начинаются на положительных и заканчиваются
на отрицательных зарядах. Если же в
какой-либо области пространства заряда
нет
,
то характер силовых линий вектора
должен соответствовать рисунку, т.е.
количество линий «вошедших» в область,
должно быть равно количеству «вышедших»
и в этой области.
− Силовые линии вектора электрической индукции
Как следует из вывода третьего уравнения, его интегральная форма представляет собой теорему Гаусса:
.
Четвертое уравнение по форме отличается
от третьего нулевой правой частью. В
силу четвертого уравнения расхождение
(дивергенция) вектора магнитной индукции
везде равна нулю. Это означает, что
магнитные силовые линии (линии вектора
)
всегда непрерывны, т.е. либо замкнуты,
либо идут из бесконечности в бесконечность.
Характер картин магнитных силовых
линий, таким образом, представлен на
рисунке Рисунок 37 .
−Картина силовых линий магнитного поля
Непрерывность магнитных силовых линий указывает на отсутствие в природе фактора, который можно было бы называть «магнитным зарядом».
studfiles.net

неизбежно вызывает магнитное поле.





неизбежно вызывает магнитное поле.