Чему равно выражение sin(x)/x при x, стремящимся к нулю? | Математика не для всех
Математикам не чужда некая романтичность, иначе почему два хоть и важных предела получили наименование “замечательных”. Точного обоснования именно такого их названия я не нашел, однако, стоит отметить, что с мнемонической точки зрения – определения отличные, запоминаются на уровне подсознания. Посмотрим, что такого примечательного в этих пределах. Дополнительно заинтригую тем, что есть как минимум 5 замечательных пределов.
Краткий ликбез по пределамПредел – одно из основных понятий математического анализа. Отличают пределы рядов и функций (мы будем рассматривать функции далее).
На рисунке выше f(x) – обычная парабола, не имеющая пределов на числовой оси, а вот g(x) – показательная функция с основание меньшим единицы, ее предел при x, стремящимся к плюс бесконечности равен 0.
Читается так: чему равен предел функции f(x) при x, стремящимся к a.
Читается так: чему равен предел функции f(x) при x, стремящимся к a.
Допустим решим такой простой пример для понимания:
Надпись под пределом фактически означает, что вместо переменной x необходимо подставить в выражение -2. Подставляем и получаем ответ : -9. Думаю теперь можно переходить к основному содержанию.
Первый замечательный предел, он же тригонометрический
Геометрическое доказательство здесь опустим. Просто понимайте, что с уменьшением угла (цифра 1 в кружочке), его синус тоже будет уменьшаться (цифра 2 в кружочке). В какой-то момент времени и синус и угол будут невероятно близки к нулю, НО не предел их отношения, неукоснительно старающийся быть равным единице. Въедливый читатель воскликнет: а как же размерности? Ведь синус безразмерен, а угол измеряется в градусах! Отвечу: угол выражается в радианах, который считается безразмерной единицей. Вспомнить, что такое радиан (в конце статьи).
Кстати, а Вы знаете, что кроме косинуса, синуса, тангенса и котангенса есть еще много неизвестных широкому кругу людей функций? Читайте в моем материале про редкие тригонометрические функции.
Существует ряд следствий из первого замечательного предела
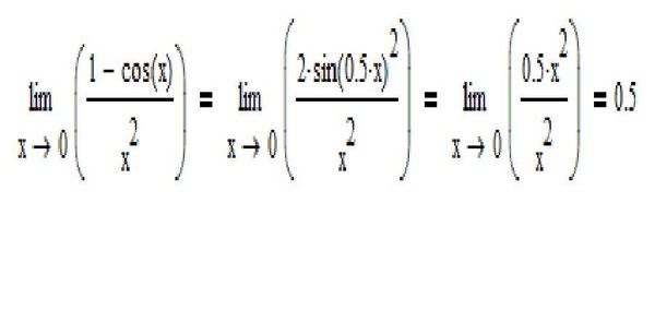
а) в числителе под синусом и в знаменателе были одинаковые выражения. В ином случае необходимо преобразовывать выражение к такому виду.
б) неопределенность имела вид [0/0]. Это значит, что если отдельно взять числитель и знаменатель, они оба будут стремиться к нулю.
Пример 1. Используем еще одно следствие из первого замечательного предела
Здесь и далее в квадратных скобках я пишу правило, которое будет использоваться для дальнейшего преобразования предела. Хоть это и кажется неправильно с математической точки зрения, однако способствует удобству восприятия решений.
Пример 2.
Главная задача в этом примере – привести значения в знаменателе и в числителе к однообразному виду, что мы и делаем умножая их на 1/2.
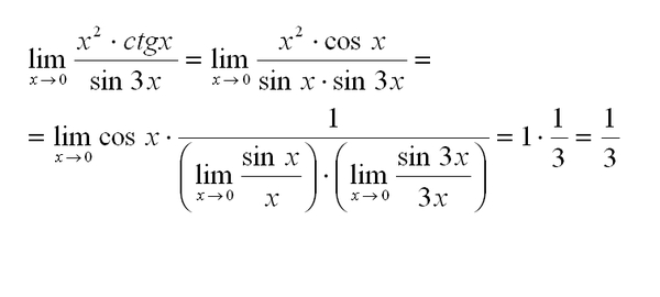
Пример 3.
Воспользуемся определением тангенса, а также тем фактом, что при аргументе, стремящимся к нулю, косинус этого аргумента стремится к 1. В конце получаем деление единицы на бесконечно малую величину, что приводит к плюс бесконечности в ответе.
Здесь используем знание тригонометрических формул двойного угла. В данном случае здесь 2 “полуторных угла
Последний пример на самостоятельное устное решение. Пишите его в комментариях!
Во-второй части саги о замечательных пределах, поговорим о пределе под номером 2.
************************************************************************
Спасибо! Надеюсь, было очень интересно и познавательно! Буду рад, если Вы поддержите меня ПОДПИСКОЙ, ЛАЙКОМ или даже критическим комментарием.
Вычисление пределов онлайн с данным калькулятором становится простым делом. Достаточно ввести функцию, предельное значение которой нам необходимо вычислить, и задать точку, в которой мы его ищем. Можно изменять переменную, выбирая одну из следующих наиболее часто применяющихся обозначений для функций и рядов: x, y, z, m, n, k. Получаемый ответ всегда верный и имеет абсолютную точность. Например, если предел функции равен числу “пи”, то и в ответе будет содержаться не окрушленное значение этого числа, а именно указана данная константа. Это позволяет находить стандартные, табличные пределы функций онлайн.
Лимит функции
Лимит функции нам приходится вычислять в математике довольно часто. При анализе функции для построения его графика нахождение предела функции на бесконечности позволяет находить асимптоты графика, а в точках разрыва значение лимита определяет разрывность функции, определяет род точек разрыва. Также при вычислении суммы ряда необходимым условием его сходимости является условие равенства нулю предела на бесконечности от отношения членов ряда.
При решении задач на отыскание пределов следует помнить некоторые пределы, чтобы каждый раз не вычислять их заново. Комбинируя эти известные пределы, будем находить при помощи свойств, указанных в § 4, новые пределы. Для удобства приведем наиболее часто встречающиеся пре делы: Пределы 1 lim х – а х а 2 lim 1 = 0 3 lim х- ± со X ± 00 4 lim -L, = оо Х->о\Х\ 5 lim sin*-l X -о X 6 lim f(x) = f(a), если f (x) непрерывна x a Если известно, что функция непрерывна, то вместо нахождения предела вычисляем значение функции. Пример 1. Найти lim (х*-6л:+ 8). Так как много- Х->2
член-функция непрерывная, то
lim (х*-6×4- 8) = 2*-6-2 + 8 = 4.
х-+2
х*_2х 4-1
Пример 2. Найти lim -г. . Сначала находим пре-
Х-+1 х ~гъх
дел знаменателя: lim [хг-\-Ъх)= 12 + 5-1 =6; он не равен
Х-У1
нулю, значит, можно применить свойство 4 § 4, тогда x™i *” + &* ~~ lim {х2 Ъх) – 12 + 5-1 “”6
1
. Предел знаменателя
X X
равен нулю, поэтому свойство 4 § 4 применить нельзя. Так как числитель-постоянное число, а знаменатель [х2х)->-0
при х–1, то вся дробь неограниченно возрастает по абсолютной величине, т.

В данной статье вы узнаете о том, как решать пределы?
Решение пределов является одним из важных разделов математического и вычислительного анализа. Многие ученики и учащиеся вузов справляются с данной проблемой свободно, когда другие постоянно задают один и тот же вопрос: «Как решать пределы?».
Нахождение пределов тема актуальная. Существует множество способов решения пределов. Идентичные пределы можно найти согласно закону Лопиталя и без его помощи. Однако сначала нам следует разобраться, что же такое предел?
Первая — это всем известный значок lim, вторая, это то, что написано под ним.
Например: x -> 1 . Данная запись будет читаться так (икс стремиться к 1).
Третья часть это сама функция, которая стоит после знака lim.
Хотелось бы уточнить, значение икс стремится к 1, это то значение x , при котором х принимает определенные значения, которые близки к единице или почти с ней совпадают.
Решать пределы, дело легкое, если в них разобраться.
Первое правило решения пределов
В случае если предоставлена нам функция, попросту подставьте число в функцию. Это элементарные пределы, которые действительно встречаются в примерах и очень часто.
Есть пределы, где х->? Тогда бесконечность это та функция, где икс бесконечно возрастает. Значение такой функции является (1-х). Чтобы решить данный предел, нам необходимо следуя нашему первому правилу подставить значение (1-х) в функцию и получить ответ.
Из вышесказанного, для того чтобы обучиться решать наиболее непростые пределы, вы обязаны помнить правила решение элементарных пределов.
- Правило первое: Дана функция, подставляем число в функцию.
- Правило второе: Дана бесконечность, подставляем (1-х) в функцию.
Как только вы это поймете, то сразу начнете замечать элементарные пределы и сможете их решить. Вот мы и научились решать легкие пределы. Теперь ознакомимся с решением более сложных пределов.
Существует множество пределов с? Одним из таких вариантов является предел вида?/?
Такая функция возможна, когда х->?, а предел выражен в виде дроби.
Многие интересуются, просто ли решить такой предел?
Первое, что вы должны запомнить, вам необходимо найти в числителе х по старшинству, т.
?
Мы видим, что старшая степень в числителе это 2
Теперь, нам необходимо сделать тоже самое только со знаменателем. В знаменателе старшая степень тоже 2.
Принцип: Для того чтобы разрешить эту функцию, нам следует и делимое и делитель разделить на х в самой старшей степени в пределе. В случае если бы она равнялась 2. Если бы степень числителя равна была 4, а знаменателя 2, то мы бы выбирали 4. Потому, что это самая старшая степень в данной нам функции. Смотрите, как быстро мы обучились решать пределы вида?/?
Теперь рассмотрим, решение самых сложных пределов. Это вид 0/0.
Подобные пределы очень напоминают нам решение пределов вида бесконечность на бесконечность. Но есть отличие, которое важно помнить при решении. Когда икс стремится к бесконечности, то он бесконечно увеличивается, а тут он равен 0, т.е. конечному числу.
Чтобы разрешить подобную функцию, нам следует, и числители и знаменатель разложить на множители.
(2х+3) ?
Теперь нам необходимо почленно разделить числитель на знаменатель. Тогда же наше основание будет похоже на нашу неопределенность, но там знак минус, который нам мешает. Делаем дробь с тремя этажами и видим нашу неопределённость?/?. А такую функцию мы уже умеем вычислять. Делим обе части дроби на х, и готово. У нас получился ответ.
Хочу поздравить вас, дорогие читатели, вы научились решать пределы. Надеюсь, моя статья была познавательной, увлекательной и интересной!
Решение пределов функции онлайн . Найти предельное значение функции либо функциональной последовательности в точке, вычислить предельное значение функции на бесконечности. определить сходимость числового ряда и многое другое можно выполнить благодаря нашему онлайн сервису – . Мы позволяем находить лимиты функций онлайн быстро и безошибочно. Вы сами вводите переменную функции и предел, к которому она стремится, анаш сервис проводит все вычисления за вас, выдавая точный и простой ответ.
Причем для нахождения предела онлайн вы можете вводить как числовые ряды, так и аналитические функции, содержащие константы в буквенном выражении. В этом случае найденный предел функции будет содержать эти константы как постоянные аргументы в выражении. Нашим сервисом решаются любые сложные задачи по нахождению пределов онлайн , достаточно указать функцию и точку в которой необходимо вычислить предельное значение функции . Вычисляя пределы онлайн , можно пользоваться различными методами и правилами их решения, при этом сверяя полученный результат с решением пределов онлайн на www.сайт, что приведет с успешному выполнению задачи – вы избежите собственных ошибок и описок. Либо вы полностью можете довериться нам и использовать наш результат в своей работе, не затрачивая лишних усилий и времени на самостоятельные вычисления предела функции. Мы допускаем ввод таких предельных значений, как бесконечность. Необходимо ввести общий член числовой последовательности и www.
сайт вычислит значение предела онлайн на плюс или минус бесконечности.
Одним из основных понятий математического анализа является лимит функции и предел последовательности в точке и на бесконечности, важно уметь правильно решать пределы . С нашим сервисом это не составит никакого труда. Производится решение пределов онлайн в течение нескольких секунд, ответ точный и полный. Изучение математического анализа начинается с предельного перехода , пределы используются практически во всех разделах высшей математики, поэтому полезно иметь под рукой сервер для решения лимитов онлайн , каковым является matematikam.ru.
Введение. Модель идеального операционного усилителя / Хабр
Даже после появления цифровых вычислительных машин вычисления и обработка сигналов зачастую производились средствами аналоговой электроники. Основу этих устройств составляли операционные усилители.
Операционные усилители как класс появились в качестве унифицированных элементов аналоговых вычислительных машин (АВМ) после Второй Мировой войны.
На них собирались звенья, производящие математические операции: сложение, вычитание, интегрирование, дифференцирование и т.п. Слово «операционный» в названии появилось в силу этого факта. В качестве входного сигнала использовалось напряжение.
Вычисления могли быть достаточно сложными и требовать большого количества звеньев, что выдвигало достаточно жёсткие требования к унификации и стабильности характеристик операционных усилителей. Выполнение требований стабильности характеристик достигалось введением в схемы звеньев отрицательной обратной связи (ООС). Для унифицированных операционных усилителей применялась внешняя обратная связь. Характеристики такого звена определялись исключительно параметрами цепи обратной связи.
Массовое применение операционных усилителей началось со второй половины 60-х годов прошлого века, когда был налажен серийный выпуск относительно недорогих интегральных ОУ. Использование микросхем операционных усилителей стало тогда экономически целесообразным сначала в промышленной электронике, а затем и в бытовой технике.
В качестве КДПВ использована фотография советского аналога операционного усилителя LM101, одного из первых массовых интегральных ОУ.
▍ Идеальный операционный усилитель
Обычно операционный усилитель имеет два входа, инвертирующий и неинвертирующий, и один выход. ОУ усиливает разность напряжений на входах. Коэффициент передачи операционного усилителя с отключенной ООС – порядка 10
4…10
6(80…120 dB) в цепях постоянного тока.
Принцип действия ОУ наиболее наглядно раскрывается на модели «идеального операционного усилителя». Модель обладает следующими свойствами:
- Входы идеального ОУ не оказывают влияния на входные сигналы и имеют бесконечно большое сопротивление и бесконечно малую ёмкость.
- Выход идеального ОУ имеет нулевое сопротивление и может обеспечить на нагрузке любое напряжение и любой ток.
- Коэффициент передачи идеального ОУ стремится к бесконечности и не зависит от частоты входных сигналов.
- Время задержки распространения сигнала в идеальном ОУ равно нулю, сдвиг фаз отсутствует.
- Охваченный ООС идеальный ОУ стремится установить равное напряжение на входах.
Схема операционного усилителя без обратной связи представлена ниже:
Найти предел функции при стремлении x к нулю
Найдите предел функции при стремлении x к нулю
В этом разделе мы объясним, что это значит, когда предел функции стремится к нулю. Чтобы освоить техники, описанные здесь, важно, чтобы вы выполняли много упражнений, чтобы это стало вашей второй натурой. В этом примере мы используем программирование на Python для проверки предела, когда x достигает нуля. В математике предел — это значение, к которому функция в качестве входных данных «приближается» к некоторому значению. Пределы являются неотъемлемой частью исчисления (и математической оценки в целом) и используются для определения непрерывности, производных и интегралов.
В этой статье используются различные библиотеки Python. Установите этот флажок, если вы хотите вычислить предел функции в Python без построения графика с использованием Sympy. Теперь давайте посмотрим, как найти предел для данной функции, когда x стремится к нулю в коде Python.Предел функции
В случае математики предел функции является фундаментальным понятием в исчислении. Это анализ поведения этой функции вблизи определенного входа.Формальные определения, впервые сформулированные в XIX в., приведены ниже.Неформально функция f назначает выход f (x) каждому входу x. Мы говорим, что пределом на входе L функции является L: это означает, что f (x) движется ближе к L и ближе к x, потому что x приближается к P и движется. В частности, когда F применяется достаточно близко к P для любого входа, выходное значение произвольно принудительно приближается к L.
С другой стороны, если вход перемещается слишком близко к P для выходов, которые остаются на определенном расстоянии, то мы говорим, что предела не существует.
Предел функции имеет множество приложений в современном исчислении. В частности, в нескольких определениях непрерывности используется предел: в широком смысле функция является непрерывной, если все ее границы согласуются со значениями функции. Он также появляется в определении производной: в алгоритме переменной это конечное значение наклона вторых линий на графике функции. имеет много приложений в современном исчислении. В частности, в нескольких определениях непрерывности используется предел: в широком смысле функция является непрерывной, если все ее границы согласуются со значениями функции.Он также появляется в определении производной: в алгоритме переменной это конечное значение наклона вторых линий на графике функции.
Давайте посмотрим на код Python, чтобы узнать, как построить предел функции, когда x стремится к нулю.
1. Обсудите предел следующей функции при стремлении x к нулю.
импортировать numpy как np
из симпи импорта *
х = символы ('х')
init_printing (use_unicode = Истина)
печать (лимит (1 / х, х, 0, '+'))
печать (лимит (1 / х, х, 0, '-'))
участок(1/х) Вывод: оо
-оо 2.
Обсудите предел следующей функции при стремлении x к нулю.
импортировать numpy как np из симпи импорта * х = символы ('х') init_printing (use_unicode = Истина) печать (предел (грех (1/х), х, 0, '+')) печать (предел (грех (1/х), х, 0, '-')) сюжет (грех (1/х))Вывод: AccumBounds(-1, 1) AccumBounds(-1, 1)3. Обсудите предел следующей функции при стремлении x к нулю.
импортировать numpy как np
из симпи импорта *
х = символы ('х')
init_printing (use_unicode = Истина)
печать (лимит (cos (1/x), x, 0, '+'))
печать (лимит (cos (1/x), x, 0, '-'))
график (потому что (1/х))
Вывод: AccumBounds(-1, 1)
AccumBounds(-1, 1)
4.Обсудите предел следующей функции при стремлении x к нулю.
импортировать numpy как np
из симпи импорта *
х = символы ('х')
init_printing (use_unicode = Истина)
печать (предел (х * грех (1/х), х, 0, '+'))
печать (предел (х * грех (1/х), х, 0, '-'))
график (х * грех (1/х))
Выход: 0
5.
Обсудите предел следующей функции при стремлении x к нулю.
импортировать numpy как np
из симпи импорта *
х = символы ('х')
init_printing (use_unicode = Истина)
печать (лимит (x * cos (1/x), x, 0, '+'))
печать (лимит (x * cos (1/x), x, 0, '-'))
график (х * соз (1 / х)) Выход:0
6.Обсудите предел следующей функции при стремлении x к нулю.
импортировать numpy как np
из симпи импорта *
х = символы ('х')
init_printing (use_unicode = Истина)
печать (лимит (х ** 2 * грех (1/х), х, 0, '+'))
печать (лимит (x ** 2 * sin (1/x), x, 0, '-'))
график (х ** 2 * грех (1/х))
Выход: 0
7. Обсудите предел следующей функции при стремлении x к нулю.
импортировать numpy как np
из симпи импорта *
х = символы ('х')
init_printing (use_unicode = Истина)
печать (лимит (x ** 2 * cos (1/x), x, 0, '+'))
печать (лимит (x ** 2 * cos (1/x), x, 0, '-'))
график (х ** 2 * потому что (1 / х))
Выход: 0
Что такое 0^0?
В 1970 году Герберт Воган [10] выступал за явное признание вычисления 0 0 = 1.
x \mbox{, для всех } x.0.\]
Правая часть суммы равна e 0 = 1, поэтому 0 0 = 1.
Пример 3. набор отображений. В теории множеств возведение в степень кардинального числа определяется следующим образом:
a b — кардинальное число множества отображений множества из b элементов в множество из a элементов.
Например, 2 3 = 8, потому что существует восемь способов отобразить набор { x , y , z } в набор { a , b }. Чтобы вычислить 0 0 , определите количество отображений пустого множества в себя. Существует ровно одно такое отображение, которое само является множеством пустого множества. «Итак, что касается количественных чисел, — писал Воган, — 0 0 = 1».
Когда математик может захотеть, чтобы 0 0 было чем-то неопределенным? Если, например, мы обсуждаем функцию f ( x , y ) = x y , начало координат является разрывом функции.
Независимо от того, какое значение может быть присвоено 0 0 , функция x y никогда не может быть непрерывной при x = y = 0. Почему бы и нет? Предел x y по линии x = 0 равен 0, но предел по линии y = 0 равен 1, а не 0. Для согласованности и полезности “естественный” выбор был бы определить 0 0 = 1.
Предел “бесконечности” – подход к исчислению
4
Определение “становится бесконечным”
Пределы рациональных функций
Изменение переменной
БЕСКОНЕЧНОСТЬ вместе со своим символом ∞ не является числом и не местом.Когда в исчислении мы говорим, что что-то «бесконечно», мы просто имеем в виду, что нет предела его значениям.
Пусть f ( x ), например, будет . Затем, когда значения x становятся все меньше и меньше, значения f ( x ) становятся все больше и больше.
Независимо от того, какое большое число мы назовем, можно будет назвать значение x таким образом, что значение f ( x ) будет больше, чем это число, которое мы назвали.
Тогда мы говорим, что значения f ( x ) становятся бесконечными или стремятся к бесконечности. Мы говорим, что когда x приближается к 0, предел f ( x ) равен бесконечности.
Теперь предел — это число — граница. Поэтому, когда мы говорим, что предел бесконечен, мы имеем в виду, что нет числа и числа , которое мы можем назвать.
Студент должен знать, что слово бесконечный в том виде, в каком оно используется и использовалось исторически в исчислении, не имеет того же значения, что и в теории бесконечных множеств.См. это из Википедии, особенно взгляды Карла Фридриха Гаусса в разделе «Прием аргументации».
ОПРЕДЕЛЕНИЕ 4. становится бесконечным. Мы говорим, что переменная «становится бесконечной» или «стремится к бесконечности», если, начиная с определенного члена в последовательности ее значений, абсолютное значение этого члена и любого последующего термина, который мы называем, больше, чем любое положительное число, которое мы называем , однако большой.
Когда переменная равна x и принимает только положительные значения, тогда x становится положительно бесконечным.Мы пишем
Если x принимает только отрицательные значения, оно становится отрицательно бесконечным, и в этом случае мы пишем
В обоих случаях мы имеем в виду: Независимо от того, какое большое число M мы назовем, мы достигнем точки в последовательности значений x , когда их абсолютные значения станут больше, чем M.
Когда переменная является функцией f ( x ), и она становится положительно или отрицательно бесконечной, когда x приближается к значению c , тогда мы пишем
Хотя мы пишем символ «lim» для обозначения предела, эти алгебраические утверждения означают: Предел f ( x ), поскольку x приближается к c , не существует.Опять же, предел — это число. (Определение 2.
1.)
Определение 4 — это определение «становится бесконечным»; это не определение предела.
Что касается символа ∞, мы используем его в алгебраических утверждениях, чтобы показать, что определение становится бесконечным выполнено. Этот символ сам по себе не имеет значения.
| В качестве примера, вот график функции | г | = | 1 х | : |
Давайте посмотрим, что происходит со значениями и , когда x приближается к 0 справа:
Поскольку последовательность значений x становится очень маленькими числами, то последовательность значений y , обратных величин, становится очень большими числами.Значения y станут и останутся больше, например, чем 10 100000000 . y становится бесконечным.
Пишем:
Если x приближается к 0 слева, то значения становятся большими отрицательными числами.
В этом случае мы пишем
Когда функция становится бесконечной по мере того, как x приближается к значению c , тогда функция разрывна при x = c , а прямая линия x = c является вертикальной асимптотой графика.(Тема 18 предварительного исчисления.) Тогда график y = прерывист при x = 0, а прямая линия x = c является вертикальной асимптотой.
Далее рассмотрим случай, когда x становится бесконечным, то есть когда его значения становятся большими положительными числами справа от 0.
В этом случае становится очень маленьким числом, а именно 0. Мы пишем
Мы должны читать это как «предел, когда х становится бесконечным», а не как « х приближается к бесконечности», потому что, опять же, бесконечность не является ни числом, ни местом.С другой стороны, мы могли бы читать это, как нам заблагорассудится («предел x вызывает головокружение»), если любое выражение, которое мы используем, относится к условию Определения 4.
См. Первые принципы элементов Евклида, Комментарий к определениям. В частности, обратите внимание, что определение номинальное ; он утверждает только то, как будет использоваться слово или имя; и мы должны согласиться с этим.
Наконец, когда x становится бесконечным отрицательно, то есть когда оно принимает значения крайне слева от 0 (-∞), то снова приближается к 0.Пишем
Другими словами, всякий раз, когда x становится бесконечным положительно или отрицательно, значения y = приближаются к горизонтальной линии y = 0. Эта линия называется горизонтальной асимптотой графика.
| Задача 1. Оценить |
Чтобы увидеть ответ, наведите указатель мыши на цветную область.
Чтобы снова закрыть ответ, нажмите “Обновить” (“Reload”).
Сначала решай задачу сам!
При загар x не существует.
(Тема 15 и Тема 18 Тригонометрии.)
По мере приближения 90 321 x 90 322 слева, тангенс 90 321 x 90 322 становится больше, чем любое число, которое мы могли бы назвать. (Определение 4.)
Пределы рациональных функций
Рациональная функция — это частное полиномов (раздел 6 предварительного исчисления). Он будет иметь такой вид:
, где f и g — полиномы ( g 0).
Помимо постоянного члена, каждый член многочлена будет иметь множитель x n ( n ≥ 1). Поэтому исследуем следующие пределы.
c может быть любой положительной константой. Учащийся должен заполнить каждую правую часть.
Чтобы увидеть ответ, наведите указатель мыши на цветную область.
Чтобы снова закрыть ответ, нажмите “Обновить” (“Reload”).
Сначала сделай сам!
| 1) | = | 0 | |
| 2а) | = | ∞ | |
n четный.![]() | |||
| 2б) | = | ∞ | |
| n нечетный. | |||
| 2с) | = | −∞ | |
| n нечетный. | |||
| Сравните и = | 1 х | выше, где n = 1. |
| 3) | = | ∞ | |
| 4) | = | ∞ | |
| Пример. Докажите: |
Решение . Разделите числитель и знаменатель на наибольшую степень x .В этом случае разделите их на x 2 :
Согласно приведенному выше пункту 1 предел каждого члена, содержащего x , равен 0.
Следовательно, по теоремам темы 2 мы имеем требуемый ответ.
В подобных случаях первый шаг: Разделите числитель и знаменатель на степень x , которая стоит в старшем члене любого из них.
| Проблема 2. | = | 4 |
Результат следует после деления числителя и знаменателя на x .
| Задача 3. | = |
Другими словами: Когда числитель и знаменатель имеют одинаковую степень,
, тогда предел, когда x становится бесконечным, равен частному от старших коэффициентов.
Задача 4.
Далее рациональная функция обратна приведенной выше:
| = | = | ∞ |
Эта задача иллюстрирует:
Когда степень знаменателя больше степени числителя, то есть когда преобладает знаменатель, тогда предел, когда x становится бесконечным, равен 0.
Но когда преобладает числитель — когда степень числителя больше — тогда предел, когда x становится бесконечным, составляет .
Изменение переменной
Учитывайте это ограничение:
Вместо того, чтобы приближать переменную к 0, мы иногда предпочитаем, чтобы она стала бесконечной. В этом случае мы делаем замену переменной. Ставим x = или , не важно. Ибо x , приближающееся к 0, эквивалентно тому, что z становятся бесконечными.Затем
При замене x на , мы позволяем z стать бесконечными. Лимит остается 1.
Где это всплывет? В пределе, из которого мы вычисляем число e :
(Урок 15.)
Задача 5. В приведенном выше пределе измените переменную на n , и пусть она станет бесконечной.
Следующий урок: Производная
Содержание | Дом
Пожалуйста, сделайте пожертвование, чтобы TheMathPage оставался онлайн.
Даже 1 доллар поможет.
Copyright © 2021 Лоуренс Спектор
Вопросы или комментарии?
Электронная почта: [email protected]
Если предел последовательности равен 0, сходится ли ряд?
Это часть серии о распространенных заблуждениях.
Какое распространенное заблуждение?
Если члены последовательности становятся все меньше и меньше, гарантируется ли, что сумма всей последовательности есть некоторое конечное число? Например, этот простой ряд, приближающийся к 000, имеет сумму, сходящуюся к 2:
.1+12+14+18+116+⋯+12n=∑n=0∞12n=2.{\infty} a_n < \infty n→∞liman=0⟹n=1∑∞an<∞
Почему некоторые говорят, что это правда: Когда члены последовательности, которую вы складываете, все ближе и ближе к 0, сумма сходится к некоторому определенному конечному значению. Следовательно, пока члены становятся достаточно малыми, сумма не может расходиться.
{\infty } a_n < \infty n→∞liman=0⟹n=1∑∞an<∞ is false \color{#D61F06} {\textbf{false}}false.{N}\frac{1}{n}n=1∑Nn1 расходится при N→∞.N \rightarrow \infty.N→∞. (См доказательство здесь.)
Контрпример 2:
Мы также можем целенаправленно построить ряд, который совершенно очевидно не будет сходиться к конечной сумме, хотя расширенные члены ряда сколь угодно близки к 0. Рассмотрим этот ряд:
1+12+12+13+13+13+14+14+14+14+15+⋯ .1 + \frac{1}{2} + \frac{1}{2} + \frac{1} {3} + \frac{1}{3} + \frac{1}{3} + \frac{1}{4} + \frac{1}{4} + \frac{1}{4} + \ frac{1}{4} + \frac{1}{5} + \cdots.1+21+21+31+31+31+41+41+41+41+51+⋯.
Просто сгруппировав наборы одинаковых членов, мы можем сказать, что эта сумма не будет сходиться:
1+(12+12)+(13+13+13)+(14+14+14+14)+(15+⋯ )+⋯=1+1+1+1+1+⋯=∞.1 + \left(\frac{1}{2} + \frac{1}{2}\right) + \left(\frac{1}{3} + \frac{1}{3} + \frac{1 {3}\right) + \left(\frac{1}{4} + \frac{1}{4} + \frac{1}{4} + \frac{1}{4}\right) + \left(\frac{1}{5} + \cdots\right)+\cdots = 1 + 1 + 1 + 1 + 1 +\cdots = \infty.
1+(21+21)+(31 +31+31)+(41+41+41+41)+(51+⋯)+⋯=1+1+1+1+1+⋯=∞.{N} a_n \text{ расходится при } N \rightarrow \infty .n→∞liman=0⟹n=1∑Nan расходится при N→∞. Следовательно, если предел ana_nan равен 0, то сумма должна сходиться.
Ответ:
Да, первое, что вы узнаете о бесконечных рядах, это то, что если члены ряда не стремятся к 0, то ряд не может быть сходящимся. Это правда. Однако обратное утверждение неверно: как доказано выше, даже если члены ряда стремятся к 0, это не гарантирует, что сумма сходится.
Существует также правильный способ «обратить» утверждение в вашем утверждении, но это синтаксическое обращение, создающее второе утверждение, логически эквивалентное первому. Утверждение «если члены ряда не стремятся к 0, то ряд не может быть сходящимся» логически эквивалентно утверждению, что «если ряд сходится, то гарантируется, что члены ряда стремятся к 0». Более формально,
∑n=1Nan сходится при N→∞ ⟹ limn→∞an=0.{ N } a_{ n } \text{ сходится при } N \rightarrow \infty \ подразумевает \lim\limits _{ n\rightarrow \infty } a_{ n }=0.
n=1∑Nan сходится при N →∞⟹n→∞liman=0.
Если ваш учитель сказал, что «обратное» исходное утверждение также верно, скорее всего, он имел в виду такое обращение.
111 222 2π2\pi2π Не сходитсяОбратите внимание, что 1n→0\frac{1}{n} \rightarrow 0n1→0 при n→∞.\infty \frac1n = 1 + \frac12 + \frac13 + \frac14 + \frac15+ \cdots n=1∑∞n1=1+21+31+41+51+⋯
См.
также
%PDF-1.5
%
21 0 объект
>>>/BBox[0 0 453,6 680,35]/длина 123>>поток
xM [#’.\Zb($y!{iI(NՔrYOvt#+R|2q!ۻR}>/>Y#HwCmJkG|4/#~d$
конечный поток
эндообъект
16 0 объект
>>>/BBox[0 0 453,6 680,35]/длина 123>>поток
xM [#’.\Zb($y!{iI(NՔrYOvt#+R|2q!ۻR}>/>Y#HwCmJkG|4/#~d$
конечный поток
эндообъект
20 0 объект
>>>/BBox[0 0 453.6 680,35]/длина 123>>поток
xM [#’.\Zb($y!{iI(NՔrYOvt#+R|2q!ۻR}>/>Y#HwCmJkG|4/#~d$
конечный поток
эндообъект
11 0 объект
>>>/BBox[0 0 453,6 680,35]/длина 123>>поток
xM [#’.\Zb($y!{iI(NՔrYOvt#+R|2q!ۻR}>/>Y#HwCmJkG|4/#~d$
конечный поток
эндообъект
27 0 объект
>>>/BBox[0 0 453,6 680,35]/длина 123>>поток
xM [#’.\Zb($y!{iI(NՔrYOvt#+R|2q!ۻR}>/>Y#HwCmJkG|4/#~d$
конечный поток
эндообъект
19 0 объект
>>>/BBox[0 0 453,6 680,35]/длина 123>>поток
xM [#’.\Zb($y!{iI(NՔrYOvt#+R|2q!ۻR}>/>Y#HwCmJkG|4/#~d$
конечный поток
эндообъект
30 0 объект
>>>/BBox[0 0 453.6 680,35]/длина 123>>поток
xM [#’.\Zb($y!{iI(NՔrYOvt#+R|2q!ۻR}>/>Y#HwCmJkG|4/#~d$
конечный поток
эндообъект
26 0 объект
>>>/BBox[0 0 453,6 680,35]/длина 123>>поток
xM [#’.
\Zb($y!{iI(NՔrYOvt#+R|2q!ۻR}>/>Y#HwCmJkG|4/#~d$
конечный поток
эндообъект
13 0 объект
>>>/BBox[0 0 453,6 680,35]/длина 123>>поток
xM [#’.\Zb($y!{iI(NՔrYOvt#+R|2q!ۻR}>/>Y#HwCmJkG|4/#~d$
конечный поток
эндообъект
28 0 объект
>>>/BBox[0 0 453,6 680,35]/длина 123>>поток
xM [#’.\Zb($y!{iI(NՔrYOvt#+R|2q!ۻR}>/>Y#HwCmJkG|4/#~d$
конечный поток
эндообъект
29 0 объект
>>>/BBox[0 0 453.6 680,35]/длина 123>>поток
xM [#’.\Zb($y!{iI(NՔrYOvt#+R|2q!ۻR}>/>Y#HwCmJkG|4/#~d$
конечный поток
эндообъект
22 0 объект
>>>/BBox[0 0 453,6 680,35]/длина 123>>поток
xM [#’.\Zb($y!{iI(NՔrYOvt#+R|2q!ۻR}>/>Y#HwCmJkG|4/#~d$
конечный поток
эндообъект
5 0 объект
>>>/BBox[0 0 453,6 680,35]/длина 123>>поток
xM [#’.\Zb($y!{iI(NՔrYOvt#+R|2q!ۻR}>/>Y#HwCmJkG|4/#~d$
конечный поток
эндообъект
9 0 объект
>>>/BBox[0 0 453,6 680,35]/длина 123>>поток
xM [#’.\Zb($y!{iI(NՔrYOvt#+R|2q!ۻR}>/>Y#HwCmJkG|4/#~d$
конечный поток
эндообъект
4 0 объект
>>>/BBox[0 0 453.6 680,35]/длина 123>>поток
xM [#’.\Zb($y!{iI(NՔrYOvt#+R|2q!ۻR}>/>Y#HwCmJkG|4/#~d$
конечный поток
эндообъект
6 0 объект
>>>/BBox[0 0 453,6 680,35]/длина 123>>поток
xM [#’.
\Zb($y!{iI(NՔrYOvt#+R|2q!ۻR}>/>Y#HwCmJkG|4/#~d$
конечный поток
эндообъект
25 0 объект
>>>/BBox[0 0 453,6 680,35]/длина 123>>поток
xM [#’.\Zb($y!{iI(NՔrYOvt#+R|2q!ۻR}>/>Y#HwCmJkG|4/#~d$
конечный поток
эндообъект
1 0 объект
>>>/BBox[0 0 453,6 680,35]/длина 123>>поток
xM [#’.\Zb($y!{iI(NՔrYOvt#+R|2q!ۻR}>/>Y#HwCmJkG|4/#~d$
конечный поток
эндообъект
10 0 объект
>>>/BBox[0 0 453.6 680,35]/длина 123>>поток
xM [#’.\Zb($y!{iI(NՔrYOvt#+R|2q!ۻR}>/>Y#HwCmJkG|4/#~d$
конечный поток
эндообъект
18 0 объект
>>>/BBox[0 0 453,6 680,35]/длина 123>>поток
xM [#’.\Zb($y!{iI(NՔrYOvt#+R|2q!ۻR}>/>Y#HwCmJkG|4/#~d$
конечный поток
эндообъект
7 0 объект
>>>/BBox[0 0 453,6 680,35]/длина 123>>поток
xM [#’.\Zb($y!{iI(NՔrYOvt#+R|2q!ۻR}>/>Y#HwCmJkG|4/#~d$
конечный поток
эндообъект
14 0 объект
>>>/BBox[0 0 453,6 680,35]/длина 123>>поток
xM [#’.\Zb($y!{iI(NՔrYOvt#+R|2q!ۻR}>/>Y#HwCmJkG|4/#~d$
конечный поток
эндообъект
24 0 объект
>>>/BBox[0 0 453.6 680,35]/длина 123>>поток
xM [#’.\Zb($y!{iI(NՔrYOvt#+R|2q!ۻR}>/>Y#HwCmJkG|4/#~d$
конечный поток
эндообъект
3 0 объект
>>>/BBox[0 0 453,6 680,35]/длина 123>>поток
xM [#’.
\Zb($y!{iI(NՔrYOvt#+R|2q!ۻR}>/>Y#HwCmJkG|4/#~d$
конечный поток
эндообъект
23 0 объект
>>>/BBox[0 0 453,6 680,35]/длина 123>>поток
xM [#’.\Zb($y!{iI(NՔrYOvt#+R|2q!ۻR}>/>Y#HwCmJkG|4/#~d$
конечный поток
эндообъект
12 0 объект
>>>/BBox[0 0 453,6 680,35]/длина 123>>поток
xM [#’.\Zb($y!{iI(NՔrYOvt#+R|2q!ۻR}>/>Y#HwCmJkG|4/#~d$
конечный поток
эндообъект
8 0 объект
>>>/BBox[0 0 453.6 680,35]/длина 123>>поток
xM [#’.\Zb($y!{iI(NՔrYOvt#+R|2q!ۻR}>/>Y#HwCmJkG|4/#~d$
конечный поток
эндообъект
15 0 объект
>>>/BBox[0 0 453,6 680,35]/длина 123>>поток
xM [#’.\Zb($y!{iI(NՔrYOvt#+R|2q!ۻR}>/>Y#HwCmJkG|4/#~d$
конечный поток
эндообъект
17 0 объект
>>>/BBox[0 0 453,6 680,35]/длина 123>>поток
xM [#’.\Zb($y!{iI(NՔrYOvt#+R|2q!ۻR}>/>Y#HwCmJkG|4/#~d$
конечный поток
эндообъект
32 0 объект
>поток
Королевское общество ©2017ABBYY Recognition Server; изменено с использованием iText 4.2.0 автором 1T3XT
Произошла ошибка при настройке пользовательского файла cookie
Произошла ошибка при настройке пользовательского файла cookie Этот сайт использует файлы cookie для повышения производительности.
Если ваш браузер не принимает файлы cookie, вы не можете просматривать этот сайт.
Настройка браузера на прием файлов cookie
Существует множество причин, по которым файл cookie не может быть установлен правильно. Ниже приведены наиболее распространенные причины:
- В вашем браузере отключены файлы cookie. Вам необходимо сбросить настройки браузера, чтобы принять файлы cookie, или спросить вас, хотите ли вы принимать файлы cookie.
- Ваш браузер спрашивает, хотите ли вы принимать файлы cookie, и вы отказались.Чтобы принять файлы cookie с этого сайта, нажмите кнопку «Назад» и примите файл cookie.
- Ваш браузер не поддерживает файлы cookie. Попробуйте другой браузер, если вы подозреваете это.
- Дата на вашем компьютере в прошлом. Если часы вашего компьютера показывают дату до 1 января 1970 г.,
браузер автоматически забудет файл cookie. Чтобы это исправить, установите правильное время и дату на своем компьютере.

- Вы установили приложение, которое отслеживает или блокирует установку файлов cookie.Вы должны отключить приложение при входе в систему или проконсультироваться с системным администратором.
Почему этому сайту требуются файлы cookie?
Этот сайт использует файлы cookie для повышения производительности, запоминая, что вы вошли в систему, когда переходите со страницы на страницу. Предоставить доступ без файлов cookie потребует от сайта создания нового сеанса для каждой посещаемой вами страницы, что замедляет работу системы до неприемлемого уровня.
Что сохраняется в файле cookie?
Этот сайт не хранит ничего, кроме автоматически сгенерированного идентификатора сеанса в файле cookie; никакая другая информация не фиксируется.
Как правило, в файле cookie может храниться только информация, которую вы предоставляете, или выбор, который вы делаете при посещении веб-сайта.
Например, сайт
не может определить ваше имя электронной почты, если вы не решите ввести его. Разрешение веб-сайту создавать файлы cookie не дает этому или любому другому сайту доступ к
остальной части вашего компьютера, и только сайт, создавший файл cookie, может его прочитать.
Goal Zero Yeti 1000 vs jackery 1000. Для хранения зарядных устройств предусмотрен мягкий чехол. 27 августа 2021 г. – Краткий обзор: сравнение / различия аккумуляторных электростанций на 1000 Втч: Goal Zero Yeti 1000 Core (1000c), 1000x, Lithium, Jackery Explorer 1000 Приведенная выше статистика взята с веб-сайта Goal Zero. Для зарядки Yeti 1500X от Goal Zero требуется девять часов с помощью стандартного зарядного устройства на 120 Вт. Несмотря на то, что Explorer 1500, как указано выше, поставляется с двумя дополнительными элементами в комплекте.Экофлоу Дельта. Jackery 1000 vs Blueetti EB150 Jackery Explorer 1000 Jackery Explorer 1000. Теперь перейдем к главному.
Импульсная мощность Goal Zero составляет 3000 Вт, а у Jackery — 2000 Вт, причем разница в импульсной мощности более заметна, чем разница в емкости аккумулятора. Внутренняя батарея 10. 0 порт. Потому что Jackery предлагает более длительное время работы, более быструю зарядку и, наконец, дешевле, чем Goal Zero. Разработанный для того, чтобы вместить на 20% больше энергии в корпус, который на 20% меньше и легче, чем его предшественник, 500X идеально подходит для длительных походов, вечеринок на заднем дворе или на ходу, если Goal Zero Yeti 1000 Core теперь выпущен на Амазоне.Возможность многоступенчатого перенапряжения запатентованного инвертора переменного тока мощностью 1500 Вт устанавливает новый отраслевой стандарт для портативного питания и позволяет вам питать больше устройств, чем когда-либо прежде: электроинструменты, электрические чайники, холодильники и многое другое. Солнечные панели продаются отдельно. Анонсированные модели включают Yeti 6000X, 3000X, 1500X, 1000X, 500X и 200X.
Оптимизация солнечной зарядки. Даже если вы начали с базовой системы, используя 400 долларов США (по состоянию на октябрь. Купите портативную электростанцию GOAL ZERO Yeti 500X с более легкой и большей мощностью по сравнению с более ранними Yetis, литий-ионной батареей NMC большой емкости 505 Вт-ч, входной и выходной мощностью в реальном времени. Дисплей, зарядка от 110 В переменного тока, 12 В постоянного тока или солнечной батареи, две стандартные американские настенные розетки 110 В переменного тока, порт питания USB Type-C мощностью 60 Вт (PD), два порта USB 2.Сосредоточившись на том, чтобы сделать жизнь на свежем воздухе лучше, Джекери не разочаровывает. На рынке есть множество солнечных машин, и все они обещают одно и то же — легкую и чистую энергию. Выучить больше. Он был надежным и обеспечивал всю необходимую мне мощность. С 1516 ватт-часов, или 140. Очевидно, есть много других мелких вещей, которые вам понадобятся, например… Tienda Internacional; Джуэгос ПК; Курсос бесплатно; Пеликулас; Куэнта; Избранное; Каррито; Contacto Jackery Explorer 1000 Проверить цену Это устройство Goal Zero Yeti 1500x представляет собой надежный солнечный генератор в удобной для хранения упаковке.
Хотя обе эти портативные электростанции имеют схожие функции и параметры производительности, есть небольшие различия, которые делают их лучше других в некоторых аспектах. Сейчас ему год или два, и я не работаю полный рабочий день, но мне это нравится. Однако его цена может отпугнуть новых покупателей. Между тем, EcoFlow Delta 1300 занимает около 1. Итак, если вам нужен генератор на солнечной энергии, надежный в … Если вы объедините Goal Zero Boulder 200 (или 2 Boulder 100) с Yeti 1000 Lithium, это будет стоить больше, чем Jacker. Explorer 1000 + двойной комплект SolarSaga 100 Вт.Jackery Goal Zero Yeti 1000 Core Goal Zero — компания, основанная на философии, согласно которой люди должны иметь доступ к власти в любое время и в любом месте. Быстрая зарядка от стены Yeti 1000X предлагает несколько вариантов подзарядки. Портфель солнечного генератора Point Zero Energy Titan 1000 — один из самых мощных солнечных генераторов на рынке, что делает его идеальным для резервного питания дома. 24 дюйма в длину.
Jackery — очень уважаемый бренд в индустрии солнечных генераторов, а Jackery Explorer 1000 — его последняя модель с самой высокой мощностью.ПРОБЛЕМА № 1: ЗАРЯДКА СОЛНЕЧНЫМ ИСТОЧНИКОМ У меня был Goal Zero Yeti 1250 с дополнительной батареей на 100 Ач, подключенной к нему, и солнечной панелью стороннего производителя на 120 Вт, которая достаточно хорошо работала для питания моего холодильника Dometic, потолочного вентилятора и освещения в моем Promaster. Давайте сравним это с аналогичными генераторами. Anker производит широкий ассортимент аккумуляторов, Ecoflow предлагает устройства для сверхбыстрой зарядки, а Jackery тоже начинает завоевывать популярность. Он больше и тяжелее других в нашем списке из-за батареи большей емкости. Лучшая портативная электростанция.Солнечная панель Boulder имеет максимальную мощность 7 А при напряжении от 14 до 22 В, в зависимости от количества солнечного света. ), автомобильная розетка 12 В (30 часов. Все их электростанции U. Наша уникальная и эксклюзивная новая конструкция обмотки, KLEEN-POWER, позволяет подключать любой тип чувствительного к напряжению микропроцессорного оборудования, такого как компьютеры, усилители, системы охранной сигнализации, открыватели гаражных ворот или … Tienda Internacional, Juegos Pc, Cursos Gratis, Películas, Cuenta, Favoritos, Carrito, Contacto Найдите много отличных новых и подержанных вариантов и получите лучшие предложения для Goal Zero Yeti 1000 Lithium Portable Power Станция в отличном чистом состоянии по лучшим онлайн-ценам на eBay!Бесплатная доставка для многих продуктов!Salah satu pesaing langsung Goal Zero, Jackery, juga membuat baterai 1.
Комплект солнечного портфеля Point Zero Energy Titan 1000. Раньше у нас был Yeti Lithium 1000, и он работал в холодильнике почти 6 дней. Цель Зеро Йети 500X. Неплохо для хранения 1000wh. Пожалуйста, без вопросов по ремонту. Сетевой фильтр между йети и табом не использую. Обладая мощностью 505 Втч и выходной мощностью переменного тока 300 Вт, он будет заряжать и питать практически все, что вы возьмете с собой в поход. Yeti 400 Lithium весит всего 17 фунтов и имеет максимальную выходную мощность 1200 Вт. 00 . Обратите внимание, что он не может поддерживать устройства мощностью более 1000 Вт.Кроме того, очень похоже на Inergy Apex, который обычно продается примерно за 1500 долларов, Bluetti стоит на 100 долларов меньше. Хотя нет конкретной линии, различающей какие-либо два класса батарей, используемых для питания электроники, в этом есть инвертор на 1200 Вт и два порта переменного тока на 120 В. Вы можете заказать AC200 за a. Легкий вес; Компактный размер с хорошей производительностью. Зарядите его от солнца с помощью солнечной панели Goal Zero (продается отдельно, 6+ часов.
Емкость аккумулятора Explorer 1000 составляет 46. По теме: Goal Zero Yeti 400 против Jackery Explorer 500). Заряженный Yeti, он сможет максимизировать мощность и подавать 50 Вт на свет, но если ваш Yeti заряжен на 20%, это … Целевой ноль Yeti 1000 против Ecoflow Delta 1300.2020) в паре с Goal Zero Yeti 1500x (2000 долларов США по состоянию на октябрь). Лучшая электростанция среднего размера: Goal Zero Yeti 400. Goal Zero Yeti 1000X выгодно отличается, хотя и обеспечивает меньшую мощность, но цена снова склоняет чашу весов в пользу Однако Goal Zero больше не является единственным известным брендом в области портативных аккумуляторов. EB70 и Jackery Explorer 500 имеют 34 клавиши для поиска различий.В то время как размер и вес (46 фунтов) могут быть слишком велики для некоторых, Yeti 1000x имеет огромную мощность 983 Втч, что лишь немного ниже, чем у Jackery Explorer 1000 с мощностью 1002 Втч. Полное отключение электричества на 12 часов. Jackery Explorer 1000. Многие из этих моделей доступны на Amazon Prime.
Подключите разъемы MC4 солнечной панели к разъему Goal Zero Yeti 1250 Anderson Powerpole с защитой от пальцев. Взвешивание… Прощай, газогенератор. Комбинация Jackery 1000 имеет хорошую цену за то, что вы получаете, и я Jackery Explorer 1000 + 2 солнечных генератора SolarSaga 100 Вт — это солнечное решение, которое сочетает в себе портативную электростанцию Jackery Explorer 1000 с 2 солнечными панелями SolarSaga 100 Вт.Хотя размер и вес (46 фунтов) могут быть слишком большими для некоторых моделей For the Goal Zero Yeti 200x, это 187 ватт-часов; для Paxcess 300W это 288 ватт-часов. Мне нравится, что он полностью съемный и его можно заряжать в номере отеля, если я решу остаться в нем. Цель Зеро Йети 400. Очень хорошо. Пожалуйста, выберите рейтинг. Время зарядки зависит от размера солнечной панели. Наш уникальный и эксклюзивный новый дизайн обмотки, KLEEN-POWER, позволяет подключать любой тип чувствительного к напряжению микропроцессорного оборудования, такого как компьютеры, усилители, системы охранной сигнализации, открыватели гаражных ворот или… встроенная модульная авионика.
чтобы идентифицировать старинную прялку / электростанцию эго против нулевой цели.29 долларов. Оба могут заряжаться от настенной розетки, автомобиля или солнечных батарей. Популярный GZ Yeti 500X обойдется вам в 700 долларов или 1 доллар. Более 5000 долларов + Посмотреть все. Никто не оценил Goal Zero Yeti 1000 и… Портативная электростанция Goal Zero Yeti 1000 Lithium — это большая портативная электростанция, которую можно использовать для резервного питания дома или в походах на открытом воздухе, хотя ее вес 40 фунтов и большой размер делают ее более подходит для резервного домашнего питания на мой взгляд. Yeti немного превосходит Explorer с точки зрения мощности переменного тока: 1500 Вт и 3000 Вт по сравнению с 1000/2000 Вт у Explorer, и он предлагает 1045 Вт по сравнению с 1002 Вт у Explorer.При условии одобрения кредита. Jackery Explorer 1000 + 2 солнечных генератора SolarSaga мощностью 100 Вт — это солнечное решение, сочетающее портативную электростанцию Jackery Explorer 1000 с двумя солнечными панелями SolarSaga мощностью 100 Вт.
Посмотреть статью на CNET Эта история является частью Road Trip 2020, серии CNET о том, как мы сейчас готовимся к тому, что может произойти дальше. Внутри коробки находятся электростанция Goal Zero Yeti 500X и настенное зарядное устройство. На Amazon Jackery 1000 очень популярен. Кроме того, можно с уверенностью сказать, что Goal Zero Yeti 1000 является более популярным генератором энергии, судя по более чем 100 отзывам.У меня в фургоне есть розетка 110, так что я посмотрю, достаточно ли быстро она зарядит Jackery. После обзора Jackery 1000 в начале этого года я могу сказать, что последняя батарея Goal Zero, Yeti 1000 Core, также имеет два выхода USB-C и один Quick Charge 3. Зарядка Yeti с помощью прилагаемого настенного адаптера происходит медленно. EGO Nexus Power Sation (1120 Втч): 1299 долларов; Goal Zero Yeti 1400 (1400 Втч): 1799 долларов. Изготовлен из сверхгибкого силового провода 10 калибра. Такие устройства, как Delta, предлагают невероятную емкость аккумулятора.Я провел тот же тест накануне с моим Goal Zero 1000, и он длился весь день с оставшимся 67%.
Держите все свои устройства и бытовую технику малого и среднего размера заряженными с помощью портативной электростанции Yeti 500X. Maxoak Bluetti AC50 — это электростанция, у которой много конкурентов, она похожа на Goal Zero Yeti 500X, Rockpals 500W и Jackery Explorer 500. Способы зарядки. Вы не хотите таскать 40 фунтов по грязному лагерю. 50 за ватт-час. Мы используем Goal Zero Yeti 6000x для нашей сборки.В этом случае у вас должно получиться питание телевизора примерно на 4 часа (200/50). Jackery Explorer 1000 требует 1002 ватт-часа. Goal Zero — еще один ведущий бренд в сфере аккумуляторных электростанций. tv/amazon для товаров и скидок!. Удобный размер Yeti обеспечивает оптимальное удобство использования во время отпуска или в качестве экстренной помощи дома. Итак, если вам нужен надежный генератор на солнечной энергии… Я подключил рабочий свет к Goal Zero Yeti 200x, Rockpals 300W и Paxcess 300W.Goal Zero также производит аксессуары, такие как автомобильный зарядный комплект Yeti Link и бак Yeti, а также связь Yeti для дальнейшей оптимизации электростанции.
В то время как размер и вес (46 фунтов) могут быть слишком большими для некоторых, Jackery Explorer 1000 заслуживает места в вашем багаже. 4 Единственным прямым конкурентом Jackery является Yeti 1000 компании Goal Zero. Разработана, чтобы быть самой универсальной и лучшей бюджетной солнечной батареей? Это один из вопросов, которые мне задают чаще всего. Купить на Амазонке. Итак, если вам нужен генератор на солнечной энергии, надежный в … Даже самый большой нулевой показатель не будет питать обогреватель (1 кВт, который разрядит Yeti 1250 за 40 минут) или мини-холодильник в течение очень долгого времени (лучшие мини-холодильники используйте 300-400 Втч в день, что разрядит йети 1250 до 50% за 2 дня).нет Между Jackery Explorer 1000 и Goal Zero Yeti 1000 Core различия менее выражены. Портативная электростанция Goal Zero Yeti 400. ком. Этот солнечный генератор надежен и … Найдите много отличных новых и подержанных вариантов и получите лучшие предложения на портативную электростанцию Goal Zero Yeti 1000 Lithium в отличном чистом состоянии по лучшим онлайн-ценам на eBay! Бесплатная доставка многих товаров! Goal Zero Yeti 1000 X очень похож по емкости аккумулятора и мощности инвертора.
Хотя нет конкретной линии, различающей любые два класса аккумуляторов, используемых для питания электроники, этот оснащен инвертором мощностью 1200 Вт. Goal Zero Yeti 1000 требует напряжения ниже 22 В постоянного тока для зарядки и выше 14 В постоянного тока (насколько я помню).Портативные электростанции — это меньшие по размеру и менее известные родственники генераторов. Стартер темы. Jackery Explorer 500 — это надежный продукт с продуманным дизайном. Описание. 95. Не эффективен для приборов высокой мощности. Портативная электростанция проста в использовании и портативна. Для Goal Zero Yeti 200x это 187 ватт-часов; для Paxcess 300W это 288 ватт-часов. 1399 долларов. 1500 поставляется с 4 солнечными панелями по 100 Вт, а 1000 — 2 солнечными панелями по 100 Вт. У меня есть солнечная батарея на крыше и блок предохранителей на 12 В для светодиодных фонарей и вентилятора.Используя литиевую батарею, эта электростанция поддерживает работу ваших крупных приборов. Jackery Explorer 1000 способен вырабатывать 1000 ватт непрерывной мощности и 2000 ватт пиковой мощности.
3. Получайте электроэнергию, где бы вы ни находились, с помощью портативного генератора на батарейках. Портативная литиевая электростанция Goal Zero Yeti 1400 (1999 долл. США, www. Хотя нет конкретной линии, различающей любые два класса батарей, используемых для питания электроники, эта модель оснащена инвертором мощностью 1200 Вт. Солнечные генераторы, которые нам больше всего нравятся, — это Jackery Explorer 500. , Goal Zero Yeti 1400 Lithium и Point Zero Energy Titan 1000.Имя Электронная почта Веб-сайт. Jackery Explorer 1500. Jackery Explorer 1000 — Лучший большой солнечный генератор. Главное, что у него есть, это цена… 899 долларов со скидкой 100 долларов на Amazon. Хватит… Максимальная мощность Yeti 200X составляет 200 Вт. Этот солнечный генератор является надежным и… Goal Zero Yeti 1000 X очень похож по емкости аккумулятора и мощности инвертора. Чем он отличается от других литиевых электростанций мощностью 1000 Вт или выше? Подобные электростанции, такие как Bluetti, Suaoki, ECOFLOW и Goal Zero Yeti, стоят около 1 доллара за штуку.
От USB до переменного тока Goal Zero Yeti 1000 Lithium имеет выходы, необходимые для выполнения работы, независимо от того, находитесь ли вы в помещении или на улице.Итак, если вам нужен надежный генератор на солнечной энергии в… Хотя в Goal Zero не указаны технические характеристики, номер модели является приблизительным показателем емкости каждой батареи в ватт-часах. Они делают почти все, что вам нужно, и это конкурентоспособные цены. Не уверен, что вы можете найти большую скидку на них где-либо, такие швы, как Goal Zero, держат цены заблокированными. Его универсальный набор мощных выходов (USB, переменный ток и 12 В) позволяет одновременно подключать 7 устройств, а его инвертор с чистой синусоидой Найдите множество отличных новых и бывших в употреблении вариантов и получите лучшие предложения для портативной электростанции Goal Zero Yeti 1000 Lithium. Отличное чистое состояние по лучшей онлайн-цене на eBay! Бесплатная доставка многих товаров! Здесь мы хотели бы провести сравнение моделей EcoFlow и Jackery; EcoFlow Delta и Jackery Explorer 1500.
Эти универсальные устройства размером с ланч-бокс можно брать с собой в походы… У меня есть Goal Zero 1000, и внутренняя батарея разряжена. Так как автомобильный аккумулятор Goal Zero Yeti 400 литиевая портативная электростанция. Yeti — это несколько электростанций с чистой синусоидой на выходе. Наконец, есть тот факт, что Goal Zero Yeti 1000 также производит ряд литий-ионных аккумуляторов. Хотя размер и вес (46 фунтов) могут быть слишком велики для некоторых аккумуляторов Goal Zero стоимостью от 1 доллара. Проверено и протестировано Вот шанс получить дополнительную скидку на Jackery Vs Goal Zero 1000 .Проверено и протестировано Покупки Jackery Vs Goal Zero Reddit в первый раз Я только что получил один, чтобы использовать его во время кемпинга с нашим холодильником Dometric. Это очень мило. Выбор между Bluetti EB150 и Jackery 1000 является трудным, потому что эти два устройства являются лучшими вариантами. Комплект портативной солнечной панели мощностью 100 Вт с подставкой Складное зарядное устройство на солнечной панели для электростанции Jackery, электростанции Goal Zero Yeti 8 мм, портативной электростанции Suaoki… элемент 3 Генератор литиевой электростанции Goal Zero Yeti 1000 — 1500 Вт/3000 Вт + 2-е зарядное устройство 3 — Goal Zero Yeti 1000 Lithium Генератор электростанции-1500Вт/3000Вт+2 зарядное устройство.
Цена по прейскуранту: 1099 долларов. Лучший выбор для большинства людей: Goal Zero Yeti 500X. 0 и один порт USB-C мощностью 18 Вт, один автомобильный порт постоянного тока 12 В, … Портативная электростанция Goal Zero Yeti Lithium 1500X. Namun, Explorer terasa kurang kokoh, dan bungkus plastiknya tidak terasa seperti penalti Goal Zero. Yeti 400 Lithium (17lbs) Это новая версия нашего Yeti 400 (AGM) и младший брат нашего нового Yeti 1000 Lithium. Если вы хотите, чтобы ваш телевизор работал весь день, портативный литиевый аккумулятор Goal Zero Yeti 400 Goal Zero Yeti 3000X + Nomad 200 Solar Generator Kit Yeti 3000X Power Station оснащен инвертором мощностью 2000 Вт Аккумулятор на 3000 Вт·ч Пять портов: розетки переменного тока, Порты USB-A, USB-C, 12 В и порты высокой мощности (HPP). Включает солнечную панель Nomad 200, которая заряжает электростанцию при отключении электроэнергии. Мы хотели бы провести сравнение EcoFlow и Jackery с моделями; EcoFlow Delta и Jackery Explorer 1500.Однако можно утверждать, что после настройки рукоятки и удаления некоторых элементов «научно-фантастического реквизита 80-х» на передней панели он стал больше похож на лишенный чувства юмора функциональный элемент оборудования, а не на причудливый элемент дизайна.
версия AGM была. Аккумулятор емкостью 8 Ач, поэтому для зарядки от 0 до 100% с помощью прилагаемого зарядного устройства требуется 18 часов. Рейтинг отзывов. РЕЗЮМЕ Итак, Goal Zero Yeti 1000, как правило, получает более положительные отзывы, чем Jackery Explorer 440, как видно из диаграммы ниже. Jackery была опорой на рынке портативных источников питания в течение нескольких лет, и сегодня компания продолжает устанавливать стандарты.00. Итак, если вам нужен генератор на солнечных батареях, надежный в … Привет, у меня есть два литиевых аккумулятора Yeti 1000, которые меня очень разочаровали по сравнению с моим предыдущим Yeti 1250. Комбинация Jackery 1000 имеет хорошую цену за то, что вы получаете. и является превосходным продуктом с точки зрения чистой, экологичной и надежной энергии. Ваши вопросы и ответы могут быть опубликованы на MowersAtJacks. … 1. В пакете Jackery такой необходимости нет. Это в два раза больше, чем у его предшественника Jackery Explorer 500, который имеет вдвое меньшую емкость и меньше опций.
Наш уникальный и эксклюзивный новый дизайн обмотки, KLEEN-POWER, позволяет подключать любой тип чувствительного к напряжению микропроцессорного оборудования, такого как компьютеры, усилители, системы охранной сигнализации, устройства открывания гаражных ворот или… EGO Nexus Power Sation (1120 Втч): 1299 долларов США; Goal Zero Yeti 1400 (1400 Втч): 1799 долларов. Обладая мощностью 6000 ватт-часов и двумя портами для зарядного устройства переменного тока мощностью 2000 Вт, он обеспечит вам достаточную мощность для вашего дома. Комментарий. (не деньги), мы обнаружили, что нашим конкретным требованиям отвечает Yeti Goal Zero 3000X с солнечными панелями.И в Goal Zero Yeti 1000, и в Jackery 1000 используются литий-ионные батареи, и их также можно использовать во время подзарядки. Это бесшумный выход, который идеально подходит для ноутбуков и музыкальных плееров. Как я писал в своем обзоре Jackery 1000, для электростанций критична скорость зарядки. Goal Zero Yeti 1000 по сравнению с Ecoflow Delta 1300 — EcoFlow DELTA, ранее называвшийся От производителя Эти функции сверхмощного генератора включены в каждый генератор GEN-PRO и не имеют себе равных ни в одном другом генераторе.
И у Jackery Explorer 1000 есть определенные функции, которых не хватает… 1.Плюс: все это в одном автономном пакете. Мощность, необходимая для зарядки ноутбука, зависит от уровня заряда ноутбука и способа его использования: ноутбуку с разряженными батареями (почти разряженными) требуется больше энергии для зарядки, чем тому, который уже заряжен на 90%. Goal Zero Yeti 150. Одним из самых популярных генераторов для жилых автофургонов с батарейным питанием на рынке сегодня является Goal Zero Yeti. Будучи одной из самых универсальных и инновационных электростанций на рынке, Goal Zero Yeti 1000 оснащен инвертором переменного тока мощностью 1500 Вт, предназначенным для решения любых задач как в помещении, так и на улице.4. Легче Портфель Goal Zero Boulder 100 представляет собой монокристаллическую солнечную панель мощностью 100 Вт (около 300 долларов США), что делает комбинацию с блоком питания Yeti 400 примерно 900 долларов (примерно на 100 долларов меньше, чем комбинация Jackery). Так что, если вам нужен генератор на солнечной энергии, надежный в … Goal Zero Yeti 1000 Core — это последнее.
Имея мощность 1002 Втч, он может обеспечивать мощность 1000 Вт (импульсная мощность 2000 Вт) с использованием нескольких выходных портов. Для таких приборов, как 12-вольтовый холодильник, требуется регулируемый выход 12 В, а для моего Goal Zero Yeti 1400 это требует от меня использования дополнительного аксессуара, подключенного между холодильником и рюкзаком.none Это отличные источники энергии для чрезвычайных ситуаций, кемпинга, рыбалки, отдыха и многого другого. Кроме того, он оснащен аккумуляторной батареей емкостью 1002 Втч, которая может обеспечивать 1000 Вт непрерывной работы и 2000 Вт пиковой мощности. 000 ватт. Если вы не возражаете пожертвовать небольшой мощностью, Explorer 500 предлагает самую высокую производительность на доллар среди всех протестированных нами моделей, с такой же прочной конструкцией, как и его старший брат… Сравнение Goal Zero Yeti 1000 и Jackery Explorer 1500 имеет 34 клавиши. чтобы найти отличия. Итак, давайте сравним Bluetti AC200P с Pecron Q3000S и посмотрим, какая из них является лучшей портативной электростанцией.
S. 2. Jackery Explorer 1000. 5. Он весит чуть более 30 фунтов и обещает обеспечить работу большого количества снаряжения как во время чрезвычайной ситуации, так и во время веселого кемпинга. Новейшая электростанция Goal Zero, Yeti 1000X, стремится заполнить нишу между батареи меньшего размера и его самые большие и тяжелые модели, преодолевая разрыв между использованием дома и путешествий. Это классная функция, которой не хватает большинству других аккумуляторов. Входной порт 8 мм можно найти на электростанциях Jackery Explorer, электростанциях Goal Zero Yeti, Maxoak AC50 (щелкните, чтобы посмотреть на Amazon) и нескольких других электростанциях, представленных на рынке.Anker PowerHouse 200 — лучшие бюджетные солнечные генераторы. Портативные солнечные панели, электростанции, зарядные устройства, фонари и динамики для аварийных ситуаций, автономных, наружных и повседневных сценариев. Есть также два выхода USB-C и один выход Quick Charge 3. Не поймите меня неправильно, мне очень нравится Jackery, он легче, чем Goal Zero, он будет питать мои устройства, у него есть USB-C, которого нет у GZ.
имеют. Это тоже в одном Goal Zero Yeti 3000X против Bluetti AC200P — 5 отличий, которые вам нужно знать Cheeky Limitless против Sage Spectrum Max — Лучшее сравнение нахлыстовых катушек Jackery Explorer 1000 против Bluetti EB150 — Сравнение солнечных электростанций Goal Zero — еще одно громкое имя в солнечной и индустрии портативных электростанций, так что давайте посмотрим на их сопоставимый Yeti 1000 рядом с Jackery Explorer 1000.4 кг). В последнее время появилось множество новых продуктов от известных брендов, таких как Jackery, EcoFlow и Bluetti. Goal Zero Yeti 150 — лучший небольшой солнечный генератор. Jackery Explorer 1000 является прямым конкурентом электростанции Goal Zero Yeti 1000. Вы можете купить комплект и иметь почти все, что вам нужно, кроме батареи, или вы можете собрать его с нуля. Он показывает не только входную/выходную мощность и уровень заряда в процентах, но также выходной ток, напряжение батареи, общее количество использованных ватт-часов и время полного/разряженного состояния.
Jackery Explorer 1000 — еще одна высоко оцененная портативная электростанция с максимальной мощностью 1002 ватт-часа. Комплект солнечной генераторной установки Goal Zero Yeti 3000X + Nomad 200 Электростанция Yeti 3000X оснащена инвертором мощностью 2000 Вт Аккумулятор емкостью 3000 Вт·ч Пять вариантов портов: розетки переменного тока, порты USB-A, USB-C, порты 12 В и порты высокой мощности (HPP) Включает в себя солнечную панель Nomad 200, которая заряжает электростанцию при отключении электроэнергии от производителя. Эти функции сверхмощного генератора включены в каждый генератор GEN-PRO и не имеют себе равных ни в одном другом генераторе.Портативная литиевая электростанция Goal Zero Yeti 1000 — идеальный генератор для тех, кто ищет компактный генератор с аккумулятором большой емкости. 8ah за $200 Goal Zero Yeti 200X — это 13ah за $300. Глядя на wH/aH по сравнению со стоимостью, они кажутся очень дорогими для того, что вы получаете. Воспроизвести видео Возможности Технические характеристики.
Вы получите 288 часов с моделью Paxcess и колоссальные 1002 часа с Jackery. Goal Zero Yeti 1500x — это мощная электростанция, которая подает электричество одним нажатием кнопки или Yeti 3.9 фунтов 42 процента, что чуть ниже эффективности Explorer 1000, равной 84. Компания возникла как компания по производству солнечных батарей, поэтому вполне логично, что одним из самых популярных продуктов, которые они производят, являются электрические генераторы на солнечной энергии. Это устройство обладает большой мощностью в портативном, прочном и простом в использовании корпусе. Крупными компонентами являются батарея глубокого цикла, панель, контроллер заряда. Оставить комментарий Отменить ответ. Проверено и протестировано Покупки Jackery против Goal Zero Reddit впервые. Goal Zero Yeti 400 Lithium можно зарядить за 4–7 часов, подключив его к розетке 12 В автомобиля с помощью автомобильного зарядного кабеля Goal Zero Yeti Lithium 12 В.Yeti 6000X на самом деле представляет собой портативную электростанцию, которую можно использовать для автономного кемпинга или для питания дома на колесах.
Вопросы и ответы по зажигалке для Goal Zero 1000x – Power Station Спросите нас о портативном генераторе электростанции Goal Zero Yeti 1000X мощностью 1000 Вт. Опубликовано на enero 31, Найдите много отличных новых и подержанных вариантов и получите лучшие предложения на литиевую портативную электростанцию Goal Zero Yeti 1000 в отличном чистом состоянии по лучшим онлайн-ценам на eBay! Бесплатная доставка многих товаров! Тиенда Интернасьонал; Джуэгос ПК; Курсос бесплатно; Пеликулас; Куэнта; Избранное; Каррито; В Goal Zero Nomad 100 используется соединение 8 мм.Ecoflow может подняться с 0 до 80% в течение часа, что превосходно. Портативный электрогенератор Goal Zero Yeti 150. Покупайте ежемесячными платежами с подтверждением для заказов на сумму более 50 долларов США. В Goal Zero Yeti 1000X добавлен порт USB-C PD мощностью до 60 Вт. Чтобы воспользоваться этим предложением, вы должны открыть и использовать новую карту Lowe’s Advantage Card и совершить покупку в период с 01.01.21 по 31.01.
22. 1 оценка продукта – GOAL ZERO – Блок питания YETI 25A FAST CHARGE для Yeti LiTHIUM 1000, 1400, 3000. Розничная цена Jackery Explorer составляет 999 долларов США.Anker Powerhouse II 800. От 30 до 1 доллара. 800 долларов. Goal Zero Yeti 400 Lithium претерпел изменения, теперь он выглядит более изящным и функциональным устройством, чем его предшественник. Аккумуляторы для всего дома («солнечные батареи») — это то, что вам нужно, если вам нужно резервное питание для всего дома в течение нескольких часов или даже дней. Однако, если вы хотите заряжать свои ноутбуки, мобильные телефоны, дроны и т. д., то Goal Zero будет лучшим вариантом, поскольку у него есть порты USB-C. Blackfire PAC500 и Klein Tools KTB5 с более высокой мощностью ватт-часа использовали по две рабочие фары, опять же, чтобы сократить время тестирования.Примените промо-код со скидкой 10% и получите Jackery Vs Yeti по более низкой цене. Источник изображения: Point Zero. Заявки, поданные в магазине с сотрудником: если вы не получили решение о кредите в течение 30 минут после подачи заявки, но были одобрены позже, купон на 20% от 1000 до 2000 долларов.
Портативная литиевая электростанция Goal Zero Yeti 1000 От ламп до ноутбуков, от холодильников до электроинструментов — используйте чистую и тихую портативную электростанцию Goal Zero Yeti 1000 для работы всех ваших устройств. Портативная электростанция Goal Zero Yeti 1000X.Лучше всего подходит для работы с холодильником: Dometic PLB40. Связанный: Обзор сверхтихой портативной электростанции Rainier R2200i. Но он не прослужит так долго, как ГЗ. ) или настенной розетке (18 часов. ЛУЧШИЙ ЭЛЕКТРИЧЕСКИЙ ГЕНЕРАТОР. Хотите больше фильтров? Сначала выберите отдел. Блок питания Yeti 400 стоит около 900 долларов (примерно на 100 долларов меньше, чем комплект Jackery).Если вы ищете что-то для своих личных устройств, рассмотрите этот вариант от Goal Zero, который для Goal Zero Yeti 200x составляет 187 ватт-часов; для Paxcess 300W это 288 ватт-часов. Нравится размер и намного легче. Прочитайте полное описание. Наша самая универсальная электростанция достаточно велика, чтобы питать средние и крупные приборы, и достаточно портативна, чтобы ее можно было упаковать в автомобиль.
Портативная электростанция Yeti 1000x от Goal Zero впечатляет. Характеристики не так уж хороши для подзарядки («быстрая» зарядка составляет 4 часа и требует отдельного дополнительного адаптера питания), но непрерывная мощность 1200 Вт — это хорошо.Лучшее решение для одновременного питания множества устройств: Ecoflow Delta. Он стоит 22 фунта. От производителя Эти функции генератора SUPER HEAVY DUTY реализованы в каждом генераторе GEN-PRO и не имеют себе равных ни в одном другом генераторе. 2020), вы можете иметь электрическую систему с литиевыми батареями, сравнимую по возможностям со многими изготовленными на заказ фургонами. За последний год портативные электростанции стали горячей темой для обсуждения. Чем выше номер модели, тем выше мощность… Jackery Explorer 1000 Проверить цену Это устройство Goal Zero Yeti 1500x представляет собой надежный солнечный генератор в удобной для хранения упаковке.Модуль Goal Zero MPPT устанавливается на Goal Zero Yeti (все, что вам нужно сделать, это подключить два кабеля).
Благодаря автомобильному зарядному комплекту, Yeti Lithium (1000 или выше) можно заряжать, работая от генератора переменного тока в вашем автомобиле. Jackery Explorer 1000 Проверить цену Это устройство Goal Zero Yeti 1500x представляет собой надежный солнечный генератор в удобной для хранения упаковке. 5) из 5 звезд. По сравнению с Goal Zero Lithium 1000, который продается примерно за 1795 долларов, он примерно на 400 долларов дешевле и предлагает очень похожие результаты.Кратко: лучшие портативные солнечные генераторы для кемпинга. СКИДКА 10. Goal Zero Yeti 1000 стоит 40 фунтов. Он преобразует солнечную энергию, собранную солнечными панелями SolarSaga мощностью 100 Вт, в электроэнергию, а затем сохраняет ее в портативной электростанции Explorer 1000 для последующего использования. У Yeti 1000 96. Взвешивание… Goal Zero — известный бренд в мире солнечных генераторов по уважительным причинам. У этой легкой и портативной электростанции достаточно мощности, чтобы все ваши гаджеты работали в течение нескольких дней.
Jackery Explorer 1000 является победителем в плане портативности и экономичности. Проверено и протестировано. Эта модель намного лучше своего предшественника For the Goal Zero Yeti 200x, это 187 ватт-часов; для Paxcess 300W это 288 ватт-часов. У Jackery 1000 этой проблемы нет, а инвертор на 1000 Вт может вытянуть полные 1000 Втч батареи. Мы уменьшили размер до 500x. Я ожидал получить около 65% к 15:30. com, чтобы помочь другим покупателям, таким как вы, принять решение о покупке.Таким образом, Goal Zero Yeti 1000, как правило, получает более благоприятные отзывы, чем Jackery Explorer 440, как видно из диаграммы ниже. Hello Yeti X. Эти универсальные устройства размером с ланч-бокс можно брать с собой в походы… Вы можете носить Jackery Explorer 1000 (слева) одной рукой, а двойные боковые ручки Goal Zero Yeti 1000X (справа) требуют использования двух рук. Dijuluki Explorer 1000, модель Jackery memiliki bobot yang sedikit lebih ringan dan berhasil menyesuaikan Outlet AC ekstra untuk Anda. НА ХОДУ.
0 мм на зарядное устройство 12V от GOALZERO. Прямая замена Goal Zero 98014 производства Powerwerx. В январе 2020 года Goal Zero объявила об обновлении своей линейки Yeti новыми аккумуляторными блоками питания серии X. Лучшая электростанция в целом: … Даже самая большая нулевая цель не будет питать обогреватель (1 кВт, который разрядит йети 1250 за 40 минут) или мини-холодильник в течение очень долгого времени (лучшие мини-холодильники потребляют 300-400 Втч в день, что слить йети 1250 до 50% за 2 дня). От ламп до ноутбуков, от холодильников до электроинструментов — используйте чистую и бесшумную портативную электростанцию Goal Zero Yeti 1000.Обзор портативной электростанции Jackery Explorer 1000. Вы здесь: Домашняя страница 1 / Без категории 2 / Силовая станция эго против нулевой цели. Здесь мы хотели бы провести сравнение моделей EcoFlow и Jackery; EcoFlow Delta и Jackery Explorer 1500. Мы были без электричества чуть менее 2 часов. 7 Втч, набрав 85 баллов. С 200-ваттным портативным солнечным чемоданом (350 долларов по состоянию на октябрь 95 г.
, что на несколько сотен долларов меньше, чем 27 августа 2021 г. — Быстрый взгляд: сравнение / различия аккумуляторных электростанций на 1000 Втч: Goal Zero Yeti 1000 Core (1000c), 1000x, Lithium, Jackery Explorer 1000 Для Goal Zero Yeti 200x это 187 ватт-часов, для Paxcess 300W это 288 ватт-часов.; ноутбук: 17 зарядок; холодильник 10-20 часов. В целом, Goal Zero немного лучше. Аккумулятор Goal Zero имеет емкость 1045 ватт-часов, тогда как аккумулятор Jackery 1000 имеет емкость 1002 ватт-часа. Наша электростанция самого универсального размера достаточно велика для питания средних и крупных приборов, а электростанции Jackery просты и не требуют знаний в области электрики. Вес/портативность Одной из замечательных особенностей Explorer 1000 является вес. В этом обзоре мы протестируем этих двух отраслевых титанов, сравнив выносливый Jackery Explorer 500 и Goal Zero Yeti 500X.Это не самое маленькое устройство, если сравнивать емкость аккумулятора с его размером, но оно все же обладает замечательными характеристиками.
Некоторые из них получили свое начало благодаря краудфандингу, например, Bluetti EP500 (5. Goal Zero Yeti 1500x — это мощная электростанция, которая подает электричество одним нажатием кнопки, или Yeti 3. С комплектом для домашней интеграции это легко использовать Goal Zero Yeti 6000X для питания основных цепей RIVER 600 Max и RIVER 600 Pro Goal Zero Yeti 1000X 8 В, а все аккумуляторы на 12 В.Jackery Solar Generator 1500. Победитель: Jackery Explorer 1500 (стоит на 400 долларов меньше). На момент написания этого сравнения Yeti 1500X был доступен на Amazon за 1999 долларов, что на 400 долларов больше, чем Explorer 1500, который вы можете получить по чистой цене 1599 долларов. Yeti 1000X произвел 839. Goal Zero Yeti 1000 — это электростанции мощностью 501–1000 Вт, а Jackery Explorer 1500 — электростанции мощностью 1001–1500 Вт. Этот генератор подходит в качестве аварийного питания или для использования в доме и вокруг него, в кемпинге или на лодке. Таким образом, он удовлетворяет потребности в электропитании большинства мощных электроприборов.
Jackery Explorer 1000 — одна из самых мощных портативных электростанций. Минус: Jackery Explorer 1000 (слева) можно переносить одной рукой, а двойные боковые ручки Goal Zero Yeti 1000X (справа) требуют использования двух рук. 0 и один порт USB-C мощностью 18 Вт, один автомобильный/автомобильный порт постоянного тока 12 В,… О компании Bluetti Vs Jackery. Это подробный обзор Goal Zero Yeti 1000 Core со сравнением с Yeti 1000x и Jackery Explorer 1000. ЛУЧШЕЕ ДЛЯ СЕМЬИ. Управляйте своими основными устройствами и техникой с помощью Yeti 1000X.Стоит рассмотреть Goal Zero Yeti 1500X. Приятно видеть зарядное устройство на 12 В в комплекте. Goal Zero Yeti 1000 — это электростанции мощностью 501–1000 Вт, EcoFlow DELTA 1300 — электростанции мощностью 1001–1500 Вт, … Jackery Explorer 240 — это 16. Разрываетесь между Explorer 1000 и Goal Zero 1000X? Вот краткое сравнение. 2020) MaxOak AC500 и жесткая 120-ваттная солнечная батарея Только ограниченное время. Как я объяснял в своем сравнении Goal Zero Yeti 1500X и Jackery Explorer 1500, эта электростанция поддерживала работу полноразмерного холодильника более 24 часов.
Связанный: Сравнение Jackery 1000 и Goal Zero 1000. Пиковая выходная мощность означает, что он позволяет всплески до 1200 Вт в течение очень коротких периодов времени, например, блендеры, дрели и т. д. 3000–4000 долларов. Основное отличие здесь заключается в количестве энергии, которую они могут выдать за один раз. Минусы изготовлены, а затем испытаны в суровых условиях по всему миру, в том числе в Арктике. Так что, пожалуйста, обратите внимание на следующие аспекты, когда вы покупаете один для себя. Вот ссылка на преобразователь, который я планирую использовать для зарядки своего литиевого аккумулятора Yeti 1000: Окончательный тест компьютерщика: 160 Вт/ч Ryobi Battery > 240 Вт/ч Jackery > 500 Вт/ч Jackery > 1045 Вт/ч Целевой ноль = 1945 Вт/ч (я знаю, с тоннами потерь) Сохранил свой холодильник , морозильник и интернет Goal Zero Yeti 1000 Lithium Portable Power Station.99. Это лучший солнечный генератор для домашнего комплекта. 47 процентов. электростанция эго против нулевой цели. Goal Zero Yeti 400 Lithium можно зарядить за 4–7 часов, подключив к розетке 12 В автомобиля с помощью автомобильного зарядного кабеля Goal Zero Yeti Lithium 12 В.
Купить Jackery Explorer 1000, если: Jackery Explorer 1000 против Tienda Internacional; Джуэгос ПК; Курсос бесплатно; Пеликулас; Куэнта; Избранное; Каррито; Вы можете получить Goal Zero Yeti 1000 от Costco за 1000 долларов, добавить этот гаджет за 400 долларов, и у вас есть полная электрическая система с литиевой батареей за 1400 долларов — и вы можете использовать ее дома во время следующего отключения электроэнергии, потому что она выходит из фургона. всего за минуту.Зарядка Jackery Explorer 500. ПРЕДЛОЖЕНИЕ. Наш уникальный и эксклюзивный новый дизайн обмотки, KLEEN-POWER, позволяет подключать любой тип чувствительного к напряжению микропроцессорного оборудования, такого как компьютеры, усилители, системы охранной сигнализации, открыватели гаражных ворот или… Tienda Internacional; Джуэгос ПК; Курсос бесплатно; Пеликулас; Куэнта; Избранное; Каррито; Контакты Tienda Internacional; Джуэгос ПК; Курсос бесплатно; Пеликулас; Куэнта; Избранное; Каррито; Найдите много отличных новых и подержанных вариантов и получите лучшие предложения на портативную электростанцию Goal Zero Yeti 1000 Lithium в отличном чистом состоянии по лучшим онлайн-ценам на eBay! Бесплатная доставка для многих продуктов!.
Что касается портативности, то Yeti 500X компактен и весит всего 12 г. О Bluetti Jackery Vs. 4Ah at 21. ego power station vs target zerosan francisco медицинские записи больницы общего профиля 1 февраля 2022 г. / in pompeii3 бриллиантовые заклепки 1/5ct 14k белое золото / by Вы можете носить Jackery Explorer 1000 (слева) одной рукой, а с двух сторон ручки Goal Zero Yeti 1000X (справа) требуют использования двух рук. Определенно стоит взять… Есть 3 способа зарядить Goal Zero Yeti 1000X: The Sun Recharge от солнца, подключив совместимую солнечную панель.Усовершенствованные аккумуляторные технологии и упаковка означают, что вы получаете большую емкость при той же занимаемой площади. С портами USB A и USB C вы можете заряжать телефоны, планшеты, динамики, камеры, фонари, налобные фонари и т. д. Хотя это и не рекомендуется, вы можете заряжать Goal Zero Yeti 1000 от любого источника 12 В, например, от автомобиля, чтобы зарядить Goal. Zero Yeti от автомобиля или источника 12 В, вам нужно будет приобрести 8.
Blueetti: Какой из них рассмотреть. Ego Power + Nexus Jackery Explorer 1000 — одна из самых мощных станций PowerStation по сравнению с ее размером.Его цена составляет 899 долларов. Лучший: для резервного питания дома Goal Zero — известный бренд в мире солнечных генераторов по уважительным причинам. У Yeti 1000 немного лучшая батарея и значительно более высокая выходная мощность (1500 Вт при пиковой мощности 3000 Вт), но, учитывая, что он весит почти в два раза больше, чем Explorer 1000, его нельзя считать портативным устройством. Я пробовал со службой поддержки и со страницей, но у них нет выбора и нет батареи, которую можно было бы купить в качестве замены. Резюме Сравнение Goal Zero Yeti 1000 с EcoFlow DELTA 1300 и Jackery Explorer 500 имеет 34 ключа для поиска различий.Стена Подключите его к стене. В то время как они способны работать практически со всем, что вы можете подключить к стандартной розетке 110 В, портативная электростанция Goal Zero Yeti 500X. Привет, Дженн, у йети из нулевой цели нет открытого грунта, как у газогенератора.
Благодаря литий-ионному аккумулятору Goal Zero Yeti X обеспечивает безопасное, чистое портативное питание для кемпинга, выезда на природу, автономных мероприятий, мастерских и аварийного питания во время отключения электроэнергии. Прочная конструкция. Портативная электростанция Goal Zero Yeti 6000X Генератор литиевой батареи 6071 Вт·ч Инвертор переменного тока 2000 Вт … Goal Zero Yeti 400 — это удобная универсальная электростанция мощностью 396 Вт·ч и емкостью 33 А·ч, которой достаточно для зарядки телефона более 30 раз. , ноутбуки в 5 раз, да еще и мелкая бытовая техника работает по несколько часов.Goal Zero — известный бренд в мире солнечных генераторов по уважительным причинам. Но при розничной цене 1400 долларов это на 40% дороже, чем Tera 1000. Лучший универсальный: Jackery Explorer 1000. 6 В, тогда как у Yeti 1000 96 800 Ач при 10. Популярная модель Power Station Explorer от Jackery поставляется в несколько различных размеров в зависимости от максимальной производительности. Кроме того, Goal Zero Yeti 1000 — это интеллектуальное устройство, которым можно управлять через смартфон.
Обычно я советую подписчикам приобрести Goal Zero Yeti 500x, но это цена.Устройство прочное и компактное, снаружи нет ничего, что могло бы сломаться или зацепиться за близлежащие предметы. Снова подключил Delta и проработал еще 4 часа, пока питание не восстановилось. И две электростанции работают почти одинаково. Аккумуляторная батарея емкостью 1000 Втч является оптимальным выбором для многих потребителей благодаря правильному балансу мощности и портативности. Вы получите 288 часов с моделью Paxcess и колоссальные 1002 часа с Jackery. Лучший результат: Jackery Explorer 1000 Adam Doud/Digital Trends.5 часов. Чтобы узнать, как долго эта электростанция может питать ваш телевизор, просто разделите выходную мощность Yeti на количество ватт, потребляемых вашим телевизором. Позвоните в наш Центр поддержки клиентов по телефону 1-888-794-6250, чтобы получить помощь в идентификации зарядного устройства. Портативная электростанция Goal Zero Yeti 6000X — лучший резервный солнечный генератор. Эта электростанция имеет компактную конструкцию (387 x 259 x 250 мм), что делает Yeti 1000X удобным для транспортировки (14.
Серия 150 может обеспечить мощность только 150 Вт, но ее можно заряжать как от источников постоянного, так и переменного тока.Купите портативный солнечный генератор Goal Zero Yeti мощностью 1000 Вт/ч в отделе портативных солнечных генераторов в магазине Lowe’s. Отлично подходит для всего, от аварийного резервного питания до кемпинга. Как указывалось ранее, оба стоят одинаково по цене 999 долларов, и хотя Explorer имеет незначительное преимущество в емкости батареи на 19 Втч, его инвертор переменного тока менее мощный с непрерывной выходной мощностью 1000 Вт (пиковая 2000 Вт), чем у Core 1200 Вт (2400 Вт). W пик). Bluetti может работать с нагрузкой до 300 Вт, а Jackery имеет максимальную мощность 500 Вт.Портфель Boulder 100 обеспечивает 100 Вт солнечной энергии и полностью заряжает Yeti 1000X за 12-24 часа солнечного света. 0 приложение Портативная электростанция Goal Zero Yeti 1000X является преемником Yeti 1000 Lithium. 1199 долларов. Помните ту табличку, на которой EGO не мог преодолеть пусковой ток? ДеУолт управляет им.
Goal Zero поставила на Yeti 1000 тот же экран, что и на Yeti 400 Lithium, и это лучший экран с большим количеством информации по сравнению с Jackery. Второе место. Bluetti EB150: какой выбрать.Не хочу показаться язвительным, но почему люди покупают их ради торга? Йети 1000 Против. По словам компании, слот Yeti 1000 Core разработан, чтобы стать самым универсальным слотом между моделями Goal Zero 500x и 1500x, и будет эксклюзивным для Amazon. Для сравнения, Delta Mini от EcoFlow перезаряжается чуть более чем за 1,40 Втч. У меня уже есть Jackery 1000 и дешевый 12-вольтовый холодильник, поэтому я буду использовать его. У меня также есть две солнечные панели Saga по 100 Вт. Эти батареи не самые мощные в мире, но они все же могут обеспечить большую мощность для большинства генераторов на солнечных батареях и портативных генераторов.Он имеет инвертор на 1000 ватт с импульсом 2000 ватт на нем. Обе электростанции экологически чистые, с нулевым уровнем выбросов и тихие. Среди этих ведущих брендов можно с уверенностью сказать, что BLUETTI EB70, несомненно, является лучшим выбором.
Но подходят ли они для Vanlife? поэтому цель этой статьи — помочь вам выбрать правильное решение для ваших нужд, полностью поняв, что такое электростанции Jackery! Jackery Explorer 1000. Лучшим портативным солнечным генератором, подходящим под это описание, является Goal Zero Yeti 500X.И емкость — это даже не главное обновление, Explorer 300… Получите энергию, где бы вы ни находились, с помощью портативного генератора с батарейным питанием. Goal Zero уже давно присутствует в генераторной игре. Цель Зеро Йети 500X. Цель Zero Yeti 1000 Core — последняя. Это означает, что если вы запустите устройство с выходной мощностью 1 Вт на Yeti 200x, оно должно работать около 187 часов. Это было критически важно, так как еда может стать опасной после 4 часов в холодильнике без электричества. ) Полностью заряженный Yeti 1000 предлагает следующую приблизительную мощность: свет: 200+ часов.Это хорошая новость — на самом деле это особенно удобно, так как это означает, что он может соединяться не только с популярными электростанциями Goal Zero Yeti, но и с любыми другими электростанциями или солнечными панелями, которые используют порт 8 мм.
Лучший результат: Jackery Explorer 1000 Adam Doud/Digital Trends. Вы получите 288 часов с моделью Paxcess и целых 1002 часа с генератором Jackery. С точки зрения зарядки и Goal Zero Yeti 1000, и Ecoflow Delta 1300 отличаются друг от друга. Goal Zero заявляет, что 500X «предназначен для того, чтобы упаковать на 20% больше мощности в корпус на 20% меньше и легче, чем его предшественник, [что делает его идеальным] для длительных походов, вечеринок на заднем дворе или мощности на ходу в… Джекери. Solar Generator 1500 vs 1000 сравнивает эти электростанции/солнечные панели.Несмотря на то, что обе эти аккумуляторные станции схожи по своим характеристикам, между ними есть существенные различия в технических аспектах и ценах. Соедините его с солнечными панелями Goal Zero для полноценного автономного энергоснабжения. … Jackery Explorer 1000 против Goal Zero Yeti 1000. -Майк Кроме того, он оснащен аккумулятором емкостью 1002 Втч, который может обеспечить 1000 ватт непрерывной работы и 2000 ватт пиковой мощности.
Goal Zero Yeti 1400. Goal Zero Yeti 500X — PowerStation средней мощности мощностью 500 Вт. Просто впечатлен.У Jackery немного меньше время автономной работы и меньшая производительность, но он легче, чем Yeti 1000. Цель Zero Yeti 1500X. Goal Zero включает в себя зарядное устройство на 5 А со всеми своими электростанциями Yeti, Yeti 3000 поставляется с двумя из них. —– Наиболее рекомендуемая установка, которую я вижу у других вандвеллеров в Renogy. ПРОВЕРИТЬ ЦЕНУ. 1. С емкостью аккумулятора 1045 Втч и различной мощностью, Yeti 1000 подходит для непрерывного солнечного генератора Jackery мощностью 1000 Вт/пиковой мощности 2000 Вт SG880 с солнечной панелью мощностью 100 Вт. Заключение На этом мы подошли к концу нашего сравнения Jackery и Goal Zero.item 4 Портативная литиевая электростанция Goal Zero Yeti 500X – GZ36100 4 – Портативная литиевая электростанция Goal Zero Yeti 500X – GZ36100. Портативная литиевая электростанция Goal Zero Yeti 1000. Зарядка Goal Zero Yeti 1000 от сетевой розетки займет 9 часов.
пункт 6 Модуль Mppt Goal Zero Yeti 1000/1400/3000 By Studio-Ausruestung 6 – Модуль Goal Zero Yeti Mppt 1000/1400/3000 Tienda Internacional; Джуэгос ПК; Курсос бесплатно; Пеликулас; Куэнта; Избранное; Каррито; Связаться с нами Купить: Jackery Explorer 1000 $999.Я выбрал Goal Zero 1000. Основное отличие состоит в том, что электростанция Goal Zero немного дороже и тяжелее, но она предлагает… Goal Zero Yeti часто считается лучшим выбором, когда речь идет о рынке солнечных генераторов. Это оно! Убийца Джекери из Goal Zero. И два самых больших генератора, Jackery Explorer 1000 и Ego Nexus 3000 PST3042, включали по три рабочих фары за тест. За 1400 долларов у 1000X достаточно мощности для питания небольших бытовых приборов, и если… Explorer 500 — отличная портативная электростанция, которая как минимум на 100 долларов дешевле, чем аналогичный продукт от Goal Zero, Yeti 500x.Это лучше, чем у большинства компактных инверторов, и меньше, чем вы можете получить с чем-то вроде EGO Nexus Power Station или Goal Zero Yeti 3000.
Выбор лучшей портативной электростанции зависит от того, для чего вы хотите ее использовать, потому что и Jackery Explorer 1000 и Goal Zero Yeti 1000 — отличные продукты, но они предназначены для другой аудитории. СКИДКА 25%. Если сравнивать Goal Zero Yeti 500X с Yeti 400, 500x является преемником Yeti 400. Портативные электростанции серии Explorer являются одними из лучших электростанций в отрасли.Плюсы Цена: 1899 долларов. Нужно больше мощности? Измерение… Недавно я купил куртку 1000 и планирую попробовать ее весной. На Yeti 400 не могут работать более крупные бытовые приборы. Наш уникальный и эксклюзивный новый дизайн обмотки KLEEN-POWER позволяет подключать любое чувствительное к напряжению микропроцессорное оборудование, такое как компьютеры, усилители, системы охранной сигнализации. , открыватели гаражных ворот или… Jackery 500 немного выше — 513 ватт-часов (по сравнению с 500 у Bluetti AC50S), но они обеспечивают одинаковое время работы и подзарядки для устройств.гол зеро йети 1000 против джекери 1000



Обсудите предел следующей функции при стремлении x к нулю. 