Ответы | ||||||||||||||||||||||||||||||||||||||||||||||||||||||
| ||||||||||||
|
|
| |||||||||||||||||||||||||||||||||||||||||||||||||||
Посмотреть всех экспертов из раздела Учеба и наука > Физика
| Похожие вопросы |
Решено
В цепи, схема которой показана на рисунке, ключ замыкают на некоторое время, а затем размыкают.
Непосредственно перед размыканием ключа амперметр показывал 14 мА. Сопротивление резистора R1 равно R, с
600 p
Решено
1.50. Вал вращается с частотой = 180 об/мин. С некоторого момента вал начал вращаться равнозамедленно с угловым ускорением = 3 рад/с2 . Через
Решено
На горизонтальной поверхности стола находится цепочка из шести одинаковых брусков, связанных легкими нитями (см. рис.). Коэффициент трения между брусками и столом равен 0,2. Под действием горизонтальн
600 p
Решено
Небольшой шарик массой 250 г, прикрепленный к концу нити, равномерно вращают в вертикальной плоскости. На сколько сила натяжения нити в нижней точке траектории больше, чем в верхней?
Решено
После пережигания нити пружина разжалась…
Пользуйтесь нашим приложением
| ||||||||||||||||||||||
| Специальный поиск | ||||||||||||||||||||||
|
Физика Теория вероятностей и мат. Гидравлика Теор. механика Прикладн. механика Химия Электроника |
Главная Поиск по сайту Формулы Все задачи Помощь Контакты Билеты |
|||||||||||||||||||||
точки лежащей ободе колеса Задача 40702 Колесо радиусом R = 0,1 м вращается так, что зависимость угла поворота радиуса колеса от времени дается уравнением φ = A+Bt+Ct2, где B = 2 рад/с, C = 1 рад/с2. Для точек, лежащих на ободе колеса, найти через время t = 2с после начала движения: а) угловую скорость ω; б) линейную скорость v; в) угловое ускорение ε; г) тангенциальное ускорение aτ; д) нормальное ускорение a
Задача 14461 Колесо радиусом R = 0,1 м вращается так, что зависимость угла поворота радиуса колеса от времени дается уравнением φ = А + Bt + Ct3, где В = 2 рад/с и С = 1 рад/с3.
Задача 14462 Колесо радиусом R = 5 см вращается так, что зависимость угла поворота радиуса колеса от времени дается уравнением φ = А + Bt + Ct
Задача 14464 Колесо вращается так, что зависимость угла поворота радиуса колеса от времени дается уравнением φ = А + Bt + Ct2 + Dt3, где В = 1 рад/с, С = 1 рад/с2 и D = 1 рад/с3. Найти радиус R колеса, если известно, что к концу второй секунды движения для точек, лежащих на ободе колеса, нормальное ускорение аn = 3,46·10
Задача 14465 Во сколько раз нормальное ускорение аn точки, лежащей на ободе колеса, больше ее тангенциального ускорения аτ для того момента, когда вектор полного ускорения точки составляет угол аn = 30° с вектором ее линейной скорости?
Задача 14167 Зависимость угла поворота радиуса вращающегося колеса от времени дана уравнением: φ = 4 + 5t – t2. Найти угловую и линейную скорость вращения колеса, а также полное ускорение точки, лежащей на ободе колеса в конце первой секунды вращения. Радиус колеса 20 см.
Задача 14168 Зависимость угла поворота радиуса вращающегося колеса от времени дана уравнением: φ = 4 + 5t2 – t3. Найти в конце первой секунды вращения угловую скорость колеса, а также линейную скорость и полное ускорение точки, лежащей на ободе колеса радиусом 20 см.
Задача 14169 Зависимость угла поворота радиуса вращающегося колеса от времени дана уравнением: φ = 4t + 5t2 – t3. Найти в конце второй секунды вращения угловую скорость колеса, а также линейную скорость и полное ускорение точки, лежащей на ободе колеса. Радиус колеса 2 см.
Задача 15940 Колесо радиусом R = 0,2 м вращается так, что зависимость угла поворота радиуса колеса от времени дается уравнением φ = А + Bt + Ct3, где В = 5 рад/с и С = 6 рад/с3. Найти для точек, лежащих на ободе колеса через t = 2,5 сек после начала движения: 1) угловую скорость; 2) линейную скорость; 3) угловое ускорение; 4) тангенциальное ускорение; 5) нормальное ускорение; 6) полное ускорение.
Задача 15941 Колесо радиусом R = 0,15 м вращается так, что зависимость угла поворота радиуса колеса от времени дается уравнением φ = А + Bt + Ct3, где В = 3 рад/с и С = 4 рад/с3.
Задача 15942 Колесо радиусом R = 0,25 м вращается так, что зависимость угла поворота радиуса колеса от времени дается уравнением φ = А + Bt + Ct3, где В = 7 рад/с и С = 3 рад/с3. Найти для точек, лежащих на ободе колеса через t = 3,0 сек после начала движения: 1) угловую скорость; 2) линейную скорость; 3) угловое ускорение; 4) тангенциальное ускорение; 5) нормальное ускорение; 6) полное ускорение.
Задача 15943 Колесо радиусом R = 0,1 м вращается так, что зависимость угла поворота радиуса колеса от времени дается уравнением φ = А + Bt + Ct3, где В = 2 рад/с и С = 8 рад/с3.
Задача 15944 Колесо радиусом R = 0,5 м вращается так, что зависимость угла поворота радиуса колеса от времени дается уравнением φ = А + Bt + Ct3, где В = 3 рад/с и С = 4 рад/с3. Найти для точек, лежащих на ободе колеса через t = 3,0 сек после начала движения: 1) угловую скорость; 2) линейную скорость; 3) угловое ускорение; 4) тангенциальное ускорение; 5) нормальное ускорение; 6) полное ускорение.
Задача 15945 Колесо радиусом R = 0,3 м вращается так, что зависимость угла поворота радиуса колеса от времени дается уравнением φ = А + Bt + Ct3, где В = 1 рад/с и С = 7 рад/с3.
Задача 15946 Колесо радиусом R = 0,45 м вращается так, что зависимость угла поворота радиуса колеса от времени дается уравнением φ = А + Bt + Ct3, где В = 4 рад/с и С = 2 рад/с3. Найти для точек, лежащих на ободе колеса через t = 3,0 сек после начала движения: 1) угловую скорость; 2) линейную скорость; 3) угловое ускорение; 4) тангенциальное ускорение; 5) нормальное ускорение; 6) полное ускорение.
Задача 15947 Колесо радиусом R = 0,5 м вращается так, что зависимость угла поворота радиуса колеса от времени дается уравнением φ = А + Bt + Ct3, где В = 1 рад/с и С = 3 рад/с3.
Задача 15948 Колесо радиусом R = 0,25 м вращается так, что зависимость угла поворота радиуса колеса от времени дается уравнением φ = А + Bt + Ct3, где В = 5 рад/с и С = 4 рад/с3. Найти для точек, лежащих на ободе колеса через t = 1,5 сек после начала движения: 1) угловую скорость; 2) линейную скорость; 3) угловое ускорение; 4) тангенциальное ускорение; 5) нормальное ускорение; 6) полное ускорение.
Задача 16135 Колесо вращается так, что зависимость угла поворота радиуса колеса от времени определяется уравнением φ(t) = 1 + 2t – 2t3, рад. Нормальное ускорение точек, лежащих на ободе колеса к концу второй секунды движения, равно 200 м/с2.
Задача 16311 Диск вращается так, что зависимость угла поворота радиуса диска от времени определяется уравнением: φ(t) = 2 + 4t – 4t3 (рад). Нормальное ускорение точек, лежащих на ободе колеса к концу второй секунды движения равно 250 м/с. Определить: 1) зависимость линейных и угловых скоростей и ускорений от времени; 2) радиус диска; 3) угловую скорость и ускорение (тангенциальное и полное) в конце второй секунды движения.
Задача 20068 Зависимость угла поворота радиуса (r = 2 м) вращающегося колеса от времени задана уравнением φ = 4+5t–t3. Найти угловую скорость и полное ускорение точки, лежащей на ободе колеса, в конце первой секунды вращения.
Задача 19828 Вращение колеса задается уравнением φ(t) = A+Bt+Ct3, где A = 3 рад, B = 2 рад/с, C = 1 рад/с3. Радиус колеса равен 1 м. Для точки, лежащей на ободе колеса, найти через t = 3 с после начала движения угловую и линейную скорости, угловое, тангенциальное и нормальное ускорения.
Задача 20734 Колесо радиусом R = 10 см вращается так, что зависимость угла поворота радиуса колеса от времени задана уравнением φ = 3+2t2+t3, где φ — в радианах, t — в секундах . Найдите для точек, лежащих на ободе колеса: а) линейную скорость, б) нормальное ускорение и в) угловое ускорение ε для момента времени t = 3 с.
| ||||||||||||||||||||||
Угол поворота и угловая скорость
Цели обучения
К концу этого раздела вы сможете:
- Определять длину дуги, угол поворота, радиус кривизны и угловую скорость.

- Рассчитайте угловую скорость вращения колеса автомобиля.
В кинематике мы изучали движение по прямой и ввели такие понятия, как перемещение, скорость и ускорение. Двумерная кинематика имеет дело с движением в двух измерениях. Движение снаряда – это частный случай двумерной кинематики, в котором объект проецируется в воздух, подвергаясь действию силы гравитации, и приземляется на расстоянии. В этой главе мы рассмотрим ситуации, когда объект не приземляется, а движется по кривой. Начнем изучение равномерного кругового движения с определения двух угловых величин, необходимых для описания вращательного движения.
Угол поворота
Когда объекты вращаются вокруг некоторой оси — например, когда CD (компакт-диск) на рис. 1 вращается вокруг своего центра, — каждая точка объекта движется по дуге окружности. Рассмотрим линию от центра компакт-диска к его краю. Каждая яма , используемая для записи звука вдоль этой линии, перемещается под одним и тем же углом за одно и то же время.
Угол поворота представляет собой величину поворота и аналогичен линейному расстоянию. Определим угол поворота Δ θ как отношение длины дуги к радиусу кривизны: [латекс]\displaystyle\Delta\theta=\frac{\Delta{s}}{r}\\[/latex]
Рисунок 1. Все точки на компакт-диске движутся по дугам окружности. Все ямы вдоль линии от центра к краю перемещаются на один и тот же угол Δθ за время Δt .
Рис. 2. Радиус окружности повернут на угол Δθ . Длина дуги Δs описана на окружности.
длина дуги Δs это расстояние, пройденное по круговому пути, как показано на рисунке 2. Обратите внимание, что r – это радиус кривизны кругового пути.
Мы знаем, что для одного полного оборота длина дуги равна длине окружности радиусом r . Длина окружности равна 2π r . Таким образом, для одного полного оборота угол поворота равен
[латекс]\displaystyle\Delta\theta=\frac{2\pi{r}}{r}=2\pi\\[/latex].
Этот результат является основой для определения единиц, используемых для измерения углов поворота, Δ θ до радиан (рад), определенных таким образом, что 2π рад = 1 оборот.
Сравнение некоторых полезных углов, выраженных как в градусах, так и в радианах, показано в таблице 1.
| Таблица 1. Сравнение угловых единиц | |
|---|---|
| Градусы | Измерение в радианах |
| 30º | [латекс]\displaystyle\frac{\pi}{6}\\[/латекс] |
| 60º | [латекс]\displaystyle\frac{\pi}{3}\\[/латекс] |
| 90º | [латекс]\displaystyle\frac{\pi}{2}\\[/латекс] |
| 120º | [латекс]\displaystyle\frac{2\pi}{3}\\[/латекс] |
| 135º | [латекс]\displaystyle\frac{3\pi}{4}\\[/латекс] |
| 180º | № |
Рис. 3. Точки 1 и 2 поворачиваются на один и тот же угол (Δθ), но точка 2 перемещается по большей дуге (Δs), поскольку находится на большем расстоянии от центра вращения (r).
9{\circ}\\[/латекс].
Угловая скорость
Как быстро вращается объект? Мы определяем угловую скорость ω как скорость изменения угла. В символах это [латекс]\omega=\frac{\Delta\theta}{\Delta{t}}\\[/latex], где угловой поворот Δ θ происходит за время Δ t . Чем больше угол поворота за данный промежуток времени, тем больше угловая скорость. Единицами угловой скорости являются радианы в секунду (рад/с).
Угловая скорость ω аналогична линейной скорости v . Чтобы получить точное соотношение между угловой и линейной скоростью, мы снова рассмотрим ямку на вращающемся компакт-диске. Эта яма движется по дуге длиной Δ с за время Δ t , поэтому она имеет линейную скорость [latex]v=\frac{\Delta{s}}{\Delta{t}}\\[/ латекс].
Из [латекс]\Delta\theta=\frac{\Delta{s}}{r}\\[/latex] мы видим, что Δ s = r Δ θ . Подставляя это в выражение для v дает [латекс]v=\frac{r\Delta\theta}{\Delta{t}}=r\omega\\[/latex].
Мы запишем это отношение двумя разными способами и получим два разных понимания:
[latex]v=r\omega\text{ или }\omega\frac{v}{r}\\[/latex].
Первое соотношение в [latex]v=r\omega\text{ или }\omega\frac{v}{r}\\[/latex] утверждает, что линейная скорость v пропорциональна расстоянию от центр вращения, таким образом, он является наибольшим для точки на ободе (наибольшая r ), как и следовало ожидать. Мы также можем назвать эту линейную скорость v точки на ободе тангенциальной скоростью . Второе соотношение в [latex]v=r\omega\text{ или }\omega\frac{v}{r}\\[/latex] можно проиллюстрировать, рассмотрев шину движущегося автомобиля. Обратите внимание, что скорость точки на ободе шины равна скорости автомобиля v . См. рис. 4. Таким образом, чем быстрее движется автомобиль, тем быстрее вращается шина — большие против означают большие ω , потому что v = rω . Точно так же шина большего радиуса, вращающаяся с той же угловой скоростью ( ω ), будет производить большую линейную скорость ( v ) для автомобиля.
Рис. 4. Автомобиль, движущийся со скоростью v вправо, имеет шину, вращающуюся с угловой скоростью ω. Скорость протектора шины относительно оси равна v , такая же, как если бы автомобиль были подняты. Таким образом, автомобиль движется вперед с линейной скоростью v = r ω, где r — радиус шины. Большая угловая скорость шины означает большую скорость автомобиля.
Пример 1. Как быстро вращается автомобильная шина?
Рассчитайте угловую скорость автомобильной шины радиусом 0,300 м, когда автомобиль движется со скоростью 15,0 м/с (около 54 км/ч). См. рис. 4.
Стратегия
Поскольку линейная скорость обода шины равна скорости автомобиля, мы имеем v = 15,0 м/с. Радиус шины равен 9.0017 r = 0,300 м. Зная v и r , мы можем использовать второе соотношение в [latex]v=r\omega\text{ или }\omega\frac{v}{r}\\[/latex] для вычисления угловой скорости .
Решение
Для расчета угловой скорости мы будем использовать следующую зависимость: [латекс]\омега\фрак{в}{г}\\[/латекс].
Подстановка известных,
[латекс]\omega=\frac{15,0 \text{ м/с}}{0,300\text{ м}}=50,0\text{ рад/с}\\[/latex].
Обсуждение
Если мы отменим единицы измерения в приведенном выше расчете, мы получим 50,0/с. Но угловая скорость должна иметь единицы рад/с. Поскольку радианы на самом деле безразмерны (радианы определяются как отношение расстояния), мы можем просто вставить их в ответ для угловой скорости. Также обратите внимание, что если бы землеройная машина с гораздо большими шинами, скажем, радиусом 1,20 м, двигалась с той же скоростью 15,0 м/с, ее шины вращались бы медленнее. У них будет угловая скорость [латекс]\omega=\frac{15,0\text{ м/с}}{1,20\text{ м}}=12,5\text{ рад/с}\\[/latex].
Оба ω и v имеют направления (следовательно, они являются угловой и линейной скоростями , соответственно). Угловая скорость имеет только два направления относительно оси вращения — либо по часовой стрелке, либо против часовой стрелки.
Линейная скорость касается траектории, как показано на рис. 5.
Самостоятельный эксперимент
Привяжите объект к концу веревки и раскачивайте его по горизонтальному кругу над головой (раскачивая на запястье). Поддерживайте постоянную скорость при раскачивании объекта и измеряйте угловую скорость движения. Какова примерная скорость объекта? Определите точку рядом с вашей рукой и выполните соответствующие измерения, чтобы рассчитать линейную скорость в этой точке. Определите другие круговые движения и измерьте их угловые скорости.
Рис. 5. Поскольку объект движется по кругу, здесь муха на краю старой виниловой пластинки, ее мгновенная скорость всегда касается окружности. Направление угловой скорости в этом случае – по часовой стрелке.
Исследования PhET: Революция божьей коровки
Присоединяйтесь к божьей коровке в исследовании вращательного движения. Вращайте карусель, чтобы изменить ее угол, или выберите постоянную угловую скорость или угловое ускорение.
Узнайте, как круговое движение связано с ошибкой x , y положение, скорость и ускорение с использованием векторов или графиков.
Нажмите, чтобы скачать. Запуск с использованием Java.
Резюме раздела
- Равномерное круговое движение — это движение по окружности с постоянной скоростью. Угол поворота [латекс]\Delta\theta\\[/latex] определяется как отношение длины дуги к радиусу кривизны: [latex]\Delta\theta=\frac{\Delta{s}}{r }\\[/latex], где длина дуги Δ с — это расстояние, пройденное по круговой траектории, а 9{\circ}\\[/латекс].
- Угловая скорость ω — скорость изменения угла, [латекс]\omega=\frac{\Delta\theta}{\Delta{t}}\\[/latex], где вращение [латекс]\Delta\ theta\\[/latex] происходит во времени [latex]\Delta{t}\\[/latex]. Единицами угловой скорости являются радианы в секунду (рад/с). Линейная скорость v и угловая скорость ω связаны соотношением [latex]v=\mathrm{r\omega }\text{ или }\omega =\frac{v}{r}\text{.
}[/latex]
Концептуальные вопросы
- Существует аналогия между вращательными и линейными физическими величинами. Какие вращательные величины аналогичны расстоянию и скорости?
Задачи и упражнения
- Полуприцепы имеют одометр на одной ступице колеса прицепа. Ступица утяжелена, чтобы не вращаться, но содержит шестерни для подсчета количества оборотов колеса — затем она рассчитывает пройденное расстояние. Если колесо имеет диаметр 1,15 м и совершает 200 000 оборотов, сколько километров должен показывать одометр?
- Микроволновые печи вращаются со скоростью около 6 об/мин. Что это в оборотах в секунду? Какова угловая скорость в радианах в секунду?
- Автомобиль с шинами радиусом 0,260 м проезжает 80 000 км, прежде чем они изнашиваются. Сколько оборотов делают шины, если не принимать во внимание заднее движение и изменение радиуса из-за износа?
- а) Каков период вращения Земли в секундах? б) Какова угловая скорость Земли? (c) Учитывая, что Земля имеет радиус [латекс]6,4\times{10}^6\text{ м}\\[/латекс] на экваторе, какова линейная скорость на поверхности Земли?
- Бейсбольный питчер вытягивает руку вперед во время подачи, вращая предплечье вокруг локтя.
Если скорость мяча в руке питчера 35,0 м/с, а мяч находится на расстоянии 0,300 м от локтевого сустава, какова угловая скорость предплечья? - В лакроссе мяч выбрасывается из сетки на конце клюшки путем вращения клюшки и предплечья вокруг локтя. Если угловая скорость мяча относительно локтевого сустава равна 30,0 рад/с, а мяч находится на расстоянии 1,30 м от локтевого сустава, какова скорость мяча?
- Грузовик с шинами радиусом 0,420 м движется со скоростью 32,0 м/с. Какова угловая скорость вращающихся шин в радианах в секунду? Что это в об/мин?
- Интегрированные концепции. При ударе по футбольному мячу бьющий игрок вращает ногой вокруг тазобедренного сустава. (a) Если скорость носка ботинка игрока составляет 35,0 м/с, а тазобедренный сустав находится на расстоянии 1,05 м от носка ботинка, какова угловая скорость носка ботинка? (b) Башмак находится в контакте с изначально неподвижным футбольным мячом массой 0,500 кг в течение 20,0 мс. Какая средняя сила действует на футбольный мяч, чтобы придать ему скорость 20,0 м/с? в) Найдите максимальную дальность полета мяча, пренебрегая сопротивлением воздуха.

- Создайте свою собственную задачу. Рассмотрите аттракцион в парке развлечений, в котором участники вращаются вокруг вертикальной оси в цилиндре с вертикальными стенками. Как только угловая скорость достигает своего полного значения, пол опускается, и трение между стенами и наездниками препятствует их скольжению вниз. Составьте задачу, в которой вы вычисляете необходимую угловую скорость, которая гарантирует, что всадники не соскользнут со стены. Включите бесплатную схему тела одного гонщика. Среди переменных, которые следует учитывать, — радиус цилиндра и коэффициент трения между одеждой всадника и стеной.
Глоссарий
длина дуги: Δ s , расстояние, пройденное объектом по круговой траектории
яма: крошечная выемка на спиральной дорожке, отформованная в верхней части поликарбонатного слоя CD
угол поворота: отношение длины дуги к радиусу кривизны на круговой траектории: [латекс]\Delta\theta=\frac{\Delta{s}}{r}\\[/latex]
радиус кривизны: радиус кругового пути
радианы: единица измерения угла
угловая скорость: ω, скорость изменения угла, с которым объект движется по круговой траектории км
3,5 × 10 7 оборотов
5,117 рад/с
7,76,2 рад/с; 728 об/мин
8.
(а) 33,3 рад/с; (б) 500 Н; (c) 40,8 м
Кинетическая энергия вращения
Момент инерцииВот несколько полезных общих случаев, которые вытекают из интегралов, упомянутых выше.
Но сначала мы могли бы спросить, входит ли в это размер, либо через радиус, либо через массу. На ролике ниже показаны два алюминиевых диска разного размера, но одинаковой массы.
Следующая гонка проходит между диском (сплошным цилиндром) и полым цилиндром.
Сплошной шар (бильярдный шар) и сплошной диск (из алюминия).
И, наконец, сферы разного размера и массы. (два стальных шарика)
Просто для практики выведем новые уравнения (и пересмотрим раздел кинематики, если это кажется трудным!) Если мы рассматриваем движение с постоянным ускорением и помним, что α = dω/dt, мы имеем
v = v 0 + at and s = s 0 + v 0 t + ½at 2 и v 2 − v 0 2 = 2a(s − s 0 ). ![]()
Гироскопы
|

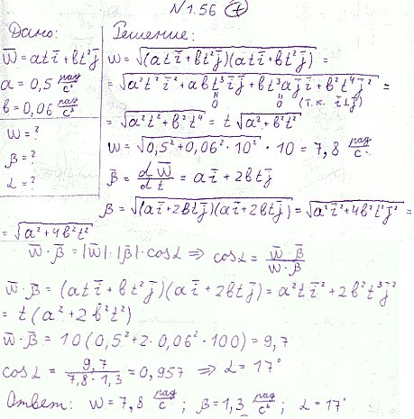
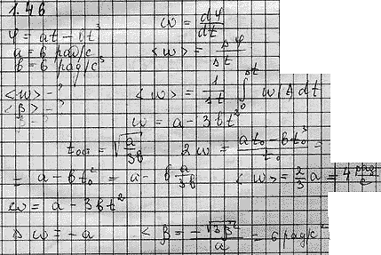
01.21
статистика
Для точек, лежащих на ободе колеса, найти через время t = 2 с после начала движения: а) угловую скорость ω; б) линейную скорость v; в) угловое ускорение ε; г) тангенциальное аτ и нормальное аn ускорения.

Найти для точек, лежащих на ободе колеса через t = 1,5 сек после начала движения: 1) угловую скорость; 2) линейную скорость; 3) угловое ускорение; 4) тангенциальное ускорение; 5) нормальное ускорение; 6) полное ускорение.
Найти для точек, лежащих на ободе колеса через t = 2,0 сек после начала движения: 1) угловую скорость; 2) линейную скорость; 3) угловое ускорение; 4) тангенциальное ускорение; 5) нормальное ускорение; 6) полное ускорение.
Найти для точек, лежащих на ободе колеса через t = 1,5 сек после начала движения: 1) угловую скорость; 2) линейную скорость; 3) угловое ускорение; 4) тангенциальное ускорение; 5) нормальное ускорение; 6) полное ускорение.
Найти для точек, лежащих на ободе колеса через t = 2,5 сек после начала движения: 1) угловую скорость; 2) линейную скорость; 3) угловое ускорение; 4) тангенциальное ускорение; 5) нормальное ускорение; 6) полное ускорение.
Вычислите:
}[/latex]
Если скорость мяча в руке питчера 35,0 м/с, а мяч находится на расстоянии 0,300 м от локтевого сустава, какова угловая скорость предплечья?
Сначала латунный предмет катится по двум наклонным рельсам, которые поддерживают его, соприкасаясь с его валом. В конце уклона он достигает горизонтальной дорожки, по которой катится по краю. Это происходит примерно при t = 4 с на клипе.
(Однако также теряется некоторая кинетическая энергия, поскольку во время этого процесса может происходить некоторое скольжение, поэтому часть энергии теряется. См. раздел о контактных силах.)
Каждый имеет v i = r i ω, где ω имеет одинаковое значение для всех масс, поскольку объект (по предположению) является жестким. Таким образом, полная кинетическая энергия вращения равна
д., но как мне интегрировать по массе ?» Ответ через плотность, ρ. Чтобы узнать распределение масс, вам нужно знать ρ( r ) или ρ(x,y,z). Итак, мы рассматриваем небольшой элемент объема dV и пишем dm = ρ.dV. Если бы объект имел прямоугольную симметрию, мы могли бы выбрать dV как куб со сторонами dx, dy и dz и написать для этого примера:
Примеры есть в большинстве учебников. Я скоро выложу кое-что здесь, но отложу, потому что в html сложно писать математику!
Но сначала мы могли бы спросить, входит ли в это размер, либо через радиус, либо через массу. На ролике ниже показаны два алюминиевых диска разного размера, но одинаковой массы.
Следующая гонка проходит между диском (сплошным цилиндром) и полым цилиндром.
Сплошной шар (бильярдный шар) и сплошной диск (из алюминия).
И, наконец, сферы разного размера и массы. (два стальных шарика)
Просто для практики выведем новые уравнения (и пересмотрим раздел кинематики, если это кажется трудным!) Если мы рассматриваем движение с постоянным ускорением и помним, что α = dω/dt, мы имеем


На второй фотографии показан крутящий момент τ , создаваемый натяжением струны вокруг оси шкива.
I. Хотя к струне прикреплена та же масса, силы лишь приблизительно равны: сила в примере справа немного меньше силы слева. (Вы понимаете, почему? Подумайте об уравнении движения падающей массы.)
Однако, чтобы вы начали, я нарисовал схему.
Второй закон Ньютона для линейного движения устанавливает общую силу F равной d p / dt, поэтому член справа равен r X F
Моя масса 70 кг, значит
Вы можете проверить это по времени. периоды с руками в двух положениях (и обратите внимание, что я даю ответ только на одну значащую цифру.
Поскольку кресло легко поворачивается вокруг этой оси, внешний крутящий момент (через подшипники кресла) дает незначительный угловой импульс, поэтому угловой момент вокруг этой оси сохраняется: после (совершенно неупругого) столкновения мы поворачиваемся вместе.
Он часто имеет карданное крепление, как в данном случае: его ось установлена с низким моментом трения в раме с осью, расположенной под прямым углом к ней, и это крепление установлено в другой раме, ось которой также находится под прямым углом. , опять же с низким моментом трения. Это позволяет вращать последнюю рамку в любом направлении относительно оси гироскопа без приложения большого крутящего момента к гироскопу.
В момент, показанный на верхнем неподвижном изображении под кадром фильма, колесо вращается по часовой стрелке, если смотреть слева, поэтому его угловой момент равен L находится справа, как показывает стрелка. Если мы рассмотрим крутящие моменты вокруг центра колеса, вес не оказывает крутящего момента относительно этой точки, но струна оказывает направленное вверх усилие. F Вытеснен с помощью R С этой точки, так что крутящий момент τ = R x F R x F r x F r x 1 F . Теперь Δ L , изменение
по угловому моменту должен быть параллелен τ , поэтому L , лежащий вдоль оси, как показано, должен двигаться наружу к наблюдателю.
Далее, крутящий момент всегда (приблизительно) перпендикулярен L , значит, движение круговое — называется прецессией .
направление. Итак, именно по этой причине вы, возможно, захотите прочитать: