Если $y=F(x)$ – это первообразная для функции $y=f(x)$ на промежутке $Х$, то $у$ $у=f(x)$ бесконечно много первообразных и все они имеют вид $y=F(x)+C$
Правила вычисления первообразных:
- Первообразная суммы равна сумме первообразных. Если $F(x)$ – первообразная для $f(x)$, а $G(x)$ – первообразная для $g(x)$, то $F(x)+G(x)$ – первообразная для $f(x)+g(x)$.
- Постоянный множитель выносится за знак первообразной. Если $F(x)$ – первообразная для $f(x)$, а $k$ – постоянная величина, то $k$ $F(x)$ – первообразная для $k$ $f(x)$.
- Если $F(x)$ – первообразная для $f(x)$, $а, k, b$ – постоянные величины, причем $k≠0$, то ${1}/{k}$ $F(kx+b)$ – это первообразная для $f(kx+b)$.
Пример:
Найти первообразную для функции $f(x)=2sinx+{4}/{x}-{cosx}/{3}$.
Решение:
Чтобы было проще найти первообразную от функции, выделим коэффициенты каждого слагаемого
$f(x)=2sinx+{4}/{x}-{cosx}/{3}=2∙sinx+4∙{1}/{x}-{1/3}∙cosx$
Далее, воспользовавшись таблицей первообразных, найдем первообразную для каждой функции, входящих в состав $f(x)$
$f_1=sinx$
$f_2={1}/{x}$
$f_3=cosx$
Для $f_1=sinx$ первообразная равна $F_1=-cosx$
Для $f_2={1}/{x}$ первообразная равна $F_2=ln|x|$
Для $f_2=cosx$ первообразная равна $F_3=sinx$
По первому правилу вычисления первообразных получаем:
$F(x)=2F_1+4F_2-{1}/{3}F_3=2∙(-cosx)+4∙ln|x|-{1}/{3}∙sinx$
Итак, общий вид первообразной для заданной функции
$F(x)=-2cosx+4ln|x|-{sin x}/{3}+C$
Связь между графиками функции и ее первообразной:
- Если график функции $f (x) > 0$ на промежутке, то график ее первообразной $F(x)$ возрастает на этом промежутке.

- Если график функции $f (x) < 0$ на промежутке, то график ее первообразной $F(x)$ убывает на этом промежутке.
- Если $f(x)=0$, то график ее первообразной $F(x)$ в этой точке меняется с возрастающего на убывающий (или наоборот).
Пример:
На рисунке изображен график функции $y=F(x)$ – одной из первообразных некоторой функции $f(x)$, определенной на интервале $(-3;5)$. Пользуясь рисунком, определите количество решений $f(x)=0$ на отрезке $(-2;2]$
Если $f(x)=0$, то график ее первообразной $F(x)$ в этой точке меняется с возрастающего на убывающий(или наоборот).
Выделим отрезок $(-2;2]$ и отметим на нем экстремумы.
У нас получилось $6$ таких точек.
Ответ: $6$
Неопределенный интеграл
Если функция $у=f(x)$ имеет на промежутке $Х$ первообразную $у=F(x)$, то множество всех первообразных $у=F(x)+С$, называют неопределенным интегралом функции $у=f(x)$ и записывают:
$∫f(x)dx$
Определенный интеграл – это интеграл с пределами интегрирования (на отрезке)
$∫_a^bf(x)dx$, где $a,b$ – пределы интегрирования
Площадь криволинейной трапеции или геометрический смысл первообразной
Площадь $S$ фигуры, ограниченной осью $Oх$, прямыми $х=а$ и $х=b$ и графиком неотрицательной функции $у=f(x)$ на отрезке $[a;b]$, находится по формуле
$S=∫_a^bf(x)dx$
Формула Ньютона – Лейбница
Если функция $у=f(x)$ непрерывна на отрезке $[a;b]$, то справедливо равенство
$∫_a^bf(x)dx=F(x)|_a^b=F(b)-F(a)$, где $F(x)$ – первообразная для $f(x)$
Пример:
На рисунке изображен график некоторой функции $у=f(x)$.
2-1={2∙(-8)}/{3}-8-1=-{16}/{3}-9$
$S={2}/{3}-3-(-{16}/{3}-9)={2}/{3}-3+{16}/{3}+9={18}/{3}+6=6+6=12$
Ответ: $12$
Практика: решай 7 задание и тренировочные варианты ЕГЭ по математике (профильной)
Первообразная – Умскул Учебник
На этой странице вы узнаете:- Родственные связи первообразной. Как первообразная связана с производной?
- Одна функция, но много ее первообразных. Как такое происходит?
Легко догадаться, что термин “первоОбразная” происходит от двух слов: первый и образ. Первым образом у автомобиля была повозка, а у пюре — картофель.
Вернемся к математике.
Ранее мы уже рассматривали, что такое Производная и как найти её. Давайте быстро вспомним, что нахождение производной или дифференцирование — это совершение математической операции над функцией. То есть, следуя определенным правилам, любая функция может быть преобразована в новую функцию, которая и будет производной.
В обычной жизни, совершая несколько действий, мы можем преобразовать муку в тесто, а затем и в пирожки. Но разобрать готовый пирожок на муку у нас уже не получится. Зато в математике всегда можно вернуться на шаг назад: сложили два числа — вычтем обратно, возвели в степень — извлечем корень.
Похожим образом мы можем поступить с функцией.
Возьмем любую функцию, например, f(x) = x2 и найдем для нее производную f'(x) = 2x — получилась новая функция. Теперь для того, чтобы вернуться на шаг назад, нам нужно найти первообразную от новой функции (f'(x) = 2x).
Первообразной для функции f(x) называется такая функция F(x), для которой выполняется равенство: F'(x) = f(x).
То есть, если взять производную от первообразной какой-либо функции, получится сама эта функция. Процесс нахождения множества первообразных называется интегрированием.
F'(x) = f(x)
Родственные связи первообразной. Как первообразная F(x) связана с функцией f(x)?Связь первообразной и функции можно рассмотреть на примере родственных связей. Мама является предшественником дочери, а первообразная — предшественник функции. |
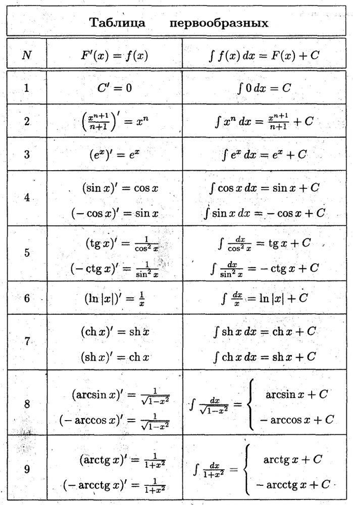
Для нахождения первообразных существует специальная таблица. В ней приведены первообразные для каждой функции. А чтобы убедиться в этом, можно найти производную от первообразной и сравнить с функцией. Они будут одинаковые.
Таблица первообразных
Где С — произвольное число
| Одна функция, но много ее первообразных. Как такое происходит? Так как нахождение первообразной — это обратное действие нахождению производной, а производная от константы всегда равна нулю, первообразная для множества функций с разными константами будет одинаковой. |
Важно: F(x) первообразная f(x) только на том промежутке, где F(x) и f(x) существуют. То есть, \(F(x) = \frac{1}{2} * ln (2x) + C\) первообразная \(f(x) = \frac{1}{2}x\) на промежутке 2х > 0 \(\rightarrow\) x > 0
Рассмотрим нахождение первообразной от следующей функции
y = 2x3
Применим правило интегрирования для степенной функции из таблицы первообразных
\(F(x) = \frac{2x^4}{4} + C\)
\(F(x) = \frac{1}{2} x^4 + C\)
Правила нахождения первообразных:
- Если нужно найти первообразную от произведения числа на функцию, то первообразной выражения будет произведение этого числа на первообразную функции.
x}{ln2}\) - F(x) = ln2
- F(x) = 2
- F(x) = x2
Ответы: 1. — 4; 2. — 1; 3. — 2; 4. -1
404 Cтраница не найдена
Размер:
AAA
Изображения Вкл. Выкл.
Обычная версия сайта
К сожалению запрашиваемая страница не найдена.
Но вы можете воспользоваться поиском или картой сайта ниже
|
|
Калькулятор примитивных функций – онлайн-поиск интегралов первообразных
Поиск инструмента
Поиск инструмента в dCode по ключевым словам:Просмотр полного списка инструментов dCode
Примитивы Функции
Инструмент для поиска примитивов функций.
Интегрирование функции — это вычисление всех ее первообразов, обратной производной.
Результаты
Примитивы Функции – dCode
Теги: Функции, Символьные вычисления
Поделиться
dCode и многое другое
dCode бесплатен, а его инструменты являются ценным подспорьем в играх, математике, геокэшинге, головоломках и задачах, которые нужно решать каждый день!
Предложение? обратная связь? Жук ? идея ? Запись в dCode !
Калькулятор примитивных функций
Функция f(x)=По отношению к
Добавить константу C
См. также: Производная
Калькулятор интегралов
⮞ Перейти к: Определенный интеграл
Ответы на вопросы (FAQ) 93-\cos(x) + C$ (с константой $C$).
Как вычислить примитив/интеграл?
Самый простой способ вычислить функцию примитива — это узнать список общих примитивов и применить их.
dCode знает все функции и их примитивы .
Введите функцию и ее переменную для интегрирования, и dCode выполнит вычисление примитивной функции .
Математики используют примитив/интегрирование, чтобы найти функцию, вычисляющую площадь под кривой. 9x}{\ln (a)} + C \qquad a > 0 , a \ne 1 $$
Исходный код
dCode сохраняет право собственности на исходный код «Primitives Functions». За исключением явной лицензии с открытым исходным кодом (указано Creative Commons/бесплатно), алгоритма «Функции примитивов», апплета или фрагмента (преобразователь, решатель, шифрование/дешифрование, кодирование/декодирование, шифрование/дешифрование, транслятор) или «Функций примитивов».
функции (вычисление, преобразование, решение, расшифровка/шифрование, расшифровка/шифрование, декодирование/кодирование, перевод), написанные на любом информационном языке (Python, Java, PHP, C#, Javascript, Matlab и т. д.) и загрузка всех данных, скрипт, или API-доступ к «Функциям примитивов» не является общедоступным, то же самое для автономного использования на ПК, мобильных устройствах, планшетах, iPhone или в приложениях для Android!
Напоминание: dCode можно использовать бесплатно.
Cite dCode
Копирование и вставка страницы «Функции примитивов» или любых ее результатов разрешено, если вы цитируете dCode!
Цитировать как источник (библиографию):
Функции примитивов на dCode.fr [онлайн-сайт], получено 09 октября 2022 г., https://www.dcode.fr/primitive-integral
Сводка
- Калькулятор примитивных функций
- Калькулятор интегралов
- Что такое примитив? (Определение)
- Как вычислить примитив/интеграл?
- Каков список общих примитивов?
Similar pages
- Definite Integral
- Derivative
- Cube Root
- Differential Equation Solver
- Double Integral
- Triple Integral
- Polynomial Factorization
- DCODE’S TOOLS LIST
Support
- Paypal
- Patreon
- Подробнее
Форум/Помощь
Ключевые слова
примитив,интеграл,функция,интегрирование,интегрирование,производная,антипроизводная,калькулятор
Ссылки
▲
Примитивные корни и их применение
В этом посте мы доказываем существование первообразных корней по модулю простых степеней, используя элементарную теорию чисел и представляя многочисленные задачи, в которых можно применить первообразные корни.
k \equiv 1 \pmod p$. Сначала покажем, что $\text{ord}_p(a) $ является делителем $p-1$. Пусть $\text{ord}_p(a)=d$ выполняется для $\psi(d)$ целых чисел $a\in [1,p-1]$. Мы увидим, что $\psi(d)=0$ или $\varphi(d)$ для всех $d$ и что $\sum_{d\mid p-1}\psi(d)=p-1$. С другой стороны, мы увидим, что $\sum_{d\mid p-1}\varphi(d)=p-1$, поэтому $\psi(d)=\varphi(d)$ для $d \mid p-1$. В частности, существуют $\psi(p-1)=\varphi(p-1)$ первообразные корни $\pmod p$. 9d-1$ не может иметь более $d$ корней $\pmod p$, поэтому их ровно $\varphi(d)$, если они есть. Это доказывает лемму. ■
Наконец, ясно, что каждое целое число $1,2,…,p-1$ имеет уникальный порядок, поэтому $\sum_{d\mid p-1}\psi(d)=p- 1$. Следовательно, для завершения доказательства достаточно показать, что $\varphi(d)$ имеет ту же формулу суммы, поскольку мы знаем, что если $\psi(d)\neq \varphi(d)$, то $\psi(d) =0$.
Лемма 5. Имеем $\sum_{d\mid n}\varphi(d)=n$.
Доказательство. Теперь, когда у нас достаточно теории о первообразных корнях, давайте рассмотрим некоторые задачи, которые можно решить с их помощью. Предложение 9 (теорема Вильсона). Для простого $p$ верно $(p-1)! \экв -1 \pmod p.$ Доказательство. Я слышал о проекте Эйлера несколько лет
сейчас, но только несколько дней назад я решил попробовать.
И я быстро понял, что решать задачи на нем — это много удовольствия. На моем
сначала попробуй, я решил одиннадцать задач подряд. Как только я добрался до задачи 18, я
понял, что, возможно, мне будет разумнее начать с конца
вместо начала, учитывая, что проблемы в начале скорее
легкий. Итак, я перешел к последнему, который на момент написания этой статьи был
задача 437. И был приятно удивлен. Эта проблема была в самый раз
количество сложного – достаточно сложное, чтобы не быть тривиальным, но не настолько сложное
что это заняло бы часы и часы, чтобы решить! Конечно, мое правило решения
Проблема Project Euler заключается в том, что я могу использовать только Python и базовый Python. Следующим шагом будет проверка того, является ли какое-либо из двух приведенных выше решений правильным.
первобытные корни. Для этого, конечно, нам сначала нужно вычислить решения.
Для этого нужно вычислить квадратный корень из 555.
по простому модулю
п.п.п.
Если ппп
это 333
по модулю 444
то это легко как для
такой ппс
у нас есть 9{\ гидроразрыва {р + 1} {4}}.
5 =±54p+1. Но для p=4k+1p=4k+1p=4k+1
нам нужно что-то более сложное. Есть два
относительно эффективные алгоритмы для этого: Тонелли-Шенкса и
Алгоритм Чиполлы. я
выбрал Tonelli-Shanks, потому что среднее время работы для этого конкретного
приложение лучше. Конечно, нам еще нужно перечислить все простые числа, равные ±1\pm 1±1.
по модулю 5.5.5.
Для этого я использовал тест на простоту Рабина-Миллера, так как я уже написал код для него в
мой пост в РСА. Конечно
предварительно рассчитанный список простых чисел также можно использовать для более быстрого алгоритма. Вот окончательный код:
Есть много способов показать это; один из способов — начать со случая, когда $n$ равно степени простого числа, и использовать мультипликативность. Мы используем, возможно, более элегантный метод. Рассмотрим дроби $\frac{1}{n},\frac{2}{n},…,\frac{n}{n}$. Число этих дробей равно $n$, и каждую из них можно однозначно записать в сокращенной форме $\frac{k}{d}$, где $d\mid n$ и $(k,d)=1, 0
n} \pmod p ,n=0,1,2,…$ равен $\text{ord}_{(p-1)’}(2 )$, где $(p-1)’$ — нечетная часть $(p-1)’$ (последовательность не обязательно периодическая, но в какой-то момент становится периодической). 9{\альфа}$. Примитивные корни Фибоначчи из простых чисел (проект Эйлера)
пакеты. Никаких математических пакетов или программ, никаких алгоритмов я не использовал.
полностью понять и т. д. 92 – х – 1 = 0,х2-х-1=0.
Это уравнение имеет решения
12(1±5).\frac{1}{2}(1 \pm \sqrt{5}).21(1±5).
Следовательно, для простого числа, имеющего Фибоначчи
примитивный корень должен иметь 555
как квадратичный вычет. По квадратичному
по теореме взаимности нам нужно рассмотреть только простые числа вида 5k±1,5k \pm
1,5к±1.
Это сужает наш поиск. Конечно 555
это частный случай и я
только что проверил вручную. Поскольку он имеет примитивный корень Фибоначчи (333
)
это тоже должно быть включено в ответ.
def Square_root(n, p):
"""Находит квадратный корень из n по простому модулю p. Использует алгоритм Тонелли-Шенкса."""
# Сначала простой и очевидный случай:
если р % 4 == 3:
вернуть pow(n, (p + 1)/4, p)
д, с = (р - 1)/4, 2
в то время как q% 2 == 0:
д /= 2
с += 1
# Найти квадратичный невычет z
г = 0
для z в prime_generator(p - 1):
если не is_quadratic_residue_eulers_criterion(z, p):
ломать
если г == 0:
# Этого никогда не должно происходить, если p простое число, а n является квадратичным вычетом по модулю p.


Как первообразная F(x) связана с функцией f(x)?