Закон инерции, теория и примеры задач
Формулировка закона инерции
Любое тело находится в состоянии покоя или движется равномерно и прямолинейно, до того момента пока действие на него других тел не заставит его изменить свое состояние. Этот закон называют первым законом Ньютона. Но, так как способность тела сохранять состояние покоя или равномерного прямолинейного движения носит название инертности, то и данный закон часто называют законом инерции. Свойство тела сохранять без изменения свою скорость, если другие тела на него не действуют, назвали инерцией. Inertia — от латинского бездеятельность, косность.
Закон инерции был первым шагом при установлении основных законов классической механики.
Закон инерции является важным и независимым законом. Он отображает возможность определить пригодность системы отсчета для рассмотрения движения в динамическом и кинематическом смыслах. Без данного критерия не было бы понятно как синхронизировать часы и вводить единое время. Без закона инерции стали бы бессмысленными все уравнения кинематики и динамики. Так, невозможно говорить о равномерном движении, если нельзя синхронизировать часы. Закон инерции наполняет физическим смыслом второй и третий законы Ньютона.
Инерциальные системы отсчета
Движение в механике является относительным, то есть его характер зависит от системы отсчета. Закон инерции справедлив не для любой системы отсчета. Системы отсчета по отношению к которым, выполняется закон инерции носят название инерциальных. Система отсчета называется инерциальной, если она находится в состоянии покоя или равномерного и прямолинейного движения по отношению к другой инерциальной системе отсчета. Получается, что инерциальных систем бесконечно много. Закон инерции утверждает, что инерциальные системы отсчета существуют. В неинерциальной системе отсчета тело может обладать ускорением, если на него не действуют другие тела.
Экспериментально было показано, что инерциальной системой отсчета можно считать гелиоцентрическую систему отсчета, с началом координат в центре Солнца, с осями, проведенными в сторону звезд. Часто говорят, что система отсчета связанная с Землей является инерциальной, но строго говоря, это не так, потому что Земля вращается около собственной оси и вокруг Солнца. Однако при решении многих задач в классической механике эффектами неинерциальности такой системы отсчета можно пренебречь.
Масса тела, сила
Основной характеристикой материи, определяющей ее инерционные свойства, является масса тела. Массу иногда делят на инертную и гравитационную. К настоящему времени доказано, эти виды массы равны друг другу с точностью примерно порядка от величины.
Для описания меры механического воздействия на тело со стороны других тел (полей) которое упомянуто в законе инерции, используют понятие силы. При действии силы на тело, оно или изменяет свою скорость движения, тогда говорят о динамическом проявлении силы, или деформируется, тогда имеют в виду статическое проявление силы. Сила является векторной величиной и определяется величиной и направлением.
Примеры решения задач
Формула силы инерции
Для того чтобы второй закон Ньютона выполнялся в неинерциальных системах отсчета в дополнение к силам, которые действуют на тела вводят силы инерции.
Определение и формула силы инерции
Возникновение сил инерции не связано с действием каких-либо тел. Напомним, что неинерциальными системами отсчета являются любые системы, движущейся с ускорением относительно инерциальных систем.
Третий закон Ньютона для сил инерции не выполняется.
Пусть ускорение тела относительно инерциальной системы отсчета равно . Обычно такое ускорение называют абсолютным, при этом ускорение тела относительно неинерциальной системы отсчета носит название относительного (). Второй закон Ньютона для инерциальной системы отсчета запишем как:
где – равнодействующая сила, приложенная к телу массы m. В неинерциальной системе отсчета:
поскольку:
Добавим к правой части выражения (2) силы инерции, так чтобы выполнялся второй закон Ньютона в неинерциальной системе отсчета:
В таком случае получим, что сила инерции равна:
Формула (5) для силы инерции дает верное описание движения в неинерциальной системе отсчета. При этом нахождение разности относительного и абсолютного ускорений является кинематической задачей. Ее можно решить, если известен характер движения неинерциальной системы отсчета относительно инерциальной.
Системы отсчета, движущиеся прямолинейно с постоянным ускорением
Система отсчета, которая перемещается прямолинейно с постоянным ускорением – это простейший случай неинерциальной системы. Рассмотрим неинерциальную систему отсчета, которая движется прямолинейно с постоянным ускорением (переносное ускорение) относительно инерциальной системы отсчета. Тогда:
Согласно формуле (5) сила инерции равна:
Вращающаяся система отсчета
Рассмотрим систему отсчета, вращающуюся относительно неподвижной оси с постоянной скоростью . Для тела находящегося в состоянии покоя в такой системе отсчета формулу для силы инерции можно записать как:
где – радиус-вектор, по величине равный расстоянию от оси вращения до рассматриваемого тела, направленный от центра к телу. Сила инерции (8) называется центробежной силой инерции.
Все тела на поверхности Земли испытывают действие центробежной силы инерции.
Отметим, что всякую задачу можно решить в инерциальной системе отсчета. Применение неинерциальных систем продиктовано соображениями удобства применения неинерциальных систем.
Примеры решения задач по теме «Сила инерции»
ru.solverbook.com
Инерции закон – это… Что такое Инерции закон?
- Инерции закон
Зако́н ине́рции (Первый закон Нью́тона): свободное тело, на которое не действуют силы со стороны других тел, находится в состоянии покоя или равномерного прямолинейного движения (понятие скорости здесь применяется к центру масс тела в случае непоступательного движения). Иными словами, телам свойственна
ине́рция (от лат. inertia — «бездеятельность», «косность»), то есть явление сохранения скорости, если внешние воздействия на них скомпенсированы.Первый закон Ньютона с точки зрения современных представлений можно сформулировать так: существуют такие системы отсчета, относительно которых тело (материальная точка) при отсутствии на него внешних воздействий (или при их взаимной компенсации) сохраняет состояние покоя или равномерного прямолинейного движения.
Системы отсчёта, в которых выполняется закон инерции, называют инерциальными системами отсчёта (ИСО).
Явлением инерции также является возникновение фиктивных сил инерции в неинерциальных системах отсчета.
Впервые закон инерции был сформулирован Галилео Галилеем, который после множества опытов заключил, что для движения свободного тела с постоянной скоростью не нужно какой-либо внешней причины. До этого общепринятой была иная точка зрения (восходящая к Аристотелю): свободное тело находится в состоянии покоя, а для движения с постоянной скоростью необходимо приложение постоянной силы.
Впоследствии Ньютон сформулировал закон инерции в качестве первого из трёх своих знаменитых законов.
Принцип относительности Галилея: во всех инерциальных системах отсчета все физические процессы протекают одинаково(если условия для всех тел одинаковы). В системе отсчета, приведенной в состояние покоя или равномерного прямолинейного движения относительно инерциальной системы отсчета (условно — «покоящейся») все процессы протекают точно так же, как и в покоящейся системе.
Следует отметить что понятие инерциальной системы отсчета — абстрактная модель (некий идеальный объект рассматриваемый вместо реального объекта. Примерами абстрактной модели служат абсолютно твердое тело или невесомая нить), реальные системы отсчета всегда связаны с каким-либо объектом и соответствие реально наблюдаемого движения тел в таких системах с результатами расчетов будет неполным.
См. также
Литература
Ссылки
Wikimedia Foundation. 2010.
- Инерциальная система отсчета
- Инерции сила
Смотреть что такое “Инерции закон” в других словарях:
ИНЕРЦИИ ЗАКОН — один из осн. законов механики, согласно к рому при отсутствии внеш. воздействий (сил) или когда действующие силы взаимно уравновешены тело сохраняет неизменным состояние своего движения или покоя относительно инерциальной системы отсчёта. В… … Физическая энциклопедия
ИНЕРЦИИ ЗАКОН — см. Ньютона законы … Большой Энциклопедический словарьинерции закон — см. Ньютона законы. * * * ИНЕРЦИИ ЗАКОН ИНЕРЦИИ ЗАКОН, см. Ньютона законы (см. НЬЮТОНА ЗАКОНЫ) … Энциклопедический словарь
ИНЕРЦИИ ЗАКОН — квадратичных форм теорема, утверждающая, что при любом способе приведения квадратичной формы с действительными коэффициентами к сумме квадратов посредством линейной замены переменных где Q невырожденная матрица с действительными коэффициентами,… … Математическая энциклопедия
ИНЕРЦИИ ЗАКОН — первый закон Ньютона (см. Ньютона законы механики) … Большой энциклопедический политехнический словарь
ИНЕРЦИИ ЗАКОН — первый Ньютона закон … Естествознание. Энциклопедический словарь
Инерции закон — один из основных законов механики, согласно которому при отсутствии внешних воздействий (сил) или когда действующие силы взаимно уравновешены, тело сохраняет неизменным состояние своего движения или покоя относительно инерциальной системы … Большая советская энциклопедия
Закон инерции — в физике первый закон Ньютона. см. статью Инерция Закон инерции в математике см. раздел «Свойства» в статье «Квадратичная форма» (закон инерции Сильвестра) … Википедия
ЗАКОН ИНЕРЦИИ — см … Большая политехническая энциклопедия
Инерции сила — Сила инерции фиктивная сила, которую можно ввести в неинерциальной системе отсчёта так, чтобы законы механики в ней совпадали с законами инерциальных систем. В математических вычислениях введения этой силы происходит путём преобразования… … Википедия
Книги
- Аналитическое Естествознание, Панченков А.Н., Монография – итоговый документ пятидесятилетних исследований автора, посвященных Природе и Действительности. Ее цель: создание современного научного Миропонимания в виде аксиоматической… Категория: Естественные науки в целом. Естествознание Серия: – Издатель: Авторское издание, Подробнее Купить за 1222 руб
- Живая материя. Фундаментальная физика с литературными вставками, А. И. Заказчиков, Успехи формализованного описания явлений природы, блестящим примером которых является закон всемирного тяготения, превратили формализм как бы в достаточную ступень научного познания, снизили… Категория: Научная и техническая литература Серия: Relata Refero Издатель: РОХОС, Производитель: РОХОС, Подробнее Купить за 440 грн (только Украина)
- Физика для чайников, Хольцнер Стивен, От термодинамики у вас мурашки по спине? От векторов бессонница? А электромагнетизм вызывает чувство страха? Не отчаивайтесь! Это удобное руководство упростит освоение основ физики. Опытный… Категория: Физика Серия: Ведь это так просто! Издатель: Вильямс, Производитель: Вильямс, Подробнее Купить за 355 грн (только Украина)
dic.academic.ru
2.2. Закон инерции.
Физические основы механики.
Кинематика поступательного движения.
Механическое движение.
Простейшим и в тоже время наиболее распространенной формой движения в природе является механическое движение– т.е. изменение взаимного положения тел во времени.
Раздел физики изучающий закономерности механического движения и взаимодействие тел называется механикой. Механическое действие со стороны других тел приводит к изменению ??? движения рассматриваемого тела или к его деформации, т.е. к изменению взаимного расположения его частей.
Механику тел, которые движутся с ν<<c, называют классической в отличие от релетивиской механики быстро движущихся тел. Основы первой были разработаны Ньютоном и она называется ньютоновской. Релетивиская механика основана но СТО Эйнштейна.
Классическая механика содержит два раздела: кинематика и динамика.
Кинематика описывает движение тел, не рассматривая причин, его вызывающих. Основным разделом механики является динамика, которая изучает влияние взаимодействия тел на их механическое движение, т.е. рассматривает движение в ????.
В механике описания реальных тел пользуются в зависимости от условий конкретной задачи различными приближенными моделями или абстрактными: материальная точка, абсолютно твердое тело, абсолютно упругое тело. Абсолютно неупругое тело и т.п.
Пространство и время.
Все тела существуют и движутся в пространстве и времени. Эти понятия являются основополагающими для всех естественных наук. Любое тело имеет размеры, т.е. свою пространственную принадлежность. Время выражает порядок смены состояний, составляющих любой процесс, любое движение. Оно является мерой длительности процесса. Т.о. пространство и время представляют наиболее общие формы существования материи.
Не имеет смысла говорить о положении и механическом движении тела в пространстве «вообще», всегда говорят о положении и движении относительно какого-то другого конкретного тела: Солнце, Земля и т.д.
Система отсчета.
Для однозначного определения положения тела в произвольный момент времени необходимо выбрать систему отсчета – систему координат, снабженная часами и жестко связанная с абсолютно твердым телом, по отношению к которому определяется положение других тел в различные моменты времени. При этом часами подразумевают любое устройство для измерения времени, точнее промежутков времени между событиями, т.к. в силу однородности времени, его начало отсчета можно выбрать произвольно. В ньютоновской механике свойства пространства описываються геометрией Эвклида, а ход времени одинаков во всех системах отсчета. Систему отсчета, связанную с Землей называют земной.
-Наиболее часто пользуются правой, прямоугольной, декартовой системой координат.
Система
координат называется правой т.к. из
конца ортавращается
от
к
кажется
против часовой стрелки (по кратчайшему
расстоянию), т.е. взаимная ориентация
векторов
,
,
совпадает
с взаимной ориентацией трех пальцев
правой руки большой, указательный и
средний если они┴.Положение
т.М относительно системы координат
задается двумя способами либо x, y, z, т.М,
либо значения её радиус-вектора
,
который можно разложить по базису
,
,
.
Координаты точки М: x, y, z, называются
такжекоординатами (компонентами) радиус-вектора
относительно базиса, векторы
составляющими
по
осям координат. Т.к. система ортогональна,
то x, y, z, равны соответствующим проекциям
где α, β,γ-углы сост.
с ортами осей координат.
Кинематические уравнения движения.
При движении т.М ее координаты
и
меняются со временем для задания закона
движения необходимо указывать вид
функциональной зависимости от времени
всех трех её координат, либо
;
;
;
.
Эти уравнения называются кинетическими
уравнениями движения точки.
Траектория — линия описываемая точкой при ее движении относительно выбранной системы координат. Уравнение траектории можно получить из кинематических уравнений, исключив время. Различают прямолинейное и криволинейное движение плоская траектория, объемная.
Длина пути расстояние
,
пройденное за рассмотренный промежуток
и изменяемое вдоль траектории в
направлении движения; т.е.
.
Пусть точка движется от А к
В по криволинейному пути АВ в начальный
момент в т.А (
)
а в
находится в т.М с
;S=длина траектории.
Перемещение, элементарное перемещение.
Вектором перемещенияточки за
промежуток от
до
называется приращение радиус-вектора
этой точки за этот промежутокон направлен вдоль хорды стягивающий
соответствующий участок траектории
точки. Поэтому во всех случаях, кроме
премера, модуль перемещения меньше
длины пути за этот же
.
На рисунке вектор перемещения
.
Однако, по мере уменьшения
длины пути разность между хордой и
перемещением уменьшается. Следовательно,
рассматривая элементарное перемещение
по траектории за достаточно малый
промежуток вреени
(от
до
)
можно пренебречь отличием междуи
.
Значит, вектор
направлени по касательной к траектории
в сторону движения точки. Также ка
единичный вектор касат.
т.о.вектор перемещения материальной точки
за любой конечный промежуток
времени от
до
можно представить в виде:
приращение координат за
.
P.S.: В
математике
и
–
дифференциалы соответствующих функций
времени ??? т.е. линейные части приращений
этих функций при произвольном изменении
аргументаот
до
.
По определению в мтематике
,
а ;
и
– производные т.е. приращение функций
исуществует отличие от дифференциалов
этих функций. В физике различают
произвольное (конечное) приращение
аргумента
и дифференциала аргумента
.
Под дифференциалом аргумента
понимают столь малое его приращение
(элементарное), при котором разностью
между соответствующим приращением
функции
и линейной частью её приращения
можно пренебречь т.е. ???.
Поэтому, в физике используют предложенные
Лейбницем обозначение производной
и трактуют эти выражения как отношения
не математической дифференциала функции
и аргумента, а малых (элеиентарных)
приращений функцмм м аргумента.
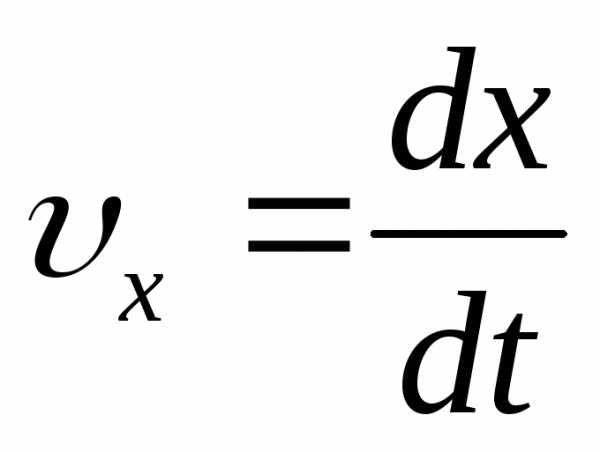
Скорость.
Для характеристики направления и быстроты движения точки вводится векторная физическая величина-скорость.
Пусть за
точка переместилась из т.1 в т.2. Вектор
перемещения
представляет собой приращение
радиус-вектора
за время
.
Отношение
называется средней скоросью точки
за время
.
Направление
совпадает с
.
Скорость
точки в заданный момент мремени
определяется как предел отношения
при
т.е.

т.е. производной от радиус-вектора
по времени и направлению по касательной
к траектории в заданной точке в сторону
движения. Модуль
.
Вектор
можно разложить по базису
т.е. на три состояния по осям декартовой
системы координат
;
;
;
;
;
Ускорение.
Движение точки характеризуется также ускорением—быстротой изменения скорости
;
т.е. вектор
равен производной
по времени. Направление вектора
совпадает с направлением приращения
скорости
за
т.к.
,
то ускорение точки равно второй
производной по времени от радиус-вектора:
;;
;
где
—проекция.
Если траектории точки плоская кривая,
то можно выбрать два перпендикулярных
направления: касательная к траектории
(орт
)
и нормали к ней
.
Тогда
раскладывается по составляющим.
Т.к. вектор скорости направлен по касательной к траектории в сторону её движения, то
;
;
;
тогда
;—приращение
орта касательной к траектории,
соответствующее элементарному путиза
.
Ввиду
малости
его можно считать совпадающим с дугой
окружности радиуса
с центром в т.0 с центральным углом
.
С
0
оответственно, единичный вектор
повор. на
.
Из равнобедренного треугольника,
ввиду малости
;
по направлению
совпадает с
(при
)
;
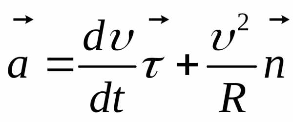
и ускорение точки
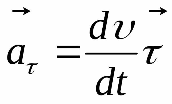
;
—
касательное(тангенциальное) ускорение
характеризует быстроту изменения модуля
скорости. При ускоренном движении
и
совпадает с
,
при замедленном
и
не совпадает с
.
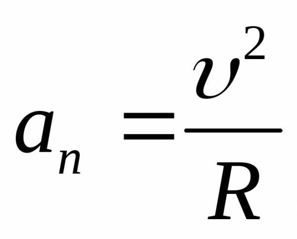
Нормальное ускорение
характеризует быстроту изменения
направления вектора скорости. Направлено
к центру кривизны траектории;
;
поэтому его называют центростремительным.
При прямолинейном движении
.
Модуль ускорения
;
При ускоренном движении
—
острый, при замедленном—тупой (
угол между
и
).
Если движение по окружности равномерное
то
касательной.
2.Динамика поступательного движения
2.1. Простейшим видом механического
движения твердого тела является
поступательное движение. при котором
прямая, соединяющая любые две точки
тела перемещается вместе с телом,
оставаясь || своему первоначальному
направлению (шарик на пружине относительно
Земли, поршень в цилиндре стационарного
двигателя, лифт, резец токарного станка
и др.). Траектории всех точек ела известны.
Радиус-вектор все точек тела за время
изменяется на одну и туже величину
,
скорости всех точек и ускорения одинаковы:
;
т.е. для описания можно взять одну точку,
если
то


В основе классической механики лежит три закона Ньютона, сформулированные в сочинении «???», опубликованном в 1687г. Эти законы явились результатом гениального обобщения опытных данных и теоретических закономерностей в области механики, которые были установлены Ньютоном, а также Кеплером. Галилеем, Гюйгенсом. Гуком и др.
В качестве 1 закона динамики Ньютон принял закон, установленный еще Галилеем: Всякое тело сохраняет состояние покоя или равномерного прямолинейного движения до тех пор, пока внешнее воздействие не заставит изменить это состояние.
Этот закон утверждает, что для состояния покоя или равномерно-прямолинейного движения не требуется внешних воздействий. В этом проявляется особое динамическое свойство тел, называемое инертностью.Поэтому 1 закон Ньютона называют законом инерции, а движение тела в отсутствии внешних воздействий, движение по инерции.
В этом законе считается, что тело не деформируется, т.е. оно абсолютно твердое, и что оно движется поступательно. Однако, твердое тело может еще вращаться по инерции. Необходимость во всех этих оговорках отпадает, если в законе Ньютона говорить не о теле, а о материальной точке, которая по определению не может ни деформироваться, ни вращаться.
Поэтому лучше пользоваться формулировкой:
материальная точка сохраняет состояние покоя или равномерно-прямолинейного движения до тех пор пока внешнее воздействие не выведет её из этого состояния.
2.3. Инерциальная система отсчета.
Известно что механическое движение относительно и его характер зависит от выбора системы отсчета. Первый закон выполняется не во всех системах отсчета. Например, тела, лежащие на гладком полу поезда, который идет равномерно и прямолинейно, могут прийти в движение относительно поезда по полу без всякого воздействия на них со стороны других тел. Для этого достаточно, чтобы поезд начал менять скорость хода, т.е. начал двигаться с ускорением.
Системы отсчета, по отношению к которым выполняется закон инерции, называются инерциальными системами отсчета.
Если бы такие системы нельзя было указать, то I-ый закон потерял бы смысл. Следовательно вI-ом законе имеется два утверждения: во-первых всем телам присуще свойство инертности, во-вторых можно указать системы отсчета, являющиеся инерционными.
Инерционной системой отсчетаназывают систему, в которой свободная от внешних воздействий материальная точка имеет равное нулю ускорение относительно нее, т.е. движется по инерции. Поэтому любые две инерционные системы отсчета либо неподвижны ??? либо движутся равномерно и прямолинейно.
Из опытов известно, что с большой степенью
точности можно назвать инерционным
гелиоцентр системы отсчета. Начало
координат – в центре масс (практически
в центре Солнца), а оси взаимно
и направлены ????. Земная система отсчета
неинерциальная из-за суточного вращения
Земли, однако это вращение медленное,
поэтому в большинстве практических
задач, эффекты связанные с вращением
Земли являются малыми и их можно не
учитывать, И Землю также можно считать
инерциальной системой отсчета.
Существует бесчисленное множество инерционных систем отсчета движущихся относительно друг друга прямолинейно и равномерно. Системы отсчета которые движутся с ускорением называются неинерциальными.
studfiles.net
Закон инерции. Что такое теория относительности [3-е, дополненное издание]
Закон инерции
Из принципа относительности движения вытекает, что тело, на которое не действует никакая внешняя сила, может находиться не только в состоянии покоя, но и в состоянии прямолинейного равномерного движения. Это положение в физике называется законом инерции.
Однако в повседневной жизни он как бы завуалирован и непосредственно не проявляется. Ведь по закону инерции тело, находящееся в состоянии прямолинейного равномерного движения, должно — и без воздействия внешних сил — продолжать свое движение без конца. Однако из наблюдений нам известно, что тела, к которым мы силы не прилагаем, останавливаются.
Разгадка заключается в том, что на все тела, наблюдаемые нами, действуют некоторые внешние силы — силы трения. Поэтому условие, необходимое для наблюдения закона инерции — отсутствие внешних сил, действующих на тело, — не выполняется. Но, улучшая условия опыта, уменьшая силы трения, можно приблизиться к идеальным условиям, необходимым для наблюдения закона инерции, доказав, таким образом, правильность этого закона и для движений, наблюдаемых в повседневной жизни.
Открытие принципа относительности движения является одним из величайших открытий. Без него развитие физики было бы невозможно. Этим открытием мы обязаны гению Галилео Галилея, смело выступившего против господствовавшего в те времена и поддерживаемого авторитетом католической церкви учения Аристотеля, согласно которому движение возможно только при наличии силы и без нее должно неминуемо прекратиться. Рядом блестящих опытов Галилей показал, что причиной остановки движущихся тел, наоборот, является сила трения и в отсутствие этой силы приведенное раз в движение тело двигалось бы вечно.
Поделитесь на страничкеСледующая глава >
fis.wikireading.ru
Инерция – это… Что такое Инерция?
Ине́рция (от лат. inertia — бездеятельность, косность) — свойство тел сохранять покой или равномерное прямолинейное движение, если внешние воздействия на него отсутствуют или взаимно скомпенсированы.
Формулировка
Существование явления инерции в классической механике постулируется Первым законом Нью́тона, который также называется Зако́ном ине́рции. Его классическую формулировку дал Ньютон в своей книге «Математические начала натуральной философии»:
Всякое тело продолжает удерживаться в состоянии покоя или равномерного и прямолинейного движения, пока и поскольку оно не понуждается приложенными силами изменить это состояние.
Современная формулировка закона:
Существуют такие системы отсчёта, относительно которых материальная точка при отсутствии внешних воздействий (или при их взаимной компенсации) сохраняет состояние покоя или равномерного прямолинейного движения.
Системы отсчёта, в которых выполняется закон инерции, называют инерциальными системами отсчёта (ИСО). Все другие системы отсчёта (например, вращающиеся или движущиеся с ускорением) называются соответственно неинерциальными. Проявлением неинерциальности в них является возникновение фиктивных сил, называемых «силами инерции».
История
Древнегреческие учёные, судя по дошедшим до нас сочинениям, размышляли о причинах совершения и прекращения движения. В «Физике» Аристотеля (IV век до н. э.) приводится такое рассуждение о движении в пустоте[1]:
| Никто не сможет сказать, почему [тело], приведенное в движение, где-нибудь остановится, ибо почему оно скорее остановится здесь, а не там? Следовательно, ему необходимо или покоиться, или двигаться до бесконечности. |
Однако сам Аристотель считал, что пустота в природе не может существовать, и в другом его труде, «Механике», утверждается[2]:
| Движущееся тело останавливается, если сила, его толкающая, прекращает свое действие. |
Наблюдения действительно показывали, что тело останавливалось при прекращении действия толкающей его силы. Естественное противодействие внешних сил (сил трения, сопротивления воздуха и т. п.) движению толкаемого тела при этом не учитывалось. Поэтому Аристотель связывал неизменность скорости движения любого тела с неизменностью прилагаемой к нему силы.
Только через два тысячелетия Галилео Галилей (1564—1642) смог исправить эту ошибку Аристотеля. В своем труде «Беседы о двух новых науках» он писал[2]:
| …скорость, однажды сообщенная движущемуся телу, будет строго сохраняться, поскольку устранены внешние причины ускорения или замедления, — условие, которое обнаруживается только на горизонтальной плоскости, ибо в случае движения по наклонной плоскости вниз уже существует причина ускорения, в то время, как при движении по наклонной плоскости вверх налицо замедление; из этого следует, что движение по горизонтальной плоскости вечно |
Это суждение нельзя вывести непосредственно из эксперимента, так как невозможно исключить все внешние влияния (трение и т. п.). Поэтому, здесь Галилей впервые применил метод логического мышления, базирующийся на непосредственных наблюдениях и подобный математическому методу доказательства «от противного». Если наклон плоскости к горизонтали является причиной ускорения тела, движущегося по ней вниз, и замедления тела, движущегося по ней вверх, то, при движении по горизонтальной плоскости, у тела нет причин ускоряться или замедляться, и оно должно пребывать в состоянии равномерного движения или покоя.
Таким образом, Галилей просто и ясно доказал связь между силой и изменением скорости (ускорением), а не между силой и самой скоростью, как считал Аристотель и его последователи. Это открытие Галилея вошло в науку как Закон инерции. Надо отметить, что Галилей допускал свободное движение не только по прямой, но и по окружности (видимо, из астрономических соображений). В современном виде закон инерции сформулировал Декарт. Ньютон включил закон инерции в свою систему законов механики как первый закон.
Смежные понятия
Принцип относительности Галилея: во всех инерциальных системах отсчёта все механические процессы протекают одинаково (если начальные условия для всех тел одинаковы). В системе отсчёта, приведенной в состояние покоя или равномерного прямолинейного движения относительно инерциальной системы отсчёта (условно — «покоящейся»), все процессы протекают точно так же, как и в покоящейся системе.
Следует отметить, что понятие инерциальной системы отсчёта — абстрактная модель, то есть некий идеальный объект, рассматриваемый вместо реального объекта (примерами абстрактной модели служат абсолютно твердое тело или нерастяжимая невесомая нить). Реальные системы отсчёта всегда связаны с каким-либо объектом или объектами, и соответствие реально наблюдаемого движения тел в таких системах с результатами расчётов будет неполным. В то же время точность подобной абстракции в земных условиях весьма велика и ограничивается лишь величиной искривления пространства-времени, которое было предсказано в рамках общей теории относительности (1915 год) и впервые зафиксировано в 1919 году при исследовании отклонения света в гравитационном поле Солнца.
Инертность — свойство тела в большей или меньшей степени препятствовать изменению своей скорости относительно инерциальной системы отсчёта при воздействии на него внешних сил. Мерой инертности в физике выступает инертная масса.
См. также
Литература
Примечания
brokgauz.academic.ru
Закон инерции
А.И. Сомсиков
Выявлена ошибочность понимания 1-го закона физики, называемого также первым законом Ньютона или законом инерции Галилея.
Закон инерции Галилея, называемый также первым законом Ньютона, в применяемой формулировке означает примерно следующее: “В отсутствие силы движение тела является равномерным, прямолинейным, не ограниченным во времени и пространстве”.
Поскольку обе эти неограниченности практически не проверяемы, предложенное Галилеем доказательство этому является чисто логическим.
Поставленный эксперимент является наблюдением движения тела по наклонной плоскости с положительным и отрицательным углами наклона, соответствующими скатыванию тела вниз или его вкатыванию наверх.
Наблюдение обнаруживает при этом наличие ускорений противоположных знаков.
Отсюда следует, что нулевому углу наклона должно соответствовать нулевое ускорение, т.е. равномерное движение, не ограниченное во времени и пространстве, другими словами – вечное и бесконечное.
Этот логический вывод выглядит безупречным даже с учетом того, что реальные движения ограничены.
Просто им приписывается небольшое отрицательное ускорение, вызванное постулируемым сопротивлением трения тела с опорной плоскостью вследствие их касания.
Поскольку научное исследование сродни криминальному расследованию, на языке детективов это называется ложным следом, призванным отвлечь внимание. Абсолютно второстепенное наблюдение, лишь имитирующее предельную его тщательность, уводя внимание наблюдателя от действительно крупной логической ошибки. И что поистине удивительно – легкость, с какой заглатывается эта наживка, по которой все дружно и устремляются.
В самом деле, ведь этим предполагается, что в отсутствие касания тел, создающего это трение, ускорение было бы действительно нулевым.
Но возможен ли подобный вывод?
Прежде всего, в эксперименте не выполнено исходное требование – отсутствия силы.
В нем эта сила имеется, хотя и компенсируется противодействующей силой со стороны плоской поверхности. Но это ведь означает, что устранение касания тел также устраняет и силу противодействия как требуемое условие компенсации силы. А значит – и требуемое условие предполагаемого равенства нулю ускорения.
Но даже и в идеальном случае – при сохранении касания тел (необходимого для создания уравновешивающей силы противодействия) и полном отсутствии сопротивления трения (т.е. в условиях умственного эксперимента) верен ли этот логический вывод – равенства нулю ускорения?
Рассматриваемое движение направлено перпендикулярно действующим силам.
Сила противодействия плоской поверхности всегда ей и движению перпендикулярна, а компенсируемая исходная сила?
При условии не ограниченности движения во времени и пространстве?
Речь ведь идет о силе земного тяготения.
Она же является центрированной в направлении действующего ускорения, т.е. в начало инерциальной системы отсчета ИСО, совмещаемое с центром масс, в данном случае – с центром Земли.
Требуется иметь перпендикулярность ускорения, вызванного притяжением, опорной плоскости.
В исходном положении это условие выполняется.
При неограниченном же пространственном перемещении ускорение приобретает угловой поворот в сторону начала отсчета ИСО, вследствие чего его проекция на направление движения в общем случае имеет ненулевое значение.
Эта проекция оказывает тормозящее воздействие на движение, причем уже без всякого трения.
Этим нарушается требование отсутствия силы в направлении движения или ее перпендикулярности этому направлению.
Следовательно, предполагаемая неограниченность во времени и пространстве равномерного прямолинейного движения оказывается невозможной.
Эксперимент Галилея выполняется лишь в ограниченном их масштабе, а его постулируемая неограниченность является абсолютно недопустимой экстраполяцией.
Из этого также следует, что условием равномерности движения является непрерывное сохранение его направленности, перпендикулярной ускорению.
Такое сохранение возможно в одном единственном случае движения тела по окружности с радиусом кривизны, сохраняющим постоянство значения относительно начала отсчета ИСО.
Следовательно, истинный логический вывод, непосредственно вытекающий из эксперимента Галилея, гласит: “при наличии центрированной силы, компенсируемой противоположно направленной силой, движение тела является равномерным вращением относительно начальной точки ИСО, не ограниченным во времени и пространстве”.
При снятии касания с поверхностью, заменяемого центробежной силой, это ведь собственно и наблюдается в бесчисленных примерах таких вращений от Луны и прочих объектов космического масштаба до микромира, представленного масштабом атома.
А как же все-таки быть с действительным, истинным отсутствием силы?
Модернизируем эксперимент Галилея, пусть даже и просто мысленно.
Для этого нужно, чтобы движение, перпендикулярное силе притяжения, было на таком расстоянии от начала отсчета ИСО, при котором значением этой силы можно было просто пренебречь.
Этого всегда можно добиться соответствующим выбором достаточно большого масштаба.
Такое движение может действительно оставаться равномерным и прямолинейным на неограниченном масштабе пространства и времени, в рассматриваемой ИСО.
Ну а сама эта ИСО пространственно неподвижна?
Нет, она тоже движется, причем ускоренно, но только в другой ИСО, образуемой, например, солнечной системой.
Следовательно, и рассматриваемое движение, являющееся равномерным в исходной ИСО, оказывается ускоренным в другой ИСО.
Можно продолжить мысленный эксперимент, удаляя это движение еще дальше, на таком расстоянии от солнечной системы, при котором его движение в этой ИСО окажется уже равномерным. Но это, во-первых, будет происходить не в исходной “галилеевской” (земной) ИСО, где оно по-прежнему останется ускоренным.
А во-вторых, сама солнечная система в свою очередь ускоренно движется относительно центра нашей Галактики, образующего третью ИСО.
Можно продолжить увеличение космического масштаба галилеевского равномерного и прямолинейного движения выводя его уже за пределы Галактики.
Но даже и это вовсе не означает что, во-первых, движение останется равномерным в уже оставленных ранее земной и солнечной ИСО.
А во-вторых, сама Галактика в свою очередь может ускоренно двигаться в системе других галактик относительно иного центра, образуемого ближайшим или удаленным их окружением.
Таким образом, выясняется, что закон инерции Галилея или же первый закон механики Ньютона (и первый закон физики вообще) не выполняется не только на ограниченном масштабе, но и в неограниченном, а попросту говоря – нигде и никогда, ввиду центрированности сил тяготения, так что его логическое обоснование является целиком ошибочным.
Странно, что эта ошибка до сих пор оставалась незамеченной.
Это вообще особенность старых наук: рассуждения, которые были бы немедленно опровергнуты, случись предъявить их ныне, спокойно существуют, будучи не замеченными по истечении известного времени, когда исследователям даже и в голову не приходит подвергнуть их повторной логической экспертизе.
Нужна, возможно, особая независимость мышления, чтобы пускаться в путь, считающийся давно уже пройденным, без всяких мыслей о гарантированных его “результатах”, из одной лишь любви к научной истине.
А между тем впервые ведь начали самостоятельно рассуждать притом, конечно, отнюдь не сразу безукоризненно и даже не слишком уверенно совсем недавно – каких-то лет триста назад!
Так что сама возможность неточностей и даже просто ошибок для имеющих опыт самостоятельных рассуждений представляется весьма вероятной и даже почти неизбежной.
Невероятно было бы их вовсе не обнаружить, конечно, при некоторой тщательности анализа.
Пока же ищут (безрезультатно) у Эйнштейна, в то время как стоило бы начать с Ньютона или Коперника.
Эйнштейн это конечно кризис, но очень поздний, заложенный много раньше его предшественниками первопроходцами.
mirznanii.com
