Сообщество Экспонента
- вопрос
- 05.11.2022
Другое
В системе Win10 установлен MinGW64. Matlab не видит компиляторы из папки C:\mingw64 Добавил в путь матлаба и в переменные среды Windows директорию C:\mingw64\bin\, где лежит gfortran.exe, но не помога…
В системе Win10 установлен MinGW64. Matlab не видит компиляторы из папки C:\mingw64 Добавил в путь матлаба и в переменные среды Windows директорию C:\mingw64\bin\, где лежит gfortran.exe, но не помога…
- вопрос
- 05.11.2022
Другое
Добрый день! Сегодня произошло неожиданное событие. При загрузке Матлаб он мне сообщил, что лицензия отсутствует. Я поискал ее в каталоге Матлаб, и обнаружил следующее: license_DESKTOP-NITFQJQ_4101619…
Добрый день!
Сегодня произошло неожиданное событие. При загрузке Матлаб он мне сообщил, что лицензия отсутствует. Я поискал ее в каталоге Матлаб, и обнаружил следующее:
license_DESKTOP-NITFQJQ_4101619.
- Публикация
- 30.10.2022
Системы связи
Мероприятие призвано собрать на одной площадке всех специалистов данной тематики для обмена знаний, опыта и технологий, чтобы вооруживший последними технологиями дать быстрый старт в развитии отечественного оборудования систем связи 5G. Подробная программа 09:…
Приглашаем разработчиков систем связи на семинар для всестороннего обсуждения вопросов построения отечественного оборудования систем связи 5G.
Пройдет офлайн в Москве 17 ноября в 10:00.
- MATLAB
- Simulink
- САУ
- ЦОС
- ПЛИС
- МОП
- 5G
- Модельно ориентированное проектирование
30.10.2022
- Публикация
- 26.10.2022
Встраиваемые системы
Эта статья написана совместно с нашими партнерами — компанией «РИТМ». Компания занимается разработкой полунатурных стендов и комплексов полунатурного моделирования «РИТМ», которые используются нашими заказчиками.
Клиенты в некотор…
Уже много лет мы занимаемся продвижением модельно-ориентированного проектирования в России. Поэтому наш опыт сконцентрирован вокруг инструментов модельно-ориентированного проектирования — то есть различных сред моделирования и симуляции — и применения их в инженерных разработках.
- MATLAB
- Simulink
- САУ
- ЦОС
- ПЛИС
- МОП
- fpga
- экспонента
- Модельно ориентированное проектирование
26.10.2022
- Публикация
- 26.10.2022
Электропривод и силовая электроника
Основа всех трех сценариев – цифровое моделирование в режиме жесткого реального времени. Наша команда инженеров показала, что КПМ РИТМ способен решать ряд сложных задач, которые стоят перед российской энергетикой. Мы благодарны всем гостям и всегда рады…
13 октября в нашем офисе прошел семинар.
Всего за 5 часов мы обсудили, как использовать КПМ РИТМ для:
- Тестирования микропроцессорных реле;
- Построения систем мониторинга переходных режимов;
- Исследования кибер-инцидентов в электроэнергетике.
- экспонента
- микропроцессор
- электроэнергетика
- РИТМ
- энергетика
26.10.2022
- Публикация
- 26.10.2022
Электропривод и силовая электроника
Вас ждут: Заметки по созданию цифровых двойников; Полезные статьи и видео; Анонсы вебинаров и семинаров. Подписывайтесь: https://t.me/exponenta_energy
Наша команда инженеров электроэнергетики создала канал, где вы найдёте множество материалов про то, как используют машины реального времени в энергетике.
- MATLAB
- HIL
- РИТМ
- Hardware In the Loop
- Model In the Loop
26.
10.2022
- Публикация
- 25.10.2022
В ходе вебинара будет рассказано о существующих подходах к организации предсказательного обслуживания. Также будет продемонстрирована экспериментальная установка, состоящая из электродвигателя, передаточного механизма, нагрузки и системы датчиков. Установка мо…
Приглашаем на вебинар «Предсказание отказов в промышленности: от теории к практике», который пройдет 8 ноября в 10:00.
Предсказание отказов промышленного оборудования достигается за счёт непрерывного мониторинга и контроля состояния оборудования.
Предсказательное обслуживание призвано существенно снизить затраты на техническое обслуживание оборудование, сократить количество поломок и время просто оборудования.
- MATLAB
- Simulink
- САУ
- ЦОС
- ПЛИС
- МОП
- ИИ
- Модельно ориентированное проектирование
25.
10.2022
- вопрос
- 24.10.2022
Системы связи, ПЛИС и СнК, Радиолокация, Робототехника и беспилотники, Встраиваемые системы, Цифровая обработка сигналов
Есть модуль в Симулинк детектор приамбулы. Он считает количество бит от начала на котором находится приамбула. Выдает на выходе число. Хочу это значение использовать в модуле Си но симулинк выдает оши…
Есть модуль в Симулинк детектор приамбулы. Он считает количество бит от начала на котором находится приамбула. Выдает на выходе число. Хочу это значение использовать в модуле Си но симулинк выдает оши…
- вопрос
- 19.10.2022
Математика и статистика, Цифровая обработка сигналов, Финансы
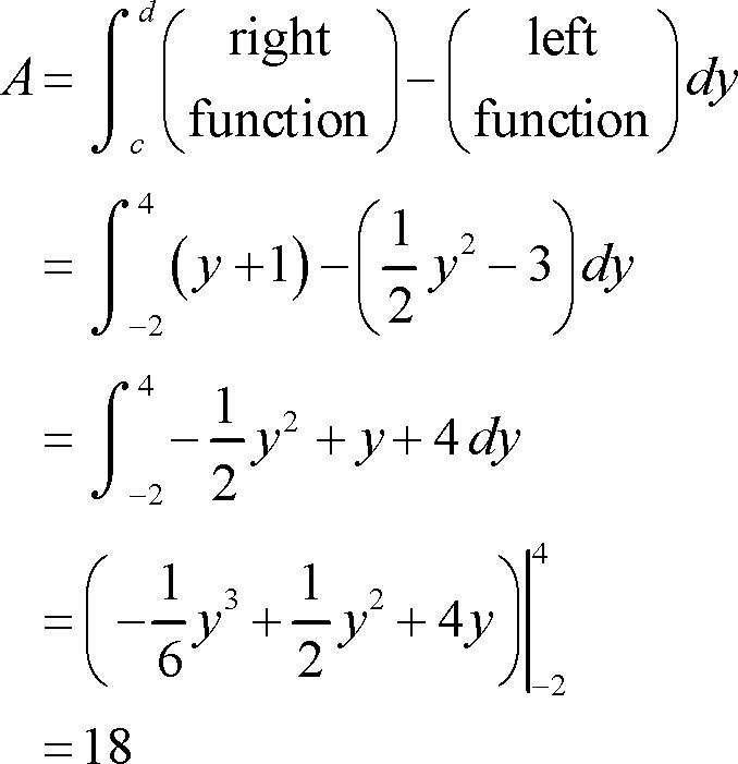
u = (y³)/3 + 8xy – 9y – 4x² – 10 Справка
u = (y³)/3 + 8xy – 9y – 4x² – 10 Справка
2 Ответа
- вопрос
- 19.10.2022
u = (y³)/3 + 8xy – 9y – 4x² – 10
u = (y³)/3 + 8xy – 9y – 4x² – 10
5 Ответов
Результаты поиска
Нет результатов поиска, попробуйте задать другие параметры.
примеры решения интегралов
Интеграл функции является основным понятием интегрального исчисления. Интеграл широко используется при решении целого ряда задач по математике, физике и в других науках. Именно поэтому мы собрали на сайте более 100 примеров решения интегралов и постоянно добавляем новые! Список тем находится в правом меню.
Перед изучением примеров вычисления интегралов советуем вам прочитать теоретический материал по теме: определения, свойства и таблицу интегралов, методы их вычисления и другой материал по интегралам.
Таблица интегралов
Основные ссылки – таблица интегралов и примеры решений (10 шт).
Пример
Задание. Вычислить неопределенный интеграл
Решение. Для решения данного интеграла не нужно использовать свойства неопределенных интегралов, достаточно формулы интеграла степенной функции:
В нашем случае , тогда искомый интеграл равен:
Ответ.
Больше примеров решений →
Метод непосредственного интегрирования
Основные ссылки – метод непосредственного интегрирования и примеры решений (10 шт).
Пример
Задание. Вычислить неопределенный интеграл
Решение. Преобразуем подынтегральное выражение. Для этого вынесем из знаменателя за знак интеграла
далее, используя таблицу интегралов (Формула №11), получим
Ответ.
Больше примеров решений →
Внесение под знак дифференциала
Основные ссылки – внесение под знак дифференциала и примеры решений (10 шт).
Пример
Задание. Вычислить неопределенный интеграл
Решение. Распишем подынтегральную сумму, используя тригонометрические функции (определение котангенса)
Внесем под знак дифференциала:
Полученный интеграл можно вычислить, используя табличный интеграл
В результате получим
Ответ.
Больше примеров решений →
Интегрирование заменой переменной
Основные ссылки – интегрирование заменой переменной и примеры решений (10 шт).
Задание. Найти неопределенный интеграл
Решение. Введем замену и полученный интеграл находим как интеграл от степенной функции:
Сделаем обратную замену
Ответ.
Больше примеров решений →
Интегрирование по частям
Основные ссылки – интегрирование по частям и примеры решений (10 шт).
Пример
Задание. Найти неопределенный интеграл
Решение. Воспользуемся методом интегрирования по частям. Для этого положим
Подставим это в формулу для интегрирования по частям, затем воспользуемся формулой интеграла косинуса из таблицы интегралов
Ответ.
Больше примеров решений →
Метод неопределенных коэффициентов
Основные ссылки – метод неопределенных коэффициентов и примеры решений (10 шт).
Пример
Задание. Разложить рациональную дробь на простые дроби.
Решение. Так как корнями знаменателя являются значения , , то его можно разложить на множители следующим образом:
А тогда
Искомое разложение имеет вид:
Приводим к общему знаменателю в правой части равенства и приравниваем числители:
Приравнивая коэффициенты, при соответствующих степенях, получаем:
Отсюда, искомое разложение:
Ответ.
Больше примеров решений →
Интегрирование тригонометрических функций
Основные ссылки – универсальная тригонометрическая подстановка и примеры решений (10 шт).
Пример
Задание.
Найти неопределенный интеграл
Решение. Для вычисления исходного интеграла введем тригонометрическую замену , тогда
Подставляя это в искомый интеграл, получим
Сделаем обратную замену
Ответ.
Больше примеров решений →
Вы поняли, как решать? Нет?
Главная | Интеграл
для поддержки преподавания и изучения математики
Предназначен для развития глубокого понимания математики и развития всех навыков, необходимых учащимся
Забронировать турилиПодписаться
Integral — это онлайн-среда для преподавания и обучения, которая…
- …поддерживает учителей обширными ресурсами для использования как в классе, так и в Интернете
- …помогает учащимся самостоятельно изучать математику
- …позволяет учителям отслеживать успеваемость своих учеников с помощью передовых аналитических инструментов
Integral содержит все необходимое в одном месте
- Integral поможет вам максимально эффективно использовать свое время, позволяя вам сосредоточиться на планировании, обучении и повторении.

- В нашем богатом банке удобных для навигации ресурсов вы найдете тысячи обучающих и учебных материалов.
- Динамические ресурсы и полезные заметки позволяют учащимся самостоятельно изучать и практиковать новые области математики.
- Отслеживайте и оценивайте успеваемость учащихся с помощью мощной аналитики.
Предыдущий Следующий
Широкий выбор различных ресурсов
Интерактивные ресурсы
Помощь вашим учащимся в самостоятельном обучении
Последовательности действий на экране, позволяющие учащимся встречаться, изучать и практиковать новые концепции самостоятельно. Они интерактивны и динамичны и снабжены пошаговыми инструкциями.
Примечания, примеры и важные моменты
Помощь в понимании
Тысячи страниц высококачественных и подробных заметок, услужливо написанных и доступных для всех. Они содержат полностью проработанные примеры и объясняют распространенные заблуждения.
Экранные тесты
Для отслеживания успеваемости на всем пути к экзамену
Экранные тесты для оценки уровня и глубины навыков учащихся, для отслеживания прогресса на всем пути к экзамену. Немедленная обратная связь доступна с помощью мощных аналитических инструментов.
Упражнения
Для укрепления уверенности учащихся
Три уровня упражнений:
- базовая практика Стандарт экзамена
- дополнительных вопросов
На все вопросы предоставляются полностью проработанные решения.
Преподавательская деятельность
Помочь вам максимально эффективно использовать свое время
Обширный набор материалов, содержащий идеи уроков и занятия с соответствующими материалами для учащихся.
Предыдущий ресурс Следующий ресурс
- Интерактивный
- Примечания
- Экранные тесты
- Упражнения
- Преподавательская деятельность
Высокое качество и доступная цена
Integral был разработан экспертами MEI.
MEI — независимая благотворительная организация, занимающаяся улучшением математического образования. Наши специалисты по математическому образованию обладают значительным опытом работы в аудиториях и глубокими знаниями в преподавании и изучении математики.
В качестве благотворительной организации MEI может сосредоточиться на поддержке математического образования, а не на получении прибыли. Вот почему мы можем предложить фантастические ресурсы по низкой цене.
Мощная аналитика для отслеживания прогресса и оценки обучения учащихся
- Краткая информация об ответах учащихся на вопросы в тестах на экране с системой красного/желтого/зеленого цвета
- Сравните баллы ваших учеников со средними баллами всех пользователей
- Подробная информация об ответах каждого учащегося на каждый вопрос
Integral отмечен наградами
Простота использования для вас и ваших учащихся
- Предназначен для использования как на настольных компьютерах, так и на планшетах
- Доступ из школы, колледжа, университета и дома в любое время
Узнать больше
Ресурсы с учетом вашей спецификации:
Подход AQAL – Integral Life
Меню
Журнал интегральной теории и практики
Эллиот Бенджамин
20 марта 2022 г.
Главные темы): Интегративная метатеория
Акцент на интеллекте(ах): познавательный
Эллиот Бенджамин Статья, Когнитивная, Интегративная метатеория, Журнал интегральной теории и практики, Математика
Эта статья закладывает основы комплексной формулировки интегральной математики. Я ввожу ряд определений интегральной математики, в том числе перспективу интегральной математики в контексте отдельной дисциплины, символическую интегральную математику первичных перспектив Кена Уилбера и интегральную математику как линию развития. Затем я сосредоточусь на рассмотрении интегральной математики как отдельной дисциплины и покажу, что «разделение» между мирами чистой и прикладной математики параллельно с различием между левым и правым квадрантами.
Я даю четырехквадрантный анализ интегральной математики как отдельной дисциплины, применяя квадранты к совершенным числам из рекреационной теории чисел. Наконец, я привожу пример из теории групп, который иллюстрирует, как интегральная математика может применяться для исследования изменений уровней сознания посредством медитации.
Integral Mathematics Perspectives
Математика — это и форма искусства, и научная дисциплина. Когда философ Кен Уилбер пишет о дифференциации «Большой тройки» (т. е. искусства, морали и науки), математика находится в уникальном положении, будучи одновременно и субъективной формой искусства, и объективной наукой. Математики могли бы признать это разделением области на чистую математику и прикладную математику. Автор Джерри Кинг в «Искусстве математики» подчеркивает, что эти две дисциплины математики так же далеки друг от друга, как поэт-мистик и объективный ученый. Однако Кинг также призывает к интеграции чистого математического мышления и прагматичного математического применения.
Другими словами, Кинг просит, чтобы сферы искусства и науки были объединены в единую математику, что совершенно аналогично стремлению Интегральной модели к интеграции в другие дисциплины знания, включая психологию, духовность, медицину, право, политику, правительство, образование. , бизнес и так далее. В этой статье я хотел бы предложить добавить математику в растущий список новых интегральных дисциплин.
Станьте участником сегодня, чтобы получить доступ к этой статье журнала и поддержать глобальное появление Интегрального сознания
Преимущества членства включают:
Премиум-контент
Получите полный доступ к еженедельным беседам, организованным ведущими мыслителями
Библиотека журнала
Получите полный доступ к растущей библиотеке Journal of Integral Theory & Practice
Live Experiences
Оставайтесь на связи, участвуя в живых мероприятиях и дискуссиях Integral Life
Курсы и продукты
Получите неограниченную скидку 20% на все продукты и курсы от наших друзей и партнеров
Бесплатные бонусные подарки
Загрузить Электронная книга Integral Vision Кена Уилбера (стоимостью 19 долларов на Amazon) и биография Кена Уилбера Серия
Поддержка движения
Поддержите нашу миссию по обучению и распространению интегрального сознания, которое важнее, чем когда-либо в его истории
Узнать больше о планах членства →
Об Эллиоте Бенджамине
ЭЛЛИОТ БЕНДЖАМИН, доктор философии, профессиональный математик и профессор математики, проявляющий большой интерес к психологии, философии и классическому фортепиано.

