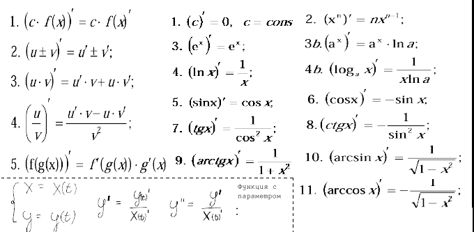
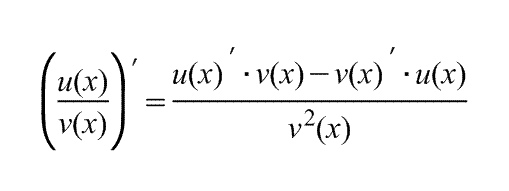
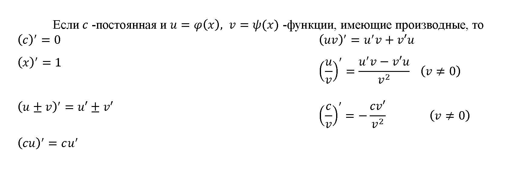
Π€ΠΎΡΠΌΡΠ»Ρ ΠΏΡΠΎΠΈΠ·Π²ΠΎΠ΄Π½ΡΡ
Π§ΡΠΎ ΡΠ°ΠΊΠΎΠ΅ ΠΏΡΠΎΠΈΠ·Π²ΠΎΠ΄Π½Π°Ρ ΡΡΠ½ΠΊΡΠΈΡ – ΡΡΠΎ ΠΎΡΠ½ΠΎΠ²Π½ΠΎΠ΅ ΠΌΠ°ΡΠ΅ΠΌΠ°ΡΠΈΡΠ΅ΡΠΊΠΎΠ΅ ΠΏΠΎΠ½ΡΡΠΈΠ΅, Π½Π°Ρ
ΠΎΠ΄ΠΈΡΡΡ Π½Π° ΠΎΠ΄Π½ΠΎΠΌ ΡΡΠΎΠ²Π½Π΅ Ρ ΠΈΠ½ΡΠ΅Π³ΡΠ°Π»Π°ΠΌΠΈ, ΠΏΡΠΈ Π°Π½Π°Π»ΠΈΠ·Π΅. ΠΠ°Π½Π½Π°Ρ ΡΡΠ½ΠΊΡΠΈΡ Π² ΠΎΠΏΡΠ΅Π΄Π΅Π»Π΅Π½Π½ΠΎΠΉ ΡΠΎΡΠΊΠ΅ Π΄Π°Π΅Ρ Ρ
Π°ΡΠ°ΠΊΡΠ΅ΡΠΈΡΡΠΈΠΊΡ ΡΠΊΠΎΡΠΎΡΡΠΈ ΠΈΠ·ΠΌΠ΅Π½Π΅Π½ΠΈΠΉ ΡΡΠ½ΠΊΡΠΈΠΈ Π² Π΄Π°Π½Π½ΠΎΠΉ ΡΠΎΡΠΊΠ΅.
Π’Π°ΠΊΠΈΠ΅ ΠΏΠΎΠ½ΡΡΠΈΡ ΠΊΠ°ΠΊ Π΄ΠΈΡΡΠ΅ΡΠ΅Π½ΡΠΈΡΠΎΠ²Π°Π½ΠΈΠ΅ ΠΈ ΠΈΠ½ΡΠ΅Π³ΡΠΈΡΠΎΠ²Π°Π½ΠΈΠ΅, ΠΏΠ΅ΡΠ²ΠΎΠ΅ ΡΠ°ΡΡΠΈΡΡΠΎΠ²ΡΠ²Π°Π΅ΡΡΡ ΠΊΠ°ΠΊ Π΄Π΅ΠΉΡΡΠ²ΠΈΠ΅ ΠΏΠΎΠΈΡΠΊΠ° ΠΏΡΠΎΠΈΠ·Π²ΠΎΠ΄Π½ΠΎΠΉ, Π²ΡΠΎΡΠΎΠ΅ Π½Π°ΠΎΠ±ΠΎΡΠΎΡ, Π²ΠΎΡΡΡΠ°Π½Π°Π²Π»ΠΈΠ²Π°Π΅Ρ ΡΡΠ½ΠΊΡΠΈΡ ΠΎΡΡΠ°Π»ΠΊΠΈΠ²Π°ΡΡΡ ΠΎΡ Π΄Π°Π½Π½ΠΎΠΉ ΠΏΡΠΎΠΈΠ·Π²ΠΎΠ΄Π½ΠΎΠΉ.
ΠΡΡΠΈΡΠ»Π΅Π½ΠΈΡΠΌ ΠΏΡΠΎΠΈΠ·Π²ΠΎΠ΄Π½ΠΎΠΉ ΠΎΡΠ²ΠΎΠ΄ΠΈΡΡΡ Π²Π°ΠΆΠ½Π°Ρ ΡΠ°ΡΡΡ Π² Π΄ΠΈΡΡΠ΅ΡΠ΅Π½ΡΠΈΠ°Π»ΡΠ½ΡΡ
ΡΠ°ΡΡΠ΅ΡΠ°Ρ
.
ΠΠ»Ρ Π½Π°Π³Π»ΡΠ΄Π½ΠΎΠ³ΠΎ ΠΏΡΠΈΠΌΠ΅ΡΠ°, ΠΈΠ·ΠΎΠ±ΡΠ°Π·ΠΈΠΌ ΠΏΡΠΎΠΈΠ·Π²ΠΎΠ΄Π½ΡΡ Π½Π° ΠΊΠΎΠΎΡΠ΄ΠΈΠ½Π°ΡΠ½ΠΎΠΉ ΠΏΠ»ΠΎΡΠΊΠΎΡΡΠΈ.
Π² ΡΡΠ½ΠΊΡΠΈΠΈ Ρ=f(Ρ
) ΡΠΈΠΊΡΠΈΡΡΠ΅ΠΌ ΡΠΎΡΠΊΠΈ Π Π² ΠΊΠΎΡΠΎΡΠΎΠΉ (Ρ
0; f(X0)) ΠΈ N f (x0+?x) ΠΊ ΠΊΠ°ΠΆΠ΄ΠΎΠΉ Π°Π±ΡΡΠΈΡΡΠ΅ Π΅ΡΡΡ ΠΏΡΠΈΡΠ°ΡΠ΅Π½ΠΈΠ΅ Π² Π²ΠΈΠ΄Π΅ ?x. ΠΡΠΈΡΠ°ΡΠ΅Π½ΠΈΠ΅ΠΌ Π½Π°Π·ΡΠ²Π°Π΅ΡΡΡ ΠΏΡΠΎΡΠ΅ΡΡ ΠΊΠΎΠ³Π΄Π° ΠΈΠ·ΠΌΠ΅Π½ΡΠ΅ΡΡΡ Π°Π±ΡΡΠΈΡΡΠ°, ΡΠΎΠ³Π΄Π° ΠΌΠ΅Π½ΡΠ΅ΡΡΡ ΠΈ ΠΎΡΠ΄ΠΈΠ½Π°ΡΠ°. ΠΠ±ΠΎΠ·Π½Π°ΡΠ°Π΅ΡΡΡ ΠΊΠ°ΠΊ ?Ρ.
ΠΠ°ΠΉΠ΄Π΅ΠΌ ΡΠ°Π½Π³Π΅Π½Ρ ΡΠ³Π»Π° Π² ΡΡΠ΅ΡΠ³ΠΎΠ»ΡΠ½ΠΈΠΊΠ΅ MPN ΠΈΡΠΏΠΎΠ»ΡΠ·ΡΡ Π΄Π»Ρ ΡΡΠΎΠ³ΠΎ ΡΠΎΡΠΊΠΈ Π ΠΈ N.
tg? = NP/MP = ?Ρ/?x.
ΠΡΠΈ ?x ΠΈΠ΄ΡΡΠ΅ΠΌ ΠΊ 0. ΠΠ΅ΡΠ΅ΡΠ΅ΠΊΠ°ΡΡΠ°Ρ ΠN Π²ΡΠ΅ Π±Π»ΠΈΠΆΠ΅ ΠΊ ΠΊΠ°ΡΠ°ΡΠ΅Π»ΡΠ½ΠΎΠΉ ΠΠ’ ΠΈ ΡΠ³ΠΎΠ» ? Π±ΡΠ΄Π΅Ρ ?.
tg ? = lim ΠΎΡ ?x-0 tg ? = lim ΠΎΡ ?x-0 ?Ρ/?x
Π’Π°Π±Π»ΠΈΡΠ° ΠΏΡΠΎΠΈΠ·Π²ΠΎΠ΄Π½ΡΡΠΡΠ»ΠΈ ΠΏΡΠΎΠ³ΠΎΠ²Π°ΡΠΈΠ²Π°ΡΡ ΡΠΎΡΠΌΡΠ»ΠΈΡΠΎΠ²ΠΊΡ ΠΊΠ°ΠΆΠ΄ΠΎΠΉ ΡΠΎΡΠΌΡΠ»Ρ ΠΏΡΠΎΠΈΠ·Π²ΠΎΠ΄Π½ΡΡ
. Π’Π°Π±Π»ΠΈΡΠ° Π±ΡΠ΄Π΅Ρ ΠΏΡΠΎΡΠ΅ Π·Π°ΠΏΠΎΠΌΠΈΠ½Π°ΡΡΡΡ.
1) ΠΡΠΎΠΈΠ·Π²ΠΎΠ΄Π½Π°Ρ ΠΎΡ ΠΏΠΎΡΡΠΎΡΠ½Π½ΠΎΠ³ΠΎ Π·Π½Π°ΡΠ΅Π½ΠΈΡ ΡΠ°Π²Π½ΡΠ΅ΡΡΡ 0.
2) Π₯ ΡΠΎ ΡΡΡΠΈΡ
ΠΎΠΌ ΡΠ°Π²Π½ΡΠ΅ΡΡΡ Π΅Π΄ΠΈΠ½ΠΈΡΠ΅.
3) ΠΡΠ»ΠΈ Π΅ΡΡΡ ΠΏΠΎΡΡΠΎΡΠ½Π½ΡΠΉ ΠΌΠ½ΠΎΠΆΠΈΡΠ΅Π»Ρ, ΠΏΡΠΎΡΡΠΎ Π²ΡΠ½ΠΎΡΠΈΠΌ Π΅ΠΎ Π·Π° ΠΏΡΠΎΠΈΠ·Π²ΠΎΠ΄Π½ΡΡ.
4) Π§ΡΠΎΠ±Ρ Π½Π°ΠΉΡΠΈ ΠΏΡΠΎΠΈΠ·Π²ΠΎΠ΄Π½ΡΡ ΡΡΠ΅ΠΏΠ΅Π½Ρ, Π½ΡΠΆΠ½ΠΎ ΠΏΠΎΠΊΠ°Π·Π°ΡΠ΅Π»Ρ Π΄Π°Π½Π½ΠΎΠΉ ΡΡΠ΅ΠΏΠ΅Π½ΠΈ ΡΠΌΠ½ΠΎΠΆΠΈΡΡ Π½Π° ΡΡΠ΅ΠΏΠ΅Π½Ρ Ρ ΡΠ°ΠΊΠΈΠΌ ΠΆΠ΅ ΠΎΡΠ½ΠΎΠ²Π°Π½ΠΈΠ΅ΠΌ, Ρ ΠΊΠΎΡΠΎΡΠΎΠ³ΠΎ ΠΏΠΎΠΊΠ°Π·Π°ΡΠ΅Π»Ρ Π½Π° 1 ΠΌΠ΅Π½ΡΡΠ΅.
6) ΠΡΠΎΠΈΠ·Π²ΠΎΠ΄Π½Π°Ρ ΠΎΠ΄Π½ΠΎΠ³ΠΎ, Π΄Π΅Π»Π΅Π½Π½ΠΎΠ³ΠΎ Π½Π° Π₯ ΡΠ°Π²Π½ΡΠ΅ΡΡΡ ΠΎΠ΄Π½ΠΎΠΌΡ ΡΠ°Π·Π΄Π΅Π»Π΅Π½Π½ΠΎΠΌΡ Π½Π° Π₯ Π²ΠΎΠ·Π²Π΅Π΄Π΅Π½Π½ΡΠΉ Π² ΠΊΠ²Π°Π΄ΡΠ°Ρ, ΡΠΎ Π·Π½Π°ΠΊΠΎΠΌ ΠΌΠΈΠ½ΡΡ.
7) Π ΡΠΈΠ½ΡΡ ΡΠ°Π²Π½ΡΠ΅ΡΡΡ ΠΊΠΎΡΠΈΠ½ΡΡΡ
8) Π ΠΊΠΎΡΠΈΠ½ΡΡ ΡΠ°Π²Π½ΡΠ΅ΡΡΡ ΡΠΈΠ½ΡΡΡ ΡΠΎ Π·Π½Π°ΠΊΠΎΠΌ ΠΌΠΈΠ½ΡΡ.
9) Π ΡΠ°Π½Π³Π΅Π½Ρ ΡΠ°Π²Π½ΡΠ΅ΡΡΡ ΠΎΠ΄Π½ΠΎΠΌΡ, Π΄Π΅Π»Π΅Π½Π½ΠΎΠΌΡ Π½Π° ΠΊΠΎΡΠΈΠ½ΡΡ Π² ΠΊΠ²Π°Π΄ΡΠ°ΡΠ΅.
10) Π ΠΊΠΎΡΠ°Π½Π³Π΅Π½Ρ ΡΠ°Π²Π½ΡΠ΅ΡΡΡ ΠΎΠ΄Π½ΠΎΠΌΡ ΡΠΎ Π·Π½Π°ΠΊΠΎΠΌ ΠΌΠΈΠ½ΡΡ, Π΄Π΅Π»Π΅Π½Π½Π°Ρ Π½Π° ΡΠΈΠ½ΡΡ Π² ΠΊΠ²Π°Π΄ΡΠ°ΡΠ΅.

Π Π΄ΠΈΡΡΠ΅ΡΠ΅Π½ΡΠΈΡΠΎΠ²Π°Π½ΠΈΠΈ ΡΠ°ΠΊΠΆΠ΅ ΡΡΡΠ΅ΡΡΠ²ΡΡΡ ΠΏΡΠ°Π²ΠΈΠ»Π°, ΠΊΠΎΡΠΎΡΡΠ΅ ΡΠΎΠΆΠ΅ ΠΏΡΠΎΡΠ΅ Π²ΡΡΡΠΈΡΡ ΠΏΡΠΎΠ³ΠΎΠ²Π°ΡΠΈΠ²Π°Ρ ΠΈΡ
Π² ΡΠ»ΡΡ
.
1) ΠΡΠ΅Π½Ρ ΠΏΡΠΎΡΡΠΎ, ΠΏ. ΡΠ»Π°Π³Π°Π΅ΠΌΡΡ
ΡΠ°Π²Π½ΡΠ΅ΡΡΡ ΠΈΡ
ΡΡΠΌΠΌΠ΅.
2) ΠΡΠΎΠΈΠ·Π²ΠΎΠ΄Π½Π°Ρ Π² ΡΠΌΠ½ΠΎΠΆΠ΅Π½ΠΈΠΈ ΡΠ°Π²Π½ΡΠ΅ΡΡΡ ΡΠΌΠ½ΠΎΠΆΠ΅Π½ΠΈΡ ΠΏΠ΅ΡΠ²ΠΎΠ³ΠΎ Π·Π½Π°ΡΠ΅Π½ΠΈΡ Π½Π° Π²ΡΠΎΡΠΎΠ΅, ΠΏΡΠΈΠ±Π°Π²Π»ΡΡ ΠΊ ΡΠ΅Π±Π΅ ΡΠΌΠ½ΠΎΠΆΠ΅Π½ΠΈΠ΅ Π²ΡΠΎΡΠΎΠ³ΠΎ Π·Π½Π°ΡΠ΅Π½ΠΈΡ Π½Π° ΠΏΠ΅ΡΠ²ΠΎΠ΅.
4) Π€ΠΎΡΠΌΡΠ»ΠΈΡΠΎΠ²ΠΊΠ° ΡΠ²Π»ΡΠ΅ΡΡΡ ΡΠ°ΡΡΠ½ΡΠΌ ΡΠ»ΡΡΠ°Π΅ΠΌ ΡΡΠ΅ΡΡΠ΅ΠΉ ΡΠΎΡΠΌΡΠ»Ρ.
ΠΡΠ»ΠΈ ΠΌΠ°ΡΠ΅ΡΠΈΠ°Π» Π±ΡΠ» ΠΏΠΎΠ»Π΅Π·Π΅Π½, Π²Ρ ΠΌΠΎΠΆΠ΅ΡΠ΅ ΠΎΡΠΏΡΠ°Π²ΠΈΡΡ Π΄ΠΎΠ½Π°Ρ ΠΈΠ»ΠΈ ΠΏΠΎΠ΄Π΅Π»ΠΈΡΡΡΡ Π΄Π°Π½Π½ΡΠΌ ΠΌΠ°ΡΠ΅ΡΠΈΠ°Π»ΠΎΠΌ Π² ΡΠΎΡΠΈΠ°Π»ΡΠ½ΡΡ ΡΠ΅ΡΡΡ :
Π€ΠΎΡΠΌΡΠ»Π° ΠΠ΅ΠΉΠ±Π½ΠΈΡΠ° Π΄Π»Ρ n-ΠΉ ΠΏΡΠΎΠΈΠ·Π²ΠΎΠ΄Π½ΠΎΠΉ ΠΏΡΠΎΠΈΠ·Π²Π΅Π΄Π΅Π½ΠΈΡ Π΄Π²ΡΡ ΡΡΠ½ΠΊΡΠΈΠΉ.
Π‘ΠΎΠ΄Π΅ΡΠΆΠ°Π½ΠΈΠ΅:
Π€ΠΎΡΠΌΡΠ»Π° ΠΠ΅ΠΉΠ±Π½ΠΈΡΠ° Π΄Π»Ρ n-ΠΉ ΠΏΡΠΎΠΈΠ·Π²ΠΎΠ΄Π½ΠΎΠΉ ΠΏΡΠΎΠΈΠ·Π²Π΅Π΄Π΅Π½ΠΈΡ Π΄Π²ΡΡ ΡΡΠ½ΠΊΡΠΈΠΉ.
- Π£ΡΠ°Π²Π½Π΅Π½ΠΈΠ΅ ΠΠ΅ΠΉΠ±Π½ΠΈΡΠ° Π΄Π»Ρ n-ΠΉ ΠΏΡΠΎΠΈΠ·Π²ΠΎΠ΄Π½ΠΎΠΉ ΠΏΡΠΎΠΈΠ·Π²Π΅Π΄Π΅Π½ΠΈΡ Π΄Π²ΡΡ ΡΡΠ½ΠΊΡΠΈΠΉ. Π ΡΠΎ Π²ΡΠ΅ΠΌΡ ΠΊΠ°ΠΊ Π²ΡΡΠ΅ΠΏΡΠΈΠ²Π΅Π΄Π΅Π½Π½ΠΎΠ΅ ΠΏΡΠ°Π²ΠΈΠ»ΠΎ ΡΠ°ΡΡΠ΅ΡΠ°Β§6. ΠΡΠΎΠΈΠ·Π²ΠΎΠ΄Π½ΡΠ΅ ΠΈ Π΄ΠΈΡΡΠ΅ΡΠ΅Π½ΡΠΈΠ°Π» Π²ΡΡΡΠ΅Π³ΠΎ ΠΏΠΎΡΡΠ΄ΠΊΠ° 217 ΠΠ²Π΅ ΡΡΠ½ΠΊΡΠΈΠΈ(ΠΈΒ±V) ΠΏΠ΅ΡΠ²Π°Ρ ΠΏΡΠΎΠΈΠ·Π²ΠΎΠ΄Π½Π°Ρ ΡΡΠΌΠΌΡ ΠΈΠ»ΠΈ ΡΠ°Π·Π½ΠΎΡΡΠΈ β^=ΠΈ βΒ±Vβ Π»Π΅Π³ΠΊΠΎ
ΠΏΠ΅ΡΠ΅Π½ΠΎΡΠΈΡΡΡ (Π½Π°ΠΏΡΠΈΠΌΠ΅Ρ, ΠΈΠ½Π΄ΡΠΊΡΠΈΠ΅ΠΉ) Π² ΡΠ»ΡΡΠ°Π΅ n β ΠΉ ΠΏΡΠΎΠΈΠ·Π²ΠΎΠ΄Π½ΠΎΠΉ (ΠΈΒ±V)^nβ β ΠΈ^N β>Β±V^N\ΡΡΡΠ΄Π½ΠΎ Π²ΡΡΠΈΡΠ»ΠΈΡΡ N-Ρ ΠΏΡΠΎΠΈΠ·Π²ΠΎΠ΄Π½ΡΡ ΠΏΡΠΎΠΈΠ·Π²Π΅Π΄Π΅Π½ΠΈΡ Π²ΡΠΎΡΠΎΠΉ ΡΡΠ½ΠΊΡΠΈΠΈ ΠΈ Vβ.
+1 Β» =2, GL3)=C(4)=.., =0, ΡΠΎ ΠΏΠΎΠ»ΡΡΠΈΠΌ ΡΡΠΎ(h3eh)(ΠΏ)=exx2 4-Ρ
ΠΠ ΠΠΠΠΠ¬Π+2Ρ
4-ΡΒ»ΡΠΊΡβ’2=Π΅[Π₯2 4-2Ρ+Ρ(Ρ-1)]. ΠΡ ΠΏΡΠ΅Π΄ΠΏΠΎΠ»Π°Π³Π°Π΅ΠΌ, ΡΡΠΎ Π²ΡΡΠ°ΠΆΠ΅Π½ΠΈΠ΅ ΠΠ΅ΠΉΠ±Π½ΠΈΡΠ° ΠΏΠΎΠ»ΡΡΠ΅Π½ΠΎ ΠΈΠ· Π²ΡΠ΅Ρ
Π΄ΡΡΠ³ΠΈΡ
ΠΏΡΠΎΠΈΠ·Π²ΠΎΠ΄Π½ΡΡ
ΡΡΠ½ΠΊΡΠΈΠΈ ΡΠΌΠ½ΠΎΠΆΠ΅Π½ΠΈΡ, ΠΏΡΠΈΡΠ΅ΠΌ Π»ΡΠ±Π°Ρ ΠΈΠ· ΡΡΠ½ΠΊΡΠΈΠΉ ΡΠΌΠ½ΠΎΠΆΠ΅Π½ΠΈΡ ΠΈΠΌΠ΅Π΅Ρ lie con ech n OE h ΠΈ slo otli CHN s x ΠΎΡ N ula n R o ΠΈ z V o d n s x.
Π‘ΠΌΠΎΡΡΠΈΡΠ΅ ΡΠ°ΠΊΠΆΠ΅:
ΠΠ΅ΡΠΎΠ΄ΠΈΡΠ΅ΡΠΊΠΎΠ΅ ΠΏΠΎΡΠΎΠ±ΠΈΠ΅ ΠΏΠΎ ΠΌΠ°ΡΠ΅ΠΌΠ°ΡΠΈΡΠ΅ΡΠΊΠΎΠΌΡ Π°Π½Π°Π»ΠΈΠ·Ρ
ΠΡΠ°ΠΊΡΠΈΠΊΠ°. ΠΠ°ΡΠ΅ΠΌΠ°ΡΠΈΡΠ΅ΡΠΊΠΈΠΉ Π°Π½Π°Π»ΠΈΠ· (ΠΠ°ΡΠ°Π½). ΠΡΠΎΠΈΠ·Π²ΠΎΠ΄Π½ΡΠ΅. | Vseznayka
ΠΠ΄Π½Π° ΠΈΠ· ΡΠ΅Ρ ΡΠ΅ΠΌ ΠΊΠΎΡΠΎΡΡΡ Π²ΡΠ΅ Π½Π°ΡΠ°Π»ΠΈ ΠΏΡΠΎΡ ΠΎΠ΄ΠΈΡΡ Π΅ΡΡ Π² ΡΠΊΠΎΠ»Π΅ ΠΈ ΠΏΡΠΎΠ΄ΠΎΠ»ΠΆΠ°ΡΡ ΠΏΡΠΎΡ ΠΎΠ΄ΠΈΡΡ Π² Π²ΡΡΡΠ΅ΠΌ ΡΠ΅Ρ Π½ΠΈΡΠ΅ΡΠΊΠΎΠΌ ΡΡΡΠ΅ΠΆΠ΄Π΅Π½ΠΈΠΈ. ΠΠ΅Π»ΡΠ·Ρ ΡΠΊΠ°Π·Π°ΡΡ ΡΡΠΎ ΠΏΡΠΈΠΌΠ΅ΡΡ Π²ΡΠ΄Π°Π½Π½ΡΠ΅ ΡΡΠΈΡΠ΅Π»Π΅ΠΌ Π² ΡΠΊΠΎΠ»Π΅ Π±ΡΠ»ΠΈ ΡΠ»ΠΎΠΆΠ½ΡΠΌΠΈ, Π½ΠΎ ΠΊΠ°ΠΊ Π½Π΅ ΡΡΡΠ°Π½Π½ΠΎ Ρ ΠΌΠ½ΠΎΠ³ΠΈΡ Π²ΠΎΠ·Π½ΠΈΠΊΠ°Π»ΠΈ ΠΏΡΠΎΠ±Π»Π΅ΠΌΡ, Π½Π΅ ΡΠΎΠ»ΡΠΊΠΎ Ρ ΡΠ΅ΡΠ΅Π½ΠΈΠ΅ΠΌ Π½ΠΎ ΠΈ Ρ ΠΏΠΎΠ½ΠΈΠΌΠ°Π½ΠΈΠ΅ΠΌ ΡΡΠΎ ΠΆΠ΅ ΡΠ°ΠΊΠΎΠ΅ ΡΡΠ° “ΠΏΡΠΎΠΈΠ·Π²ΠΎΠ΄Π½Π°Ρ”. ΠΠ°Π²Π°ΠΉΡΠ΅ Π½Π°ΡΠ½ΡΠΌ Ρ ΡΠ°ΠΌΠΎΠ³ΠΎ Π½Π°ΡΠ°Π»Π°, ΠΈ ΡΠ°Π·Π»ΠΎΠΆΠΈΠΌ Π²ΡΡ ΡΡΠΎ Π½Π°ΠΌ Π½ΡΠΆΠ½ΠΎ Π΄Π»Ρ ΠΏΡΠ°ΠΊΡΠΈΠΊΠΈ “ΠΏΠΎ ΠΏΠΎΠ»ΠΎΡΠΊΠ°ΠΌ”.
ΠΡΠΎΠΈΠ·Π²ΠΎΠ΄Π½Π°Ρ – ΠΏΠΎΠΊΠ°Π·ΡΠ²Π°Π΅Ρ ΡΠΊΠΎΡΠΎΡΡΡ ΠΈΠ·ΠΌΠ΅Π½Π΅Π½ΠΈΡ ΡΡΠ½ΠΊΡΠΈΠΈ Π² Π·Π°Π΄Π°Π½Π½ΠΎΠΉ ΡΠΎΡΠΊΠ΅ ΠΈΠ»ΠΈ Π±ΠΎΠ»Π΅Π΅ ΡΠ»ΠΎΠΆΠ½Π°Ρ ΡΠΎΡΠΌΡΠ»ΠΈΡΠΎΠ²ΠΊΠ° ΠΎΠΏΡΠ΅Π΄Π΅Π»ΡΡΡΠ°Ρ Π³Π΅ΠΎΠΌΠ΅ΡΡΠΈΡΠ΅ΡΠΊΠΈΠΉ ΡΠΌΡΡΠ» (Π΄Π»Ρ “Π±ΠΎΡΠ°Π½ΠΎΠ²”), ΠΏΠΎΠΊΠ°Π·ΡΠ²Π°Π΅Ρ ΡΠ°Π½Π³Π΅Π½Ρ ΡΠ³Π»Π° Π½Π°ΠΊΠ»ΠΎΠ½Π° ΠΊΠ°ΡΠ°ΡΠ΅Π»ΡΠ½ΠΎΠΉ ΠΊ Π³ΡΠ°ΡΠΈΠΊΡ ΡΡΠ½ΠΊΡΠΈΠΈ.
ΠΠ°ΡΠ°Π»ΠΎ Π·Π°Π»ΠΎΠΆΠ΅Π½ΠΎ, ΠΌΠΎΠΆΠ½ΠΎ ΠΈ Π΄Π°Π»ΡΡΠ΅ Π΄Π²ΠΈΠ½ΡΡΡΡΡ, ΡΠΎΠ»ΡΠΊΠΎ ΠΊΡΠ΄Π° Π΄Π²ΠΈΠ³Π°ΡΡΡΡ, Π½Π΅ ΡΡΠ½ΠΎ, Π΅ΡΠ»ΠΈ Π½Π΅Ρ ΡΠ°Π±Π»ΠΈΡΡ ΠΏΡΠΎΠΈΠ·Π²ΠΎΠ΄Π½ΡΡ (Π΄Π°-Π΄Π°, ΠΎΠ½Π° ΡΠ°ΠΌΠ°Ρ, Π½ΠΈΠΊΡΠΎ Π½Π΅ ΠΎΡΠΈΠ±ΡΡ, ΠΌΡ ΠΆΠ΅ ΠΏΡΠΈΠΌΠ΅ΡΡ ΡΠ΅ΡΠ°ΡΡ ΡΠΎΠ±ΠΈΡΠ°Π΅ΠΌΡΡ). ΠΡΡΠ°Π²ΠΈΠΌ Π΅Ρ ΡΡΡ:
Π’Π°ΠΊ ΡΠΎ Π»ΡΡΡΠ΅.Π’Π°ΠΊ ΡΠΎ Π»ΡΡΡΠ΅.
Π‘ΡΠΎΠΏ, ΠΊΠΎΠ΅-ΡΡΠΎ Π·Π°Π±ΡΠ»ΠΈ. Π₯ΠΌΠΌΠΌ, Π΄Π°, ΠΈ ΡΡΡ Π²Ρ ΠΏΡΠ°Π²Ρ, ΠΊΠ°ΠΊ ΠΌΠΎΠΆΠ½ΠΎ Π΄Π²ΠΈΠ³Π°ΡΡΡΡ Π΄Π°Π»ΡΡΠ΅ Π΅ΡΠ»ΠΈ Π½Π΅Ρ ΡΠΎΡΠΌΡΠ» (ΡΠΈΠ»ΡΠ½ΠΎ Π½Π΅ ΡΠ°ΡΡΡΡΠ°ΠΈΠ²Π°ΠΉΡΠ΅ΡΡ, ΠΈΡ Π²ΡΠ΅Π³ΠΎ β).
Π’ΡΡ Π½ΠΈΡΠ΅Π³ΠΎ Π½Π΅Ρ ΡΠ»ΠΎΠΆΠ½ΠΎΠ³ΠΎ, ΠΎΠ΄Π½Π° ΠΈΡΠΏΠΎΠ»ΡΠ·ΡΠ΅ΡΡΡ ΠΏΡΠΈ ΡΠΌΠ½ΠΎΠΆΠ΅Π½ΠΈΠΈ Π΄Π²ΡΡ ΡΡΠ½ΠΊΡΠΈΠΉ ΠΎΠ΄Π½ΠΎΠΉ ΠΏΠ΅ΡΠ΅ΠΌΠ΅Π½Π½ΠΎΠΉ (ΠΊ ΠΏΡΠΈΠΌΠ΅ΡΡ ΠΎΠ±Π΅ Π·Π°Π²ΠΈΡΡΡ ΠΎΡ ΠΈΠΊΡ), Π΄ΡΡΠ³Π°Ρ ΠΏΡΠΈ Π΄Π΅Π»Π΅Π½ΠΈΠΈ, Π²ΡΡ ΠΏΡΠΎΡΡΠΎ.Π’ΡΡ Π½ΠΈΡΠ΅Π³ΠΎ Π½Π΅Ρ ΡΠ»ΠΎΠΆΠ½ΠΎΠ³ΠΎ, ΠΎΠ΄Π½Π° ΠΈΡΠΏΠΎΠ»ΡΠ·ΡΠ΅ΡΡΡ ΠΏΡΠΈ ΡΠΌΠ½ΠΎΠΆΠ΅Π½ΠΈΠΈ Π΄Π²ΡΡ ΡΡΠ½ΠΊΡΠΈΠΉ ΠΎΠ΄Π½ΠΎΠΉ ΠΏΠ΅ΡΠ΅ΠΌΠ΅Π½Π½ΠΎΠΉ (ΠΊ ΠΏΡΠΈΠΌΠ΅ΡΡ ΠΎΠ±Π΅ Π·Π°Π²ΠΈΡΡΡ ΠΎΡ ΠΈΠΊΡ), Π΄ΡΡΠ³Π°Ρ ΠΏΡΠΈ Π΄Π΅Π»Π΅Π½ΠΈΠΈ, Π²ΡΡ ΠΏΡΠΎΡΡΠΎ.
ΠΠΎΡΠ° ΡΠ°Π·ΠΎΠ±ΡΠ°ΡΡ Π½Π΅ΡΠΊΠΎΠ»ΡΠΊΠΎ ΠΏΡΠΈΠΌΠ΅ΡΡΠΈΠΊΠΎΠ², ΠΏΠΎ Π½Π°ΡΠ°ΡΡΠ°Π½ΠΈΡ ΡΠ»ΠΎΠΆΠ½ΠΎΡΡΠΈ. ΠΠΎΠΏΡΠΎΠ±ΡΠ΅ΠΌ ΡΡΠΎ-Π½ΠΈΠ±ΡΠ΄Ρ ΠΏΡΠΎΡΡΠ΅Π½ΡΠΊΠΎΠ΅ Π΄Π»Ρ Π½Π°ΡΠ°Π»Π°, ΠΎΠ·Π½Π°ΠΊΠΎΠΌΠΈΠΌΡΡ Ρ ΡΠ°Π±Π»ΠΈΡΠΊΠΎΠΉ ΠΏΡΠΎΠΈΠ·Π²ΠΎΠ΄Π½ΡΡ ΠΈ Ρ ΡΠΎΡΠΌΡΠ»Π°ΠΌΠΈ Π² Π΄Π²ΡΡ ΠΏΡΠΈΠΌΠ΅ΡΠ°Ρ (ΡΠ°Π·Π²Π΅ Π½Π΅ ΠΊΠ»Π°ΡΡΠ½ΠΎ? ΠΠ²ΡΡ Π·Π°ΠΉΡΠ΅Π² ΡΠ°Π·ΠΎΠΌ ΡΠ»ΠΎΠΆΠΈΠΌ).
Π’Π°ΠΊ, ΡΠ°ΠΊ, Π½Π° ΠΏΠ΅ΡΠ²ΡΠΉ Π²Π·Π³Π»ΡΠ΄ Π½ΠΈΡΠ΅Π³ΠΎ ΡΠ»ΠΎΠΆΠ½ΠΎΠ³ΠΎ, ΠΏΠ΅ΡΠ²ΡΠΌ Π΄Π΅Π»ΠΎΠΌ ΠΏΠΎΡΠΌΠΎΡΡΠΈΠΌ Π² ΡΠ°Π±Π»ΠΈΡΠΊΡ ΠΏΡΠΎΠΈΠ·Π²ΠΎΠ΄Π½ΡΡ ΠΈ Π½Π°ΠΉΠ΄ΡΠΌ ΠΏΠΎΡ ΠΎΠΆΠΈΠ΅ ΡΡΠ½ΠΊΡΠΈΠΈ, Π΄Π°, ΠΎΠ½ΠΈ Π΅ΡΡΡ, ΡΡΠΎ “u Π² ΡΡΠ΅ΠΏΠ΅Π½ΠΈ “n” ΠΈ ΡΠΈΠ½ΡΡ u”.
ΠΠΎ ΡΡΠΎ Π΅ΡΡ Π½Π΅ Π²ΡΡ, Ρ Π½Π°Ρ Π΄Π²Π΅ ΡΡΠ½ΠΊΡΠΈΠΈ Π·Π°Π²ΠΈΡΡΡ ΠΎΡ ΠΏΠ΅ΡΠ΅ΠΌΠ΅Π½Π½ΠΎΠΉ ΠΈΠΊΡ, Π΅ΡΠ»ΠΈ ΠΈΡ
Π½Π΅Π»ΡΠ·Ρ ΠΏΠ΅ΡΠ΅ΠΌΠ½ΠΎΠΆΠΈΡΡ, ΡΠΎ Π½ΡΠΆΠ½ΠΎ ΠΈΡΠΏΠΎΠ»ΡΠ·ΠΎΠ²Π°ΡΡ ΡΠΎΡΠΌΡΠ»Ρ “ΠΏΡΠΎΠΈΠ·Π²ΠΎΠ΄Π½ΠΎΠΉ ΠΏΡΠΎΠΈΠ·Π²Π΅Π΄Π΅Π½ΠΈΠΉ, ΡΠΎ Π΅ΡΡΡ ΠΏΠ΅ΡΠ²ΡΡ ΡΠΎΡΠΌΡΠ»Ρ”. Π’Π΅ΠΏΠ΅ΡΡ ΡΠΎΠ»ΡΠΊΠΎ ΠΏΠΎΠ΄ΡΡΠ°Π²Π»ΡΠ΅ΠΌ Π² ΡΠΎΡΠΌΡΠ»Ρ Π²ΡΡ ΡΡΠΎ ΡΡΠ΅Π±ΡΠ΅ΡΡΡ Π² Π½Π΅ΠΉ, ΠΈ Π²ΡΡ, ΠΎΡΠ²Π΅Ρ Π³ΠΎΡΠΎΠ².Π’Π°ΠΊ, ΡΠ°ΠΊ, Π½Π° ΠΏΠ΅ΡΠ²ΡΠΉ Π²Π·Π³Π»ΡΠ΄ Π½ΠΈΡΠ΅Π³ΠΎ ΡΠ»ΠΎΠΆΠ½ΠΎΠ³ΠΎ, ΠΏΠ΅ΡΠ²ΡΠΌ Π΄Π΅Π»ΠΎΠΌ ΠΏΠΎΡΠΌΠΎΡΡΠΈΠΌ Π² ΡΠ°Π±Π»ΠΈΡΠΊΡ ΠΏΡΠΎΠΈΠ·Π²ΠΎΠ΄Π½ΡΡ ΠΈ Π½Π°ΠΉΠ΄ΡΠΌ ΠΏΠΎΡ ΠΎΠΆΠΈΠ΅ ΡΡΠ½ΠΊΡΠΈΠΈ, Π΄Π°, ΠΎΠ½ΠΈ Π΅ΡΡΡ, ΡΡΠΎ “u Π² ΡΡΠ΅ΠΏΠ΅Π½ΠΈ “n” ΠΈ ΡΠΈΠ½ΡΡ u”. ΠΠΎ ΡΡΠΎ Π΅ΡΡ Π½Π΅ Π²ΡΡ, Ρ Π½Π°Ρ Π΄Π²Π΅ ΡΡΠ½ΠΊΡΠΈΠΈ Π·Π°Π²ΠΈΡΡΡ ΠΎΡ ΠΏΠ΅ΡΠ΅ΠΌΠ΅Π½Π½ΠΎΠΉ ΠΈΠΊΡ, Π΅ΡΠ»ΠΈ ΠΈΡ Π½Π΅Π»ΡΠ·Ρ ΠΏΠ΅ΡΠ΅ΠΌΠ½ΠΎΠΆΠΈΡΡ, ΡΠΎ Π½ΡΠΆΠ½ΠΎ ΠΈΡΠΏΠΎΠ»ΡΠ·ΠΎΠ²Π°ΡΡ ΡΠΎΡΠΌΡΠ»Ρ “ΠΏΡΠΎΠΈΠ·Π²ΠΎΠ΄Π½ΠΎΠΉ ΠΏΡΠΎΠΈΠ·Π²Π΅Π΄Π΅Π½ΠΈΠΉ, ΡΠΎ Π΅ΡΡΡ ΠΏΠ΅ΡΠ²ΡΡ ΡΠΎΡΠΌΡΠ»Ρ”. Π’Π΅ΠΏΠ΅ΡΡ ΡΠΎΠ»ΡΠΊΠΎ ΠΏΠΎΠ΄ΡΡΠ°Π²Π»ΡΠ΅ΠΌ Π² ΡΠΎΡΠΌΡΠ»Ρ Π²ΡΡ ΡΡΠΎ ΡΡΠ΅Π±ΡΠ΅ΡΡΡ Π² Π½Π΅ΠΉ, ΠΈ Π²ΡΡ, ΠΎΡΠ²Π΅Ρ Π³ΠΎΡΠΎΠ².
Π§ΡΠΎ ΠΆΠ΅, ΡΠ΅ΠΏΠ΅ΡΡ ΡΡΠΎΠΈΡ ΡΠ΅ΡΠΈΡΡ Π½Π° Π²ΡΠΎΡΡΡ ΡΠΎΡΠΌΡΠ»Ρ, Π³Π΄Π΅ Π΄Π΅Π»Π΅Π½ΠΈΠ΅ ΠΏΡΠΈΡΡΡΡΡΠ²ΡΠ΅Ρ.
ΠΠ΅Π»Π°Π΅ΠΌ Π²ΡΡ ΡΠΎ ΠΆΠ΅ ΡΠ°ΠΌΠΎΠ΅ ΡΡΠΎ ΠΈ Π² ΠΏΡΠΎΡΠ»ΠΎΠΌ ΠΏΡΠΈΠΌΠ΅ΡΠ΅, ΡΠΎΠ»ΡΠΊΠΎ ΡΡΡ Π΄ΡΠΎΠ±Ρ, ΡΡΠΎ Π½Π΅ Π΄ΠΎΠ»ΠΆΠ½ΠΎ ΠΏΡΠ³Π°ΡΡ, Π° Π΄ΠΎΠ»ΠΆΠ½Π° ΡΡΠ°Π·Ρ Π²ΡΠΏΠΎΠΌΠΈΠ½Π°ΡΡΡΡ ΡΠΎΡΠΌΡΠ»Π° ΠΏΡΠΎΠΈΠ·Π²ΠΎΠ΄Π½ΠΎΠΉ ΠΏΡΠΈ Π΄Π΅Π»Π΅Π½ΠΈΠΈ. ΠΠ»Π°Π²Π½ΠΎΠ΅ Π½Π΅ Π·Π°ΠΏΡΡΠ°ΡΡΡΡ Π² ΠΏΡΠ΅ΠΎΠ±ΡΠ°Π·ΠΎΠ²Π°Π½ΠΈΡΡ Π² ΡΠΈΡΠ»ΠΈΡΠ΅Π»Π΅, ΠΊΠ°ΠΊ ΠΌΡ ΡΡΡ Π²ΠΈΠ΄ΠΈΠΌ, Π²ΡΡ Π±Π»Π°Π³ΠΎΠΏΠΎΠ»ΡΡΠ½ΠΎ ΡΠΎΠΊΡΠ°ΡΠΈΠ»ΠΎΡΡ ΠΈ ΠΎΡΠ²Π΅Ρ ΠΏΠΎΠ»ΡΡΠΈΠ»ΡΡ Π΄ΠΎΡΡΠ°ΡΠΎΡΠ½ΠΎ ΠΈΠ·ΡΡΠ½ΡΠΌ.
ΠΠ΅Π»Π°Π΅ΠΌ Π²ΡΡ ΡΠΎ ΠΆΠ΅ ΡΠ°ΠΌΠΎΠ΅ ΡΡΠΎ ΠΈ Π² ΠΏΡΠΎΡΠ»ΠΎΠΌ ΠΏΡΠΈΠΌΠ΅ΡΠ΅, ΡΠΎΠ»ΡΠΊΠΎ ΡΡΡ Π΄ΡΠΎΠ±Ρ, ΡΡΠΎ Π½Π΅ Π΄ΠΎΠ»ΠΆΠ½ΠΎ ΠΏΡΠ³Π°ΡΡ, Π° Π΄ΠΎΠ»ΠΆΠ½Π° ΡΡΠ°Π·Ρ Π²ΡΠΏΠΎΠΌΠΈΠ½Π°ΡΡΡΡ ΡΠΎΡΠΌΡΠ»Π° ΠΏΡΠΎΠΈΠ·Π²ΠΎΠ΄Π½ΠΎΠΉ ΠΏΡΠΈ Π΄Π΅Π»Π΅Π½ΠΈΠΈ. ΠΠ»Π°Π²Π½ΠΎΠ΅ Π½Π΅ Π·Π°ΠΏΡΡΠ°ΡΡΡΡ Π² ΠΏΡΠ΅ΠΎΠ±ΡΠ°Π·ΠΎΠ²Π°Π½ΠΈΡΡ Π² ΡΠΈΡΠ»ΠΈΡΠ΅Π»Π΅, ΠΊΠ°ΠΊ ΠΌΡ ΡΡΡ Π²ΠΈΠ΄ΠΈΠΌ, Π²ΡΡ Π±Π»Π°Π³ΠΎΠΏΠΎΠ»ΡΡΠ½ΠΎ ΡΠΎΠΊΡΠ°ΡΠΈΠ»ΠΎΡΡ ΠΈ ΠΎΡΠ²Π΅Ρ ΠΏΠΎΠ»ΡΡΠΈΠ»ΡΡ Π΄ΠΎΡΡΠ°ΡΠΎΡΠ½ΠΎ ΠΈΠ·ΡΡΠ½ΡΠΌ.
Π Π°Π· ΡΠ°ΠΊΠΎΠ΅ Π΄Π΅Π»ΠΎ, ΡΠΎ ΠΌΠΎΠΆΠ½ΠΎ ΠΈ Π±Π°Ρ Π½ΡΡΡ ΠΏΠΎΠ΄ ΠΊΠΎΠ½Π΅Ρ, ΡΡΠΎ-ΡΠΎ ΡΡΠΏΠ΅Ρ ΠΈΠ½ΡΠ΅ΡΠ΅ΡΠ½ΠΎΠ΅, ΡΡΠΎ ΠΏΠΎΠΌΠΎΠΆΠ΅Ρ ΡΠ°Π·ΠΎΠ±ΡΠ°ΡΡΡΡ ΡΠΎ Π²ΡΠ΅ΠΌ ΠΈ ΡΡΠ°Π·Ρ. Π ΠΏΡΠΈΠΌΠ΅ΡΡ Π²ΠΎΡ ΡΠ°ΠΊΠΎΠ΅…
ΠΠΎΡ ΡΠ°ΠΊΠΈΠ΅ Π³Π»Π°Π·Π° ΠΎΠ±ΡΡΠ½ΠΎ Ρ ΡΡΡΠ΄Π΅Π½ΡΠΎΠ² ΠΊΠΎΠ³Π΄Π° Π²ΠΈΠ΄ΡΡ ΡΡΠΎ-ΡΠΎ ΠΏΠΎΠ΄ΠΎΠ±Π½ΠΎΠ΅ π. ΠΠ° ΡΠ°ΠΌΠΎΠΌ ΠΆΠ΅ Π΄Π΅Π»Π΅ Π½ΡΠΆΠ½ΠΎ ΠΏΡΠΎΡΡΠΎ Π½Π°ΠΉΡΠΈ ΠΌΠ΅ΡΡΠΎ, Π³Π΄Π΅ Π»ΡΡΡΠ΅ ΠΏΠΎΠ΄ΠΎΠΉΡΠΈ. Π’ΡΡ Π²ΠΈΠ΄ΠΈΠΌ Π΄ΡΠΎΠ±Ρ, Π² ΠΊΠΎΡΠΎΡΠΎΠΉ Π² ΡΠΈΡΠ»ΠΈΡΠ΅Π»Π΅ ΠΈ Π·Π½Π°ΠΌΠ΅Π½Π°ΡΠ΅Π»Π΅ ΡΡΠ½ΠΊΡΠΈΠΈ Π½Π΅ Π΄Π΅Π»ΡΡΠΈΠ΅ΡΡ Π΄ΡΡΠ³ Π½Π° Π΄ΡΡΠ³Π°, Π°Π³Π°, ΡΠΎΡΠΌΡΠ»Π° ΠΏΡΠΈ Π΄Π΅Π»Π΅Π½ΠΈΠΈ ΡΠΆΠ΅ Π½Π°ΠΉΠ΄Π΅Π½Π°. Π‘ΡΠΎΠΏ Π° ΡΡΠΎ Π΄Π΅Π»Π°ΡΡ Ρ ΡΠΈΡΠ»ΠΈΡΠ΅Π»Π΅ΠΌ? ΠΠΎΠ·ΠΌΠΎΠΆΠ½ΠΎ ΠΊΡΠΎ-ΡΠΎ ΡΠΆΠ΅ Π΄ΠΎΠ³Π°Π΄Π°Π»ΡΡ, Π½ΠΎ Π² ΡΠΈΡΠ»ΠΈΡΠ΅Π»Π΅ ΡΠΎΡΠΌΡΠ»Π° ΠΏΡΠΈ ΠΏΡΠΎΠΈΠ·Π²Π΅Π΄Π΅Π½ΠΈΠΈ Π΄Π²ΡΡ ΡΡΠ½ΠΊΡΠΈΠΉ. Π‘ΠΎΠ±ΠΈΡΠ°Ρ Π²ΡΡ Π²ΠΌΠ΅ΡΡΠ΅ ΠΌΠΎΠΆΠ½ΠΎ ΡΠΊΠ°Π·Π°ΡΡ Π½Π΅ΡΡΠΎ ΠΏΠΎΠ΄ΠΎΠ±Π½ΠΎΠ΅ “Π² ΡΠΎΡΠΌΡΠ»Ρ ΠΏΡΠΈ Π΄Π΅Π»Π΅Π½ΠΈΠΈ ΡΡΠ½ΠΊΡΠΈΠΉ, Π²ΠΏΠΈΡ Π½ΡΠ»ΠΈ Π΅ΡΡ Π΄Π»Ρ ΡΠΌΠ½ΠΎΠΆΠ΅Π½ΠΈΡ”. Π Π°Π· ΡΠ°Π·ΠΎΠ±ΡΠ°Π»ΠΈΡΡ Π² ΡΠ΅ΠΎΡΠΈΠΈ ΡΡΠΎ Π΄Π° ΠΊΠ°ΠΊ, ΡΡΠΎΠΈΡ ΠΈ Π½Π° ΠΏΡΠ°ΠΊΡΠΈΠΊΠ΅ ΡΡΠΎ ΠΏΡΠΎΠ²Π΅ΡΠΈΡΡ.
ΠΠΎΠ΅Ρ
Π°Π»ΠΈ…ΠΠΎΡ ΡΠ°ΠΊΠΈΠ΅ Π³Π»Π°Π·Π° ΠΎΠ±ΡΡΠ½ΠΎ Ρ ΡΡΡΠ΄Π΅Π½ΡΠΎΠ² ΠΊΠΎΠ³Π΄Π° Π²ΠΈΠ΄ΡΡ ΡΡΠΎ-ΡΠΎ ΠΏΠΎΠ΄ΠΎΠ±Π½ΠΎΠ΅ π. ΠΠ° ΡΠ°ΠΌΠΎΠΌ ΠΆΠ΅ Π΄Π΅Π»Π΅ Π½ΡΠΆΠ½ΠΎ ΠΏΡΠΎΡΡΠΎ Π½Π°ΠΉΡΠΈ ΠΌΠ΅ΡΡΠΎ, Π³Π΄Π΅ Π»ΡΡΡΠ΅ ΠΏΠΎΠ΄ΠΎΠΉΡΠΈ. Π’ΡΡ Π²ΠΈΠ΄ΠΈΠΌ Π΄ΡΠΎΠ±Ρ, Π² ΠΊΠΎΡΠΎΡΠΎΠΉ Π² ΡΠΈΡΠ»ΠΈΡΠ΅Π»Π΅ ΠΈ Π·Π½Π°ΠΌΠ΅Π½Π°ΡΠ΅Π»Π΅ ΡΡΠ½ΠΊΡΠΈΠΈ Π½Π΅ Π΄Π΅Π»ΡΡΠΈΠ΅ΡΡ Π΄ΡΡΠ³ Π½Π° Π΄ΡΡΠ³Π°, Π°Π³Π°, ΡΠΎΡΠΌΡΠ»Π° ΠΏΡΠΈ Π΄Π΅Π»Π΅Π½ΠΈΠΈ ΡΠΆΠ΅ Π½Π°ΠΉΠ΄Π΅Π½Π°. Π‘ΡΠΎΠΏ Π° ΡΡΠΎ Π΄Π΅Π»Π°ΡΡ Ρ ΡΠΈΡΠ»ΠΈΡΠ΅Π»Π΅ΠΌ? ΠΠΎΠ·ΠΌΠΎΠΆΠ½ΠΎ ΠΊΡΠΎ-ΡΠΎ ΡΠΆΠ΅ Π΄ΠΎΠ³Π°Π΄Π°Π»ΡΡ, Π½ΠΎ Π² ΡΠΈΡΠ»ΠΈΡΠ΅Π»Π΅ ΡΠΎΡΠΌΡΠ»Π° ΠΏΡΠΈ ΠΏΡΠΎΠΈΠ·Π²Π΅Π΄Π΅Π½ΠΈΠΈ Π΄Π²ΡΡ ΡΡΠ½ΠΊΡΠΈΠΉ. Π‘ΠΎΠ±ΠΈΡΠ°Ρ Π²ΡΡ Π²ΠΌΠ΅ΡΡΠ΅ ΠΌΠΎΠΆΠ½ΠΎ ΡΠΊΠ°Π·Π°ΡΡ Π½Π΅ΡΡΠΎ ΠΏΠΎΠ΄ΠΎΠ±Π½ΠΎΠ΅ “Π² ΡΠΎΡΠΌΡΠ»Ρ ΠΏΡΠΈ Π΄Π΅Π»Π΅Π½ΠΈΠΈ ΡΡΠ½ΠΊΡΠΈΠΉ, Π²ΠΏΠΈΡ Π½ΡΠ»ΠΈ Π΅ΡΡ Π΄Π»Ρ ΡΠΌΠ½ΠΎΠΆΠ΅Π½ΠΈΡ”. Π Π°Π· ΡΠ°Π·ΠΎΠ±ΡΠ°Π»ΠΈΡΡ Π² ΡΠ΅ΠΎΡΠΈΠΈ ΡΡΠΎ Π΄Π° ΠΊΠ°ΠΊ, ΡΡΠΎΠΈΡ ΠΈ Π½Π° ΠΏΡΠ°ΠΊΡΠΈΠΊΠ΅ ΡΡΠΎ ΠΏΡΠΎΠ²Π΅ΡΠΈΡΡ. ΠΠΎΠ΅Ρ Π°Π»ΠΈ…
ΠΠ³ΠΎ, Π²ΡΠ³Π»ΡΠ΄ΠΈΡ ΡΡΡΠ°ΡΠ½ΠΎ, Π½Π° Π΄Π΅Π»Π΅ ΠΆΠ΅ ΠΏΡΠΈΡ ΠΎΠ΄ΠΈΡΡΡ ΠΏΡΠΈΠ΄Π΅ΡΠΆΠΈΠ²Π°ΡΡΡΡ Π°Π»Π³ΠΎΡΠΈΡΠΌΠ°. Π ΠΏΠ΅ΡΠ²ΡΡ ΠΎΡΠ΅ΡΠ΅Π΄Ρ ΡΠ°ΡΠΏΠΈΡΠ°Π» Π² ΠΎΠ±ΡΠ΅ΠΌ Π²ΠΈΠ΄Π΅ ΠΊΠ°ΠΊ ΠΏΡΠΈΠ΄ΡΡΡΡ Π±ΡΠ°ΡΡ ΠΏΡΠΎΠΈΠ·Π²ΠΎΠ΄Π½ΡΡ, ΠΏΠΎΠ΄ΡΡΠ°Π²ΠΈΠ² Π² ΡΠΎΡΠΌΡΠ»Ρ. ΠΠ°Π»ΡΡΠ΅ Π²Π·ΡΠ»ΠΈΡΡ Π·Π° Π΄Π΅Π»ΠΎ, ΠΏΠΎΡΡΠ΅ΠΏΠ΅Π½Π½ΠΎ Π²ΡΡ Π½Π°Ρ ΠΎΠ΄ΠΈΡΡ.ΠΠ³ΠΎ, Π²ΡΠ³Π»ΡΠ΄ΠΈΡ ΡΡΡΠ°ΡΠ½ΠΎ, Π½Π° Π΄Π΅Π»Π΅ ΠΆΠ΅ ΠΏΡΠΈΡ
ΠΎΠ΄ΠΈΡΡΡ ΠΏΡΠΈΠ΄Π΅ΡΠΆΠΈΠ²Π°ΡΡΡΡ Π°Π»Π³ΠΎΡΠΈΡΠΌΠ°. Π ΠΏΠ΅ΡΠ²ΡΡ ΠΎΡΠ΅ΡΠ΅Π΄Ρ ΡΠ°ΡΠΏΠΈΡΠ°Π» Π² ΠΎΠ±ΡΠ΅ΠΌ Π²ΠΈΠ΄Π΅ ΠΊΠ°ΠΊ ΠΏΡΠΈΠ΄ΡΡΡΡ Π±ΡΠ°ΡΡ ΠΏΡΠΎΠΈΠ·Π²ΠΎΠ΄Π½ΡΡ, ΠΏΠΎΠ΄ΡΡΠ°Π²ΠΈΠ² Π² ΡΠΎΡΠΌΡΠ»Ρ. ΠΠ°Π»ΡΡΠ΅ Π²Π·ΡΠ»ΠΈΡΡ Π·Π° Π΄Π΅Π»ΠΎ, ΠΏΠΎΡΡΠ΅ΠΏΠ΅Π½Π½ΠΎ Π²ΡΡ Π½Π°Ρ
ΠΎΠ΄ΠΈΡΡ.
ΠΡΠ»ΠΈ Π²Ρ ΡΠ°Π·ΠΎΠ±ΡΠ°Π»ΠΈΡΡ ΠΊΠ°ΠΊ ΡΠ΅ΡΠ°Π»ΠΈΡΡ ΠΏΠ΅ΡΠ²ΡΡ Π΄Π²Π°, ΡΠΎ ΠΏΠΎΡΠ»Π΅Π΄Π½ΠΈΠΉ ΡΡΠΎ ΡΠΎΠ²ΠΎΠΊΡΠΏΠ½ΠΎΡΡΡ ΠΏΠ΅ΡΠ²ΠΎΠ³ΠΎ ΠΈ Π²ΡΠΎΡΠΎΠ³ΠΎ Ρ Π½Π΅Π±ΠΎΠ»ΡΡΠΈΠΌ ΠΊΠΎΠ»ΠΈΡΠ΅ΡΡΠ²ΠΎΠΌ ΠΊΠΎΠ½ΡΡΠ°Π½Ρ (ΡΠΈΡΠ΅ΡΠΎΠΊ). ΠΠ΄ΠΈΠ½ΡΡΠ²Π΅Π½Π½ΠΎΠ΅ ΡΡΠΎ Ρ ΠΎΡΠ΅Π»ΠΎΡΡ Π±Ρ ΠΏΡΠΎΠΊΠΎΠΌΠΌΠ΅Π½ΡΠΈΡΠΎΠ²Π°ΡΡ, ΡΠ°ΠΊ ΡΡΠΎ ΠΏΡΠΎΠΈΠ·Π²ΠΎΠ΄Π½ΡΡ ΠΎΡ “Π΅Π΄ΠΈΠ½ΠΈΡΡ Π΄Π΅Π»ΡΠ½Π½ΠΎΠΉ Π½Π° ΠΈΠΊΡ”.
ΠΠ°ΠΊ ΠΏΡΠ°Π²ΠΈΠ»ΠΎ ΠΌΠ½ΠΎΠ³ΠΈΠ΅ Π½Π΅ ΠΏΠΎΠ½ΠΈΠΌΠ°ΡΡ ΠΏΠΎΡΠ΅ΠΌΡ ΡΠ°ΠΊΠ°Ρ ΠΏΡΠΎΠΈΠ·Π²ΠΎΠ΄Π½Π°Ρ Π² ΠΈΡΠΎΠ³Π΅, ΡΠ°ΠΊ Π²ΠΎΡ ΡΠ΅ΠΊΡΠ΅Ρ ΠΊΡΠΎΠ΅ΡΡΡ Π² ΠΏΡΠΎΠΌΠ΅ΠΆΡΡΠΎΡΠ½ΡΡ Π΄Π΅ΠΉΡΡΠ²ΠΈΡΡ , Π½ΡΠΆΠ½ΠΎ ΠΏΡΠ΅Π΄ΡΡΠ°Π²ΠΈΡΡ Π΄ΡΠΎΠ±Ρ Π² ΠΈΠ½ΠΎΠΌ Π²ΠΈΠ΄Π΅, ΡΠΎ Π΅ΡΡΡ “ΡΠΏΡΡΡΠΈΡΡ Π½Π° Π·Π΅ΠΌΠ»Ρ” ΠΈ ΠΏΠΎΡΠΎΠΌ ΡΠΆΠ΅ Π±ΡΠ°ΡΡ ΠΏΡΠΎΠΈΠ·Π²ΠΎΠ΄Π½ΡΡ ΠΎΡ ΡΡΠ΅ΠΏΠ΅Π½Π½ΠΎΠΉ ΡΡΠ½ΠΊΡΠΈΠΈ (ΡΡΠ΅ΠΏΠ΅Π½Π½Π°Ρ ΡΡΠ½ΠΊΡΠΈΡ = ΡΡΠ½ΠΊΡΠΈΡ Ρ ΠΊΠΎΡΠΎΡΠΎΠΉ Π² ΡΡΠ΅ΠΏΠ΅Π½ΠΈ ΡΠΈΡΠ΅ΡΠΊΠ°).ΠΠ°ΠΊ ΠΏΡΠ°Π²ΠΈΠ»ΠΎ ΠΌΠ½ΠΎΠ³ΠΈΠ΅ Π½Π΅ ΠΏΠΎΠ½ΠΈΠΌΠ°ΡΡ ΠΏΠΎΡΠ΅ΠΌΡ ΡΠ°ΠΊΠ°Ρ ΠΏΡΠΎΠΈΠ·Π²ΠΎΠ΄Π½Π°Ρ Π² ΠΈΡΠΎΠ³Π΅, ΡΠ°ΠΊ Π²ΠΎΡ ΡΠ΅ΠΊΡΠ΅Ρ ΠΊΡΠΎΠ΅ΡΡΡ Π² ΠΏΡΠΎΠΌΠ΅ΠΆΡΡΠΎΡΠ½ΡΡ Π΄Π΅ΠΉΡΡΠ²ΠΈΡΡ , Π½ΡΠΆΠ½ΠΎ ΠΏΡΠ΅Π΄ΡΡΠ°Π²ΠΈΡΡ Π΄ΡΠΎΠ±Ρ Π² ΠΈΠ½ΠΎΠΌ Π²ΠΈΠ΄Π΅, ΡΠΎ Π΅ΡΡΡ “ΡΠΏΡΡΡΠΈΡΡ Π½Π° Π·Π΅ΠΌΠ»Ρ” ΠΈ ΠΏΠΎΡΠΎΠΌ ΡΠΆΠ΅ Π±ΡΠ°ΡΡ ΠΏΡΠΎΠΈΠ·Π²ΠΎΠ΄Π½ΡΡ ΠΎΡ ΡΡΠ΅ΠΏΠ΅Π½Π½ΠΎΠΉ ΡΡΠ½ΠΊΡΠΈΠΈ (ΡΡΠ΅ΠΏΠ΅Π½Π½Π°Ρ ΡΡΠ½ΠΊΡΠΈΡ = ΡΡΠ½ΠΊΡΠΈΡ Ρ ΠΊΠΎΡΠΎΡΠΎΠΉ Π² ΡΡΠ΅ΠΏΠ΅Π½ΠΈ ΡΠΈΡΠ΅ΡΠΊΠ°).
ΠΠΎΡΠ° ΠΏΠΎΠ΄Π²ΠΎΠ΄ΠΈΡΡ ΠΈΡΠΎΠ³, ΠΊΠ°ΠΊ ΠΌΡ Π²ΠΈΠ΄ΠΈΠΌ ΡΡΠΎ Π±Ρ Π½Π°Ρ ΠΎΠ΄ΠΈΡΡ ΠΏΡΠΎΠΈΠ·Π²ΠΎΠ΄Π½ΡΠ΅, Π½Π΅ Π½ΡΠΆΠ½ΠΎ ΠΈΠΌΠ΅ΡΡ ΠΎΠ³ΡΠΎΠΌΠ½ΡΠ΅ Π·Π½Π°Π½ΠΈΡ, Π½ΡΠΆΠ½ΠΎ Π²ΡΠ΅Π³ΠΎ Π»ΠΈΡΡ: Π·Π½Π°ΡΡ ΠΈΠ»ΠΈ ΠΈΠΌΠ΅ΡΡ ΠΏΠ΅ΡΠ΅Π΄ Π³Π»Π°Π·Π°ΠΌΠΈ ΡΠ°Π±Π»ΠΈΡΡ ΠΏΡΠΎΠΈΠ·Π²ΠΎΠ΄Π½ΡΡ , Π΄Π²Π΅ ΡΠΎΡΠΌΡΠ»Ρ ΠΈ ΡΠΌΠ΅Π½ΠΈΠ΅ Π΄Π΅Π»Π°ΡΡ ΠΏΡΠ΅ΠΎΠ±ΡΠ°Π·ΠΎΠ²Π°Π½ΠΈΡ Ρ Π΄ΡΠΎΠ±ΡΠΌΠΈ.Π‘ΠΏΠ°ΡΠΈΠ±ΠΎ Π·Π° Π²Π½ΠΈΠΌΠ°Π½ΠΈΠ΅.
Π£ΠΌΠ½ΠΎΠΆΠ΅Π½ΠΈΠ΅ – ΠΎΠΏΡΠ΅Π΄Π΅Π»Π΅Π½ΠΈΠ΅, ΡΠΎΡΠΌΡΠ»Π°, ΠΏΡΠΈΠΌΠ΅ΡΡ, Π΄Π»ΠΈΠ½Π½ΠΎΠ΅ ΡΠΌΠ½ΠΎΠΆΠ΅Π½ΠΈΠ΅
Π ΠΌΠ°ΡΠ΅ΠΌΠ°ΡΠΈΠΊΠ΅ ΡΠΌΠ½ΠΎΠΆΠ΅Π½ΠΈΠ΅ β ΡΡΠΎ ΠΌΠ΅ΡΠΎΠ΄ Π½Π°Ρ ΠΎΠΆΠ΄Π΅Π½ΠΈΡ ΠΏΡΠΎΠΈΠ·Π²Π΅Π΄Π΅Π½ΠΈΡ Π΄Π²ΡΡ ΠΈΠ»ΠΈ Π±ΠΎΠ»Π΅Π΅ ΡΠΈΡΠ΅Π». ΠΡΠΎ ΠΎΡΠ½ΠΎΠ²Π½Π°Ρ Π°ΡΠΈΡΠΌΠ΅ΡΠΈΡΠ΅ΡΠΊΠ°Ρ ΠΎΠΏΠ΅ΡΠ°ΡΠΈΡ, ΠΊΠΎΡΠΎΡΠ°Ρ Π΄ΠΎΠ²ΠΎΠ»ΡΠ½ΠΎ ΡΠ°ΡΡΠΎ ΠΈΡΠΏΠΎΠ»ΡΠ·ΡΠ΅ΡΡΡ Π² ΡΠ΅Π°Π»ΡΠ½ΠΎΠΉ ΠΆΠΈΠ·Π½ΠΈ. Π£ΠΌΠ½ΠΎΠΆΠ΅Π½ΠΈΠ΅ ΠΈΡΠΏΠΎΠ»ΡΠ·ΡΠ΅ΡΡΡ, ΠΊΠΎΠ³Π΄Π° Π½Π°ΠΌ Π½ΡΠΆΠ½ΠΎ ΠΎΠ±ΡΠ΅Π΄ΠΈΠ½ΠΈΡΡ Π³ΡΡΠΏΠΏΡ ΠΎΠ΄ΠΈΠ½Π°ΠΊΠΎΠ²ΠΎΠ³ΠΎ ΡΠ°Π·ΠΌΠ΅ΡΠ°. ΠΠ°Π²Π°ΠΉΡΠ΅ ΡΠ·Π½Π°Π΅ΠΌ Π±ΠΎΠ»ΡΡΠ΅ ΠΎΠ± ΡΠΌΠ½ΠΎΠΆΠ΅Π½ΠΈΠΈ Π½Π° ΡΡΠΎΠΉ ΡΡΡΠ°Π½ΠΈΡΠ΅.
Π§ΡΠΎ ΡΠ°ΠΊΠΎΠ΅ ΡΠΌΠ½ΠΎΠΆΠ΅Π½ΠΈΠ΅?
Π£ΠΌΠ½ΠΎΠΆΠ΅Π½ΠΈΠ΅ β ΡΡΠΎ ΠΎΠΏΠ΅ΡΠ°ΡΠΈΡ, ΠΏΡΠ΅Π΄ΡΡΠ°Π²Π»ΡΡΡΠ°Ρ ΠΎΡΠ½ΠΎΠ²Π½ΡΡ ΠΈΠ΄Π΅Ρ ΠΌΠ½ΠΎΠ³ΠΎΠΊΡΠ°ΡΠ½ΠΎΠ³ΠΎ ΡΠ»ΠΎΠΆΠ΅Π½ΠΈΡ ΠΎΠ΄Π½ΠΎΠ³ΠΎ ΠΈ ΡΠΎΠ³ΠΎ ΠΆΠ΅ ΡΠΈΡΠ»Π°.Π§ΠΈΡΠ»Π°, ΠΊΠΎΡΠΎΡΡΠ΅ ΠΏΠ΅ΡΠ΅ΠΌΠ½ΠΎΠΆΠ°ΡΡΡΡ, Π½Π°Π·ΡΠ²Π°ΡΡΡΡ ΠΌΠ½ΠΎΠΆΠΈΡΠ΅Π»ΡΠΌΠΈ, Π° ΡΠ΅Π·ΡΠ»ΡΡΠ°Ρ, ΠΏΠΎΠ»ΡΡΠ΅Π½Π½ΡΠΉ ΠΏΠΎΡΠ»Π΅ ΡΠΌΠ½ΠΎΠΆΠ΅Π½ΠΈΡ Π΄Π²ΡΡ ΠΈΠ»ΠΈ Π±ΠΎΠ»Π΅Π΅ ΡΠΈΡΠ΅Π», ΠΈΠ·Π²Π΅ΡΡΠ΅Π½ ΠΊΠ°ΠΊ ΠΏΡΠΎΠΈΠ·Π²Π΅Π΄Π΅Π½ΠΈΠ΅ ΡΡΠΈΡ ΡΠΈΡΠ΅Π». Π£ΠΌΠ½ΠΎΠΆΠ΅Π½ΠΈΠ΅ ΠΈΡΠΏΠΎΠ»ΡΠ·ΡΠ΅ΡΡΡ Π΄Π»Ρ ΡΠΏΡΠΎΡΠ΅Π½ΠΈΡ Π·Π°Π΄Π°ΡΠΈ ΠΌΠ½ΠΎΠ³ΠΎΠΊΡΠ°ΡΠ½ΠΎΠ³ΠΎ ΡΠ»ΠΎΠΆΠ΅Π½ΠΈΡ ΠΎΠ΄Π½ΠΎΠ³ΠΎ ΠΈ ΡΠΎΠ³ΠΎ ΠΆΠ΅ ΡΠΈΡΠ»Π° .
ΠΡΠΈΠΌΠ΅Ρ: ΠΡΠ»ΠΈ Π΅ΡΡΡ 6 ΠΊΠΎΡΠΎΠ±ΠΎΠΊ ΠΊΠ΅ΠΊΡΠΎΠ² ΠΈ Π² ΠΊΠ°ΠΆΠ΄ΠΎΠΉ ΠΊΠΎΡΠΎΠ±ΠΊΠ΅ 9 ΠΊΠ΅ΠΊΡΠΎΠ², Π½Π°ΠΉΠ΄ΠΈΡΠ΅ ΠΎΠ±ΡΠ΅Π΅ ΠΊΠΎΠ»ΠΈΡΠ΅ΡΡΠ²ΠΎ ΠΊΠ΅ΠΊΡΠΎΠ².
Π Π΅ΡΠ΅Π½ΠΈΠ΅: ΠΡ ΠΌΠΎΠΆΠ΅ΠΌ ΡΠ΅ΡΠΈΡΡ ΡΡΠΎΡ Π²ΠΎΠΏΡΠΎΡ ΠΏΡΡΠ΅ΠΌ ΡΠ»ΠΎΠΆΠ΅Π½ΠΈΡ, Π½ΠΎ ΡΡΠΎ Π·Π°ΠΉΠΌΠ΅Ρ Π±ΠΎΠ»ΡΡΠ΅ Π²ΡΠ΅ΠΌΠ΅Π½ΠΈ, ΡΡΠΎΠ±Ρ ΠΏΠΎΠ»ΡΡΠΈΡΡ ΠΎΡΠ²Π΅Ρ.Π’ΠΎ Π΅ΡΡΡ 9+9+9+9+9+9=54 ΠΊΠ΅ΠΊΡΠ°. ΠΡΡΠ³ΠΈΠΌΠΈ ΡΠ»ΠΎΠ²Π°ΠΌΠΈ, ΠΊΠΎΠ³Π΄Π° Ρ Π½Π°Ρ Π΅ΡΡΡ Π±ΠΎΠ»ΡΡΠΈΠ΅ ΡΠΈΡΠ»Π° Π΄Π»Ρ ΡΠ°Π±ΠΎΡΡ, ΠΏΠΎΠ»Π΅Π·Π½ΠΎ ΡΠΌΠ½ΠΎΠΆΠ΅Π½ΠΈΠ΅.
Π’Π΅ΠΏΠ΅ΡΡ Π΄Π°Π²Π°ΠΉΡΠ΅ ΡΠ΅ΡΠΈΠΌ ΡΡΡ Π·Π°Π΄Π°ΡΡ Ρ ΠΏΠΎΠΌΠΎΡΡΡ ΡΠΌΠ½ΠΎΠΆΠ΅Π½ΠΈΡ. ΠΡ ΡΠΌΠ½ΠΎΠΆΠΈΠΌ ΠΊΠΎΠ»ΠΈΡΠ΅ΡΡΠ²ΠΎ ΠΊΠΎΡΠΎΠ±ΠΎΠΊ Π½Π° ΠΊΠΎΠ»ΠΈΡΠ΅ΡΡΠ²ΠΎ ΠΊΠ΅ΠΊΡΠΎΠ² Π² ΠΊΠ°ΠΆΠ΄ΠΎΠΉ ΠΊΠΎΡΠΎΠ±ΠΊΠ΅. ΠΡΠ»ΠΈ ΠΌΡ ΡΠΌΠ½ΠΎΠΆΠΈΠΌ 6 Γ 9, ΠΌΡ ΠΏΠΎΠ»ΡΡΠΈΠΌ ΠΎΠ±ΡΠ΅Π΅ ΠΊΠΎΠ»ΠΈΡΠ΅ΡΡΠ²ΠΎ ΠΊΠ°ΠΏΠΊΠ΅ΠΉΠΊΠΎΠ², Π° ΡΡΠΎ 6 Γ 9 = 54 ΠΊΠ°ΠΏΠΊΠ΅ΠΉΠΊΠ°. Π’Π°ΠΊΠΈΠΌ ΠΎΠ±ΡΠ°Π·ΠΎΠΌ, ΠΌΡ Π²ΠΈΠ΄ΠΈΠΌ, ΡΡΠΎ ΠΏΠΎΠ»ΡΡΠ°Π΅ΠΌ ΡΠΎΡ ΠΆΠ΅ ΡΠ΅Π·ΡΠ»ΡΡΠ°Ρ Π·Π° Π±ΠΎΠ»Π΅Π΅ ΠΊΠΎΡΠΎΡΠΊΠΈΠΉ ΠΏΡΠΎΠΌΠ΅ΠΆΡΡΠΎΠΊ Π²ΡΠ΅ΠΌΠ΅Π½ΠΈ. ΠΠΎΡ ΠΏΠΎΡΠ΅ΠΌΡ ΡΠΌΠ½ΠΎΠΆΠ΅Π½ΠΈΠ΅ ΡΠ°ΠΊΠΆΠ΅ Π½Π°Π·ΡΠ²Π°ΡΡ ΠΏΠΎΠ²ΡΠΎΡΠ½ΡΠΌ ΡΠ»ΠΎΠΆΠ΅Π½ΠΈΠ΅ΠΌ.
Π‘ΠΈΠΌΠ²ΠΎΠ» ΡΠΌΠ½ΠΎΠΆΠ΅Π½ΠΈΡ (Γ)
Π ΠΌΠ°ΡΠ΅ΠΌΠ°ΡΠΈΠΊΠ΅ Ρ Π½Π°Ρ ΡΠ°Π·Π½ΡΠ΅ ΡΠΈΠΌΠ²ΠΎΠ»Ρ. Π‘ΠΈΠΌΠ²ΠΎΠ» ΡΠΌΠ½ΠΎΠΆΠ΅Π½ΠΈΡ ΡΠ²Π»ΡΠ΅ΡΡΡ ΠΎΠ΄Π½ΠΈΠΌ ΠΈΠ· Π½Π°ΠΈΠ±ΠΎΠ»Π΅Π΅ ΡΠ°ΡΡΠΎ ΠΈΡΠΏΠΎΠ»ΡΠ·ΡΠ΅ΠΌΡΡ
ΠΌΠ°ΡΠ΅ΠΌΠ°ΡΠΈΡΠ΅ΡΠΊΠΈΡ
ΡΠΈΠΌΠ²ΠΎΠ»ΠΎΠ². Π ΠΏΡΠΈΠΌΠ΅ΡΠ΅, ΠΏΡΠΈΠ²Π΅Π΄Π΅Π½Π½ΠΎΠΌ Π²ΡΡΠ΅, ΠΌΡ ΡΠ·Π½Π°Π»ΠΈ ΠΎΠ± ΡΠΌΠ½ΠΎΠΆΠ΅Π½ΠΈΠΈ Π΄Π²ΡΡ
ΡΠΈΡΠ΅Π» 6 ΠΈ 9. ΠΡΠ»ΠΈ ΠΌΡ Π½Π°Π±Π»ΡΠ΄Π°Π΅ΠΌ Π²ΡΡΠ°ΠΆΠ΅Π½ΠΈΠ΅ ΡΠΌΠ½ΠΎΠΆΠ΅Π½ΠΈΡ (6 Γ 9 = 54), ΡΠΎ Π²ΠΈΠ΄ΠΈΠΌ, ΡΡΠΎ ΡΠΈΠΌΠ²ΠΎΠ» (Γ ) ΡΠΎΠ΅Π΄ΠΈΠ½ΡΠ΅Ρ Π΄Π²Π° ΡΠΈΡΠ»Π° ΠΈ Π·Π°Π²Π΅ΡΡΠ°Π΅Ρ Π΄Π°Π½Π½ΠΎΠ΅ Π²ΡΡΠ°ΠΆΠ΅Π½ΠΈΠ΅.
ΠΠΎΠΌΠΈΠΌΠΎ ΡΠΈΠΌΠ²ΠΎΠ»Π° ΠΊΡΠ΅ΡΡΠ° (Γ), ΡΠΌΠ½ΠΎΠΆΠ΅Π½ΠΈΠ΅ ΡΠ°ΠΊΠΆΠ΅ ΠΎΠ±ΠΎΠ·Π½Π°ΡΠ°Π΅ΡΡΡ ΠΎΠΏΠ΅ΡΠ°ΡΠΎΡΠΎΠΌ ΡΠΎΡΠΊΠΈ ΡΡΠ΅Π΄ΠΈΠ½Π½ΠΎΠΉ Π»ΠΈΠ½ΠΈΠΈ (β
) ΠΈ Π·Π½Π°ΠΊΠΎΠΌ Π·Π²Π΅Π·Π΄ΠΎΡΠΊΠΈ ( *).
Π€ΠΎΡΠΌΡΠ»Π° ΡΠΌΠ½ΠΎΠΆΠ΅Π½ΠΈΡ
Π€ΠΎΡΠΌΡΠ»Π° ΡΠΌΠ½ΠΎΠΆΠ΅Π½ΠΈΡ Π²ΡΡΠ°ΠΆΠ°Π΅ΡΡΡ ΡΠ»Π΅Π΄ΡΡΡΠΈΠΌ ΠΎΠ±ΡΠ°Π·ΠΎΠΌ: ΠΠ½ΠΎΠΆΠΈΠΌΠΎΠ΅ Γ ΠΠ½ΠΎΠΆΠΈΡΠ΅Π»Ρ = ΠΡΠΎΠΈΠ·Π²Π΅Π΄Π΅Π½ΠΈΠ΅ ; Π³Π΄Π΅:
- ΠΠ½ΠΎΠΆΠΈΠΌΠΎΠ΅: ΠΏΠ΅ΡΠ²ΠΎΠ΅ ΡΠΈΡΠ»ΠΎ (ΠΌΠ½ΠΎΠΆΠΈΡΠ΅Π»Ρ).
- ΠΠ½ΠΎΠΆΠΈΡΠ΅Π»Ρ: Π²ΡΠΎΡΠΎΠ΅ ΡΠΈΡΠ»ΠΎ (ΠΊΠΎΡΡΡΠΈΡΠΈΠ΅Π½Ρ).
- ΠΡΠΎΠ΄ΡΠΊΡ: ΠΠΎΠ½Π΅ΡΠ½ΡΠΉ ΡΠ΅Π·ΡΠ»ΡΡΠ°Ρ ΠΏΠΎΡΠ»Π΅ ΡΠΌΠ½ΠΎΠΆΠ΅Π½ΠΈΡ ΠΌΠ½ΠΎΠΆΠΈΠΌΠΎΠ³ΠΎ ΠΈ ΠΌΠ½ΠΎΠΆΠΈΡΠ΅Π»Ρ.
- Π‘ΠΈΠΌΠ²ΠΎΠ» ΡΠΌΠ½ΠΎΠΆΠ΅Π½ΠΈΡ: ‘Γ’ (ΡΠΎΠ΅Π΄ΠΈΠ½ΡΠ΅Ρ Π²ΡΠ΅ Π²ΡΡΠ°ΠΆΠ΅Π½ΠΈΠ΅)
ΠΠ°Π²Π°ΠΉΡΠ΅ ΠΏΠΎΠΉΠΌΠ΅ΠΌ ΡΠΎΡΠΌΡΠ»Ρ ΡΠΌΠ½ΠΎΠΆΠ΅Π½ΠΈΡ Ρ ΠΏΠΎΠΌΠΎΡΡΡ ΡΠ»Π΅Π΄ΡΡΡΠ΅Π³ΠΎ Π²ΡΡΠ°ΠΆΠ΅Π½ΠΈΡ.
7(ΠΌΠ½ΠΎΠΆΠΈΠΌΠΎΠ΅) Γ 5 (ΠΌΠ½ΠΎΠΆΠΈΡΠ΅Π»Ρ) = 35 (ΠΏΡΠΎΠΈΠ·Π²Π΅Π΄Π΅Π½ΠΈΠ΅)
ΠΡΠΏΠΎΠ»ΡΠ·ΡΡ ΡΡΡ Π±Π°Π·ΠΎΠ²ΡΡ ΠΊΠΎΠ½ΡΠ΅ΠΏΡΠΈΡ ΡΠΌΠ½ΠΎΠΆΠ΅Π½ΠΈΡ, Π΄Π°Π²Π°ΠΉΡΠ΅ Π½Π°ΡΡΠΈΠΌΡΡ ΡΠ΅ΡΠ°ΡΡ Π·Π°Π΄Π°ΡΠΈ Π½Π° ΡΠΌΠ½ΠΎΠΆΠ΅Π½ΠΈΠ΅.
ΠΠ°ΠΊ ΡΠ΅ΡΠ°ΡΡ Π·Π°Π΄Π°ΡΠΈ Π½Π° ΡΠΌΠ½ΠΎΠΆΠ΅Π½ΠΈΠ΅?
ΠΡΠΈ ΡΠ΅ΡΠ΅Π½ΠΈΠΈ Π·Π°Π΄Π°Ρ Π½Π° ΡΠΌΠ½ΠΎΠΆΠ΅Π½ΠΈΠ΅ ΠΎΠ΄Π½ΠΎΠ·Π½Π°ΡΠ½ΡΠ΅ ΡΠΈΡΠ»Π° ΠΌΠΎΠΆΠ½ΠΎ ΡΠΌΠ½ΠΎΠΆΠ°ΡΡ ΠΏΡΠΎΡΡΡΠΌ ΡΠΏΠΎΡΠΎΠ±ΠΎΠΌ Ρ ΠΏΠΎΠΌΠΎΡΡΡ ΡΠ°Π±Π»ΠΈΡ ΡΠΌΠ½ΠΎΠΆΠ΅Π½ΠΈΡ, Π½ΠΎ Π΄Π»Ρ Π±ΠΎΠ»ΡΡΠΈΡ
ΡΠΈΡΠ΅Π» ΠΌΡ ΡΠ°Π·Π±ΠΈΠ²Π°Π΅ΠΌ ΡΠΈΡΠ»Π° Π½Π° ΡΡΠΎΠ»Π±ΡΡ, ΠΈΡΠΏΠΎΠ»ΡΠ·ΡΡ ΡΠΎΠΎΡΠ²Π΅ΡΡΡΠ²ΡΡΡΠΈΠ΅ ΡΠ°Π·ΡΡΠ΄Π½ΡΠ΅ Π·Π½Π°ΡΠ΅Π½ΠΈΡ, ΡΠ°ΠΊΠΈΠ΅ ΠΊΠ°ΠΊ Π΅Π΄ΠΈΠ½ΠΈΡΡ, Π΄Π΅ΡΡΡΠΊΠΈ, ΡΠΎΡΠ½ΠΈ, ΡΡΡΡΡΠΈ ΠΈ ΡΠΊΠΎΡΠΎ.
ΠΡΡΡ Π΄Π²Π° ΡΠΈΠΏΠ° Π·Π°Π΄Π°Ρ Π½Π° ΡΠΌΠ½ΠΎΠΆΠ΅Π½ΠΈΠ΅:
- Π£ΠΌΠ½ΠΎΠΆΠ΅Π½ΠΈΠ΅ Π±Π΅Π· ΠΏΠ΅ΡΠ΅Π³ΡΡΠΏΠΏΠΈΡΠΎΠ²ΠΊΠΈ
- Π£ΠΌΠ½ΠΎΠΆΠ΅Π½ΠΈΠ΅ Ρ ΠΏΠ΅ΡΠ΅Π³ΡΡΠΏΠΏΠΈΡΠΎΠ²ΠΊΠΎΠΉ
ΠΠ°Π²Π°ΠΉΡΠ΅ ΡΠ°Π·Π±Π΅ΡΠ΅ΠΌΡΡ Π² Π΄Π²ΡΡ ΡΠ»ΡΡΠ°ΡΡ Ρ ΠΏΠΎΠΌΠΎΡΡΡ ΠΏΡΠΈΠΌΠ΅ΡΠΎΠ².
Π£ΠΌΠ½ΠΎΠΆΠ΅Π½ΠΈΠ΅ Π±Π΅Π· ΠΏΠ΅ΡΠ΅Π³ΡΡΠΏΠΏΠΈΡΠΎΠ²ΠΊΠΈ
Π£ΠΌΠ½ΠΎΠΆΠ΅Π½ΠΈΠ΅ Π΄Π²ΡΡ ΡΠΈΡΠ΅Π» Π±Π΅Π· ΠΏΠ΅ΡΠ΅Π³ΡΡΠΏΠΏΠΈΡΠΎΠ²ΠΊΠΈ Π²ΠΊΠ»ΡΡΠ°Π΅Ρ ΠΌΠ΅Π½ΡΡΠΈΠ΅ ΡΠΈΡΠ»Π°, ΠΊΠΎΠ³Π΄Π° Π½Π΅Ρ Π½Π΅ΠΎΠ±Ρ ΠΎΠ΄ΠΈΠΌΠΎΡΡΠΈ Π²ΡΠΏΠΎΠ»Π½ΡΡΡ ΠΏΠ΅ΡΠ΅Π½ΠΎΡ Π½Π° ΡΠ»Π΅Π΄ΡΡΡΠ΅Π΅ Π±ΠΎΠ»Π΅Π΅ Π²ΡΡΠΎΠΊΠΎΠ΅ ΡΠ°Π·ΡΡΠ΄Π½ΠΎΠ΅ Π·Π½Π°ΡΠ΅Π½ΠΈΠ΅. ΠΡΠΎ Π±Π°Π·ΠΎΠ²ΡΠΉ ΡΡΠΎΠ²Π΅Π½Ρ, ΠΊΠΎΡΠΎΡΡΠΉ ΠΌΠΎΠΆΠ΅Ρ ΠΏΠΎΠΌΠΎΡΡ ΡΡΠ°ΡΠ΅ΠΌΡΡΡ ΠΏΠΎΠ½ΡΡΡ ΠΎΡΠ½ΠΎΠ²Ρ ΡΠΌΠ½ΠΎΠΆΠ΅Π½ΠΈΡ, ΠΏΡΠ΅ΠΆΠ΄Π΅ ΡΠ΅ΠΌ ΠΏΠ΅ΡΠ΅ΠΉΡΠΈ ΠΊ Π±ΠΎΠ»Π΅Π΅ Π²ΡΡΠΎΠΊΠΎΠΌΡ ΡΡΠΎΠ²Π½Ρ Π·Π°Π΄Π°Ρ, Π²ΠΊΠ»ΡΡΠ°Ρ ΠΏΠ΅ΡΠ΅Π³ΡΡΠΏΠΏΠΈΡΠΎΠ²ΠΊΡ.ΠΠ°Π²Π°ΠΉΡΠ΅ ΡΠ°Π·Π±Π΅ΡΠ΅ΠΌΡΡ Π² ΡΡΠΎΠΌ Ρ ΠΏΠΎΠΌΠΎΡΡΡ ΠΏΡΠΈΠΌΠ΅ΡΠ°, ΠΏΡΠΈΠ²Π΅Π΄Π΅Π½Π½ΠΎΠ³ΠΎ Π½ΠΈΠΆΠ΅.
ΠΡΠΈΠΌΠ΅Ρ: ΡΠΌΠ½ΠΎΠΆΡΡΠ΅ 3014 Π½Π° 2.
Π Π΅ΡΠ΅Π½ΠΈΠ΅:
- Π¨Π°Π³ 1: ΠΠ°ΡΠ½ΠΈΡΠ΅ Ρ ΡΠ°Π·ΡΡΠ΄Π° Π΅Π΄ΠΈΠ½ΠΈΡ. (2 Γ 4 = 8)
- Π¨Π°Π³ 2: Π£ΠΌΠ½ΠΎΠΆΡΡΠ΅ 2 Π½Π° ΡΠ°Π·ΡΡΠ΄ Π΄Π΅ΡΡΡΠΊΠΎΠ². (2 Γ 1 = 2)
- Π¨Π°Π³ 3: Π’Π΅ΠΏΠ΅ΡΡ ΡΠΌΠ½ΠΎΠΆΡΡΠ΅ 2 Π½Π° ΡΠΈΡΡΡ Π² ΡΠΎΡΠ½ΡΡ . (2 Γ 0 = 0)
- Π¨Π°Π³ 4: Π’Π΅ΠΏΠ΅ΡΡ ΡΠΌΠ½ΠΎΠΆΡΡΠ΅ 2 Π½Π° ΡΠ°Π·ΡΡΠ΄ ΡΡΡΡΡ.
(2 Γ 3 = 6) - Π¨Π°Π³ 5: 3014 Γ 2 = 6028.
Π§Ρ Π₯ Π’ Π
3 0 1 4
Γ 2
6 0 2 8
Π£ΠΌΠ½ΠΎΠΆΠ΅Π½ΠΈΠ΅ Ρ ΠΏΠ΅ΡΠ΅Π³ΡΡΠΏΠΏΠΈΡΠΎΠ²ΠΊΠΎΠΉ
Π£ΠΌΠ½ΠΎΠΆΠ΅Π½ΠΈΠ΅ Π±ΠΎΠ»Π΅Π΅ Π΄Π²ΡΡ ΡΠΈΡΠ΅Π» Ρ ΠΏΠ΅ΡΠ΅Π³ΡΡΠΏΠΏΠΈΡΠΎΠ²ΠΊΠΎΠΉ Π²ΠΊΠ»ΡΡΠ°Π΅Ρ ΡΠΈΡΠ»Π° Ρ Π΄Π²ΡΠ·Π½Π°ΡΠ½ΡΠΌ ΠΏΡΠΎΠΈΠ·Π²Π΅Π΄Π΅Π½ΠΈΠ΅ΠΌ. Π ΡΡΠΎΠΌ ΡΠΈΠΏΠ΅ ΡΠΌΠ½ΠΎΠΆΠ΅Π½ΠΈΡ Π½Π°ΠΌ Π½ΡΠΆΠ½ΠΎ ΡΠ΄Π΅Π»Π°ΡΡ ΠΏΠ΅ΡΠ΅Π½ΠΎΡ Π½Π° ΡΠ»Π΅Π΄ΡΡΡΠ΅Π΅ Π±ΠΎΠ»Π΅Π΅ Π²ΡΡΠΎΠΊΠΎΠ΅ ΡΠ°Π·ΡΡΠ΄Π½ΠΎΠ΅ Π·Π½Π°ΡΠ΅Π½ΠΈΠ΅. ΠΠ°Π²Π°ΠΉΡΠ΅ ΡΠ°Π·Π±Π΅ΡΠ΅ΠΌΡΡ Π² ΡΡΠΎΠΌ Ρ ΠΏΠΎΠΌΠΎΡΡΡ ΠΏΡΠΈΠΌΠ΅ΡΠ°, ΠΏΡΠΈΠ²Π΅Π΄Π΅Π½Π½ΠΎΠ³ΠΎ Π½ΠΈΠΆΠ΅.
ΠΡΠΈΠΌΠ΅Ρ: ΡΠΌΠ½ΠΎΠΆΠΈΡΡ 2468 Π½Π° 8
Π Π΅ΡΠ΅Π½ΠΈΠ΅: ΠΠ°Π²Π°ΠΉΡΠ΅ ΡΠΌΠ½ΠΎΠΆΠΈΠΌ 2468 Γ 8, ΠΈΡΠΏΠΎΠ»ΡΠ·ΡΡ ΠΏΡΠΈΠ²Π΅Π΄Π΅Π½Π½ΡΠ΅ Π½ΠΈΠΆΠ΅ ΡΠ°Π³ΠΈ, ΠΈ ΠΏΠΎΠΏΡΠΎΠ±ΡΠ΅ΠΌ ΡΠ²ΡΠ·Π°ΡΡ ΠΈΡ Ρ ΡΠΈΡΠ»ΠΎΠΌ, ΠΏΡΠΈΠ²Π΅Π΄Π΅Π½Π½ΡΠΌ ΠΏΠΎΡΠ»Π΅ ΡΠ°Π³ΠΎΠ².
- Π¨Π°Π³ 1: ΠΠ°ΡΠ½ΠΈΡΠ΅ Ρ ΡΠ°Π·ΡΡΠ΄Π° Π΅Π΄ΠΈΠ½ΠΈΡ, ΡΠΎ Π΅ΡΡΡ 8 Γ 8 = 64 Π΅Π΄ΠΈΠ½ΠΈΡΡ, ΡΡΠΎ ΠΎΠ·Π½Π°ΡΠ°Π΅Ρ 6 Π΄Π΅ΡΡΡΠΊΠΎΠ² 4 Π΅Π΄ΠΈΠ½ΠΈΡΡ. Π’Π΅ΠΏΠ΅ΡΡ ΠΏΠ΅ΡΠ΅Π½Π΅ΡΠΈΡΠ΅ 6 Π΄Π΅ΡΡΡΠΊΠΎΠ² Π² ΡΡΠΎΠ»Π±Π΅Ρ Π΄Π΅ΡΡΡΠΊΠΎΠ².
- Π¨Π°Π³ 2: Π£ΠΌΠ½ΠΎΠΆΡΡΠ΅ 8 Π½Π° ΡΠ°Π·ΡΡΠ΄ Π΄Π΅ΡΡΡΠΊΠΎΠ², ΡΠΎ Π΅ΡΡΡ 8 Γ 6 = 48 Π΄Π΅ΡΡΡΠΊΠΎΠ². Π’Π΅ΠΏΠ΅ΡΡ ΠΌΡ Π΄ΠΎΠ±Π°Π²ΠΈΠΌ ΡΡΠΎ ΠΊ ΠΏΠ΅ΡΠ΅Π½ΠΎΡΡ.ΠΡΠΎ ΠΎΠ·Π½Π°ΡΠ°Π΅Ρ, ΡΡΠΎ 48 + 6 (ΠΏΠ΅ΡΠ΅Π½ΠΎΡ ΠΈΠ· ΡΠ°Π³Π° 1) = 54.
ΠΠ΅ΡΠ΅Π½Π΅ΡΠΈΡΠ΅ 5 Π² ΡΡΠΎΠ»Π±Π΅Ρ ΡΠΎΡΠ΅Π½. - Π¨Π°Π³ 3: Π£ΠΌΠ½ΠΎΠΆΡΡΠ΅ 8 Π½Π° ΡΠΈΡΡΡ Π² ΡΠ°Π·ΡΡΠ΄Π΅ ΡΠΎΡΠ΅Π½, ΡΠΎ Π΅ΡΡΡ 8 Γ 4 = 32 ΡΠΎΡΠ½ΠΈ. Π’Π΅ΠΏΠ΅ΡΡ Π΄Π°Π²Π°ΠΉΡΠ΅ Π΄ΠΎΠ±Π°Π²ΠΈΠΌ ΡΡΠΎ ΠΊ ΠΏΠ΅ΡΠ΅Π½ΠΎΡΡ Ρ ΠΏΡΠ΅Π΄ΡΠ΄ΡΡΠ΅Π³ΠΎ ΡΠ°Π³Π°. ΠΡΠΎ ΠΎΠ·Π½Π°ΡΠ°Π΅Ρ, ΡΡΠΎ 32 + 5 (ΠΏΠ΅ΡΠ΅Π½ΠΎΡ ΠΈΠ· ΡΠ°Π³Π° 2) = 37. ΠΡ ΡΠ½ΠΎΠ²Π° ΠΏΠ΅ΡΠ΅Π½Π΅ΡΠ΅ΠΌ 3 Π² ΡΡΠΎΠ»Π±Π΅Ρ ΡΡΡΡΡ.
- Π¨Π°Π³ 4: Π£ΠΌΠ½ΠΎΠΆΡΡΠ΅ 8 Π½Π° ΡΠ°Π·ΡΡΠ΄ ΡΡΡΡΡ, ΡΠΎ Π΅ΡΡΡ 8 Γ 2 = 16 ΡΡΡΡΡ. ΠΡΠ°ΠΊ, Π΄Π°Π²Π°ΠΉΡΠ΅ ΡΠ½ΠΎΠ²Π° Π΄ΠΎΠ±Π°Π²ΠΈΠΌ ΡΡΠΎ ΠΊ ΠΏΠ΅ΡΠ΅Π½ΠΎΡΡ, ΡΠΎ Π΅ΡΡΡ 16 + 3 (ΠΏΠ΅ΡΠ΅Π½ΠΎΡ Ρ ΡΠ°Π³Π° 3) = 19
- Π¨Π°Π³ 5: Π‘Π»Π΅Π΄ΠΎΠ²Π°ΡΠ΅Π»ΡΠ½ΠΎ, ΠΏΡΠΎΠΈΠ·Π²Π΅Π΄Π΅Π½ΠΈΠ΅ 2468 Γ 8 = 19744.
Π£ΠΌΠ½ΠΎΠΆΠ΅Π½ΠΈΠ΅ Ρ ΠΏΠΎΠΌΠΎΡΡΡ ΡΠΈΡΠ»ΠΎΠ²ΠΎΠΉ ΡΡΡΠΎΠΊΠΈ
Π£ΠΌΠ½ΠΎΠΆΠ΅Π½ΠΈΠ΅ Π½Π° ΡΠΈΡΠ»ΠΎΠ²ΡΡ ΠΏΡΡΠΌΡΡ ΠΎΠ·Π½Π°ΡΠ°Π΅Ρ ΠΏΡΠΈΠΌΠ΅Π½Π΅Π½ΠΈΠ΅ ΠΎΠΏΠ΅ΡΠ°ΡΠΈΠΈ ΡΠΌΠ½ΠΎΠΆΠ΅Π½ΠΈΡ ΠΊ Π·Π°Π΄Π°Π½Π½ΠΎΠΌΡ Π½Π°Π±ΠΎΡΡ ΡΠΈΡΠ΅Π» ΡΠ΅ΡΠ΅Π· ΡΠΈΡΠ»ΠΎΠ²ΡΡ ΠΏΡΡΠΌΡΡ. Π§ΠΈΡΠ»ΠΎΠ²Π°Ρ Π»ΠΈΠ½ΠΈΡ β ΡΡΠΎ Π²ΠΈΠ·ΡΠ°Π»ΡΠ½ΠΎΠ΅ ΠΏΡΠ΅Π΄ΡΡΠ°Π²Π»Π΅Π½ΠΈΠ΅ ΡΠΈΡΠ΅Π» Π½Π° ΠΏΡΡΠΌΠΎΠΉ Π»ΠΈΠ½ΠΈΠΈ. ΠΡ Π·Π½Π°Π΅ΠΌ, ΡΡΠΎ ΡΠΌΠ½ΠΎΠΆΠ΅Π½ΠΈΠ΅ ΡΠ°ΠΊΠΆΠ΅ ΠΈΠ·Π²Π΅ΡΡΠ½ΠΎ ΠΊΠ°ΠΊ ΠΌΠ½ΠΎΠ³ΠΎΠΊΡΠ°ΡΠ½ΠΎΠ΅ ΡΠ»ΠΎΠΆΠ΅Π½ΠΈΠ΅. ΠΡΠ°ΠΊ, ΡΡΠΎΠ±Ρ Π²ΡΠΏΠΎΠ»Π½ΠΈΡΡ ΡΠΌΠ½ΠΎΠΆΠ΅Π½ΠΈΠ΅ Π½Π° ΡΠΈΡΠ»ΠΎΠ²ΠΎΠΉ ΠΏΡΡΠΌΠΎΠΉ, ΠΌΡ Π½Π°ΡΠΈΠ½Π°Π΅ΠΌ Ρ Π½ΡΠ»Ρ ΠΈ Π΄Π²ΠΈΠ³Π°Π΅ΠΌΡΡ ΠΊ ΠΏΡΠ°Π²ΠΎΠΉ ΡΡΠΎΡΠΎΠ½Π΅ ΡΠΈΡΠ»ΠΎΠ²ΠΎΠΉ ΡΡΡΠΎΠΊΠΈ Π·Π°Π΄Π°Π½Π½ΠΎΠ΅ ΠΊΠΎΠ»ΠΈΡΠ΅ΡΡΠ²ΠΎ ΡΠ°Π·.
ΠΡΠΈΠΌΠ΅Ρ: Π£ΠΌΠ½ΠΎΠΆΡΡΠ΅ 3 Γ 5 Ρ ΠΏΠΎΠΌΠΎΡΡΡ ΡΠΈΡΠ»ΠΎΠ²ΠΎΠΉ ΠΏΡΡΠΌΠΎΠΉ.
Π Π΅ΡΠ΅Π½ΠΈΠ΅: ΠΠ±ΡΠ°ΡΠΈΡΠ΅ Π²Π½ΠΈΠΌΠ°Π½ΠΈΠ΅ Π½Π° ΡΠ»Π΅Π΄ΡΡΡΡΡ ΡΠΈΡΠ»ΠΎΠ²ΡΡ ΠΏΡΡΠΌΡΡ, ΡΡΠΎΠ±Ρ ΡΠ²ΠΈΠ΄Π΅ΡΡ ΡΠ°Π±ΠΎΡΡ 3 Γ 5 = 15. ΠΡ Π½Π°ΡΠ½Π΅ΠΌ Ρ 0 ΠΈ Π±ΡΠ΄Π΅ΠΌ Π΄Π²ΠΈΠ³Π°ΡΡΡΡ Π²ΠΏΡΠ°Π²ΠΎ ΠΎΡ ΡΠΈΡΠ»ΠΎΠ²ΠΎΠΉ ΠΏΡΡΠΌΠΎΠΉ. ΠΡ ΡΡΠΎΡΠΌΠΈΡΡΠ΅ΠΌ 3 Π³ΡΡΠΏΠΏΡ ΠΏΠΎ 5 ΡΠ°Π²Π½ΡΡ ΠΈΠ½ΡΠ΅ΡΠ²Π°Π»ΠΎΠ². ΠΡΠΎ ΠΏΡΠΈΠ²Π΅Π΄Π΅Ρ Π½Π°Ρ ΠΊ 15.
ΠΡΠΈΠ²Π΅Π΄Π΅Π½Π½Π°Ρ Π²ΡΡΠ΅ ΡΠΈΡΠ»ΠΎΠ²Π°Ρ ΡΡΡΠΎΠΊΠ° ΠΏΠΎΠΊΠ°Π·ΡΠ²Π°Π΅Ρ, ΡΡΠΎ 3 ΡΠΌΠ½ΠΎΠΆΠΈΡΡ Π½Π° 5 ΡΠ°Π²Π½ΠΎ 15. ΠΡΠ΅Π΄ΡΡΠ°Π²Π»Π΅Π½ΠΈΠ΅ ΡΠ°ΠΊΠΆΠ΅ ΠΌΠΎΠΆΠ½ΠΎ Π·Π°ΠΏΠΈΡΠ°ΡΡ ΠΊΠ°ΠΊ 5 + 5 + 5 = 15. ΠΠΏΠ΅ΡΠ°ΡΠΎΡ ΡΠΌΠ½ΠΎΠΆΠ΅Π½ΠΈΡ Π²ΡΡΠ°ΠΆΠ°Π΅ΡΡΡ ΠΊΠ°ΠΊ 3 Γ 5 = 15.
ΠΠ°Π΄Π°ΡΠΈ Π½Π° ΡΠΌΠ½ΠΎΠΆΠ΅Π½ΠΈΠ΅ ΡΠ»ΠΎΠ²
ΠΠ°Π΄Π°ΡΠΈ Π½Π° ΡΠΌΠ½ΠΎΠΆΠ΅Π½ΠΈΠ΅ ΡΠ»ΠΎΠ² ΠΌΠΎΠΆΠ½ΠΎ Π»Π΅Π³ΠΊΠΎ ΡΠ΅ΡΠΈΡΡ, Π²Π½ΠΈΠΌΠ°ΡΠ΅Π»ΡΠ½ΠΎ Π½Π°Π±Π»ΡΠ΄Π°Ρ Π·Π° ΡΠΈΡΡΠ°ΡΠΈΠ΅ΠΉ ΠΈ Π½Π°Ρ ΠΎΠ΄Ρ ΡΠ΅ΡΠ΅Π½ΠΈΠ΅. ΠΠ°Π²Π°ΠΉΡΠ΅ ΡΠ°Π·Π±Π΅ΡΠ΅ΠΌΡΡ Π² ΡΠ΅ΠΎΡΠΈΠΈ ΡΠ΅Π°Π»ΡΠ½ΡΡ Π·Π°Π΄Π°Ρ Π½Π° ΡΠΌΠ½ΠΎΠΆΠ΅Π½ΠΈΠ΅ ΡΠ»ΠΎΠ² Ρ ΠΏΠΎΠΌΠΎΡΡΡ ΠΈΠ½ΡΠ΅ΡΠ΅ΡΠ½ΠΎΠ³ΠΎ ΠΏΡΠΈΠΌΠ΅ΡΠ°.
Π Π΅ΡΠ΅Π½ΠΈΠ΅: Π§ΡΠΎΠ±Ρ ΡΠ΅ΡΠΈΡΡ ΡΠ°ΠΊΠΈΠ΅ Π·Π°Π΄Π°ΡΠΈ Π½Π° ΡΠΌΠ½ΠΎΠΆΠ΅Π½ΠΈΠ΅ ΡΠ»ΠΎΠ², ΡΠ°ΠΌΡΠΉ ΠΏΡΠΎΡΡΠΎΠΉ ΡΠΏΠΎΡΠΎΠ± – Π·Π°ΠΏΠΈΡΠ°ΡΡ Π·Π°Π΄Π°Π½Π½ΡΠ΅ ΠΏΠ°ΡΠ°ΠΌΠ΅ΡΡΡ, Π° Π·Π°ΡΠ΅ΠΌ ΡΠ΅ΡΠΈΡΡ.
ΠΠ°Π½ΠΎ:
ΠΠ±ΡΠ΅Π΅ ΠΊΠΎΠ»ΠΈΡΠ΅ΡΡΠ²ΠΎ ΡΡΡΠΊΡΠΎΠ² Π² ΠΎΠ΄Π½ΠΎΠΌ ΡΡΠΈΠΊΠ΅ = 245
ΠΠΎΠ»ΠΈΡΠ΅ΡΡΠ²ΠΎ ΡΡΠΈΠΊΠΎΠ² = 4
ΠΠ±ΡΠ΅Π΅ ΠΊΠΎΠ»ΠΈΡΠ΅ΡΡΠ²ΠΎ ΡΡΡΠΊΡΠΎΠ² Π² 4 ΡΠ°ΠΊΠΈΡ
ΡΡΠΈΠΊΠ°Ρ
= 245 Γ 4,
Π¨Π°Π³ 1: ΠΠ°ΡΠ½ΠΈΡΠ΅ Ρ ΡΠ°Π·ΡΡΠ΄Π° Π΅Π΄ΠΈΠ½ΠΈΡ. Π£ΠΌΠ½ΠΎΠΆΡΡΠ΅ 4 Γ 5 = 20. Π’Π΅ΠΏΠ΅ΡΡ ΠΏΠ΅ΡΠ΅Π½Π΅ΡΠΈΡΠ΅ 2 Π² ΡΡΠΎΠ»Π±Π΅Ρ Π΄Π΅ΡΡΡΠΊΠΎΠ².
Π¨Π°Π³ 2: Π£ΠΌΠ½ΠΎΠΆΡΡΠ΅ 4 Π½Π° ΡΠ°Π·ΡΡΠ΄ Π΄Π΅ΡΡΡΠΊΠΎΠ², ΡΠΎ Π΅ΡΡΡ 4 Γ 4 = 16. Π’Π΅ΠΏΠ΅ΡΡ ΠΏΡΠΈΠ±Π°Π²ΡΡΠ΅ ΡΡΠΎ ΠΊ ΠΏΠ΅ΡΠ΅Π½ΠΎΡΡ Ρ ΠΏΡΠ΅Π΄ΡΠ΄ΡΡΠ΅Π³ΠΎ ΡΠ°Π³Π°. 16 + 2 (ΠΏΠ΅ΡΠ΅Π½ΠΎΡ ΠΈΠ· ΡΠ°Π³Π° 1) = 18. ΠΡΡΡΠ΄Π° ΠΏΠ΅ΡΠ΅Π½Π΅ΡΠΈΡΠ΅ 1 Π² ΡΡΠΎΠ»Π±Π΅Ρ ΡΠΎΡΠ΅Π½.
Π¨Π°Π³ 4: Π’Π°ΠΊΠΈΠΌ ΠΎΠ±ΡΠ°Π·ΠΎΠΌ, ΠΏΡΠΎΠΈΠ·Π²Π΅Π΄Π΅Π½ΠΈΠ΅ 245 Γ 4 = 980,
ΠΠ’Π
1 2
2 4 5
Γ 4
9 8 0
Π‘Π»Π΅Π΄ΠΎΠ²Π°ΡΠ΅Π»ΡΠ½ΠΎ, ΠΎΠ±ΡΠ΅Π΅ ΠΊΠΎΠ»ΠΈΡΠ΅ΡΡΠ²ΠΎ ΡΡΡΠΊΡΠΎΠ² Π² 4 ΡΠ°ΠΊΠΈΡ ΡΡΠΈΠΊΠ°Ρ = 245 Γ 4 = 980.
Π‘ΠΎΠ²Π΅ΡΡ ΠΈ ΡΠ΅ΠΊΠΎΠΌΠ΅Π½Π΄Π°ΡΠΈΠΈ ΠΏΠΎ ΡΠΌΠ½ΠΎΠΆΠ΅Π½ΠΈΡ:
ΠΠΎΡ ΡΠΏΠΈΡΠΎΠΊ Π½Π΅ΡΠΊΠΎΠ»ΡΠΊΠΈΡ
ΡΠΎΠ²Π΅ΡΠΎΠ² ΠΈ ΠΏΡΠΈΠ΅ΠΌΠΎΠ², ΠΊΠΎΡΠΎΡΡΠ΅ ΠΌΠΎΠΆΠ½ΠΎ ΠΈΡΠΏΠΎΠ»ΡΠ·ΠΎΠ²Π°ΡΡ ΠΏΡΠΈ Π²ΡΠΏΠΎΠ»Π½Π΅Π½ΠΈΠΈ ΡΠΌΠ½ΠΎΠΆΠ΅Π½ΠΈΡ.
- ΠΡΠΈ ΡΠΌΠ½ΠΎΠΆΠ΅Π½ΠΈΠΈ ΠΏΠΎΡΡΠ΄ΠΎΠΊ ΡΠΈΡΠ΅Π» Π½Π΅ ΠΈΠΌΠ΅Π΅Ρ Π·Π½Π°ΡΠ΅Π½ΠΈΡ. Π’Π°ΠΊ ΡΡΠΎ Π²ΡΠ±ΠΈΡΠ°ΠΉΡΠ΅ ΡΠΎΡ ΠΏΠΎΡΡΠ΄ΠΎΠΊ, Π² ΠΊΠΎΡΠΎΡΠΎΠΌ Π²Π°ΠΌ ΡΠ΄ΠΎΠ±Π½Π΅Π΅. ΠΡΠΈ ΠΈΡΠΏΠΎΠ»ΡΠ·ΠΎΠ²Π°Π½ΠΈΠΈ ΡΠ°Π±Π»ΠΈΡΡ ΡΠΌΠ½ΠΎΠΆΠ΅Π½ΠΈΡ, ΠΏΠΎ ΡΡΠ°Π²Π½Π΅Π½ΠΈΡ Ρ 9 Γ 4, ΡΡΠ°ΡΠΈΠ΅ΡΡ ΠΌΠΎΠ³ΡΡ Π»Π΅Π³ΡΠ΅ Π·Π°ΠΏΠΎΠΌΠ½ΠΈΡΡ 4 Γ 9.
- ΠΡΠΈ ΡΠΌΠ½ΠΎΠΆΠ΅Π½ΠΈΠΈ ΡΡΠ΅Ρ ΡΠΈΡΠ΅Π» Π²ΡΠ±Π΅ΡΠΈΡΠ΅ Π΄Π²Π° ΡΠΈΡΠ»Π°, ΠΊΠΎΡΠΎΡΡΠ΅ Π»Π΅Π³ΠΊΠΎ ΡΠΌΠ½ΠΎΠΆΠ°ΡΡΡΡ. ΠΠ°ΠΏΡΠΈΠΌΠ΅Ρ, ΡΠΌΠ½ΠΎΠΆΠ΅Π½ΠΈΠ΅ 5 Γ 17 Γ 2 Π±ΡΠ΄Π΅Ρ Π·Π°ΡΡΡΠ΄Π½Π΅Π½ΠΎ, Π΅ΡΠ»ΠΈ ΠΌΡ ΠΏΠΎΠΏΡΡΠ°Π΅ΠΌΡΡ ΡΠ½Π°ΡΠ°Π»Π° ΡΠΌΠ½ΠΎΠΆΠΈΡΡ 5 Γ 17. ΠΠΌΠ΅ΡΡΠΎ ΡΡΠΎΠ³ΠΎ ΡΠΌΠ½ΠΎΠΆΠ΅Π½ΠΈΠ΅ 5 Π½Π° 2 Π΄Π°Π΅Ρ 10, ΠΊΠΎΡΠΎΡΡΠ΅ ΠΌΠΎΠΆΠ½ΠΎ Π»Π΅Π³ΠΊΠΎ ΡΠΌΠ½ΠΎΠΆΠΈΡΡ Π½Π° 17, ΡΡΠΎΠ±Ρ ΠΏΠΎΠ»ΡΡΠΈΡΡ 170.
- ΠΡΠΈ ΡΠΌΠ½ΠΎΠΆΠ΅Π½ΠΈΠΈ Π΄Π²ΡΠ·Π½Π°ΡΠ½ΠΎΠ³ΠΎ ΡΠΈΡΠ»Π° Π½Π° ΠΎΠ΄Π½ΠΎΠ·Π½Π°ΡΠ½ΠΎΠ΅ ΠΈΠ½ΠΎΠ³Π΄Π° ΠΏΠΎΠΌΠΎΠ³Π°Π΅Ρ ΡΠ°Π·Π±ΠΈΡΡ Π΄Π²ΡΠ·Π½Π°ΡΠ½ΠΎΠ΅ ΡΠΈΡΠ»ΠΎ ΠΏΠΎ ΡΠ°Π·ΡΡΠ΄Π½ΠΎΡΡΠΈ. ΠΠ°ΡΠ΅ΠΌ ΡΠΌΠ½ΠΎΠΆΡΡΠ΅ ΠΊΠ°ΠΆΠ΄ΡΡ ΡΠ°ΡΡΡ ΠΈ ΡΠ»ΠΎΠΆΠΈΡΠ΅. ΠΠ°ΠΏΡΠΈΠΌΠ΅Ρ, 37 Γ 4 ΠΌΠΎΠΆΠ½ΠΎ ΡΠ΅ΡΠΈΡΡ Π² ΡΠΌΠ΅, ΡΠ°Π·Π±ΠΈΠ² 37 ΠΊΠ°ΠΊ 30 + 7. Π’ΠΎΠ³Π΄Π° 30 Γ 4 = 120 ΠΈ 7 Γ 4 = 28. Π’Π°ΠΊΠΈΠΌ ΠΎΠ±ΡΠ°Π·ΠΎΠΌ, ΠΎΠΊΠΎΠ½ΡΠ°ΡΠ΅Π»ΡΠ½ΡΠΉ ΠΎΡΠ²Π΅Ρ Π±ΡΠ΄Π΅Ρ 120 + 28 = 148. Π₯ΠΎΡΡ ΡΡΠΎ ΠΌΠΎΠΆΠ΅Ρ ΠΏΠΎΠΊΠ°Π·Π°ΡΡΡΡ Π±ΠΎΠ»Π΅Π΅ ΡΡΠΎΠΌΠΈΡΠ΅Π»ΡΠ½ΡΠΌ, ΠΊΠΎΠ³Π΄Π° Π·Π°ΠΏΠΈΡΠ°Π½ΠΎ, Π³ΠΎΡΠ°Π·Π΄ΠΎ Π»Π΅Π³ΡΠ΅ ΡΠ΅ΡΠΈΡΡ Π² ΡΠΌΠ΅.
- ΠΠ°ΠΆΠ΅ Π΅ΡΠ»ΠΈ Π²Ρ Π½Π΅ ΠΏΠΎΠΌΠ½ΠΈΡΠ΅ ΡΠ°ΠΊΡ ΡΠΌΠ½ΠΎΠΆΠ΅Π½ΠΈΡ, Π΅Π³ΠΎ ΠΌΠΎΠΆΠ½ΠΎ Π»Π΅Π³ΠΊΠΎ Π²ΡΡΠΈΡΠ»ΠΈΡΡ Π² ΡΠΌΠ΅.ΠΠ°ΠΏΡΠΈΠΌΠ΅Ρ, 17Γ9 ΡΠ»ΠΎΠΆΠ½ΠΎ Π·Π°ΠΏΠΎΠΌΠ½ΠΈΡΡ. ΠΠΎ ΡΡΠΎ ΠΌΠΎΠΆΠ½ΠΎ ΠΌΡΡΠ»Π΅Π½Π½ΠΎ ΠΏΠ΅ΡΠ΅ΡΠΎΡΠΌΡΠ»ΠΈΡΠΎΠ²Π°ΡΡ ΠΊΠ°ΠΊ 17 Γ (10 – 1).
ΠΡΠ°ΠΊ, ΠΎΡΠ²Π΅Ρ Π±ΡΠ΄Π΅Ρ 170 – 17 = 153.
β ΠΠΎΡ ΠΎΠΆΠΈΠ΅ ΡΡΠ°ΡΡΠΈ
Π§Π°ΡΡΠΎ Π·Π°Π΄Π°Π²Π°Π΅ΠΌΡΠ΅ Π²ΠΎΠΏΡΠΎΡΡ ΠΏΠΎ ΡΠΌΠ½ΠΎΠΆΠ΅Π½ΠΈΡ
Π§ΡΠΎ ΠΎΠ·Π½Π°ΡΠ°Π΅Ρ ΡΠΌΠ½ΠΎΠΆΠ΅Π½ΠΈΠ΅?
Π£ΠΌΠ½ΠΎΠΆΠ΅Π½ΠΈΠ΅ β ΡΡΠΎ ΠΎΠΏΠ΅ΡΠ°ΡΠΈΡ, ΠΏΡΠ΅Π΄ΡΡΠ°Π²Π»ΡΡΡΠ°Ρ ΠΎΡΠ½ΠΎΠ²Π½ΡΡ ΠΈΠ΄Π΅Ρ ΠΌΠ½ΠΎΠ³ΠΎΠΊΡΠ°ΡΠ½ΠΎΠ³ΠΎ ΡΠ»ΠΎΠΆΠ΅Π½ΠΈΡ ΠΎΠ΄Π½ΠΎΠ³ΠΎ ΠΈ ΡΠΎΠ³ΠΎ ΠΆΠ΅ ΡΠΈΡΠ»Π°. Π§ΠΈΡΠ»Π°, ΠΊΠΎΡΠΎΡΡΠ΅ ΠΏΠ΅ΡΠ΅ΠΌΠ½ΠΎΠΆΠ°ΡΡΡΡ, Π½Π°Π·ΡΠ²Π°ΡΡΡΡ ΠΌΠ½ΠΎΠΆΠΈΡΠ΅Π»ΡΠΌΠΈ, Π° ΡΠ΅Π·ΡΠ»ΡΡΠ°Ρ, ΠΏΠΎΠ»ΡΡΠ΅Π½Π½ΡΠΉ ΠΏΠΎΡΠ»Π΅ ΡΠΌΠ½ΠΎΠΆΠ΅Π½ΠΈΡ Π΄Π²ΡΡ
ΠΈΠ»ΠΈ Π±ΠΎΠ»Π΅Π΅ ΡΠΈΡΠ΅Π», ΠΈΠ·Π²Π΅ΡΡΠ΅Π½ ΠΊΠ°ΠΊ ΠΏΡΠΎΠΈΠ·Π²Π΅Π΄Π΅Π½ΠΈΠ΅ ΡΡΠΈΡ
ΡΠΈΡΠ΅Π».Π£ΠΌΠ½ΠΎΠΆΠ΅Π½ΠΈΠ΅ ΠΈΡΠΏΠΎΠ»ΡΠ·ΡΠ΅ΡΡΡ Π΄Π»Ρ ΡΠΏΡΠΎΡΠ΅Π½ΠΈΡ Π·Π°Π΄Π°ΡΠΈ ΠΌΠ½ΠΎΠ³ΠΎΠΊΡΠ°ΡΠ½ΠΎΠ³ΠΎ ΡΠ»ΠΎΠΆΠ΅Π½ΠΈΡ ΠΎΠ΄Π½ΠΎΠ³ΠΎ ΠΈ ΡΠΎΠ³ΠΎ ΠΆΠ΅ ΡΠΈΡΠ»Π°
ΠΠ°ΠΊΠ°Ρ ΡΠΎΡΠΌΡΠ»Π° ΠΈΡΠΏΠΎΠ»ΡΠ·ΡΠ΅ΡΡΡ Π΄Π»Ρ Π²ΡΠΏΠΎΠ»Π½Π΅Π½ΠΈΡ ΡΠΌΠ½ΠΎΠΆΠ΅Π½ΠΈΡ?
Π€ΠΎΡΠΌΡΠ»Π°, ΠΊΠΎΡΠΎΡΡΡ ΠΌΡ ΠΈΡΠΏΠΎΠ»ΡΠ·ΡΠ΅ΠΌ Π΄Π»Ρ Π²ΡΠΏΠΎΠ»Π½Π΅Π½ΠΈΡ ΡΠΌΠ½ΠΎΠΆΠ΅Π½ΠΈΡ: Β«ΠΠ½ΠΎΠΆΠ½ΠΎΠ΅ Γ ΠΠ½ΠΎΠΆΠΈΡΠ΅Π»Ρ = ΠΡΠΎΠΈΠ·Π²Π΅Π΄Π΅Π½ΠΈΠ΅Β». ΠΠ°ΠΏΡΠΈΠΌΠ΅Ρ, 9 (ΠΌΠ½ΠΎΠΆΠΈΠΌΠΎΠ΅) Γ 5 (ΠΌΠ½ΠΎΠΆΠΈΡΠ΅Π»Ρ) = 45 (ΠΏΡΠΎΠΈΠ·Π²Π΅Π΄Π΅Π½ΠΈΠ΅)
.
ΠΠ°ΠΊΠΎΠ²Ρ ΡΠ²ΠΎΠΉΡΡΠ²Π° ΡΠΌΠ½ΠΎΠΆΠ΅Π½ΠΈΡ?
Π Π°Π·Π»ΠΈΡΠ½ΡΠ΅ ΡΠ²ΠΎΠΉΡΡΠ²Π° ΡΠΌΠ½ΠΎΠΆΠ΅Π½ΠΈΡ ΠΏΡΠΈΠ²Π΅Π΄Π΅Π½Ρ Π½ΠΈΠΆΠ΅.
- ΠΠΎΠΌΠΌΡΡΠ°ΡΠΈΠ²Π½ΠΎΠ΅ ΡΠ²ΠΎΠΉΡΡΠ²ΠΎ ΡΠΌΠ½ΠΎΠΆΠ΅Π½ΠΈΡ : ΠΡΠΎΠΈΠ·Π²Π΅Π΄Π΅Π½ΠΈΠ΅ Π΄Π²ΡΡ ΡΠΈΡΠ΅Π» Π½Π΅ ΠΈΠ·ΠΌΠ΅Π½ΠΈΡΡΡ, Π΅ΡΠ»ΠΈ ΠΌΡ ΠΈΠ·ΠΌΠ΅Π½ΠΈΠΌ ΠΏΠΎΡΡΠ΄ΠΎΠΊ ΡΠΈΡΠ΅Π». ΠΡΠΎ ΡΠ²ΠΎΠΉΡΡΠ²ΠΎ ΡΠΌΠ½ΠΎΠΆΠ΅Π½ΠΈΡ ΠΈΠ·Π²Π΅ΡΡΠ½ΠΎ ΠΊΠ°ΠΊ ΠΊΠΎΠΌΠΌΡΡΠ°ΡΠΈΠ²Π½ΠΎΠ΅ ΡΠ²ΠΎΠΉΡΡΠ²ΠΎ ΡΠΌΠ½ΠΎΠΆΠ΅Π½ΠΈΡ, ΠΊΠΎΡΠΎΡΠΎΠ΅ ΠΏΡΠ΅Π΄ΡΡΠ°Π²Π»Π΅Π½ΠΎ ΠΊΠ°ΠΊ A Γ B = B Γ A. ΠΠ°ΠΏΡΠΈΠΌΠ΅Ρ, 12 Γ 13 = 13 Γ 12 = 156,
- ΠΡΡΠΎΡΠΈΠ°ΡΠΈΠ²Π½ΠΎΠ΅ ΡΠ²ΠΎΠΉΡΡΠ²ΠΎ ΡΠΌΠ½ΠΎΠΆΠ΅Π½ΠΈΡ : ΠΡΠΎΠΈΠ·Π²Π΅Π΄Π΅Π½ΠΈΠ΅ ΡΡΠ΅Ρ ΠΈ Π±ΠΎΠ»Π΅Π΅ ΡΠΈΡΠ΅Π» Π½Π΅ ΠΌΠ΅Π½ΡΠ΅ΡΡΡ ΠΏΡΠΈ ΠΈΠ·ΠΌΠ΅Π½Π΅Π½ΠΈΠΈ Π³ΡΡΠΏΠΏΠΈΡΠΎΠ²ΠΊΠΈ ΡΠΈΡΠ΅Π». ΠΡΠΎ ΡΠ²ΠΎΠΉΡΡΠ²ΠΎ ΡΠΌΠ½ΠΎΠΆΠ΅Π½ΠΈΡ ΠΈΠ·Π²Π΅ΡΡΠ½ΠΎ ΠΊΠ°ΠΊ Π°ΡΡΠΎΡΠΈΠ°ΡΠΈΠ²Π½ΠΎΠ΅ ΡΠ²ΠΎΠΉΡΡΠ²ΠΎ ΡΠΌΠ½ΠΎΠΆΠ΅Π½ΠΈΡ, ΠΊΠΎΡΠΎΡΠΎΠ΅ ΠΏΡΠ΅Π΄ΡΡΠ°Π²Π»Π΅Π½ΠΎ ΠΊΠ°ΠΊ A Γ (B Γ C) = (A Γ B) Γ C = B Γ (A Γ C).ΠΠ°ΠΏΡΠΈΠΌΠ΅Ρ, 12 Γ (13 Γ 5) = (12 Γ 13) Γ 5 = 13 Γ (12 Γ 5) = 780, .
- Π‘Π²ΠΎΠΉΡΡΠ²ΠΎ ΠΈΠ΄Π΅Π½ΡΠΈΡΠ½ΠΎΡΡΠΈ ΡΠΌΠ½ΠΎΠΆΠ΅Π½ΠΈΡ : ΠΡΠ»ΠΈ Π»ΡΠ±ΠΎΠ΅ ΡΠΈΡΠ»ΠΎ ΡΠΌΠ½ΠΎΠΆΠ°Π΅ΡΡΡ Π½Π° 1, ΠΏΡΠΎΠΈΠ·Π²Π΅Π΄Π΅Π½ΠΈΠ΅ΠΌ ΡΠ²Π»ΡΠ΅ΡΡΡ ΡΠ°ΠΌΠΎ ΡΠΈΡΠ»ΠΎ. ΠΠ°ΠΏΡΠΈΠΌΠ΅Ρ, 12 Γ 1 = 12. ΠΠ΄Π΅ΡΡ 1 β Π΅Π΄ΠΈΠ½ΠΈΡΠ° ΡΠΌΠ½ΠΎΠΆΠ΅Π½ΠΈΡ.
- ΠΡΠ»Π΅Π²ΠΎΠ΅ ΡΠ²ΠΎΠΉΡΡΠ²ΠΎ ΡΠΌΠ½ΠΎΠΆΠ΅Π½ΠΈΡ : ΠΡΠ»ΠΈ Π»ΡΠ±ΠΎΠ΅ ΡΠΈΡΠ»ΠΎ ΡΠΌΠ½ΠΎΠΆΠ°Π΅ΡΡΡ Π½Π° 0, ΠΏΡΠΎΠΈΠ·Π²Π΅Π΄Π΅Π½ΠΈΠ΅ Π²ΡΠ΅Π³Π΄Π° ΡΠ°Π²Π½ΠΎ Π½ΡΠ»Ρ.
ΠΡΠΎ Π½ΡΠ»Π΅Π²ΠΎΠ΅ ΡΠ²ΠΎΠΉΡΡΠ²ΠΎ ΡΠΌΠ½ΠΎΠΆΠ΅Π½ΠΈΡ. ΠΠ°ΠΏΡΠΈΠΌΠ΅Ρ, 12 Γ 0 = 0, . - Π Π°ΡΠΏΡΠ΅Π΄Π΅Π»ΠΈΡΠ΅Π»ΡΠ½ΠΎΠ΅ ΡΠ²ΠΎΠΉΡΡΠ²ΠΎ ΡΠΌΠ½ΠΎΠΆΠ΅Π½ΠΈΡ : Π‘ΠΎΠ³Π»Π°ΡΠ½ΠΎ ΡΠ°ΡΠΏΡΠ΅Π΄Π΅Π»ΠΈΡΠ΅Π»ΡΠ½ΠΎΠΌΡ ΡΠ²ΠΎΠΉΡΡΠ²Ρ ΡΠΌΠ½ΠΎΠΆΠ΅Π½ΠΈΡ, ΠΊΠΎΠ³Π΄Π° ΠΌΡ ΡΠΌΠ½ΠΎΠΆΠ°Π΅ΠΌ ΡΠΈΡΠ»ΠΎ Π½Π° ΡΡΠΌΠΌΡ Π΄Π²ΡΡ ΠΈΠ»ΠΈ Π±ΠΎΠ»Π΅Π΅ ΡΠ»Π°Π³Π°Π΅ΠΌΡΡ , ΠΌΡ ΠΏΠΎΠ»ΡΡΠ°Π΅ΠΌ ΡΠ΅Π·ΡΠ»ΡΡΠ°Ρ, ΡΠ°Π²Π½ΡΠΉ ΡΠ΅Π·ΡΠ»ΡΡΠ°ΡΡ, ΠΏΠΎΠ»ΡΡΠ΅Π½Π½ΠΎΠΌΡ ΠΏΡΠΈ ΡΠΌΠ½ΠΎΠΆΠ΅Π½ΠΈΠΈ ΠΊΠ°ΠΆΠ΄ΠΎΠ³ΠΎ ΡΠ»Π°Π³Π°Π΅ΠΌΠΎΠ³ΠΎ ΠΏΠΎ ΠΎΡΠ΄Π΅Π»ΡΠ½ΠΎΡΡΠΈ Π½Π° Π½ΠΎΠΌΠ΅Ρ.ΠΡΠΎ ΡΠ²ΠΎΠΉΡΡΠ²ΠΎ ΡΠ°ΠΊΠΆΠ΅ ΠΏΡΠΈΠΌΠ΅Π½ΠΈΠΌΠΎ ΠΊ Π²ΡΡΠΈΡΠ°Π½ΠΈΡ ΠΈ ΠΏΡΠ΅Π΄ΡΡΠ°Π²Π»ΡΠ΅ΡΡΡ ΠΊΠ°ΠΊ A Γ (B + C) = AB + AC ΠΈΠ»ΠΈ A Γ (B β C) = AB β AC. ΠΠ°ΠΏΡΠΈΠΌΠ΅Ρ, 12 Γ (13 + 5) = (12 Γ 13) + (12 Γ 5) = 216, .
Π§ΡΠΎ ΡΠ°ΠΊΠΎΠ΅ ΡΠΈΠΌΠ²ΠΎΠ» ΡΠΌΠ½ΠΎΠΆΠ΅Π½ΠΈΡ?
ΠΡΠΈ Π²ΡΠΏΠΎΠ»Π½Π΅Π½ΠΈΠΈ ΡΠΌΠ½ΠΎΠΆΠ΅Π½ΠΈΡ ΠΌΡ ΠΈΡΠΏΠΎΠ»ΡΠ·ΡΠ΅ΠΌ ΡΠΈΠΌΠ²ΠΎΠ» ΠΊΡΠ΅ΡΡΠ° (Γ), ΠΊΠΎΡΠΎΡΡΠΉ ΡΠΎΠ΅Π΄ΠΈΠ½ΡΠ΅Ρ Π²ΡΠ΅ Π²ΡΡΠ°ΠΆΠ΅Π½ΠΈΠ΅, ΡΡΠΎΡ ΡΠΈΠΌΠ²ΠΎΠ» (Γ) ΠΈΠ·Π²Π΅ΡΡΠ΅Π½ ΠΊΠ°ΠΊ ΡΠΈΠΌΠ²ΠΎΠ» ΡΠΌΠ½ΠΎΠΆΠ΅Π½ΠΈΡ. ΠΠ°ΠΏΡΠΈΠΌΠ΅Ρ, 7 ΡΠΌΠ½ΠΎΠΆΠΈΡΡ Π½Π° 4 ΡΠ°Π²Π½ΠΎ 28 ΠΌΠΎΠΆΠ½ΠΎ ΠΏΡΠ΅Π΄ΡΡΠ°Π²ΠΈΡΡ ΠΊΠ°ΠΊ 7 Γ 4 = 28,
.ΠΠ°ΠΊΠΈΠ΅ ΡΠ°ΡΡΠΈ ΡΠΌΠ½ΠΎΠΆΠ΅Π½ΠΈΡ?
Π Π°Π·Π»ΠΈΡΠ½ΡΠ΅ ΡΠ°ΡΡΠΈ ΡΠΌΠ½ΠΎΠΆΠ΅Π½ΠΈΡ Π²ΡΡΠ°ΠΆΠ°ΡΡΡΡ ΡΠ»Π΅Π΄ΡΡΡΠΈΠΌ ΠΎΠ±ΡΠ°Π·ΠΎΠΌ.Π Π°Π·Π±Π΅ΡΠ΅ΠΌ ΡΡΠΎ Π½Π° ΠΏΡΠΈΠΌΠ΅ΡΠ΅: 6 Γ 4 = 24,
.- ΠΠ½ΠΎΠΆΠ΅ΡΡΠ²Π΅Π½Π½ΠΎΠ΅ (ΠΌΠ½ΠΎΠΆΠΈΡΠ΅Π»Ρ): ΠΌΠ½ΠΎΠΆΠΈΠΌΠΎΠ΅ β ΡΡΠΎ ΠΏΠ΅ΡΠ²ΠΎΠ΅ ΡΠΈΡΠ»ΠΎ.
Π ΡΡΠΎΠΌ ΡΠ»ΡΡΠ°Π΅ 6 ΡΠ²Π»ΡΠ΅ΡΡΡ ΠΌΠ½ΠΎΠΆΠΈΠΌΡΠΌ. - ΠΠ½ΠΎΠΆΠΈΡΠ΅Π»Ρ (ΠΠΎΡΡΡΠΈΡΠΈΠ΅Π½Ρ): ΠΠ½ΠΎΠΆΠΈΡΠ΅Π»Ρ β ΡΡΠΎ Π²ΡΠΎΡΠΎΠ΅ ΡΠΈΡΠ»ΠΎ. Π Π΄Π°Π½Π½ΠΎΠΌ ΡΠ»ΡΡΠ°Π΅ ΠΌΠ½ΠΎΠΆΠΈΡΠ΅Π»Ρ 4.
- ΠΡΠΎΠ΄ΡΠΊΡ: ΠΠΎΠ½Π΅ΡΠ½ΡΠΉ ΡΠ΅Π·ΡΠ»ΡΡΠ°Ρ ΠΏΠΎΡΠ»Π΅ ΡΠΌΠ½ΠΎΠΆΠ΅Π½ΠΈΡ ΠΌΠ½ΠΎΠΆΠΈΠΌΠΎΠ³ΠΎ ΠΈ ΠΌΠ½ΠΎΠΆΠΈΡΠ΅Π»Ρ. Π ΡΡΠΎΠΌ ΠΏΡΠΈΠΌΠ΅ΡΠ΅ 24 β ΡΡΠΎ ΠΏΡΠΎΠΈΠ·Π²Π΅Π΄Π΅Π½ΠΈΠ΅.
- Π‘ΠΈΠΌΠ²ΠΎΠ» ΡΠΌΠ½ΠΎΠΆΠ΅Π½ΠΈΡ: ‘Γ’ (ΡΠΎΠ΅Π΄ΠΈΠ½ΡΠ΅Ρ Π²ΡΠ΅ Π²ΡΡΠ°ΠΆΠ΅Π½ΠΈΠ΅)
ΠΡΠΈΠ²Π΅Π΄ΠΈΡΠ΅ ΠΏΡΠΈΠΌΠ΅Ρ ΠΏΡΠ΅Π΄Π»ΠΎΠΆΠ΅Π½ΠΈΡ Ρ ΡΠΌΠ½ΠΎΠΆΠ΅Π½ΠΈΠ΅ΠΌ.
Π§ΡΠΎΠ±Ρ ΡΠ΅ΡΠΈΡΡ Π·Π°Π΄Π°ΡΡ Π½Π° ΡΠΌΠ½ΠΎΠΆΠ΅Π½ΠΈΠ΅, Π½Π°ΠΌ Π½ΡΠΆΠ½ΠΎ Π·Π°ΠΏΠΈΡΠ°ΡΡ Π΅Π΅ Π² Π²ΠΈΠ΄Π΅ ΠΏΡΠ΅Π΄Π»ΠΎΠΆΠ΅Π½ΠΈΡ Π½Π° ΡΠΌΠ½ΠΎΠΆΠ΅Π½ΠΈΠ΅. ΠΠ°ΠΏΡΠΈΠΌΠ΅Ρ, ΡΠΊΠΎΠ»ΡΠΊΠΎ Π±ΡΠ΄Π΅Ρ 36 ΡΠΌΠ½ΠΎΠΆΠΈΡΡ Π½Π° 9? ΠΡ Π·Π½Π°Π΅ΠΌ, ΡΡΠΎ 36 ΡΠΌΠ½ΠΎΠΆΠΈΡΡ Π½Π° 9 Π·Π°ΠΏΠΈΡΡΠ²Π°Π΅ΡΡΡ Π² ΡΠΎΡΠΌΠ΅ ΠΏΡΠ΅Π΄Π»ΠΎΠΆΠ΅Π½ΠΈΡ ΡΠΌΠ½ΠΎΠΆΠ΅Π½ΠΈΡ ΠΊΠ°ΠΊ 36 Γ 9 = 324. ΠΠ΄Π΅ΡΡ 36 ΠΈ 9 β ΠΌΠ½ΠΎΠΆΠΈΡΠ΅Π»ΠΈ, Π° 324 β ΠΏΡΠΎΠΈΠ·Π²Π΅Π΄Π΅Π½ΠΈΠ΅. ΠΡΠ°ΠΊ, 36 ΡΠΌΠ½ΠΎΠΆΠΈΡΡ Π½Π° 9 ΡΠ°Π²Π½ΠΎ 324.
ΠΠ°ΠΊ ΡΠΌΠ½ΠΎΠΆΠ΅Π½ΠΈΠ΅ ΡΠ²ΡΠ·Π°Π½ΠΎ ΡΠΎ ΡΠ»ΠΎΠΆΠ΅Π½ΠΈΠ΅ΠΌ?
Π£ΠΌΠ½ΠΎΠΆΠ΅Π½ΠΈΠ΅ ΠΏΡΠ΅Π΄ΡΡΠ°Π²Π»ΡΠ΅Ρ ΡΠΎΠ±ΠΎΠΉ ΠΎΡΠ½ΠΎΠ²Π½ΡΡ ΠΈΠ΄Π΅Ρ ΠΌΠ½ΠΎΠ³ΠΎΠΊΡΠ°ΡΠ½ΠΎΠ³ΠΎ ΡΠ»ΠΎΠΆΠ΅Π½ΠΈΡ ΠΎΠ΄Π½ΠΎΠ³ΠΎ ΠΈ ΡΠΎΠ³ΠΎ ΠΆΠ΅ ΡΠΈΡΠ»Π°. ΠΡΠΎ ΡΠΏΡΠΎΡΠ°Π΅Ρ Π·Π°Π΄Π°ΡΡ ΠΏΠΎΠ²ΡΠΎΡΠ½ΠΎΠ³ΠΎ Π΄ΠΎΠ±Π°Π²Π»Π΅Π½ΠΈΡ.ΠΠ°ΠΏΡΠΈΠΌΠ΅Ρ, , Π΅ΡΠ»ΠΈ Π΅ΡΡΡ 3 ΠΏΠ°ΡΠΊΠΈ ΠΊΠ°ΡΠ°Π½Π΄Π°ΡΠ΅ΠΉ ΠΈ Π² ΠΊΠ°ΠΆΠ΄ΠΎΠΉ ΠΏΠ°ΡΠΊΠ΅ ΠΏΠΎ 6 ΠΊΠ°ΡΠ°Π½Π΄Π°ΡΠ΅ΠΉ, Π½Π°ΠΉΠ΄Π΅ΠΌ ΠΎΠ±ΡΠ΅Π΅ ΠΊΠΎΠ»ΠΈΡΠ΅ΡΡΠ²ΠΎ ΠΊΠ°ΡΠ°Π½Π΄Π°ΡΠ΅ΠΉ.
ΠΡ ΠΌΠΎΠΆΠ΅ΠΌ ΡΠ΅ΡΠΈΡΡ ΡΡΠΎΡ Π²ΠΎΠΏΡΠΎΡ ΡΠ»ΠΎΠΆΠ΅Π½ΠΈΠ΅ΠΌ, ΡΠΎ Π΅ΡΡΡ 6 + 6 + 6 = 18 ΠΊΠ°ΡΠ°Π½Π΄Π°ΡΠ΅ΠΉ. ΠΠ΄Π½Π°ΠΊΠΎ ΠΊΠΎΠ³Π΄Π° Π½Π°ΠΌ ΠΏΡΠΈΡ
ΠΎΠ΄ΠΈΡΡΡ ΠΈΠΌΠ΅ΡΡ Π΄Π΅Π»ΠΎ Ρ Π±ΠΎΠ»ΡΡΠΈΠΌΠΈ ΡΠΈΡΠ»Π°ΠΌΠΈ, ΡΠΌΠ½ΠΎΠΆΠ΅Π½ΠΈΠ΅ ΠΏΠΎΠ»Π΅Π·Π½ΠΎ. Π’Π΅ΠΏΠ΅ΡΡ, Π΅ΡΠ»ΠΈ ΠΌΡ ΠΈΡΠΏΠΎΠ»ΡΠ·ΡΠ΅ΠΌ ΡΠΌΠ½ΠΎΠΆΠ΅Π½ΠΈΠ΅ Π΄Π»Ρ ΡΠ΅ΡΠ΅Π½ΠΈΡ ΡΡΠΎΠΉ Π·Π°Π΄Π°ΡΠΈ, Π½Π°ΠΌ Π½ΡΠΆΠ½ΠΎ ΡΠΌΠ½ΠΎΠΆΠΈΡΡ ΠΊΠΎΠ»ΠΈΡΠ΅ΡΡΠ²ΠΎ ΠΏΠ°ΡΠ΅ΠΊ Π½Π° ΠΊΠΎΠ»ΠΈΡΠ΅ΡΡΠ²ΠΎ ΠΊΠ°ΡΠ°Π½Π΄Π°ΡΠ΅ΠΉ Π² ΠΊΠ°ΠΆΠ΄ΠΎΠΉ ΠΏΠ°ΡΠΊΠ΅. ΠΡΠΎ ΠΎΠ·Π½Π°ΡΠ°Π΅Ρ, ΡΡΠΎ 3 Γ 6 = 18 ΠΊΠ°ΡΠ°Π½Π΄Π°ΡΠ΅ΠΉ. Π’Π°ΠΊΠΈΠΌ ΠΎΠ±ΡΠ°Π·ΠΎΠΌ, ΠΌΡ Π»Π΅Π³ΠΊΠΎ ΠΏΠΎΠ»ΡΡΠ°Π΅ΠΌ ΡΠΎΡ ΠΆΠ΅ ΡΠ΅Π·ΡΠ»ΡΡΠ°Ρ. Π‘Π»Π΅Π΄ΠΎΠ²Π°ΡΠ΅Π»ΡΠ½ΠΎ, ΡΠΌΠ½ΠΎΠΆΠ΅Π½ΠΈΠ΅ ΡΠ°ΠΊΠΆΠ΅ Π½Π°Π·ΡΠ²Π°Π΅ΡΡΡ ΠΏΠΎΠ²ΡΠΎΡΠ½ΡΠΌ ΡΠ»ΠΎΠΆΠ΅Π½ΠΈΠ΅ΠΌ.
Π ΡΠ΅ΠΌ ΡΠ°Π·Π½ΠΈΡΠ° ΠΌΠ΅ΠΆΠ΄Ρ ΡΠΌΠ½ΠΎΠΆΠ΅Π½ΠΈΠ΅ΠΌ ΠΈ Π΄Π΅Π»Π΅Π½ΠΈΠ΅ΠΌ?
ΠΡΠΈ ΡΠΌΠ½ΠΎΠΆΠ΅Π½ΠΈΠΈ ΠΌΡ ΠΎΠ±ΡΠ΅Π΄ΠΈΠ½ΡΠ΅ΠΌ Π³ΡΡΠΏΠΏΡ ΠΎΠ΄ΠΈΠ½Π°ΠΊΠΎΠ²ΠΎΠ³ΠΎ ΡΠ°Π·ΠΌΠ΅ΡΠ°, Π° ΠΏΡΠΈ Π΄Π΅Π»Π΅Π½ΠΈΠΈ Π΄Π΅Π»ΠΈΠΌ ΠΈΠ»ΠΈ ΡΠ°Π·Π΄Π΅Π»ΡΠ΅ΠΌ Π·Π°Π΄Π°Π½Π½ΠΎΠ΅ ΡΠΈΡΠ»ΠΎ Π½Π° ΡΠ°Π²Π½ΡΠ΅ Π³ΡΡΠΏΠΏΡ. Π£ΠΌΠ½ΠΎΠΆΠ΅Π½ΠΈΠ΅ β ΡΡΠΎ ΠΏΡΠΎΠΈΠ·Π²Π΅Π΄Π΅Π½ΠΈΠ΅ Π΄Π²ΡΡ ΠΈΠ»ΠΈ Π±ΠΎΠ»Π΅Π΅ ΡΠΈΡΠ΅Π», Π³Π΄Π΅ ΡΠΌΠ½ΠΎΠΆΠ°Π΅ΠΌΡΠ΅ ΡΠΈΡΠ»Π° ΡΠ²Π»ΡΡΡΡΡ ΠΌΠ½ΠΎΠΆΠΈΡΠ΅Π»ΡΠΌΠΈ, Π° ΡΠ΅Π·ΡΠ»ΡΡΠ°Ρ Π½Π°Π·ΡΠ²Π°Π΅ΡΡΡ ΠΏΡΠΎΠΈΠ·Π²Π΅Π΄Π΅Π½ΠΈΠ΅ΠΌ. ΠΡΠΈ Π΄Π΅Π»Π΅Π½ΠΈΠΈ ΡΠΈΡΠ»ΠΎ, Π½Π° ΠΊΠΎΡΠΎΡΠΎΠ΅ Π΄Π΅Π»ΠΈΡΡΡ Π΄Π΅Π»ΠΈΠΌΠΎΠ΅, Π½Π°Π·ΡΠ²Π°Π΅ΡΡΡ Π΄Π΅Π»ΠΈΠΌΡΠΌ, ΡΠΈΡΠ»ΠΎ, Π½Π° ΠΊΠΎΡΠΎΡΠΎΠ΅ Π΄Π΅Π»ΠΈΡΡΡ Π΄Π΅Π»ΠΈΠΌΠΎΠ΅, Π½Π°Π·ΡΠ²Π°Π΅ΡΡΡ Π΄Π΅Π»ΠΈΡΠ΅Π»Π΅ΠΌ, Π° ΡΠ΅Π·ΡΠ»ΡΡΠ°Ρ β ΡΠ°ΡΡΠ½ΡΠΌ.
ΠΠ°ΠΊ ΡΠΌΠ½ΠΎΠΆΠ΅Π½ΠΈΠ΅ ΠΈΡΠΏΠΎΠ»ΡΠ·ΡΠ΅ΡΡΡ Π² ΠΏΠΎΠ²ΡΠ΅Π΄Π½Π΅Π²Π½ΠΎΠΉ ΠΆΠΈΠ·Π½ΠΈ?
Π£ΠΌΠ½ΠΎΠΆΠ΅Π½ΠΈΠ΅ ΡΠΈΡΠΎΠΊΠΎ ΠΈΡΠΏΠΎΠ»ΡΠ·ΡΠ΅ΡΡΡ Π² Π½Π°ΡΠ΅ΠΉ ΠΏΠΎΠ²ΡΠ΅Π΄Π½Π΅Π²Π½ΠΎΠΉ ΠΆΠΈΠ·Π½ΠΈ.
ΠΠ°ΠΏΡΠΈΠΌΠ΅Ρ, ΠΌΡ ΠΌΠΎΠΆΠ΅ΠΌ ΡΠ°ΡΡΡΠΈΡΠ°ΡΡ ΡΠ΅Π½Ρ ΠΏΡΠ΅Π΄ΠΌΠ΅ΡΠΎΠ² Π² ΡΠΎΠΎΡΠ²Π΅ΡΡΡΠ²ΠΈΠΈ ΡΠΎ ΡΡΠ°Π²ΠΊΠΎΠΉ Π·Π° ΠΊΠΎΠ»ΠΈΡΠ΅ΡΡΠ²ΠΎ, ΠΌΡ ΠΌΠΎΠΆΠ΅ΠΌ Π½Π°ΠΉΡΠΈ ΠΏΡΠ°Π²ΠΈΠ»ΡΠ½ΠΎΠ΅ ΠΊΠΎΠ»ΠΈΡΠ΅ΡΡΠ²ΠΎ ΠΈΠ½Π³ΡΠ΅Π΄ΠΈΠ΅Π½ΡΠ°, ΠΊΠΎΡΠΎΡΠΎΠ΅ Π±ΡΠ΄Π΅Ρ ΠΈΡΠΏΠΎΠ»ΡΠ·ΠΎΠ²Π°ΡΡΡΡ Π² ΠΏΡΠΈΠ³ΠΎΡΠΎΠ²Π»Π΅Π½ΠΈΠΈ ΠΏΠΈΡΠΈ, ΠΌΡ ΠΌΠΎΠΆΠ΅ΠΌ ΡΠ°ΡΡΡΠΈΡΠ°ΡΡ ΡΡΠΎΠΈΠΌΠΎΡΡΡ Π½Π΅ΡΠΊΠΎΠ»ΡΠΊΠΈΡ
ΠΏΡΠ΅Π΄ΠΌΠ΅ΡΠΎΠ², ΠΊΠΎΠ³Π΄Π° ΠΈΠ·Π²Π΅ΡΡΠ½Π° ΡΡΠΎΠΈΠΌΠΎΡΡΡ 1 ΠΏΡΠ΅Π΄ΠΌΠ΅ΡΠ°, ΠΈ ΡΠ°ΠΊ Π΄Π°Π»Π΅Π΅.
Π§ΡΠΎ ΡΠ°ΠΊΠΎΠ΅ ΡΡΡΠ°ΡΠ΅Π³ΠΈΠΈ ΡΠΌΠ½ΠΎΠΆΠ΅Π½ΠΈΡ?
Π‘ΡΡΠ°ΡΠ΅Π³ΠΈΠΈ ΡΠΌΠ½ΠΎΠΆΠ΅Π½ΠΈΡ β ΡΡΠΎ ΡΠ°Π·Π»ΠΈΡΠ½ΡΠ΅ ΡΠΏΠΎΡΠΎΠ±Ρ ΠΈΠ·ΡΡΠ΅Π½ΠΈΡ ΡΠΌΠ½ΠΎΠΆΠ΅Π½ΠΈΡ.ΠΠ°ΠΏΡΠΈΠΌΠ΅Ρ, ΡΠΌΠ½ΠΎΠΆΠ΅Π½ΠΈΠ΅ Ρ ΠΏΠΎΠΌΠΎΡΡΡ ΡΠΈΡΠ»ΠΎΠ²ΠΎΠ³ΠΎ ΡΡΠ΄Π°, ΡΠΌΠ½ΠΎΠΆΠ΅Π½ΠΈΠ΅ Ρ ΠΏΠΎΠΌΠΎΡΡΡ ΡΠ°Π±Π»ΠΈΡΡ ΡΡΠΎΠΈΠΌΠΎΡΡΠ½ΡΡ Π·Π½Π°ΡΠ΅Π½ΠΈΠΉ, ΡΠ°Π·Π΄Π΅Π»Π΅Π½ΠΈΠ΅ Π΄Π΅ΡΡΡΠΊΠΎΠ² ΠΈ Π΅Π΄ΠΈΠ½ΠΈΡ, Π° Π·Π°ΡΠ΅ΠΌ ΠΈΡ ΡΠΌΠ½ΠΎΠΆΠ΅Π½ΠΈΠ΅ ΠΏΠΎ ΠΎΡΠ΄Π΅Π»ΡΠ½ΠΎΡΡΠΈ ΠΈ ΡΠ°ΠΊ Π΄Π°Π»Π΅Π΅. ΠΡΠΈ ΡΡΡΠ°ΡΠ΅Π³ΠΈΠΈ ΠΏΠΎΠΌΠΎΠ³Π°ΡΡ ΡΡΠ°ΡΠΈΠΌΡΡ ΠΏΠΎΠ½ΡΡΡ ΠΊΠΎΠ½ΡΠ΅ΠΏΡΠΈΡ ΡΠΌΠ½ΠΎΠΆΠ΅Π½ΠΈΡ Π² Π±ΠΎΠ»Π΅Π΅ ΡΠΈΡΠΎΠΊΠΎΠΉ ΠΏΠ΅ΡΡΠΏΠ΅ΠΊΡΠΈΠ²Π΅.
Π€ΠΎΡΠΌΡΠ»Π° ΡΠΌΠ½ΠΎΠΆΠ΅Π½ΠΈΡ – Π§ΡΠΎ ΡΠ°ΠΊΠΎΠ΅ ΡΠΎΡΠΌΡΠ»Π° ΡΠΌΠ½ΠΎΠΆΠ΅Π½ΠΈΡ?ΠΡΠΈΠΌΠ΅ΡΡ
Π€ΠΎΡΠΌΡΠ»Π° ΡΠΌΠ½ΠΎΠΆΠ΅Π½ΠΈΡ ΠΈΡΠΏΠΎΠ»ΡΠ·ΡΠ΅ΡΡΡ Π΄Π»Ρ ΡΠΌΠ½ΠΎΠΆΠ΅Π½ΠΈΡ Π΄Π²ΡΡ
Π²Π΅Π»ΠΈΡΠΈΠ½. Π Π°ΡΠΈΡΠΌΠ΅ΡΠΈΠΊΠ΅ ΠΌΠ΅ΡΠΎΠ΄ Π½Π°Ρ
ΠΎΠΆΠ΄Π΅Π½ΠΈΡ ΠΏΡΠΎΠΈΠ·Π²Π΅Π΄Π΅Π½ΠΈΡ Π΄Π²ΡΡ
ΠΈΠ»ΠΈ Π±ΠΎΠ»Π΅Π΅ Π·Π½Π°ΡΠ΅Π½ΠΈΠΉ Π½Π°Π·ΡΠ²Π°Π΅ΡΡΡ ΡΠΌΠ½ΠΎΠΆΠ΅Π½ΠΈΠ΅ΠΌ, ΠΎΠ½ ΠΎΠ±ΠΎΠ·Π½Π°ΡΠ°Π΅ΡΡΡ Π·Π½Π°ΠΊΠΎΠΌ Β«ΓΒ», Π° ΡΠ°ΠΊΠΆΠ΅ ΠΈΠ½ΠΎΠ³Π΄Π° ΡΠΎΡΠΊΠΎΠΉ (.). ΠΡΠ»ΠΈ xΒ ΡΠΌΠ½ΠΎΠΆΠ°Π΅ΡΡΡ Π½Π° y, ΡΡΠΎ ΠΎΠ·Π½Π°ΡΠ°Π΅Ρ, ΡΡΠΎ Π»ΠΈΠ±ΠΎ xΒ Π΄ΠΎΠ±Π°Π²Π»ΡΠ΅ΡΡΡΒ yΒ ΡΠ°Π·, Π»ΠΈΠ±ΠΎ Π½Π°ΠΎΠ±ΠΎΡΠΎΡ.
Π ΡΠ²ΠΎΠΉΡΡΠ²Π°ΠΌ ΡΠΌΠ½ΠΎΠΆΠ΅Π½ΠΈΡ ΠΎΡΠ½ΠΎΡΡΡΡΡ ΠΊΠΎΠΌΠΌΡΡΠ°ΡΠΈΠ²Π½ΠΎΡΡΡ, Π°ΡΡΠΎΡΠΈΠ°ΡΠΈΠ²Π½ΠΎΡΡΡ, Π΄ΠΈΡΡΡΠΈΠ±ΡΡΠΈΠ²Π½ΠΎΡΡΡ, ΡΠΎΠΆΠ΄Π΅ΡΡΠ²Π΅Π½Π½ΠΎΡΡΡ ΠΈ Π½ΡΠ»Π΅Π²ΠΎΠ΅ ΡΠ²ΠΎΠΉΡΡΠ²ΠΎ. ΠΠ°Π²Π°ΠΉΡΠ΅ ΠΏΠΎΡΠΌΠΎΡΡΠΈΠΌ ΡΠΎΡΠΌΡΠ»Ρ ΡΠΌΠ½ΠΎΠΆΠ΅Π½ΠΈΡ Π²ΠΌΠ΅ΡΡΠ΅ Ρ ΡΠ΅ΡΠ΅Π½Π½ΡΠΌΠΈ ΠΏΡΠΈΠΌΠ΅ΡΠ°ΠΌΠΈ.
Π§ΡΠΎ ΡΠ°ΠΊΠΎΠ΅ ΡΠΎΡΠΌΡΠ»Π° ΡΠΌΠ½ΠΎΠΆΠ΅Π½ΠΈΡ?
ΠΠΎΠ²ΡΠΎΡΠ½ΠΎΠ΅ ΡΠ»ΠΎΠΆΠ΅Π½ΠΈΠ΅ ΠΎΠ΄Π½ΠΎΠ³ΠΎ ΡΠΈΡΠ»Π° ΠΏΠΎ ΠΎΡΠ½ΠΎΡΠ΅Π½ΠΈΡ ΠΊ Π΄ΡΡΠ³ΠΎΠΌΡ Π΄ΠΎΠ»ΠΆΠ½ΠΎ ΡΠΎΠ·Π΄Π°ΡΡ ΡΠΈΡΡΠ°ΡΠΈΡ ΡΠΌΠ½ΠΎΠΆΠ΅Π½ΠΈΡ Π΄Π²ΡΡ ΡΠΈΡΠ΅Π». ΠΡΠ»ΠΈ xΒ ΡΠΌΠ½ΠΎΠΆΠ°Π΅ΡΡΡ Π½Π° y, ΡΡΠΎ ΠΎΠ·Π½Π°ΡΠ°Π΅Ρ, ΡΡΠΎ Π»ΠΈΠ±ΠΎ xΒ Π΄ΠΎΠ±Π°Π²Π»Π΅Π½ΠΎΒ yΒ ΡΠ°Π·, Π»ΠΈΠ±ΠΎ Π½Π°ΠΎΠ±ΠΎΡΠΎΡ.ΠΠ· ΠΏΡΠΈΠ²Π΅Π΄Π΅Π½Π½ΠΎΠ³ΠΎ Π²ΡΡΠ΅ ΠΎΠ±ΡΡΡΠ½Π΅Π½ΠΈΡ ΡΠΎΡΠΌΡΠ»Π°Β P(Aβ©B)Β ΡΠ°Π²Π½Π°
Π€ΠΎΡΠΌΡΠ»Π° ΡΠΌΠ½ΠΎΠΆΠ΅Π½ΠΈΡ:
ΠΠΎΠΌΠΌΡΡΠ°ΡΠΈΠ²Π½ΠΎΠ΅ ΡΠ²ΠΎΠΉΡΡΠ²ΠΎΒ (A Γ B = B Γ A)
ΠΡΡΠΎΡΠΈΠ°ΡΠΈΠ²Π½ΠΎΠ΅ ΡΠ²ΠΎΠΉΡΡΠ²ΠΎΒ [A Γ (B Γ C) = (A Γ B) Γ C]
Π Π°ΡΠΏΡΠ΅Π΄Π΅Π»ΠΈΡΠ΅Π»ΡΠ½ΠΎΠ΅ ΡΠ²ΠΎΠΉΡΡΠ²ΠΎΒ [A Γ (B + C) = (A Γ B) + (A Γ C)]
ΠΠ΄Π΅Π½ΡΠΈΡΠΈΠΊΠ°ΡΠΈΠΎΠ½Π½ΠΎΠ΅ ΡΠ²ΠΎΠΉΡΡΠ²ΠΎ (A Γ 1 = A)
ΠΡΠ»Π΅Π²ΠΎΠ΅ ΡΠ²ΠΎΠΉΡΡΠ²ΠΎ (A Γ 0 = 0)
Π Π°Π·Π±Π΅ΡΠΈΡΠ΅ΡΡ ΡΠΎ ΡΠ»ΠΎΠΆΠ½ΡΠΌΠΈ ΠΊΠΎΠ½ΡΠ΅ΠΏΡΠΈΡΠΌΠΈ Ρ ΠΏΠΎΠΌΠΎΡΡΡ ΠΏΡΠΎΡΡΡΡ Π²ΠΈΠ·ΡΠ°Π»ΡΠ½ΡΡ ΡΡΠ΅Π΄ΡΡΠ².
ΠΠ°ΡΠ΅ΠΌΠ°ΡΠΈΠΊΠ° Π±ΠΎΠ»ΡΡΠ΅ Π½Π΅ Π±ΡΠ΄Π΅Ρ ΡΠ»ΠΎΠΆΠ½ΡΠΌ ΠΏΡΠ΅Π΄ΠΌΠ΅ΡΠΎΠΌ, ΠΎΡΠΎΠ±Π΅Π½Π½ΠΎ ΠΊΠΎΠ³Π΄Π° Π²Ρ ΠΏΠΎΠ½ΠΈΠΌΠ°Π΅ΡΠ΅ ΠΊΠΎΠ½ΡΠ΅ΠΏΡΠΈΠΈ Ρ ΠΏΠΎΠΌΠΎΡΡΡ Π²ΠΈΠ·ΡΠ°Π»ΠΈΠ·Π°ΡΠΈΠΉ Ρ ΠΏΠΎΠΌΠΎΡΡΡ Cuemath.
ΠΠ°Π±ΡΠΎΠ½ΠΈΡΡΠΉΡΠ΅ Π±Π΅ΡΠΏΠ»Π°ΡΠ½ΡΠΉ ΠΏΡΠΎΠ±Π½ΡΠΉ ΡΡΠΎΠΊ
ΠΡΠΈΠΌΠ΅ΡΡ ΠΈΡΠΏΠΎΠ»ΡΠ·ΠΎΠ²Π°Π½ΠΈΡ ΡΠΎΡΠΌΡΠ»Ρ ΡΠΌΠ½ΠΎΠΆΠ΅Π½ΠΈΡ
ΠΡΠΈΠΌΠ΅Ρ 1: ΠΡΠ»ΠΈ Ρ Π‘ΡΠΌΠ° 12 Π²Π΅Π΄Π΅Ρ ΠΈ Π² ΠΊΠ°ΠΆΠ΄ΠΎΠΌ Π²Π΅Π΄ΡΠ΅ 6 Π°ΠΏΠ΅Π»ΡΡΠΈΠ½ΠΎΠ². ΠΠ°ΡΠ΅ΠΌ Π½Π°ΠΉΠ΄ΠΈΡΠ΅ ΠΎΠ±ΡΠ΅Π΅ ΠΊΠΎΠ»ΠΈΡΠ΅ΡΡΠ²ΠΎ Π°ΠΏΠ΅Π»ΡΡΠΈΠ½ΠΎΠ², ΠΊΠΎΡΠΎΡΡΠ΅ Π΅ΡΡΡ Ρ Π‘ΡΠΌΠ°. Π Π΅ΡΠΈΡΠ΅ ΡΡΠΎ, ΠΈΡΠΏΠΎΠ»ΡΠ·ΡΡ ΡΠΎΡΠΌΡΠ»Ρ ΡΠΌΠ½ΠΎΠΆΠ΅Π½ΠΈΡ.
Π Π΅ΡΠ΅Π½ΠΈΠ΅:
Π§ΡΠΎΠ±Ρ Π½Π°ΠΉΡΠΈ: ΠΠ±ΡΠ΅Π΅ ΠΊΠΎΠ»ΠΈΡΠ΅ΡΡΠ²ΠΎ Π°ΠΏΠ΅Π»ΡΡΠΈΠ½ΠΎΠ², ΠΊΠΎΡΠΎΡΡΠ΅ Π΅ΡΡΡ Ρ Π‘ΡΠΌΠ°.
ΠΊΠΎΠ»ΠΈΡΠ΅ΡΡΠ²ΠΎ ΠΊΠΎΠ²ΡΠ° = 12.
ΠΊΠΎΠ»ΠΈΡΠ΅ΡΡΠ²ΠΎ Π°ΠΏΠ΅Π»ΡΡΠΈΠ½ΠΎΠ² Π² ΠΊΠ°ΠΆΠ΄ΠΎΠΌ Π²Π΅Π΄ΡΠ΅ = 6.
ΠΡΠΏΠΎΠ»ΡΠ·ΡΡ ΡΠΎΡΠΌΡΠ»Ρ ΡΠΌΠ½ΠΎΠΆΠ΅Π½ΠΈΡ,
ΠΠ±ΡΠ΅Π΅ ΠΊΠΎΠ»ΠΈΡΠ΅ΡΡΠ²ΠΎ Π°ΠΏΠ΅Π»ΡΡΠΈΠ½ΠΎΠ² = (ΠΠΎΠ»ΠΈΡΠ΅ΡΡΠ²ΠΎ Π²Π΅Π΄Π΅Ρ) Γ (ΠΠΎΠ»ΠΈΡΠ΅ΡΡΠ²ΠΎ Π°ΠΏΠ΅Π»ΡΡΠΈΠ½ΠΎΠ² Π² ΠΊΠ°ΠΆΠ΄ΠΎΠΌ Π²Π΅Π΄ΡΠ΅)
= (12Β Γ 6) ΠΠΏΠ΅Π»ΡΡΠΈΠ½Ρ
= 72 Π°ΠΏΠ΅Π»ΡΡΠΈΠ½Π°.
ΠΡΠ²Π΅Ρ: 72 β ΡΡΠΎ ΠΎΠ±ΡΠ΅Π΅ ΠΊΠΎΠ»ΠΈΡΠ΅ΡΡΠ²ΠΎ Π°ΠΏΠ΅Π»ΡΡΠΈΠ½ΠΎΠ², ΠΊΠΎΡΠΎΡΡΠ΅ Π΅ΡΡΡ Ρ Π‘ΡΠΌΠ° Π²ΠΎ Π²ΡΠ΅Ρ Π²Π΅Π΄ΡΠ°Ρ .
ΠΡΠΈΠΌΠ΅Ρ 2:Β Β ΠΡΡΠΈΡΠ»ΠΈΡΠ΅ 5Β Γ (3Β + 4)Β , ΠΈΡΠΏΠΎΠ»ΡΠ·ΡΡ ΡΠ°ΡΠΏΡΠ΅Π΄Π΅Π»ΠΈΡΠ΅Π»ΡΠ½ΠΎΠ΅ ΡΠ²ΠΎΠΉΡΡΠ²ΠΎ ΡΠΌΠ½ΠΎΠΆΠ΅Π½ΠΈΡ. Π Π΅ΡΠΈΡΠ΅ ΡΡΠΎ, ΠΈΡΠΏΠΎΠ»ΡΠ·ΡΡ ΡΠΎΡΠΌΡΠ»Ρ ΡΠΌΠ½ΠΎΠΆΠ΅Π½ΠΈΡ.
Π Π΅ΡΠ΅Π½ΠΈΠ΅:
ΠΡΠΏΠΎΠ»ΡΠ·ΠΎΠ²Π°Π½ΠΈΠ΅ ΡΠΎΡΠΌΡΠ»Ρ ΡΠΌΠ½ΠΎΠΆΠ΅Π½ΠΈΡ,
Π Π°ΡΠΏΡΠ΅Π΄Π΅Π»ΠΈΡΠ΅Π»ΡΠ½ΠΎΠ΅ ΡΠ²ΠΎΠΉΡΡΠ²ΠΎ [A Γ (B + C) = (A Γ B) + (A Γ C)]
Β [5Β Γ (3Β + 4) = (5Β Γ 3) + (5Β Γ 4)]
= (5 Γ 3) + (5 Γ 4)
=15 + 20
= 35.
ΠΡΠ²Π΅Ρ: 35 ΡΠ²Π»ΡΠ΅ΡΡΡ ΠΎΡΠ²Π΅ΡΠΎΠΌ Π½Π° 5 Γ (3 + 4).
Π Excel Π½Π΅Ρ ΡΠΎΡΠΌΡΠ»Ρ ΡΠΌΠ½ΠΎΠΆΠ΅Π½ΠΈΡ, Π½ΠΎ Π²Ρ ΠΌΠΎΠΆΠ΅ΡΠ΅ ΡΠΌΠ½ΠΎΠΆΠ°ΡΡ Π² Excel
ΠΠ΅ΡΠΌΠΎΡΡΡ Π½Π° ΠΎΡΡΡΡΡΡΠ²ΠΈΠ΅ Β«ΡΠΎΡΠΌΡΠ»Ρ ΡΠΌΠ½ΠΎΠΆΠ΅Π½ΠΈΡ Π² ExcelΒ», ΡΡΡΠ΅ΡΡΠ²ΡΠ΅Ρ Π½Π΅ΡΠΊΠΎΠ»ΡΠΊΠΎ ΡΠΏΠΎΡΠΎΠ±ΠΎΠ² ΡΠΌΠ½ΠΎΠΆΠ΅Π½ΠΈΡ Π² Excel. ΠΠ°ΠΏΡΠΈΠΌΠ΅Ρ, Π²Ρ ΠΈΡΠΏΠΎΠ»ΡΠ·ΡΠ΅ΡΠ΅ Π·Π²Π΅Π·Π΄ΠΎΡΠΊΡ (*) Π΄Π»Ρ ΡΠΌΠ½ΠΎΠΆΠ΅Π½ΠΈΡ, Π½ΠΎ ΡΠΏΠΈΡΠ°Π΅ΡΠ΅ΡΡ Π² ΠΊΠΈΡΠΏΠΈΡΠ½ΡΡ ΡΡΠ΅Π½Ρ, ΠΊΠΎΠ³Π΄Π° ΠΏΡΠΈΠΌΠ΅Π½ΡΠ΅ΡΠ΅ Π΄ΡΡΠ³ΠΈΠ΅ Π°ΡΠΈΡΠΌΠ΅ΡΠΈΡΠ΅ΡΠΊΠΈΠ΅ ΠΎΠΏΠ΅ΡΠ°ΡΠΎΡΡ? ΠΠ°ΠΊ Π½Π°ΡΡΠ΅Ρ ΡΡΠ»ΡΠΊΠΎΠ² Π΄Π»Ρ ΡΠΌΠ½ΠΎΠΆΠ΅Π½ΠΈΡ ΠΌΠ½ΠΎΠ³ΠΈΡ ΡΠΈΡΠ΅Π» Π·Π° ΠΎΠ΄ΠΈΠ½ ΡΠ°Π³?
ΠΠ·Π½Π°ΠΊΠΎΠΌΡΡΠ΅ΡΡ Ρ ΡΡΠ΅ΠΌΡ ΡΡΡΠ΅ΠΊΡΠΈΠ²Π½ΡΠΌΠΈ ΡΠΏΠΎΡΠΎΠ±Π°ΠΌΠΈ Π²ΡΠΏΠΎΠ»Π½Π΅Π½ΠΈΡ ΡΠΎΡΠΌΡΠ»Ρ ΡΠΌΠ½ΠΎΠΆΠ΅Π½ΠΈΡ Π² Excel.). Π ΡΡΠΈΡ ΡΠ»ΡΡΠ°ΡΡ ΠΏΠΎΠΌΠ½ΠΈΡΠ΅, ΡΡΠΎ Excel Π²ΡΠΏΠΎΠ»Π½ΡΠ΅Ρ ΠΎΠΏΠ΅ΡΠ°ΡΠΈΠΈ Π² ΠΏΠΎΡΡΠ΄ΠΊΠ΅ PEMDAS: ΡΠ½Π°ΡΠ°Π»Π° ΠΊΡΡΠ³Π»ΡΠ΅ ΡΠΊΠΎΠ±ΠΊΠΈ, Π·Π°ΡΠ΅ΠΌ ΡΡΠ΅ΠΏΠ΅Π½ΠΈ, ΡΠΌΠ½ΠΎΠΆΠ΅Π½ΠΈΠ΅, Π΄Π΅Π»Π΅Π½ΠΈΠ΅, ΡΠ»ΠΎΠΆΠ΅Π½ΠΈΠ΅ ΠΈ Π²ΡΡΠΈΡΠ°Π½ΠΈΠ΅.
Π ΡΠ»Π΅Π΄ΡΡΡΠ΅ΠΉ ΡΠΎΡΠΌΡΠ»Π΅ Β«=2*3+5*6Β» Excel ΡΠ½Π°ΡΠ°Π»Π° Π²ΡΠΏΠΎΠ»Π½ΡΠ΅Ρ Π΄Π²Π΅ ΠΎΠΏΠ΅ΡΠ°ΡΠΈΠΈ ΡΠΌΠ½ΠΎΠΆΠ΅Π½ΠΈΡ, ΠΏΠΎΠ»ΡΡΠ°Ρ 6+30, ΠΈ ΡΠΊΠ»Π°Π΄ΡΠ²Π°Π΅Ρ ΠΏΡΠΎΠΈΠ·Π²Π΅Π΄Π΅Π½ΠΈΡ, ΡΡΠΎΠ±Ρ ΠΏΠΎΠ»ΡΡΠΈΡΡ 36.
Π§ΡΠΎ Π΄Π΅Π»Π°ΡΡ, Π΅ΡΠ»ΠΈ Π²Ρ Ρ
ΠΎΡΠΈΡΠ΅ Π΄ΠΎΠ±Π°Π²ΠΈΡΡ 3+5 ΠΏΠ΅ΡΠ΅Π΄ Π²ΡΠΏΠΎΠ»Π½Π΅Π½ΠΈΠ΅ΠΌ ΡΠΌΠ½ΠΎΠΆΠ΅Π½ΠΈΡ? ΠΡΠΏΠΎΠ»ΡΠ·ΡΠΉΡΠ΅ ΡΠΊΠΎΠ±ΠΊΠΈ. Excel Π²ΡΠ΅Π³Π΄Π° Π±ΡΠ΄Π΅Ρ ΠΎΡΠ΅Π½ΠΈΠ²Π°ΡΡ ΡΡΠΎ-Π»ΠΈΠ±ΠΎ Π² ΠΊΡΡΠ³Π»ΡΡ
ΡΠΊΠΎΠ±ΠΊΠ°Ρ
ΠΏΠ΅ΡΠ΅Π΄ Π²ΠΎΠ·ΠΎΠ±Π½ΠΎΠ²Π»Π΅Π½ΠΈΠ΅ΠΌ ΠΎΡΡΠ°Π²ΡΠΈΡ
ΡΡ Π²ΡΡΠΈΡΠ»Π΅Π½ΠΈΠΉ ΠΏΠΎΡΠ»Π΅ PEMDAS.
Π ΡΠ»ΡΡΠ°Π΅ Β«=3*(3+5)*6Β» Excel ΡΠ½Π°ΡΠ°Π»Π° Π΄ΠΎΠ±Π°Π²Π»ΡΠ΅Ρ 3 ΠΈ 5, Π² ΡΠ΅Π·ΡΠ»ΡΡΠ°ΡΠ΅ ΡΠ΅Π³ΠΎ ΠΏΠΎΠ»ΡΡΠ°Π΅ΡΡΡ 8. ΠΠ°ΡΠ΅ΠΌ ΠΎΠ½ ΡΠΌΠ½ΠΎΠΆΠ°Π΅Ρ 3*8*6 ΠΈ Π΄ΠΎΡΡΠΈΠ³Π°Π΅Ρ 144.
ΠΡΠ»ΠΈ Ρ Π²Π°Ρ Π²ΠΎΠ·Π½ΠΈΠΊΠ»ΠΈ ΠΏΡΠΎΠ±Π»Π΅ΠΌΡ Ρ Π·Π°ΠΏΠΎΠΌΠΈΠ½Π°Π½ΠΈΠ΅ΠΌ ΠΏΠΎΡΡΠ΄ΠΊΠ° PEMDAS, ΠΈΡΠΏΠΎΠ»ΡΠ·ΡΠΉΡΠ΅ ΠΌΠ½Π΅ΠΌΠΎΠ½ΠΈΡΠ΅ΡΠΊΠΈΠΉ ΠΏΡΠΈΠ΅ΠΌ ΡΠ΅ΡΠΈ Π‘Π°Π»Π»ΠΈ: ΠΈΡΠΏΠΎΠ»ΡΠ·ΡΠΉΡΠ΅ ΠΏΠ΅ΡΠ²ΡΠ΅ Π±ΡΠΊΠ²Ρ ΠΏΡΠ΅Π΄Π»ΠΎΠΆΠ΅Π½ΠΈΡ Β«ΠΠΎΠΆΠ°Π»ΡΠΉΡΡΠ°, ΠΈΠ·Π²ΠΈΠ½ΠΈΡΠ΅, ΠΌΠΎΡ Π΄ΠΎΡΠΎΠ³Π°Ρ ΡΠ΅ΡΡ Π‘Π°Π»Π»ΠΈΒ».
2. Π£ΠΌΠ½ΠΎΠΆΠ΅Π½ΠΈΠ΅ Ρ ΡΡΠ½ΠΊΡΠΈΠ΅ΠΉ ΠΠ ΠΠΠΠΠΠ
ΠΡΠ»ΠΈ Π²Π°ΠΌ Π½ΡΠΆΠ½ΠΎ ΡΠΌΠ½ΠΎΠΆΠΈΡΡ Π½Π΅ΡΠΊΠΎΠ»ΡΠΊΠΎ ΡΠΈΡΠ΅Π», Π²Π°ΠΌ ΠΌΠΎΠΆΠ΅Ρ ΠΏΡΠΈΠ³ΠΎΠ΄ΠΈΡΡΡΡ ΡΠΎΠΊΡΠ°ΡΠ΅Π½Π½Π°Ρ ΡΠΎΡΠΌΡΠ»Π° ΠΠ ΠΠΠΠΠΠ, ΠΊΠΎΡΠΎΡΠ°Ρ ΡΠΌΠ½ΠΎΠΆΠ°Π΅Ρ Π²ΡΠ΅ ΡΠΈΡΠ»Π°, ΠΊΠΎΡΠΎΡΡΠ΅ Π²Ρ Π·Π°ΠΊΠ»ΡΡΠ°Π΅ΡΠ΅ Π² ΡΠΊΠΎΠ±ΠΊΠΈ.
ΠΡΠ³ΡΠΌΠ΅Π½ΡΡ ΠΌΠΎΠ³ΡΡ Π±ΡΡΡ:
- Π§ΠΈΡΠ»Π° ΠΈΠ»ΠΈ ΡΠΎΡΠΌΡΠ»Ρ, ΡΠ°Π·Π΄Π΅Π»Π΅Π½Π½ΡΠ΅ Π·Π°ΠΏΡΡΡΠΌΠΈ, Π½Π°ΠΏΡΠΈΠΌΠ΅Ρ:
=ΠΠ ΠΠΠΠΠΠ(3,5+2,8,3,14)
ΠΡΠΎ ΡΠΊΠ²ΠΈΠ²Π°Π»Π΅Π½ΡΠ½ΠΎ =3*(5+2)*8*3,14.
- Π‘ΡΡΠ»ΠΊΠΈ Π½Π° ΡΡΠ΅ΠΉΠΊΠΈ, ΡΠ°Π·Π΄Π΅Π»Π΅Π½Π½ΡΠ΅ Π·Π°ΠΏΡΡΡΠΌΠΈ, Π½Π°ΠΏΡΠΈΠΌΠ΅Ρ:
=ΠΠ ΠΠΠΠΠΠ(A3,C3,D3,F3).
ΠΡΠΎ ΡΠΊΠ²ΠΈΠ²Π°Π»Π΅Π½ΡΠ½ΠΎ =A3*C3*D3*F3.
- ΠΠΈΠ°ΠΏΠ°Π·ΠΎΠ½ ΡΡΠ΅Π΅ΠΊ, ΡΠΎΠ΄Π΅ΡΠΆΠ°ΡΠΈΡ ΡΠΈΡΠ»Π°, ΠΈΠ»ΠΈ Π½Π΅ΡΠΊΠΎΠ»ΡΠΊΠΎ Π΄ΠΈΠ°ΠΏΠ°Π·ΠΎΠ½ΠΎΠ², ΡΠ°Π·Π΄Π΅Π»Π΅Π½Π½ΡΡ Π·Π°ΠΏΡΡΡΠΌΠΈ, Π½Π°ΠΏΡΠΈΠΌΠ΅Ρ:
=ΠΠ ΠΠΠ£ΠΠ’(F3:F25),
, ΡΡΠΎ ΡΠΊΠ²ΠΈΠ²Π°Π»Π΅Π½ΡΠ½ΠΎ =F3*F4*F5*(ΠΈ ΡΠ°ΠΊ Π΄Π°Π»Π΅Π΅, Π²ΠΏΠ»ΠΎΡΡ Π΄ΠΎ)*F25, ΠΈΠ»ΠΈ:
=ΠΠ ΠΠΠΠΠΠ(F3:F25,h4:h35).
- ΠΡΠ±Π°Ρ ΠΊΠΎΠΌΠ±ΠΈΠ½Π°ΡΠΈΡ ΡΠΈΡΠ΅Π», ΡΠΎΡΠΌΡΠ», ΡΡΡΠ»ΠΎΠΊ Π½Π° ΡΡΠ΅ΠΉΠΊΠΈ ΠΈ Π΄ΠΈΠ°ΠΏΠ°Π·ΠΎΠ½ΠΎΠ².
Π ΠΊΠ°ΠΆΠ΄ΠΎΠΌ ΡΠ»ΡΡΠ°Π΅ Excel ΡΠΌΠ½ΠΎΠΆΠ°Π΅Ρ Π²ΡΠ΅ ΡΠΈΡΠ»Π°, ΡΡΠΎΠ±Ρ Π½Π°ΠΉΡΠΈ ΠΏΡΠΎΠΈΠ·Π²Π΅Π΄Π΅Π½ΠΈΠ΅. ΠΡΠ»ΠΈ ΡΡΠ΅ΠΉΠΊΠ° Π² Π΄ΠΈΠ°ΠΏΠ°Π·ΠΎΠ½Π΅ ΠΏΡΡΡΠ° ΠΈΠ»ΠΈ ΡΠΎΠ΄Π΅ΡΠΆΠΈΡ ΡΠ΅ΠΊΡΡ, Excel ΠΈΡΠΊΠ»ΡΡΠ°Π΅Ρ Π·Π½Π°ΡΠ΅Π½ΠΈΠ΅ ΡΡΠΎΠΉ ΡΡΠ΅ΠΉΠΊΠΈ ΠΈΠ· ΡΠ°ΡΡΠ΅ΡΠ°. ΠΡΠ»ΠΈ ΡΡΠ΅ΠΉΠΊΠ° Π² Π΄ΠΈΠ°ΠΏΠ°Π·ΠΎΠ½Π΅ ΡΠ°Π²Π½Π° Π½ΡΠ»Ρ, ΠΏΡΠΎΠΈΠ·Π²Π΅Π΄Π΅Π½ΠΈΠ΅ Π±ΡΠ΄Π΅Ρ ΡΠ°Π²Π½ΠΎ Π½ΡΠ»Ρ.
3. Π£ΠΌΠ½ΠΎΠΆΠ΅Π½ΠΈΠ΅ Π΄ΠΈΠ°ΠΏΠ°Π·ΠΎΠ½ΠΎΠ² Ρ ΡΡΠ½ΠΊΡΠΈΠ΅ΠΉ Π‘Π£ΠΠΠΠ ΠΠΠΠ
Π Π°ΡΡΠΌΠΎΡΡΠΈΠΌ ΡΠ»Π΅Π΄ΡΡΡΠΈΠΉ ΡΡΠ΅Ρ. Π€ΠΎΡΠΌΡΠ»Π° Π² ΡΡΠΎΠ»Π±ΡΠ΅ E (Ρ ΡΠΎΡΠΌΡΠ»ΠΎΠΉ, ΠΏΠΎΠΊΠ°Π·Π°Π½Π½ΠΎΠΉ ΡΠΏΡΠ°Π²Π° ΠΎΡ ΡΠ°Π±Π»ΠΈΡΡ) ΡΠΌΠ½ΠΎΠΆΠ°Π΅Ρ ΠΊΠΎΠ»ΠΈΡΠ΅ΡΡΠ²ΠΎ Π½Π° ΡΠ΅Π½Ρ, ΡΡΠΎΠ±Ρ ΠΏΠΎΠ»ΡΡΠΈΡΡ ΡΠ°ΡΡΠΈΡΠ΅Π½Π½ΡΡ ΡΠ΅Π½Ρ.Π‘ΡΠΌΠΌΠ° Π² ΡΡΠ΅ΠΉΠΊΠ΅ E7 ΡΡΠΌΠΌΠΈΡΡΠ΅Ρ ΡΠ°ΡΡΠΈΡΠ΅Π½Π½ΡΠ΅ ΡΠ΅Π½Ρ.
ΠΠΎ ΡΡΠΎ, Π΅ΡΠ»ΠΈ Π²Ρ Π½Π΅ Ρ ΠΎΡΠΈΡΠ΅, ΡΡΠΎΠ±Ρ ΡΠ°ΡΡΠΈΡΠ΅Π½Π½ΡΠ΅ ΡΠ΅Π½Ρ ΠΎΡΠΎΠ±ΡΠ°ΠΆΠ°Π»ΠΈΡΡ ΠΊΠ°ΠΊ ΠΎΡΠ΄Π΅Π»ΡΠ½ΡΠ΅ ΡΠ°ΡΡΠ΅ΡΡ? Π§ΡΠΎ, Π΅ΡΠ»ΠΈ Π²Ρ Ρ ΠΎΡΠΈΡΠ΅ ΡΠ΄Π΅Π»Π°ΡΡ Π²ΡΠ΅ ΡΡΠΎ Π·Π° ΠΎΠ΄ΠΈΠ½ ΡΠ°Π³?
ΠΠΎΠΏΡΠΎΠ±ΡΠΉΡΠ΅ ΡΡΠ½ΠΊΡΠΈΡ Π‘Π£ΠΠΠΠ ΠΠΠΠ, ΠΊΠΎΡΠΎΡΠ°Ρ ΡΠΌΠ½ΠΎΠΆΠ°Π΅Ρ ΡΡΠ΅ΠΉΠΊΠΈ Π² Π΄Π²ΡΡ Π΄ΠΈΠ°ΠΏΠ°Π·ΠΎΠ½Π°Ρ ΠΈ ΡΡΠΌΠΌΠΈΡΡΠ΅Ρ ΡΠ΅Π·ΡΠ»ΡΡΠ°ΡΡ.
Π‘Π£ΠΠΠΠ ΠΠΠΠ(D2:D5,C2:C5) ΡΠΌΠ½ΠΎΠΆΠ°Π΅Ρ D2*C2, D3*C3 ΠΈ Ρ. Π΄. ΠΈ ΡΡΠΌΠΌΠΈΡΡΠ΅Ρ ΡΠ΅Π·ΡΠ»ΡΡΠ°ΡΡ. ΠΠ±ΡΠ°ΡΠΈΡΠ΅ Π²Π½ΠΈΠΌΠ°Π½ΠΈΠ΅, ΡΡΠΎ ΡΠ΅Π·ΡΠ»ΡΡΠ°Ρ 84,50 ΡΠ°ΠΊΠΎΠΉ ΠΆΠ΅, ΠΊΠ°ΠΊ ΠΈ Π² ΠΏΡΠ΅Π΄ΡΠ΄ΡΡΠ΅ΠΌ ΠΏΡΠΈΠΌΠ΅ΡΠ΅.
ΠΡΠ° ΡΡΠ½ΠΊΡΠΈΡ Π±Π΅ΡΡΠ΅Π½Π½Π° Π΄Π»Ρ ΡΠ°ΡΡΠ΅ΡΠ° ΡΡΠ΅Π΄Π½Π΅Π²Π·Π²Π΅ΡΠ΅Π½Π½ΡΡ Π·Π½Π°ΡΠ΅Π½ΠΈΠΉ, ΡΠ°ΠΊΠΈΡ ΠΊΠ°ΠΊ ΠΎΡΠ΅Π½ΠΊΠΈ Π² ΠΊΠ»Π°ΡΡΠ΅ ΠΈΠ»ΠΈ ΡΠ΅Π½Ρ Π½Π° ΠΎΡΠ½ΠΎΠ²Π΅ ΠΏΠ΅ΡΠ΅ΠΌΠ΅Π½Π½ΠΎΠ³ΠΎ Π½Π°Π»ΠΎΠ³Π° ΡΡΠ°ΡΠ°, Π² ΠΊΠΎΡΠΎΡΠΎΠΌ Π²Ρ ΡΠΌΠ½ΠΎΠΆΠ°Π΅ΡΠ΅ Π΄ΠΈΠ°ΠΏΠ°Π·ΠΎΠ½ Π·Π½Π°ΡΠ΅Π½ΠΈΠΉ Π½Π° Π΄ΠΈΠ°ΠΏΠ°Π·ΠΎΠ½, ΡΠΎΠ΄Π΅ΡΠΆΠ°ΡΠΈΠΉ Π²Π΅ΡΠ°.
Π‘Π»Π΅Π΄ΡΡΡΠΈΠ΅ ΡΠ°Π³ΠΈ
ΠΡΠΎ Π²ΡΠ΅Π³ΠΎ Π»ΠΈΡΡ ΡΡΠΈ ΠΌΠ΅ΡΠΎΠ΄Π° ΡΠΌΠ½ΠΎΠΆΠ΅Π½ΠΈΡ ΡΠΈΡΠ΅Π» Π² ΡΠΎΡΠΌΡΠ»Π°Ρ Excel. ΠΠΎΠ³Π΄Π° Π²Ρ ΠΎΡΠ²ΠΎΠΈΡΠ΅ ΠΈΡ , ΠΏΠΎΠΏΡΠΎΠ±ΡΠΉΡΠ΅ ΡΠΎΡΠΌΡΠ»Ρ ΠΠ ΠΠΠΠΠΠ, ΠΊΠΎΡΠΎΡΠ°Ρ ΡΠΌΠ½ΠΎΠΆΠ°Π΅Ρ Π²ΡΠ΅ ΡΠΈΡΠ»Π° Π² Π΄ΠΈΠ°ΠΏΠ°Π·ΠΎΠ½Π΅, Π΅ΡΠ»ΠΈ Π²ΡΠΏΠΎΠ»Π½ΡΠ΅ΡΡΡ ΡΡΠ»ΠΎΠ²ΠΈΠ΅.
Π ΠΏΠΎΠΊΠ° ΠΏΠΎΠΏΡΠΎΠ±ΡΠΉΡΠ΅ ΡΠΌΠ΅ΡΠΈΠ²Π°ΡΡ ΠΈ ΡΠΎΠΏΠΎΡΡΠ°Π²Π»ΡΡΡ ΡΠΎΡΠΌΡΠ»Ρ ΡΠΌΠ½ΠΎΠΆΠ΅Π½ΠΈΡ, ΠΈΡΠΏΠΎΠ»ΡΠ·ΡΡ Π»ΡΠ±ΡΠ΅ ΠΊΠΎΠΌΠ±ΠΈΠ½Π°ΡΠΈΠΈ Π²ΠΌΠ΅ΡΡΠ΅ Ρ Π΄ΡΡΠ³ΠΈΠΌΠΈ Π°ΡΠΈΡΠΌΠ΅ΡΠΈΡΠ΅ΡΠΊΠΈΠΌΠΈ ΡΡΠ½ΠΊΡΠΈΡΠΌΠΈ, Π΄Π»Ρ ΡΠΎΠ·Π΄Π°Π½ΠΈΡ ΡΠ»ΠΎΠΆΠ½ΡΡ ΠΌΠ°ΡΠ΅ΠΌΠ°ΡΠΈΡΠ΅ΡΠΊΠΈΡ ΠΌΠΎΠ΄Π΅Π»Π΅ΠΉ.
Π£ΠΌΠ½ΠΎΠΆΠ°ΡΡ ΠΈ Π΄Π΅Π»ΠΈΡΡ ΡΠΈΡΠ»Π° Π² Excel
Π£ΠΌΠ½ΠΎΠΆΠ°ΡΡ ΠΈ Π΄Π΅Π»ΠΈΡΡ Π² Excel Π»Π΅Π³ΠΊΠΎ, Π½ΠΎ Π΄Π»Ρ ΡΡΠΎΠ³ΠΎ Π½ΡΠΆΠ½ΠΎ ΡΠΎΠ·Π΄Π°ΡΡ ΠΏΡΠΎΡΡΡΡ ΡΠΎΡΠΌΡΠ»Ρ.ΠΡΠΎΡΡΠΎ ΠΏΠΎΠΌΠ½ΠΈΡΠ΅, ΡΡΠΎ Π²ΡΠ΅ ΡΠΎΡΠΌΡΠ»Ρ Π² Excel Π½Π°ΡΠΈΠ½Π°ΡΡΡΡ ΡΠΎ Π·Π½Π°ΠΊΠ° ΡΠ°Π²Π΅Π½ΡΡΠ²Π° (=), ΠΈ Π²Ρ ΠΌΠΎΠΆΠ΅ΡΠ΅ ΠΈΡΠΏΠΎΠ»ΡΠ·ΠΎΠ²Π°ΡΡ ΠΏΠ°Π½Π΅Π»Ρ ΡΠΎΡΠΌΡΠ» Π΄Π»Ρ ΠΈΡ ΡΠΎΠ·Π΄Π°Π½ΠΈΡ.
Π£ΠΌΠ½ΠΎΠΆΠ΅Π½ΠΈΠ΅ ΡΠΈΡΠ΅Π»
ΠΠΎΠΏΡΡΡΠΈΠΌ, Π²Ρ Ρ
ΠΎΡΠΈΡΠ΅ Π²ΡΡΡΠ½ΠΈΡΡ, ΡΠΊΠΎΠ»ΡΠΊΠΎ Π²ΠΎΠ΄Ρ Π² Π±ΡΡΡΠ»ΠΊΠ°Ρ
Π²Π°ΠΌ Π½ΡΠΆΠ½ΠΎ Π΄Π»Ρ ΠΊΠΎΠ½ΡΠ΅ΡΠ΅Π½ΡΠΈΠΈ Ρ ΠΊΠ»ΠΈΠ΅Π½ΡΠ°ΠΌΠΈ (ΠΎΠ±ΡΠ΅Π΅ ΠΊΠΎΠ»ΠΈΡΠ΅ΡΡΠ²ΠΎ ΡΡΠ°ΡΡΠ½ΠΈΠΊΠΎΠ² Γ 4 Π΄Π½Ρ Γ 3 Π±ΡΡΡΠ»ΠΊΠΈ Π² Π΄Π΅Π½Ρ) ΠΈΠ»ΠΈ ΠΊΠΎΠΌΠΏΠ΅Π½ΡΠ°ΡΠΈΡ ΠΊΠΎΠΌΠ°Π½Π΄ΠΈΡΠΎΠ²ΠΎΡΠ½ΡΡ
ΡΠ°ΡΡ
ΠΎΠ΄ΠΎΠ² (ΠΎΠ±ΡΠ΅Π΅ ΠΊΠΎΠ»ΠΈΡΠ΅ΡΡΠ²ΠΎ ΠΌΠΈΠ»Ρ Γ 0,46).
Π‘ΡΡΠ΅ΡΡΠ²ΡΠ΅Ρ Π½Π΅ΡΠΊΠΎΠ»ΡΠΊΠΎ ΡΠΏΠΎΡΠΎΠ±ΠΎΠ² ΡΠΌΠ½ΠΎΠΆΠ΅Π½ΠΈΡ ΡΠΈΡΠ΅Π».
Π£ΠΌΠ½ΠΎΠΆΠ΅Π½ΠΈΠ΅ ΡΠΈΡΠ΅Π» Π² ΡΡΠ΅ΠΉΠΊΠ΅
ΠΠ»Ρ Π²ΡΠΏΠΎΠ»Π½Π΅Π½ΠΈΡ ΡΡΠΎΠΉ Π·Π°Π΄Π°ΡΠΈ ΠΈΡΠΏΠΎΠ»ΡΠ·ΡΠΉΡΠ΅ Π°ΡΠΈΡΠΌΠ΅ΡΠΈΡΠ΅ΡΠΊΠΈΠΉ ΠΎΠΏΠ΅ΡΠ°ΡΠΎΡ * (Π·Π²Π΅Π·Π΄ΠΎΡΠΊΠ°).
ΠΠ°ΠΏΡΠΈΠΌΠ΅Ρ, Π΅ΡΠ»ΠΈ Π²Π²Π΅ΡΡΠΈ Π² ΡΡΠ΅ΠΉΠΊΡ =5*10 , ΡΡΠ΅ΠΉΠΊΠ° ΠΎΡΠΎΠ±ΡΠ°Π·ΠΈΡ ΡΠ΅Π·ΡΠ»ΡΡΠ°Ρ 50 .
Π£ΠΌΠ½ΠΎΠΆΠΈΡΡ ΡΡΠΎΠ»Π±Π΅Ρ ΡΠΈΡΠ΅Π» Π½Π° ΠΏΠΎΡΡΠΎΡΠ½Π½ΠΎΠ΅ ΡΠΈΡΠ»ΠΎ
ΠΡΠ΅Π΄ΠΏΠΎΠ»ΠΎΠΆΠΈΠΌ, Π²Ρ Ρ ΠΎΡΠΈΡΠ΅ ΡΠΌΠ½ΠΎΠΆΠΈΡΡ ΠΊΠ°ΠΆΠ΄ΡΡ ΡΡΠ΅ΠΉΠΊΡ Π² ΡΡΠΎΠ»Π±ΡΠ΅ ΠΈΠ· ΡΠ΅ΠΌΠΈ ΡΠΈΡΠ΅Π» Π½Π° ΡΠΈΡΠ»ΠΎ, ΡΠΎΠ΄Π΅ΡΠΆΠ°ΡΠ΅Π΅ΡΡ Π² Π΄ΡΡΠ³ΠΎΠΉ ΡΡΠ΅ΠΉΠΊΠ΅. Π ΡΡΠΎΠΌ ΠΏΡΠΈΠΌΠ΅ΡΠ΅ ΡΠΈΡΠ»ΠΎ, Π½Π° ΠΊΠΎΡΠΎΡΠΎΠ΅ Π²Ρ Ρ ΠΎΡΠΈΡΠ΅ ΡΠΌΠ½ΠΎΠΆΠΈΡΡ, ΡΠ°Π²Π½ΠΎ 3, ΡΠΎΠ΄Π΅ΡΠΆΠ°ΡΠ΅ΠΌΡΡΡ Π² ΡΡΠ΅ΠΉΠΊΠ΅ C2.
ΠΠ²Π΅Π΄ΠΈΡΠ΅ =A2*$B$2 Π² Π½ΠΎΠ²ΡΠΉ ΡΡΠΎΠ»Π±Π΅Ρ ΡΠ»Π΅ΠΊΡΡΠΎΠ½Π½ΠΎΠΉ ΡΠ°Π±Π»ΠΈΡΡ (Π² ΠΏΡΠΈΠ²Π΅Π΄Π΅Π½Π½ΠΎΠΌ Π²ΡΡΠ΅ ΠΏΡΠΈΠΌΠ΅ΡΠ΅ ΠΈΡΠΏΠΎΠ»ΡΠ·ΡΠ΅ΡΡΡ ΡΡΠΎΠ»Π±Π΅Ρ D).ΠΠ±ΡΠ·Π°ΡΠ΅Π»ΡΠ½ΠΎ Π²ΠΊΠ»ΡΡΠΈΡΠ΅ Π² ΡΠΎΡΠΌΡΠ»Ρ ΡΠΈΠΌΠ²ΠΎΠ» $ ΠΏΠ΅ΡΠ΅Π΄ Π±ΡΠΊΠ²ΠΎΠΉ B ΠΈ ΠΏΠ΅ΡΠ΅Π΄ ΡΠΈΡΡΠΎΠΉ 2 ΠΈ Π½Π°ΠΆΠΌΠΈΡΠ΅ ΠΊΠ»Π°Π²ΠΈΡΡ ΠΠΠΠ.
ΠΡΠΈΠΌΠ΅ΡΠ°Π½ΠΈΠ΅.
Β ΠΡΠΏΠΎΠ»ΡΠ·ΠΎΠ²Π°Π½ΠΈΠ΅ ΡΠΈΠΌΠ²ΠΎΠ»ΠΎΠ² $ ΡΠΎΠΎΠ±ΡΠ°Π΅Ρ Excel, ΡΡΠΎ ΡΡΡΠ»ΠΊΠ° Π½Π° B2 ΡΠ²Π»ΡΠ΅ΡΡΡ Β«Π°Π±ΡΠΎΠ»ΡΡΠ½ΠΎΠΉΒ». ΠΡΠΎ ΠΎΠ·Π½Π°ΡΠ°Π΅Ρ, ΡΡΠΎ ΠΏΡΠΈ ΠΊΠΎΠΏΠΈΡΠΎΠ²Π°Π½ΠΈΠΈ ΡΠΎΡΠΌΡΠ»Ρ Π² Π΄ΡΡΠ³ΡΡ ΡΡΠ΅ΠΉΠΊΡ ΡΡΡΠ»ΠΊΠ° Π²ΡΠ΅Π³Π΄Π° Π±ΡΠ΄Π΅Ρ Π½Π° ΡΡΠ΅ΠΉΠΊΡ B2. ΠΡΠ»ΠΈ Π²Ρ Π½Π΅ ΠΈΡΠΏΠΎΠ»ΡΠ·ΠΎΠ²Π°Π»ΠΈ ΡΠΈΠΌΠ²ΠΎΠ»Ρ $ Π² ΡΠΎΡΠΌΡΠ»Π΅ ΠΈ ΠΏΠ΅ΡΠ΅ΡΠ°ΡΠΈΠ»ΠΈ ΡΠΎΡΠΌΡΠ»Ρ Π² ΡΡΠ΅ΠΉΠΊΡ B3, Excel ΠΈΠ·ΠΌΠ΅Π½ΠΈΡ ΡΠΎΡΠΌΡΠ»Ρ Π½Π° =A3*C3, ΡΡΠΎ Π½Π΅ ΡΡΠ°Π±ΠΎΡΠ°Π΅Ρ, ΠΏΠΎΡΠΊΠΎΠ»ΡΠΊΡ Π² ΡΡΠ΅ΠΉΠΊΠ΅ B3 Π½Π΅Ρ Π·Π½Π°ΡΠ΅Π½ΠΈΡ.ΠΠ΅ΡΠ΅ΡΠ°ΡΠΈΡΠ΅ ΡΠΎΡΠΌΡΠ»Ρ Π² Π΄ΡΡΠ³ΠΈΠ΅ ΡΡΠ΅ΠΉΠΊΠΈ ΡΡΠΎΠ»Π±ΡΠ°.
ΠΡΠΈΠΌΠ΅ΡΠ°Π½ΠΈΠ΅. Π Excel 2016 Π΄Π»Ρ Windows ΡΡΠ΅ΠΉΠΊΠΈ Π·Π°ΠΏΠΎΠ»Π½ΡΡΡΡΡ Π°Π²ΡΠΎΠΌΠ°ΡΠΈΡΠ΅ΡΠΊΠΈ.
Π£ΠΌΠ½ΠΎΠΆΠ΅Π½ΠΈΠ΅ ΡΠΈΡΠ΅Π» Π² ΡΠ°Π·Π½ΡΡ ΡΡΠ΅ΠΉΠΊΠ°Ρ Ρ ΠΏΠΎΠΌΠΎΡΡΡ ΡΠΎΡΠΌΡΠ»Ρ
ΠΡ ΠΌΠΎΠΆΠ΅ΡΠ΅ ΠΈΡΠΏΠΎΠ»ΡΠ·ΠΎΠ²Π°ΡΡ ΡΡΠ½ΠΊΡΠΈΡ ΠΠ ΠΠΠΠΠΠ Π΄Π»Ρ ΡΠΌΠ½ΠΎΠΆΠ΅Π½ΠΈΡ ΡΠΈΡΠ΅Π», ΡΡΠ΅Π΅ΠΊ ΠΈ Π΄ΠΈΠ°ΠΏΠ°Π·ΠΎΠ½ΠΎΠ².
ΠΡ ΠΌΠΎΠΆΠ΅ΡΠ΅ ΠΈΡΠΏΠΎΠ»ΡΠ·ΠΎΠ²Π°ΡΡ Π»ΡΠ±ΡΡ ΠΊΠΎΠΌΠ±ΠΈΠ½Π°ΡΠΈΡ Π΄ΠΎ 255 Π½ΠΎΠΌΠ΅ΡΠΎΠ² ΠΈΠ»ΠΈ ΡΡΡΠ»ΠΎΠΊ Π½Π° ΡΡΠ΅ΠΉΠΊΠΈ Π² ΡΡΠ½ΠΊΡΠΈΠΈ PRODUCT . ΠΠ°ΠΏΡΠΈΠΌΠ΅Ρ, ΡΠΎΡΠΌΡΠ»Π° =ΠΠ ΠΠΠΠΠΠ(A2,A4:A15,12,E3:E5,150,G4,h5:J6) ΡΠΌΠ½ΠΎΠΆΠ°Π΅Ρ Π΄Π²Π΅ ΠΎΡΠ΄Π΅Π»ΡΠ½ΡΠ΅ ΡΡΠ΅ΠΉΠΊΠΈ (A2 ΠΈ G4), Π΄Π²Π° ΡΠΈΡΠ»Π° (12 ΠΈ 150) ΠΈ ΡΡΠΈ Π΄ΠΈΠ°ΠΏΠ°Π·ΠΎΠ½Ρ (A4:A15, E3:E5 ΠΈ h5:J6).
Π Π°Π·Π΄Π΅Π»ΠΈΡΡ ΡΠΈΡΠ»Π°
ΠΠΎΠΏΡΡΡΠΈΠΌ, Π²Ρ Ρ ΠΎΡΠΈΡΠ΅ ΡΠ·Π½Π°ΡΡ, ΡΠΊΠΎΠ»ΡΠΊΠΎ ΡΠ΅Π»ΠΎΠ²Π΅ΠΊΠΎ-ΡΠ°ΡΠΎΠ² ΡΡΠ»ΠΎ Π½Π° Π·Π°Π²Π΅ΡΡΠ΅Π½ΠΈΠ΅ ΠΏΡΠΎΠ΅ΠΊΡΠ° (ΠΎΠ±ΡΠ΅Π΅ ΠΊΠΎΠ»ΠΈΡΠ΅ΡΡΠ²ΠΎ ΡΠ°ΡΠΎΠ² ΠΏΡΠΎΠ΅ΠΊΡΠ° Γ· ΠΎΠ±ΡΠ΅Π΅ ΠΊΠΎΠ»ΠΈΡΠ΅ΡΡΠ²ΠΎ Π»ΡΠ΄Π΅ΠΉ Π² ΠΏΡΠΎΠ΅ΠΊΡΠ΅) ΠΈΠ»ΠΈ ΡΠ°ΠΊΡΠΈΡΠ΅ΡΠΊΠΎΠ΅ ΠΊΠΎΠ»ΠΈΡΠ΅ΡΡΠ²ΠΎ ΠΌΠΈΠ»Ρ Π½Π° Π³Π°Π»Π»ΠΎΠ½ Π²ΠΎ Π²ΡΠ΅ΠΌΡ Π²Π°ΡΠ΅ΠΉ Π½Π΅Π΄Π°Π²Π½Π΅ΠΉ ΠΏΠΎΠ΅Π·Π΄ΠΊΠΈ ΠΏΠΎ ΠΏΠ΅ΡΠ΅ΡΠ΅ΡΠ΅Π½Π½ΠΎΠΉ ΠΌΠ΅ΡΡΠ½ΠΎΡΡΠΈ (ΠΎΠ±ΡΠ΅Π΅ ΠΊΠΎΠ»ΠΈΡΠ΅ΡΡΠ²ΠΎ ΠΌΠΈΠ»Ρ Γ· ΠΎΠ±ΡΠ΅Π΅ ΠΊΠΎΠ»ΠΈΡΠ΅ΡΡΠ²ΠΎ Π³Π°Π»Π»ΠΎΠ½ΠΎΠ²).ΠΡΡΡ Π½Π΅ΡΠΊΠΎΠ»ΡΠΊΠΎ ΡΠΏΠΎΡΠΎΠ±ΠΎΠ² Π΄Π΅Π»Π΅Π½ΠΈΡ ΡΠΈΡΠ΅Π».
Π Π°Π·Π΄Π΅Π»ΠΈΡΡ ΡΠΈΡΠ»Π° Π² ΡΡΠ΅ΠΉΠΊΠ΅
ΠΠ»Ρ Π²ΡΠΏΠΎΠ»Π½Π΅Π½ΠΈΡ ΡΡΠΎΠΉ Π·Π°Π΄Π°ΡΠΈ ΠΈΡΠΏΠΎΠ»ΡΠ·ΡΠΉΡΠ΅ Π°ΡΠΈΡΠΌΠ΅ΡΠΈΡΠ΅ΡΠΊΠΈΠΉ ΠΎΠΏΠ΅ΡΠ°ΡΠΎΡ / (ΠΊΠΎΡΠ°Ρ ΡΠ΅ΡΡΠ°).
ΠΠ°ΠΏΡΠΈΠΌΠ΅Ρ, Π΅ΡΠ»ΠΈ Π²Π²Π΅ΡΡΠΈ Π² ΡΡΠ΅ΠΉΠΊΡ = 10/5 , ΡΡΠ΅ΠΉΠΊΠ° ΠΎΡΠΎΠ±ΡΠ°Π·ΠΈΡ 2 .
ΠΠ°ΠΆΠ½ΠΎ:Β ΠΠ΅ Π·Π°Π±ΡΠ΄ΡΡΠ΅ Π²Π²Π΅ΡΡΠΈ Π² ΡΡΠ΅ΠΉΠΊΡ Π·Π½Π°ΠΊ ΡΠ°Π²Π΅Π½ΡΡΠ²Π° ( = ) ΠΏΠ΅ΡΠ΅Π΄ ΡΠ΅ΠΌ, ΠΊΠ°ΠΊ Π²Π²ΠΎΠ΄ΠΈΡΡ ΡΠΈΡΠ»Π° ΠΈ ΠΎΠΏΠ΅ΡΠ°ΡΠΎΡ /; Π² ΠΏΡΠΎΡΠΈΠ²Π½ΠΎΠΌ ΡΠ»ΡΡΠ°Π΅ Excel Π±ΡΠ΄Π΅Ρ ΠΈΠ½ΡΠ΅ΡΠΏΡΠ΅ΡΠΈΡΠΎΠ²Π°ΡΡ Π²Π²Π΅Π΄Π΅Π½Π½ΡΠΉ Π²Π°ΠΌΠΈ ΡΠ΅ΠΊΡΡ ΠΊΠ°ΠΊ Π΄Π°ΡΡ.ΠΠ°ΠΏΡΠΈΠΌΠ΅Ρ, Π΅ΡΠ»ΠΈ Π²Ρ Π²Π²Π΅Π΄Π΅ΡΠ΅ 7/30, Excel ΠΌΠΎΠΆΠ΅Ρ ΠΎΡΠΎΠ±ΡΠ°Π·ΠΈΡΡ Π² ΡΡΠ΅ΠΉΠΊΠ΅ 30 ΠΈΡΠ»Ρ.
ΠΠ»ΠΈ, Π΅ΡΠ»ΠΈ Π²Ρ Π²Π²Π΅Π΄Π΅ΡΠ΅ 12/36, Excel ΡΠ½Π°ΡΠ°Π»Π° ΠΏΡΠ΅ΠΎΠ±ΡΠ°Π·ΡΠ΅Ρ ΡΡΠΎ Π·Π½Π°ΡΠ΅Π½ΠΈΠ΅ Π² 1/12/1936 ΠΈ ΠΎΡΠΎΠ±ΡΠ°Π·ΠΈΡ Π² ΡΡΠ΅ΠΉΠΊΠ΅ 1 Π΄Π΅ΠΊΠ°Π±ΡΡ.
ΠΡΠΈΠΌΠ΅ΡΠ°Π½ΠΈΠ΅. Π Excel Π½Π΅Ρ ΡΡΠ½ΠΊΡΠΈΠΈ Π ΠΠΠΠΠΠΠ’Π¬ .
Π Π°Π·Π΄Π΅Π»ΠΈΡΠ΅ ΡΠΈΡΠ»Π°, ΠΈΡΠΏΠΎΠ»ΡΠ·ΡΡ ΡΡΡΠ»ΠΊΠΈ Π½Π° ΡΡΠ΅ΠΉΠΊΠΈ
ΠΠΌΠ΅ΡΡΠΎ ΡΠΎΠ³ΠΎ, ΡΡΠΎΠ±Ρ Π²Π²ΠΎΠ΄ΠΈΡΡ ΡΠΈΡΠ»Π° Π½Π΅ΠΏΠΎΡΡΠ΅Π΄ΡΡΠ²Π΅Π½Π½ΠΎ Π² ΡΠΎΡΠΌΡΠ»Ρ, Π²Ρ ΠΌΠΎΠΆΠ΅ΡΠ΅ ΠΈΡΠΏΠΎΠ»ΡΠ·ΠΎΠ²Π°ΡΡ ΡΡΡΠ»ΠΊΠΈ Π½Π° ΡΡΠ΅ΠΉΠΊΠΈ, ΡΠ°ΠΊΠΈΠ΅ ΠΊΠ°ΠΊ A2 ΠΈ A3, Π΄Π»Ρ ΡΡΡΠ»ΠΊΠΈ Π½Π° ΡΠΈΡΠ»Π°, ΠΊΠΎΡΠΎΡΡΠ΅ Π²Ρ Ρ ΠΎΡΠΈΡΠ΅ ΡΠ°Π·Π΄Π΅Π»ΠΈΡΡ ΠΈ ΡΠ°Π·Π΄Π΅Π»ΠΈΡΡ.
ΠΡΠΈΠΌΠ΅Ρ:
ΠΡΠΈΠΌΠ΅Ρ Π±ΡΠ΄Π΅Ρ Π»Π΅Π³ΡΠ΅ ΠΏΠΎΠ½ΡΡΡ, Π΅ΡΠ»ΠΈ Π²Ρ ΡΠΊΠΎΠΏΠΈΡΡΠ΅ΡΠ΅ Π΅Π³ΠΎ Π½Π° ΠΏΡΡΡΠΎΠΉ Π»ΠΈΡΡ.
ΠΠ°ΠΊ ΡΠΊΠΎΠΏΠΈΡΠΎΠ²Π°ΡΡ ΠΏΡΠΈΠΌΠ΅Ρ
Π‘ΠΎΠ·Π΄Π°ΠΉΡΠ΅ ΠΏΡΡΡΡΡ ΠΊΠ½ΠΈΠ³Ρ ΠΈΠ»ΠΈ Π»ΠΈΡΡ.
ΠΡΠ±Π΅ΡΠΈΡΠ΅ ΠΏΡΠΈΠΌΠ΅Ρ Π² ΡΠ°Π·Π΄Π΅Π»Π΅ ΡΠΏΡΠ°Π²ΠΊΠΈ.
ΠΡΠΈΠΌΠ΅ΡΠ°Π½ΠΈΠ΅.
ΠΠ΅ Π²ΡΠ±ΠΈΡΠ°ΠΉΡΠ΅ Π·Π°Π³ΠΎΠ»ΠΎΠ²ΠΊΠΈ ΡΡΡΠΎΠΊ ΠΈΠ»ΠΈ ΡΡΠΎΠ»Π±ΡΠΎΠ².ΠΡΠ±ΠΎΡ ΠΏΡΠΈΠΌΠ΅ΡΠ° ΠΈΠ· ΡΠΏΡΠ°Π²ΠΊΠΈ
ΠΠ°ΠΆΠΌΠΈΡΠ΅ CTRL+C.
ΠΠ° Π»ΠΈΡΡΠ΅ Π²ΡΠ±Π΅ΡΠΈΡΠ΅ ΡΡΠ΅ΠΉΠΊΡ A1 ΠΈ Π½Π°ΠΆΠΌΠΈΡΠ΅ CTRL+V.
Π§ΡΠΎΠ±Ρ ΠΏΠ΅ΡΠ΅ΠΊΠ»ΡΡΠΈΡΡΡΡ ΠΌΠ΅ΠΆΠ΄Ρ ΠΏΡΠΎΡΠΌΠΎΡΡΠΎΠΌ ΡΠ΅Π·ΡΠ»ΡΡΠ°ΡΠΎΠ² ΠΈ ΠΏΡΠΎΡΠΌΠΎΡΡΠΎΠΌ ΡΠΎΡΠΌΡΠ», Π²ΠΎΠ·Π²ΡΠ°ΡΠ°ΡΡΠΈΡ ΡΠ΅Π·ΡΠ»ΡΡΠ°ΡΡ, Π½Π°ΠΆΠΌΠΈΡΠ΅ CTRL+` (ΡΠ΄Π°ΡΠ΅Π½ΠΈΠ΅) ΠΈΠ»ΠΈ Π½Π° Π²ΠΊΠ»Π°Π΄ΠΊΠ΅ Π€ΠΎΡΠΌΡΠ»Ρ Π½Π°ΠΆΠΌΠΈΡΠ΅ ΠΊΠ½ΠΎΠΏΠΊΡ ΠΠΎΠΊΠ°Π·Π°ΡΡ ΡΠΎΡΠΌΡΠ»Ρ .
Π | Π | Π‘ | |
1 | ΠΠ°Π½Π½ΡΠ΅ | Π€ΠΎΡΠΌΡΠ»Π° | ΠΠΏΠΈΡΠ°Π½ΠΈΠ΅ (Π Π΅Π·ΡΠ»ΡΡΠ°Ρ) |
2 | 15000 | =Π2/Π3 | ΠΠ΅Π»ΠΈΡ 15000 Π½Π° 12 (1250) |
3 | 12 |
Π Π°Π·Π΄Π΅Π»ΠΈΡΡ ΡΡΠΎΠ»Π±Π΅Ρ ΡΠΈΡΠ΅Π» Π½Π° ΠΏΠΎΡΡΠΎΡΠ½Π½ΠΎΠ΅ ΡΠΈΡΠ»ΠΎ
ΠΡΠ΅Π΄ΠΏΠΎΠ»ΠΎΠΆΠΈΠΌ, Π²Ρ Ρ
ΠΎΡΠΈΡΠ΅ ΡΠ°Π·Π΄Π΅Π»ΠΈΡΡ ΠΊΠ°ΠΆΠ΄ΡΡ ΡΡΠ΅ΠΉΠΊΡ Π² ΡΡΠΎΠ»Π±ΡΠ΅ ΠΈΠ· ΡΠ΅ΠΌΠΈ ΡΠΈΡΠ΅Π» Π½Π° ΡΠΈΡΠ»ΠΎ, ΠΊΠΎΡΠΎΡΠΎΠ΅ ΡΠΎΠ΄Π΅ΡΠΆΠΈΡΡΡ Π² Π΄ΡΡΠ³ΠΎΠΉ ΡΡΠ΅ΠΉΠΊΠ΅.
Π ΡΡΠΎΠΌ ΠΏΡΠΈΠΌΠ΅ΡΠ΅ Π½ΡΠΆΠ½ΠΎ ΡΠ°Π·Π΄Π΅Π»ΠΈΡΡ ΡΠΈΡΠ»ΠΎ 3, ΡΠΎΠ΄Π΅ΡΠΆΠ°ΡΠ΅Π΅ΡΡ Π² ΡΡΠ΅ΠΉΠΊΠ΅ C2.
Π | Π | Π‘ | |
1 | ΠΠ°Π½Π½ΡΠ΅ | Π€ΠΎΡΠΌΡΠ»Π° | ΠΠΎΠ½ΡΡΠ°Π½ΡΠ° |
2 | 15000 | =A2/$C$2 | 3 |
3 | 12 | =A3/$C$2 | |
4 | 48 | =A4/$C$2 | |
5 | 729 | =A5/$C$2 | |
6 | 1534 | =A6/$C$2 | |
7 | 288 | =A7/$C$2 | |
8 | 4306 | =A8/$C$2 |
ΠΠ²Π΅Π΄ΠΈΡΠ΅ =A2/$C$2 Π² ΡΡΠ΅ΠΉΠΊΡ B2.
ΠΠ΅ Π·Π°Π±ΡΠ΄ΡΡΠ΅ Π²ΠΊΠ»ΡΡΠΈΡΡ Π² ΡΠΎΡΠΌΡΠ»Ρ ΡΠΈΠΌΠ²ΠΎΠ» $ ΠΏΠ΅ΡΠ΅Π΄ C ΠΈ ΠΏΠ΅ΡΠ΅Π΄ 2.ΠΠ΅ΡΠ΅ΡΠ°ΡΠΈΡΠ΅ ΡΠΎΡΠΌΡΠ»Ρ ΠΈΠ· ΡΡΠ΅ΠΉΠΊΠΈ B2 Π² Π΄ΡΡΠ³ΠΈΠ΅ ΡΡΠ΅ΠΉΠΊΠΈ ΡΡΠΎΠ»Π±ΡΠ° B.
ΠΡΠΈΠΌΠ΅ΡΠ°Π½ΠΈΠ΅. ΠΡΠΏΠΎΠ»ΡΠ·ΠΎΠ²Π°Π½ΠΈΠ΅ ΡΠΈΠΌΠ²ΠΎΠ»ΠΎΠ² $ ΡΠΎΠΎΠ±ΡΠ°Π΅Ρ Excel, ΡΡΠΎ ΡΡΡΠ»ΠΊΠ° Π½Π° ΡΡΠ΅ΠΉΠΊΡ C2 ΡΠ²Π»ΡΠ΅ΡΡΡ Β«Π°Π±ΡΠΎΠ»ΡΡΠ½ΠΎΠΉΒ». ΠΡΠΎ ΠΎΠ·Π½Π°ΡΠ°Π΅Ρ, ΡΡΠΎ ΠΏΡΠΈ ΠΊΠΎΠΏΠΈΡΠΎΠ²Π°Π½ΠΈΠΈ ΡΠΎΡΠΌΡΠ»Ρ Π² Π΄ΡΡΠ³ΡΡ ΡΡΠ΅ΠΉΠΊΡ ΡΡΡΠ»ΠΊΠ° Π²ΡΠ΅Π³Π΄Π° Π±ΡΠ΄Π΅Ρ Π½Π° ΡΡΠ΅ΠΉΠΊΡ C2. ΠΡΠ»ΠΈ Π²Ρ Π½Π΅ ΠΈΡΠΏΠΎΠ»ΡΠ·ΠΎΠ²Π°Π»ΠΈ ΡΠΈΠΌΠ²ΠΎΠ»Ρ $ Π² ΡΠΎΡΠΌΡΠ»Π΅ ΠΈ ΠΏΠ΅ΡΠ΅ΡΠ°ΡΠΈΠ»ΠΈ ΡΠΎΡΠΌΡΠ»Ρ Π²Π½ΠΈΠ· Π² ΡΡΠ΅ΠΉΠΊΡ B3, Excel ΠΈΠ·ΠΌΠ΅Π½ΠΈΡ ΡΠΎΡΠΌΡΠ»Ρ Π½Π° =A3/C3, ΡΡΠΎ Π½Π΅ ΡΡΠ°Π±ΠΎΡΠ°Π΅Ρ, ΠΏΠΎΡΠΊΠΎΠ»ΡΠΊΡ Π² ΡΡΠ΅ΠΉΠΊΠ΅ C3 Π½Π΅Ρ Π·Π½Π°ΡΠ΅Π½ΠΈΡ.
ΠΡΠΆΠ½Π° Π΄ΠΎΠΏΠΎΠ»Π½ΠΈΡΠ΅Π»ΡΠ½Π°Ρ ΠΏΠΎΠΌΠΎΡΡ?
ΠΡ Π²ΡΠ΅Π³Π΄Π° ΠΌΠΎΠΆΠ΅ΡΠ΅ ΠΎΠ±ΡΠ°ΡΠΈΡΡΡΡ ΠΊ ΡΠΊΡΠΏΠ΅ΡΡΡ Π² ΡΠ΅Ρ Π½ΠΈΡΠ΅ΡΠΊΠΎΠΌ ΡΠΎΠΎΠ±ΡΠ΅ΡΡΠ²Π΅ ExcelΒ ΠΈΠ»ΠΈ ΠΏΠΎΠ»ΡΡΠΈΡΡ ΠΏΠΎΠ΄Π΄Π΅ΡΠΆΠΊΡ Π² ΡΠΎΠΎΠ±ΡΠ΅ΡΡΠ²Π΅ ΠΎΡΠ²Π΅ΡΠΎΠ².
Π‘ΠΌ. ΡΠ°ΠΊΠΆΠ΅
Π£ΠΌΠ½ΠΎΠΆΠΈΡΡ ΡΡΠΎΠ»Π±Π΅Ρ ΡΠΈΡΠ΅Π» Π½Π° ΠΎΠ΄Π½ΠΎ ΠΈ ΡΠΎ ΠΆΠ΅ ΡΠΈΡΠ»ΠΎ
Π£ΠΌΠ½ΠΎΠΆΠΈΡΡ Π½Π° ΠΏΡΠΎΡΠ΅Π½Ρ
Π‘ΠΎΠ·Π΄Π°ΠΉΡΠ΅ ΡΠ°Π±Π»ΠΈΡΡ ΡΠΌΠ½ΠΎΠΆΠ΅Π½ΠΈΡ
ΠΠΏΠ΅ΡΠ°ΡΠΎΡΡ Π²ΡΡΠΈΡΠ»Π΅Π½ΠΈΡ ΠΈ ΠΏΠΎΡΡΠ΄ΠΎΠΊ ΠΎΠΏΠ΅ΡΠ°ΡΠΈΠΉ
ΠΠ°ΠΊ ΡΠΌΠ½ΠΎΠΆΠ°ΡΡ ΡΡΠ΅ΠΉΠΊΠΈ ΠΈ ΡΠΈΡΠ»Π° Π² Excel Ρ ΠΏΠΎΠΌΠΎΡΡΡ 3 ΠΌΠ΅ΡΠΎΠ΄ΠΎΠ²
Π£ΠΌΠ½ΠΎΠΆΠ΅Π½ΠΈΠ΅ Π·Π½Π°ΡΠ΅Π½ΠΈΠΉ β ΠΎΠ΄Π½Π° ΠΈΠ· Π½Π°ΠΈΠ±ΠΎΠ»Π΅Π΅ ΡΠ°ΡΡΠΎ Π²ΡΠΏΠΎΠ»Π½ΡΠ΅ΠΌΡΡ
ΡΡΠ½ΠΊΡΠΈΠΉ Π² Excel, ΠΏΠΎΡΡΠΎΠΌΡ Π½Π΅ΡΠ΄ΠΈΠ²ΠΈΡΠ΅Π»ΡΠ½ΠΎ, ΡΡΠΎ ΡΡΠΎ ΠΌΠΎΠΆΠ½ΠΎ ΡΠ΄Π΅Π»Π°ΡΡ Π½Π΅ΡΠΊΠΎΠ»ΡΠΊΠΈΠΌΠΈ ΡΠΏΠΎΡΠΎΠ±Π°ΠΌΠΈ.
ΠΡ ΠΌΠΎΠΆΠ΅ΡΠ΅ ΠΈΡΠΏΠΎΠ»ΡΠ·ΠΎΠ²Π°ΡΡ Π»ΡΠ±ΠΎΠΉ ΠΌΠ΅ΡΠΎΠ΄, ΠΊΠΎΡΠΎΡΡΠΉ Π»ΡΡΡΠ΅ Π²ΡΠ΅Π³ΠΎ ΠΏΠΎΠ΄Ρ ΠΎΠ΄ΠΈΡ Π΄Π»Ρ ΡΠΎΠ³ΠΎ, ΡΡΠΎ Π²Ρ ΠΏΡΡΠ°Π΅ΡΠ΅ΡΡ Π²ΡΠΏΠΎΠ»Π½ΠΈΡΡ Π² ΡΠ²ΠΎΠ΅ΠΉ ΡΠ»Π΅ΠΊΡΡΠΎΠ½Π½ΠΎΠΉ ΡΠ°Π±Π»ΠΈΡΠ΅ Π½Π° Mac ΠΈΠ»ΠΈ ΠΠ.
ΠΠΎΡ Π½Π΅ΡΠΊΠΎΠ»ΡΠΊΠΎ ΠΏΡΠΎΡΡΠ΅ΠΉΡΠΈΡ Π²Π°ΡΠΈΠ°Π½ΡΠΎΠ² Π²ΡΠΏΠΎΠ»Π½Π΅Π½ΠΈΡ ΡΠΌΠ½ΠΎΠΆΠ΅Π½ΠΈΡ.
ΠΠ·Π½Π°ΠΊΠΎΠΌΡΡΠ΅ΡΡ Ρ ΠΏΡΠΎΠ΄ΡΠΊΡΠ°ΠΌΠΈ, ΡΠΏΠΎΠΌΡΠ½ΡΡΡΠΌΠΈ Π² ΡΡΠΎΠΉ ΡΡΠ°ΡΡΠ΅:Microsoft Office 365 Home (ΠΎΡ 99,99 Π΄ΠΎΠ»Π»Π°ΡΠΎΠ² Π‘Π¨Π Π² Best Buy)
MacBook Pro (ΠΎΡ 1299,99 Π΄ΠΎΠ»Π»Π°ΡΠΎΠ² Π‘Π¨Π Π² Best Buy)
Lenovo IdeaPad 130 (ΠΎΡ 299 Π΄ΠΎΠ»Π»Π°ΡΠΎΠ² Π‘Π¨Π.99 Π² Best Buy)
ΠΠ°ΠΊ ΡΠΌΠ½ΠΎΠΆΠΈΡΡ Π΄Π²Π° ΡΠΈΡΠ»Π° Π² ExcelΠ‘Π°ΠΌΡΠΉ ΠΏΡΠΎΡΡΠΎΠΉ ΡΠΏΠΎΡΠΎΠ± ΡΠ΄Π΅Π»Π°ΡΡ ΡΡΠΎ β ΡΠΌΠ½ΠΎΠΆΠΈΡΡ ΡΠΈΡΠ»Π° Π² ΠΎΠ΄Π½ΠΎΠΉ ΡΡΠ΅ΠΉΠΊΠ΅ Ρ ΠΏΠΎΠΌΠΎΡΡΡ ΠΏΡΠΎΡΡΠΎΠΉ ΡΠΎΡΠΌΡΠ»Ρ.
ΠΠ°ΠΏΡΠΈΠΌΠ΅Ρ, Π΅ΡΠ»ΠΈ Π²Ρ Π²Π²Π΅Π΄Π΅ΡΠ΅ Β«=2*6Β» Π² ΡΡΠ΅ΠΉΠΊΡ ΠΈ Π½Π°ΠΆΠΌΠ΅ΡΠ΅ Enter Π½Π° ΠΊΠ»Π°Π²ΠΈΠ°ΡΡΡΠ΅, Π²Ρ Π΄ΠΎΠ»ΠΆΠ½Ρ ΡΠ²ΠΈΠ΄Π΅ΡΡ Π² ΡΡΠ΅ΠΉΠΊΠ΅ Β«12Β».
Π‘Π°ΠΌΡΠΉ ΠΏΡΠΎΡΡΠΎΠΉ ΡΠΏΠΎΡΠΎΠ± ΡΠΌΠ½ΠΎΠΆΠΈΡΡ ΡΠΈΡΠ»Π° β ΠΈΡΠΏΠΎΠ»ΡΠ·ΠΎΠ²Π°ΡΡ Π·Π²Π΅Π·Π΄ΠΎΡΠΊΡ.
ΠΡΠΉΠ² ΠΠΆΠΎΠ½ΡΠΎΠ½/Business InsiderΠΡ ΡΠ°ΠΊΠΆΠ΅ ΠΌΠΎΠΆΠ΅ΡΠ΅ ΠΏΠ΅ΡΠ΅ΠΌΠ½ΠΎΠΆΠΈΡΡ Π΄Π²Π΅ ΡΠ°Π·Π½ΡΠ΅ ΡΡΠ΅ΠΉΠΊΠΈ.
1. Π ΡΡΠ΅ΠΉΠΊΠ΅ Π²Π²Π΅Π΄ΠΈΡΠ΅ “=”Β
2. Π©Π΅Π»ΠΊΠ½ΠΈΡΠ΅ ΡΡΠ΅ΠΉΠΊΡ, ΡΠΎΠ΄Π΅ΡΠΆΠ°ΡΡΡ ΠΏΠ΅ΡΠ²ΠΎΠ΅ ΡΠΈΡΠ»ΠΎ, ΠΊΠΎΡΠΎΡΠΎΠ΅ Π½ΡΠΆΠ½ΠΎ ΡΠΌΠ½ΠΎΠΆΠΈΡΡ.
3. ΠΠ²Π΅Π΄ΠΈΡΠ΅ “*”.
4. Π©Π΅Π»ΠΊΠ½ΠΈΡΠ΅ Π²ΡΠΎΡΡΡ ΡΡΠ΅ΠΉΠΊΡ, ΠΊΠΎΡΠΎΡΡΡ Π²Ρ Ρ ΠΎΡΠΈΡΠ΅ ΡΠΌΠ½ΠΎΠΆΠΈΡΡ.
5. ΠΠ°ΠΆΠΌΠΈΡΠ΅ Enter.
ΠΡ ΠΌΠΎΠΆΠ΅ΡΠ΅ ΡΡΡΠ»Π°ΡΡΡΡ Π½Π° ΡΡΠ΅ΠΉΠΊΠΈ Π² ΡΠΎΡΠΌΡΠ»Π΅ ΡΠΌΠ½ΠΎΠΆΠ΅Π½ΠΈΡ, ΡΠ΅Π»ΠΊΠ°Ρ ΠΈΡ . ΠΡΠΉΠ² ΠΠΆΠΎΠ½ΡΠΎΠ½/Business Insider ΠΠ°ΠΊ ΡΠΌΠ½ΠΎΠΆΠ°ΡΡ ΡΡΠ΅ΠΉΠΊΠΈ ΠΈ ΡΠΈΡΠ»Π° Ρ ΠΏΠΎΠΌΠΎΡΡΡ ΡΠΎΡΠΌΡΠ»Ρ ΠΠ ΠΠΠΠΠΠ ΠΡ Π½Π΅ ΠΎΠ³ΡΠ°Π½ΠΈΡΠ΅Π½Ρ ΡΠΌΠ½ΠΎΠΆΠ΅Π½ΠΈΠ΅ΠΌ ΡΠΎΠ»ΡΠΊΠΎ Π΄Π²ΡΡ
ΡΡΠ΅Π΅ΠΊ β Π²Ρ ΠΌΠΎΠΆΠ΅ΡΠ΅ ΡΠΌΠ½ΠΎΠΆΠ°ΡΡ Π΄ΠΎ 255 Π·Π½Π°ΡΠ΅Π½ΠΈΠΉ ΠΎΠ΄Π½ΠΎΠ²ΡΠ΅ΠΌΠ΅Π½Π½ΠΎ, ΠΈΡΠΏΠΎΠ»ΡΠ·ΡΡ ΡΠΎΡΠΌΡΠ»Ρ ΠΠ ΠΠΠΠΠΠ.
ΠΡΠΏΠΎΠ»ΡΠ·ΡΡ ΡΡΡ ΡΠΎΡΠΌΡΠ»Ρ, Π²Ρ ΠΌΠΎΠΆΠ΅ΡΠ΅ ΡΠΌΠ½ΠΎΠΆΠ°ΡΡ ΠΎΡΠ΄Π΅Π»ΡΠ½ΡΠ΅ ΡΡΠ΅ΠΉΠΊΠΈ ΠΈ ΡΠΈΡΠ»Π°, ΡΠ°Π·Π΄Π΅Π»ΡΡ ΠΈΡ Π·Π°ΠΏΡΡΡΠΌΠΈ, ΠΈ ΡΠΌΠ½ΠΎΠΆΠ°ΡΡ ΡΡΠ΄Ρ ΡΡΠ΅Π΅ΠΊ Ρ ΠΏΠΎΠΌΠΎΡΡΡ Π΄Π²ΠΎΠ΅ΡΠΎΡΠΈΡ.
ΠΠ°ΠΏΡΠΈΠΌΠ΅Ρ, Π² ΡΠΎΡΠΌΡΠ»Π΅ Β«=ΠΠ ΠΠΠΠ(A1,A3:A5,B1,10)Β» β Excel ΡΠΌΠ½ΠΎΠΆΠΈΡ (A1 x A3 x A4 x A5 x B1 x 10), ΠΏΠΎΡΠΊΠΎΠ»ΡΠΊΡ A3:A5 ΡΠΊΠ°Π·ΡΠ²Π°Π΅Ρ, ΡΡΠΎ ΡΠ»Π΅Π΄ΡΠ΅Ρ ΡΠΌΠ½ΠΎΠΆΠΈΡΡ A3 , Π4 ΠΈ Π5.
ΠΠΎΠΌΠ½ΠΈΡΠ΅, ΡΡΠΎ ΠΏΠΎΡΡΠ΄ΠΎΠΊ ΡΡΠΈΡ ΡΡΠ΅Π΅ΠΊ ΠΈ ΡΠΈΡΠ΅Π» Π½Π΅ ΠΈΠΌΠ΅Π΅Ρ Π·Π½Π°ΡΠ΅Π½ΠΈΡ ΠΏΡΠΈ ΡΠΌΠ½ΠΎΠΆΠ΅Π½ΠΈΠΈ.
ΠΠ°ΠΊ ΡΠΌΠ½ΠΎΠΆΠΈΡΡ ΡΡΠΎΠ»Π±Π΅Ρ Π·Π½Π°ΡΠ΅Π½ΠΈΠΉ Π½Π° ΠΊΠΎΠ½ΡΡΠ°Π½ΡΡΠΡΠ΅Π΄ΠΏΠΎΠ»ΠΎΠΆΠΈΠΌ, Ρ Π²Π°Ρ Π΅ΡΡΡ ΡΡΠ΄ ΡΠΈΡΠ΅Π» ΠΈ Π²Ρ Ρ ΠΎΡΠΈΡΠ΅ ΡΠΌΠ½ΠΎΠΆΠΈΡΡ ΠΊΠ°ΠΆΠ΄ΠΎΠ΅ ΠΈΠ· Π½ΠΈΡ Π½Π° ΠΎΠ΄Π½ΠΎ ΠΈ ΡΠΎ ΠΆΠ΅ Π·Π½Π°ΡΠ΅Π½ΠΈΠ΅.ΠΡ ΠΌΠΎΠΆΠ΅ΡΠ΅ ΡΠ΄Π΅Π»Π°ΡΡ ΡΡΠΎ, ΠΈΡΠΏΠΎΠ»ΡΠ·ΡΡ Π°Π±ΡΠΎΠ»ΡΡΠ½ΡΡ ΡΡΡΠ»ΠΊΡ Π½Π° ΡΡΠ΅ΠΉΠΊΡ, ΡΠΎΠ΄Π΅ΡΠΆΠ°ΡΡΡ ΠΊΠΎΠ½ΡΡΠ°Π½ΡΡ.
1. ΠΠ°ΡΡΡΠΎΠΉΡΠ΅ ΡΡΠΎΠ»Π±Π΅Ρ ΡΠΈΡΠ΅Π», ΠΊΠΎΡΠΎΡΡΠ΅ Π²Ρ Ρ ΠΎΡΠΈΡΠ΅ ΡΠΌΠ½ΠΎΠΆΠΈΡΡ, Π° Π·Π°ΡΠ΅ΠΌ ΠΏΠΎΠΌΠ΅ΡΡΠΈΡΠ΅ ΠΊΠΎΠ½ΡΡΠ°Π½ΡΡ Π² Π΄ΡΡΠ³ΡΡ ΡΡΠ΅ΠΉΠΊΡ.
2. Π Π½ΠΎΠ²ΠΎΠΉ ΡΡΠ΅ΠΉΠΊΠ΅ Π²Π²Π΅Π΄ΠΈΡΠ΅ “=” ΠΈ ΡΠ΅Π»ΠΊΠ½ΠΈΡΠ΅ ΠΏΠ΅ΡΠ²ΡΡ ΡΡΠ΅ΠΉΠΊΡ, ΠΊΠΎΡΠΎΡΡΡ Π½ΡΠΆΠ½ΠΎ ΡΠΌΠ½ΠΎΠΆΠΈΡΡ.
3 .
ΠΠ²Π΅Π΄ΠΈΡΠ΅ ΠΈΠΌΡ ΡΡΠ΅ΠΉΠΊΠΈ, ΡΠΎΠ΄Π΅ΡΠΆΠ°ΡΠ΅ΠΉ ΠΊΠΎΠ½ΡΡΠ°Π½ΡΡ, Π΄ΠΎΠ±Π°Π²ΠΈΠ² Β«$Β» ΠΏΠ΅ΡΠ΅Π΄ Π±ΡΠΊΠ²ΠΎΠΉ ΠΈ ΡΠΈΡΡΠΎΠΉ. ΠΠ½Π°ΠΊ Π΄ΠΎΠ»Π»Π°ΡΠ° ΠΏΡΠ΅Π²ΡΠ°ΡΠ°Π΅Ρ Π΅Π³ΠΎ Π² Π°Π±ΡΠΎΠ»ΡΡΠ½ΡΡ ΡΡΡΠ»ΠΊΡ, ΠΏΠΎΡΡΠΎΠΌΡ ΠΎΠ½ Π½Π΅ ΠΈΠ·ΠΌΠ΅Π½ΠΈΡΡΡ, Π΅ΡΠ»ΠΈ Π²Ρ ΡΠΊΠΎΠΏΠΈΡΡΠ΅ΡΠ΅ ΠΈ Π²ΡΡΠ°Π²ΠΈΡΠ΅ Π΅Π³ΠΎ Π² ΡΠ»Π΅ΠΊΡΡΠΎΠ½Π½ΡΡ ΡΠ°Π±Π»ΠΈΡΡ.
4. ΠΠ°ΠΆΠΌΠΈΡΠ΅ Enter.
5. Π’Π΅ΠΏΠ΅ΡΡ Π²Ρ ΠΌΠΎΠΆΠ΅ΡΠ΅ ΡΠΊΠΎΠΏΠΈΡΠΎΠ²Π°ΡΡ ΠΈ Π²ΡΡΠ°Π²ΠΈΡΡ ΡΡΠΎ Π² Π΄ΠΎΠΏΠΎΠ»Π½ΠΈΡΠ΅Π»ΡΠ½ΡΠ΅ ΡΡΠ΅ΠΉΠΊΠΈ, ΡΡΠΎΠ±Ρ Π²ΡΠΏΠΎΠ»Π½ΠΈΡΡ ΡΠΌΠ½ΠΎΠΆΠ΅Π½ΠΈΠ΅ Π½Π° Π΄ΡΡΠ³ΠΈΠ΅ ΡΠΈΡΠ»Π°. Π‘Π°ΠΌΡΠΉ ΠΏΡΠΎΡΡΠΎΠΉ ΡΠΏΠΎΡΠΎΠ± ΡΠ΄Π΅Π»Π°ΡΡ ΡΡΠΎ β ΠΏΠ΅ΡΠ΅ΡΠ°ΡΠΈΡΡ ΡΡΠ΅ΠΉΠΊΡ Π·Π° ΠΏΡΠ°Π²ΡΠΉ Π½ΠΈΠΆΠ½ΠΈΠΉ ΡΠ³ΠΎΠ», ΡΡΠΎΠ±Ρ ΡΠΊΠΎΠΏΠΈΡΠΎΠ²Π°ΡΡ Π΅Π΅.
ΠΠΎΠ³Π΄Π° Π²Ρ ΠΊΠΎΠΏΠΈΡΡΠ΅ΡΠ΅ ΡΠΎΡΠΌΡΠ»Ρ Π²Π½ΠΈΠ· ΠΏΠΎ ΡΡΠΎΠ»Π±ΡΡ ΡΠΈΡΠ΅Π», Π²Ρ ΠΌΠΎΠΆΠ΅ΡΠ΅ ΡΠΌΠ½ΠΎΠΆΠ°ΡΡ Π½Π°Π±ΠΎΡ ΡΠΈΡΠ΅Π» Π½Π° Π΄ΡΡΠ³ΠΎΠΉ Π½Π°Π±ΠΎΡ ΠΈΠ»ΠΈ Π½Π° ΠΊΠΎΠ½ΡΡΠ°Π½ΡΡ.
ΠΡΠΉΠ² ΠΠΆΠΎΠ½ΡΠΎΠ½/Business InsiderΠΡΠΉΠ² ΠΠΆΠΎΠ½ΡΠΎΠ½
ΠΠ½Π΅ΡΡΠ°ΡΠ½ΡΠΉ ΠΏΠΈΡΠ°ΡΠ΅Π»Ρ
Π£ΠΌΠ½ΠΎΠΆΠ΅Π½ΠΈΠ΅ Π² ΡΠΎΡΠΌΡΠ»Π΅ Excel β 3 Π»ΡΡΡΠΈΡ ΠΌΠ΅ΡΠΎΠ΄Π° (ΡΠ°Π³ Π·Π° ΡΠ°Π³ΠΎΠΌ)
Π Excel Π½Π΅Ρ Π²ΡΡΡΠΎΠ΅Π½Π½ΠΎΠΉ ΡΠΎΡΠΌΡΠ»Ρ ΡΠΌΠ½ΠΎΠΆΠ΅Π½ΠΈΡ.Π£ΠΌΠ½ΠΎΠΆΠ΅Π½ΠΈΠ΅ Π² Excel Π²ΡΠΏΠΎΠ»Π½ΡΠ΅ΡΡΡ ΠΏΡΡΠ΅ΠΌ Π²Π²ΠΎΠ΄Π° ΠΎΠΏΠ΅ΡΠ°ΡΠΎΡΠ° ΡΡΠ°Π²Π½Π΅Π½ΠΈΡ Β«ΡΠ°Π²Π½ΠΎΒ» (=), Π·Π° ΠΊΠΎΡΠΎΡΡΠΌ ΡΠ»Π΅Π΄ΡΠ΅Ρ ΠΏΠ΅ΡΠ²ΠΎΠ΅ ΡΠΈΡΠ»ΠΎ, Β«Π·Π²Π΅Π·Π΄ΠΎΡΠΊΠ°Β» (*) ΠΈ Π²ΡΠΎΡΠΎΠ΅ ΡΠΈΡΠ»ΠΎ.
Π’Π°ΠΊΠΈΠΌ ΠΎΠ±ΡΠ°Π·ΠΎΠΌ ΠΌΠΎΠΆΠ½ΠΎ Π²ΡΠΏΠΎΠ»Π½ΠΈΡΡ ΠΎΠΏΠ΅ΡΠ°ΡΠΈΡ ΡΠΌΠ½ΠΎΠΆΠ΅Π½ΠΈΡ Π΄Π»Ρ ΡΡΠ΅ΠΉΠΊΠΈ, ΡΡΡΠΎΠΊΠΈ ΠΈΠ»ΠΈ ΡΡΠΎΠ»Π±ΡΠ°. ΠΠ°ΠΏΡΠΈΠΌΠ΅Ρ, ΡΠΎΡΠΌΡΠ»Π° Β«=16*3*2Β» ΡΠΌΠ½ΠΎΠΆΠ°Π΅Ρ ΡΠΈΡΠ»Π° 16, 3 ΠΈ 2. ΠΠ½Π° Π²ΠΎΠ·Π²ΡΠ°ΡΠ°Π΅Ρ 96.
ΠΡΠΈΡΠΌΠ΅ΡΠΈΡΠ΅ΡΠΊΠΈΠΉ ΠΎΠΏΠ΅ΡΠ°ΡΠΎΡ Β«Π·Π²Π΅Π·Π΄ΠΎΡΠΊΠ°Β» (*) ΠΈΠ·Π²Π΅ΡΡΠ΅Π½ ΠΊΠ°ΠΊ ΡΠΈΠΌΠ²ΠΎΠ» ΡΠΌΠ½ΠΎΠΆΠ΅Π½ΠΈΡ. ΠΠ½ ΠΏΠΎΠΌΠ΅ΡΠ°Π΅ΡΡΡ ΠΌΠ΅ΠΆΠ΄Ρ ΡΠΈΡΠ»Π°ΠΌΠΈ, ΠΊΠΎΡΠΎΡΡΠ΅ Π½ΡΠΆΠ½ΠΎ ΡΠΌΠ½ΠΎΠΆΠΈΡΡ.
ΠΡΠΈ ΡΠΌΠ½ΠΎΠΆΠ΅Π½ΠΈΠΈ ΡΠΌΠ½ΠΎΠΆΠ°Π΅ΠΌΠΎΠ΅ ΡΠΈΡΠ»ΠΎ Π½Π°Π·ΡΠ²Π°Π΅ΡΡΡ ΠΌΠ½ΠΎΠΆΠΈΠΌΡΠΌ.Π§ΠΈΡΠ»ΠΎ, Π½Π° ΠΊΠΎΡΠΎΡΠΎΠ΅ ΡΠΌΠ½ΠΎΠΆΠ°Π΅ΡΡΡ ΠΌΠ½ΠΎΠΆΠΈΠΌΠΎΠ΅, Π½Π°Π·ΡΠ²Π°Π΅ΡΡΡ ΠΌΠ½ΠΎΠΆΠΈΡΠ΅Π»Π΅ΠΌ. ΠΠ½ΠΎΠΆΠΈΡΠ΅Π»Ρ ΠΈ ΠΌΠ½ΠΎΠΆΠΈΠΌΠΎΠ΅ ΡΠ°ΠΊΠΆΠ΅ Π½Π°Π·ΡΠ²Π°ΡΡΡΡ ΡΠ°ΠΊΡΠΎΡΠ°ΠΌΠΈ. Π Π΅Π·ΡΠ»ΡΡΠ°Ρ ΠΈΡ ΡΠΌΠ½ΠΎΠΆΠ΅Π½ΠΈΡ ΠΈΠ·Π²Π΅ΡΡΠ΅Π½ ΠΊΠ°ΠΊ ΠΏΡΠΎΠΈΠ·Π²Π΅Π΄Π΅Π½ΠΈΠ΅.
Π Excel ΡΠΌΠ½ΠΎΠΆΠ΅Π½ΠΈΠ΅ ΠΌΠΎΠΆΠ½ΠΎ Π²ΡΠΏΠΎΠ»Π½ΠΈΡΡ ΡΠ»Π΅Π΄ΡΡΡΠΈΠΌΠΈ ΡΠΏΠΎΡΠΎΠ±Π°ΠΌΠΈ:
ΠΡΠΈΠΌΠ΅ΡΠ°Π½ΠΈΠ΅: Π€ΡΠ½ΠΊΡΠΈΡ Π‘Π£ΠΠΠΠ ΠΠΠΠ ΡΠΌΠ½ΠΎΠΆΠ°Π΅Ρ, Π° Π·Π°ΡΠ΅ΠΌ ΡΡΠΌΠΌΠΈΡΡΠ΅Ρ ΠΏΠΎΠ»ΡΡΠ΅Π½Π½ΡΠ΅ ΠΏΡΠΎΠΈΠ·Π²Π΅Π΄Π΅Π½ΠΈΡ.
ΠΠ°ΠΊ ΠΈΡΠΏΠΎΠ»ΡΠ·ΠΎΠ²Π°ΡΡ ΡΠΎΡΠΌΡΠ»Ρ ΡΠΌΠ½ΠΎΠΆΠ΅Π½ΠΈΡ Π² Excel?
ΠΡΠΈΠΌΠ΅Ρ β 1. Π£ΠΌΠ½ΠΎΠΆΠ΅Π½ΠΈΠ΅ ΡΡΠΎΠ»Π±ΡΠΎΠ² Excel Π½Π° Β«Π·Π²Π΅Π·Π΄ΠΎΡΠΊΡΒ»
Π ΡΠ»Π΅Π΄ΡΡΡΠ΅ΠΉ ΡΠ°Π±Π»ΠΈΡΠ΅ ΠΏΠΎΠΊΠ°Π·Π°Π½Ρ Π΄Π²Π° ΡΡΠΎΠ»Π±ΡΠ° Ρ Π½Π°Π·Π²Π°Π½ΠΈΡΠΌΠΈ Β«Π½ΠΎΠΌΠ΅Ρ 1Β» ΠΈ Β«Π½ΠΎΠΌΠ΅Ρ 2Β».ΠΡ Ρ ΠΎΡΠΈΠΌ ΡΠΌΠ½ΠΎΠΆΠΈΡΡ ΡΠΈΡΠ»ΠΎΠ²ΡΠ΅ Π·Π½Π°ΡΠ΅Π½ΠΈΡ ΠΏΠ΅ΡΠ²ΠΎΠ³ΠΎ ΡΡΠΎΠ»Π±ΡΠ° Π½Π° Π²ΡΠΎΡΠΎΠΉ.
Π¨Π°Π³ 1: ΠΠ²Π΅Π΄ΠΈΡΠ΅ ΡΠΎΡΠΌΡΠ»Ρ ΡΠΌΠ½ΠΎΠΆΠ΅Π½ΠΈΡ Π² Excel Β«=A4*B4Β» Π² ΡΡΠ΅ΠΉΠΊΡ C4.
Π¨Π°Π³ 2: ΠΠ°ΠΆΠΌΠΈΡΠ΅ ΠΊΠ»Π°Π²ΠΈΡΡ Β«ΠΠ²ΠΎΠ΄Β». ΠΡΡ ΠΎΠ΄ ΡΠ°Π²Π΅Π½ 49, ΠΊΠ°ΠΊ ΠΏΠΎΠΊΠ°Π·Π°Π½ΠΎ Π½Π° ΡΠ»Π΅Π΄ΡΡΡΠ΅ΠΌ ΠΈΠ·ΠΎΠ±ΡΠ°ΠΆΠ΅Π½ΠΈΠΈ. ΠΠ΅ΡΠ΅ΡΠ°ΡΠΈΡΠ΅ ΠΈΠ»ΠΈ ΡΠΊΠΎΠΏΠΈΡΡΠΉΡΠ΅ ΠΈ Π²ΡΡΠ°Π²ΡΡΠ΅ ΡΠΎΡΠΌΡΠ»Ρ Π² ΠΎΡΡΠ°Π²ΡΠΈΠ΅ΡΡ ΡΡΠ΅ΠΉΠΊΠΈ.
ΠΠ»Ρ ΠΏΡΠΎΡΡΠΎΡΡ ΠΌΡ ΡΠΎΡ ΡΠ°Π½ΠΈΠ»ΠΈ ΡΠΎΡΠΌΡΠ»Ρ Π² ΡΡΠΎΠ»Π±ΡΠ΅ C ΠΈ Π΄Π°Π»ΠΈ ΠΏΡΠΎΠ΄ΡΠΊΡΡ Π² ΡΡΠΎΠ»Π±ΡΠ΅ D.
ΠΡΠΈΠΌΠ΅Ρ β 2. Π£ΠΌΠ½ΠΎΠΆΠ΅Π½ΠΈΠ΅ ΡΡΡΠΎΠΊ Excel Ρ ΠΏΠΎΠΌΠΎΡΡΡ Β«Π·Π²Π΅Π·Π΄ΠΎΡΠΊΠΈΒ»
Π ΡΠ»Π΅Π΄ΡΡΡΠ΅ΠΉ ΡΠ°Π±Π»ΠΈΡΠ΅ ΠΏΠΎΠΊΠ°Π·Π°Π½Ρ Π΄Π²Π΅ ΡΡΡΠΎΠΊΠΈ Ρ Π½Π°Π·Π²Π°Π½ΠΈΡΠΌΠΈ Β«Π½ΠΎΠΌΠ΅Ρ 1Β» ΠΈ Β«Π½ΠΎΠΌΠ΅Ρ 2Β».ΠΡ Ρ ΠΎΡΠΈΠΌ ΡΠΌΠ½ΠΎΠΆΠΈΡΡ ΡΠΈΡΠ»ΠΎΠ²ΡΠ΅ Π·Π½Π°ΡΠ΅Π½ΠΈΡ ΠΏΠ΅ΡΠ²ΠΎΠΉ ΡΡΡΠΎΠΊΠΈ Π½Π° Π²ΡΠΎΡΡΡ.
Π¨Π°Π³ 1: ΠΠ²Π΅Π΄ΠΈΡΠ΅ ΡΠΎΡΠΌΡΠ»Ρ ΡΠΌΠ½ΠΎΠΆΠ΅Π½ΠΈΡ Β«=G3*G4Β» Π² ΡΡΠ΅ΠΉΠΊΡ G5.
Π¨Π°Π³ 2: ΠΠ°ΠΆΠΌΠΈΡΠ΅ ΠΊΠ»Π°Π²ΠΈΡΡ Β«ΠΠ²ΠΎΠ΄Β». Π Π΅Π·ΡΠ»ΡΡΠ°Ρ ΡΠ°Π²Π΅Π½ 540, ΠΊΠ°ΠΊ ΠΏΠΎΠΊΠ°Π·Π°Π½ΠΎ Π½Π° ΡΠ»Π΅Π΄ΡΡΡΠ΅ΠΌ ΠΈΠ·ΠΎΠ±ΡΠ°ΠΆΠ΅Π½ΠΈΠΈ. ΠΠ΅ΡΠ΅ΡΠ°ΡΠΈΡΠ΅ ΠΈΠ»ΠΈ ΡΠΊΠΎΠΏΠΈΡΡΠΉΡΠ΅ ΠΈ Π²ΡΡΠ°Π²ΡΡΠ΅ ΡΠΎΡΠΌΡΠ»Ρ Π² ΠΎΡΡΠ°Π²ΡΠΈΠ΅ΡΡ ΡΡΠ΅ΠΉΠΊΠΈ.
ΠΠ»Ρ ΠΏΡΠΎΡΡΠΎΡΡ ΠΌΡ ΡΠΎΡ ΡΠ°Π½ΠΈΠ»ΠΈ ΡΠΎΡΠΌΡΠ»Ρ Π² ΡΡΡΠΎΠΊΠ΅ 5 ΠΈ Π΄Π°Π»ΠΈ ΠΏΡΠΎΠ΄ΡΠΊΡΡ Π² ΡΡΡΠΎΠΊΠ΅ 6.
ΠΡΠΈΠΌΠ΅Ρ β3. Π£ΠΌΠ½ΠΎΠΆΠ΅Π½ΠΈΠ΅ Ρ ΠΏΠΎΠΌΠΎΡΡΡ ΡΡΠ½ΠΊΡΠΈΠΈ ΠΠ ΠΠΠΠΠΠ
Π€ΡΠ½ΠΊΡΠΈΡ ΠΠ ΠΠΠΠΠΠ ΠΌΠΎΠΆΠ΅Ρ ΠΏΠΎΠ»ΡΡΠΈΡΡ ΡΠΏΠΈΡΠΎΠΊ ΡΠΈΡΠ΅Π» Π² ΠΊΠ°ΡΠ΅ΡΡΠ²Π΅ Π°ΡΠ³ΡΠΌΠ΅Π½ΡΠΎΠ² Π΄Π»Ρ ΡΠΌΠ½ΠΎΠΆΠ΅Π½ΠΈΡ.
Π Π°Π±ΠΎΡΠ°Ρ Ρ Π΄Π°Π½Π½ΡΠΌΠΈ ΠΏΡΠΈΠΌΠ΅ΡΠ° β1, ΠΌΡ Ρ ΠΎΡΠΈΠΌ ΠΏΠ΅ΡΠ΅ΠΌΠ½ΠΎΠΆΠΈΡΡ ΡΠΈΡΠ»ΠΎΠ²ΡΠ΅ Π·Π½Π°ΡΠ΅Π½ΠΈΡ Π΄Π²ΡΡ ΡΡΠΎΠ»Π±ΡΠΎΠ² Ρ ΠΏΠΎΠΌΠΎΡΡΡ ΡΡΠ½ΠΊΡΠΈΠΈ ΠΠ ΠΠΠΠΠΠ.
Π¨Π°Π³ 1: ΠΠ²Π΅Π΄ΠΈΡΠ΅ ΡΠΎΡΠΌΡΠ»Ρ Β«=ΠΠ ΠΠΠΠΠΠ (A26,B26)Β» Π² ΡΡΠ΅ΠΉΠΊΡ C26.
Π¨Π°Π³ 2: ΠΠ°ΠΆΠΌΠΈΡΠ΅ ΠΊΠ»Π°Π²ΠΈΡΡ Β«ΠΠ²ΠΎΠ΄Β». ΠΡΡ ΠΎΠ΄ ΡΠ°Π²Π΅Π½ 49, ΠΊΠ°ΠΊ ΠΏΠΎΠΊΠ°Π·Π°Π½ΠΎ Π½Π° ΡΠ»Π΅Π΄ΡΡΡΠ΅ΠΌ ΠΈΠ·ΠΎΠ±ΡΠ°ΠΆΠ΅Π½ΠΈΠΈ. ΠΠ΅ΡΠ΅ΡΠ°ΡΠΈΡΠ΅ ΠΈΠ»ΠΈ ΡΠΊΠΎΠΏΠΈΡΡΠΉΡΠ΅ ΠΈ Π²ΡΡΠ°Π²ΡΡΠ΅ ΡΠΎΡΠΌΡΠ»Ρ Π² ΠΎΡΡΠ°Π²ΡΠΈΠ΅ΡΡ ΡΡΠ΅ΠΉΠΊΠΈ.
ΠΠ»Ρ ΠΏΡΠΎΡΡΠΎΡΡ ΠΌΡ ΡΠΎΡ ΡΠ°Π½ΠΈΠ»ΠΈ ΡΠΎΡΠΌΡΠ»Ρ Π² ΡΡΠΎΠ»Π±ΡΠ΅ C ΠΈ Π΄Π°Π»ΠΈ ΠΏΡΠΎΠ΄ΡΠΊΡΡ Π² ΡΡΠΎΠ»Π±ΡΠ΅ D.
ΠΡΠΈΠΌΠ΅Ρ β 4. Π£ΠΌΠ½ΠΎΠΆΠ΅Π½ΠΈΠ΅ ΠΈ ΡΡΠΌΠΌΠΈΡΠΎΠ²Π°Π½ΠΈΠ΅ Ρ ΠΏΠΎΠΌΠΎΡΡΡ ΡΡΠ½ΠΊΡΠΈΠΈ Π‘Π£ΠΠΠΠ ΠΠΠΠ
Π‘ ΠΏΠΎΠΌΠΎΡΡΡ ΡΡΠ½ΠΊΡΠΈΠΈ Π‘Π£ΠΠΠΠ ΠΠΠΠ ΡΠΈΡΠ»Π° Π΄Π²ΡΡ ΡΡΠΎΠ»Π±ΡΠΎΠ² ΠΈΠ»ΠΈ ΡΡΡΠΎΠΊ ΠΏΠ΅ΡΠ΅ΠΌΠ½ΠΎΠΆΠ°ΡΡΡΡ, Π° ΠΏΠΎΠ»ΡΡΠ΅Π½Π½ΡΠ΅ ΠΏΡΠΎΠΈΠ·Π²Π΅Π΄Π΅Π½ΠΈΡ ΡΡΠΌΠΌΠΈΡΡΡΡΡΡ.
Π ΡΠ»Π΅Π΄ΡΡΡΠ΅ΠΉ ΡΠ°Π±Π»ΠΈΡΠ΅ ΠΏΠΎΠΊΠ°Π·Π°Π½Ρ ΡΠ΅Π½Ρ (Π² Π΄ΠΎΠ»Π»Π°ΡΠ°Ρ Π·Π° Π΅Π΄ΠΈΠ½ΠΈΡΡ) ΠΈ ΠΊΠΎΠ»ΠΈΡΠ΅ΡΡΠ²ΠΎ ΠΏΡΠΎΠ΄Π°Π½Π½ΡΡ 20 Π½Π°ΠΈΠΌΠ΅Π½ΠΎΠ²Π°Π½ΠΈΠΉ. ΠΡ Ρ ΠΎΡΠΈΠΌ ΡΠ°ΡΡΡΠΈΡΠ°ΡΡ ΠΎΠ±ΡΠΈΠΉ Π΄ΠΎΡ ΠΎΠ΄ ΠΎΡ ΠΏΡΠΎΠ΄Π°ΠΆ, ΠΏΠΎΠ»ΡΡΠ΅Π½Π½ΡΠΉ ΠΎΡΠ³Π°Π½ΠΈΠ·Π°ΡΠΈΠ΅ΠΉ.
Π¨Π°Π³ 1: ΠΠ²Π΅Π΄ΠΈΡΠ΅ ΡΠΎΡΠΌΡΠ»Ρ Β«=Π‘Π£ΠΠΠΠ ΠΠΠΠ (G15:G34,h25:h44)Β».
ΠΠ»Ρ ΡΠ°ΡΡΠ΅ΡΠ° Π²ΡΡΡΡΠΊΠΈ ΠΎΡ ΠΏΡΠΎΠ΄Π°ΠΆ ΡΠ΅Π½Ρ ΡΠΌΠ½ΠΎΠΆΠ°ΡΡΡΡ Π½Π° ΠΏΡΠΎΠ΄Π°Π½Π½ΠΎΠ΅ ΠΊΠΎΠ»ΠΈΡΠ΅ΡΡΠ²ΠΎ.
ΠΠΎΡΠ»Π΅ ΡΡΠΎΠ³ΠΎ ΠΏΠΎΠ»ΡΡΠ΅Π½Π½ΡΠ΅ ΠΏΡΠΎΠ΄ΡΠΊΡΡ Π΄ΠΎΠ±Π°Π²Π»ΡΡΡΡΡ ΠΏΠΎ Π·Π°Π΄Π°Π½Π½ΠΎΠΉ ΡΠΎΡΠΌΡΠ»Π΅.
Π¨Π°Π³ 2: ΠΠ°ΠΆΠΌΠΈΡΠ΅ ΠΊΠ»Π°Π²ΠΈΡΡ Β«ΠΠ²ΠΎΠ΄Β». ΠΡΡ ΠΎΠ΄ ΡΠΎΡΡΠ°Π²Π»ΡΠ΅Ρ 20 338 Π΄ΠΎΠ»Π»Π°ΡΠΎΠ².
ΠΠ»Ρ ΠΏΡΠΎΡΡΠΎΡΡ ΠΌΡ ΡΠΎΡ ΡΠ°Π½ΠΈΠ»ΠΈ ΡΠΎΡΠΌΡΠ»Ρ Π² ΡΡΠ΅ΠΉΠΊΠ΅ G35 ΠΈ Π΄Π°Π»ΠΈ ΡΠ΅Π·ΡΠ»ΡΡΠ°Ρ Π² ΡΡΠ΅ΠΉΠΊΠ΅ h45.
ΠΡΠΈΠΌΠ΅Ρ β 5. Π£ΠΌΠ½ΠΎΠΆΠ΅Π½ΠΈΠ΅ Π½Π° ΠΏΡΠΎΡΠ΅Π½ΡΡ
Π ΡΠ»Π΅Π΄ΡΡΡΠ΅ΠΉ ΡΠ°Π±Π»ΠΈΡΠ΅ ΠΏΠΎΠΊΠ°Π·Π°Π½ΠΎ ΡΠΈΡΠ»ΠΎ Π² ΡΡΠΎΠ»Π±ΡΠ΅ A. ΠΡ Ρ ΠΎΡΠΈΠΌ ΡΠΌΠ½ΠΎΠΆΠΈΡΡ Π΅Π³ΠΎ Π½Π° 5%.
Π¨Π°Π³ 1: ΠΠ²Π΅Π΄ΠΈΡΠ΅ Π»ΡΠ±ΡΡ ΠΈΠ· ΡΠ»Π΅Π΄ΡΡΡΠΈΡ ΡΡΠ΅Ρ ΡΠΎΡΠΌΡΠ»:
- Β«=50*5%Β»
- Β«=A15*0.05β
- β=A15*5%β
Π¨Π°Π³ 2: ΠΠ°ΠΆΠΌΠΈΡΠ΅ ΠΊΠ»Π°Π²ΠΈΡΡ Β«ΠΠ²ΠΎΠ΄Β». ΠΡΡ ΠΎΠ΄ ΡΠ°Π²Π΅Π½ 2,5 ΠΏΠΎ Π²ΡΠ΅ΠΌ ΡΡΠ΅ΠΌ ΡΠΎΡΠΌΡΠ»Π°ΠΌ. ΠΡΠΎ ΠΏΠΎΠΊΠ°Π·Π°Π½ΠΎ Π½Π° ΡΠ»Π΅Π΄ΡΡΡΠ΅ΠΌ ΠΈΠ·ΠΎΠ±ΡΠ°ΠΆΠ΅Π½ΠΈΠΈ.
ΠΠ»Ρ ΠΏΡΠΎΡΡΠΎΡΡ ΠΌΡ ΡΠΎΡ ΡΠ°Π½ΠΈΠ»ΠΈ ΡΠΎΡΠΌΡΠ»Ρ Π² ΡΡΠΎΠ»Π±ΡΠ΅ B ΠΈ Π΄Π°Π»ΠΈ ΡΠ΅Π·ΡΠ»ΡΡΠ°ΡΡ Π² ΡΡΠΎΠ»Π±ΡΠ΅ C.
Π§Π°ΡΡΠΎ Π·Π°Π΄Π°Π²Π°Π΅ΠΌΡΠ΅ Π²ΠΎΠΏΡΠΎΡΡ 1. Π§ΡΠΎ ΡΠ°ΠΊΠΎΠ΅ ΡΠΎΡΠΌΡΠ»Π° ΡΠΌΠ½ΠΎΠΆΠ΅Π½ΠΈΡ ΠΈ ΠΊΠ°ΠΊ ΡΠΌΠ½ΠΎΠΆΠ°ΡΡ Π² Excel? Π Excel Π½Π΅Ρ ΡΠ½ΠΈΠ²Π΅ΡΡΠ°Π»ΡΠ½ΠΎΠΉ ΡΠΎΡΠΌΡΠ»Ρ ΡΠΌΠ½ΠΎΠΆΠ΅Π½ΠΈΡ. ΠΠ΄Π½Π°ΠΊΠΎ Excel ΡΠΏΡΠΎΡΠ°Π΅Ρ ΡΠΌΠ½ΠΎΠΆΠ΅Π½ΠΈΠ΅ Ρ ΠΏΠΎΠΌΠΎΡΡΡ Β«Π·Π²Π΅Π·Π΄ΠΎΡΠΊΠΈΒ» (*) ΠΈ ΡΡΠ½ΠΊΡΠΈΠΈ ΠΠ ΠΠΠΠΠΠ.
Π€ΠΎΡΠΌΡΠ»Π° ΡΠΎ Π·Π²Π΅Π·Π΄ΠΎΡΠΊΠΎΠΉ Π²ΡΠ³Π»ΡΠ΄ΠΈΡ ΡΠ»Π΅Π΄ΡΡΡΠΈΠΌ ΠΎΠ±ΡΠ°Π·ΠΎΠΌ:
Β«=ΡΠΈΡΠ»ΠΎ 1*ΡΠΈΡΠ»ΠΎ 2Β»
ΠΡΠΎ ΠΏΡΠΎΡΡΠ΅ΠΉΡΠΈΠΉ ΠΏΠΎΠ΄Ρ ΠΎΠ΄ ΠΊ ΡΠΌΠ½ΠΎΠΆΠ΅Π½ΠΈΡ, ΠΊΠΎΡΠΎΡΡΠΉ ΠΏΠΎΠΌΠΎΠ³Π°Π΅Ρ ΡΠΌΠ½ΠΎΠΆΠ°ΡΡ ΡΠΈΡΠ»Π°, ΡΡΡΠ»ΠΊΠΈ Π½Π° ΡΡΠ΅ΠΉΠΊΠΈ, ΡΡΡΠΎΠΊΠΈ ΠΈ ΡΡΠΎΠ»Π±ΡΡ.
Π‘ΠΈΠ½ΡΠ°ΠΊΡΠΈΡ ΠΈΡΠΏΠΎΠ»ΡΠ·ΠΎΠ²Π°Π½ΠΈΡ ΡΡΠ½ΠΊΡΠΈΠΈ ΠΠ ΠΠΠΠΠΠ Π²ΡΠ³Π»ΡΠ΄ΠΈΡ ΡΠ»Π΅Π΄ΡΡΡΠΈΠΌ ΠΎΠ±ΡΠ°Π·ΠΎΠΌ:
Β«=ΠΠ ΠΠΠΠ(ΡΠΈΡΠ»ΠΎ1,[ΡΠΈΡΠ»ΠΎ2], β¦)Β»
ΠΡΠ³ΡΠΌΠ΅Π½ΡΡ Β«ΡΠΈΡΠ»ΠΎ1Β» ΠΈ Β«ΡΠΈΡΠ»ΠΎ2Β» ΠΌΠΎΠ³ΡΡ Π±ΡΡΡ ΠΏΡΠ΅Π΄ΡΡΠ°Π²Π»Π΅Π½Ρ Π² Π²ΠΈΠ΄Π΅ ΡΠΈΡΠ΅Π», ΡΡΠ΅Π΅ΠΊ ΡΡΡΠ»ΠΊΠΈ ΠΈΠ»ΠΈ Π΄ΠΈΠ°ΠΏΠ°Π·ΠΎΠ½Ρ. Π’ΡΠ΅Π±ΡΠ΅ΡΡΡ ΡΠΎΠ»ΡΠΊΠΎ Π°ΡΠ³ΡΠΌΠ΅Π½Ρ Β«ΡΠΈΡΠ»ΠΎ1Β».
Π¨Π°Π³ΠΈ Π΄Π»Ρ ΡΠΌΠ½ΠΎΠΆΠ΅Π½ΠΈΡ Π² Excel ΠΏΠ΅ΡΠ΅ΡΠΈΡΠ»Π΅Π½Ρ Π½ΠΈΠΆΠ΅:
β’ ΠΠ²Π΅Π΄ΠΈΡΠ΅ ΠΎΠΏΠ΅ΡΠ°ΡΠΎΡ ΡΡΠ°Π²Π½Π΅Π½ΠΈΡ Β«ΡΠ°Π²Π½ΠΎΒ» (=).
β’ ΠΠ²Π΅Π΄ΠΈΡΠ΅ ΡΠΎΡΠΌΡΠ»Ρ ΡΠΌΠ½ΠΎΠΆΠ΅Π½ΠΈΡ.
β’ ΠΠ°ΠΆΠΌΠΈΡΠ΅ ΠΊΠ»Π°Π²ΠΈΡΡ Β«ΠΠ²ΠΎΠ΄Β», ΡΡΠΎΠ±Ρ ΠΏΠΎΠ»ΡΡΠΈΡΡ ΡΠ΅Π·ΡΠ»ΡΡΠ°Ρ.
ΠΡΠΈΠΌΠ΅ΡΠ°Π½ΠΈΠ΅: Π€ΡΠ½ΠΊΡΠΈΡ ΠΠ ΠΠΠΠΠΠ ΠΌΠΎΠΆΠ΅Ρ ΠΈΠΌΠ΅ΡΡ Π΄ΠΎ 255 Π°ΡΠ³ΡΠΌΠ΅Π½ΡΠΎΠ².
2. ΠΠ°ΠΊ ΡΠΌΠ½ΠΎΠΆΠΈΡΡ Π² Excel Π±Π΅Π· ΠΈΡΠΏΠΎΠ»ΡΠ·ΠΎΠ²Π°Π½ΠΈΡ ΡΠΎΡΠΌΡΠ»Ρ?Π£ΠΌΠ½ΠΎΠΆΠΈΠΌ ΡΠΈΡΠ»Π° 4, 15, 23 ΠΈ 54 (Π² Π΄ΠΈΠ°ΠΏΠ°Π·ΠΎΠ½Π΅ A2:A5) Π½Π° ΠΊΠΎΠ½ΡΡΠ°Π½ΡΡ 2 (Π² ΡΡΠ΅ΠΉΠΊΠ΅ B2) Π±Π΅Π· ΠΈΡΠΏΠΎΠ»ΡΠ·ΠΎΠ²Π°Π½ΠΈΡ ΡΠΎΡΠΌΡΠ»Ρ.
Π¨Π°Π³ΠΈ Π΄Π»Ρ ΡΠΌΠ½ΠΎΠΆΠ΅Π½ΠΈΡ Π² Excel Ρ ΠΏΠΎΠΌΠΎΡΡΡ Β«ΡΠΏΠ΅ΡΠΈΠ°Π»ΡΠ½ΠΎΠΉ Π²ΡΡΠ°Π²ΠΊΠΈΒ» ΠΏΠ΅ΡΠ΅ΡΠΈΡΠ»Π΅Π½Ρ Π½ΠΈΠΆΠ΅:
β’ ΠΡΠ±Π΅ΡΠΈΡΠ΅ ΡΡΠ΅ΠΉΠΊΡ B2 ΠΈ Π½Π°ΠΆΠΌΠΈΡΠ΅ ΠΊΠ»Π°Π²ΠΈΡΠΈ Β«Ctrl+CΒ», ΡΡΠΎΠ±Ρ ΡΠΊΠΎΠΏΠΈΡΠΎΠ²Π°ΡΡ Π΅Π΅.
β’ ΠΡΠ±Π΅ΡΠΈΡΠ΅ Π΄ΠΈΠ°ΠΏΠ°Π·ΠΎΠ½ A2:A5, ΠΊΠΎΡΠΎΡΡΠΉ Π½Π΅ΠΎΠ±Ρ
ΠΎΠ΄ΠΈΠΌΠΎ ΡΠΌΠ½ΠΎΠΆΠΈΡΡ.
β’ Π©Π΅Π»ΠΊΠ½ΠΈΡΠ΅ ΠΏΡΠ°Π²ΠΎΠΉ ΠΊΠ½ΠΎΠΏΠΊΠΎΠΉ ΠΌΡΡΠΈ Π²ΡΠ±ΡΠ°Π½Π½ΡΠΉ Π΄ΠΈΠ°ΠΏΠ°Π·ΠΎΠ½ ΠΈ Π²ΡΠ±Π΅ΡΠΈΡΠ΅ Β«Π‘ΠΏΠ΅ΡΠΈΠ°Π»ΡΠ½Π°Ρ Π²ΡΡΠ°Π²ΠΊΠ°Β».
β’ Π ΠΎΠΊΠ½Π΅ Β«Π‘ΠΏΠ΅ΡΠΈΠ°Π»ΡΠ½Π°Ρ Π²ΡΡΠ°Π²ΠΊΠ°Β» Π²ΡΠ±Π΅ΡΠΈΡΠ΅ Β«Π£ΠΌΠ½ΠΎΠΆΠ΅Π½ΠΈΠ΅Β» Π² ΡΠ°Π·Π΄Π΅Π»Π΅ Β«ΠΠΏΠ΅ΡΠ°ΡΠΈΡΒ».
β’ ΠΠ°ΠΆΠΌΠΈΡΠ΅ Β«ΠΠΒ».
ΠΡΡ
ΠΎΠ΄Ρ 8, 30, 46 ΠΈ 108 ΠΏΠΎΠ»ΡΡΠ΅Π½Ρ Π² Π΄ΠΈΠ°ΠΏΠ°Π·ΠΎΠ½Π΅ A2:A5.
ΠΡΠΈΠΌΠ΅ΡΠ°Π½ΠΈΠ΅: ΠΡΠ»ΠΈ Π²Ρ Π½Π΅ Ρ ΠΎΡΠΈΡΠ΅, ΡΡΠΎΠ±Ρ Π΄ΠΈΠ°ΠΏΠ°Π·ΠΎΠ½ A2:A5 Π·Π°ΠΌΠ΅ΡΠ°Π»ΡΡ Π½ΠΎΠ²ΡΠΌΠΈ Π·Π½Π°ΡΠ΅Π½ΠΈΡΠΌΠΈ, ΡΠΊΠΎΠΏΠΈΡΡΠΉΡΠ΅ ΠΈ Π²ΡΡΠ°Π²ΡΡΠ΅ Π½ΠΎΠΌΠ΅ΡΠ° ΡΡΠΎΠ³ΠΎ Π΄ΠΈΠ°ΠΏΠ°Π·ΠΎΠ½Π° Π² ΠΎΡΠ΄Π΅Π»ΡΠ½ΡΠΉ ΡΡΠΎΠ»Π±Π΅Ρ.ΠΡΠΎ Π΄ΠΎΠ»ΠΆΠ½ΠΎ Π±ΡΡΡ ΡΠ΄Π΅Π»Π°Π½ΠΎ Π² Π½Π°ΡΠ°Π»Π΅ ΡΠΏΠΎΠΌΡΠ½ΡΡΠΎΠΉ ΠΏΡΠΎΡΠ΅Π΄ΡΡΡ.
3. ΠΠ°ΠΊ ΡΠΌΠ½ΠΎΠΆΠΈΡΡ Π΄Π²Π° ΡΡΠΎΠ»Π±ΡΠ° Π² Excel?Π£ΠΌΠ½ΠΎΠΆΠΈΠΌ ΡΡΠΎΠ»Π±Π΅Ρ A, ΡΠΎΡΡΠΎΡΡΠΈΠΉ ΠΈΠ· 5, 18, 26 ΠΈ 44 (Π² Π΄ΠΈΠ°ΠΏΠ°Π·ΠΎΠ½Π΅ A2:A5), Π½Π° ΡΡΠΎΠ»Π±Π΅Ρ B, ΡΠΎΡΡΠΎΡΡΠΈΠΉ ΠΈΠ· 6, 4, 9 ΠΈ 2 (Π² Π΄ΠΈΠ°ΠΏΠ°Π·ΠΎΠ½Π΅ B2:B5).
Π¨Π°Π³ΠΈ Π΄Π»Ρ ΡΠΌΠ½ΠΎΠΆΠ΅Π½ΠΈΡ Π΄Π²ΡΡ ΡΡΠΎΠ»Π±ΡΠΎΠ² Π² Excel Ρ ΠΈΡΠΏΠΎΠ»ΡΠ·ΠΎΠ²Π°Π½ΠΈΠ΅ΠΌ ΡΠΈΠΌΠ²ΠΎΠ»Π° ΡΠΌΠ½ΠΎΠΆΠ΅Π½ΠΈΡ ΠΈΠ»ΠΈ ΡΠΎΡΠΌΡΠ»Ρ ΠΠ ΠΠΠΠΠΠ ΠΏΠ΅ΡΠ΅ΡΠΈΡΠ»Π΅Π½Ρ Π½ΠΈΠΆΠ΅:
β’ ΠΠ²Π΅Π΄ΠΈΡΠ΅ ΡΠΎΡΠΌΡΠ»Ρ Β«=A2*B2Β» ΠΈΠ»ΠΈ Β«=ΠΠ ΠΠΠΠ(A2,B2)Β» Π² ΡΡΠ΅ΠΉΠΊΠ΅ C2. .
β’ ΠΠ°ΠΆΠΌΠΈΡΠ΅ ΠΊΠ»Π°Π²ΠΈΡΡ Β«ΠΠ²ΠΎΠ΄Β».Π Π΅Π·ΡΠ»ΡΡΠ°Ρ 30 ΠΏΠΎΡΠ²ΠΈΡΡΡ Π² ΡΡΠ΅ΠΉΠΊΠ΅ C2.
β’ ΠΠ΅ΡΠ΅ΡΠ°ΡΠΈΡΠ΅ ΠΈΠ»ΠΈ ΡΠΊΠΎΠΏΠΈΡΡΠΉΡΠ΅ ΠΈ Π²ΡΡΠ°Π²ΡΡΠ΅ ΡΠΎΡΠΌΡΠ»Ρ Π² ΠΎΡΡΠ°Π»ΡΠ½ΡΠ΅ ΡΡΠ΅ΠΉΠΊΠΈ.
ΠΡΡ ΠΎΠ΄Ρ 30, 72, 234 ΠΈ 88 ΠΏΠΎΠ»ΡΡΠ΅Π½Ρ Π² Π΄ΠΈΠ°ΠΏΠ°Π·ΠΎΠ½Π΅ C2:C5.
ΠΡΠΈΠΌΠ΅ΡΠ°Π½ΠΈΠ΅: ΠΠΎΡΠΊΠΎΠ»ΡΠΊΡ ΠΈΡΠΏΠΎΠ»ΡΠ·ΡΡΡΡΡ ΠΎΡΠ½ΠΎΡΠΈΡΠ΅Π»ΡΠ½ΡΠ΅ ΡΡΡΠ»ΠΊΠΈ, ΡΡΡΠ»ΠΊΠ° Π½Π° ΡΡΠ΅ΠΉΠΊΡ ΠΈΠ·ΠΌΠ΅Π½ΡΠ΅ΡΡΡ ΠΏΡΠΈ ΠΊΠΎΠΏΠΈΡΠΎΠ²Π°Π½ΠΈΠΈ ΡΠΎΡΠΌΡΠ»Ρ.
Π¨Π°Π³ΠΈ Π΄Π»Ρ ΡΠΌΠ½ΠΎΠΆΠ΅Π½ΠΈΡ Π΄Π²ΡΡ
ΡΡΠΎΠ»Π±ΡΠΎΠ² Excel Ρ ΠΈΡΠΏΠΎΠ»ΡΠ·ΠΎΠ²Π°Π½ΠΈΠ΅ΠΌ ΡΠΎΡΠΌΡΠ»Ρ ΠΌΠ°ΡΡΠΈΠ²Π° ΠΏΠ΅ΡΠ΅ΡΠΈΡΠ»Π΅Π½Ρ Π½ΠΈΠΆΠ΅:
β’ ΠΡΠ±Π΅ΡΠΈΡΠ΅ Π²Π΅ΡΡ Π΄ΠΈΠ°ΠΏΠ°Π·ΠΎΠ½ C2:C5, Π³Π΄Π΅ Π²Ρ Ρ
ΠΎΡΠΈΡΠ΅ ΠΏΠΎΠ»ΡΡΠΈΡΡ ΡΠ΅Π·ΡΠ»ΡΡΠ°Ρ.
β’ ΠΠ²Π΅Π΄ΠΈΡΠ΅ ΡΠΎΡΠΌΡΠ»Ρ Β«=A2:A5*B2:B5Β» Π² Π²ΡΠ±ΡΠ°Π½Π½ΠΎΠΌ Π΄ΠΈΠ°ΠΏΠ°Π·ΠΎΠ½Π΅.
β’ ΠΠ°ΠΆΠΌΠΈΡΠ΅ ΠΎΠ΄Π½ΠΎΠ²ΡΠ΅ΠΌΠ΅Π½Π½ΠΎ ΠΊΠ»Π°Π²ΠΈΡΠΈ Β«Ctrl+Shift+EnterΒ». Π€ΠΈΠ³ΡΡΠ½ΡΠ΅ ΡΠΊΠΎΠ±ΠΊΠΈ {} ΠΏΠΎΡΠ²Π»ΡΡΡΡΡ Π² ΡΡΡΠΎΠΊΠ΅ ΡΠΎΡΠΌΡΠ».
ΠΡΡ ΠΎΠ΄Ρ 30, 72, 234 ΠΈ 88 ΠΏΠΎΠ»ΡΡΠ΅Π½Ρ Π² Π΄ΠΈΠ°ΠΏΠ°Π·ΠΎΠ½Π΅ C2:C5.
Π Π΅ΠΊΠΎΠΌΠ΅Π½Π΄ΡΠ΅ΠΌΡΠ΅ ΡΡΠ°ΡΡΠΈ
ΠΡΠΎ ΡΡΠΊΠΎΠ²ΠΎΠ΄ΡΡΠ²ΠΎ ΠΏΠΎ ΡΠΎΡΠΌΡΠ»Π΅ ΡΠΌΠ½ΠΎΠΆΠ΅Π½ΠΈΡ Π² Excel. ΠΠ΄Π΅ΡΡ ΠΌΡ ΠΎΠ±ΡΡΠ΄ΠΈΠΌ, ΠΊΠ°ΠΊ ΡΠΌΠ½ΠΎΠΆΠ°ΡΡ ΡΠΈΡΠ»Π°, ΡΡΡΠΎΠΊΠΈ, ΡΡΠΎΠ»Π±ΡΡ ΠΈ ΠΏΡΠΎΡΠ΅Π½ΡΡ Π² Excel. ΠΡ ΡΠ°ΠΊΠΆΠ΅ ΠΎΠ±ΡΡΠ΄ΠΈΠ»ΠΈ ΠΈΡΠΏΠΎΠ»ΡΠ·ΠΎΠ²Π°Π½ΠΈΠ΅ ΡΡΠ½ΠΊΡΠΈΠΉ ΠΠ ΠΠΠΠΠΠ ΠΈ Π‘Π£ΠΠΠΠ ΠΠΠΠ Π² Excel. ΠΡ ΠΌΠΎΠΆΠ΅ΡΠ΅ ΡΠ·Π½Π°ΡΡ Π±ΠΎΠ»ΡΡΠ΅ ΠΎΠ± Excel ΠΈΠ· ΡΠ»Π΅Π΄ΡΡΡΠΈΡ ΡΡΠ°ΡΠ΅ΠΉ:
ΠΡΠ΅ Π² ΠΎΠ΄Π½ΠΎΠΌ ΠΏΠ°ΠΊΠ΅ΡΠ΅ Excel VBA (ΠΊΡΡΡΡ 35 Ρ ΠΏΡΠΎΠ΅ΠΊΡΠ°ΠΌΠΈ)- 35+ ΠΊΡΡΡΠΎΠ²
- 120+ ΡΠ°ΡΠΎΠ²
- ΠΠΎΠ»Π½ΡΠΉ ΠΏΠΎΠΆΠΈΠ·Π½Π΅Π½Π½ΡΠΉ Π΄ΠΎΡΡΡΠΏ
- Π‘Π΅ΡΡΠΈΡΠΈΠΊΠ°Ρ ΠΎΠ± ΠΎΠΊΠΎΠ½ΡΠ°Π½ΠΈΠΈ
ΠΠ°ΠΊ ΡΠΌΠ½ΠΎΠΆΠ°ΡΡ Π² Google Π’Π°Π±Π»ΠΈΡΠ°Ρ (ΡΠΈΡΠ»Π°, ΡΡΠ΅ΠΉΠΊΠΈ ΠΈΠ»ΠΈ ΡΡΠΎΠ»Π±ΡΡ)
ΠΠΎΠ»ΡΡΠΈΠ½ΡΡΠ²ΠΎ Π»ΡΠ΄Π΅ΠΉ ΠΈΡΠΏΠΎΠ»ΡΠ·ΡΡΡ Google Π’Π°Π±Π»ΠΈΡΡ Π΄Π»Ρ Π΄Π²ΡΡ
ΠΎΡΠ½ΠΎΠ²Π½ΡΡ
ΡΠ΅Π»Π΅ΠΉ β ΡΠΎΠ·Π΄Π°Π½ΠΈΡ Π±Π°Π·Ρ Π΄Π°Π½Π½ΡΡ
Π·Π°ΠΏΠΈΡΠ΅ΠΉ ΠΈΠ»ΠΈ Π²ΡΠΏΠΎΠ»Π½Π΅Π½ΠΈΡ ΠΏΡΠΎΡΡΡΡ
Π²ΡΡΠΈΡΠ»Π΅Π½ΠΈΠΉ, ΡΠ°ΠΊΠΈΡ
ΠΊΠ°ΠΊ ΡΠΌΠ½ΠΎΠΆΠ΅Π½ΠΈΠ΅ ΡΡΠ΅Π΅ΠΊ ΠΈΠ»ΠΈ ΡΡΠΎΠ»Π±ΡΠΎΠ².
Π‘ΡΡΠ΅ΡΡΠ²ΡΠ΅Ρ ΠΌΠ½ΠΎΠΆΠ΅ΡΡΠ²ΠΎ ΡΠΏΠΎΡΠΎΠ±ΠΎΠ² ΡΠΌΠ½ΠΎΠΆΠ΅Π½ΠΈΡ ΡΡΠΎΠ»Π±ΡΠΎΠ² (ΠΈΠ»ΠΈ ΡΡΠ΅Π΅ΠΊ, ΠΈΠ»ΠΈ ΡΠΈΡΠ΅Π») Π² Google Π’Π°Π±Π»ΠΈΡΠ°Ρ , ΠΈ Π²Ρ ΠΌΠΎΠΆΠ΅ΡΠ΅ ΠΈΡΠΏΠΎΠ»ΡΠ·ΠΎΠ²Π°ΡΡ Π»ΡΠ±ΠΎΠΉ ΠΈΠ· ΠΌΠ΅ΡΠΎΠ΄ΠΎΠ² Π² Π·Π°Π²ΠΈΡΠΈΠΌΠΎΡΡΠΈ ΠΎΡ ΡΠΎΠ³ΠΎ, ΠΊΠ°ΠΊ ΡΡΡΡΠΊΡΡΡΠΈΡΠΎΠ²Π°Π½Ρ Π²Π°ΡΠΈ Π΄Π°Π½Π½ΡΠ΅.
Π ΡΡΠΎΠΌ ΡΡΠΎΠΊΠ΅ Ρ ΠΏΠΎΠΊΠ°ΠΆΡ Π²Π°ΠΌ ΡΠ°Π·Π»ΠΈΡΠ½ΡΠ΅ ΡΠΏΠΎΡΠΎΠ±Ρ ΡΠΌΠ½ΠΎΠΆΠ΅Π½ΠΈΡ Π² Google Sheets .
Π£ΠΌΠ½ΠΎΠΆΠ΅Π½ΠΈΠ΅ Π΄Π²ΡΡ ΡΠΈΡΠ΅Π» Π² Google Sheets
ΠΡΠ»ΠΈ Ρ Π²Π°Ρ Π΅ΡΡΡ Π΄Π²Π° ΡΠΈΡΠ»Π° ΠΈΠ»ΠΈ Π΄Π²Π΅ ΡΡΠ΅ΠΉΠΊΠΈ Ρ ΡΠΈΡΠ»Π°ΠΌΠΈ, ΠΊΠΎΡΠΎΡΡΠ΅ Π²Ρ Ρ ΠΎΡΠΈΡΠ΅ ΡΠΌΠ½ΠΎΠΆΠΈΡΡ, Π΅ΡΡΡ Π½Π΅ΡΠΊΠΎΠ»ΡΠΊΠΎ ΡΠΏΠΎΡΠΎΠ±ΠΎΠ² ΡΠ΄Π΅Π»Π°ΡΡ ΡΡΠΎ.
ΠΡΠΏΠΎΠ»ΡΠ·ΠΎΠ²Π°Π½ΠΈΠ΅ ΡΡΠ½ΠΊΡΠΈΠΈ Π£ΠΠΠΠΠΠΠΠ
ΠΠΎΡΠΊΠΎΠ»ΡΠΊΡ ΡΠΌΠ½ΠΎΠΆΠ΅Π½ΠΈΠ΅ ΡΠΈΡΠ΅Π» ΡΠ²Π»ΡΠ΅ΡΡΡ ΡΠ°ΠΊΠΎΠΉ ΡΠ°ΡΠΏΡΠΎΡΡΡΠ°Π½Π΅Π½Π½ΠΎΠΉ Π·Π°Π΄Π°ΡΠ΅ΠΉ, Google Π’Π°Π±Π»ΠΈΡΡ ΡΠ΅ΡΠΈΠ»ΠΈ Π΄ΠΎΠ±Π°Π²ΠΈΡΡ Π² Π½Π΅Π΅ ΡΠΏΠ΅ΡΠΈΠ°Π»ΡΠ½ΡΡ ΡΠΎΡΠΌΡΠ»Ρ Π£ΠΠΠΠΠΠΠΠ (Π΅ΡΠ»ΠΈ Π²Π°ΠΌ ΠΈΠ½ΡΠ΅ΡΠ΅ΡΠ½ΠΎ, MS Excel ΡΠ°ΠΌ Π½Π΅Ρ).
ΠΡΠ΅Π΄ΠΏΠΎΠ»ΠΎΠΆΠΈΠΌ, Π²Ρ Ρ ΠΎΡΠΈΡΠ΅ ΡΠΌΠ½ΠΎΠΆΠΈΡΡ Π΄Π²Π° ΡΠΈΡΠ»Π° (12 ΠΈ 14), Π²Ρ ΠΌΠΎΠΆΠ΅ΡΠ΅ ΠΈΡΠΏΠΎΠ»ΡΠ·ΠΎΠ²Π°ΡΡ ΡΠ»Π΅Π΄ΡΡΡΡΡ ΡΠΎΡΠΌΡΠ»Ρ:
=Π£ΠΠΠΠΠΠ’Π¬(12,14)
Β
ΠΡΡ ΡΠΎΡΠΌΡΠ»Ρ Π£ΠΠΠΠΠΠΠΠ― ΡΠ΄ΠΎΠ±Π½ΠΎ ΠΈΡΠΏΠΎΠ»ΡΠ·ΠΎΠ²Π°ΡΡ, ΠΊΠΎΠ³Π΄Π° Ρ Π²Π°Ρ Π΅ΡΡΡ ΡΠΎΠ»ΡΠΊΠΎ Π΄Π²Π° ΡΠΈΡΠ»Π° ΠΈ Π²Ρ Ρ
ΠΎΡΠΈΡΠ΅ Π±ΡΡΡΡΠΎ ΠΏΠΎΠ»ΡΡΠΈΡΡ ΡΠ΅Π·ΡΠ»ΡΡΠΈΡΡΡΡΠ΅Π΅ Π·Π½Π°ΡΠ΅Π½ΠΈΠ΅.
Π₯ΠΎΡΡ Ρ ΠΆΠ΅ΡΡΠΊΠΎ Π·Π°ΠΊΠΎΠ΄ΠΈΡΠΎΠ²Π°Π» ΡΠΈΡΠ»Π° Π² ΡΠΎΡΠΌΡΠ»Π΅ Π² ΠΏΡΠΈΠ²Π΅Π΄Π΅Π½Π½ΠΎΠΌ Π²ΡΡΠ΅ ΠΏΡΠΈΠΌΠ΅ΡΠ΅, Π²Ρ ΡΠ°ΠΊΠΆΠ΅ ΠΌΠΎΠΆΠ΅ΡΠ΅ ΠΈΡΠΏΠΎΠ»ΡΠ·ΠΎΠ²Π°ΡΡ ΡΡΡΠ»ΠΊΡ Π½Π° ΡΡΠ΅ΠΉΠΊΠΈ, ΡΠΎΠ΄Π΅ΡΠΆΠ°ΡΠΈΠ΅ ΡΡΠΈ Π·Π½Π°ΡΠ΅Π½ΠΈΡ.
ΠΠ°ΠΏΡΠΈΠΌΠ΅Ρ, Π΅ΡΠ»ΠΈ Π² ΡΡΠ΅ΠΉΠΊΠ΅ A1 12, Π° Π² A2 14, Π²Ρ ΠΌΠΎΠΆΠ΅ΡΠ΅ ΠΈΡΠΏΠΎΠ»ΡΠ·ΠΎΠ²Π°ΡΡ ΠΏΡΠΈΠ²Π΅Π΄Π΅Π½Π½ΡΡ Π½ΠΈΠΆΠ΅ ΡΠΎΡΠΌΡΠ»Ρ, ΡΡΠΎΠ±Ρ ΠΏΠΎΠ»ΡΡΠΈΡΡ ΡΠ΅Π·ΡΠ»ΡΡΠ°Ρ:
=Π£ΠΠΠΠΠΠ’Π¬(A1,A2)
Π€ΠΎΡΠΌΡΠ»Π° Π£ΠΠΠΠΠΠΠΠ ΠΌΠΎΠΆΠ΅Ρ ΡΠ°Π±ΠΎΡΠ°ΡΡ ΡΠΎΠ»ΡΠΊΠΎ Ρ Π΄Π²ΡΠΌΡ Π°ΡΠ³ΡΠΌΠ΅Π½ΡΠ°ΠΌΠΈ, Π½ΠΎ Π΅ΡΠ»ΠΈ ΠΈΡ Π±ΠΎΠ»ΡΡΠ΅ Π΄Π²ΡΡ , ΡΠΎ ΡΡΠ° ΡΠΎΡΠΌΡΠ»Π° Π²ΡΠ΄Π°ΡΡ Π²Π°ΠΌ ΠΎΡΠΈΠ±ΠΊΡ.ΠΡΠΎΠΌΠ΅ ΡΠΎΠ³ΠΎ, Π²Ρ ΠΌΠΎΠΆΠ΅ΡΠ΅ ΠΏΠ΅ΡΠ΅ΠΌΠ½ΠΎΠΆΠΈΡΡ Π΄Π²Π° ΡΠ΅Π·ΡΠ»ΡΡΠ°ΡΠ° ΡΠΎΡΠΌΡΠ»Ρ ΠΈΠ»ΠΈ ΠΈΠΌΠ΅Π½ΠΎΠ²Π°Π½Π½ΡΠ΅ Π΄ΠΈΠ°ΠΏΠ°Π·ΠΎΠ½Ρ, ΠΊΠΎΡΠΎΡΡΠ΅ ΠΎΡΠ½ΠΎΡΡΡΡΡ ΠΊ ΡΡΠ΅ΠΉΠΊΠ΅
.ΠΡΠΏΠΎΠ»ΡΠ·ΠΎΠ²Π°Π½ΠΈΠ΅ ΠΎΠΏΠ΅ΡΠ°ΡΠΎΡΠ° MULTIPLY
ΠΡ ΡΠ°ΠΊΠΆΠ΅ ΠΌΠΎΠΆΠ΅ΡΠ΅ ΠΈΡΠΏΠΎΠ»ΡΠ·ΠΎΠ²Π°ΡΡ ΠΎΠΏΠ΅ΡΠ°ΡΠΎΡ ΡΠΌΠ½ΠΎΠΆΠ΅Π½ΠΈΡ (Π·Π½Π°ΠΊ Π·Π²Π΅Π·Π΄ΠΎΡΠΊΠΈ), ΡΡΠΎΠ±Ρ Π±ΡΡΡΡΠΎ ΡΠΌΠ½ΠΎΠΆΠΈΡΡ Π΄Π²Π΅ ΠΈΠ»ΠΈ Π±ΠΎΠ»Π΅Π΅ ΡΡΠ΅Π΅ΠΊ/ΡΠΈΡΠ»Π° Π² Google Π’Π°Π±Π»ΠΈΡΠ°Ρ .
ΠΡΠ΅Π΄ΠΏΠΎΠ»ΠΎΠΆΠΈΠΌ, Π²Ρ Ρ ΠΎΡΠΈΡΠ΅ ΡΠΌΠ½ΠΎΠΆΠΈΡΡ Π΄Π²Π° ΡΠΈΡΠ»Π° (12 ΠΈ 14), Π²Ρ ΠΌΠΎΠΆΠ΅ΡΠ΅ ΠΈΡΠΏΠΎΠ»ΡΠ·ΠΎΠ²Π°ΡΡ ΡΠ»Π΅Π΄ΡΡΡΡΡ ΡΠΎΡΠΌΡΠ»Ρ:
=12*14
ΠΡΠ»ΠΈ ΡΡΠΈ Π·Π½Π°ΡΠ΅Π½ΠΈΡ Π½Π°Ρ ΠΎΠ΄ΡΡΡΡ Π² ΡΡΠ΅ΠΉΠΊΠ°Ρ A1 ΠΈ A2, Π²Ρ ΠΌΠΎΠΆΠ΅ΡΠ΅ ΠΈΡΠΏΠΎΠ»ΡΠ·ΠΎΠ²Π°ΡΡ ΡΠ»Π΅Π΄ΡΡΡΡΡ ΡΠΎΡΠΌΡΠ»Ρ:
=Π1*Π2
Π‘ ΠΏΠΎΠΌΠΎΡΡΡ ΠΎΠΏΠ΅ΡΠ°ΡΠΎΡΠ° ΡΠΌΠ½ΠΎΠΆΠ΅Π½ΠΈΡ ΠΌΠΎΠΆΠ½ΠΎ ΡΠΌΠ½ΠΎΠΆΠ°ΡΡ Π±ΠΎΠ»Π΅Π΅ Π΄Π²ΡΡ
Π·Π½Π°ΡΠ΅Π½ΠΈΠΉ.
ΠΡΠΎΡΡΠΎ ΠΈΡΠΏΠΎΠ»ΡΠ·ΡΠΉΡΠ΅ ΠΎΠΏΠ΅ΡΠ°ΡΠΎΡ ΡΠΌΠ½ΠΎΠΆΠ΅Π½ΠΈΡ ΠΌΠ΅ΠΆΠ΄Ρ Π²ΡΠ΅ΠΌΠΈ Π·Π½Π°ΡΠ΅Π½ΠΈΡΠΌΠΈ, ΠΊΠΎΡΠΎΡΡΠ΅ Π²Ρ Ρ
ΠΎΡΠΈΡΠ΅ ΡΠΌΠ½ΠΎΠΆΠΈΡΡ.
ΠΠ°ΠΏΡΠΈΠΌΠ΅Ρ, Π΅ΡΠ»ΠΈ Ρ Π²Π°Ρ Π΅ΡΡΡ Π·Π½Π°ΡΠ΅Π½ΠΈΡ Π² ΡΡΠ΅ΠΉΠΊΠ°Ρ A1, A2 ΠΈ A3, Π²Ρ ΠΌΠΎΠΆΠ΅ΡΠ΅ ΠΈΡΠΏΠΎΠ»ΡΠ·ΠΎΠ²Π°ΡΡ ΡΠ»Π΅Π΄ΡΡΡΡΡ ΡΠΎΡΠΌΡΠ»Ρ:
=Π1*Π2*Π3
Π’Π°ΠΊΠΆΠ΅ ΠΏΠΎΠΌΠ½ΠΈΡΠ΅, ΡΡΠΎ Π΅ΡΠ»ΠΈ ΠΊΠ°ΠΊΠ°Ρ-Π»ΠΈΠ±ΠΎ ΠΈΠ· ΡΡΠΈΡ ΡΡΠ΅Π΅ΠΊ ΠΏΡΡΡΠ°, ΡΠΎΡΠΌΡΠ»Π° Π΄Π°ΡΡ Π²Π°ΠΌ 0.
ΠΠ΄Π½Π° Π²Π°ΠΆΠ½Π°Ρ Π²Π΅ΡΡ, ΠΊΠΎΡΠΎΡΡΡ ΡΠ»Π΅Π΄ΡΠ΅Ρ Π·Π½Π°ΡΡ ΠΏΡΠΈ ΠΈΡΠΏΠΎΠ»ΡΠ·ΠΎΠ²Π°Π½ΠΈΠΈ ΠΎΠΏΠ΅ΡΠ°ΡΠΎΡΠ° ΡΠΌΠ½ΠΎΠΆΠ΅Π½ΠΈΡ, β ΡΠ»Π΅Π΄ΠΎΠ²Π°ΡΡ ΠΏΠΎΡΡΠ΄ΠΊΡ ΡΡΠ°ΡΡΠΈΠ½ΡΡΠ²Π°. ΠΠ°ΠΏΡΠΈΠΌΠ΅Ρ, Π΅ΡΠ»ΠΈ Π²Ρ ΠΈΡΠΏΠΎΠ»ΡΠ·ΡΠ΅ΡΠ΅ ΠΏΡΠΈΠ²Π΅Π΄Π΅Π½Π½ΡΡ Π½ΠΈΠΆΠ΅ ΡΠΎΡΠΌΡΠ»Ρ, ΠΎΠ½Π° Π΄Π°ΡΡ Π²Π°ΠΌ 170 (ΠΏΠΎΡΠΊΠΎΠ»ΡΠΊΡ ΠΎΠ½Π° ΡΠ½Π°ΡΠ°Π»Π° Π²ΡΠΏΠΎΠ»Π½ΡΠ΅Ρ ΡΠΌΠ½ΠΎΠΆΠ΅Π½ΠΈΠ΅, Π° Π·Π°ΡΠ΅ΠΌ Π΄ΠΎΠ±Π°Π²Π»ΡΠ΅Ρ 2 ΠΊ ΡΠ΅Π·ΡΠ»ΡΡΠ°ΡΡ):
=12*14+2
ΠΡΠ»ΠΈ Π²Ρ Ρ ΠΎΡΠΈΡΠ΅ ΡΠ½Π°ΡΠ°Π»Π° ΠΏΡΠΈΠ±Π°Π²ΠΈΡΡ 2 ΠΊ 14, Π° Π·Π°ΡΠ΅ΠΌ ΡΠΌΠ½ΠΎΠΆΠΈΡΡ, Π²Π°ΠΌ Π½ΡΠΆΠ½ΠΎ ΠΈΡΠΏΠΎΠ»ΡΠ·ΠΎΠ²Π°ΡΡ ΠΏΡΠΈΠ²Π΅Π΄Π΅Π½Π½ΡΡ Π½ΠΈΠΆΠ΅ ΡΠΎΡΠΌΡΠ»Ρ (Π³Π΄Π΅ ΡΠΊΠΎΠ±ΠΊΠΈ ΠΈΡΠΏΠΎΠ»ΡΠ·ΡΡΡΡΡ Π΄Π»Ρ ΡΠ΅ΡΠΊΠΎΠ³ΠΎ ΡΠ°Π·Π΄Π΅Π»Π΅Π½ΠΈΡ ΡΠ°Π·Π΄Π΅Π»ΠΎΠ², ΠΊΠΎΡΠΎΡΡΠ΅ Π½Π΅ΠΎΠ±Ρ ΠΎΠ΄ΠΈΠΌΠΎ Π²ΡΡΠΈΡΠ»ΠΈΡΡ Π² ΠΏΠ΅ΡΠ²ΡΡ ΠΎΡΠ΅ΡΠ΅Π΄Ρ):
=12*(14+2)
Π’Π°ΠΊΠΆΠ΅ ΡΠΈΡΠ°ΠΉΡΠ΅: ΠΠ°ΠΊ ΡΠ°Π·Π΄Π΅Π»ΠΈΡΡ Π² Google Sheets
Π£ΠΌΠ½ΠΎΠΆΠ΅Π½ΠΈΠ΅ Π΄Π²ΡΡ ΡΡΠΎΠ»Π±ΡΠΎΠ² Π² Google Sheets
Π₯ΠΎΡΡ ΠΏΡΠΈΠ²Π΅Π΄Π΅Π½Π½ΡΠ΅ Π²ΡΡΠ΅ ΠΏΡΠΈΠΌΠ΅ΡΡ ΠΊΠ°ΡΠ°Π»ΠΈΡΡ ΡΠΌΠ½ΠΎΠΆΠ΅Π½ΠΈΡ ΠΎΡΠ΄Π΅Π»ΡΠ½ΡΡ
Π·Π½Π°ΡΠ΅Π½ΠΈΠΉ ΠΈΠ»ΠΈ ΡΡΠ΅Π΅ΠΊ, Π² ΡΡΠΎΠΌ ΡΠ°Π·Π΄Π΅Π»Π΅ Ρ ΠΏΠΎΠΊΠ°ΠΆΡ Π²Π°ΠΌ, ΠΊΠ°ΠΊ ΡΠΌΠ½ΠΎΠΆΠΈΡΡ Π΄Π²Π° ΡΡΠΎΠ»Π±ΡΠ° (ΠΈΠ»ΠΈ ΡΠΌΠ½ΠΎΠΆΠΈΡΡ Π±ΠΎΠ»Π΅Π΅ Π΄Π²ΡΡ
ΡΡΠΎΠ»Π±ΡΠΎΠ²) Ρ ΠΏΠΎΠΌΠΎΡΡΡ ΠΏΡΠΎΡΡΠΎΠΉ ΡΠΎΡΠΌΡΠ»Ρ.
ΠΡΠ΅Π΄ΠΏΠΎΠ»ΠΎΠΆΠΈΠΌ, Ρ Π²Π°Ρ Π΅ΡΡΡ Π½Π°Π±ΠΎΡ Π΄Π°Π½Π½ΡΡ , ΠΊΠ°ΠΊ ΠΏΠΎΠΊΠ°Π·Π°Π½ΠΎ Π½ΠΈΠΆΠ΅, ΠΈ Π²Ρ Ρ ΠΎΡΠΈΡΠ΅ ΠΏΠΎΠ»ΡΡΠΈΡΡ ΡΠΌΠ½ΠΎΠΆΠ΅Π½Π½ΠΎΠ΅ Π·Π½Π°ΡΠ΅Π½ΠΈΠ΅ ΡΡΠ΅Π΅ΠΊ Π² ΡΡΡΠΎΠΊΠ΅ Π² ΡΡΠΎΠ»Π±ΡΠ΅ C.
ΠΠΈΠΆΠ΅ ΠΏΡΠΈΠ²Π΅Π΄Π΅Π½Π° ΡΠΎΡΠΌΡΠ»Π°, ΠΊΠΎΡΠΎΡΠ°Ρ ΡΡΠΎ ΡΠ΄Π΅Π»Π°Π΅Ρ:
=Π€ΠΠ ΠΠ£ΠΠ ΠΠΠ‘Π‘ΠΠΠ(A1:A10*B1:B10)
ΠΠΎΡΠΊΠΎΠ»ΡΠΊΡ ΡΡΠΎ ΡΠΎΡΠΌΡΠ»Π° ΠΌΠ°ΡΡΠΈΠ²Π°, Π²Π°ΠΌ Π½ΡΠΆΠ½ΠΎ Π²Π²Π΅ΡΡΠΈ Π΅Π΅ ΡΠΎΠ»ΡΠΊΠΎ Π² ΡΡΠ΅ΠΉΠΊΡ C1, ΠΈ ΠΎΠ½Π° Π°Π²ΡΠΎΠΌΠ°ΡΠΈΡΠ΅ΡΠΊΠΈ Π·Π°ΠΏΠΎΠ»Π½ΠΈΡ ΠΎΡΡΠ°Π»ΡΠ½ΡΠ΅ ΡΡΠ΅ΠΉΠΊΠΈ ΡΡΠΎΠ»Π±ΡΠ°.
Π’Π°ΠΊΠΆΠ΅ Ρ ΡΠΎΡΠΌΡΠ»Π°ΠΌΠΈ ΠΌΠ°ΡΡΠΈΠ²Π° Π½Π΅Π»ΡΠ·Ρ ΡΠ΄Π°Π»ΡΡΡ ΠΈΠ»ΠΈ ΡΠ΅Π΄Π°ΠΊΡΠΈΡΠΎΠ²Π°ΡΡ ΡΠ°ΡΡΡ ΡΠ΅Π·ΡΠ»ΡΡΠΈΡΡΡΡΠ΅Π³ΠΎ ΠΌΠ°ΡΡΠΈΠ²Π°.ΠΠ΄Π½Π°ΠΊΠΎ Π²Ρ ΠΌΠΎΠΆΠ΅ΡΠ΅ ΡΠ΄Π°Π»ΠΈΡΡ Π²Π΅ΡΡ ΠΌΠ°ΡΡΠΈΠ², Π΅ΡΠ»ΠΈ Ρ ΠΎΡΠΈΡΠ΅.
ΠΡ ΡΠ°ΠΊΠΆΠ΅ ΠΌΠΎΠΆΠ΅ΡΠ΅ ΠΈΡΠΏΠΎΠ»ΡΠ·ΠΎΠ²Π°ΡΡ ΠΏΡΠΈΠ²Π΅Π΄Π΅Π½Π½ΡΡ Π½ΠΈΠΆΠ΅ ΡΠΎΡΠΌΡΠ»Ρ, ΡΡΠΎΠ±Ρ ΡΠ½Π°ΡΠ°Π»Π° ΡΠΌΠ½ΠΎΠΆΠΈΡΡ ΡΡΠ΅ΠΉΠΊΠΈ Π² ΡΡΡΠΎΠΊΠ΅, Π° Π·Π°ΡΠ΅ΠΌ ΡΠΊΠΎΠΏΠΈΡΠΎΠ²Π°ΡΡ ΡΠΎΡΠΌΡΠ»Ρ Π΄Π»Ρ Π²ΡΠ΅Ρ ΡΡΠ΅Π΅ΠΊ Π² ΡΡΠΎΠ»Π±ΡΠ΅.
ΠΠΎΡΠΊΠΎΠ»ΡΠΊΡ ΠΏΡΠΈΠ²Π΅Π΄Π΅Π½Π½ΠΎΠ΅ Π²ΡΡΠ΅ Π½Π΅ ΡΠ²Π»ΡΠ΅ΡΡΡ ΡΠΎΡΠΌΡΠ»ΠΎΠΉ ΠΌΠ°ΡΡΠΈΠ²Π°, Π²Ρ ΠΌΠΎΠΆΠ΅ΡΠ΅ ΠΈΠ·ΠΌΠ΅Π½ΠΈΡΡ ΠΈΠ»ΠΈ ΠΎΡΡΠ΅Π΄Π°ΠΊΡΠΈΡΠΎΠ²Π°ΡΡ ΠΎΡΠ΄Π΅Π»ΡΠ½ΡΠ΅ ΡΡΠ΅ΠΉΠΊΠΈ ΠΏΠΎ ΡΠ²ΠΎΠ΅ΠΌΡ ΡΡΠΌΠΎΡΡΠ΅Π½ΠΈΡ.
ΠΡΠ»ΠΈ Π²Ρ Ρ ΠΎΡΠΈΡΠ΅ ΠΏΠΎΠ»ΡΡΠΈΡΡ ΡΡΠΌΠΌΡ Π²ΡΠ΅Ρ Π·Π½Π°ΡΠ΅Π½ΠΈΠΉ ΡΠΌΠ½ΠΎΠΆΠ΅Π½ΠΈΡ Π² ΠΎΠ΄Π½ΠΎΠΉ ΡΡΠ΅ΠΉΠΊΠ΅, Π²Ρ ΠΌΠΎΠΆΠ΅ΡΠ΅ ΠΈΡΠΏΠΎΠ»ΡΠ·ΠΎΠ²Π°ΡΡ ΠΏΡΠΈΠ²Π΅Π΄Π΅Π½Π½ΡΡ Π½ΠΈΠΆΠ΅ ΡΠΎΡΠΌΡΠ»Ρ Π‘Π£ΠΠΠΠ ΠΠΠΠ:
=Π‘Π£ΠΠΠΠ ΠΠΠΠ(A1:A10*B1:B10)
ΠΡΠ°ΠΊ, Π΅ΡΡΡ Π½Π΅ΡΠΊΠΎΠ»ΡΠΊΠΎ ΡΠΏΠΎΡΠΎΠ±ΠΎΠ² ΡΠΌΠ½ΠΎΠΆΠ΅Π½ΠΈΡ Π² Google Π’Π°Π±Π»ΠΈΡΠ°Ρ
.


Π‘ΠΏΠ°ΡΠΈΠ±ΠΎ Π·Π° Π²Π½ΠΈΠΌΠ°Π½ΠΈΠ΅.
Π’Π°ΠΊΠΈΠΌ ΠΎΠ±ΡΠ°Π·ΠΎΠΌ ΠΌΠΎΠΆΠ½ΠΎ Π²ΡΠΏΠΎΠ»Π½ΠΈΡΡ ΠΎΠΏΠ΅ΡΠ°ΡΠΈΡ ΡΠΌΠ½ΠΎΠΆΠ΅Π½ΠΈΡ Π΄Π»Ρ ΡΡΠ΅ΠΉΠΊΠΈ, ΡΡΡΠΎΠΊΠΈ ΠΈΠ»ΠΈ ΡΡΠΎΠ»Π±ΡΠ°. ΠΠ°ΠΏΡΠΈΠΌΠ΅Ρ, ΡΠΎΡΠΌΡΠ»Π° Β«=16*3*2Β» ΡΠΌΠ½ΠΎΠΆΠ°Π΅Ρ ΡΠΈΡΠ»Π° 16, 3 ΠΈ 2. ΠΠ½Π° Π²ΠΎΠ·Π²ΡΠ°ΡΠ°Π΅Ρ 96.