Как найти производную любой функции?
Как найти производную любой функции?
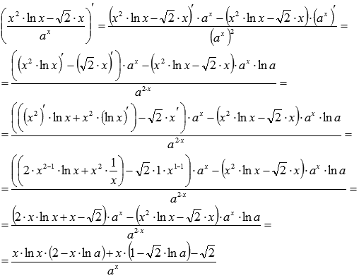
Чтобы найти производную, надо выражение под знаком штриха разобрать на составляющие простые функции и определить, какими действиями (произведение, сумма, частное) связаны эти функции.
Как найти производную от дроби?
Производная частного двух функций равна дроби, числитель которой есть разность произведений производной числителя на знаменатель и числителя на производную знаменателя, а знаменатель есть квадрат исходного знаменателя.
Как найти производную частного двух функций?
Производная частного равна производной числителя умноженного на знаменатель минус числитель умноженный на производную знаменателя и все это деленное на квадрат знаменателя.
Что выражает производная?
Произво́дная функции — понятие дифференциального исчисления, характеризующее скорость изменения функции в данной точке.
Определяется как предел отношения приращения функции к приращению её аргумента при стремлении приращения аргумента к нулю, если такой предел существует.
Что такое производная функции для чайников?
Определение производной: Производная функции в точке – предел отношения приращения функции в данной точке к приращению аргумента, когда последнее стремится к нулю. … Геометрический смысл производной: производная от функции в точке равна тангенсу угла между осью OX и касательной к графику функции в данной точке.
Что показывает первая производная функции?
(first derivative) Темп прироста значения функции при приросте ее аргумента в какой-либо точке, если сама функция в этой точке определена. На графике первая производная функции показывает угол ее наклона.
Что такое скорость изменения функции?
Скорость изменения функции – это и есть мгновенная скорость, поэтому воспользуемся физическим смыслом производной: .
.. Если s(t) — закон прямолинейного движения тела, то производная выражает мгновенную скорость в момент времени t: v=s′(t). Итак, осталось вычислить производную: В заданном случае: y=s(t).
Что называют средней скоростью изменения функции?
Средняя скорость изменения функции – это отношение изменения функции к изменению независимой переменной. Эта величина обозначается А(х).
Чему равна производная сложной функции?
Производная сложной функции равна произведению производной внешней функции, умноженной на производную от внутренней функции. В данной формуле функция u(x) называется \lt strong>внутренней функцией аргумента \lt /strong> x, а функция u(v) – внешней функцией.
Зачем дифференцировать функцию?
Дифференцируют непрерывные функции, потому что для них нельзя просто взять какие то два значения и рассчитать скорость изменения функции – это будет средняя скорость на этом участке, а не моментальная.
Поэтому придумали дифференциальное исчисление.
Для чего нужна производная функции?
Производная функции в точке является основным понятием дифференциального исчисления. Она характеризует скорость изменения функции в указанной точке. Производная широко используется при решении целого ряда задач математики, физики, других наук, в особенности при изучении скорости различного рода процессов.
Что такое производная на графике?
Производная — это скорость изменения функции. На рисунке — графики трех функций.
Когда функция возрастает на графике производной?
Вот формулировки признаков возрастания и убывания функции на интервале: если производная функции y=f(x) положительна для любого x из интервала X, то функция возрастает на X; если производная функции y=f(x) отрицательна для любого x из интервала X, то функция убывает на X.
Что такое Продифференцировать?
Расчленить (-нять), различить (-чать) отдельное, частное при рассмотрении, изучении чего-н.
(книжн.). Дифференцированный подход к чему-н.
Основы математического анализа. Как найти производную?
Производной некоторой функции f(x) в конкретной точке x0 называют границу соотношения прироста функции к приросту аргумента при условии, что x следует к 0, а граница существует. Производную обычно обозначают штрихом, иногда с помощью точки либо через дифференциал. Нередко запись производно через границу приводит в заблуждение, так как такое представление используется крайне редко.
Функцию, которая имеет производную в определенной точке x0, принято называть дифференцируемой в такой точке. Предположим, D1 – множество точек, в каких функция f дифференцирована. Поставив в соответствие каждому числу число x, принадлежащее D f’(x), получим функцию с областью обозначения D1. Эта функция является производной y=f(x). Ее обозначают так: f’(x).
Кроме того, производная широко используется в физике и технике. Рассмотрим самый простой пример. Материальная точка двигается по координатной прямо, при чем задан закон движения, то есть координатой x этой точки является известная функция x(t).
На протяжении интервала времени от t0 до t0+t перемещение точки равняется x(t0+t)-x(t0)= x, а ее средняя скорость v(t) равна x/t.
Иногда характер движения представлен так, что при малых отрезках времени средняя скорость не изменяется, имеется в виду то, что движение с большей степенью точности считается равномерным. Или же значение средней скорости, если t0 следует к некоторому абсолютно точному значению, которое и называют моментальной скоростью v(t0) этой точки в конкретный момент времени t0. Считается, что моментальная скорость v(t) известна для любой дифференцированной функции x(t), при чём v(t) будет равно x’(t). Проще говоря, скорость – это производная от координаты по времени.
Моментальная скорость имеет и положительные, и отрицательные значения, а также значение 0. Если же она на некотором интервале времени (t1; t2) положительная, тогда точка движется в таком же направлении, то есть координата x(t) увеличивается со временем, а если v(t) отрицательная, тогда координата x(t) уменьшается.
В более сложных случаях точка движется в плоскости или в пространстве. Тогда скорость – векторная величина и определяет каждую из координат вектора v(t).
Аналогично можно сопоставить с ускорением движения точки. Скорость является функцией от времени, то есть v=v(t). А производная такой функции – ускорением движения: a=v’(t). То есть получается, что производная от скорости по времени является ускорением.
Предположим y=f(x) – любая дифференцированная функция. Тогда можно рассмотреть движение материальной точки по координатной прямой, которое происходит за законом x=f(t). Механическое содержание производной дает возможность представить наглядную интерпретацию теорем дифференциального исчисления.
Как найти производную? Нахождение производной некоторой функции называется ее дифференцированием.
Наведем примеры того, как найти производную функцию:
Производная постоянной функции равна нулю; производная функции y=x равна единице.
А как найти производную дроби? Для этого рассмотрим следующий материал:
При любом x0<>0 будем иметь
y/x=-1/x0*(x+x)
Существует несколько правил, как найти производную.
А именно:
Если функции A и B дифференцированы в точке x0, то их сумма дифференцирована в точке: (A+B)’=A’+B’. Проще говоря, производная суммы равна сумме производных. Если функция дифференцирована в некоторой точке, тогда ее прирост следует к нулю при следовании к нулю прироста аргумента.
Если функции A и B дифференцированы в точке x0, то их произведение дифференцировано в точке: (A*B)’=A’B+AB’. (Значения функций и их производных рассчитываются в точке x0). Если функция A(x) дифференцирована в точке x0, а С – постоянная, тогда функция CA дифференцирована в этой точке и (CA)’=CA’. То есть, такой постоянный множитель выносится за знак производной.
Если функции A и B дифференцированы в точке x0, и функция B не равна нулю, то их соотношение так же дифференцировано в точке: (A/B)’=(A’B-AB’)/B*B.
Как найти производную дроби?
Последняя обновленная дата: 21 февраля 2023
•
Общее представление: 241,8K
•
Просмотры сегодня: 2,28K
Ответ
Проверено
241,8K+ виды
Hint: 202021 241,8K+ Views
Hint: 20202020211.
8K+. производная дроби, мы будем использовать правило отношения, чтобы дифференцировать дробь или любую другую дробь, которая записана как частное или дробь двух функций или выражений.
Таким образом, мы можем найти производную для дробей.
Примечание:
Для факторного правила будет требоваться две функции $f$ и $g$ , в которых обе они определены в окрестности некоторой точки $a$ и дифференцируемы в $a$ , с $g\left( a \right) \ne 0$ .
Так как $g\left( a \right) \ne 0$ и $g$ непрерывна в $a$ , то мы знаем, что существует $\delta > 0$ такое, что $g\left( a \right) \ ne 0$ для $\left| {х – а} \право| < \ дельта $ .
Следовательно, функция $F\left( x \right) = \dfrac{{f\left( x \right)}}{{g\left( x \right)}}$ определена в окрестности $a$ и мы можем спросить себя, дифференцируема ли она в $a$, и вычислим ее производную. Вот и вся идея о дифференциации.
Недавно обновленные страницы
Рассчитать изменение энтропии, связанное с преобразованием 11 класса химии JEE_Main
Закон, сформулированный доктором Нернстом, является первым законом термодинамики 11 класса химии JEE_Main
Для реакции при rm0rm0rmC и нормальном давлении А класс 11 химии JEE_Main
Двигатель, работающий между rm15rm0rm0rmC и rm2rm5rm0rmC класс 11 химии JEE_Main
Для реакции rm2Clg в rmCrmlrm2rmg знаки перехода 11 класса 9 JEE_Main жидкой воды 11 класс химии JEE_Main
Рассчитать изменение энтропии при преобразовании 11 класса химии JEE_Main
Закон, сформулированный доктором Нернстом, является первым законом термодинамики 11 класс химии JEE_Main
Для реакции при rm0rm0rmC и нормальном давлении А класс 11 химии JEE_Main
Двигатель, работающий между rm15rm0rm0rmC и rm2rm5rm0rmC класс 11 химии JEE_Main
Для реакции rm2Clg в rmCrmlrm2rmg знаки перехода 11 класса 9 JEE_Main жидкой воды класс 11 химия JEE_Main
Тенденции сомнения
Критические точки – Проблема 1
Критические точки функции, где производная равна 0 или не определена.
Чтобы найти критические точки функции, сначала вычислите производную.
Следующий шаг — найти, где производная равна 0 или не определена. Напомним, что рациональная функция равна 0, когда ее числитель равен 0, и не определена, когда ее знаменатель равен 0. Итак, глядя на производную функции, найдите нули ее числителя и знаменателя, чтобы найти значения x, при которых производная равно 0 или не определено. Эти значения x являются критическими точками.
Давайте решим задачу. Найдите критические точки функции r от x равно x² минус 5x плюс 4 сверх x² плюс 4. Это рациональная функция, поэтому, чтобы найти ее производную, я воспользуюсь правилом частных.
Итак, я ищу производную, потому что, помните, критические точки — это точки, в которых производная равна 0 или не определена. И я могу найти эти точки, исследуя производную. И помните правило частного; это низкий г высокий. Итак, x² плюс 4x, это младшая часть. D high – производная верхней части. Это будет 2x минус 5 минус высокий d низкий x² минус 5x плюс 4.
А это значит возвести знаменатель в квадрат. Теперь позвольте мне упростить это, я хочу максимально упростить и учесть факторы, которые облегчат поиск критических точек. Теперь, глядя на числитель, все не так плохо, как кажется. У нас есть кубик здесь и кубик здесь.
Позвольте мне умножить это. Я хочу получить 2x x², это 2x в кубе, а затем мне нравится искать убывающие степени x. Термин x² будет получен из минус 5 x² минус 5x².
Тогда у нас будет плюс 8x, а потом у меня будет минус 20. Это термин. Теперь этот термин даст мне 2x x² минус 2x в кубе. Тогда у меня будет минус минус, то есть плюс, 10x², а затем у меня будет минус 4 умножить на 2x минус 8x. Все, что свыше x² плюс 4 количество в квадрате.
Итак, я могу отменить кое-что. Кубики 2x отменяются. Что хорошо, а затем 8x также отменяются, и я остаюсь. Минус 5x² плюс 10², это плюс 5² минус 20. Позвольте мне переписать это здесь.
Вот где у меня пока есть R’.
