Объём цилиндроида.
Объём цилиндроида, ограниченного сверху непрерывной поверхностью $z=f(x, y)\geq 0,$ снизу плоскостью $z=0$ и с боков прямой цилиндрической поверхностью, вырезающей из плоскости $O_{xy}$ квадрируемую область $\Omega$ равен $$V=\iint\limits_{\Omega}f(x, y)dxdy.$$
Двойные интегралы, примеры решений
Теория по двойным интегралам
Двойной интеграл от функции двух переменных по области G обозначается
Для вычисления двойного интеграла, его нужно свести к повторному интегралу. Возможны два случая. Пусть область интегрирования – элементарна относительно оси (рис. 1). Тогда двойной интеграл по области выражается через повторные по формуле:
Если же область интегрирования – элементарна относительно оси (рис. 2), то двойной интеграл по области выражается через повторные следующим образом:
При решении задач иногда полезно разбить исходную область интегрирования на две или более областей и вычислять двойной интеграл в каждой области отдельно.
Примеры
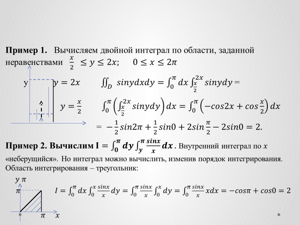
ПРИМЕР 3| Задание | Вычислить двойной интеграл, если область – единичный круг с центром в начале координат. Интеграл:
|
| Решение | Если область, по которой вычисляется интеграл, является кругом или его частью, то интеграл проще вычислять в полярных координатах. Перейдем к полярным координатам:
В декартовых координатах уравнение единичной окружности с центром в начале координат имеет вид: ; запишем его в полярной системе координат:
Учитывая, что по определению , получим, что лежит в пределах . Так как интегрирование производится по всей окружности, то лежит в пределах . Подынтегральная функция в полярной системе координат примет вид:
Подставляя эту замену в исходный интеграл и переходя от двойного к повторному, получим:
Так как внутренний интеграл не зависит от , то его можно вычислить отдельно , осталось вычислить внутренний интеграл по :
|
| Ответ |
| Задание | С помощью двойного интеграла, вычислить площадь фигуры, ограниченной линиями: |
| Решение | Сделаем рисунок (рис. 4).
Площадь с помощью двойного интеграла вычисляется по формуле
Перейдем от двойного интеграла к повторному:
Вычислим этот интеграл, начиная с внутреннего:
(кв. ед.) |
| Ответ |
| Понравился сайт? Расскажи друзьям! | |||
WolframAlpha по-русски: Двойной интеграл в Wolfram|Alpha
Для нахождения неопределенных двойных интегралов Wolfram|Alpha использует следующий синтаксис:Важное замечание: обязательно нужно явно указывать переменные интегрирования, добавляя dxdy в конце подынтегрального выражения.
Для вычисления определенных двойных интегралов нужно просто указать пределы интегрирования. В простейшем случае, вычисление двойного интеграла в Wolfram|Alpha выполняется по запросу следующего вида:
Если двойной интеграл имеет переменные пределы, то форма запроса сохраняется. Однако, нужно быть внимательным и явно указывать порядок интегрирования. Так, если переменная x имеет постоянные пределы интегрирования, а переменная y – переменные пределы, то подынтегральное выражение должно заканчиваться символами dydx (сначала dy, а потом dx) (это поможет Wolfram|Alpha правильно определить последовательность повторного интегрирования при вычислении двойного интеграла). То есть корректный запрос на вычисление двойного интеграла в Wolfram|Alpha выглядит так:
Двойные интегралы с бесконечными пределами вычисляются в Wolfram|Alpha аналогично.
Вот известный пример:
Однако, самый простой способ найти двойной интеграл в Wolfram|Alpha – это воспользоваться калькулятором двойных интегралов.
Калькулятор двойных интегралов в Wolfram|Alpha выводится по запросу
Для нахождения неопределенных двойных интегралов с помощью этого калькулятора здесь нужно сначала ввести свою подынтегральную функцию, затем указать первую и вторую переменную интегрирования, а после этого клацнуть знак “=”.
Чтобы вычислить определенный двойной интеграл при помощи калькулятора, нужно указать пределы интегрирования для каждой переменной. Для этого следует последовательно клацнуть ссылки domain of integration for 1st variable и domain of integration for 2nd variable, которые подчеркнуты на этом рисунке:
После этого появится возможность ввести пределы интегрирования, и можно будет вычислить двойной интеграл, нажав кнопку “=”:
Нужно сказать, что Wolfram|Alpha вычисляет двойные интегралы не безупречно.
Некоторые интегралы система не вычисляет, а лишь выводит условие примера. Возможно, это объясняется особенностями интернет-подключения, которое использую я.
Книга Б. М. Будак, С. В. Фомин. Кратные интегралы и ряды
Книга Б. М. Будак, С. В. Фомин. Кратные интегралы и ряды(Серия: “Курс высшей математики и математической физики”)
М.: Наука, 1965. – 608 с.
На главную страницу | Математический анализ
Титул
От редакторов серии. Предисловие
Глава 1. Двойные интегралы
§ 1. Некоторые вспомогательные понятия. Площадь плоской фигуры
1. Граничные и внутренние точки. Область. 2. Расстояние между множествами. 3. Площадь плоской фигуры. 4. Основные свойства площади. 5. О понятии меры множества
§ 2. Определение и основные свойства двойного интеграла
1. Определение двойного интеграла. 2. Условия существования двойного интеграла. Верхние и нижние суммы. 3. Важнейшие классы интегрируемых функций. 4. Свойства двойного интеграла
§ 3.
Аддитивные функции области. Производная по площади
1. Функции точки и функции области. 2. Двойной интеграл как аддитивная функция области. 3. Производная функции области по площади. 4. Производная по площади от двойного интеграла. 5. Восстановление аддитивной функции области по ее производной. 6. Определенный интеграл как функция области. 7. Продолжение функций области по аддитивности
§ 4. Некоторые физические и геометрические применения двойных интегралов
1. Вычисление объемов. 2. Вычисление площадей. 3. Масса пластинки. 4. Координаты центра масс пластинки. 5. Моменты инерции пластинки. 6. Световой поток, падающий на пластинку. 7. Поток жидкости через поперечное сечение канала
§ 5. Сведение двойного интеграла к повторному
1. Наводящие соображения. 2. Случай прямоугольной области. 3. Случай криволинейной области
§ 6. Замена переменных в двойном интеграле
1. Отображение областей. 2. Криволинейные координаты. 3. Полярные координаты.
4. Постановка задачи о замене переменных в двойном интеграле. 5. Площадь в криволинейных координатах. 6. Замена переменных в двойном интеграле. 7. Сравнение с одномерным случаем. Интеграл по ориентированной области
Глава 2. Тройные и многократные интегралы
§ 1. Определение и основные свойства тройного интеграла
1. Предварительные замечания. Объем пространственной фигуры. 2. Определение тройного интеграла. 3. Условия существования тройного интеграла. Интегрируемость непрерывных функций. 4. Свойства тройных интегралов. 5. Тройной интеграл как аддитивная функция области
§ 2. Некоторые применения тройных интегралов в физике и геометрии
1. Вычисление объемов. 2. Нахождение массы тела по плотности. 3. Момент инерции. 4. Вычисление координат центра масс. 5. Притяжение материальной точки телом
§ 3. Вычисление тройного интеграла
1. Сведение тройного интеграла по параллелепипеду к повторному. 2. Сведение тройного интеграла по криволинейной области к повторному
§ 4.
Замена переменных в тройном интеграле
1. Отображение пространственных областей. 2. Криволинейные координаты в пространстве. 3. Цилиндрические и сферические координаты. 4. Элемент объема в криволинейных координатах. 5. Замена переменных в тройном интеграле. Геометрический смысл якобиана
§ 5. Понятие о многомерных интегралах
1. Общие сведения. 2. Примеры
Глава 3. Элементы дифференциальной геометрии
§ 1. Вектор-функции скалярного аргумента
1. Определение вектор-функции. Предел. Непрерывность. 2. Дифференцирование вектор-функции. 3. Годограф. Особые точки. 4. Формула Тейлора. 5. Интеграл от векторной функции по скалярному аргументу. 6. Векторные функции нескольких скалярных аргументов
§ 2. Пространственные кривые
1. Векторное уравнение кривой. 2. Основной трехгранник. 3. Формулы Френе. 4. Вычисление кривизны и кручения. 5. Система координат, связанная с основным трехгранником. 6. Вид кривой вблизи произвольной ее точки.
7. Ориентированная кривизна плоской кривой. 8. Понятие о натуральных уравнениях кривой. 9. Некоторые приложения к механике
§ 3. Параметрическое уравнение поверхности
1. Понятие поверхности. 2. Параметризация поверхности. 3. Параметрическое уравнение поверхности. 4. Кривые на поверхности. 5. Касательная плоскость. 6. Нормаль к поверхности. 7. Системы координат в касательных плоскостях
§ 4. Измерение на кривой поверхности длин, углов и площадей. Первая квадратичная форма поверхности
1. Аффинная система координат на плоскости. 2. Длина дуги на поверхности. Первая квадратичная форма. 3. Угол между двумя кривыми. 4. Определение площади поверхности. Пример Шварца. 5. Вычисление площади гладкой поверхности
§ 5. Кривизна линий на поверхности. Вторая квадратичная форма
1. Нормальные сечения поверхности и их кривизна. 2. Вторая квадратичная форма поверхности. 3. Индикатриса кривизны. 4. Главные направления и главные кривизны поверхности. Формула Эйлера.
5. Вычисление главных кривизн. 6. Полная кривизна и средняя кривизна. 7. Классификация точек на поверхности. 8. Первая и вторая квадратичные формы как полная система инвариантов поверхности
§ 6. Понятие о внутренней геометрии поверхности
1. Наложимость поверхностей. Необходимое и достаточное условие наложимости. 2. Внутренняя геометрия поверхности. 3. Поверхности постоянной кривизны
Глава 4. Криволинейные интегралы
§ 1. Криволинейные интегралы первого рода
1. Определение криволинейного интеграла первого рода. 2. Свойства криволинейных интегралов. 3. Некоторые применения криволинейных интегралов первого рода. 4. Криволинейные интегралы первого рода в пространстве
§ 2. Криволинейные интегралы второго рода
1. Постановка задачи. Работа силового поля. 2. Определение криволинейного интеграла второго рода. 3. Связь между криволинейными интегралами первого и второго рода. 4. Вычисление криволинейного интеграла второго рода. 5. Зависимость криволинейного интеграла второго рода от ориентации кривой.
6. Криволинейные интегралы вдоль самопересекающихся и замкнутых путей. 7. Криволинейные интегралы второго рода вдоль пространственных кривых
§ 3. Формула Грина
1. Вывод формулы Грина. 2. Вычисление площади с помощью формулы Грина
§ 4. Условия независимости криволинейного интеграла от пути. Интегрирование полных дифференциалов
1. Постановка вопроса. 2. Случай односвязной области. 3. Нахождение функции по ее полному дифференциалу. 4. Криволинейные интегралы в многосвязной области
Глава 5. Поверхностные интегралы
§ 1. Поверхностные интегралы первого рода
1. Определение поверхностного интеграла от скалярной функции. 2. Сведение поверхностного интеграла к двойному. 3. Некоторые применения поверхностных интегралов к механике. 4. Поверхностные интегралы от векторных функций. Общее понятие поверхностного интеграла первого рода
§ 2. Поверхностные интегралы второго рода
1. Сторона поверхности. 2. Определение поверхностного интеграла второго рода.
3. Сведение поверхностного интеграла второго рода к двойному интегралу
§ 3. Формула Остроградского
1. Вывод формулы Остроградского. 2. Вычисление поверхностных интегралов с помощью формулы Остроградского. Представление объема пространственной области в виде поверхностного интеграла
§ 4. Формула Стокса
1. Вывод формулы Стокса. 2. Применение формулы Стокса к исследованию пространственных криволинейных интегралов
Глава 6. Теория поля
§ 1. Скалярные поля
1. Определение и примеры скалярных полей. 2. Поверхности и линии уровня. 3. Различные типы симметрии полей. 4. Производная по направлению. 5. Градиент скалярного поля
§ 2. Векторные поля
1. Определение и примеры векторных полей. 2. Векторные линии и векторные трубки. 3. Различные виды симметрии векторных полей. 4. Поле градиента. Потенциальное поле
§ 3. Поток векторного поля. Дивергенция
1. Поток векторного поля через поверхность. 2. Дивергенция.
3. Физический смысл дивергенции для различных полей. Примеры. 4. Соленоидальное поле. 5. Уравнение неразрывности. 6. Плоское течение жидкости. Формула Остроградского на плоскости
§ 4. Циркуляция. Ротор
1. Циркуляция векторного поля. 2.- Ротор векторного поля. Запись формулы Стокса в векторных обозначениях. 3. Символическая запись ротора. 4. Физический смысл ротора. 5. Еще раз о потенциальных и соленоидальных полях
§ 5. Оператор Гамильтона
1. Символический вектор ∇. 2. Действия с вектором ∇
§ 6. Дифференциальные операции второго порядка. Оператор Лапласа
1. Дифференциальные операции второго порядка. 2. Уравнение теплопроводности. 3. Стационарное распределение температур. Гармонические поля
§ 7. Запись основных дифференциальных операций теории поля в ортогональных криволинейных координатах
1. Постановка задачи. 2. Криволинейные ортогональные координаты в пространстве. 3. Цилиндрические и сферические координаты. 4. Градиент.
5. Дивергенция. 6. Ротор. 7. Оператор Лапласа. 8. Запись основных формул в цилиндрических и сферических координатах
§ 8. Переменные поля в сплошных средах
1. Локальная и материальная производные. 2. Уравнение Эйлера. 3. Производная по времени от интеграла по жидкому объему. 4. Другой вывод уравнения неразрывности
Глава 7. Тензоры
§ 1. Понятие аффинного ортогонального тензора
1. Преобразования ортогональных нормированных базисов. 2. Определение аффинного ортогонального тензора
§ 2. Связь между тензорами второго ранга и линейными операторами
1. Линейный оператор как тензор второго ранга. 2. Тензор второго ранга как линейный оператор
§ 3. Связь между тензорами и инвариантными полилинейными формами
1. Тензоры первого ранга и инвариантные линейные формы. 2. Тензоры второго ранга и инвариантные билинейные формы. 3. Тензоры произвольного ранга р и инвариантные полилинейные формы
§ 4. Тензор деформаций
§ 5.
Тензор напряжений
1. Определение тензора напряжений. 2. Тензор напряжений как линейный оператор
§ 6. Алгебраические операции над тензорами
1. Сложение, вычитание и умножение тензоров. 2. Умножение тензора на вектор. 3. Свертка. 4. Перестановка индексов. 5. Разложение тензора второго ранга на симметричный и антисимметричный
§ 7. Тензор относительных смещений
§ 8. Поле тензора
1. Поле тензора. Дивергенция теизма. 2. Формула Остроградского для поля тензора. 3. Уравнения движения сплошной среды
§ 9. Приведение симметричного тензора второго ранга к главным осям
§ 10. Общее определение тензора
1. Взаимные базисы векторов. 2. Ковариантные и контра- вариантные координаты векторов. 3. Операция суммирования в тензорной символике. 4. Преобразование базисных векторов. 5. Преобразование ковариантных и контравариантных координат вектора. 6. Общее определение тензора. 7. Операции над тензорами. 8. Дальнейшие обобщения
Дополнение к гл.
7. Об умножении матриц
Глава 8. Функциональные последовательности и ряды
§ 1. Понятие равномерной сходимости; признаки равномерной сходимости
1. Сходимость и равномерная сходимость. 2. Признаки равномерной сходимости
§ 2. Свойства равномерно сходящихся функциональных последовательностей и рядов
1. Непрерывность и равномерная сходимость. 2. Предельный переход под знаком интеграла и почленное интегрирование ряда. 3. Предельный переход под знаком производной и почленное Дифференцирование ряда. 4. Почленный предельный переход в функциональных последовательностях и рядах
§ 3. Степенные ряды
1. Интервал сходимости степенного ряда; радиус сходимости. 2. О равномерной сходимости степенного ряда и непрерывности его суммы. 3. Дифференцирование и интегрирование степенных рядов. 4. Арифметические операции над степенными рядами
§ 4. Разложение функций в степенные ряды
1. Основные теоремы о разложениях функций в степенные ряды; разложения элементарных функций.
2. Некоторые применения степенных рядов
§ 5. Степенные ряды в комплексной области
§ 6. Сходимость в среднем
1. Квадратичное уклонение и сходимость в среднем. 2. Неравенство Коши — Буняковского. 3. Интегрирование сходящихся в среднем последовательностей и рядов. 4. О связи между сходимостью в среднем и возможностью почленного дифференцирования последовательностей и рядов. 5. Связь между сходимостью в среднем и другими видами сходимости
Дополнение 1 к гл. 8. Критерий компактности семейства функций
Дополнение 2 к гл. 8. Слабая сходимость и дельта-функция
Глава 9. Несобственные интегралы
§ 1. Интегралы с бесконечными пределами интегрирования
1. Определения; примеры. 2. Сведение несобственного интеграла к числовой последовательности и числовому ряду. 3. Критерий Коши для несобственных интегралов. 4. Абсолютная сходимость. Признаки абсолютной сходимости. 5. Условная сходимость. 6. Распространение методов вычисления интегралов на случай несобственных интегралов
§ 2.
Интегралы от неограниченных функций с конечными и бесконечными пределами интегрирования
§ 3. Главное значение расходящегося интеграла
§ 4. Несобственные кратные интегралы
1. Интеграл от неограниченной функции по ограниченной области. 2. Интегралы от неотрицательных функций. 3. Абсолютная сходимость. 4. Признаки абсолютной сходимости. 5. Эквивалентность сходимости и абсолютной сходимости. 6. Несобственные интегралы с неограниченной областью интегрирования. 7. Методы вычисления несобственных кратных интегралов
Глава 10. Интегралы, зависящие от параметра
§ 1. Собственные и простейшие несобственные интегралы, зависящие от параметра
1. Собственные интегралы, зависящие от параметра. 2. Простейшие несобственные интегралы, зависящие от параметра
§ 2. Несобственные интегралы, зависящие от параметра
1. Понятие равномерной сходимости. 2. Сведение несобственного интеграла, зависящего от параметра, к последовательности функций. 3.
Свойства равномерно сходящихся интегралов, зависящих от параметра. 4. Признаки равномерной сходимости несобственных интегралов, зависящих от параметра. 5. Примеры вычисления несобственных интегралов с помощью дифференцирования и интегрирования по параметру
§ 3. Эйлеровы интегралы
1. Свойства гамма-функции. 2. Свойства бета-функции
§ 4. Кратные собственные и несобственные интегралы, зависящие от параметров
Глава 11. Ряды Фурье н интеграл Фурье
§ 1. Предварительные сведения о периодических функциях и постановке основной задачи
1. Периоды периодической функции. 2. Периодическое продолжение непериодической функции. 3. Интеграл от периодической функции. 4. Арифметические действия над периодическими функциями. 5. Суперпозиция гармоник с кратными частотами. 6. Постановка основной задачи. 7. Ортогональность тригонометрической системы; коэффициенты Фурье н ряд Фурье. 8. Разложение в ряд Фурье четных и нечетных функций. 9. Разложение функции на отрезке [—π, π]
§ 2.
Основная теорема о сходимости тригонометрического ряда Фурье
1. Класс кусочно-гладких функций. 2. Формулировка основной теоремы о сходимости тригонометрического ряда Фурье. 3. Основная лемма. 4. Доказательство основной теоремы сходимости. 5. Примеры. 6. Разложение функций, заданных на отрезке [0, l], только по синусам или только по косинусам
§ 3. Ряды Фурье по ортогональным системам. Неравенство Бесселя
1. Ортогональные системы функций. 2. Коэффициенты Фурье и ряд Фурье функции f(х) по ортогональной системе. 3. Задача о наименьшем квадратичном уклонении. Тождество Бесселя. Неравенство Бесселя
§ 4. Связь между степенью гладкости функции и скоростью сходимости ее тригонометрического ряда Фурье. Понятие улучшения сходимости
1. Условия равномерной сходимости тригонометрического ряда Фурье. 2. Связь между степенью гладкости функции и скоростью сходимости ее тригонометрического ряда Фурье. 3. Понятие улучшения сходимости тригонометрического ряда Фурье
§ 5.
Равномерная аппроксимация непрерывной функции тригонометрическими и алгебраическими многочленами; теоремы Вейерштрасса
§ 6. О полноте и замкнутости ортогональных систем
1. Понятие полноты ортогональной системы. 2. Критерий полноты — равенство Парсеваля. 3. Свойства полных систем. 4. Полнота основной тригонометрической системы. 5. Полнота других классических ортогональных систем
§ 7. Ряды Фурье по ортогональным системам комплексных функций и комплексная запись тригонометрического ряда Фурье
§ 8. Тригонометрические ряды Фурье для функций нескольких независимых переменных
§ 9. Интеграл Фурье
1. Неограниченное растяжение интервала разложения функции в ряд Фурье и интегральная формула Фурье. 2. Обоснование интегральной формулы Фурье. 3. Интеграл Фурье как разложение в сумму гармоник. 4. Комплексная форма интеграла Фурье. 5. Преобразование Фурье. 6. Интеграл Фурье для функций нескольких независимых переменных
Дополнение 1 к гл. 11. О полиномах Лежандра
Дополнение 2 к гл.
11. Ортогональность с весом и ортогонализация
Дополнение 3 к гл. 11. Функциональное пространство и геометрические аналогии
Дополнение 4 к гл. 11. О некоторых применениях преобразования Фурье
Дополнение 5 к гл. 11. Разложение δ-функции в ряд Фурье и интеграл Фурье
Дополнение 6 к гл. 11. Равномерная аппроксимация функций многочленами
Дополнение 7 к гл. 11. Об устойчивом суммировании рядов Фурье с возмущенными коэффициентами
Добавление 1. Об асимптотических разложениях
§ 1. Примеры асимптотических разложений
1. Асимптотические разложения в окрестности нуля. 2. Асимптотические разложения в окрестности бесконечности
§ 2. Некоторые общие определения и теоремы
1. Соотношения порядка. Асимптотическая эквивалентность. 2. Асимптотические разложения функций
§ 3. Метод Лапласа для асимптотического разложения некоторых интегралов
Добавление 2. Некоторые сведения об универсальных вычислительных машинах
§ 1.
Общие сведения о вычислительных машинах
1. Введение (573). 2. Основные типы вычислительных машин. 3. Основные узлы УЦВМ и их назначение. Системы счисления, используемые в УЦВМ. 5. Представление чисел в вычислительной машине
§ 2. Основные операции, выполняемые УЦВМ. Команды
1. Типы операций. 2. Основные арифметические операции. 3. Дополнительные операции вычислительного назначения. 4. Поразрядные (логические) операции. 5. Операции обращения к внешним устройствам. 6. Операции передачи управления. 7. Осуществление операций в машине
§ 3. Элементы программирования
1. Общие сведения. 2. Программирование по формулам. 3. Циклические процессы. 4. Блок-схемное программирование. Подпрограммы. 5. Коды команд. Операции над командами. 6. Об автоматизации программирования
§ 4. Некоторые вопросы организации работы на УЦВМ
1. Условия, определяющие эффективность применения на УЦВМ. 2. Основные этапы решения задачи с применением УЦВМ. 3. Методы предупреждения и обнаружения ошибок счета
Литература
Предметный указатель
Оглавление
На главную страницу | Математический анализ
Лекции кратные интегралы, двойной интеграл 2
Скачать с Depositfiles
Двойной интеграл в полярных координатах.
В полярных координатах точка M однозначно определяется полярным углом φ (0 ≤ φ <2π или –π < φ π) и полярным радиусом r (r≥0). Для начала координат O радиус r = 0, а полярный угол не определен.
Пусть декартова полуось Ox совпадает с полярным лучом.
Декартовы координаты выражаются через полярные по формулам
(14)
Полярные координаты выражаются через декартовы:
. (15)
Пусть область D в декартовых координатах преобразуется в область Dr в полярных координатах согласно формулам (10).
Якобиан в данном случае равен:
Тогда интеграл (2) преобразуется в двойной интеграл в полярных координатах по формуле
(16)
Двойной интеграл (16) вычисляется переходом к повторному интегралу в полярных координатах.
Пусть область Dr имеет вид
Dr = { (r, φ ) : α ≤ φ ≤ β, r1(φ) ≤ r≤ r2 (φ)},
где лучи φ = α и φ = β ограничивают сектор, в котором находится фигура Dr , кривые r = r1(φ), r = r2 (φ) ограничивают ее в этом секторе. Тогда
(17)
Замечание. При расстановке пределов интегрирования в повторном интеграле нужно учесть, что изменение полярного угла определяется поворотом луча, исходящего из начала O вокруг него против хода часовой стрелки, а изменение полярного радиуса определяется движением точки вдоль луча в сторону его возрастания.
Рисунок 5
Примеры.
1). Расставить пределы интегрирования в повторном интеграле в полярных координатах
где Dr полукруг из рисунка 5.
Решение. Все точки этого полукруга будут охвачены, если луч Оl будет поворачиваться от до φ = 0 против хода часовой стрелки. Значит, . Пусть теперь луч Оl имеет полярный угол . Тогда при движении точки полукруга по лучу Оl (рис. 5) от точки О до точки Mполярный радиус r изменяется от 0 до координаты r=2cosφ точки M. Значит,
0 ≤ r ≤ 2cos φ. Таким образом, Dr = {(r, φ): , 0 ≤ r ≤ 2 cos φ} . Следовательно,
2) Вычислить где D = {(x, y): x2 + y22x ≤ 0, y≤ 0} .
Решение. Подставим в уравнение окружности x2 +y22x = 0 полярные координаты (9) и преобразуем: r22 rcosφ = 0 r =2cosφ. Мы получили уравнение полуокружности в полярных координатах из рисунка 5. Поскольку y≤ 0, то D полукруг из примера 3. Расставим пределы интегрирования как в этом примере и вычислим:
Вычисление площади фигуры.
Площадь плоской фигуры вычисляется по формуле
Пример. Вычислить площадь фигуры, ограниченной линиями
Решение. Данная фигура D расположена в вертикальной полосе 0 ≤ x ≤ 2, а в ней ограничена снизу параболой y = x2, сверху прямой y = 4 (рис. 6). По формуле (5) имеем
.
Вычисление объема цилиндрического тела.
Если f (x,y) ≥ 0 в ограниченной области D, то объем цилиндрического тела (рис.1) вычисляется по формуле V =
Пример. Найти объем тела, ограниченного поверхностями
z = 0, x2 + y2 = 4, z = x2 + y2 .
Решение. x2 + y2 = 4 это круговой цилиндр радиуса 2, ось которого совпадает с Оy. z = x2 + y2 параболоид, который пересекает цилиндр по окружности радиуса 2 в плоскости z = 4 . z=0 координатная плоскость xOy. Таким образом, тело ограничено сверху параболоидом
z = x2 + y2 , снизу кругом D , с боков цилиндрической поверхностью x2 + y2 = 4.
Так как данное тело цилиндрическое и
z = x2 + y2 ≥ 0, то для вычисления его объема можно использовать формулу
где D ={ (x, y) : x2 + y2 ≤ 4, z = 0 } круг в плоскости xOy. Для вычисления этого интеграла перейдем к полярным координатам. При этом круг Dпреобразуется во множество
Dr ={ (r, φ) : 0 ≤ φ < 2π , 0 ≤ r ≤ 2 }. По формуле (17) получим
Двойной интеграл в полярных координатах
Алгоритм вычисления двойных интегралов при переходе к полярным координатам детально приведен как в настоящей статье, так и предыдущих публикациях с теорией. Для перехода к полярным координатам нужно найти якобиан, который несколько раз здесь повторим.
Дальше сами уравнения кривых, которые ограничивают область интегрирования следует также перевести в полярные координаты. В теории все хорошо описано и выглядит понятным, однако на практике во многих студентов возникают трудности и немало вопросов, поэтому внимательно пересмотрите приведенные дальше решения.
Пример 2.1 Вычислить двойной интеграл, используя полярные координаты:
Решение: Построим область интегрирования ограниченную кривыми
-3≤x≤3
Эти кривые записываем из пределов интегрирования, внимательно пересмотрите в каких пределах изменяются “икс” и “игрек”.
Нижний предел по оси “игреков” приведем к каноническому виду
x2+y2=9.
Получили уравнение круга с центром в точке O(0;0) и радиусом 3 (нижняя половина).
Перейдем к полярной системе координат с помощью превращения координат:
найдем якобиан перехода:
Найдем подынтегральную функцию в полярных координатах:
Внимательно пересмотрите формулы двойного синуса, косинуса и им подобных.
Они достаточно часто встречаются при упрощении подынтегральных функций, все сделано умышленно для того, чтобы Вы без проблем могли интегрировать.
Запишем пределы интегрирования в полярной системе координат:
0≤r≤3, π≤φ≤2 π.
Вычислим двойной интеграл:
Поскольку переменные разделены, то интегрирование не тяжелое, достаточно воспользоваться табличными интегралами и подставить пределы.
Пример 2.2 Найти двойной интеграл, используя полярные координаты:
Решение: Из интеграла выписываем область интегрирования
0≤x≤1
Она ограничена прямыми, которые совпадают с-осями координат
, y2=12-x2,x2+y2=12 – дуга круга в I четверти.
Получили круг с центром в точке O(0;0) и радиусом r=1 (верхняя половина).
Якобиан перехода к ПСК I=r.
Запишем подынтегральную функцию в полярной системе координат:
Для круговых областей не трудно записать пределы интегрирования при переходе к полярной системе координат:
0≤r≤1, 0≤φ≤π/2.
Находим двойной интеграл:
В результате интегрирования в ответе получили выражение которое содержит логарифм двойки, и число Пи.
Пример 2.3 Вычислить значение двойного интеграла, перейдя к полярным координатам:
Решение: Выпишем область интегрирования, которая ограничена кривыми
– 2≤x≤2,
По “игреку” имеем ограничения ветками круга , y2=4-x2, x2+y2=22 с центром в начале координат O(0;0) и радиусом 2.
Перейдем к полярной системе координат:
якобиан переходу: I=r.
С учетом формул перехода подынтегральная функция в полярной системе координат примет вид корневой зависимости:
Пределы интегрирования в ПСК следующие:
0≤r≤2, 0≤φ≤2π.
Переходим от двойного интеграла в декартовых координатах к двойному в полярных координатах и находим его значение:
Интеграл равен 16π/3.
Пример 2.4 Найти двойной интеграл, используя полярные координаты:
D: {x2+y2=π2/9; x2+y2=π2/4}.
Решение: Выпишем область интегрирования ограниченную кривыми
Первая кривая x2+y2=π2/9 – круг с центром в начале координат O(0;0) и радиусом π/3;
второе уравнение описывает x2+y2=π2/4 – больший круг с центром в той же точке O(0;0) и радиусом π/2.
Область между кругами образует кольцо, по которому выполняем интегрирование.
Найдем подынтегральную функцию в полярной СК:
Круги в полярной системе координат можно задать радиусами и центрами:
, отсюда r= π/3;
, имеем r= π/2.
Пределы интегрирования в полярной системе координат следующие:
π/3≤r≤π/2, 0≤φ≤2π.
Выполняем вычисление двойного интеграла:
Переход к полярной СК значительно упрощает вычисление интегралов для круговых и кольцевых областей.
Пример 2.5 Найти двойной интеграл, используя полярные координаты:
D: {x2+y2– 2y=0; x2+y2– 4y=0}.
Решение: На основе предыдущих примеров делаем вывод, что область интегрирования, ограниченная x2+(y-1)2=1 – кругом с центром в точке O(0;1) и радиусом 1;
Вторая кривая x2+(y-2)2=2- круг с центром в точке O(0;2) и радиусом 2.
{m}\), то для любого номера \(n\) найдется номер \(k(n)\) такой, что \(\overline{G}_{n} \subset G’_{k(n)}\).
Доказательство.
\(\circ\) Пусть для некоторого множества \(G_{N}\) не существует такого номера \(k\), что \(\overline{G}_{N} \subset G’_{k}\). Тогда найдется точка \(x_{1} \in \overline{G}_{N}\) такая, что \(x_{1} \notin G’_{1}\), найдется точка \(x_{2} \in \overline{G}_{N}\) такая, что \(x_{2} \notin G’_{2}\). Продолжая эти рассуждения, построим последовательность точек \(\{x_{k}\}\) такую, что \(x_{k} \in \overline{G}_{N}\), \(x_{k} \notin G’_{k}\). Так как измеримое по Жордану множество \(\overline{G}_{N}\) ограничено, то из последовательности \(x_{k}\) можно в силу теоремы Больцано-Вейерштрасса выделить сходящуюся подпоследовательность. Без ограничения общности можно считать, что и последовательность \(x_{k}\) сходится, то есть \(\displaystyle\lim_{k \rightarrow \infty} x_{k} = x_{0}\). В силу замкнутости множества \(\overline{G}_{N}\) точка \(x_{0} \in \overline{G}_{N} \subset G_{N + 1} \subset G\).
{m}\), а последовательность множеств \(\{G_{n}\}\) исчерпывает множество \(G\). Предел
$$
\lim_{n \rightarrow \infty} \int\limits_{G_{n}} f(x)\ dx\label{ref1}
$$
называют несобственным интегралом от функции \(f(x)\) по множеству \(G\). Несобственный интеграл обозначается символом \(\displaystyle\int\limits_{G} f(x)\ dx\).
Будем говорить, что несобственный интеграл \(\int\limits_{G} f(x)\ dx\) сходится, если предел \eqref{ref1} конечен, и что несобственный интеграл расходится, если предел \eqref{ref1} равен \(+\infty\).
Теорема 1.
Определение несобственного интеграла от непрерывной неотрицательной в области \(G\) функции корректно: предел \eqref{ref1} для любой исчерпывающей область \(G\) последовательности множеств \(\{G_{n}\}\) существует и не зависит от выбора исчерпывающей последовательности.
Доказательство.
\(\circ\) Пусть \(\{G_{n}\}\) и \(\{G’_{n}\}\) — две исчерпывающие последовательности.
Так как \(\overline{G}_{n} \subset G_{n + 1} \subset G\) и \(\overline{G}’_{n} \subset G’_{n + 1} \subset G\), а на множестве \(G\) функция \(f(x)\) неотрицательна и непрерывна, то функция \(f(x)\) неотрицательна и непрерывна на любых множествах \(\overline{G}_{n}\) и \(\overline{G}’_{n}\), \(n = 1, 2, \ldots\) Поэтому интегралы \(\displaystyle\int\limits_{G_{n}} f(x)\ dx\) и \(\displaystyle\int\limits_{G’_{n}} f(x)\ dx\) существуют и числовые последовательности \(\alpha_{n} = \displaystyle\int\limits_{G_{n}} f(x)\ dx\) и \(\beta_{n} = \displaystyle\int\limits_{G’_{n}} f(x)\ dx\) являются монотонно возрастающими. Монотонно возрастающая числовая последовательность всегда имеет конечный или бесконечный предел.Пусть \(\alpha = \displaystyle\lim_{n \rightarrow \infty} \alpha_{n}\) и \(\beta = \displaystyle\lim_{n \rightarrow \infty} \beta_{n}\).
В силу леммы 1 для любого \(n\) найдется такой номер \(k(n)\), что \(G_{n} \subset G’_{k(n)}\). Так как \(f(x) \geq 0\), то
$$
\alpha_{n} = \int\limits_{G_{n}} f(x)\ dx \leq \int\limits_{G’_{k(n)}} f(x)\ dx = \beta_{k(n)} \leq \lim_{k \rightarrow \infty} \beta_{k} = \beta.
{m}\), где \(m \geq 2\), в том и только том случае, когда для любой исчерпывающей множество \(G\) последовательности \(\{G_{n}\}\) существует конечный предел \(\displaystyle\lim_{n \rightarrow \infty} \iint\limits_{G_{n}} f(x)\ dx\), не зависящий от выбора исчерпывающей последовательности \(\{G_{n}\}\).
Подключаемый модуль CA MAT Analyze для Zowe CLI
Подключаемый модуль CA MAT Analyze для Zowe CLI позволяет расширить интерфейс командной строки (CLI) Zowe для взаимодействия с CA Mainframe Application Tuner (CA MAT).
Как разработчик приложений, вы можете использовать ресурсы CA MAT непосредственно со своего компьютера и инструменты интегрированной среды разработки (IDE) с помощью знакомого интерфейса командной строки. Подключаемый модуль CA MAT Analyze для Zowe CLI позволяет вам управлять профилями мониторов CA MAT, вызывать мониторы для измерения ваших приложений мейнфрейма и получать доступ к данным анализа с помощью Zowe CLI.
Этот подключаемый модуль совместим с Zowe CLI и отмечен значком Zowe Conformance Program. Лицензированные пользователи CA MAT имеют право на поддержку этого подключаемого модуля. Этот подключаемый модуль не требует подписки CA Brightside для загрузки или использования. |
Как разработчик приложений, вы можете использовать подключаемый модуль CA MAT Analyze для Zowe CLI для выполнения следующих задач:
-
Управление профилями мониторов
.Создавайте и вызывайте профили монитора, просматривайте списки доступных профилей и извлекайте историю измерений. -
Анализ данных измерений
. Получите доступ к данным измерений из CA Mainframe Application Tuner, который доступен вам в интерфейсе командной строки в виде аналитических представлений CA MAT. -
Устранение проблем с производительностью в исходном коде
. С помощью списка исходных программ, зарегистрированного в CA MAT, пользователи интегрированной среды разработки Visual Studio Code (VS Code) могут получать сведения о гистограмме и отображать конкретные расположения исходных программ, связанные с наиболее ресурсоемкими программными модулями и CSECT.
Когда вы запрашиваете данные измерения гистограммы из терминала командной строки VS Code, подключаемый модуль CA MAT Analyze для Zowe CLI передает листинг исходного кода на ваш локальный компьютер и направляет вас непосредственно к определенной строке и номеру столбца исходного кода. , что позволяет сразу просмотреть оператор программы и определить возможные возможности настройки. Чтобы использовать опцию получения листинга, вам нужно указать в вашем профиле MAT локальный каталог, в который подключаемый модуль загружает листинги программ.
Команда для проверки подключаемого модуля CA MAT Analyze для Zowe CLI:
Вы можете настроить профиль CA MAT, чтобы не вводить данные о подключении для каждой команды.$ zowe plugins validate @broadcom/mat-analyze-for-zowe-cli
Профиль содержит ваш тип протокола, хост и порт, которые вы определили для сервера CA MAT REST API, а также имя пользователя и пароль вашего мейнфрейма. Профиль CA MAT также содержит параметрzowediscoverable
, который указывает, хотите ли вы использовать уровень посредничества API Zowe для обработки команд для этого профиля. Установите–zowediscoverable true
только в том случае, если вы настроили свойства Zowe API Mediation Layer в настройках сервера CA MAT REST API.Вы можете создать несколько профилей и переключаться между ними при необходимости.Создайте профиль с помощью следующей команды:
zowe profiles create mat-profile matprofile --prtпротокол
--hnимя хоста
--ptномер порта
--user 5 -pass пароль --zowediscoverabletrue
илиfalse
- Создайте профиль MAT с именем «matprofile», используя конфигурацию CA MAT и данные REST API, с сервером CA MAT REST API, интегрированным с Zowe API Mediation Layer:
профили zowe create mat-profile matprofile --prt http --hn localhost --pt 1234 --user johndoe --pass qwerty --zowediscoverable true
- Создайте профиль MAT с именем «matprofile», используя конфигурацию CA MAT и сведения о сервере CA MAT REST API без интеграции с Zowe API Mediation Layer, а также определите каталог c:\listings для хранения списков программ для мгновенного анализа из IDE VS Code:
zowe profiles create mat-profile matprofile --prt http --hn localhost --pt 1234 --user johndoe --pass qwerty --zowediscoverable false --listingDir 'c:\listings'
zowe profiles create
с теми же значениями параметров профиля, за которыми следует–overwrite
|–опция
.
Для получения дополнительной информации введите следующую команду: zowe profiles create mat-profile –help
.@broadcom/mat-analyze-for-zowe-cli NPM | npm.io
Подключаемый модуль CA MAT Analyze для Zowe CLI
Подключаемый модуль CA MAT Analyze для Zowe CLI обеспечивает доступ к функциям CA Mainframe Application Tuner (CA MAT). Плагин обеспечивает взаимодействие с CA MAT и позволяет вам измерять ваши приложения мейнфрейма и получать данные анализа в виде представлений анализа CA MAT с помощью интерфейса командной строки Zowe.
Подключаемый модуль CA MAT Analyze для интерфейса командной строки Zowe можно использовать для выполнения следующих задач:
- Управление профилями мониторов.
Создание и вызов профилей монитора, просмотр списков доступных профилей и получение истории измерений. - Проанализируйте данные измерений.
Получите доступ к данным измерений из CA Mainframe Application Tuner, который доступен вам в интерфейсе командной строки в виде аналитических представлений CA MAT.
- Устранение проблем с производительностью.
Если список исходных программ зарегистрирован в CA MAT, пользователи интегрированной среды разработки Visual Studio Code (VS Code) могут получить сведения о гистограмме и отобразить определенные местоположения исходных программ, связанные с наиболее ресурсоемкими программными модулями и CSECT.Когда вы запрашиваете данные измерения гистограммы из терминала командной строки VS Code, подключаемый модуль CA MAT Analyze для интерфейса командной строки Zowe передает листинг исходного кода на ваш локальный компьютер и направляет вас непосредственно к определенной строке и номеру столбца исходного кода, что позволяет вам немедленно проверить оператор программы и определить возможные возможности настройки.
Содержание
Установка
Вы можете установить подключаемый модуль CA MAT Analyze для Zowe CLI:
- Из пакета Zowe
- Из исходного кода
Предварительные требования 9028
Проанализируйте плагин для Zowe CLI, убедитесь, что у вас есть:
- Zowe CLI установлен
- Профиль Zosmf создан.

- База данных CA MAT и REST API установлены, настроены и запущены.
- (необязательно) Чтобы использовать опцию автоматической регистрации и получения списков через посадочные места CA Endevor®, установите и настройте веб-службы CA Endevor® и укажите сведения о веб-сервере CA Endevor® в конфигурации базы данных CA MAT.
Установите подключаемый модуль CA MAT Analyze для Zowe CLI из пакетов
Введите следующую команду:
$ zowe plugins install @broadcom/mat-analyze-for-zowe-cli Примечание: Последний тег npm устанавливает версию продукта, предназначенную для общего пользования.Вы можете использовать другие теги npm для установки других версий продукта. Например, вы можете установить с тегом @beta , чтобы попробовать новые функции, которые не были полностью проверены. Дополнительные сведения об использовании тегов см. в разделе Имена тегов NPM.
Установка подключаемого модуля CA MAT Analyze для Zowe CLI из исходного кода
Чтобы установить подключаемый модуль CA MAT Analyze для Zowe CLI из исходного кода, выполните следующие действия:
-
git clone git@github.
gwd.broadcom. сеть: MFD/mat-analyze-for-zowe-cli.Git -
-
CD Mat-Analyze-for-Zowe-CLI -
NPM Установить5 NPM Run Build- Навигация Один уровень Вверх В папке Иерархия:
CD.Zowe Plugins install ./mat-analyze-for-zowe-clizowe matВ случае успешной установки должен отображаться текст справки.
Проверка установки
Чтобы подтвердить установку, введите следующую команду:
$ zowe plugins validate @broadcom/mat-analyze-for-zowe-cli ответ "Этот плагин был успешно проверен.Наслаждайтесь подключаемым модулем»..0011RON5538912.4911RON3851531.0011RON5373524.8911RON5427120.9911RON2251516.0111RON5426519.0011RON5434225.0011RON5492356.1311RON41934150.0011RON6402255.0811RON640311. 8611РОН22622187.2711РОН54415591.0011РОН5302432.0011РОН1412316.8911РОН95833.0311РОН95843.2511РОН27179175.8511РОН4743925.7811РОН35811537.2111RON2884032.0611RON288456.9111RONСоздать профиль az/OSMF
Для взаимодействия с заданиями z/OS необходимо создать профиль az/OSMF. Введите следующую команду, чтобы получить инструкции по созданию профиля az/OSMF в Brightside:
$ zowe profiles create zosmf-profile --helpСоздать профиль MAT
Чтобы разрешить взаимодействие подключаемого модуля CA MAT Analyze для Zowe CLI с CA MAT, необходимо создать профиль MAT.
Профиль CA MAT, чтобы не вводить данные подключения для каждой команды.Профиль содержит ваш тип протокола, хост и порт, которые вы определили для сервера CA MAT REST API, а также имя пользователя и пароль вашего мейнфрейма. Вы можете создать несколько профилей и переключаться между ними при необходимости.Использование
(строка) Указывает имя профиля, который вы хотите проанализировать.$ Zowe Profile Create Cat-Profile[Опции] Позиционные аргументы
Profilename(строка)
Указывает название нового профиля MAT. Вы можете загрузить этот профиль, используя имя в командах, которые поддерживают опцию «--mat-profile».Опции профиля MAT
--протокол|--prt(строка)
Указывает протокол, определенный для сервера MAT REST API (http или https).
Допустимые значения: http, https.--hostname|--hn(строка)
Указывает имя хоста или IP-адрес, определенный для сервера MAT REST API (например, 127.
0.0.0 или localhost).--порт|--pt(число)
Указывает порт сервера (т.г. 8080).--имя пользователя|--user(строка)
Ваше имя пользователя мейнфрейма.--пароль|--pass(строка)
Пароль вашего мейнфрейма.--zowediscoverable|--zdis(string)
Указывает, хотите ли вы использовать Zowe API Mediation Layer для обработки команд для этого профиля (trueилиfalse). Установите--zowediscoverable trueтолько в том случае, если вы настроили свойства Zowe API Mediation Layer в настройках сервера CA MAT REST API.--listingDir|--ldir(строка)
Указывает каталог, в котором вы хотите хранить листинги зарегистрированных программ (например, 'c:\listings') для немедленной проверки исходного кода.
Вы можете воспользоваться преимуществами автоматической регистрации списков в CA MAT и поиска списков с помощью посадочных мест CA Endevor® для программ Cobol, C/C++ и Assembler. Когда листинг исходной программы зарегистрирован в CA MAT, вы можете дополнить данные анализа гистограммы деталями листинга программы, относящимися к конкретному CSECT и оператору программы.Листинг переносится в указанный каталог, что позволяет вам перейти непосредственно к строке исходного кода в вашей IDE VS Code и проверить оператор программы. Чтобы использовать возможность получения списка через посадочные места CA Endevor®, вам необходимо установить и настроить веб-службы CA Endevor®, а также указать сведения о веб-сервере CA Endevor® в конфигурации базы данных CA MAT. Параметр --listingDirявляется необязательным.Опции
--перезаписать|--ow(логическое значение)
Перезаписать профиль MAT, если существует профиль с таким же именем.
Примеры
Создайте профиль MAT с именем «matprofile», используя конфигурацию CA MAT и данные REST API, с сервером CA MAT REST API, интегрированным с Zowe API Mediation Layer:
$ zowe profiles create mat -profile matprofile --prt http --hn localhost --pt 1234 --user johndoe --pass qwerty --zowediscoverable trueСоздайте профиль MAT с именем 'matprofile', используя конфигурацию CA MAT и сведения о Сервер CA MAT REST API без интеграции с Zowe API Mediation Layer и определите каталог c:\listings для хранения списков программ для мгновенного анализа из IDE VS Code:
$ zowe profiles create mat-profile matprofile -- prt http --hn localhost --pt 1234 --user johndoe --pass qwerty --zowediscoverable false --listingDir 'c:\listings'Для получения справочной информации введите следующую справочную команду:
$ z owe profiles create mat-profile --help
Обновление профиля MAT
Чтобы обновить существующий профиль MAT, используйте следующую команду:
$ zowe profiles update mat-profile[options] profileName(строка)
Указывает имя обновляемого профиля.
Параметры
Используйте те же параметры, что и для операции создания профиля, и определите только новые значения, которые требуется обновить.Использование параметров профиля
Используйте следующие параметры профиля с командами для загрузки определенного профиля, который будет использоваться для выполнения команды:
--mat-profile|--mat-p(строка)
Имя (матового) профиля для загрузки для выполнения этой команды.Вы также можете иметь другие параметры подключения к MAT, кроме профиля MAT, и использовать их в качестве параметров в командах.
Варианты использования и команды
Подключаемый модуль CA MAT Analyze для Zowe CLI позволяет управлять профилями мониторов и получать данные анализа измерений с помощью CA Mainframe Application Tuner (CA MAT).
$ zowe matПодключаемый модуль CA MAT Analyze для команд Zowe CLI организован в следующие группы команд :
ПРОФИЛЬ
Команды из группы ПРОФИЛЬ позволяют создавать, вызывать и список профилей монитора CA MAT.

Использование
$ zowe mat profile <команда>Следующие команды доступны для группы PROFILE:
create | cr
Создайте профиль монитора CA MAT.
Использование
$ Zowe Mat Профиль Создать [Опции]Обязательные варианты
- Профиль(строка)
Указывает имя профиля, который вы создаете в CA CAT (E.г. ПРОФИЛЬ1).
Значения: от 1 до 8 символов, комбинация буквенно-цифровых и национальных символов (A-Z, 0-9 и @), первый символ должен быть буквенным или @. Имя профиля не должно содержать символов # и $.--jobname(строка)
Указывает имя задания, которое вы хотите измерить (например, JOB1).
Значения: от 1 до 8 символов, буквенно-цифровые (только заглавные буквы A-Z и 0-9), национальные символы (#, $, @) и подстановочные знаки (* или %).
--targsys(строка)
Указывает целевую систему в SYSPLEX.
Значения: список разделенных запятыми до 4 значений, от 1 до 8 символов каждое, комбинация буквенно-цифровых (AZ и 0-9) и национальных (@,#,$), первый символ должен быть буквенным ( AZ) или национальный (@, #, $), например АА31,АА32).Параметры
--batchreports(строка)
Задает настройку для параметра "Отчет о партии" после завершения мониторинга.
Значение по умолчанию: нет.
Допустимые значения: да, нет.--description(строка)
Укажите описание монитора (максимум 24 символа).--mondsn(строка)
Указывает имя набора данных монитора, в котором CA MAT сохраняет измерение (например, DEMO.MAT.MONITOR).
Значения: шаблон имени набора данных, максимум 46 символов. Если он не указан, применяется шаблон DSN монитора CA MAT по умолчанию.--stepname(строка)
Указывает имя шага задания для отслеживания.
Значения: максимум 8 символов, буквенно-цифровые (только заглавные буквы A-Z и 0-9), национальные символы (#, $, @) и подстановочные знаки (* или %).--mstep(строка)
Указывает, включена ли опция многоэтапного мониторинга.
Значение по умолчанию: нет.
Допустимые значения: да, нет.--procstep(строка)
Задает имя шага процедуры.
Значения: максимум 8 символов, буквенно-цифровые (только заглавные буквы A-Z и 0-9), национальные символы (#, $, @) и подстановочные знаки (* или %).--program(строка)
Указывает имя программы для мониторинга.
Значения: максимум 8 символов, буквенно-цифровые (только заглавные буквы A-Z и 0-9), национальные символы (#, $, @) и подстановочные знаки (* или %).--elapstime(строка)
Указывает требуемую продолжительность монитора, за которой следует s (секунды) или m (минуты) (например, 60 с).
Значения: максимум 6 символов, число должно быть > 0.
Значение по умолчанию: 60 с.--smon(строка)
Указывает, следует ли отслеживать весь шаг.
Значение по умолчанию: нет.
Допустимые значения: да, нет.--tasklib(строка)
Указывает дополнительное имя DD для модулей загрузки.
Значения: максимум 8 символов, буквенно-цифровые (только заглавные буквы A-Z и 0-9), национальные символы (#, $, @) и подстановочные знаки (* или %).--samplecnt(строка)
Указывает количество запрошенных наблюдений.
Значения: максимум 6 символов, числа от 10 до 999999.
Значение по умолчанию: 6000.--succnt(строка)
Задает максимальное количество мониторов, запускаемых при выполнении задания.Значения: максимум 4 символа, числа от 1 до 9999.
Значение по умолчанию: 1.--reccnt(строка)
Указывает, сколько раз будет отслеживаться этот шаг задания.
Значения: максимум 4 символа, числа от 1 до 9999.
Значение по умолчанию: 1.--sampdelay(строка)
Определяет время контроля задержки в секундах после начала шага. Значения: максимум 4 символа, числа от 0 до 9999.
Значение по умолчанию: 0.--userexit1(строка)
Задает имя для вызова пользовательской базы данных.
Значения: максимум 8 символов, буквенно-цифровые (только заглавные буквы A-Z и 0-9), национальные (#, $, @) и подстановочные знаки (* или %) (например, DBEXIT1).--userexit2(строка)
Указывает имя 1 для вызова написанных пользователем программ выхода 4GL для этого монитора.
Значения: максимум 8 символов, буквенно-цифровые (только заглавные буквы A-Z и 0-9), национальные символы (#, $, @) и подстановочные знаки (* или %) (например,г. UВЫХОД1).--userexit3(строка)
Указывает имя 2 для вызова написанных пользователем программ выхода 4GL для этого монитора.
Значения: максимум 8 символов, буквенно-цифровые (только заглавные буквы A-Z и 0-9), национальные (#, $, @) и подстановочные знаки (* или %) (например, UEXIT2).--inctask(строка)
Указывает имя задачи, чтобы определить задачи, которые вы хотите отобрать в многозадачной среде, и ограничить мониторинг конкретной подзадачей в адресном пространстве.
Значения: разрешен список, разделенный запятыми, содержащий до 4 значений, максимум 8 символов в каждом, буквенно-цифровые (только заглавные буквы AZ и 0-9), национальные (#, $, @) и подстановочные знаки (* или %) (например, INC31 , INC32).--exctask(строка)
Указывает имя задачи, которое следует исключить из выборки в многозадачной среде.
Значения: разрешен список, разделенный запятыми, до 4 значений, макс. 8 символов каждый, буквенно-цифровые (только заглавные буквы A-Z и 0-9), национальные символы (#, $, @) и подстановочные знаки (* или %) (например,г.
EXC31,EXC32).--tran(строка)
Указывает кодовое имя транзакции CICS для отслеживания.
Значения: разрешен список, разделенный запятыми, содержащий до 4 значений, максимум 8 символов в каждом, буквенно-цифровые (только заглавные буквы AZ и 0-9), национальные (#, $, @) и подстановочные знаки (* или +) (например, TRAN1 , ТРАН2).--term(строка)
Указывает идентификаторы терминалов CICS для мониторинга.
Значения: допускается разделенный запятыми список до 4 значений, максимум 8 символов в каждом, буквенно-цифровых (только заглавные буквы A-Z и 0-9), национальных (#, $, @) и подстановочных знаков (* или +) (например,г. ТЕРМИН1, СРОК2).--userid(строка)
Указывает идентификаторы пользователей CICS для мониторинга.
Значения: разрешен список, разделенный запятыми, содержащий до 4 значений, максимум 8 символов в каждом, буквенно-цифровые (только заглавные буквы AZ и 0–9), национальные (#, $, @) и подстановочные знаки (* или +) (например, USER1 ,ПОЛЬЗОВАТЕЛЬ2).
--db2expl(строка)
Указывает, включена ли опция Объяснить SQL для операторов SQL DB2.
Значение по умолчанию: нет.
Допустимые значения: да, нет.--db2ctsql(строка)
Указывает, включена ли опция Собирать SQL из каталога для операторов SQL DB2. Если вы укажете db2expl=yes, то для db2ctsql также должно быть задано значение yes.
Значение по умолчанию: нет.
Допустимые значения: да, нет.--db2hvloc(строка)
Указывает, включена ли опция Requestor Location для измерений DB2.
Значение по умолчанию: нет.
Допустимые значения: да, нет.--db2hvcor(строка)
Указывает, включена ли опция ID корреляции для операторов SQL для измерений DB2.
Значение по умолчанию: нет.
Допустимые значения: да, нет.--db2hviid(строка)
Указывает, включена ли опция ID оператора для операторов SQL для измерений DB2.
Значение по умолчанию: нет.
Допустимые значения: да, нет.--db2hvthd(строка)
Указывает, включена ли опция адреса потока для операторов SQL для измерений DB2.
Значение по умолчанию: нет.
Допустимые значения: да, нет.--wasexprt(строка)
Указывает, включен ли экспертный режим для измерения Java.
Значение по умолчанию: нет.
Допустимые значения: да, нет.--urlfilt(строка)
Строка фильтрации для ограничения мониторинга определенным URL-адресом приложения, транзакцией или хранимой процедурой для измерений Java.
Значения: разрешен список, разделенный запятыми, до 4 значений, макс. 64 символа (например, mypage1.html, mypage2.html).--sysfilt(строка)
Строка фильтрации для включения указанного системного класса для измерений Java.Если вы укажете значение для sysfilt, в измерение будут включены только те классы, которые соответствуют шаблону строки фильтрации.
Значения: разрешен список, разделенный запятыми, до 3 значений, макс. 64 символа (например, user1.class, user2.class).--schedule(строка)
Указывает имя расписания, которое вы хотите применить к профилю монитора (максимум 8 символов).Опции профиля
--mat-profile|--mat-p(строка)
Указывает имя (матового) профиля для загрузки для выполнения этой команды.Примеры
- Создайте профиль монитора PROFILE1 для измерения задания JOB1, которое выполняется в системе AA31:
$ zowe mat profile create --profile PROFILE1 --jobname JOB1 --targsys AA31профиль монитора ПРОФИЛЬ1 для измерения в течение 90 секунд. вызвать | ivkЗапустите профиль монитора CA MAT, чтобы начать измерение.Если вы вызываете существующий профиль монитора, CA MAT создает профиль с предоставленным именем и вызывает измерение для этого профиля.
Использование
$ Zowe Mat Affoke [Опции]Обязательные варианты
- Профиль(строка) Указывает имя профиля в CA CA, который вы вызываете (например, профиль1 ).
Значения: от 1 до 8 символов, комбинация буквенно-цифровых и национальных символов (A-Z, 0-9 и @), первый символ должен быть буквенным или @.Имя профиля не должно содержать символов # и $.--jobname(строка)
Указывает имя задания для измерения (например, JOB1).
Значения: от 1 до 8 символов, буквенно-цифровые (только заглавные буквы A-Z и 0-9), национальные символы (#, $, @) и подстановочные знаки (* или %).--targsys(строка)
Указывает целевую систему в SYSPLEX.
Значения: список разделенных запятыми до 4 значений, максимум 8 символов в каждом, комбинация буквенно-цифровых (AZ и 0-9) и национальных (@,#,$), первый символ должен быть буквенным (AZ ) или национальный (@, #, $) (т.
г. АА31,АА32).Опции
--mondsn(строка)
Указывает имя набора данных монитора, в котором CA MAT сохраняет измерение (например, DEMO.MAT.MONITOR).
Значения: шаблон имени набора данных, максимум 46 символов. Если он не указан, применяется шаблон DSN монитора CA MAT по умолчанию.--moiuuid(строка)
Указывает UUID МВД.
Значения: максимум 61 буквенно-цифровой символ (A-Z и 0-9). Если вы используете этот параметр для выполнения команды, значение не может быть пустым.--moitimestamp(строка)
Указывает временную метку MOI.
Значения: максимум 12 символов, только цифры (0-9). Если вы используете этот параметр для выполнения команды, значение не может быть пустым.--listing(логическое значение)
Активирует автоматическую регистрацию списков программ на Cobol, C/C++ и ассемблере с помощью посадочных мест CA Endevor®.
После завершения измерения, которое вы вызываете с помощью параметра --listing, подключаемый модуль CA MAT Analyze для Zowe CLI автоматически извлекает список программ, связанных с отслеживаемым заданием, и регистрирует этот список в CA MAT.Зарегистрированный листинг программы расширяет возможности анализа команды 'codeview histogram' и позволяет проверять операторы исходного кода, связанные с определенными модулями и CSECT.Опции профиля
--mat-profile|--mat-p(строка)
Имя профиля (mat) для загрузки для выполнения этой команды.Примеры
- Вызваны профиль MONITE1 MONITRE1 Для измерения задания JOB1, который работает на системе AA31:
$ Zowe Mat Profile Invoke --Profile Profile1 --jobname Job1 --Targsyss aa31
- профиль монитора PROFILE1 для измерения задания JOB1, выполняемого в системе AA31, и сохранения результата измерения в DEMO.Набор данных MAT.
MONITOR.PROFILE1: $ zowe mat profile invoke --profile PROFILE1 --jobname JOB1 --targsys AA31 --mondsn DEMO.MAT.MONITOR.PROFILE1- Вызвать профиль монитора PROFILE1 для измерения job JOB1, который работает в системе AA31, и зарегистрируйте список программ:
$ zowe mat profile invoke --profile PROFILE1 --jobname JOB1 --targsys AA31 --listinglist | lip
Получить список доступных профилей монитора.
Использование
$ Список профилей zowe mat [опции]Опции профиля
--mat-profile|--mat-p(строка)
Имя (матового) профиля для загрузки для выполнения этой команды.МОНИТОР
Команды из группы МОНИТОР позволяют вам получать историю мониторинга и данные анализа измерений из CA MAT.
Использование
$ zowe mat monitor <команда|группа>Следующие команды доступны для группы МОНИТОР:
история | hs
Получить список всех доступных измерений, которые хранятся в истории конкретного профиля монитора.

Usage
$ история монитора zowe mat [options]Options
--profile(string)Options
Опции профиля
--mat-profile|--mat-p(строка)
Имя (матового) профиля для загрузки для выполнения этой команды.Примеры
- Получить список всех доступных измерений, которые хранятся в истории профиля монитора ТЕСТПРОФ:
$ zowe mat monitor history --profile ТЕСТПРОФобзор | ov
Получите обзорную информацию об измерении.
Использование
$ обзор монитора zowe mat [options]Options
--profile(string) Когда вы указываете имя профиля, вы получаете данные для последнего измерения в указанном профиле.
--mon_num(число)
Указывает уникальный номер монитора измерения.Опции профиля
--mat-profile|--mat-p(строка)
Имя (матового) профиля для загрузки для выполнения этой команды.Примеры
- Получите подробные сведения об измерениях для монитора номер 5:
$ zowe mat monitor review --mon_num 5- Получите подробные сведения об измерениях для последнего монитора в
$ обзор монитора zowe mat --profile TESTPROFСледующие подгруппы доступны для группы команд MONITOR:
delayview
Команды из группы DELAYVIEW позволяют получить детали измерения DelayView.
Usage
$ zowe mat monitor delayviewСледующие команды доступны для группы DELAYVIEW:
delay | de
Получите информацию о задержке измерения.

Использование
$ zowe mat monitor delayview delay [options]Options
--profile(string) Когда вы указываете имя профиля, вы получаете данные для последнего измерения в указанном профиле.--mon_num(число)
Указывает уникальный номер монитора измерения.Опции профиля
--mat-profile|--mat-p(строка)
Имя (матового) профиля для загрузки для выполнения этой команды.Примеры
- Получить детали измерения DelayView для монитора номер 5:
$ zowe mat monitor delayview delay --mon_num 5- Получить детали измерения DelayView для
$ zowe mat monitor delayview delay --profile TESTPROFадрес | ad
Получить сведения об адресе задержки для измерения.

Использование
$ zowe mat monitor delayview address [options]Options
--profile(string) Когда вы указываете имя профиля, вы получаете данные для последнего измерения в указанном профиле.--mon_num(число)
Указывает уникальный номер монитора измерения.--majorcategory(строка)
Задает имя категории основных задержек, идентифицированное для элемента анализа (например,г.--majorcategory "Задержка рутинной работы ПК"). Вы получаете значение majorcategory из ответа на команду 'delayview delay'.--minorcategory(string)
Указывает имя категории незначительной задержки, идентифицированное для элемента анализа (например,--minorcategory "PC CALL"). Вы получаете значение минорной категории из ответа команды 'delayview delay'.Опции профиля
--mat-profile|--mat-p(строка)
Имя (матового) профиля для загрузки для выполнения этой команды.
Примеры
- Получить сведения об адресе задержки для основной категории «Задержка рутинной работы ПК» и вспомогательной категории «Вызов ПК» для монитора номер 5:
$ zowe mat monitor delayview address --mon_num 5 --majorcategory "PC обычная задержка" --minorcategory "PC CALL"- Получить сведения об адресе задержки для основной категории "PC рутинная задержка" и второстепенной категории "PC CALL" для последнего монитора в профиле TESTPROF:
$ zowe mat monitor delayview адрес --profile TESTPROF --majorcategory "Задержка программы ПК" --minorcategory "ВЫЗОВ ПК"codeview
Команды из группы CODEVIEW позволяют получить подробные сведения об измерении CodeView.
Использование
$ zowe mat monitor codeview <команда>Следующие команды доступны для группы CODEVIEW:
модуль | cm
Получите подробные сведения об измерении CodeView в режиме модуля.

Использование
$ zowe mat monitor codeview module [options]Options
--profile(string) Когда вы указываете имя профиля, вы получаете данные для последнего измерения в указанном профиле.--mon_num(число)
Указывает уникальный номер монитора измерения.Опции профиля
--mat-profile|--mat-p(строка)
Имя (матового) профиля для загрузки для выполнения этой команды.Примеры
- Получить подробности измерения CodeView в режиме модуля для монитора номер 5:
$ zowe mat monitor codeview module --mon_num 5- Получить измерение CodeView in монитор в профиле TESTPROF:
$ zowe mat monitor codeview module --profile TESTPROFcsect | cs
Получить сведения об измерении CodeView в режиме Csect.

Использование
$ zowe mat monitor codeview csect [options]Options
--profile(string) 9024 Когда вы указываете имя профиля, вы получаете данные для последнего измерения в указанном профиле.--mon_num(число)
Указывает уникальный номер монитора измерения.Опции профиля
--mat-profile|--mat-p(строка)
Имя (матового) профиля для загрузки для выполнения этой команды.Примеры
- Получить подробности измерения CodeView в режиме Csect для монитора номер 5:
$ zowe mat monitor codeview csect --mon_num 5- Получить монитор в профиле ТЕСТПРОФ:
$ zowe mat monitor codeview csect --profile ТЕСТПРОФгистограмма | hsg
Получите детали гистограммы для измерения.

Usage
$ zowe mat monitor codeview histogram [options]Options
--profile(string) 9024 Когда вы указываете имя профиля, вы получаете данные для последнего измерения в указанном профиле.--mon_num(число)
Указывает уникальный номер монитора измерения.--module(строка)
Указывает имя модуля, для которого запрашиваются данные гистограммы.Вы получаете значение модуля из «codeview csect» или из ответа на команду «codeview module». Имя модуля может быть пустым (например, --module "IGZCPAC" или --module '""').--csect(строка)
Указывает имя CSECT, для которого запрашиваются данные гистограммы. Вы получаете значение csect из ответа на команду codeview csect. Имя CSECT может быть пустым (например, --csect "TUNCOB01" или --module '""').--top(число)
Указывает максимальное количество местоположений активности CSECT с наибольшим потреблением, которое вы хотите получить в ответе (например,г.
, --верх 5). Если вы укажете --top 0, вы получите список всех местоположений активности CSECT, обнаруженных CA MAT во время измерения. Параметр --top является необязательным. Значения: числа от 0 до 300.--group(число)
Указывает параметр размера группы гистограммы, определяющий разрешение гистограммы. Если вы не укажете параметр группы, размер группы по умолчанию будет равен 4 байтам (например, --group 32). Если список программ зарегистрирован в CA MAT, групповой параметр игнорируется.Параметр --group является необязательным.--listing(логическое значение)
Позволяет получить сведения о листинге программ, относящиеся к конкретному CSECT и оператору. Чтобы использовать опцию получения списка, необходимо установить и настроить веб-службы CA Endevor®, а также зарегистрировать список программ для конкретного измерения в CA MAT. Листинг исходного кода получен через посадочные места CA Endevor® для программ Cobol, C/C++ и Assembler.
Файл со списком программ загружается в ваш локальный каталог, указанный вами в параметре 'listingDir' для вашего профиля конфигурации MAT.Когда вы запрашиваете сведения о гистограмме с помощью параметра --listing, команда «histogram» возвращает дополнительный столбец «listing», который содержит ссылку на список программ с конкретным именем CSECT, типом программы, строкой и номером столбца, которые относятся к к запрошенному CSECT и оператору, например, c:\listings\SA420LE.asm:382:51. Если вы используете IDE Visual Studio Code (VS Code), вы можете щелкнуть ссылку в ответе на команду в терминале VS Code, чтобы перейти непосредственно к указанному расположению исходной программы.Параметр --listing является необязательным.Опции профиля
--mat-profile|--mat-p(строка)
Имя (матового) профиля для загрузки для выполнения этой команды.Примеры. "TUNCOB01" --module "RUNCOB"
- Получите сведения о гистограмме для последнего монитора в профиле TESTPROF для имени CSECT TUNCOB01, пустого имени модуля, со значением размера группы, установленным на 32 байта, и ограничьте количество возвращаемых строки до 5 основных потребителей:
$ zowe mat monitor codeview histogram --profile TESTPROF --csect "TUNCOB01" --module '""' --top 5 --group 32- Получить сведения о гистограмме для номер монитора 5, имя CSECT TUNCOB01 и имя модуля RUNCOB, ограничьте количество возвращаемых записей до 5 основных потребителей и запросите сведения о листинге:
$ zowe mat monitor codeview histogram --mon_num 5 --csect "TUNCOB01" --мо dule "RUNCOB" --top 5 --listingcallerid | cil
Получите сведения о CallerID CodeView для конкретного CSECT и модуля.

Usage
$ zowe mat monitor codeview callerid [options]Options
--profile(string) 9024 Когда вы указываете имя профиля, вы получаете данные для последнего измерения в указанном профиле.--mon_num(число)
Указывает уникальный номер монитора измерения.--module(строка)
Указывает имя модуля, для которого запрашиваются данные CallerID.Вы получаете значение модуля из «codeview csect» или из ответа на команду «codeview module». Имя модуля может быть пустым (например, --module "IGZCPAC" или --module '""').--csect(строка)
Указывает имя CSECT, для которого запрашиваются подробные данные CallerID. Вы получаете значение csect из ответа на команду codeview csect. Имя CSECT может быть пустым (например, --csect "TUNCOB01" или --csect '""').Опции профиля
--mat-profile|--mat-p(строка)
Имя (матового) профиля для загрузки для выполнения этой команды.
Примеры
- Получить детали CallerID для монитора номер 5, имя CSECT TUNCOB01 и имя модуля RUNCOB:
$ zowe mat monitor codeview callerid --mon_num 5 --csect "TUNCOB01" RUNCOB"- Получить данные CallerID для последнего монитора в профиле TESTPROF для имени CSECT TUNCOB01 и пустого имени модуля:
$ zowe mat monitor codeview callerid --profile TESTPROF --csect "TUNCOB01" -- модуль '""'db2
Команды из группы DB2 позволяют получить подробные сведения об измерениях DB2.
Использование
$ zowe mat monitor db2Следующие команды доступны для группы DB2:
db2view | db2
Получите подробности измерения DB2View.
Использование
$ Zowe Mat Monitor DB2 DB2View [Опции]Опции
- Профиль
Когда вы указываете имя профиля, вы получаете данные для последнего измерения в указанном профиле.--mon_num(число)
Указывает уникальный номер монитора измерения.--top(число)
Задает максимальное количество самых популярных операторов DB2, которые вы хотите получить в ответе (например, --top 5). Если вы укажете --top 0, вы получите список всех операторов DB2, обнаруженных CA MAT во время измерения.Параметр --top является необязательным. Значения: числа от 0 до 300.Опции профиля
--mat-profile|--mat-p(строка)
Имя (матового) профиля для загрузки для выполнения этой команды.Примеры
- Получить данные DB2View для монитора номер 5:
$ zowe mat monitor db2 db2view --mon_num 5- Get ограничение верхнего потребителя установлено на 5 главных потребителей:
$ zowe mat monitor db2 db2view --profile TESTPROF --top 5sqlstmt | sql
Получить сведения SQL для оператора DB2.

Использование
$ Zowe Mat Monitor DB2 SQLSTMT [Опции]Параметры
- Профиль(строка)
Указывает имя профиля, который вы хотите проанализировать. Когда вы указываете имя профиля, вы получаете данные для последнего измерения в указанном профиле.--mon_num(число)
Указывает уникальный номер монитора измерения.--dbrm(строка)
Задает имя DBRM/пакета, которому принадлежит запрошенный оператор DB2 (т.г.,--dbrm CUPBTSDY). Вы получаете значение dbrm из ответа на команду 'db2 db2view'.--stmtnum(число)
Указывает номер оператора, для которого вы запрашиваете подробности SQL (например,--stmtnum 464). Вы получаете значение stmtnum из ответа на команду 'db2 db2view'.--totalsamps(число)
Указывает общее количество выборок, взятых для запрошенного оператора (например,--totalsamps 1).
Вы получаете значение totalsamps из ответа на команду 'db2 db2view'.Опции профиля
--mat-profile|--mat-p(строка)
Имя (матового) профиля для загрузки для выполнения этой команды.Примеры
- Получить подробности оператора SQL DB2 для монитора номер 5 для DBRM CUPBTSDY, номер оператора 464, с общим числом взятых выборок 1:
$ zowe mat monitor db2 sqlstmt --mon_num 5 --mon_num dbrm CUPBTSDY --stmtnum 464 --totalsamps 1- Получить подробности оператора SQL DB2 для последнего монитора в профиле TESTPROF, для DBRM CUPBTSDY, номер оператора 464, с общим числом взятых выборок 1:
$ zowe mat monitor db2 sqlstmt --profile TESTPROF --dbrm CUPBTSDY --stmtnum 464 --totalsamps 1Удаление подключаемого модуля CA MAT Analyze для Zowe CLI
Чтобы удалить подключаемый модуль CA MAT Analyze для Zowe CLI, введите следующую команду:
$ zowe plugins uninstall @broadcom/mat-analyze-for-zowe-cliКак я исследовал утечки памяти в Go с помощью pprof на большой кодовой базе
by Jonathan Levison
Photo by Daan Mooij on UnsplashЯ работал с Go большую часть года, внедряя масштабируемую инфраструктуру блокчейна в Orbs, и это был захватывающий год.
В течение 2018 года мы исследовали, какой язык выбрать для нашей реализации блокчейна. Это привело нас к выбору Go, потому что мы понимаем, что у него хорошее сообщество и отличный набор инструментов.В последние недели мы входим в завершающую стадию интеграции нашей системы. Как и в любой большой системе, могут возникнуть проблемы на более позднем этапе, включая проблемы с производительностью, в частности утечки памяти. Когда мы интегрировали систему, мы поняли, что нашли ее. В этой статье я коснусь особенностей расследования утечки памяти в Go, подробно описав шаги, предпринятые для ее поиска, понимания и устранения.
Набор инструментов, предлагаемый Golang, уникален, но имеет свои ограничения. Касаясь этого в первую очередь, самым большим из них является ограниченная возможность исследовать полные дампы ядра. Полный дамп ядра будет представлять собой образ памяти (или пользовательской памяти), сделанный процессом, выполняющим программу.
Мы можем представить отображение памяти в виде дерева, и обход этого дерева проведет нас через различные распределения объектов и отношений.
Это означает, что то, что находится в корне, является причиной «удерживания» памяти, а не ее GC (сборки мусора).Поскольку в Go нет простого способа проанализировать полный дамп ядра, добраться до корней объекта, не прошедшего сборку мусора, сложно.На момент написания этой статьи нам не удалось найти в Интернете какой-либо инструмент, который мог бы помочь нам в этом. Поскольку существует формат дампа ядра и достаточно простой способ экспортировать его из пакета отладки, возможно, он используется в Google. Поиск в Интернете выглядит так, как будто он находится в конвейере Golang, создающем программу просмотра дампа ядра, но не похоже, что кто-то работает над этим.Сказав это, даже не имея доступа к такому решению, с помощью существующих инструментов мы обычно можем добраться до основной причины.
Утечки памяти
Утечки памяти или нехватка памяти могут проявляться в различных формах в системе. Обычно мы рассматриваем их как ошибки, но иногда их основная причина может заключаться в проектных решениях.

Поскольку мы строим нашу систему в соответствии с новыми принципами проектирования, такие соображения не считаются важными, и это нормально. Более важно построить систему таким образом, чтобы избежать преждевременных оптимизаций и позволить вам выполнять их позже, когда код станет более совершенным, а не перепроектировать его с самого начала.Тем не менее, некоторые типичные примеры появления проблем с нехваткой памяти :
- Слишком много аллокаций, неправильное представление данных
- Интенсивное использование отражения или строк
- Использование глобальных переменных
- Осиротевшие, бесконечные горутины
В Go , самый простой способ создать утечку памяти — определить глобальную переменную, массив и добавить данные в этот массив. Этот замечательный пост в блоге описывает этот случай в хорошем смысле.
Так зачем я пишу этот пост? Когда я исследовал этот случай, я нашел много ресурсов об утечках памяти.
Однако на самом деле системы состоят из более чем 50 строк кода и одной структуры. В таких случаях найти источник проблемы с памятью намного сложнее, чем то, что описано в этом примере.Golang дает нам удивительный инструмент под названием
pprof. Этот инструмент, при освоении, может помочь в расследовании и, скорее всего, обнаружении любой проблемы с памятью. Еще одна его цель — исследовать проблемы с ЦП, но в этом посте я не буду вдаваться в подробности, связанные с ЦП.go tool pprof
Чтобы рассказать обо всем, что делает этот инструмент, потребуется более одной записи в блоге.Одна вещь, которая заняла некоторое время, — это выяснить, как использовать этот инструмент, чтобы получить что-то действенное. Я сосредоточу этот пост на его особенностях, связанных с памятью.
Пакет
pprofсоздает файл дампа выборки кучи, который вы можете позже проанализировать/визуализировать, чтобы получить карту обоих: возможность сравнивать снимки.
Это может позволить вам, например, сравнить отображение разницы во времени того, что произошло прямо сейчас и 30 секунд назад.В стрессовых сценариях это может быть полезно для определения проблемных областей вашего кода.Профили pprof
Принцип работы pprof основан на использовании профилей.
Профиль — это набор трассировок стека, показывающих последовательности вызовов, которые привели к экземплярам определенного события, например выделения.
Файл runtime/pprof/pprof.go содержит подробную информацию и реализацию профилей.
В Go есть несколько встроенных профилей, которые мы можем использовать в обычных случаях:
- горутина — трассировка стека всех текущих горутин
- куча — выборка выделений памяти живых объектов
- allocs — выборка всех прошлых выделений памяти
- threadcreate — трассировка стека, которая привела к созданию новых потоков ОС
- block — трассировка стека, которая привела к блокировке примитивов синхронизации
- mutex — трассировка стека держателей конкурирующих мьютексов сосредоточиться на профиле кучи.
Профиль allocs идентичен сбору данных. Разница между ними заключается в том, как инструмент pprof читает их во время запуска. Профиль Allocs запустит pprof в режиме, который отображает общее количество байтов, выделенных с момента запуска программы (включая байты, удаленные сборщиком мусора). Обычно мы будем использовать этот режим, когда пытаемся сделать наш код более эффективным.Куча
Говоря абстрактно, это место, где ОС (операционная система) хранит память объектов, используемых нашим кодом.Это память, которая позже получает «сборку мусора» или освобождается вручную в языках без сборки мусора.
Куча — не единственное место, где происходит выделение памяти, часть памяти также выделяется в стеке. Цель стека краткосрочная. В Go стек обычно используется для присваиваний, которые происходят внутри закрытия функции. Еще одно место, где Go использует стек, — это когда компилятор «знает», сколько памяти необходимо зарезервировать перед выполнением (например, массивы фиксированного размера).
Есть способ запустить компилятор Go, чтобы он вывел анализ того, где выделения «сбегают» из стека в кучу, но я не буду касаться этого в этом посте.В то время как данные кучи должны быть «освобождены» и проверены сборщиком мусора, данные стека — нет. Это означает, что намного эффективнее использовать стек там, где это возможно.
Это резюме различных мест, где происходит выделение памяти. Это еще много чего, но это выходит за рамки этого поста.
Получение данных кучи с помощью pprof
Существует два основных способа получения данных для этого инструмента.Первый обычно является частью теста или ветви и включает импорт
runtime/pprof, а затем вызовpprof.WriteHeapProfile(some_file)для записи информации о куче.Обратите внимание, что
WriteHeapProfileявляется синтаксическим сахаром для запуска:// поиск принимает профиль namepprof.Lookup("heap").WriteTo(some_file, 0)Согласно документам,
WriteHeap5file существует для 901 обратная совместимость.
Остальные профили не имеют таких ярлыков, и вы должны использовать функцию Lookup()для получения данных их профиля.Второй, более интересный, способ — включить его через HTTP (веб-конечные точки). Это позволяет вам извлекать данные adhoc из работающего контейнера в вашей среде e2e / test или даже из «производства». Это еще одно место, где среда выполнения и набор инструментов Go превосходны. Вся документация пакета находится здесь, но TL; DR вам нужно будет добавить в свой код следующим образом:
import ( "net/http" _ "net/http/pprof")...func main() { ... http.ListenAndServe("localhost:8080", nil)}«Побочным эффектом» импорта
net/http/pprofявляется регистрация конечных точек pprof под корнем веб-сервера по адресу/debug/pprof. Теперь, используя curl, мы можем получить файлы с информацией о куче для исследования:curl -sK -v http://localhost:8080/debug/pprof/heap > heap.
out Добавление
http.ListenAndServe()выше требуется только в том случае, если в вашей программе раньше не было http-прослушивателя.Если он у вас есть, он зацепится за него, и вам не нужно будет снова слушать. Есть также способы настроить его с помощьюServeMux.HandleFunc(), что было бы более целесообразно для более сложной программы с поддержкой http.Используя pprof
Итак, мы собрали данные, что теперь? Как упоминалось выше, существует две основные стратегии анализа памяти с помощью pprof. Один из них смотрит на текущие распределения (байты или количество объектов), называемые
inuse. Другой просматривает все выделенные байты или количество объектов во время выполнения программы, называемоеalloc.Это означает, что независимо от того, было ли это сборщик мусора, суммирование всего отобранного.Здесь уместно повторить, что профиль кучи представляет собой выборку распределения памяти .
pprofза кулисами использует функциюruntime.MemProfile, которая по умолчанию собирает информацию о выделении для каждых 512 КБ выделенных байтов. Можно изменить MemProfile для сбора информации обо всех объектах. Обратите внимание, что, скорее всего, это замедлит работу вашего приложения.Это означает, что по умолчанию существует некоторая вероятность того, что проблема может возникнуть с более мелкими объектами, которые ускользнут из поля зрения pprof. Для большой кодовой базы/долгоиграющей программы это не проблема.
После того, как мы собрали файл профиля, пришло время загрузить его в интерактивную консоль, которую предлагает pprof. Сделайте это, запустив:
> go tool pprof heap.outДавайте посмотрим на отображаемую информацию
команды, "o" для опций)(pprof)Здесь важно отметить тип
: inuse_space.Это означает, что мы смотрим данные о распределении на определенный момент (когда мы захватили профиль).
Типом является значение конфигурации sample_index, и возможные значения:- inuse_space — объем выделенной и еще не освобожденной памяти
- inuse_object s — объем выделенных и еще не освобожденных объектов
- alloc_space — общий объем выделенная память (независимо от освобожденных)
- alloc_objects — общее количество выделенных объектов (независимо от освобожденных)
Теперь введите
topв интерактивном режиме, на выходе будут самые высокие потребители памятиМы видим строку, сообщающую нам about
Dropped Nodes, это означает, что они отфильтрованы.Узел — это запись объекта или «узел» в дереве. Удаление узлов — хорошая идея для уменьшения шума, но иногда это может скрыть основную причину проблемы с памятью. Мы увидим пример этого, когда продолжим наше расследование.Если вы хотите включить все данные профиля, добавьте параметр
-nodefraction=0при запуске pprof или введитеnodefraction=0в интерактивном режиме.
В выведенном списке мы видим два значения:
flatиcum.- Flat означает, что память, выделенная этой функцией и удерживаемая этой функцией помогите нам понять, если есть проблема. Возьмем, к примеру, случай, когда функция отвечает за выделение большого количества памяти, но не удерживает ее. Это будет означать, что какой-то другой объект указывает на эту память и сохраняет ее выделенной, а это означает, что у нас может быть проблема с дизайном системы или ошибка.
Еще один хитрый трюк с
topв интерактивном окне заключается в том, что на самом деле выполняетсяtop10. Команда top поддерживает форматtopN, гдеN— это количество записей, которые вы хотите просмотреть. В случае, вставленном выше, если ввести, например,top70, будут выведены все узлы.Визуализация
В то время как
topNпредоставляет текстовый список, есть несколько очень полезных опций визуализации, поставляемых с pprof.
Можно ввести pngилиgifи многое другое (полный список см. вgo tool pprof -help).В нашей системе визуальный вывод по умолчанию выглядит примерно так:
Поначалу это может показаться пугающим, но это визуализация потоков распределения памяти (согласно трассировкам стека) в программе. Чтение графика не так сложно, как кажется. Белый квадрат с числом показывает выделенное пространство (и совокупный объем памяти, который он занимает прямо сейчас на краю графика), а каждый более широкий прямоугольник показывает функцию выделения.
Обратите внимание, что на изображении выше я взял png из режима выполнения
inuse_space. Много раз вам также следует взглянуть наinuse_objects, так как это может помочь в поиске проблем с распределением.Копаем глубже, находим первопричину
До сих пор мы могли понять, что выделяет память в нашем приложении во время выполнения. Это помогает нам получить представление о том, как ведет себя наша программа (или неправильно).

В нашем случае мы могли видеть, что память сохраняется
членами, которые являются нашей библиотекой сериализации данных.Это не означает, что у нас есть утечка памяти в этом сегменте кода, это означает, что память сохраняется этой функцией. Важно понимать, как читать график и вывод pprof в целом. В этом случае, понимая, что когда мы сериализуем данные, то есть выделяем память для структур и примитивных объектов (int, string), она никогда не освобождается.Делая поспешные выводы или неверно истолковывая граф, мы могли предположить, что одна из нод на пути к сериализации отвечает за сохранение памяти, например:
подмножество графаГде-то в цепочке мы видим нашу библиотеку логирования , ответственный за> 50 МБ выделенной памяти.Это память, которая выделяется функциями, вызываемыми нашим регистратором. Если подумать, это на самом деле ожидаемо. Регистратор вызывает выделение памяти, поскольку ему необходимо сериализовать данные для вывода их в журнал, и, таким образом, он вызывает выделение памяти в процессе.

Мы также можем видеть, что по пути распределения память сохраняется только за счет сериализации и ничего больше. Кроме того, объем памяти, сохраняемой регистратором, составляет около 30% от общего объема. Вышеизложенное говорит нам о том, что, скорее всего, проблема не в регистраторе.Если бы это было 100% или что-то близкое к этому, то мы должны были бы искать там — но это не так. Это может означать, что регистрируется что-то, чего не должно быть, но это не утечка памяти из-за регистратора.
Сейчас самое время представить другую команду
pprofпод названиемlist. Он принимает регулярное выражение, которое будет фильтром того, что нужно перечислить. «Список» на самом деле представляет собой аннотированный исходный код, связанный с распределением. В контексте регистратора, который мы изучаем, мы выполнимlist RequestNew, поскольку мы хотели бы видеть вызовы регистратора.Эти вызовы исходят от двух функций, которые начинаются с одного и того же префикса.
Мы видим, что сделанные выделения находятся в столбце
включая, что означает, что выделенная память сохраняется в стеке вызовов. Это коррелирует с тем, что также показывает график. В этот момент легко увидеть, что причина, по которой регистратор выделял память, заключается в том, что мы отправили ему весь объект «блок». Нужно было как минимум сериализовать некоторые его части (наши объекты — это объекты membuffer, которые всегда реализуют какую-то функциюString()).Это полезное сообщение журнала или хорошая практика? Вероятно, нет, но это не утечка памяти, не в конце регистратора или в коде, который вызвал регистратор.listможно найти исходный код при поиске в средеGOPATH. В случаях, когда искомый корень не совпадает, что зависит от вашей машины сборки, вы можете использовать параметр-trim_path. Это поможет исправить ошибку и позволит вам увидеть аннотированный исходный код. Не забудьте настроить свой git на правильный коммит, который выполнялся, когда был захвачен профиль кучи.
Так почему сохраняется память?
Предысторией этого расследования стало подозрение, что у нас проблема — утечка памяти. Мы пришли к такому выводу, когда увидели, что потребление памяти выше, чем мы ожидали от системы. Вдобавок ко всему, мы видели, что он постоянно увеличивался, что было еще одним сильным индикатором того, что «здесь есть проблема».
На этом этапе, в случае с Java или .Net, мы должны открыть какой-нибудь анализ или профилировщик «корни gc» и добраться до фактического объекта, который ссылается на эти данные и создает утечку.Как уже говорилось, в Go это не совсем возможно, как из-за проблем с инструментами, так и из-за низкоуровневого представления памяти в Go.
Не вдаваясь в подробности, мы не думаем, что Go сохраняет, какой объект хранится по какому адресу (за исключением, может быть, указателей). Это означает, что на самом деле для понимания того, какой адрес памяти представляет какой элемент вашего объекта (структуры), потребуется какое-то сопоставление с выходными данными профиля кучи. Если говорить о теории, это может означать, что перед созданием полного дампа ядра необходимо также получить профиль кучи, чтобы адреса можно было сопоставить с выделенной строкой и файлом и, таким образом, с объектом, представленным в памяти.
На данный момент, поскольку мы знакомы с нашей системой, было легко понять, что это больше не ошибка. Это было (почти) по замыслу. Но давайте продолжим исследовать, как получить информацию от инструментов (pprof), чтобы найти основную причину.
При установке
визуализация памяти с nodefraction=0nodefraction=0мы увидим всю карту выделенных объектов, включая более мелкие. Посмотрим на результат:У нас есть два новых поддерева.Еще раз напомню, что профиль кучи pprof выполняет выборку распределения памяти. Для нашей системы, которая работает — мы не пропускаем никакой важной информации. Более длинное новое дерево, выделенное зеленым цветом, которое полностью отключено от остальной системы — это тестовый бегун, — это неинтересно. Система
была настроена на «утечку»?Более короткая, выделенная синим цветом, у которой есть ребро, соединяющее ее со всей системой, —
inMemoryBlockPersistance. Это название также объясняет «утечку», которую мы себе представляли.Это серверная часть данных, которая хранит все данные в памяти и не сохраняется на диск. Что приятно отметить, так это то, что мы сразу увидели, что он содержит два больших объекта. Почему два? Потому что мы видим, что объект имеет размер 1,28 МБ, а функция сохраняет 2,57 МБ, то есть два из них.На данный момент проблема хорошо изучена. Мы могли бы использовать delve (отладчик), чтобы увидеть, что это массив, содержащий все блоки для имеющегося у нас драйвера сохраняемости в памяти.
Итак, что мы можем исправить?
Ну, это отстой, это была человеческая ошибка.В то время как процесс был обучением (а обмен заботой), мы не стали лучше, или стали?
Что-то еще «пахло» в этой куче информации. Десериализованные данные занимали слишком много памяти, зачем 142 МБ для чего-то, что должно занимать значительно меньше? . . pprof может ответить на этот вопрос — собственно, он и существует, чтобы точно отвечать на такие вопросы.
Чтобы просмотреть аннотированный исходный код функции, мы запустим
list lazy. Мы используемlazy, так как имя функции, которое мы ищем,lazyCalcOffsets(), и мы не знаем, что другие функции в нашем коде начинаются с lazy.Вводlist lazyCalcOffsets, конечно, тоже сработает.Мы видим два интересных фрагмента информации. Опять же, помните, что профиль кучи pprof собирает информацию о выделении памяти. Мы можем видеть, что числа
, плоскиеи, включая, одинаковы. Это указывает на то, что выделенная память также сохраняется этими точками выделения.Далее мы видим, что make() занимает часть памяти. Это имеет смысл, это указатель на структуру данных.Однако мы также видим, что присваивание в строке 43 занимает память, то есть создает выделение.
Это познакомило нас с картами, где присвоение карты не является простым присвоением переменной. В этой статье подробно рассказывается о том, как работает карта. Короче говоря, у карты есть накладные расходы, и чем больше элементов, тем больше эти накладные расходы будут «стоить» по сравнению со срезом.
Следующее следует воспринимать с долей скептицизма: можно было бы сказать, что использование карты
map[int]T, когда данные не являются разреженными или могут быть преобразованы в последовательные индексы, обычно следует пытаться использовать с реализация среза, если потребление памяти является важным фактором.Тем не менее, большой фрагмент при расширении может замедлить операцию, тогда как на карте это замедление будет незначительным. Волшебной формулы оптимизации не существует.В приведенном выше коде после проверки того, как мы использовали эту карту, мы поняли, что хотя мы представляли ее как разреженный массив, он оказался не таким уж разреженным. Это соответствует приведенному выше аргументу, и мы могли сразу увидеть, что небольшой рефакторинг изменения карты на срез действительно возможен и может сделать этот код более эффективным с точки зрения использования памяти.Поэтому мы изменили его на:
Вот так просто: вместо использования карты мы теперь используем срез. Из-за того, как мы получаем данные, которые загружены в него лениво, и как мы позже обращаемся к этим данным, кроме этих двух строк и структуры, содержащей эти данные, никаких других изменений кода не требуется. Что это сделало с потреблением памяти?
Давайте посмотрим на
BenchCMPвсего пару тестовТесты чтения инициализируют структуру данных, которая создает распределения.Мы видим, что время выполнения улучшилось примерно на 30 %, выделение памяти сократилось на 50 %, а потребление памяти — на > 90 % (!)
показать, что мы увидим в производстве. Это зависит от энтропии данных, но могут быть случаи, когда улучшения как распределения, так и потребления памяти были бы еще значительнее.
Снова взглянув на
pprofи взяв профиль кучи из того же теста, мы увидим, что теперь потребление памяти фактически снизилось примерно на 90%.Вывод будет заключаться в том, что для небольших наборов данных вам не следует использовать карты, где будет достаточно срезов, поскольку карты имеют большие накладные расходы.
Полный дамп ядра
Как уже упоминалось, именно здесь мы видим самые большие ограничения с инструментами прямо сейчас. Когда мы исследовали эту проблему, мы были одержимы возможностью добраться до корневого объекта, но без особого успеха. Go развивается с большой скоростью, но эта эволюция имеет свою цену в случае полного дампа или представления памяти.Формат полного дампа кучи при его изменении обратно не совместим. Последняя версия, описанная здесь, и для записи полного дампа кучи можно использовать
debug.WriteHeapDump().Хотя сейчас мы не чувствуем себя «застрявшими», потому что нет хорошего решения для исследования полных дампов.
pprofответил на все наши вопросы до сих пор.Обратите внимание, интернет запоминает много информации, которая уже не актуальна. Вот некоторые вещи, которые вы должны игнорировать, если вы собираетесь попытаться открыть полный дамп самостоятельно, начиная с go1.11:
pprof UI
Последняя деталь, о которой следует помнить, когда речь заходит о pprof, — это функция пользовательского интерфейса. Это может сэкономить много времени при начале расследования любой проблемы, связанной с профилем, полученным с помощью pprof.
go tool pprof -http=:8080 heap.outВ этот момент он должен открыть веб-браузер. Если это не так, перейдите к порту, на который вы его установили. Это позволяет вам изменять параметры и получать визуальную обратную связь намного быстрее, чем из командной строки.Очень полезный способ потреблять информацию.
Пользовательский интерфейс фактически познакомил меня с графиками пламени, которые очень быстро выявляют проблемные области кода.
Заключение
Go — захватывающий язык с очень богатым набором инструментов, с pprof можно сделать гораздо больше. Например, этот пост вообще не касается профилирования процессора.
Некоторые другие хорошие чтения:
281413.1311RON28040.5911RON28060.8111RON4331718.1411RON54532751.1811RON2658111.5511RON265828.0011RON2657318.8311RON4388816.9311RON3055220.8611RON3055329.6311RON2658718.9711RON2746142.2711RON40163.2711RON40804.4711RON2746325.5411RON2746432.0611RON2657227.7311RON327397.2111RON327408.6411RON3274419.3511RON352416.9511RON352439.7811RON304878.0611RON5201351.9111RON54025172.6011RON54024100.9711RON440374.9011RON5588464.9011RON874439.9011RON5295262.2311RON5295347. 7811RON5505536.0011RON3041830.0011RON5373031.8911RON5452899.9011RON5452995.0011RON3851392.0011RON440254.5011RON3851275.0111RON3041955.0011RON577931RON577931RON69011RON3789712.8811RON871526.8911RON5498355.0011RON2251916.0111RON5452531.4911RON27185298.0911RON4827934.9011RON3851722.0011RON494417.9011RON871419.5011RON277633.5811RON440145.9011RON5372918.9011RON5372813.9911RON3851025.0011RON2262737.2211RON2262640.2811RON2348619.0011RON3831125.6911RON3831362.2811RON5587125.0011RON442140.5011RON3977434.6811RON5453327.3111RON505126. 3711RON2725441.9011RON2725338.3711RON5778237.9811RON5298316.4311RON5425543.4311RON3695824.0011RON4883830.0011RON4883933.0011RON3851426.0011RON449029.9011RON5472927.4911RON5472627.4911RON5298218.7011RON4884527.4911RON873832.9011RON5370824.0011RON442033.5011RON5295524.7411RON5295431.1611RON4210819.5011RON5589118.0011RON5119614.9811RON36
0.0411RON6.1311RON8.0411RON6.1311RON200015.0911RON200111.4111RON200218.7211RON200313.5911RON200416.4611RON3274816.4311RON3274911.3511RON200616.7811RON200711.9611RON200814.1111RON3275341.3911RON3275117.8111RON200911.1911RON21912.0011RON201020.1711RON201114.6811RON11717228.4811RON24067166.7411RON966548. 0011RON5694210.0011RON5509128.0011RON52944152.0311RON558.0011RON55087114.8911RON5508524.8911RON55088169.9011RON5508669.9011RON54931142.801114.8011RON5508524.8911RON55088169.9011RON5508669.9011RON54931142.801119011RON5508929.8911RON550939.9011RON5509429.8911RON3113954.8911RON3113825.8911RON6464118.9011RON54116150.0011RON54263150.0011RON55399188.9011RON56939164.9011RON5422985.0011RON5422840.0011RON2430162.9511RON2431186.8711RON4885038.2311RON660865.7711RON33206.3811RON553517.9411RON33361.0911RON33391.5111RON33291.4511RON33300.7611RON327615.1611RON352492.3611RON352503. 0011RON352513.1311RON352535.1911RON327622.7611RON327633.4711RON556495.0511RON365518.4011RON3527496.2411RON42981115.7911RON122611.5511RON1462319.2811RON1462224.1511RON35816391.7811RON35818418.4611RON358361659.6111RON358502999.8911RON358522996.4011RON358621271.3211RON358643118.4211RON41
.9011РОН517309.0011РОН294975.9511РОН5371819.9911РОН4664941.5111RON4064359.4811RON54261178.0011RON56781109.9011RON442924.9011RON442944.9011RON263979.5211RON475531.4911RON28204.7111RON4783421.5311RON1420215.3911RON1420310.2311RON352837.7911RON352869.9711RON3528812.4711RON5495620.5311RON5540126.3011RON3528738.9411RON264022.2111RON264055.9511RON559185.2011RON3284248.2011RON863686.9911RON864256.2611RON14011129.5011RON14014129. 9711РОН47000454.0411РОН863868.3711РОН40332444.2511РОН53077107.8611РОН5307697.7811РОН5296564.9011РОН52972110.0011РОН52967110.0011РОН52973110.0011RON52974110.0011RON40343316.2511RON46999523.2411RON53925511.7511RON518451487.5011RON57886620.0011RON57884600.0011RON54392408.3111RON54393408.3111RON54394408.3111RON535.6411RON3002445.6411RON3003445.6411RON3004499.3911RON3005499.3911RON24812520.8311RON24813555.5611RON24814522.3911RON24816479.1711RON24815486.1111RON310391.4811RON3103510.4711RON3104112.2811RON3101821.2311RON4758316. 3611РОН4757618.2411РОН4758425.3111РОН4757725.3111РОН4758529.4311РОН4757829.4311РОН4758641.2111РОН4757941.2111РОН4758744.7311RON4759111.7711RON4758811.7711RON4759212.3511RON4758912.3511RON4758113.5311RON4757413.5311RON4759314.7111RON4759014.7111RON4758214.7111RON4757514.7111RON5303034.4911RON5400446.4111RON2641315.7911RON264112.9711RON5296414.5011RON53283878.6411RON324121169.8911RON532841224.2111RON539611418.3311RON360583241.8511RON149622357.1211RON149632775.9111RON149672507.4511RON149783162.5111RON149804767. 9311RON149835538.5011RON149866230.1511RON1495.3411RON149
58.8611RON54370492.0411RON5328951.2211RON36523264.9911RON64462.0811RON456334.7511RON6679267.5211RON28381117.2011RON28823144.6311RON29579130.1611RON29578104.7211RON2933712.0511RON40255.8011RON4642546.8911RON28115106.0411RON40299.5111RON48194570. 0011RON2930865.6011RON284727.0211RON2847116.8311RON284735.9511RON2847061.4011RON3076210.9611RON4635427.0611RON307593.6111RON463553.6111RON463564.4111RON434247.6511RON5395917.8011RON5396020.1311RON5395815.4311RON250870.6911RON250890.7611RON307508.0011RON307530.9811RON463605.3311RON223982.1111RON223972.3611RON224003.6411RON223993.3111RON3278810.7611RON3278910.6911RON24411.3411RON24370.3011RON24380.4911RON24390.5711RON24400.6711RON24360.2311RON250987.1611RON250997. 1611RON307679.7011RON307657.4111RON307645.0811RON327948.7211RON3279515.1011RON3279622.0911RON327976.2511RON327987.9411RON500276.0811RON500297.4411RON500276.0811RON500297.4411RON3279622.0911RON327976.2511RON500297.44117011RON5003412.7811RON3280010.4511RON141073.9711RON141085.0011RON141095.9111RON141108.4311RON1411110.2511RON1411212.5711RON1411312.7211RON1411420.2111RON1411524.5011RON1411627.1911RON1411837.7911RON1411945.1511RON141203.6211RON4320812.2911RON4320913.1911RON4321017.7311RON432066.5211RON89493.4711RON89504.3111RON89528.5211RON895312.1111RON895513.6711RON895723. 6211RON895828.7711RON89623.2011RON465949.0311RON28164.5111RON28177.1411RON3281110.0211RON281914.2811RON328134.8711RON328157.3811RON3281711.96326.RON283111RON281418.0011RON447313.6411RON284934.7811RON284945.6611RON284957.1911RON284977.9511RON4664313.4911RON4664417.8511RON4664530.0011RON281513.9211RON4663018.0911RON4660113.4411RON2643312.2511RON4661215.6611RON4661535.8811RON1267353.5511RON493083.5511RON4428813.0411RON4871886.2611RON2879030.3311RON5401052.2411RON5401476.2211RON5401676.5211RON54022153.0211RON5401352. 2111РОН54021153.0211РОН5401249.9011РОН5401777.9611РОН5049420.4011РОН556.6211RON50596569.2511RON46988471.5011RON372
3.0011RON469.7511RON20297.3311RON43378.3911RON1413169.2311RON1413278.7211RON20238.6411RON202411.0011RON20257.0011RON202616.2411RON2845714.7411RON2845921.4411RON2846128.4311RON4452735.7711RON2850811.4811RON202714.9311RON1412510.7311RON4428044.9211RON4428170.6411RON3285012.9111RON2993445.7311RON2993745.7311RON44373118.3111RON44
2.1411RON442.1411RON442. 1411РОН363180.5611РОН363280.5611РОН363380.5611РОН3315680.5611РОН363480.5611РОН363580.5611РОН23831776.4011РОН405952587.0511РОН405971363.8811RON406112060.9511RON406122240.2211RON406144077.0811RON405982027.3811RON406033729.8511RON260023.7711RON264987.4411RON5458810.7111RON364989.5911RON364976.5911RON5355310.2011RON5355417.5011RON403224.4511RON65860.7111RON65870.9211RON45872.0011RON143022.6011RON143043.4711RON143050.4411RON143060.5711RON143070.6111RON143081.1211RON539870.3811RON456170.5511RON342124. 1811РОН342224.6011РОН58646.7011РОН478697.0011РОН116129.5511РОН58658.4911РОН58666.5611РОН396995.1111РОН421296.8311РОН116073.9711РОН116062.5411RON116095.7511RON116083.6811RON424451.8211RON116102.9611RON102302.7411RON116055.4911RON247626.4411RON4401423.4911RON565629.0011RON565837.0011RON565940.0011RON566560.0011RON566150.0011RON566780.0011RON4303437.6911RON2359142.1511RON2359566.9411RON2359354.5411RON2359776.8511RON54072280.5411RON54073340.2011RON77111.1111RON76715.1011RON860636.8911RON26. 6011RON220.0011RON30176188.7311RON30181163.6811RON45929292.7611RON30274343.2311RON306249.3311RON3062510.6411RON3062612.7411RON3062712.1111RON3062712.1111RON2211RON3063119.4611RON3063228.4511RON3063412.2011RON3063513.6811RON3063613.9711RON3063715.7211RON3064030.5411RON3064311.5211RON3064413.6811RON3064516.0311RON3064618.7311RON3064725.3111RON3064934.0911RON3065012.1111RON3065115.8711RON3065420.5211RON3065729.5011RON3066035.3911RON3066155.2911RON3066218.4211RON2963126.3311RON2963570.1011RON2963624.7011RON2963833.5111RON2963948. 4611RON2964048.4611RON2964333.3811RON2964774.2911RON2964940.7611RON2965056.0011RON2965555.4211RON2965671.2311RON2965866.0311RON2965992.2811RON29660106.3511RON305958.5111RON305967.9711RON305979.5111RON3059811.4111RON3059912.9211RON306009.7011RON3060110.4511RON3060211.8011RON3060311.9811RON3060616.3111RON3060717.6711RON3020912.5311RON3021013.5111RON3021112.1111RON3021213.8511RON3021943.5311RON3022624.4111RON21.9311RON25.7211RON2
8.3111RON25. 7611RON27.9811RON2
1.4111RON22.3711RON2- 9.1111RON3017986.3311RON3018080.3811RON30183104.0411RON3019810.6411RON3020011.6711RON3020313.1411RON3020716.1811RON140665.0111RON140656.3911RON140633.3411RON140624.8311RON2236513.8611RON2236616.4111RON458010.6511RON2236817.9911RON458112.4811RON2236916.6111RON2235620.0611RON2235823.8411RON2236030.3311RON2237235.3111RON2236129.5111RON3289139.3411RON2237344.8911RON430345.9811RON2237553.6311RON2236413.5111RON175.5311RON187.0011RON198.5211RON87.2911RON208.0911RON105. 8711RON114.9611RON125.7211RON137.6011RON145.5511RON156.1911RON167.6911RON305078.4811RON305089.9411RON3050912.0811RON3051113.7211RON294239.5711RON294278711RON2943511.9211RON2943612.7211RON2943712.4511RON2944922.4811RON2945718.2111RON2945924.8911RON2950317.2111RON3051436.8111RON3052322.0411RON3052743.2711RON3053237.6511RON3053341.3511RON3053449.4911RON3053630.5811RON3053744.3911RON3054337.3711RON304928.0211RON304938.6611RON3049410.4611RON3049511.9211RON304968.3111RON304979.3911RON3049811.1911RON328629.4711RON3286411. 2611РОН3286619.2911РОН3286715.1111РОН3286823.2411РОН328717.2711РОН328725.5311РОН328748.0211РОН328756.1911РОН328766.8711РОН2652828.6311РОН27139301.4911RON27138251.2311RON27137276.3711RON265404.6111RON265417.9511RON265332.1811RON265342.1111RON265352.5011RON265372.8911RON265363.0611RON265383.6211RON265394.2211RON277978.9711RON277989.8411RON277999.8411RON278009.8411RON2780310.2711RON2780410.2711RON2780511.5711RON2780612.8811RON2780712.8811RON2780911.2611RON4389012.0011RON2781112.4911RON2781313.7711RON2781615. 0411RON2781716.7111RON2655529.6111RON2655630.3711RON2782420.1611RON2655734.0511RON2654422.7311RON2655841.7311RON2654526.6711RON2655947.4011RON268811RON2655150.2311RON26566113.1311RON2655379.6011RON26567142.5111RON2655499.7811RON2782117.7311RON1422113.9211RON1422015.4211RON1421918.3911RON1421617.6711RON1421527.3111RON1421333.9511RON1421136.1311RON1421043.3411RON1420847.1511RON1420612.1111RON2070450.5411RON2495851.2711RON2.1411RON2.1411RON2
.1411RON2.1411RON2
.1411RON2.1411RON2
. 1411РОН2
.3811РОН2
.3811РОН2.3811РОН2928048.6111РОН292201.8411РОН292221.8411РОН292231.8411РОН292272.0811РОН292282.3011РОН292312.3011RON292322.3011RON292452.8611RON302873.8611RON302894.0511RON302955.6211RON302975.6211RON302995.6211RON303026.6411RON303078.0611RON3032613.1411RON292971.3711RON3037840.0311RON304802.7311RON304271.7511RON304281.9411RON304312.5011RON304323.0611RON304333.0611RON304354.9711RON304366.1411RON304376.9111RON304387.4711RON304397.8811RON304409.0311RON304419. 3911RON3044210.4611RON3044311.9211RON3044413.1711RON3044513.5811RON3044715.8011RON3044816.3611RON3044919.7711RON3045022.1811RON3045226.19312RON30451711RON7410.5911RON7390.3111RON7370.7111RON7280.5511RON7275.5611RON7266.7911RON7258.2211RON7239.2111RON72212.3911RON72115.1111RON72017.3311RON7320.7911RON7180.4311RON7160.4311RON7150.4311RON7140.4311RON7130.7911RON7120.4311RON7110.4311RON7100.4811RON7190.7611RON7080.5011RON7070.6711RON7060.7611RON7050. 5011RON7040.8911RON7030.9011RON7090.8611RON7010.9511RON7001.1711RON329730.6911RON329740.6911RON329751.3211RON329771.4411RON329780.8611RON7021.1211RON329810.9011RON329840.8611RON329850.9011RON329861.2511RON329870.9811RON329801.4411RON329912.1911RON329931.3211RON329881.9411RON329972.6911RON329952.6111RON329993.7711RON329983.4711RON330004.4711RON7560.9011RON7531.0511RON7491.8211RON328780.4011RON328804.7211RON140946.2711RON1409212.2611RON140990.3311RON140890.4011RON140900.4511RON140872.1111RON140832.5211RON140813.0011RON140784.0611RON140775. 0011RON3047044.2811RON3047788.9811RON293933.8611RON293955.0611RON855224.5411RON855314.8211RON855435.8211RON85555.2111RON85577.1611RON85588.1411RON859711RON856212.4711RON856110.0911RON856312.2511RON856615.9911RON856515.5111RON330027.6311RON2937226.7711RON2937832.5111RON2938238.0411RON293494.4611RON293527.2511RON44533.5811RON44581.8911RON44572.0111RON44562.1411RON44552.5811RON3051512.2011RON140751.0511RON140741.7011RON3648526.0011RON3648776.5111RON3316143.7811RON3316319.8311RON3316427.8611RON3317341. 4111RON3317418.6011RON3317626.0511RON3317741.4111RON3317918.4511RON3318024.7211RON1428355.8111RON1428490.3111RON24776.2511RON3776323.8411RON37764226911RON3776526.7611RON3775823.0411RON3776026.3111RON3776125.8211RON3776227.9611RON1020.0011RON226364190.0011RON226343425.0011RON545754039.0011RON238482866.0011RON373294039.0011RON226333330.0011RON545781730.0011RON103095430.0111RON226356823.0011RON565861177.0111RON10371808.0011RON532341596.0011RON189341.0011RON189351.3911RON4474275.5111RON99055.5911RON18979420.7811RON18980653.1911RON57
39. 1311РОН85503.4511РОН189681.3111РОН499148.6011РОН189691.9011РОН189702.7411РОН84620.6911РОН189400.7411РОН189561.2611RON84931.6311RON84942.3611RON163573.4611RON189551.8211RON84971.9711RON84983.2711RON189545.2211RON85006.8911RON4186511.3211RON4186432.3611RON189596.2511RON189608.6211RON189625.7611RON189667.8211RON85010.8511RON85021.1411RON189751.3511RON189782.1111RON472753.2211RON472795.9311RON545406.3811RON472460.7511RON472511.0711RON473596.9711RON494981. 7211RON28297.2511RON428160.9211RON428171.3411RON428181.7811RON428192.6811RON428204.5911RON47952407.5611RON47953434.5311RON47955247.5411RON428120.6611RON1454344.9811RON28327.0311RON283411.9011RON2772137.7011RON2772448.6011RON249681443.0111RON105501103.0011RON105561307.0011RON1055
.0011RON24665941.0011RON249861010.0011RON249871214.0011RON249881337.0011RON2498.0011RON249831214.0011RON249851624.0011RON105663622.0011RON501275173.8511RON538584127.3511RON50115918.8511RON501211031.5511RON50103595.7011RON50059616.4211RON50060632.5211RON50061663. 5611RON50099780.8511RON50119516.3511RON50120550.8511RON36407525.0011RON4385012.0811RON475278.4111RON2649730.2911RON2833736.3411RON4384851.3411RON283831.5411RON283512.8511RON283612.4911RON283735.9411RON44160606.0011RON44167337.0011RON11446665.0011RON33015248.5711RON33016292.2411RON33017335.4611RON33018383.0111RON33020473.5211RON33021120.3211RON33022164.0911RON33023208.7511RON33024125.4511RON23585100.3211RON33025101.8611RON3473511.1111RON1462112.7811RON1473620.4411RON3321911.0811RON3322515. 0111РОН460705.5311РОН4486013.1311РОН
.7711RON268494.1111RON268504.3111RON283037.8511RON283059.3911RON2830710.3611RON2830812.2011RON2831011.5711RON283008.2111RON138219.8711RON870138.2811RON138425.6611RON870325.1611RON98262.6511RON98274.3811RON98287.8711RON98291.5611RON983015.0511RON98312.2311RON127513.4511RON127715.7811RON128242.5811RON130013.4511RON130115. 4911RON130420.0311RON130731.3211RON130910.6611RON131614.2611RON131817.2411RON131921.9611RON132025.1411RON132339.3111RON132445.6711RON123311.4111RON11611RON123512.5911RON203720.7211RON955.5611RON966.3511RON976.9111RON987.0111RON998.3311RON10110.1211RON1008.9211RON10211.2611RON10318.1011RON10420.5511RON934.5511RON944.9311RON439562.5011RON439572.9711RON439583.5811RON439551.9411RON268266.8811RON2683215.7811RON2683423.7811RON2824712.3211RON282377.2511RON2821320.6111RON2834828. 77112770511.65112770511.651127794080.619441841161194119943103.77117943103.77112773411.06112774411.06112774416.14112774416.141112837212.6
.8711РОН86638.4511РОН3473613.4511РОН3330337.2611РОН3330726.0411РОН3330826.0411РОН2378327.3711RON403629.1511RON403732.7311RON3530637.2511RON3530735.4611RON3337524.4711RON3337843.4811RON5478732.1311RON2570012.0011RON5356913.2011RON147444.6611RON365008.4011RON3650112.0011RON546161.9911RON546171.8011RON546151.8011RON546181.8011RON546192.4911RON555423.8811RON333311.1211RON333331.1711RON4871061.7111RON1448964.6311RON1449067.6511RON1449170.8311RON1449274. 1411РОН1449381.0711РОН1449488.7011РОН1449598.6511РОН41374182.8611РОН41373343.8511РОН3727.0011РОН44753126.7611РОН36010271.7611РОН46981155.2611RON46985304.7511RON53094171.3511RON53934286.3511RON143138.0611RON3531130.4211RON28765174.5311RON2838952.7111RON54310226.3511RON2876030.2611RON283948.5911RON2839810.4611RON2839910.6411RON283928.3711RON283938.5411RON2877913.3811RON2878310.7911RON2878413.0811RON2878511.3311RON2878210.0111RON2880111.4111RON334004.1211RON148516.5611RON334024.5211RON334036.7211RON334054. 7611РОН334067.1411РОН334083.4711РОН334114.2611РОН287693.4411РОН287703.7511РОН287724.0611РОН287672.5011РОН287682.9711РОН334225.8811РОН334245.8811RON98054.3211RON98077.5611RON98081.5711RON98101.6711RON98171.8611RON477527.4711RON477537.4711RON477548.9111RON477481.6511RON456372.9511RON477492.2011RON477512.7511RON4776313.0711RON477562.4511RON477593.4211RON311137.4711RON311129.9911RON3933510.7411RON393369.7711RON3110911.2811RON3111617.7911RON4026939.2711RON4316147.6011RON29945.6111RON462456. 7111RON209785.2911RON462478.7011RON462577.6811RON494255.0711RON452165.1811RON429464.7911RON429477.4811RON462509.1711RON547078.4811RON29972.30114451311RON309538.7811RON3095510.4111RON309546.8411RON310368.7811RON545341.8711RON309482.2011RON51833125.0011RON51834153.8311RON1432557.3811RON364899.5911RON3649614.9011RON3648810.7911RON3649512.0011RON24850.8111RON24860.8611RON24871.2311RON334292.8011RON334300.7411RON334310.9511RON212871.5411RON334331.6411RON456223.1111RON4562312.7211RON3054944.8911RON3055053. 1611РОН2784564.4011РОН2784675.6111РОН2784781.0311РОН2783025.0611РОН2783128.2511РОН2783331.5611РОН2783537.9811РОН2784155.9911РОН53968368.96442РОН53.2111RON539651547.0011RON53963226.1011RON53966221.3411RON29598172.3711RON2775356.8611RON3980123.9111RON247725.0011RON245888.9211RON140109.0611RON28680221.6111RON28678247.0711RON28679321.0911RON4997048.6211RON4997348.6211RON3344119.2511RON3344319.2511RON2542059.9811RON2541466.2711RON404337.1411RON404413.7711RON2582856.6811RON2599065.8111RON2564973.4611RON404521.7811RON1467665. 7611RON1467875.4111RON1467988.9011RON1468143.2711RON2458227.9111RON537123011.8511RON537112899.9911RON409463388.7411RON409493761.3211RON409503875.9511RON409432958.8511RON409443025.7111RON492754132.3011RON2
6.1011RON3474536.3111RON3474358.0711RON4473434.6411RON2718610.1011RON18223.1611RON2719013.6311RON449722.8011RON53029.7611RON52929.7611RON2718913.6311RON53529.7611RON52532.7011RON53629.7611RON271889.5711RON18419.9911RON52037.3711RON18629.7611RON52429.7611RON51759.4511RON52246. 8611РОН51858.9211РОН2719413.6311РОН2719625.1311РОН20646.4211РОН49854.3711РОН2719925.9511РОН51547.1811РОН49570.9011РОН20745.2911РОН2720125.1411РОН5055.1811RON2721431.3611RON2720727.3911RON50151.9011RON50648.0511RON2720827.3911RON51047.1811RON51151.9011RON2719725.1411RON20845.2911RON2720025.9511RON51447.1811RON49751.9011RON49270.9011RON2720325.1311RON2720947.1811RON50747.1811RON49358.9011RON49654.3711RON50847.1811RON49481.4311RON50947.1811RON2721327.3911RON50447.1811RON51247.1811RON2721532. 3611RON50247.1811RON49151.7111RON48951.7111RON48751.7111RON48651.7111RON48351.7111RON48551.7111RON48851.7111RON49051.7111RON48151.7111RON48451.7111RON0311RON3111751.9611RON55250.0811RON57071.1111RON55561.5511RON56277.3911RON57586.7511RON27183109.9011RON36.1911RON57720.1711RON57656.6911RON25330.6411RON16643.5311RON2723914.5311RON748247.9011RON73166.0511RON2262320.2311RON59835.5311RON573259.4311RON546162.1611RON54726.3811RON629427.2211RON129632.1311RON372711.6611RON1008840.4611RON7915. 4911РОН869222.0511РОН2235415.4211РОН2235314.4611РОН134336.3211РОН136016.0611РОН136116.0611РОН12645.4111РОН12666.4111РОН12679.6211РОН114414РОН34334.6611РОН439411RON268588.8911RON282
37414.6811RON2837617.1411RON2838547.6111RON2838747.6111RON283.0911RON52625.1211RON52636.0111RON52648.3311RON289791.4311RON289739.4511RON2897411.8011RON22.6911RON2897515.6811RON28.7111RON2897723.9711RON2
2.6311RON2897833.7811RON289811.4611RON289622.0111RON289801.4211RON289642.1111RON289652.9211RON289674.1911RON289686.6311RON289706.9511RON289727. 1011RON203822.3111RON203927.5011RON204012.2211RON204116.9111RON137515.3311RON137621.6811RON7727.6911RON7834.1611RON136636.6811RON137043.9111RON27933336211RON2669621.0011RON26705156.3411RON2667032.3911RON2667541.7311RON2667773.9111RON26678111.4711RON456164.3911RON2629923.2011RON2630123.2011RON2743424.3711RON2743625.9811RON2744734.7611RON13306.5311RON13316.5011RON13328.0311RON133310.9511RON133414.2811RON13354.8111RON13365.8311RON2668313.4511RON2668413.4511RON2669117.3411RON4629611.9611RON437626.1611RON274696. 1611РОН274706.1611РОН274716.1611РОН274726.1611РОН274736.3511РОН274746.3511РОН274766.3511РОН274788.0911РОН275038.0911РОН2750410.1711РОН2750510.4811RON2750610.9711RON2750712.2911RON2751617.6811RON409976.1611RON274686.1611RON262436.5211RON2627214.7211RON2752110.9711RON2752312.0311RON134812.7611RON135812.2211RON135910.9511RON86963.9611RON86973.3311RON86983.3311RON353583.2111RON57751291.0011RON57761291.0011RON57771291.0011RON476731640.0011RON5587816.9911RON5587926.9911RON5588035.0011RON5588143.9911RON5588252. 4911РОН284816.4711РОН284942.5511РОН47.3611РОН47
.9711РОН47899114.2911РОН473.1811РОН47
.7211РОН47.9411РОН47.5311RON4752232.7111RON2852125.0211RON28509.6311RON2772913.1111RON22632184.3911RON27217203.7611RON672433.1911RON5298584.3211RON57670369.0011RON24997.9311RON25016.8511RON25025.9611RON25035.9611RON25045.8211RON25056.4611RON25065.9111RON25076.4611RON25086.4611RON24891.2311RON24901.1711RON24911.2311RON24921.2311RON24941.1811RON24951.1811RON24961. 2311РОН24971.1811РОН24981.1411РОН2771223.9211РОН2771424.2811РОН2771829.6011РОН865923.9911РОН2048822.9911РОН4931624.0011РОН525122.9816.РОН461424.6311РОН485124.6011РОН525122.9816.РОН461424.6311РОН485124.6011РОН9611RON4606310.7811RON4606414.7611RON25788134.0811RON2630443.6111RON2630549.0911RON2579072.7211RON3476216.2411RON3476324.4411RON158335.4411RON158417.7411RON2209817.7911RON2209930.1011RON2536219.7211RON2536322.2811RON2536425.0611RON429029.7211RON2535711.9211RON2535820.5411RON2535511.7811RON2535614.8311RON158915.4711RON29296321.4711RON2619164.1211RON2537532.4811RON2537132. 1411РОН159428.5611РОН2537427.3211РОН148950.3511РОН2536114.4511РОН2579321.8111РОН2628443.7311РОН2599816.0911РОН2627120.3111РОН2627424.1211RON2627727.7311RON2628131.2311RON2630813.6411RON2631015.0911RON42.9211RON2631530.7511RON156014.2711RON157316.2811RON157420.4811RON157528.0011RON157737.7811RON157631.0811RON157844.5311RON1541219.8011RON155195.0711RON1556135.1011RON151312.7211RON151413.8411RON151516.8111RON151618.3311RON152320.4011RON152539.2711RON1004431.7411RON153449.5911RON25783134. 0111RON25785190.1711RON42017409.8111RON48780332.5011RON48081939.9911RON2630261.4511RON2538031.1311RON155966.1811RON29806118.5011RON29809118.5011RON4468047.7411RON5139728.8811RON5139828.8811RON5140128.8811RON5140931.9911RON5141031.9911RON5141131.9911RON5141231.9911RON5141330.9911RON5141430.9911RON5141530.9911RON5141630.9911RON5141730.9911RON5141830.9911RON5141930.9911RON33117170.1711RON36140132.2411RON1465930.1211RON1466027.6311RON1465815.2911RON146619.1211RON1466251.7211RON342639.5611RON342714.1711RON342815. 0411РОН477682.2011РОН477671.3211РОН353661.0211РОН353671.3611РОН353681.9311РОН255193.9211РОН255205.4711РОН255217.9511РОН43187105.7611RON4632138.6211RON2785339.3411RON2785416.8311RON2785619.9611RON27354131.5011RON27355184.8111RON27357254.0111RON27359343.2811RON2735269.2011RON2735393.0211RON2664242.8911RON2661448.7411RON2664322.2311RON2661621.8211RON2661725.1411RON2786311.2511RON2787055.0011RON2786524.0511RON4401080.0411RON44011114.1811RON44012149.2311RON2457219.2411RON167227.4211RON167323.9711RON22121107. 5411RON165346.9311RON165526.8211RON165628.5711RON1702183.9511RON166553.5111RON169268.4011RON1697101.8211RON1701131.5411RON170316.6111RON16669.8211RON166813.4511RON166915.7411RON167017.3911RON166723.0611RON164729.3911RON166015.5111RON165918.7111RON167513.8611RON2785829.8111RON43896104.7211RON165115.0911RON2788034.0811RON2785113.9611RON2788130.1111RON2785080.4611RON365813.2111RON365918.3311RON162223.6111RON3476620.3411RON2599419.8611RON25999140.2411RON26001177.1311RON4753014.8811RON166417. 3511RON27867101.7811RON166217.0911RON366029.9211RON366134.2511RON4389226.4911RON4389432.3311RON2786044.2911RON2661560.7311RON26638106.8511RON26216.4711RON2621727.1011RON2621567.1211RON2787115.7811RON2741529.9511RON26330126.0711RON2632671.1711RON331268.6611RON100455.7011RON100465.8411RON100486.3311RON3312717.1611RON404716.4111RON404810.8511RON404912.3511RON405117.4211RON405217.1711RON405417.9311RON2734890.4211RON417758.3211RON5013215.5911RON406012.1111RON3313012.3511RON3313114.5511RON142349.5111RON3478111. 8411RON5013315.5911RON287442.9411RON287462.6311RON287423.2011RON5356646.2011RON5356752.7911RON5356830.0011RON406333.0711RON406434.1511RON406537.1011RON3313448.6111RON3313350.6011RON343718.0311RON466524.5111RON343734.6611RON480066.7511RON343755.8911RON480086.4511RON343777.0811RON34305.0111RON34335.2511RON34315.8111RON458693.1111RON458756.3511RON458793.9211RON458815.2711RON458847.8111RON458888.9111RON458914.3911RON458934.7211RON459022.6111RON459081.8711RON459092.0311RON459102.0311RON459112. 2011RON455942.1211RON459132.2711RON343414.0811RON79716.5811RON343522.9711RON872114.1811RON872215.6711RON34366.8311RON872311.9511RON343713.6811RON81111RON872516.6411RON872611.4111RON872713.1511RON460874.7411RON460575.7411RON460535.9011RON460547.7311RON4606010.3911RON4605510.3911RON337244.9511RON337254.9111RON337264.9311RON337275.0011RON3372812.7811RON3373012.7911RON3373112.7811RON3373212.8511RON3373330.1811RON3373430.1811RON3373530.5411RON555563.0911RON555576.2611RON555586.7211RON555599.4011RON5556010. 9511RON5556112.9911RON252523.6411RON252539.5811RON252549.9411RON2525512.3811RON2525615.2711RON2525714.7611RON2525919.1611RON2526125.4911RON2526425RON25264257311RON2526644.5811RON2526850.4211RON25269104.3311RON5565251.5011RON35373112.7011RON1448812.1111RON1448614.6011RON1448515.6011RON1448315.6211RON1448216.3011RON1448117.7911RON1448019.7911RON1447713.1611RON1447614.7411RON405041528.3411RON538
8.8411RON2722430.6811RON2722330.6811RON4654.5011RON44925.5111RON3652555.2011RON3652757.6111RON485724.0711RON485433.5911RON417903. 2511РОН3652655.2011РОН485375.3511РОН413456.4511РОН485386.9911РОН485715.2011РОН485392.4011РОН485363.8911РОН409692.6411РОН485355.0011РОН476604.6411RON364534.9011RON364545.5011RON454329.5011RON556838.5711RON534314.0811RON556825.6211RON247133.8011RON414394.5611RON358171729.8211RON358223951.0411RON358213500.8411RON35814778.9511RON358151095.9211RON413431171.1311RON54732666.1411RON35813709.1211RON57226805.8211RON358231015.3311RON54731848.8011RON5400672.2611RON54007139.5511RON54029221.8911RON54028111.5411RON2615.6211RON2. 4711РОН463944.4011РОН280954.2711РОН
.6011РОН2.2211РОН463874.6211РОН464018.2811РОН464046.4311РОН94227.7611РОН94218.4111RON94233.2211RON7.3311RON4665812.4811RON47425117.5111RON4742373.4811RON47426135.3611RON47427159.3411RON47429201.1111RON47430116.9511RON47431146.1911RON4742165.4411RON4742279.7311RON4584455.6611RON4584860.9411RON4585178.4911RON4583686.6911RON4583792.5611RON580219.4411RON25091.7011RON25102.1211RON25113.4711RON25125.5111RON337575.6411RON3376021.7811RON347832. 2511RON242383.2511RON347840.3211RON242301.2211RON201001210.0011RON201011435.0011RON57133994.9911RON50824810.0011RON54632300.0011RON20095360.0011RON4389489.9911RON54634489.9911RON4388640.0111RON564762240.0011RON2009030.0011RON2009139.0011RON439547.0011RON439463.0011RON2009382.0011RON43.0111RON20094129.0011RON4402789.1511RON40465240.3411RON476302915.5011RON476403046.4011RON476423334.3811RON3662125.6611RON2745365.2811RON3595103.6711RON3596103.6711RON3597103.6711RON3598103.6711RON307.8111RON30
7.8111RON30
7. 8111RON307.8111RON30
- 7.8111RON47.5611RON4
.0011RON200401970.0011RON200412300.0011RON200422700.0011RON200433170.0111RON200443710.0011RON200454320. 0011RON200355020.0011RON200465825.0011RON200476850.0011RON200487970.0011RON200499340.0011RON2005010710.0011RON20029530.0011RON48197141.3711RON86755.9411RON288728.4611RON288621.1011RON170762.3611RON4331811.7111RON2.1211RON2.7011RON27.5611RON.8911RON
.8911RON3651124.5011RON3651019.2111RON925011.6411RON2027428.7311RON408726.0511RON4449226.0511RON4449324.7211RON3246614.0111RON3246722.9011RON3442016.7611RON3245016.3611RON
.1611RON
.1111RON3244518.5311RON3244630.0611RON173621.7511RON173661.7511RON173731.9911RON173751. 9911РОН173782.9911РОН337818.8911РОН337822.1911РОН337843.0611РОН882814.7611РОН883411.8011РОН922311.6611РОН922412.9811РОН3379923.6511РОН92361.38053РОН3.2711RON3380728.2511RON338084.8011RON924011.7511RON92444.8011RON143392.1311RON2631.9411RON5540.6911RON475310.6611RON277596.4711RON277618.3311RON277606.4711RON277628.3311RON28674866.7011RON28675904.7611RON28671402.6011RON88404.8111RON436941.8811RON569531.6711RON530341.9011RON2600558.3011RON2600631.0011RON2600856.9311RON2600935.0011RON2601217.5811RON2601319. 0411РОН2602239.5711РОН2602343.7011РОН11023.2911РОН11131.2411РОН477450.1811РОН477440.1811РОН20420.0511РОН20430.0711РОН20440.1011РОН20450.0911РОН204801611RON476840.1311RON476850.1511RON476880.1711RON477120.2311RON476910.2311RON476900.2611RON476930.2711RON476920.3111RON338177.5011RON338207.5011RON338217.5011RON338357.5011RON338367.5011RON338237.5011RON338387.5011RON338247.5011RON338257.5011RON338267.5011RON338437.5011RON338447.5011RON338287.5011RON3384610.8811RON338477.5011RON338487.5011RON1479713. 4111RON1480013.4111RON4354613.4111RON4354713.4111RON4154410.8811RON1482412.3211RON1482511.7811RON463812.6911RON304008.7611RON87118.1611RON2326723.3.8911RON3386221.3711RON3386329.4211RON463849.2111RON3385522.8411RON3249722.2911RON5684519.9011RON338691.2711RON338701.4911RON40896.6411RON2760715.5411RON2761020.0411RON338874.6411RON3388912.1611RON3389021.4211RON3389141.0511RON338924.0511RON3389712.1411RON3389941.0511RON451180.4011RON451294.1411RON2764125.0711RON2848426.6611RON2848530.9011RON2848636.4411RON4437830. 3711RON2974830.8211RON4437935.0511RON2974936.6211RON2975045.2211RON4441516.6011RON276205.3111RON276195.3111RON276225.3111RON2762611.1911RON27623111911RON2762711.1911RON2763319.1211RON2763019.1211RON2763719.1211RON2238025.6011RON2379237.6611RON452756.7611RON23793103.6011RON253489.3111RON2531103.1011RON10073135.5511RON253077.1011RON4875886.7011RON53716135.5211RON253336.8811RON5371736.8811RON4949332.0111RON2820789.6811RON28208132.6911RON44020395.8911RON2752220.8811RON4442864.5511RON4442057.7611RON2649912.9011RON265018. 7811РОН2650215.0411РОН2650333.8111РОН22.8411РОН205140.0711РОН205815.1811РОН5478613.6311РОН5422520.8111РОН2745790.4211РОН2745065.2811RON4294826.5111RON2796915.4311RON2797010.7811RON279718.1611RON95826.5011RON31368.9411RON314022.7411RON3615715.8411RON2238621.9411RON2288.9511RON313110.8211RON313912.4011RON2670613.9711RON267079.2511RON2617315.6211RON2672329.6411RON460304.9011RON2796715.2011RON2796811.5111RON2672433.9111RON2672525.9511RON357329.0011RON312311.4611RON280619.6311RON279652. 1911РОН279641.7511РОН279724.7111РОН460291.9011РОН261722.3011РОН31527.2511РОН211526.6711РОН1434133.3911РОН211638.2211РОН210936.0211РОН211142.04323РОН3.4311РОН33911RON3443339.8811RON43.6111RON2677217.6511RON2677322.8011RON2645724.6911RON2645825.0611RON2646226.8511RON2646428.2511RON2646529.5411RON2646631.6911RON2645522.7911RON2645624.3211RON2645010.1911RON2645212.0511RON264499.2111RON1435280.4411RON31808.5911RON318110.1011RON318211.5411RON143458.6311RON1434610.3311RON317439.9611RON316312.8511RON316213.4011RON1434221. 3511RON1434326.7911RON1434432.7311RON1435525.1711RON55.0011RON575102319.6411RON51849160.0011RON51844290.0011RON567.1111RON337733.1911RON331404.0511RON553060.8311RON88214.3811RON1.3911RON5.0311RON
.4111RON- .0011RON56793180.0011RON13646196.3511RON13647221.3411RON13648248.7111RON13650327.2511RON13651293.0711RON47601109.0811RON47602164.1111RON28023119.5211RON
73.3811RON2786813.7311RON327841250.0011RON1484115.1011RON1484217.2211RON1475919.7211RON539141.3611RON4744125.6111RON4744229.6211RON4744338.1011RON4744440.2211RON4739762.3411RON4739872.5511RON4740047.7211RON4740261.7611RON4739432.4911RON4739543. 3211РОН4739648.2711РОН4739019.8011РОН4739125.9911РОН34555.4711РОН34535.5811РОН34516.7811РОН34522.8911РОН34505.4511РОН34485.3911RON57154174.4911RON57159410.0411RON243690.2011RON477420.2011RON48060.3511RON34600.3511RON45040.3511RON34590.3511RON34580.5511RON181101.0511RON376791.0511RON371371.5511RON392862.5011RON34610.3511RON34570.3511RON4798720.8811RON455559.4811RON455533.0611RON455545.6911RON4557043.8511RON4557117.7111RON4557224.3611RON4556526.8111RON49.2511RON4556935. 0911РОН3071835.8911РОН3071754.4811РОН3071942.6011РОН3071219.7511РОН3071330.9511РОН3071430.8111РОН3071534.9911РОН3071632.4611РОН4557330.8611РОН45578711RON4554913.0211RON4555129.8111RON4557616.2411RON4557722.7411RON4547944.6811RON4549866.7211RON4550554.0111RON4548731.7611RON51148.2411RON540952.8611RON540963.3411RON540975.5511RON540983.1811RON540993.2811RON541016.4511RON541007.0011RON541029.2711RON541038.6011RON347854.5911RON347875.2611RON347897.3311RON347918.8811RON3479210.9111RON6324.6211RON6377. 0011RON6418.6411RON64813.0511RON65319.5011RON65922.7811RON445567.3911RON445574.7211RON286361.2711RON2862111.6611RON286331.4911RON286341.3211RON2863553211RON541092.1411RON541102.4811RON541113.9011RON541125.9411RON285689.5111RON285699.5111RON2857210.4511RON2857310.4511RON512211.3011RON6161.3111RON4.8311RON486599.8911RON3056925.2011RON3057148.9811RON2952223.0411RON2952325.4711RON2952530.1111RON2952737.8711RON2952942.2911RON2953257.7111RON2953956.8611RON2954066.8411RON2954395.9611RON29546159.2111RON29548140. 4811RON30561257.6911RON30564357.1211RON3056596.8311RON3056696.8311RON30567100.1511RON30568118.0511RON41889649.6811RON30576116.9211RON287324.6211RON287335.0011RON2873513.0511RON2873726.9811RON282204.2211RON282224.6111RON2860916.7011RON2822512.8211RON285565.0611RON285575.7011RON2855812.6711RON442064.8711RON287395.3311RON442055.5511RON287405.7511RON2855513.1711RON2955212.9411RON2955544.3311RON29581221.5711RON206121.6011RON3058415.0511RON3058648.3111RON29574627.8711RON29570569.7711RON29561262.4811RON583917. 6411РОН584018.6611РОН584115.6211РОН584359.9911РОН2824038.9211РОН2824252.9811РОН29592198.2711РОН29594351.9511РОН206732.0811РОН2955726.9811RON207316.5211RON5410620.8011RON5405868.7711RON851712.3611RON851818.8411RON852028.3611RON852131.1811RON852231.1411RON852493.9011RON6198.7611RON6257.0811RON6267.0111RON1457919.9011RON47627391.9611RON282149.1011RON2821510.4411RON2821825.5411RON1140820.0011RON37319161.9911RON1141341.0011RON1141521.0011RON287858.1211RON2124441.3711RON2125285.8911RON27340115. 5411RON211767.1211RON2120159.3211RON2122212.9311RON2123226.7111RON96225.5511RON219110.3511RON2742480.3611RON287621.0011RON2621945.2611RON2622065.6911RON28347194.2011RON34150.1411RON452150.6211RON452130.6211RON34140.1411RON452040.8111RON531110.1211RON34130.1311RON531120.1711RON494410.2711RON34200.1311RON296692.1811RON296702.1811RON296712.1811RON288552.1811RON288582.1811RON288592.1811RON288622.1811RON288652.1811RON288642.1811RON179492.0811RON179482.0811RON179502.0811RON179512.0811RON179522. 0811РОН21923.1411РОН2274.3311РОН21934.4711РОН21945.8911РОН4258127.2411РОН5357243.2011РОН5357455.2011РОН92524.9411РОН92542.9411РОН92630.4911РОН33414182811RON344362.9911RON344373.2511RON92710.3611RON1437041.8411RON1437158.2711RON415584.0211RON415576.1511RON4155910.5711RON87461.6811RON87470.5211RON465042.0211RON87735.9511RON420002.9711RON28837.4411RON5029594.0111RON87746.2511RON87792.2011RON87801.0211RON221950.5511RON222478.6611RON222268.9011RON2225107.9711RON221666.1211RON2217108.5611RON22990. 0611RON2218125.2611RON27320116.5511RON27322138.5311RON27323168.5611RON27326234.3511RON27329103.2211RON27225127.7211RON27335172.3111RON27336264.264.22011RON27343171.5911RON27341153.1811RON27345180.2611RON26171193.3011RON2214111.1311RON221181.9411RON2215125.5911RON1458723.3511RON1458925.3911RON430013.3511RON24113.7111RON1458518.7911RON223025.3411RON145949.8311RON2408.2711RON1459513.8311RON1458614.9211RON1458410.9111RON1458225.7911RON24314.4711RON24213.8011RON223121.7411RON223320.8211RON13835.0011RON25062914.0011RON25068970.0011RON5539735.0011RON5539636.0011RON5722355.0011RON5722464.2611RON4854256.4911RON2300649.0011RON5309685.0011RON4971762.0011RON2300767.9811RON4- .0011RON138361440. 0011RON251041132.0011RON2511
- .0011RON250471084.9911RON108172099.9911RON10862799.9911RON10706250.0011RON10709209.0011RON250
2.0011RON250932170.0011RON250952170.0011RON2506
.0011RON250731822.0011RON251261185.0011RON25101914.0011RON25060970.0011RON25051914.0011RON108151700.0011RON250
7.0011RON374- .0011RON23008100.0111RON55394120. 0011RON2300987.5111RON10867524.0011RON4447767.0811RON4448249.9611RON4448049.9911RON4448149.9911RON4447467.3311RON10869214.0011RON5464.9911RON542622.3311RON421346.2111RON462489.4311RON5328565.3511RON409730.3011RON2882112.9611RON5549726.0811RON43039194.9911RON4304050.9911RON4303644.9911RON3444310.3511RON5549921.9411RON150144064.5411RON5425912.3611RON1423826.3611RON5425814.5911RON5425729.6011RON49418963.9011RON49419335.5311RON5558039.8111RON5373315.8711RON5373135.5311RON4295311. 7611РОН4295125.7911РОН5373413.3411РОН5373230.5611РОН4295413.4911РОН4295219.9611РОН4819579.3311РОН4819684.2911РОН243334778.6611RON5509524.8911RON5694374.9011RON1128795.0011RON464146.8311RON488406.2511RON4884921.0011RON200301465.0011RON200511750.0011RON200522165.0011RON200532675.0011RON200543120.0011RON200553685.0011RON200564455.0011RON200575310.0111RON200586000.0011RON200596680.0111RON200607710.0011RON200618570.0011RON200629250.0011RON200339850.0011RON2006310970.0011RON2006412250.0011RON2006513620.0011RON2006614565.0011RON2006715600. 0011RON200311790.0011RON200682350.0011RON200692955.0011RON200703745.0011RON200714500.0011RON200725400.0111RON200736255.0011RON200747280.0011RON200758140.0011RON200769080.0011RON2007710280.0111RON2007811139.9911RON2007
0.0011RON2003412500.0011RON2008013625.0011RON2008115000.0011RON2008216450.0011RON2008317450.0111RON2008418600.0011RON20036715.0011RON20037925.0011RON200321140.0011RON200381390.0011RON2003.1211RON2.7011RON28.2111RON5089411.4811RON508854.9711RON5088820.2211RON5089026.3311RON5089140.2111RON410021.6311RON410126.7511RON410237.0211RON14607105.0511RON54364557.4711RON410617.4111RON410718. 5411РОН412327.1311РОН412421.3711РОН372530.8011РОН1476228.7511РОН410421.5611РОН2389315.1711РОН411418.7211РОН411521.1611РОН411724.5311РОН3444923.2511RON412638.5711RON41294.3911RON34176714.0011RON34179772.4211RON34180869.7811RON34183908.7311RON34184993.1111RON34161668.5711RON34166824.3511RON34171941.1811RON34167824.3511RON554624.3011RON33534.3411RON4119734.9011RON33544.3411RON4119847.9011RON33554.3411RON4119965.5011RON33564.3411RON4120087.5011RON37194.3411RON41201109.0011RON2.3411RON41202129.0011RON49364. 3411RON42485155.0011RON313694.3411RON57659199.0011RON313704.3411RON371424.3411RON48794.3411RON4119521.9011RON247557.0011RON33595.2011RON33574.7611RON33584.7611RON2896026.7211RON2898224.8511RON150244408.1811RON46433359.5211RON25858577.9011RON150276705.3411RON27439251.2311RON2744275.3411RON2744490.4211RON23.4711RON4295958.7611RON2814015.6811RON2
20.9811RON4295827.4911RON4296735.0011RON4296614.9911RON4296440.0011RON28.7511RON29.5011RON2- 8.7511RON2834530.2911RON2833821.5511RON2834023.9711RON858310. 2511РОН858522.8111РОН858622.8111РОН858722.8111РОН85889.3911РОН85909.3911РОН85919.3911РОН85929.3911РОН3015843.1111РОН3015639.5611RON2.6911RON2.6911RON2.5611RON2.6911RON2
.6911RON2.6911RON2.6911RON4354362.4211RON379524.6411RON379613.3511RON379717.7911RON196256102.1111RON4788621.4211RON307589.5211RON3076318.4111RON4667826.5411RON5423210.0011RON2972414.8511RON2972310.0011RON2972213.9011RON2972115.9911RON297208.8711RON3860939.0011RON87826.6411RON532825. 9511RON2671111.7811RON2842547.4011RON2842784.6711RON27028100.4611RON267099.4611RON2671011.6311RON2813537.3711RON27024175.8511RON4752337.1811RON477811RON4752574.3611RON27070301.4911RON27068251.2311RON31998.8811RON27025150.7111RON2703065.2811RON37843125.5911RON988443.9311RON413432.4311RON413634.2511RON4296158.4411RON414319.4711RON414227.7211RON2621313.9211RON5429266.1811RON44326120.5511RON44327120.5511RON2623745.4711RON2397.2211RON326232.4311RON321227.0011RON3775535.2811RON325727.7311RON26229232.1711RON326824. 1311РОН327527.6011РОН2842215.6811РОН2813437.5011РОН326381.8211РОН11451179.6911РОН25751255.4911РОН41554166.1111РОН41169743.7511РОН49428253.1511RON56023279.1111RON56024324.5511RON41622242.0011RON41623320.0011RON41624267.6311RON542062.0711RON542052.2011RON4213012.5411RON5770.6111RON2.9911RON56026337.5311RON5689829.9011RON544202.6511RON452234.2811RON555414.1311RON489539.9011RON5427263.9711RON4660243.9111RON4660327.9411RON5581015.9011RON36634.9111RON243377.5011RON5175923.0011RON5689614.9011RON568979.9011RON98320. 9511РОН558130.9611РОН28951.3411РОН558141.3011РОН558151.1311РОН558161.5711РОН558171.4511РОН98380.7011РОН28930.5711РОН2814920.0911РОН2815038.1811RON2815124.7211RON2815328.8211RON2815454.9311RON2815561.9611RON2815691.2811RON4834410.9711RON1476416.2611RON1460514.9211RON1460124.6611RON224332.2511RON2247106.7811RON1476668.2011RON38693496.3511RON414914.8211RON415016.7311RON415119.4611RON415226.7311RON2555143.1011RON3255116.6711RON3255217.8911RON42
- .9911RON27132175.8511RON2555277.6511RON2543768.3811RON2543579. 9211RON27130150.7111RON3255711.8811RON37821125.5911RON54593925.3411RON1455976.2011RON21.9011RON2
3.2211RON3445311.8311RON3445618.3611RON3445720.5511RON28000202.0611RON28001336.7211RON2801252.8611RON2798852.7511RON2799087.8911RON2799569.6011RON27996104.4211RON27997174.0111RON2799151.3711RON2800291.5911RON28008151.3011RON28009290.4811RON3480145.7711RON10015642.1011RON100161035.3811RON1142225.0011RON1142338.0011RON867913.9311RON4509724.7511RON372911.0811RON3665197.1411RON36664.8011RON973293. 1411РОН2103132.3511РОН2848339.0311РОН3446012.0111РОН3446114.3611РОН348368.2211РОН3483712.4811РОН2873019.4311РОН5442315.3711РОН246255.7111RON339852.5011RON4798146.6711RON4798238.6711RON95981.1411RON95970.9011RON5583379.0011RON5583159.0011RON5583269.0011RON853617.4111RON36672.3111RON36682.1911RON36692.0711RON28.5111RON280.9711RON2820595.7111RON233664231.0011RON409854645.0011RON409863967.9011RON4696211499.9911RON539829398.0211RON409741820.1911RON409802657.7911RON539454579.5511RON2875471.4811RON367024. 0911РОН29833327.7511РОН46726327.7511РОН98405.5311РОН98412.7411РОН98434.8311РОН984513.3211РОН3484325.2511РОН348447.5811РОН4643512.6311RON348468.4411RON755149.0011RON5292240.7911RON888123.9011RON444241.0011RON4013944.5111RON3852442.0011RON36.0011RON52.5011RON5280.0011RON57220559.9911RON5724098.0011RON39.0011RON5288728.9111RON444122.5011RON3852228.0011RON4013634.9011RON5259.9911RON4.7211RON481028.8011RON279139.0011RON5678784.5011RON4153830.0011RON2251616.0111RON2334823.2011RON2334718.3311RON2334625.1811RON2334340.4611RON5592225. 5011РОН4607215.1711РОН2961011.6411РОН4486122.7311РОН2961111.6411РОН2966415.7311РОН2844420.5211РОН2967211.7511РОН2844821.3711РОН2967612.3511RON2967312.3411RON2967411.9511RON2967511.9511RON428808.0011RON296127.5211RON2961813.1111RON296177.5211RON296167.5211RON296137.5211RON2887315.9911RON288746.8511RON251028.6911RON2887511.1911RON2887615.8711RON2966720.1111RON2966820.5211RON2887725.2811RON2888031.9511RON2888337.4811RON2887925.7311RON400929.9011RON25358.3711RON25368.8511RON25379.7611RON2. 5911РОН487216.4511РОН5326914.8211РОН419217.4111РОН5326626.4211РОН419323.9011РОН5326726.2511РОН5326874.2111РОН433873.7811РОН287193.1911РОН22284.8311RON22266.1011RON3485214.7811RON420214.7811RON2728575.3411RON42
.7511RON42.5711RON42.6211RON27286175.8511RON3787490.4211RON27144125.5911RON2727675.3411RON429237.4611RON4292413.8911RON4423817.9711RON4424020.6011RON4249123.1211RON37875100.4611RON2846043.2611RON465126.6211RON465364.8811RON2214446.5111RON575862.0011RON575994.0011RON5760120.0011RON54971160. 0011RON57214160.0011RON3749178.0011RON43132112.4911RON39711143.9911RON4041272.9911RON576198.0011RON5762130.0011RON5763165.9911RON37252209.9911RON42146239.9911RON57265120.0011RON48952200.0011RON53026220.0011RON43467239.9911RON57283280.0011RON57284319.9911RON4067630.0011RON3148936.0011RON5723749.0011RON5723860.0011RON3259051.9911RON5540296.0011RON4054770.0011RON576494.0011RON5765134.9911RON5766172.9911RON43431201.9911RON2405988.0011RON24058117.0011RON24057168.9911RON24056216.0011RON57230251.9911RON57442109.9911RON5767147. 0011RON5768211.0011RON5769270.0011RON40267314.9911RON57217360.0011RON57525404.9911RON43122161.9911RON43121194.9911RON43120281.9911RON40998360.0011RON57218420.0011RON57219480.0011RON55845360.0011RON53822420.0011RON53942194.9911RON4
74.9911RON4- .9911RON5441672.5911RON5582812.0011RON4337219.0011RON3441419.9911RON5723328.0011RON5723430.0011RON5593325.0011RON3141739.0011RON5723549.0011RON5723659.0011RON5593151.9911RON5593274.9911RON5721196. 0011RON5453746.9911RON4095263.0011RON5494884.0011RON5453895.0011RON57252134.9911RON57253154.0011RON5494759.0011RON5494677.9911RON54935112.9911RON52379143.9911RON57212167.9911RON57213191.9911RON577029.4911RON577138.9811RON577260.0011RON577376.9911RON5721090.0011RON4248341.6511RON5378344.5511RON5378673.7611RON5378779.7911RON5378887.3111RON5378999.3511RON537
.3911RON537
.4211RON537.4811RON53793147.5211RON53794177.6311RON5510215.9011RON5510349.9011RON5510472.9011RON27234216.8511RON4144627. 5211RON2542262.3811RON2812152.2411RON5322816.9011RON46021409.6511RON42655603.2111RON42656703.7211RON4
18.7211RON18080649.0011RON18084580.3511RON18083599.0711RON180771072.5911RON40069871.0611RON55885144.9711RON54308219.9011RON5050276.9011RON54984345.0011RON492 - .0511RON27498251.2311RON37523200.9811RON25398139.9411RON54009349.6611RON54008113.6911RON35740349.9911RON35742474.9911RON4995028.7611RON51767100.0011RON463706.9711RON25396.5311RON254012.3011RON252635.3811RON5753214.9911RON2526716.6611RON420311. 4711РОН483811.8611РОН456251.6711РОН456262.4311РОН143835.3911РОН1438412.0311РОН1438517.2811РОН1438623.1111РОН143873.2211RON143884.5011RON143908.5011RON1439113.8011RON456195.4011RON4562010.0411RON96383.0811RON96394.2111RON96416.2511RON964310.0111RON964412.4011RON135046.6011RON96516.1611RON96454.8311RON96485.6211RON484655.1511RON4687412.7611RON4827816.7611RON4828059.9911RON5678659.9911RON516521.7911RON339942.6911RON339952.9511RON339962.9511RON339973.3111RON339983. 5211RON339994.4711RON30870110.3211RON29
5.5511RON29
1.7511RON4186666.7911RON5556782.9911RON1484347.1511RON1484433.7011RON1484541.9611RON1484613.3911RON4348013.8511RON4348115.0111RON2935118.7211RON4028418.7711RON4348322.6111RON4387714.9711RON4388015.8911RON4421520.8811RON55573165.1211RON2639319.3911RON34959.0011RON26214.2111RON34948.0111RON5422774.4911RON460714.6311RON1999. 7811РОН221011.2611РОН220912.2211РОН1165217.8111РОН1165421.2911РОН24415.5711РОН400819.0411РОН220718.8911РОН587119.4011РОН116579.1611РОН42035412.2211RON5426710.2711RON5426619.1611RON3412023.8011RON3412432.5711RON173930.6711RON174055.1411RON1741100.1911RON1743160.6011RON56937179.9011RON2260894.3011RON2260527.1911RON1765784.2411RON3852124.0011RON3851620.0011RON5297123.6711RON5323120.9011RON5120113.4911RON457689.5011RON54307139.9011RON5296936.5411RON5297714.4511RON5297618.2911RON5298112.9411RON5298014.8211RON5297913. 6911RON5297815.6711RON5119912.9011RON3831824.8911RON457748.9011RON5298421.7111RON4065314.9011RON47563257.8311RON5394421161.4011RON54626754.7511RON927211.6011RON92734.6911RON92752.7711RON1447511.5411RON1447312.7311RON1447213.2811RON1446914.6011RON1446815.7111RON1445821.1311RON1445723.1611RON341417.1811RON341459.7911RON341497.1011RON341524.3211RON928755.3011RON928921.7811RON929112.4011RON929210.1311RON929313.0211RON929412.2911RON929713.4611RON929919.1511RON929811.5011RON93018.8911RON96790. 6911RON335020.4011RON93120.5711RON341723.1911RON341783.5111RON341655.8311RON370024.1011RON4759761.2611RON4759561.2611RON4759620.4411RON335284.361116311RON3353512.4911RON335363.5711RON93303.0911RON434156.8711RON933824.9111RON93480.9311RON335436.8811RON335415.1511RON335443.1111RON335463.6911RON93508.1311RON496285.9511RON496306.4511RON496296.4511RON430810.9211RON5470637.0011RON5297543.4411RON33985.5911RON33976.1911RON33965.1411RON33955.2611RON33945.2611RON33939.6211RON339210.5311RON339110. 7511РОН339011.2011РОН338813.8011РОН33877.6611РОН33866.9711РОН33857.4511РОН33848.0811РОН33839.0411РОН33816.2611РОН33807.3711РОН33795.3911РОН33786.30186.5016611RON55054191.5911RON2728145.8111RON2728354.4111RON2728459.8911RON2727930.1411RON350420.9411RON26203117.1011RON351848.5911RON26154106.8611RON26199123.0811RON4430650.1311RON2612536.2811RON2612646.1511RON2612757.7611RON2600316.2611RON2612219.9911RON2612325.7311RON2616466.0211RON26167104.7311RON43066190.0011RON43069204.9911RON28421124.6611RON42939949.9911RON261568.9011RON2729620. 5611RON4306179.9911RON2614696.3711RON2613931.5011RON2614036.7711RON2614244.2411RON43048100.0011RON43051160.0011RON43057180.0011RON4305390.0011RON2616930.4911RON2879520.3511RON2879830.8911RON2879730.8911RON2879630.8911RON36929.3311RON465494.0511RON4656122.9211RON466045.4611RON466173.0511RON1071387.0011RON4657159.9411RON4659161.8411RON4658146.1111RON108641050.0011RON10851499.9911RON44169600.0011RON10843262.0011RON11004387.0011RON37275530.0011RON3732387.0011RON1096554.0011RON1099077.0011RON935415. 6511РОН935510.2111РОН935613.6711РОН936110.8911РОН93632.2311РОН936411.9011РОН93662.3611РОН93701.3911РОН5306411.3011РОН2351019.5611RON535576.5911RON4441410.5311RON444139.5411RON4442212.4511RON42481267.7511RON546889.5011RON7328102.4911RON5469129.5011RON5470157.1511RON5471197.6011RON24700242.0011RON494269.9611RON494374.9011RON5686075.2011RON2008525.0011RON2008639.0011RON2008753.0011RON2008869.0011RON2008987.0011RON555.5511RON30048105.5511RON295.5511RON29
5.6911RON5408818369.9911RON17679229.9911RON5694694.9011RON56947529.9011RON2650512.7911RON2650615.0411RON5004110.9211RON474847.4311RON474995.4511RON475007.4311RON979110.6411RON979212.8211RON979314.2411RON979417.4611RON1437331.0811RON255114. 6511RON255219.1011RON255330.4211RON255551.7711RON2765015.2611RON2765218.4511RON2765519.0411RON2765730.1711RON3775318.0311RON61251.6011RON276706.7111RON276727.3811RON276767.9511RON2768110.6311RON2768913.1111RON2769114.3411RON2769920.2311RON519735.8511RON5198016.7111RON438525.7711RON438536.9511RON438557.3811RON438568.2711RON4385813.1111RON4386218.2211RON4386412.7611RON4386514.5111RON2770232.7311RON2771096.6011RON4749112.8811RON474899.9111RON4749012.3911RON474948.4111RON4749511.8911RON4386625.2511RON4386728. 9211RON4386829.7911RON4386926.3011RON4387028.7711RON4387133.6111RON4387228.5611RON4387331.4411RON4387534.5111RON3615912.5911RON288678.0011RON288688.7711RON267389.0811RON3266465.1011RON5596226.6711RON5757759.9011RON5757660.7611RON5757477.5911RON5757365.1011RON57571117.5111RON57570117.2411RON5756971.1811RON5757271.6111RON279823.3111RON279812.4311RON2618699.9011RON279808.5711RON279797.6411RON279786.1611RON279775.0911RON267657.8511RON267678.6311RON2714180.3611RON2714070.3111RON49948235.6211RON49949235.6211RON294837. 1311РОН966075.3311РОН4967773.8311РОН8543108.1811РОН5327160.5911РОН494966.1911РОН494978.6211РОН494822.8111РОН357348.0211РОН4950010.8311РОН143782.2111RON143792.0611RON143803.5311RON542642.6911RON143815.4811RON495014.7811RON4950217.0811RON458291.6311RON257119.2511RON456051.7911RON306784.5711RON306807.2511RON456078.1411RON4560124.8811RON306672.0111RON306694.6911RON4559811.0311RON56445.5511RON5295930.0011RON5296165.0011111111RON5295930.0011RON5296165.001111105.5511RON295.2511RON34061.1911RON340121.3311RON340041.1411RON340060.5711RON340090.8811RON34070.9311RON54256270.4911RON29
5.0011RON5458
9.9911RON564444198.3211RON47.5311RON3448641.9811RON37302655.0011RON11046196.0011RON11096574.0011RON11087181.0011RON11088320. 0011RON10756387.0011RON11083309.0011RON11070511.0011RON11071517.0011RON11075273.0111RON48789316.2511RON4700578.9711RON36299373.7611RON36296477.2511RON46574343.8511RON4
61.2511RON36300402.5111RON36297414.0011RON53931723.1611RON5510189.9011RON56948534.9011RON1457319.4211RON2836858.1111RON2836641.9811RON2836745.9111RON2798920.0911RON27984110.5611RON27261119.8111RON2226041.9511RON1480436.3211RON3439612.6711RON3440026.0311RON4145843.6711RON2223189.3111RON28119130.3911RON2582950.7911RON2542378.6511RON4508821.3011RON422715. 6011RON422815.5811RON3243412.2511RON3485935.2011RON27502115.5411RON27493190.9211RON37522150.7111RON424177.5511RON4799812.3611RON4993519.7411RON3254916.7711RON3486115.1511RON423314.5711RON37813100.4611RON421314.0811RON424215.9011RON3486216.5411RON3239215.8511RON2564891.8211RON2564743.4211RON2563865.6011RON2540867.9511RON2539682.3811RON4428315.7711RON4628213.2911RON34368428.4011RON34370493.3111RON243014778.6611RON2775620.7311RON150043017.5311RON1500937444.2911RON1500832776.9411RON2775752.2911RON250709. 1611РОН4666414.7311РОН5339148.2111РОН534120.3811РОН534237.1311РОН436924.6711РОН534318.3611РОН534420.8811РОН5359540.0011РОН4799634.2011RON3402410.4611RON2597914.5511RON2598419.1911RON463726.5411RON533509.3211RON5335214.4811RON5335111.3811RON533489.3211RON25836.0811RON4951739.8311RON1002412.8611RON27222100.9411RON4483321.4911RON448799.1011RON4488014.6611RON2893212.5811RON4482615.9711RON459156.0011RON459176.0011RON448865.9511RON448875.9511RON448756.2111RON448298.3311RON448398.9711RON448408. 9711RON4568925.2311RON4473011.6111RON3487014.7611RON36734.6911RON5653.0211RON36744.8411RON4876124.6111RON224138.1011RON224149.2911RON519693.0111RON2240929.5211RON367822.7511RON368311.4711RON368411.3911RON56412.0811RON368012.3211RON367211.3911RON4098749.3811RON34040151.5911RON34043151.5911RON24992337.0011RON46171504.0011RON24995223.0111RON10582504.0011RON50118479.5511RON10568567.0011RON4606212.2711RON53273125.5011RON368911.2611RON368816.5211RON369018.8011RON369148.9111RON41369544.0011RON55942340.3311RON42029192. 9611РОН33057647.6311РОН42031155.4511РОН52766480.7611РОН25868198.9011РОН54368218.0711РОН53719227.2711РОН54366381.1811РОН54367639.6711RON530197866.8911RON419426140.4011RON4194541573.0811RON3673243030.3011RON1505641140.1411RON1505522518.3111RON271011507.6511RON24385423.8211RON41366750.0011RON247011683.5811RON32264154.9411RON3226347.5011RON26.1811RON1471514.1411RON1471616.3511RON147179.3311RON3410016.3511RON3410418.5611RON3410218.5611RON4463639.7211RON4463743.1811RON4463839.7311RON4463972.5411RON4462613.4711RON4464046. 5811РОН4464189.9811РОН4464271.8711РОН4462910.3311РОН44643163.4911РОН4463213.8711РОН4463317.2711РОН4463524.6111RON4464641.2311RON4464857.5811RON4465075.1311RON5441014.2811RON4602525.8811RON541154.6611RON541144.6611RON542605.2711RON5430917.2511RON44694.8711RON1864624.1011RON1864728.8711RON1879022.6511RON1879118.9611RON1865238.1011RON1865034.7111RON1866524.8711RON1865919.4811RON473621.4911RON1868227.2811RON473821.6311RON473923.1811RON474024.7411RON472914.8411RON473017. 8811РОН473218.6611РОН473320.5711РОН4543314.3811РОН5695011.9011РОН4397617.8511РОН440187.2111РОН4237911.9011РОН4241010.4911РОН4237811.4911РОН240829.7011RON2408310.7711RON2408411.7211RON4605115.8011RON4941317.8511RON1209928.1311RON1210218.4911RON1210330.8911RON1210432.3011RON1881735.9811RON1882430.8911RON1209227.2811RON1211130.3211RON1211232.8011RON1211839.9411RON1212042.9811RON472317.7411RON472416.8211RON472517.6711RON472618.9411RON47159.7511RON471612.3711RON471715.2011RON471814.0711RON471915.4111RON1206522. 7611RON1206624.5311RON1206726.5111RON1207624.9511RON1207726.0111RON1207428.2711RON5439110.1111RON5440110.0011RON54930101.9911RON57559157.0811RON474220.1711RON474118.6711RON26
5.0111RON56557235.0011RON56560415.0011RON565352100.0011RON2016122.0011RON2016032. 0011RON2015943.0111RON2015856.0011RON2015770.0011RON5652083.0011RON2015692.0011RON20155110.0011RON56521130.0011RON20154140.0011RON20153179.0011RON20152200.0011RON20151230.0011RON20150280.0011RON20149295.0011RON20148365.0011RON56524399.9911RON56525459.9911RON55684570.0011RON20147820.0111RON201461290.0011RON5424615.0111RON565321780.0011RON51328117.9911RON51334117.9911RON52970273.1411RON4460136.1511RON4460541.3511RON4461552.7211RON3127630.4011RON5774830.2211RON3127834.2011RON3127948.9611RON3128048.1911RON3128172.2811RON3128268. 7111RON3127524.7511RON42011590.4211RON85477.5111RON27405165.7911RON27406301.4911RON10449847.0111RON133461200.0011RON133471047.0011RON133411010.0011RON133371120.0011RON10454717.0011RON133481214.0011RON1334.0011RON10443821.0011RON10444831.0011RON44657121.3111RON44658142.0011RON44651154.3111RON38358109.0011RON38360134.0111RON4146655.0011RON4146772.9911RON4146870.0011RON4146985.0011RON4147077.0011RON4147195.0011RON4147290.0011RON41473110.0011RON5716447.5011RON4146037.1311RON586852.0011RON5716555.0011RON586963. 5011RON4146156.0011RON1717765.0011RON5716665.0011RON1717387.0011RON4146260.0011RON1717970.0011RON5716771.0011RON1717485.5011RON4146366.0011RON1718082.0011RON55
2.0411RON5716880.0011RON5000100.0011RON55844148.4611RON5716131.8011RON5716238.7011RON498.2011RON36094216.3911RON49422209.3811RON569338.4611RON38366101.0211RON38369119.0011RON56438129.0011RON5736199.4411RON43226116.9111RON43238100.1011RON43240100.1011RON43241100.1011RON30888101.9211RON2818487.4111RON2818287.4111RON29370.3811RON29351. 2411РОН29361.1411РОН475260.5511РОН224199.4711РОН56710.4411РОН56918.7211РОН3440315.2911РОН3440529.4311РОН3440622.4411РОН3440722.4411RON34411101.2611RON293813.1511RON29446.4711RON3241710.8311RON3242410.6111RON324257.4311RON3240618.5811RON3240718.5811RON3114465.8411RON2969525.3811RON2966637.5011RON2968829.3111RON89154.0811RON3366514.4111RON336668.7211RON336689.7211RON3366213.9611RON3367315.0211RON476699.6611RON3367610.7511RON3367820.6311RON3367921.7411RON3368023.4011RON3368119.3511RON3368216. 6611RON3368620.5411RON3368721.4211RON4767124.5311RON4767025.7411RON3369219.9211RON1400820.9011RON1400916.3611RON530239.0011RON184.0011RON10392464.0011RON125.0011RON42132669.0111RON5357527.6111RON5357633.0011RON5367032.9011RON442244.9911RON4063020.0011RON29465.1611RON2722887.4811RON27229364.9011RON493930.9411RON294712.7411RON176016.7711RON174821.0011RON27.4311RON2789519.8011RON2664717.0911RON2789417.4911RON27
.4911RON27.4911RON2666120.7411RON43.4911RON2664616.1711RON27. 4911РОН176528.0011РОН176756.8711РОН182544.4211РОН184713.5911РОН167820.1711РОН183313.1111РОН183414.3311РОН183514.9611РОН176217.4711РОН183913.4011RON185512.3411RON185613.8511RON183112.4011RON183214.2211RON2665016.2611RON27.8511RON2665716.1411RON2792313.7111RON2665416.2611RON27
.2811RON2665816.2611RON2665516.4911RON2792213.4111RON2666520.7411RON27.2811RON2666423.9311RON27.8511RON23315.8411RON184012.7611RON1404713.3911RON177011.9011RON183012.6911RON23613.9511RON4631725.0311RON4631925. 0311RON2788314.6111RON2663533.6511RON2663330.7111RON27.3011RON2792817.9311RON27
.8911RON30.8911RON4251310.8211RON425063.3311RON425073.2511RON425084.5311RON425096.8111RON425129.8811RON4338119.7911RON4332010.1711RON4332113.1411RON4332322.4711RON4332424.1911RON4332511.6611RON4332715.6211RON4332817.9811RON4332923.5611RON4333025.3211RON218321.4411RON21828.3311RON218110.7111RON218012.2811RON217915. 2111РОН4333211.5211РОН4333417.0611РОН4333519.5211РОН4333610.1411РОН4333712.5211РОН4333816.9011РОН4333915.8911РОН4334019.4311РОН2717614.05114.РОН28500511RON445234.8811RON285326.6911RON285338.3311RON2853510.9711RON284668.2611RON2846710.2511RON2848019.3711RON285044.0911RON285054.9311RON285076.7811RON216810.0711RON2303.1211RON2314.3811RON2326.0511RON21706.1611RON21698.4311RON10405843.0011RON223907.7011RON223928.3311RON3420026.4911RON3420129.5711RON3419649.7911RON3419753.9911RON1451812.8411RON1452034. 9111RON4426915.3311RON4427016.6411RON4427118.4511RON4427220.5511RON2379867.9811RON1453530.8611RON2486312.7011RON145379.1911RON2803815.4811RON28044445511RON1451041.6511RON1451153.5511RON348924.3111RON2380051.9811RON2681014.9711RON268088.3111RON2681211.2311RON268137.1611RON2681411.0811RON268156.6911RON268167.1611RON439404.6211RON439415.4311RON2680017.9711RON2680124.2411RON2679318.4811RON2680419.4211RON223935.5511RON43685.9511RON8104.9611RON141944.8711RON141968.1811RON2226.1611RON2679817.8111RON2679919. 9211RON2680227.3311RON3812751.0011RON2679116.4811RON2679220.7911RON2678819.5511RON466248.4811RON466337.7711RON466449.9611RON1453811.6111RON14195126111RON43455164.3611RON313917.3811RON313937.3811RON313927.5811RON3139413.0611RON6864.7611RON6902.3011RON69321.5011RON69678.6011RON77481.6911RON58527.7011RON58537.5011RON585410.7011RON585510.0011RON585613.6011RON585844.8011RON585941.7911RON586059.0011RON586155.8911RON69833.0011RON5862101.5011RON2205630.0411RON89646.7211RON4700646.7211RON416422. 3811RON539130.8611RON5808.0711RON141924.1411RON141622.4211RON141609.2711RON141666.0611RON1455684.8211RON4626692.9411RON216164.8811RON2163161.0211RON19311RON5307894.0011RON35840236.3811RON14548160.7011RON14550124.2111RON42043216.8411RON42040118.9311RON2470482.7611RON41357280.0011RON1455723.5311RON1459752.8811RON1459849.7811RON536020.2211RON29757111.2711RON3009651.2911RON2736424.7911RON2736314.1011RON2736521.0511RON4374249.4711RON2736776.2311RON27378184.5511RON27377142.5511RON2810137.0311RON4641642.0311RON4641747.5511RON4642053. 9111РОН4641552.1511РОН4641446.2111РОН4641132.8811РОН25876137.4411РОН4784431.1811РОН4785732.3311РОН87510.3611РОН87543.0611РОН2230413.4711RON2344711.7211RON5505910.0011RON549754.6511RON34203235.6211RON3420533.4411RON3420638.8111RON4180875.1811RON4180977.1611RON3420926.1811RON4800769.2211RON4800147.0311RON4800536.3511RON4799941.1511RON4800415.2711RON4800015.5111RON4800320.0911RON4801031.4011RON4593868.0011RON45940155.8211RON4594198.6511RON4593357.6311RON4794632.7711RON3077510.1411RON4582050.8811RON55421192. 0011RON41440262.7911RON549706960.5611RON33991.4511RON5544859.2011RON5544525.0011RON5545454.4011RON45150165.0111RON45151195.0111RON57780428.4011RON45147135.0111RON56789165.0111RON567.2811RON2665948.6211RON4767650.0011RON4767717.2411RON47.0011RON5357033.0011RON5357142.0011RON30- .0111RON56788135.0111RON45139119.2911RON5454679.5311RON45141198.8011RON45140159.0011RON45142159.0411RON45143119.2911RON5456379.5311RON56934235.0011RON45144189.0011RON45146279.0011RON3840042.7211RON5459625.0011RON2370846.6111RON521349.0011RON521431.5011RON1159429.0011RON1159325.5811RON3957329.0011RON2941449.0011RON575244. 9911RON1159643.7911RON2420945.0111RON533746.5111RON1159542.0011RON26844.9011RON26628.9111RON26726.6011RON54545190.0011RON4010342.9911RON3881843.7911RON3839929.0011RON3869927.0011RON553352424.6211RON55337292.7411RON3364710.5111RON3364812.8611RON336584.8711RON336594.6911RON336609.4511RON3366111.4111RON5777920.0011RON5544080.4711RON55438100.8611RON55430117.1211RON55432319.8911RON5542430.6911RON5542535.5411RON5542648.4711RON5542759.7711RON5542871.0811RON43230298.6911RON3140934.3011RON56443500.0011RON5027657. 2311РОН5549463.8411РОН5549563.6511РОН5549674.1711РОН54406261.6011РОН21552.5811РОН21543.1811РОН57069199.0011РОН57068169.0011РОН57188150.0011RON571
.0011RON57194215.0011RON57189175.0011RON57196265.0011RON57203655.0011RON4249626.2211RON55540252.4811RON2150118.3511RON2149169.3711RON2148207.9411RON2144393.5111RON2143121.2611RON214185.8711RON2140160.3211RON2139180.7311RON2138166.4711RON2137113.4911RON2136121.9311RON2135161.5111RON2132197.8911RON297291.8111RON297321.8111RON297371.8111RON297381.8111RON297281. 8111РОН54928809.8711РОН55960549.7811РОН55526420.0711РОН554041450.6111РОН4153360.4911РОН5495182.9911РОН4275190.4411РОН863122.3911РОН5581972.4911RON57533125.0011RON369.2011RON416.1011RON41534125.0111RON42762167.9011RON42756283.2211RON57107134.4711RON41535235.0011RON42769304.9311RON30150445.0011RON42765371.2811RON42766270.2511RON41488118.9911RON57204141.6111RON41487154.6911RON41486106.9811RON57205178.4911RON5583461.5211RON55839178.9811RON55840232.6211RON55835107.8111RON55857243.9511RON55843133.2811RON40936247.0011RON569222450.0011RON562.0011RON410. 0011RON56895310.0011RON569.0011RON2024049.0011RON2024163.0011RON2024357.0011RON2024676.0111RON20245100.0011RON20244125.0011RON20233261.0011RON54647312.9911RON20214130.0011RON20212156.0011RON20232209.0011RON57787175.0011RON57786380.0011RON2021955.0011RON438617.5011RON2019422.0011RON438527.0011RON586733.0011RON2021543.9911RON2022170.0011RON438421.0011RON2019526.9811RON438333.0011RON2021655.0011RON2022384.0011RON438224.0011RON438133.0011RON438040.0011RON2020350.0011RON2021767. 0011RON5650729.0011RON5650838.0011RON20224110.0011RON437932.0011RON437842.9911RON437754.0011RON2020467.0011RON2021889.0011RON5778954.0011RON20226139.0011RON437567.0011RON2020584.0011RON20220110.0011RON20227165.0111RON44086200.0011RON2020684.0011RON4374100.0011RON20222134.0111RON20228195.0111RON5778899.0011RON2020899.0011RON20207117.0011RON20225155.0011RON20230225.0111RON20211110.0011RON20209135.0111RON4767179.0011RON20231250.0011RON20213125.0011RON20210150.0011RON20229200.0011RON5580749.5011RON5580649.5011RON5580449. 5011RON5580549.5011RON41932125.3611RON44246208.5211RON5496897.6011RON4425748.0011RON44264292.8011RON4192659.2011RON4192788.0011RON41928116.8011RON41929146.4011RON44262176.0011RON44263235.2011RON41.4011RON41922280.0011RON41923336.0011RON41925440.0011RON41.0011RON41
.6011RON418.0011RON414.0011RON518191.9411RON518290.6311RON5176101.2711RON5177162.5411RON5178199.5611RON5184251.6311RON5185311.9911RON32768.2811RON5455441.6711RON440638.1811RON5455339. 5211РОН3719238.1811РОН440737.1411РОН5455238.6511РОН5455541.6711РОН3957271.8311РОН440866.7511РОН5455975.7911РОН3719366.7511РОН5456075.7911RON440965.8711RON5455875.7911RON5456285.3211RON4257181.6711RON4257481.6711RON4257280.0811RON5548187.2211RON326.0011RON30623162.9911RON4621175.0011RON4618175.0011RON4619175.0011RON4620175.0011RON56681170.0011RON56679170.0011RON56680170.0011RON56682170.0011RON40235170.0011RON56683170.0011RON56684170.0011RON55200115.0011RON55202115.0011RON55210115.0011RON55211115.0011RON55203115. 0011RON55204115.0011RON55205115.0011RON55208115.0011RON38342100.0011RON55195100.0011RON55196100.0011RON55199100.0011RON38343100.0011RON38344100.0011RON551.0011RON38345100.0011RON55193100.0011RON38346100.0011RON55194100.0011RON32825169.0011RON32823169.0011RON32824169.0011RON25842197.6011RON48078750.0011RON42048131.8511RON42046271.4611RON54360193.3211RON3.1011RON441018.2511RON441116.5111RON3695517.5411RON5455616.5111RON441216.2711RON3695617.3811RON441418.2511RON441728.1711RON441525.4811RON5454726.1911RON441325.4811RON441625.2411RON5199425.8711RON4928228.1711RON5455037.3011RON441834.2911RON5454835. 2411РОН655534.2911РОН441933.8911РОН5454934.7611РОН5455137.3011РОН552762260.0011РОН55277455.0011РОН55278680.0011РОН55279905.0011РОН552801140.0011RON552811355.0111RON552821820.0011RON2422776.0111RON2422576.0111RON2436576.0111RON2422676.0111RON3976177.0011RON4096077.0011RON4096177.0011RON4096277.0011RON1255776.0111RON1255376.0111RON1255476.0111RON1255576.0111RON1255676.0111RON1254297.0011RON1253897.0011RON1253997.0011RON5671497.0011RON1254097.0011RON1254197.0011RON56752110.0011RON56740110.0011RON56741110.0011RON12547125. 0011RON12543125.0011RON12545125.0011RON12546125.0011RON12552137.0011RON12548137.0011RON12549137.0011RON12550137.0011RON12551137.0011RON1253662.0011RON1253762.0011RON1253362.0011RON1253462.0011RON1253562.0011RON3480467.0011RON3786867.0011RON3786767.0011RON3480367.0011RON3786667.0011RON1256277.0011RON4096577.0011RON3974077.0011RON3894577.0011RON3832377.0011RON1255877.0011RON1255977.0011RON1256077.0011RON1256177.0011RON55555107.0011RON57893107.0011RON55938107.0011RON55818107.0011RON55924107.0011RON2854695. 0011RON5756095.0011RON5723295.0011RON2853795.0011RON2854595.0011RON2849995.0011RON2896695.0011RON28539109.0011RON28547109.0011RON28540109.0011RON28548109.0011RON28969109.0011RON28550135.0111RON28506135.0111RON28541135.0111RON28971135.0111RON4457659.0011RON4600259.0011RON4600359.0011RON4457759.0011RON4600459.0011RON4107761.0011RON4107861.0011RON4107961.0011RON4108061.0011RON4108161.0011RON4210160.0011RON4209760.0011RON4209860.0011RON4209960.0011RON4210060.0011RON3119365.0011RON3672865.0011RON3
5. 0011RON3119265.0011RON3230665.0011RON4210265.0011RON4210565.0011RON4210665.0011RON3982275.9911RON4373773.9911RON4373973.9911RON4374073.9911RON4373673.9911RON4374173.9911RON38.0111RON4105475.0111RON4105575.0111RON4105675.0111RON4105775.0111RON2848975.0111RON2851875.0111RON2855175.0111RON2855275.0111RON2895675.0111RON3982377.0011RON4080377.0011RON5429677.0011RON4458075.9911RON5539075.9911RON5777875.9911RON4599975.9911RON4600075.9911RON4458175.9911RON4599875.9911RON4105877.0011RON4105977. 0011RON4106077.0011RON4106177.0011RON4106277.0011RON2849675.0111RON5552375.0111RON5777675.0111RON54.0111RON5495875.0111RON2852575.0111RON2855375.0111RON2855475.0111RON2896175.0111RON40789100.0011RON407.0011RON56739115.0011RON56737115.0011RON56730115.0011RON12587100.0011RON40994100.0011RON39821100.0011RON56726100.0011RON54713100.0011RON12583100.0011RON12584100.0011RON12585100.0011RON56723100.0011RON56724100.0011RON12586100.0011RON53084100.0011RON53089100.0011RON57603100.0011RON530.0011RON530
.0011RON57476114.0011RON55653114.0011RON54960114.0011RON28993114.0011RON28994114.0011RON289.0011RON39737114.0011RON2898899.0011RON4459299.0011RON4458999.0011RON5759599.0011RON5467899.0011RON2898999.0011RON2899099.0011RON2898799.0011RON3973699.0011RON3835197.0011RON5524297.0011RON3834797.0011RON3834897.0011RON3834997.0011RON3835097.0011RON55216110.0011RON55233110.0011RON55225110.0011RON55227110.0011RON55217110.0011RON55218125. 0011RON55251125.0011RON55252125.0011RON55253125.0011RON55267137.0011RON55261137.0011RON55221137.0011RON5440462.0011RON5513862.0011RON5514762.0011RON5514962.0011RON5515062.0011RON5514062.0011RON5438762.0011RON5514462.0011RON5514562.0011RON3842577.0011RON5518977.0011RON5518477.0011RON5518577.0011RON5518877.0011RON3842677.0011RON3842777.0011RON5518077.0011RON3842877.0011RON3842977.0011RON5515667.0011RON5437376.0111RON5517676.0111RON5517876.0111RON5516976.0111RON5516676.0111RON2899579.0011RON4145279. 0011RON2899679.0011RON57567175.0011RON57563167.0011RON57564175.0011RON57565167.0011RON56775175.0011RON56769175.0011RON56770175.0011RON56771175.0011RON56772175.0011RON56773175.0011RON24093162.9911RON24089155.0011RON240- .0011RON53093100. 0011RON53083100.0011RON53085100.0011RON53086100.0011RON289
.0011RON54530155.0011RON240463.1911RON51562899.6411RON295032.9611RON294923.9511RON42659401.5111RON44220436.9411RON42015372.0311RON15061280934.9611RON14405551.3611RON57414402. 4211РОН295257.0611РОН28105287.5311РОН4459618.0211РОН4459818.6211РОН4194655580.3711РОН4194751990.1111РОН4998251335.4211RON9535392.1611RON360642242.6311RON360692814.6611RON46086237.0511RON54087257974.9811RON48221434.5611RON536782600.1511RON421581430.0811RON181051235.0811RON42059187.5911RON46027340.8011RON485401007.5611RON18109539.5311RON18108650.0411RON536611708.9911RON423801788.0011RON292605.0911RON292574.9311RON292726.4711RON292747.0411RON292827.4511RON292838.0211RON292656.2811RON292868.5911RON292879. 5911RON292889.8111RON2929010.9711RON48157.8511RON2337213.7411RON4625110.1311RON481211.4811RON247148.5611RON48138.5611RON4221110.5611RON481410.4511RON465112.0711RON860014.2811RON860125.1711RON95414.7611RON95435.5911RON466728.0011RON468318.8711RON468655.3111RON470040.4511RON470223.3811RON470339.9111RON470524.6611RON860313.3611RON860447.2011RON860571.1411RON328550.0511RON5534283.4911RON552
.1611RON55345208.7411RON5534751.9311RON55348103.8611RON55350422.7211RON34
. 0711RON5529747.3611RON362881.6811RON552
.9011RON342.5111RON40838389.9011RON4721119.2411RON4084340.5911RON2814854.4411RON3808465.1211RON408511RON40846242.5211RON4746935.6911RON4988514.8311RON4988721.3111RON474831007.2811RON498882014.5511RON4747887.0611RON47479145.2611RON28147700.0811RON2814229.8811RON2814373.1411RON2814497.1011RON28145111.8011RON28146179.8911RON47389449.9611RON4760311.8911RON4760414.3611RON4760518.8311RON49484399.8211RON4760612.8811RON4760716.3511RON4760821.8111RON5355022.8011RON3648620.4111RON138717. 9111РОН37834.5711РОН37845.3511РОН37856.6211РОН37879.0911РОН378810.1411РОН2781817.9711РОН4427542.8911РОН4427650.1911РОН4427330.8911RON4427437.4811RON4338518.3111RON2872823.1111RON225325.1811RON21112.8211RON2533357.1711RON25347152.0811RON2534250.4111RON1003429.9811RON1003528.6411RON3492534.9911RON4746130.3211RON4834111.9211RON484645.3811RON5001311.4411RON484634.5811RON97084.4611RON97096.2511RON97107.1611RON97186.5811RON97117.6311RON97163.4211RON971712.9511RON4762925.4911RON54424159. 8911RON399616.5111RON399722.0011RON449524.0011RON435517.0111RON3752523.0011RON2364628.0011RON54742159.8911RON16957158.6611RON20111700.01112111RON2010011RON201131230.0011RON201141550.0011RON201151890.0111RON201162270.0011RON201172700.0011RON201183100.0011RON201193600.0011RON201204100.0011RON201214700.0011RON201225300.0011RON201246499.9911RON201257900.0111RON201269900.0011RON2012712000.0011RON20110515.0011RON20142915.0011RON201411150.0011RON201401375.0011RON2013
.9911RON201381890.0111RON201372175.0011RON201362500.0011RON201352850.0011RON201343270.0011RON201323999. 9911RON201305200.0011RON20145470.0011RON20144600.0011RON20143750.0011RON4133212.9711RON483112.9711RON4133323.3411RON3262923.3411RON413287.5411RON48297.5411RON413298.2911RON48308.2911RON4133010.4711RON2448310.4711RON4133778.6511RON482881.6111RON41338120.3011RON38820143.1611RON4133455.3011RON482658.6311RON4133564.8111RON482764.3711RON4133669.6011RON3884569.2111RON5699821.9911RON5700246.4511RON5700349.2311RON4771124.4911RON5421414.2711RON4081519. 4911RON821015.9011RON5470024.9911RON5552442.9011RON4132013.4911RON820910.9011RON2436713.5111RON3943510.9011RON5505639.0711RON2010554.758711RON32911RON20109195.5211RON376754.7611RON376765.3511RON41663117.1911RON41664172.5511RON41666144.8911RON480266.9011RON4166088.9011RON4803102.3411RON41441121.6211RON399810.5011RON399913.9911RON449423.0011RON
SAP APO - SNP Оптимизатор Ограничения
Планирование поставок является важной функцией в каждой отрасли, которая пытается достичь баланс между обслуживанием клиентов, целевыми запасами и использованием ресурсов. Основная роль специалиста по планированию поставок состоит в том, чтобы предоставить тактический план, который своевременно удовлетворяет спрос, охватывает цели страхового запаса в распределительных центрах в сети цепочки поставок, а также обеспечивает эффективное использование ресурсов на фабриках.Планировщик поставок в основном работает над интеграцией производственной и торговой стороны бизнеса и стремится оптимизировать обе стороны.
Функция «Производство» всегда предпочитает производить в соответствии с экономически эффективными размерами партий, минимальными переналадками, производственными циклами и иногда другими ограничениями, такими как рабочая сила или полуфабрикаты. С другой стороны, функции «Продажи» или «Удовлетворение потребностей клиентов» имеют разные приоритеты, которые в основном включают полное и своевременное удовлетворение спроса клиентов, а также достижение целевых показателей запасов без существенного снижения или превышения целевых показателей.Эти две стороны бизнеса часто противоречат друг другу, и составить план, оптимизированный с обеих сторон, непросто.
Обычно среднесрочный тактический план снабжения создается периодически (еженедельно, раз в две недели или ежемесячно). Этот план, как правило, ограничен производственными мощностями и содержит решения, касающиеся производства, поиска и распределения продукции по цепочке поставок.
Многие компании, которые приобрели приложение SAP Supply Chain Management (SCM), используют оптимизатор Advanced Planning and Optimization (APO) Supply Network Planning (SNP) в качестве инструмента для создания среднесрочного плана с ограниченными мощностями.Это мощный инструмент, который предоставляет план, учитывающий ограничения ресурсов и оптимизирующий цепочку поставок в заданных рамках затрат. При правильном внедрении это может привести к значительной экономии средств для любой организации. В этом блоге я постараюсь осветить несколько аспектов, связанных с оптимизатором SNP.
Оптимизатор SNP — основы
Оптимизатор SNP представляет собой механизм/алгоритм планирования на основе затрат, который преобразует задачу планирования цепочки поставок в уравнение линейного программирования или функцию затрат с целью минимизации стоимости решения в целом.Оптимизатор SNP перебирает несколько «выполнимых» планов, пока не достигнет «оптимального» плана.
Он может работать в 2 различных режимах – линейном/непрерывном (без ограничений по размеру лота) или дискретном (с ограничениями по размеру лота). Линейный режим обычно используется для создания приблизительного плана мощности или как часть процесса S&OP, поскольку цель состоит в том, чтобы просто установить, может ли прогнозируемый объем спроса соответствовать производственной мощности, доступной на заводе. Обычно дискретный режим используется для создания среднесрочного тактического плана, который является более выполнимым с практической точки зрения, поскольку он соответствует минимальным размерам партии и значениям округления для производства, транспортировки и некоторым другим ограничениям.
Существует 2 типа ограничений, которые по-разному обрабатываются оптимизатором SNP;
- Жесткие ограничения: ограничения, которые нельзя нарушать. Примером может служить мощность производственного или транспортного ресурса .
- Мягкие ограничения: ограничения, которые можно нарушать, но за каждое нарушение взимается штрафная стоимость. Примеры: превышение страхового запаса, его отсутствие или невыполнение требования .
Стоимость применяется к различным мягким ограничениям в порядке их важности.В типичной организации наибольшее внимание уделяется своевременному удовлетворению спроса. Если спрос не может быть удовлетворен вовремя, следующий акцент делается на удовлетворении спроса с приемлемой задержкой, если это возможно. После удовлетворения спроса следующим приоритетом является достижение целевых показателей страхового запаса. Как только целевые показатели страхового запаса достигнуты, необходимо хранить любые дополнительные запасы и, следовательно, нести затраты на содержание запасов или затраты на хранение в терминологии APO. Только что упомянутые 4 ограничения являются наиболее часто используемыми ограничениями при настройке функций оптимизатора SNP.
Ограничения для планирования
Обычно применяемые в оптимизаторе SNP ограничения, такие как производственная мощность, дефицит или недоставка, затраты на хранение, закупку и транспортировку, являются одними из важных параметров для создания плана с ограничениями. Однако эти ограничения могут не позволить разработать план, который является «выполнимым» с точки зрения бизнеса, особенно с точки зрения производства. Когда среднесрочный план переходит в краткосрочный горизонт, он попадает под ответственность планировщика.Составитель графика может быть не в состоянии следовать плану, представленному планировщиком поставок, поскольку некоторые из важнейших производственных ограничений могут быть не учтены. Это может привести к нескольким ручным обновлениям плана в краткосрочной перспективе, что означает нереализацию преимуществ инвестирования в инструмент и разрыв между среднесрочными и краткосрочными планами. В идеале среднесрочный план должен плавно перетекать в краткосрочный, а планировщик должен работать над тем, чтобы сделать среднесрочный план более детализированным без значительных перетасовок плана.
Некоторыми из общих движущих сил для производственной функции в различных отраслях промышленности являются сведение к минимуму переналадок, рентабельный минимальный размер партии для семейства продуктов или продуктов аналогичного характера/характеристик и линейных ограничений. В некоторых других случаях важное значение могут иметь такие критерии, как производственные циклы, наличие полуфабрикатов, срок годности или трудозатраты.
Оптимизатор SNP способен эффективно обрабатывать эти ограничения с помощью различных методов. Эти ограничения не могут быть реализованы напрямую, но должны быть смоделированы .По сути, ограничение должно быть сопоставлено с точки зрения настройки основных данных и затрат определенным образом, чтобы оптимизатор понимал заданный набор данных и зависимостей для обеспечения желаемого поведения. Однако это не означает, что оптимизатор SNP является заменой решения для краткосрочного планирования. Если среднесрочный план предлагает производить продукты A, B, C в течение недели, планировщик все равно должен разработать правильную последовательность между тремя продуктами в соответствии с краткосрочными ограничениями, такими как переналадка, доступность материалов и схемы смен.
В следующем разделе я подробно расскажу о некоторых из этих ограничений и о том, как можно раскрыть истинный потенциал оптимизатора SNP, внедрив соответствующие ограничения для создания более реалистичных планов.
Групповое планирование
Групповое планирование – это методология, при которой продукты со схожими характеристиками группируются для производства. Это помогает в создании тактического плана, который имеет меньше и меньше изменений. Типичным примером этого является производство SKU одного и того же вкуса в одну и ту же неделю, а не производство случайных SKU каждую неделю.Такие группы также можно назвать семействами продуктов. Сами группы/семейства продуктов могут производиться в рамках минимального размера партии, что является экономичным.
На рисунке 1 ниже представлена схема, иллюстрирующая концепцию группового планирования. В этом примере продукты A,C,E и B,D,F относятся к разным группам. Оптимизатор группирует производство по группам и планирует обе группы на разные недели. На диаграмме слева показана модель производства без использования группового планирования, которое обычно следует структуре спроса и его колебаниям.
Рисунок 1: Концепция группового планирования
Существует множество способов использования этой методологии для создания различных ограничений, связанных с производством. Некоторые из сценариев, в которых может быть реализовано групповое планирование, приведены ниже:
- Производство с минимальным объемом заказа на уровне группы. например Производить не менее 10 000 коробок соленых чипсов, чтобы это было экономично с точки зрения переналадки
- Пропускная способность ограничена на уровне группы таким образом, что группа X не должна потреблять более 30% общей пропускной способности линии
- Не создавать 2 группы вместе в течение одной недели.например чипсы со вкусом томатов и сыра должны быть произведены в разные недели
- Производственные циклы, при которых определенные вкусы должны производиться каждую n -ю -ю неделю
- Ограничение производительности на уровне полуфабрикатов может быть смоделировано с помощью группового планирования
- Определенные группы всегда должны производиться вместе на одной неделе
- Когда группа X работает на линии A, группа Y должна работать на линии B
Применяя такие ограничения с помощью группового планирования, Оптимизатор может помочь в составлении высокоуровневого плана, который является реалистичным и обеспечивает лучшую видимость ситуации в цепочке поставок в среднесрочной и долгосрочной перспективе.Прогнозы запасов более точны, потому что план поставок лучше согласуется с производственными мощностями и ограничениями. Этот план намного легче интегрируется с краткосрочным, что приводит к улучшению плана по сравнению с фактическим.
Как моделируется групповое планирование?
Давайте взглянем на кое-что под капотом. Базовое решение группового планирования моделируется путем создания фиктивного продукта с именем группа , который назначается в качестве компонента отдельным SKU, которые необходимо сгруппировать.Фиктивный источник снабжения, называемый PDS, определяется для группы, которая содержит фиктивное потребление мощности, если только не требуется ограничение мощности на уровне группы. Определен минимальный размер партии продукта группы , который является минимальным экономичным количеством группы. К групповому продукту применяются высокие затраты на хранение.
Вот как это работает: когда оптимизатору необходимо создать отдельный SKU, он всегда должен создать группу (поскольку это входной компонент). При создании производственного предложения для группы (это фиктивное производство) всегда учитывается минимальный размер партии для группы.После того, как минимальный размер партии группы произведен, ее нельзя хранить, поскольку стоимость хранения, используемая для группового продукта, очень высока. Таким образом, оптимизатор переносит производство других отдельных SKU, принадлежащих к той же группе, на ту же неделю, что и группа, чтобы потреблялось все количество группы. На рисунке 2 ниже показано поведение в этой ситуации.
Рисунок 2. Влияние группового планирования на заказы
Компромисс
Всегда есть компромисс между сложностью ограничений и качеством решения.В целом, чем сложнее ограничения, тем больше времени требуется оптимизатору, чтобы прийти к «оптимальному» решению. Поскольку на запуск оптимизатора во время ночного расписания можно потратить лишь ограниченное количество времени, важно, чтобы определение размера проблемы и моделирование ограничений выполнялись тщательно. Часто легко увлечься при моделировании таких ограничений, поскольку планировщики любят рассматривать все возможные ограничения. Иногда ограничения могут быть даже конфликтующими по своей природе, что может привести к плохим результатам оптимизатора.
Заключение
После достижения правильного баланса с точки зрения ограничений, которые необходимо смоделировать, оптимизатор SNP может обеспечить реальные преимущества с точки зрения обеспечения эффективности на заводах и распределительных центрах и хорошей окупаемости ваших инвестиций в решения SAP. Решение группового планирования, которое обсуждается здесь в качестве примера, является одним из способов моделирования ограничений. Существует несколько других доступных методов и решений, которые можно использовать для создания плана, соответствующего различным бизнес-сценариям и потребностям.Я расскажу о некоторых из них в будущих блогах.
Компания Olivehorse имеет многолетний опыт работы с оптимизатором SNP и внедрила решения оптимизатора для клиентов в различных отраслях.

4).
Лицензированные пользователи CA MAT имеют право на поддержку этого подключаемого модуля. Этот подключаемый модуль не требует подписки CA Brightside для загрузки или использования.