5.1.5. Интегрирование корней (иррациональных функций). Примеры решений
Вот и пробил час интегралов от корней, они вас заждались! С моей точки зрения интегрирование иррациональных функций следует изучать уже при некоторых знаниях и навыках решения неопределенного интеграла, поскольку интегралы от корней, во-первых, встречаются реже, чем другие типы интегралов, а во-вторых, некоторые них – самые настоящие крепкие орешки. Такие образом, если Вы чайник, и за плечами всего десяток прорешанных интегралов, да и с методом замены переменной в неопределенном интеграле не очень, то лучше начать со статьи Неопределенный интеграл. Примеры решений. Хотя, не пугаемся, не разбегаемся – простейшие примеры с квадратными корнями, думаю, будут понятны широкому кругу студентов. Весь материал я постараюсь изложить максимально подробно и максимально просто.
На уроке мы разберем
простейшие неопределенные интегралы
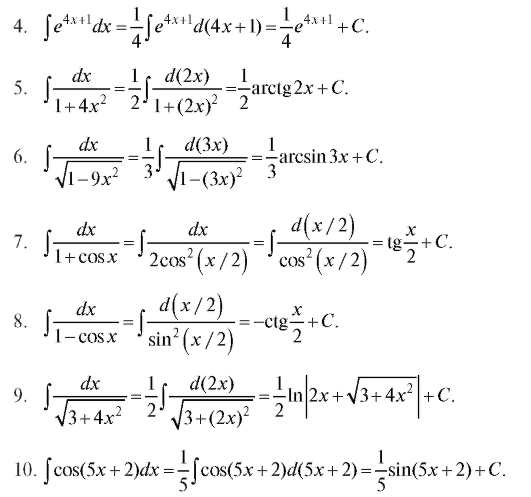
от иррациональных функций, чуть более
громоздкие (с разными корнями), и
закончится повествование биномиальными
интегралами, кои уже являются немного
дебрями интегралов, где преподаватель-волк
частенько кушает зайцев.
Итак, прошу любить и жаловать первый параграф
Вспоминаем счастливые школьные годы. Пыонеры на уроках математики, приступая к изучению корней, в первую очередь знакомятся с квадратным корнем. Мы пойдем тем же путем.
Пример 1
Найти неопределенный интеграл
Анализируя
подынтегральную функцию, приходишь к
печальному выводу, что она совсем не
напоминает табличные интегралы. Вот
если бы всё это добро находилось в
числителе – было бы просто. Или бы корня
внизу не было. Или многочлена. Никакие
Основной приём решения иррациональных интегралов – это замена переменной, которая избавит нас от ВСЕХ корней в подынтегральной функции.
Отмечу,
что эта замена немного своеобразная,
ее техническая реализация отличается
от «классического» способа замены,
который рассмотрен на уроке Метод
замены в неопределенном интеграле.
В данном примере нужно провести замену , то есть, вместо «икса» под корнем у нас окажется . Почему замена именно такая? Потому-что , и в результате замены корень пропадёт.
Если бы в подынтегральной функции вместо квадратного корня у нас находился , то мы бы провели замену . Если бы там был – то и так далее.
Хорошо, у нас превратится в . Что произойдет с многочленом ? Сложностей нет: если , то .
Осталось выяснить, во что превратится дифференциал . Делается это так:
Берем нашу замену и навешиваем дифференциалы на обе части:
(я распишу максимально подробно)
Оформление решения должно выглядеть примерно так:
Проведем замену:
(1) Проводим подстановку после замены (как, что и куда, уже рассмотрено).
(2)
Выносим константу за пределы интеграла.
Числитель и знаменатель сокращаем на
.
(3) Получившийся интеграл является табличным, готовим его для интегрирования, выделяя квадрат
(4) Интегрируем по таблице, используя формулу .
(5) Проводим обратную замену. Как это делается? Вспоминаем, от чего плясали: если , то .
Внимание! Для изучения дальнейших примеров необходимо хорошо проработать первый параграф урока Интегрирование некоторых дробей.
Пример 2
Найти неопределенный интеграл
Это пример для самостоятельного решения. Полное решение и ответ в конце урока.
Как-то так получилось, что в примерах 1, 2 «голый» числитель с одиноким дифференциалом . Что же. Исправим ситуацию.
Пример 3
Найти неопределенный интеграл
Предварительный
анализ подынтегральной функции опять
показывает, что лёгкого пути нет.
Проведем замену: За обозначаем ВСЁ выражение под корнем. Замена из предыдущих примеров здесь не годится (точнее, сделать-то её можно, но это не избавит нас от корня). Навешиваем дифференциалы на обе части:
С числителем разобрались. Что делать с в знаменателе? Берем нашу замену и выражаем из неё: Если , то
(1) Проводим подстановку в соответствии с выполненной заменой. (2) Причесываем числитель. Константу здесь я предпочел не выносить за знак интеграла (можно делать и так, ошибкой не будет)
(4) Почленно делим
числитель на знаменатель.
(5) Используем свойства линейности неопределенного интеграла. Во втором интеграле выделяем квадрат для последующего интегрирования по таблице.
(6) Интегрируем по таблице. Первый интеграл совсем простой, во втором используем табличную формулу высокого логарифма
(7) Проводим обратную замену. Если мы проводили замену , то, обратно:
Пример 4
Найти неопределенный интеграл
Это пример для самостоятельного решения, если вы невнимательно проработали предыдущие примеры, то допустите ошибку! Полное решение и ответ в конце урока.
Принципиально так же решаются интегралы с несколькими одинаковыми корнями, например , и т.д. А что делать, если в подынтегральной функции корни разные?
Пример 5
Найти неопределенный интеграл
Вот и пришла
расплата за голые числители.
Когда
встречается такой интеграл, обычно
становится страшно. Но страхи напрасны,
после проведения подходящей замены
подынтегральная функция упрощается.
Задача состоит в следующем: провести
удачную замену, чтобы сразу избавиться
от ВСЕХ корней.
Когда даны разные корни удобно придерживаться следующей схемы решения. Сначала выписываем на черновике подынтегральную функцию, при этом все корни представляем в виде : . Нас будут интересовать знаменатели
Очевидно, что наименьшим общим кратным является число 6. Оно делится и на 2 и на 3, кроме того, меньше шестерки ничего не придумать.
Как многие уже догадались, замена в рассматриваемом интеграле будет следующей:
Оформляем решение:
Проведем замену:
(1) Производим
подстановку.
(2) Избавляемся от корней. Выносим константу за знак интеграла. Сокращаем числитель и знаменатель на .
(3) Сокращаем числитель и знаменатель еще на .
(4) Раскладываем числитель в сумму (как это сделать, уже неоднократно упоминалось).
(5) Почленно делим числитель на знаменатель.
(6) Интегрируем по таблице. При этом константу я снова «прилепил» к каждому из трех слагаемых (можно этого и не делать, момент несущественный).
(7) Проводим обратную замену. Если , то, обратно: . В ходе обратной замены некоторые корни лучше сразу сократить (обычно это делается устно). В рассмотренном примере сокращение корней встретилось в первом слагаемом:
Как видите, особых сложностей нет, несмотря на то, что сначала интеграл показался трудным и страшным.
Пример 6
Найти неопределенный интеграл
Это пример для
самостоятельного решения.
Определенный интеграл. Примеры решений — Мегаобучалка
Для того, чтобы научиться решать определенные интегралы необходимо:
1) Уметь находить соответствующие неопределенные интегралы.
2) Уметь вычислить определенный интеграл.
Как видите, для того, чтобы освоить определенный интеграл, нужно достаточно хорошо ориентироваться в «обыкновенных» неопределенных интегралах. Поэтому, если вы только-только начинаете погружаться в интегральное исчисление, и чайник еще не совсем закипел, то лучше начать с урока
В общем виде определенный интеграл записывается так:
Что прибавилось по сравнению с неопределенным интегралом?
Прибавились пределы интегрирования.
Нижний предел интегрирования стандартно обозначается буквой a.
Верхний предел интегрирования стандартно обозначается буквой b.
Отрезок [a; b] включает граничные точки и называется отрезком интегрирования.
Что такое определенный интеграл? Можно посмотреть в учебниках про диаметр разбиения отрезка, предел интегральных сумм и т. д., но урок носит практический характер. Поэтому скажем, что определенный интеграл – это, прежде всего, самое что ни на есть обычное ЧИСЛО.
Есть ли у определенного интеграла геометрический смысл?Есть. И очень хороший. Самая популярная задача вычисления определённого интеграла – вычисление площади с помощью определенного интеграла.
Что значит решить определенный интеграл?Решить определенный интеграл – это значит, найти число, равное приращению первообразной функции на отрезке [a; b].
Как решить определенный интеграл?С помощью знакомой со школы формулы Ньютона-Лейбница:
.
Формулу лучше переписать на отдельный листочек, она должна быть перед глазами на протяжении всего урока.
Этапы решения определенного интеграла следующие:
1) Сначала находим первообразную функцию F(X) (неопределенный интеграл).
Обратите внимание, что константа C в определенном интеграле никогда не добавляется.
Обозначение является чисто техническим, и вертикальная палочка не несет никакого математического смысла, по сути – это просто отчёркивание. Зачем нужна сама запись
?
Это подготовка для применения формулы Ньютона-Лейбница.
2) Подставляем значение верхнего предела в первообразную функцию: F(b).
3) Подставляем значение нижнего предела в первообразную функцию: F(a).
4) Рассчитываем (без ошибок!) разность F(b)-F(a), то есть, находим число, равное приращению первообразной (от подынтегральной) функции на отрезке [a; b].
Готово.
Всегда ли существует определенный интеграл? Нет, не всегда существует всё, что мы напишем в виде определённого интеграла. Например, интеграла
не существует, поскольку отрезок интегрирования не входит в область определения подынтегральной функции и значения под квадратным корнем не могут быть отрицательными.
А вот менее очевидный пример:
.
Такого интеграла тоже не существует на всём отрезке [-2; 3], так как в точках
,
этого отрезка подынтегральная функция f(x) = tg(x) не существует.
Для того, чтобы определенный интеграл существовал на данном отрезке, необходимо, чтобы подынтегральная функция была непрерывной на отрезке интегрирования.
Из вышесказанного следует первая важная рекомендация: перед тем, как приступить к решению ЛЮБОГО определенного интеграла, нужно убедиться в том, что подынтегральная функция непрерывна на отрезке интегрирования. Бывает так, что подолгу мучаешься с нахождением трудной первообразной, а когда наконец-то ее находишь, то ещё и ломаешь голову над вопросом: «что за ерунда получилась?». Например, если получилось примерно так:
???!!!
то нельзя подставлять отрицательные числа под корень! Если для решения в контрольной работе, на зачете или экзамене Вам предложен несуществующий интеграл вроде
,
то нужно дать ответ, что интеграла не существует и обосновать – почему.
Может ли определенный интеграл быть равен отрицательному числу?Может. И отрицательному числу. И нулю. Может даже получиться бесконечность, но это уже будет несобственный интеграл, коим отведена отдельная лекция.
Может ли нижний предел интегрирования быть больше верхнего предела интегрирования?Может, и такая ситуация реально встречается на практике. Интеграл
преспокойно вычисляется по формуле Ньютона-Лейбница.
Без чего не обходится высшая математика? Конечно же, без всевозможных свойств. Поэтому рассмотрим некоторые свойства определенного интеграла.
В определенном интеграле можно переставить верхний и нижний предел, сменив при этом знак:
Например, в определенном интеграле перед интегрированием
целесообразно поменять пределы интегрирования на «привычный» порядок:
.
В таком виде интегрировать значительно удобнее.
Как и для неопределенного интеграла, для определенного интеграла справедливы свойства линейности:
Это справедливо не только для двух, но и для любого количества функций.
В определенном интеграле можно проводить замену переменной интегрирования, правда, по сравнению с неопределенным интегралом тут есть своя специфика, о которой мы еще поговорим.
Для определенного интеграла справедлива формула интегрирования по частям: .
Пример 1
Вычислить определенный интеграл
.
Решение:
(1) Выносим константу за знак интеграла.
(2) Интегрируем по таблице с помощью самой популярной формулы
.
(3) Используем формулу Ньютона-Лейбница
.
Сначала подставляем в x3 верхний предел, затем – нижний предел. Проводим дальнейшие вычисления и получаем окончательный ответ.
Пример 2
Вычислить определенный интеграл
.
Это пример для самостоятельно решения, решение и ответ в конце урока.
Пример 3
Вычислить определенный интеграл
.
Решение:
.
(1) Используем свойства линейности определенного интеграла.
(2) Интегрируем по таблице, при этом все константы выносим – они не будут участвовать в подстановке верхнего и нижнего предела.
(3) Для каждого из трёх слагаемых применяем формулу Ньютона-Лейбница.
СЛАБОЕ ЗВЕНО в определенном интеграле – это ошибки вычислений и часто встречающаяся ПУТАНИЦА В ЗНАКАХ. Будьте внимательны! Особое внимание заостряем на третьем слагаемом:
,
т. к. очень часто машинально пишут
.
Следует заметить, что рассмотренный способ решения определенного интеграла – не единственный. При определенном опыте, решение можно значительно сократить. Например, так:
.
Здесь устно использованы правила линейности, устно проинтегрированы табличные интегралы. Получилась всего одна скобка с отчёркиванием пределов:
(в отличие от трёх скобок в первом способе). И в «целиковую» первообразную функцию мы сначала подставили 4, затем –2, опять же выполнив все действия в уме.
При втором способе существует повышенный риск допустить ошибку в вычислениях, поэтому студенту-чайнику лучше использовать первый способ, чтобы не терять знаки.
Несомненными преимуществами второго способа является быстрота решения, компактность записи и тот факт, что первообразная.
находится в одной скобке.
|
Навигация: Главная Случайная страница Обратная связь ТОП Интересно знать Избранные Топ: Генеалогическое древо Султанов Османской империи: Османские правители, вначале, будучи еще бейлербеями Анатолии, женились на дочерях византийских императоров… Когда производится ограждение поезда, остановившегося на перегоне: Во всех случаях немедленно должно быть ограждено место препятствия для движения поездов на смежном пути двухпутного… Характеристика АТП и сварочно-жестяницкого участка: Транспорт в настоящее время является одной из важнейших отраслей народного хозяйства. Интересное: Что нужно делать при лейкемии: Прежде всего, необходимо выяснить, не страдаете ли вы каким-либо душевным недугом… Мероприятия для защиты от морозного пучения грунтов: Инженерная защита от морозного (криогенного) пучения грунтов необходима для легких малоэтажных зданий и других сооружений… Отражение на счетах бухгалтерского учета процесса приобретения: Процесс заготовления представляет систему экономических событий, включающих приобретение организацией у поставщиков сырья… Дисциплины: Автоматизация Антропология Археология Архитектура Аудит Биология Бухгалтерия Военная наука Генетика География Геология Демография Журналистика Зоология Иностранные языки Информатика Искусство История Кинематография Компьютеризация Кораблестроение Кулинария Культура Лексикология Лингвистика Литература Логика Маркетинг Математика Машиностроение Медицина Менеджмент Металлургия Метрология Механика Музыкология Науковедение Образование Охрана Труда Педагогика Политология Правоотношение Предпринимательство Приборостроение Программирование Производство Промышленность Психология Радиосвязь Религия Риторика Социология Спорт Стандартизация Статистика Строительство Теология Технологии Торговля Транспорт Фармакология Физика Физиология Философия Финансы Химия Хозяйство Черчение Экология Экономика Электроника Энергетика Юриспруденция |
⇐ ПредыдущаяСтр 2 из 6Следующая ⇒ Переходим к рассмотрению общего случая – метода замены переменных в неопределенном интеграле. Пример 5 Найти неопределенный интеграл. В качестве примера я взял интеграл, который мы рассматривали в самом начале урока. Как мы уже говорили, для решения интеграла нам приглянулась табличная формула , и всё дело хотелось бы свести к ней. Идея метода замены состоит в том, чтобы сложное выражение (или некоторую функцию) заменить одной буквой. Итак: Действие следующее. После того, как мы подобрали замену, в данном примере, , нам нужно найти дифференциал . Так как , то После разборок с дифференциалом окончательный результат рекомендую переписать максимально коротко: В итоге:
Чистовое оформление рассмотренного примера должно выглядеть примерно так: “ Проведем замену:
Значок не несет никакого математического смысла, он обозначает, что мы прервали решение для промежуточных объяснений. Также всем рекомендую использовать математический знак вместо фразы «из этого следует это». И коротко, и удобно. При оформлении примера в тетради надстрочную пометку обратной замены лучше выполнять простым карандашом. Внимание! В следующих примерах нахождение дифференциала расписываться подробно не будет. А теперь самое время вспомнить первый способ решения: В чем разница? Принципиальной разницы нет. Это фактически одно и то же. Но с точки зрения оформления задания метод подведения функции под знак дифференциала – гораздо короче. Возникает вопрос. Если первый способ короче, то зачем тогда использовать метод замены? Дело в том, что для ряда интегралов не так-то просто «подогнать» функцию под знак дифференциала. Пример 6 Найти неопределенный интеграл. Проведем замену: (другую замену здесь трудно придумать) Как видите, в результате замены исходный интеграл значительно упростился – свёлся к обычной степенной функции. Это и есть цель замены – упростить интеграл.
Другое дело, что такое решение очевидно далеко не для всех студентов. Пример 7 Найти неопределенный интеграл. Выполнить проверку. Пример 8 Найти неопределенный интеграл. Замена: Готово. Пример 9 Найти неопределенный интеграл. Пример 10 Найти неопределенный интеграл. Наверняка некоторые обратили внимание, что в моей справочной таблице нет правила замены переменной. Сделано это сознательно. Правило внесло бы путаницу в объяснение и понимание, поскольку в вышерассмотренных примерах оно не фигурирует в явном виде. Настало время рассказать об основной предпосылке использования метода замены переменной: в подынтегральном выражении должна находиться некоторая функцияи её производная : (функции , могут быть и не в произведении) В этой связи при нахождении интегралов довольно часто приходится заглядывать в таблицу производных. В рассматриваемом примере замечаем, что степень числителя на единицу меньше степени знаменателя. В таблице производных находим формулу , которая как раз понижает степень на единицу. А, значит, если обозначить за знаменатель, то велики шансы, что числитель превратится во что-нибудь хорошее. Замена: Кстати, здесь не так сложно подвести функцию под знак дифференциала: Следует отметить, что для дробей вроде , такой фокус уже не пройдет (точнее говоря, применить нужно будет не только прием замены). Интегрировать некоторые дроби можно научиться на уроке Интегрирование некоторых дробей. Вот еще пара типовых примеров для самостоятельного решения из той же оперы: Пример 11 Найти неопределенный интеграл. Пример 12 Найти неопределенный интеграл. Решения в конце урока. Пример 13 Найти неопределенный интеграл. Смотрим в таблицу производных и находим наш арккосинус: . У нас в подынтегральном выражении находится арккосинус и нечто похожее на его производную. Общее правило: В данном случае: . Осталось выяснить, во что превратится оставшаяся часть подынтегрального выражения . В этом примере нахождение я распишу подробно поскольку – сложная функция.
Таким образом: Вот здесь подвести функцию под знак дифференциала уже не так-то просто. Пример 14 Найти неопределенный интеграл. Пример для самостоятельного решения. Ответ совсем близко. Внимательные читатели заметили, что я рассмотрел мало примеров с тригонометрическими функциями. И это не случайно, поскольку под интегралы от тригонометрических функций отведён отдельный урок. Более того, на указанном уроке даны некоторые полезные ориентиры для замены переменной, что особенно актуально для чайников, которым не всегда и не сразу понятно, какую именно замену нужно проводить в том или ином интеграле. Также некоторые типы замен можно посмотреть в статье Определенный интеграл. Примеры решений. Более опытные студенты могут ознакомиться с типовой заменой в интегралах с иррациональными функциями. Замена при интегрировании корней является специфической, и её техника выполнения отличается от той, которую мы рассмотрели на этом уроке. Желаю успехов! Пример 3:Решение: Пример 4:Решение: Пример 7:Решение: Пример 9:Решение: Пример 11:Решение: Пример 12:Решение: Пример 14:Решение: Интегрирование по частям.
И снова, здравствуйте. Сегодня на уроке мы научимся интегрировать по частям. Метод интегрирования по частям – это один из краеугольных камней интегрального исчисления. На зачете, экзамене студенту почти всегда предлагают решить интегралы следующих типов: простейший интеграл (см. статьюНеопределенный интеграл. Примеры решений) либо интеграл на замену переменной (см. статьюМетод замены переменной в неопределенном интеграле)либо интеграл как раз на метод интегрирования по частям. Для эффективного изучения темы необходимо хорошо ориентироваться в материалах двух вышеуказанных уроков. Если Вы чайник, и только-только начинаете погружение в удивительный мир интегралов, то читать далее не имеет особого смысла – следует начать с урока Неопределенный интеграл. Примеры решений. Как всегда, под рукой должны быть: Таблица интегралов и Таблица производных. Какую задачу решает метод интегрирования по частям? Метод интегрирования по частям решает очень важную задачу, он позволяет интегрировать некоторые функции, отсутствующие в таблице, произведение функций, а в ряде случаев – и частное. Как мы помним, нет удобной формулы: . Зато есть такая: – формула интегрирования по частям собственной персоной. Знаю, знаю, ты одна такая – с ней мы и будем работать весь урок (уже легче). И сразу список в студию. По частям берутся интегралы следующих видов: 1) , , – логарифм, логарифм, умноженный на какой-нибудь многочлен. 2) , – экспоненциальная функция, умноженная на какой-нибудь многочлен. Сюда же можно отнести интегралы вроде – показательная функция, умноженная на многочлен, но на практике процентах так в 97, под интегралом красуется симпатичная буква «е». 3) , , – тригонометрические функции, умноженные на какой-нибудь многочлен. 4) , – обратные тригонометрические функции («арки»), «арки», умноженные на какой-нибудь многочлен. Также по частям берутся некоторые дроби, соответствующие примеры мы тоже подробно рассмотрим.
Интегралы от логарифмов Пример 1 Найти неопределенный интеграл. Классика. Время от времени данный интеграл можно встретить в таблицах, но пользоваться готовым ответом нежелательно, так как у преподавателя весенний авитаминоз и он сильно заругается. Потому что рассматриваемый интеграл отнюдь не табличный – он берётся по частям. Решаем: Прерываем решение на промежуточные объяснения. Используем формулу интегрирования по частям: ⇐ Предыдущая123456Следующая ⇒ Опора деревянной одностоечной и способы укрепление угловых опор: Опоры ВЛ – конструкции, предназначенные для поддерживания проводов на необходимой высоте над землей, водой. Кормораздатчик мобильный электрифицированный: схема и процесс работы устройства… Организация стока поверхностных вод: Наибольшее количество влаги на земном шаре испаряется с поверхности морей и океанов (88‰)… Папиллярные узоры пальцев рук – маркер спортивных способностей: дерматоглифические признаки формируются на 3-5 месяце беременности, не изменяются в течение жизни… |
Таблица основных интегралов и правила интегрирования. Непосредственное интегрирование. Решение задач и контрольных работ по высшей математике онлайн
- Краткая теория
- Примеры решения задач
- Задачи контрольных и самостоятельных работ
Краткая теория
Функция называется первообразной на интервале для функции , если выполняется равенство для всех
Функции
, где
– произвольная постоянная, также являются
первообразными для функции
, так как
.
Таким образом, функция
имеет бесконечное множество первообразных,
отличающихся друг от друга на константу.
Совокупность всех первообразных называется неопределенным интегралом от функции и обозначается
Таблица основных интегралов
| 1. | |
| 2. | |
| 3. | |
| 4. | |
| 5. | |
| 6. | |
| 7. | |
8.
|
|
| 9. | |
| 10. | |
| 11. | |
| 12. | |
| 13. | |
| 14. | |
| 15. | |
| 16. | |
| 17. |
Непосредственное интегрирование
осуществляется с помощью таблицы неопределенных интегралов и свойств
неопределенного интеграла после преобразований подынтегрального выражения, если
они требуются.
Инвариантность формы записи интеграла
Форма записи любого из приведенных в таблице интегралов не меняется при замене на любую дифференцированную функцию от , то есть если
то
где – дифференцируемая функция
Например, зная, что
имеем
Аналогично, используя
получим:
Если не находите примера, аналогичного вашему, если сами не успеваете выполнить работу, если впереди экзамен по предмету и нужна помощь – свяжитесь со мной:
ВКонтакте
WhatsApp
Telegram
Я буду работать с вами, над вашей проблемой, пока она не решится.
Таблица интегралов от рациональных функций
| 1. | |
| 2. | |
3.
|
|
| 4. | |
| 5. | |
| 6. | |
| 7. | |
| 8. | |
| 9. | |
| 10. | |
| 11. | |
| 12. | |
13.
|
|
| 14. | |
| 15. | |
| 16. | |
| 17. | |
| 18. | |
| 19. | |
| 20. | |
| 21. | |
| 22. | |
| 23. |
Если не находите примера, аналогичного вашему, если сами не успеваете выполнить работу, если впереди экзамен по предмету и нужна помощь – свяжитесь со мной:
ВКонтакте
WhatsApp
Telegram
Я буду работать с вами, над вашей проблемой, пока она не решится.
Интегралы от трансцендентных функций
|
1. |
|
|
2. |
|
|
3. |
|
|
4. |
|
|
5. |
|
|
6. |
|
|
7. |
|
|
8. |
|
|
9. |
|
|
10. |
|
|
11. |
|
|
12. |
|
|
13. |
|
|
14. |
|
|
15. |
|
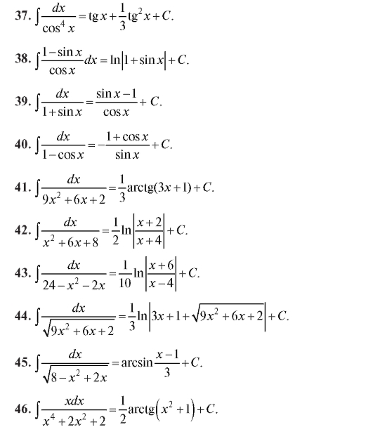
Интегралы от иррациональных функций
| 1. | |
| 2. | |
3.
|
|
| 4. | |
| 5. | |
| 6. | |
| 7. | |
| 8. | |
| 9. | |
| 10. | |
| 11. | |
| 12. | |
| 13. | |
14.
|
|
| 15. | |
| 16. | |
| 17. | |
| 18. | |
| 19. | |
| 20. | |
| 21. | |
| 22. | |
| 23. | |
| 24. | |
| 25. | |
26.
|
|
| 27. |
Если не находите примера, аналогичного вашему, если сами не успеваете выполнить работу, если впереди экзамен по предмету и нужна помощь – свяжитесь со мной:
ВКонтакте
WhatsApp
Telegram
Я буду работать с вами, над вашей проблемой, пока она не решится.
Интегралы от тригонометрических функций
| 1. | |
| 2. | |
| 3. | |
| 4. | |
| 5. | |
6.
|
|
| 7. | |
| 8. | |
| 9. | |
| 10. | |
| 11. | |
| 12. | |
| 13. | |
| 14. | |
| 15. | |
| 16. | |
17.
|
|
| 19. | |
| 20. | |
| 21. | |
| 22. | |
| 23. | |
| 24. | |
| 25. | |
| 26. | |
| 27. | |
| 28. | |
| 29. | |
30.
|
|
| 31. |
Основные правила интегрирования
1) Если , то
где – произвольная постоянная
2)
где – постоянная величина
3)
Интегрирование путем подведения под знак дифференциала
Если
Это правило значительно расширяет таблицу простейших интегралов. А именно, в силу этого правила таблица интегралов оказывается справедливой, независимо от того, является переменная интегрирования независимой переменной или дифференцируемой функцией.
Прежде чем использовать тот или иной табличный интеграл, приводим данный интеграл к виду:
Смежные темы решебника:
- Метод интегрирования по частям и подстановкой
- Интегрирование выражений содержащих квадратный трехчлен
- Интегрирование рациональных функций
- Интегрирование иррациональных функций
- Интегрирование тригонометрических функций
Примеры решения задач
Пример 1
Найти интеграл:
Решение
Чтобы
сделать интеграл табличным,
под дифференциалом делим и умножаем на 2.
Выносим компенсирующий множитель 2 за знак дифференциала и интеграла, вычитаем
под знаком дифференциала из
число 6. В результате получаем:
Пример 2
Найти интеграл:
Решение
Если не находите примера, аналогичного вашему, если сами не успеваете выполнить работу, если впереди экзамен по предмету и нужна помощь – свяжитесь со мной:
ВКонтакте
WhatsApp
Telegram
Я буду работать с вами, над вашей проблемой, пока она не решится.
Заметим, что если сделать замену , тогда
Модуль был снят со знаком плюс, так как в выбранном интеграле
Далее находим
и
Делая обратную подстановку, получим:
Пример 3
Найти интеграл:
Решение
Выносим константу за знак интеграла и применяем формулу таблицы интегралов:
Пример 4
Найти интеграл:
Решение
Вынося под знак дифференциала , получим:
Задачи контрольных и самостоятельных работ
Задача 1
Показать, что функция F(x) является первообразной для функции f(x):
а)
б)
Задача 2
Дана
функция f(x).
Пользуясь определением первообразной, подобрать для нее две
первообразные функции:
а)
б)
Задача 3
Используя инвариантность формы интеграла, найти следующие интегралы:
а)
б)
в)
Задача 4
Вынести функции под знак дифференциала:
а)
б)
Задача 5
Используя метод разложения, найти интегралы:
а)
б)
- Краткая теория
- Примеры решения задач
- Задачи контрольных и самостоятельных работ
Интеграция — свойства, примеры, формулы, методы
Интеграция — это способ объединения частей для получения целого. В интегральном исчислении мы находим функцию, дифференциал которой задан. Таким образом, интегрирование является обратным дифференцированию.
Интегрирование используется для определения и вычисления площади области, ограниченной графиком функций. Площадь криволинейной формы аппроксимируется путем отслеживания количества сторон вписанного в нее многоугольника. Этот процесс, известный как метод истощения, позже был принят как интеграция. Мы получаем два вида интегралов, неопределенные и определенные интегралы. Дифференциация и интегрирование являются фундаментальными инструментами исчисления, которые используются для решения задач в математике и физике. Принципы интеграции были сформулированы Лейбницем. Давайте двинемся дальше и узнаем об интеграции, ее свойствах и некоторых мощных методах.
| 1. | Что такое интеграция? |
| 2. | Интеграция обратного процесса дифференцирования |
| 3. | Правила интеграции |
| 4. | Методы интеграции |
| 5. | Интеграция рациональных алгебраических функций |
6.![]() | Часто задаваемые вопросы по интеграции |
Что такое интеграция?
Интегрирование — это процесс нахождения площади области под кривой. Это делается путем рисования как можно большего количества маленьких прямоугольников, покрывающих площадь, и суммирования их площадей. Сумма приближается к пределу, равному области под кривой функции. Интегрирование — это процесс нахождения первообразной функции. Если функция интегрируема и ее интеграл по области конечен в указанных пределах, то это определенное интегрирование.
Если d/dx(F(x) = f(x), то ∫ f(x) dx = F(x) +C. Это неопределенные интегралы. Например, пусть f(x) = x Функция F(x) = x 3
| Функция F( х) | Производная F'(x) = f(x) | Первообразная f(x) |
| х 3 + 0 | 3х 2 | x 3 + ? |
| x 3 + 2 | 3x 2 | x 3 + ? |
| x 3 – 4 | 3x 2 | x 3 + ? |
Таким образом, мы находим, что производные F(x) = f(x), однако первообразные f(x) не уникальны.
Антипроизводная f(x) — это семейство бесконечно многих функций. На самом деле существуют бесконечные интегралы этой функции, потому что производная любой вещественной константы C равна нулю, и мы можем записать как ∫ cos x. dx = sin x + C. Правило интегрирования заключается в добавлении произвольной константы C из множества действительных чисел. Таким образом, мы заключаем, что если \(\dfrac{dy}{dx}=f(x)\), то мы пишем \(y=\int f(x) dx\), что читается как “Интеграл от f относительно до х.”
Теорема: Если F(x) — частная первообразная функции f(x) на интервале I, то каждая первообразная функции f(x) на I задается формулой ∫ f(x) dx = F (x) + C.
- Здесь ∫ f(x) dx представляет весь класс интегралов.
- C — произвольная константа, и все первообразные f(x) на I могут быть получены путем присвоения C определенного значения.
- Здесь f(x) — подынтегральная функция,
- Переменная x в dx называется интегратором, а весь процесс нахождения интеграла называется интегрированием.
Знак ∫ обозначает сумму.
Интегрирование процесса, обратного дифференцированию
Нам дают производную функции и просят найти ее первообразную, то есть исходную функцию. Такой процесс называется антидифференциацией или интеграцией. Если нам дана производная функции, процесс нахождения исходной функции называется интегрированием. Производные и интегралы противоположны друг другу. Рассмотрим функцию f(x)=sinx. Производная от f(x) равна f'(x) = cos x. Мы говорим, что функция cos x является производной функцией sin x. Точно так же мы говорим, что sin x является антипроизводной cos x.
Правила интеграции
Мы уже знаем формулы производных некоторых важных функций. Вот производные и соответствующие им стандартные интегралы нескольких функций, представленных в виде формул интегрирования.
Для нахождения интегралов определены определенные правила. К ним относятся:
Правила суммирования и разности:
- ∫ [f(x)+g(x)] dx = ∫ f(x) dx + ∫ g(x) dx
- ∫ [f(x)-g(x)] dx =∫ f(x) dx – ∫ g(x) dx
Степенное правило: ∫ x n dx = (x n+1 )/ (n+1)+ C.
(Где n ≠ -1)
Экспоненциальные правила: 92e
Правило умножения констант:
- ∫ a dx = ax + C, где a — константа.
Правило взаимности:
- ∫ (1/x) dx = ln(x)+ C
Свойства интегрирования
Некоторые свойства неопределенных интегралов:
- ∫ [f(x)±g(x)] dx =∫ f(x) dx ± ∫ g(x) dx
- ∫ k f(x) dx = k ∫ f(x) dx, где k — любое действительное число.
- ∫ f(x) dx = ∫ g(x) dx, если ∫ [f(x)-g(x)] dx = 0
- Комбинация первых двух свойств приводит к \(\int [k_1 f_1(x) dx + k_2 f_2 (x) dx + ………k_n f(x)dx]\\\\= k_1 \int f_1(x) dx + k_2 \int f_2 (x) dx + …. +k_n \int f(x) dx\)
Методы интеграции
Иногда осмотра недостаточно, чтобы найти интеграл некоторых функций.
Существуют дополнительные методы приведения функции к стандартной форме для нахождения ее интеграла. Известные методы обсуждаются ниже.
Методы интегрирования:
- Метод декомпозиции
- Интеграция путем замены
- Интегрирование с использованием дробей
- Интеграция по частям
Метод 1: Интегрирование путем разложения
Функции можно разложить на сумму или разность функций, индивидуальные интегралы которых известны. Заданное подынтегральное выражение будет алгебраическим, тригонометрическим или экспоненциальным, или комбинацией этих функций.
Предположим, нам нужно проинтегрировать (x 2 -x +1)/x 3 dx, мы разложим функцию как: ∫ (х 2 /х 3 – х /х 3 +1/х 3 )
= ∫ (1/х)dx – ∫ (1/х 2 ) dx + х (1/х ∫ 3 )dx
Применяя правило взаимности и правило степени, получаем
∫ (x 2 -x +1)/x 3 dx = log|x| + 1/x – 1/2x 2 + C
Метод 2: Интегрирование подстановкой
Интегрирование методом подстановки позволяет изменить переменную интегрирования так, чтобы подынтегральная функция интегрировалась простым способом.
Допустим, нам нужно найти y =∫ f(x) dx.
Пусть x=g(t). Тогда \(\dfrac{dx}{dt}=g'(t)\).
Итак, y= ∫ f(x) dx можно записать как y= ∫ f(g(t)) g'(t).
Например, найдем интеграл от f(x) = sin(mx) с помощью подстановки.
Пусть mx = t. Тогда \(m\dfrac{dx}{dt}=1\).
\(\begin{align}y&=\int \sin{mx}dx\\&=\dfrac{1}{m}\int \sin{t}dt\\&=-\dfrac{1}{ m} \cos{t}+C\\&=-\dfrac{1}{m} \cos{mx}+C\end{align}\)
y=∫ sin(mx)dx можно записать как ∫ f(g(t)) g'(t)dt
Примечание: Замена переменной интегрирования может также использовать тригнометрические тождества. Вот несколько важных стандартных результатов:
- ∫ tan x dx = log|secx| +С
- ∫ раскладушка x dx = log|sin x| +С
- ∫cosec x dx = log|cosec x -cot x| +С
- ∫ sec x dx = log|secx + tan x| +С
Метод 3: интегрирование с использованием дробей
Предположим, нам нужно найти \(y=\int \dfrac{P(x)}{Q(x)} dx\), где \(\dfrac{P(x)} {Q(x)}\) — несобственная рациональная функция.
Мы уменьшаем его таким образом, что \(\dfrac{P(x)}{Q(x)}=T(x)+\dfrac{P_{1}(x)}{Q(x)}\). Здесь T(x) полиномиальна по x и \(\dfrac{P_{1}(x)}{Q(x)}\) является правильной рациональной функцией. В следующей таблице показаны некоторые рациональные функции и соответствующие им формы частных дробей.
Например, давайте найдем интеграл от \(f(x)=\dfrac{1}{(x+1)(x+2)}\), используя интегрирование по неполным дробям.
Используя неполную дробь, мы имеем \(\dfrac{1}{(x+1)(x+2)}=\dfrac{A}{x+1}+\dfrac{B}{x+2} \ cdots (1)\).
Определим значения A и B.
При сравнении в уравнении (1) получаем 1=A(x+2)+B(x+1).
Отсюда у нас есть набор из двух линейных уравнений.
A+B=0 и 2A+B=1
Решая эти уравнения, получаем A=1 и B=-1.
Итак, уравнение (1) можно записать в виде \(\dfrac{1}{(x+1)(x+2)}=\dfrac{1}{x+1}-\dfrac{1}{x +2}\).
Теперь решим интеграл
\(\begin{align}\int \left(\dfrac{1}{(x+1)(x+2)}\right)dx\\=\int \left( \dfrac{1}{x+1}-\dfrac{1}{x+2}\right)dx\\=\log{|x+1|}-\log{|x+2|}+C\ \=\log{\left|\dfrac{x+1}{x+2}\right|}+C\end{align}\)
Метод 4: Интегрирование по частям
Это правило интегрирования используется для поиска интеграл от двух функций.
По правилу произведения производных имеем \(\dfrac{d}{dx}(uv)=u\dfrac{dv}{dx}+v\dfrac{du}{dx}\;\;\;\ ;\;\;\;\cdots (1)\)
Интегрируя обе части уравнения (1), получаем \(\int u\dfrac{dv}{dx}dx=uv-\int v\dfrac{du}{dx} dx\;\;\ ;\;\;\;\; \cdots (2)\)
Уравнение (2) можно записать в виде \(uv=\int u\dfrac{dv}{dx}dx+\int v\dfrac{du} {dx} dx\)
Пусть u=f(x) и \(\dfrac{dv}{dx}=g(x)\).
Тогда имеем \(\dfrac{du}{dx}=f'(x)\) и v = ∫ g(x)dx.
Итак, уравнение (2) принимает вид
\(\begin{align}\int f(x) g(x)dx\\=f(x) \int g(x)dx-\int [f'( x) \int g(x)dx]dx\end{align}\) 9{x}+C\end{align}\)
Несколько важных стандартных результатов (формула Бернулли):
- ∫ e ax sin bx dx = e ax /(a 2 + b 2 )[a sin bx – b cos bx] + C
- ∫ e ax cos bx dx = e ax /(a 2 + b 2 )[a cos bx + b sin bx] + C
Интеграция рациональных алгебраических функций
Чтобы проинтегрировать рациональные алгебраические функции, числитель и знаменатель которых содержат некоторые положительные целые степени x с постоянными коэффициентами, мы используем интегрирование неполными дробями и получаем несколько стандартных результатов, которые можно непосредственно применять в качестве формул интегрирования.
- ∫1/ (a 2 – x 2 ) dx = (1/2a) log|(a+x)/(a-x)| +С
- ∫1/ (x 2 – a 2 ) dx = (1/2a) log|(x-a)/(x+a)| +С
- ∫1/ √(x 2 – a 2 ) dx = log |x + √(x 2 – a 2 )|+C
- ∫ 1/ √(x 2 + a 2 ) dx = log |x + √(x 2 + a 2 )|+C
- ∫ 1/ √(a 2 – x 2 ) dx = sin -1 (х/д) +C
- ∫1/ (a 2 + x 2 ) dx = (1/a) tan -1 (x/a) + C
Важные примечания
- Интеграция – это процесс, обратный дифференциации.
- Всегда добавляйте постоянную интегрирования после определения интеграла функции.
- Если две функции, например f(x) и g(x), имеют одинаковые производные, то |f(x)-g(x)|= C, где C — некоторая константа.
☛ Также проверьте:
- Интеграция УФ-формулы
- Формула дифференцирования и интегрирования
Часто задаваемые вопросы по интеграции
Что такое интеграция?
Процесс нахождения первообразных функций, также известных как интегралы, называется интегрированием.
Это метод нахождения функции g(x), производная которой d/dx(g(x)), равна функции f(x). Он представляется как ∫ f(x) и называется неопределенным интегралом функции. ∫ f(x)dx представляет собой сумму произведения функции и ее смещения по x.
Какая польза от интеграции?
Определенные интегралы при интегрировании используются для нахождения таких величин, как площадь, объем и т. д., которые можно интерпретировать как площадь под кривой. Установлено, что первообразные помогают при вычислении определенных интегралов.
Что такое интеграция 1?
Интеграция 1 равна (x+C). Интегрирование константы, т. е. ∫ a. dx = ax + C, где a — постоянная. Здесь ∫1. dx = x + C
Каковы методы интегрирования функции?
Существует множество способов интеграции функции. Несколько стандартных интегралов просто находят первообразные, для которых используются основные формулы интегрирования. Есть несколько методов, которым нужно следовать, например, метод замены, интегрирование по частям и интегрирование с использованием неполных дробей.
Они обсуждаются здесь, в этой статье.
Каковы правила интеграции?
Существует множество правил интегрирования, которые помогают нам находить интегралы. правило степени, правила суммы и разности, экспоненциальное правило, правило взаимности, правило констант, правило подстановки и правило интегрирования по частям.
Что такое интегрирование √x?
Согласно степенному правилу интегрирования мы знаем ∫ x n dx = (x n+1 )/ (n+1)+ C.
∴ ∫ x ½ . dx = (x ½+1 )/ (½+1)+ C.
= (x 3/2 )/ (3/2)+ C = (2/3) x 3/2
Как интеграция используется в реальной жизни?
Применение интеграции в реальной жизни упомянуто ниже.
- В электротехнике нам нужен кабель для соединения двух подстанций, которые находятся на расстоянии миль друг от друга. Интеграция помогает нам найти точную длину кабеля.
- В физике интегрирование используется для нахождения центра масс, центра тяжести, скорости объекта и т.
д. - В эпидемиологии интегральное исчисление используется для изучения распространения инфекционного заболевания.
Почему важна интеграция?
Исчисление основано на концепциях производных и интегрирования. В математике мы используем интегрирование для нахождения площадей, объемов, перемещений и т. д. Фактически, концепция интегрирования в исчислении породила интегральное исчисление.
Системная интеграция: типы, методы и подходы
Время чтения: 10 минут
Использование разных ИТ-компонентов для разных задач — обычная практика. Но по мере расширения бизнес-функций компании могут быть перегружены множеством разрозненных инструментов, которые не могут обмениваться данными и работать вместе. Тогда на помощь приходит системная интеграция.
В этой статье мы рассмотрим существующие методы и технологии для объединения отдельных частей программного и аппаратного обеспечения в единую экосистему, затронем ключевые этапы интеграции и роль системного интегратора.
Что такое системная интеграция и когда она нужна?
Системная интеграция — это процесс объединения программных и аппаратных модулей в единую инфраструктуру, позволяющую всем частям работать как единое целое. Часто называемая ИТ-интеграцией или интеграцией программного обеспечения, она дает следующие преимущества.
Повышенная производительность. Интегрированные системы позволяют централизованно контролировать повседневные процессы, что повышает эффективность всего рабочего процесса. Компания выполняет больше работы за меньшее время благодаря тому, что сотрудники могут использовать все приложения и данные, которые им нужны, из одной точки входа.
Более точные и достоверные данные. Данные обновляются во всех компонентах системы одновременно, сохраняя все отделы на одной странице.
Более быстрое принятие решений. Данные больше не разбросаны по разрозненным хранилищам. Таким образом, для выполнения аналитики вам не нужно вручную загружать и экспортировать ее в централизованный репозиторий.
Вместо этого, благодаря целостному представлению всей информации, вы можете извлечь полезную информацию для бизнеса, чтобы быстрее принимать правильные решения.
Экономическая эффективность. Чаще всего системная интеграция обходится дешевле, чем замена всех разрозненных частей новой единой системой. Не говоря уже о сложном процессе внедрения новых компьютерных инфраструктур.
Ниже мы перечислим наиболее распространенные типы системной интеграции, отвечающие различным потребностям бизнеса.
Интеграция устаревших систем
Цель: интеграция современных приложений в существующие устаревшие системы
Многие организации используют устаревшее программное обеспечение для выполнения своих основных бизнес-функций. Ее нельзя удалить и заменить более современной технологией, поскольку она имеет решающее значение для повседневного рабочего процесса компании. Вместо этого унаследованные системы можно модернизировать, установив канал связи с более новыми информационными системами и технологическими решениями.
Пример: подключение устаревшей системы CRM к хранилищу данных или системе управления транспортировкой (TMS).
Интеграция корпоративных приложений (EAI)
Цель: объединение различных подсистем в одной бизнес-среде
По мере роста компании внедряют все больше и больше корпоративных приложений для оптимизации процессов фронт- и бэк-офиса. Эти приложения часто не имеют общих точек соприкосновения и накапливают огромные объемы данных по отдельности. Интеграция корпоративных приложений (EAI) объединяет все функции в одну бизнес-цепочку и автоматизирует обмен данными в реальном времени между различными приложениями.
Пример: создание единой экосистемы для бухгалтерского учета, информации о человеческих ресурсах, управления запасами, планирования ресурсов предприятия (ERP) и CRM-систем компании.
Интеграция сторонних систем
Цель: расширение функциональности существующей системы
Интеграция сторонних инструментов — отличный вариант, когда вашему бизнесу нужны новые функции, но вы не можете позволить себе разработку программного обеспечения на заказ или просто нет времени ждать, пока функции будут построены с нуля.
Пример: интеграция существующего приложения с системами онлайн-платежей (PayPal, WebMoney), социальными сетями (Facebook, LinkedIn), онлайн-сервисами потокового видео (YouTube) и т. д.
Интеграция между компаниями
Цель : соединяющие системы двух или более организаций
Интеграция между предприятиями или B2B автоматизирует транзакции и обмен документами между компаниями. Это приводит к более эффективному сотрудничеству и торговле с поставщиками, клиентами и партнерами.
Пример: подключение системы закупок розничного продавца к ERP-системе поставщика.
В любой ситуации основная цель системной интеграции всегда одна и та же — собрать воедино разрозненные и разделенные части посредством построения целостной сети. Давайте посмотрим на существующие технологии и архитектурные модели, благодаря которым происходит волшебство интеграции.
Способы соединения систем
Существуют различные способы обеспечения соединения между отдельными системами.
Вкратце рассмотрим наиболее распространенные «коннекторы».
Интерфейсы прикладного программирования (API) обеспечивают наиболее распространенный и простой способ подключения двух систем. Находясь между приложениями и веб-службами, они обеспечивают передачу данных и функций в стандартизированном формате. Большинство поставщиков онлайн-услуг — от социальных сетей до туристических платформ — создают внешние API, чтобы клиенты могли легко ссылаться на их продукты.
Промежуточное ПО — это скрытый программный уровень, который объединяет распределенные системы, приложения, службы и устройства. Он выполняет различные задачи, такие как управление данными, обмен сообщениями, управление API или аутентификация. Доступ к облачному промежуточному ПО можно получить через API. В свою очередь API-шлюз можно рассматривать как промежуточное ПО между набором сервисов и использующих их систем.
Веб-перехватчики, , также известные как обратные вызовы HTTP , представляют собой сообщения в реальном времени, отправляемые одной системой другой, когда происходит определенное событие.
Например, бухгалтерское программное обеспечение может получать веб-уведомления о транзакциях от платежных шлюзов или систем онлайн-банкинга.
EDI — аббревиатура для электронного обмена данными — это обмен деловой информацией в стандартном электронном формате, который заменяет бумажные документы. EDI обычно происходит двумя способами: через сеть с добавленной стоимостью (VAN) , в которой сторонняя сеть отвечает за передачу данных, или прямые соединения через Интернет.
Все эти соединители можно комбинировать и использовать при создании сложных системных интеграций. Если у компаний есть уникальные потребности и требования к системной интеграции, лучше выбирать решения, созданные по индивидуальному заказу, будь то API, веб-перехватчики или промежуточное программное обеспечение.
Как подойти к системной интеграции
Системная интеграция многогранна и может осуществляться с помощью различных архитектурных моделей, в зависимости от количества и характера компонентов, которые необходимо соединить.
Модель «точка-точка»
Интеграция «точка-точка» (P2P) — это архитектурный шаблон, в котором каждая система напрямую связана со всеми другими системами и приложениями, которые ей необходимы для совместной работы и обмена информацией. Эта модель может быть реализована с помощью API, веб-перехватчиков или пользовательского кода.
При двухточечном соединении данные извлекаются из одной системы, модифицируются или форматируются, а затем отправляются в другую систему. Каждое приложение реализует всю логику трансляции, преобразования и маршрутизации данных с учетом протоколов и поддерживаемых моделей данных других интегрированных компонентов.
Архитектура интеграции “точка-точка” (звезда/спагетти).
Плюсы и минусы: Одним из основных преимуществ двухточечной интеграции является возможность ИТ-команды довольно быстро построить небольшую интегрированную систему. С другой стороны, модель сложно масштабировать, а управление всеми интеграциями становится очень сложным по мере роста количества приложений.
Скажем, чтобы соединить шесть модулей между собой, нужно выполнить 15 интеграций. Это приводит к так называемому интеграция звезды/спагетти.
Когда использовать: Этот подход подходит компаниям, у которых нет сложной бизнес-логики и которые выполняют свои операции всего на нескольких программных модулях. Это также идеальный вариант для предприятий, стремящихся подключиться к приложениям SaaS.
Модель со ступицей и звездой
Модель со ступицей и звездой представляет собой более продвинутый тип архитектуры интеграции, который решает проблемы двухточечной связи и помогает избежать беспорядка типа «звезда/спагетти». Соединения между всеми подсистемами обрабатываются центральным концентратором (брокером сообщений), поэтому они не взаимодействуют друг с другом напрямую.
Концентратор служит промежуточным программным обеспечением, ориентированным на сообщения, с механизмом централизованной интеграции для перевода операций на единый канонический язык и маршрутизации сообщений в нужные места назначения.
Лучи (адаптеры), соединяющие концентратор с подсистемами, управляются индивидуально.
Архитектура узловой интеграции.
Плюсы и минусы: В отличие от P2P, эта модель имеет ряд преимуществ, включая более высокую масштабируемость. Поскольку каждая система имеет только одно подключение к центральному концентратору, все становится лучше с точки зрения безопасности и простоты архитектуры. Однако слабостью такой модели может быть централизация хаба. Вся инфраструктура зависит от единого механизма интеграции, который может стать ключевым узким местом по мере увеличения рабочей нагрузки.
Когда использовать: Модель «звезда» широко используется в электронной коммерции, финансовых операциях и обработке платежей. Кроме того, это предпочтительная архитектура для строго регулируемых отраслей, которые сталкиваются со значительными рисками безопасности.
Модель корпоративной служебной шины (ESB)
Архитектура ESB включает создание отдельной специализированной подсистемы — корпоративной служебной шины, которая служит общим уровнем пользовательского интерфейса, соединяющим другие подсистемы.
ESB можно описать как набор сервисов промежуточного программного обеспечения, которые объединяют несколько систем, выступая в качестве магистрали обмена сообщениями. В отличие от звездообразной системы с одним централизованным механизмом интеграции, в ESB каждая система поставляется с отдельным механизмом интеграции и адаптером, который переводит сообщение в канонический формат и обратно в целевой поддерживаемый формат. Первоначально предназначенные для соединения сложных внутренних систем крупных предприятий, ESB также могут работать с облачными сервисами.
Архитектура интеграции служебной шины предприятия.
Плюсы и минусы: Одна из лучших особенностей ESB заключается в том, что каждая подсистема отделена «шиной обмена сообщениями», поэтому ее можно заменить или изменить, не влияя на функциональность других подсистем. Это играет в пользу высокой масштабируемости. Также такие проекты надежны и достаточно просты в проектировании.
Что касается минусов, обслуживание и устранение неполадок усложняются при распределении задач интеграции по системам.
Когда использовать: Модель ESB — это оптимальный способ реализации крупных проектов, таких как интеграция корпоративных приложений (EAI), позволяющий масштабировать их по мере необходимости. Это хорошо подходит, если компании необходимо собрать все вместе на месте.
Варианты развертывания для интегрированных систем
Хотя мы описали три наиболее распространенные архитектуры, на самом деле все гораздо сложнее. Единого подхода к интеграции может быть недостаточно, особенно если речь идет о предприятиях, использующих широкий спектр технологий. Часто компаниям приходится объединять все три шаблона в рамках одной экосистемы, используя различные типы промежуточного программного обеспечения и уровни API между ИТ-компонентами. К счастью, все большее число облачных платформ предлагают свои услуги для выполнения сложных интеграций. Ниже приведены два популярных варианта развертывания.
Платформа интеграции как услуга (iPaaS)
Платформа интеграции как услуга — это набор облачных интеграционных решений, которые в основном используются для создания и развертывания интеграций в облаке.
В качестве комплексной услуги iPaaS объединяет системы, процессы и данные, делая их доступными через единый пользовательский интерфейс. Он представляет собой библиотеку предварительно созданных соединителей, которые позволяют разрозненным приложениям взаимодействовать друг с другом, независимо от того, где они размещены. iPaaS обрабатывает преобразование данных и доставку из приложений и в приложения.
Упрощенная иллюстрация возможных соединений iPaaS.
Плюсы и минусы: iPaaS выгоден во многих отношениях. Он гибкий, многофункциональный и масштабируемый. Благодаря iPaaS действия по интеграции автоматизированы, что упрощает подключение систем и баз данных, развернутых в любой среде, и ускоряет выполнение проектов.
Что касается недостатков, могут возникнуть проблемы с безопасностью, как и в любом общедоступном облаке.
Когда использовать: iPaaS отлично подходит для приложений, работающих в режиме реального времени, и позволяет использовать различные сценарии интеграции, включая интеграцию корпоративных приложений (EAI), интеграцию данных, облачную интеграцию, интеграцию B2B, управление API, интеграцию с Интернетом вещей и многое другое.
Гибридная интеграционная платформа (HIP)
Гибридная интеграционная платформа или HIP — это более универсальная версия того, что предлагает iPaaS. Это набор интеграционного программного обеспечения, предоставляющего встроенные возможности для того, чтобы локальные и облачные решения работали как единое целое.
Платформы интеграции выступают в качестве промежуточного программного обеспечения между устаревшими системами, работающими на физическом оборудовании, приложениями и базами данных в частном облаке, и системами, работающими в общедоступном облаке.
Такие платформы требуют минимальной настройки. Они взаимодействуют и интегрируются с любыми системами, используя два основных компонента — соединители протоколов для обработки протоколов связи, таких как HTTP, TCP, JMS и т. д., и средство форматирования сообщений для обработки различных форматов данных, таких как JSON, XML и т. д.
Диаграмма платформы гибридной интеграции.
Плюсы и минусы: HIP предоставляют различные возможности: от управляемых API и облачных предложений до многоразовых шаблонов интеграции для обычных случаев использования. С этой моделью компании могут рассчитывать на высокую безопасность и сокращение затрат и времени на интеграцию, а также усилий по обслуживанию. В то же время интеграционные платформы еще не достигли стадии зрелости, поэтому подобрать подходящее готовое решение может быть непросто.
Когда использовать: Основное внимание HIP уделяется цифровому преобразованию устаревших систем.
Это отличная платформа для организаций, которым необходимо обеспечить связь между локальными и облачными решениями.
Основные этапы системной интеграции
Компании могут автоматизировать и добиться полной прозрачности своих бизнес-операций, объединив корпоративные данные и системы. Если вы хотите провести эффективную интеграцию и вернуть свои инвестиции в кратчайшие сроки, вам нужно сделать несколько важных шагов.
Шаги, необходимые для интеграции системы.
Планирование и технико-экономический анализ
Каждый процесс интеграции начинается с оценки интегрируемых систем и разработки реалистичной стратегии. Нарисуйте точную картину вашего текущего программного обеспечения и его технических характеристик и определите все требования к интеграции. Также определите объем вашего интеграционного проекта, его график и стоимость. Рекомендуется включить в свой план все возможные риски и способы их преодоления.
Моделирование архитектуры
Этот шаг включает в себя выбор одной из распространенных моделей, упомянутых выше, или разработку пользовательской архитектуры для удовлетворения ваших конкретных потребностей.
Вам также нужны подробные чертежи того, как системы будут взаимодействовать с другими всеобъемлющими системами. Наиболее трудоемкий, этот этап имеет большое значение, так как на нем очерчиваются модель интеграции, методы и процесс в целом. На этом этапе создаются предварительный и физический проекты.
Реализация
Новая интегрированная система тщательно протестирована, чтобы убедиться, что все модули беспрепятственно взаимодействуют друг с другом без потери данных во время передачи. После этого его можно реализовать и представить пользователям. Рекомендуется, чтобы этап реализации был коротким, чтобы избежать проблем, связанных с возможными изменениями в процессе интеграции. Agile-управление проектами может применяться во время и после этой фазы, чтобы помочь компании приспособиться к изменяющемуся ландшафту интеграционных систем.
Техническое обслуживание
Вы не должны пренебрегать плановым обслуживанием системы. Рекомендуется запланировать диагностику производительности, чтобы убедиться, что все модули работают безупречно и не возникают ошибки.
Какова роль системных интеграторов?
У вас могут быть лучшие технологии интеграции, но без человеческого опыта они не принесут вам большой пользы. Вместо самостоятельной разработки и реализации интеграционного проекта вы можете воспользоваться услугами системных интеграторов, обладающих всеми необходимыми ресурсами и опытом.
Системный интегратор (SI) — это физическое лицо или компания, которые помогают клиентам соединить разрозненные компьютерные подсистемы от разных поставщиков и обеспечивают, чтобы эти подсистемы функционировали в соответствии друг с другом. Системные интеграторы выполняют различные задачи, такие как планирование, регулирование, тестирование и часто обслуживание компьютерных операций.
Услуги системных интеграторов могут быть вашим лучшим выбором, если вы хотите сэкономить время и силы. Вместо того, чтобы искать и общаться с вендорами самостоятельно, вы передаете проект специалистам, которые уже имеют все необходимые связи и знают, как лучше всего подойти к системной интеграции в вашем случае.
Наиболее выгодно иметь системного интегратора — это опыт и ресурсы, которые он предлагает, которых клиентам часто не хватает внутри компании.
5 общих проблем интеграции данных (и способы их решения)
Большинство предприятий ежедневно обрабатывают огромные объемы данных.
Интернет-пользователи генерируют около 2,5 квинтиллионов байт данных каждый день, и все больше и больше организаций инвестируют в большие данные и искусственный интеллект (ИИ). Но как ваш бизнес может максимально эффективно использовать имеющиеся в его распоряжении данные?
Компании должны иметь надежную стратегию работы с большими данными для сбора, обработки и анализа данных. Это необходимо для принятия обоснованных и обоснованных решений. Важным компонентом эффективной стратегии обработки данных является интеграция данных .
Что такое интеграция данных?
Интеграция данных означает объединение данных из двух или более разрозненных источников в один единый источник достоверности.
В ходе этого процесса данные могут быть преобразованы или просто переданы. Компании используют интеграцию данных для получения единого представления о своем бизнесе. В зависимости от потребностей бизнеса вы можете полностью интегрировать два источника или только определенные типы данных.
Интеграция данных позволяет организациям получать актуальную, расширенную и ценную информацию о различных областях бизнеса. Данные об эффективности маркетинга, удовлетворенности клиентов, продажах и других процессах становятся доступными по всей компании.
Проще говоря, интеграция данных необходима для получения всестороннего представления о вашем бизнесе и предоставления вам возможности принимать решения на основе данных. Опрос 2019 года показал, что 55% данных, собранных компаниями, не используются — другими словами, у большинства компаний есть неиспользованная золотая жила данных, хранящихся в их системах.
Благодаря интеграции данных вы можете соединить свой стек программного обеспечения, чтобы обеспечить непрерывный и эффективный поток данных в вашей организации, гарантируя, что все ключевые игроки имеют доступ к наиболее важным данным, когда и где они больше всего в них нуждаются.
Один из лучших способов добиться этого — использовать интеграционное программное обеспечение для объединения данных в различных приложениях в вашем программном стеке.
Проблемы интеграции данных
На рынке существует множество решений, которые помогут вам в этом. Тем не менее, даже имея так много ресурсов, доступных для создания потрясающей стратегии интеграции данных, все же можно избежать распространенных ошибок. Вот как их распознать и избежать.
1. У вас разные форматы данных и источники
Ваш бизнес собирает данные с помощью различных приложений, таких как программное обеспечение для бухгалтерского учета и выставления счетов, инструмент для привлечения потенциальных клиентов, приложение для маркетинга по электронной почте, CRM, приложение для обслуживания клиентов и другие.
Каждый из этих инструментов используется и поддерживается разными командами, и у каждой из них есть свои собственные процессы для ввода и обновления данных. Они могут даже добавлять в систему данные, которые уже существуют в других приложениях или в других форматах.
Например, одна команда может вводить номера телефонов в одно приложение как (00) 555-5555, а другая команда вводить их в другое приложение как +00 555 5555.
2. Ваши данные недоступны там, где они должны быть
Это приводит к тому, что ваша команда тратит много времени и не имеет доступа к информации, которая могла бы иметь решающее значение для производительности их работы, что приводит нас ко второй проблеме…
Эта проблема возникает из-за существования хранилищ данных. Хранилища данных — это группы данных, доступных одному отделу, но изолированных от остальной части организации.
Если нет согласованности в отношении того, как, кто и где вводить и обновлять данные, вы неизбежно столкнетесь с информационными хранилищами в вашей организации.
Представьте, что ваша маркетинговая команда работает над новой персонализированной электронной кампанией для существующих клиентов. Поскольку они обсуждают, как собирать данные о клиентах для создания более целенаправленной кампании, ваша служба поддержки клиентов собирает именно такие данные, а маркетинг ничего об этом не знает.
Данные хранятся в вашем программном обеспечении поддержки клиентов, в то время как маркетологи ломают голову, пытаясь придумать способы получить эту информацию.
3. У вас некачественные или устаревшие данные
Если у вас нет общекорпоративных стандартов для ввода и обслуживания данных — и когда многое все еще необходимо делать вручную — вы неизбежно столкнетесь с неточными, устаревшими и/или дублирующими данными.
Разные отделы могут вводить одни и те же данные в разные системы, что приводит к дублированию. Или, если вашей команде необходимо время от времени обновлять данные вручную, это может привести к ошибкам при вводе данных или к тому, что огромные объемы данных вообще не будут обновляться.
Это также может произойти, если вы долгое время не организуете свои базы данных.
В результате ваши данные противоречивы и ненадежны, а если вы не можете доверять своим данным, вы не можете доверять анализу, который вы на их основе получаете.
4.
Вы используете не то программное обеспечение для интеграции, которое соответствует вашим потребностям. – или у вас даже может быть правильное программное обеспечение, но вы используете его неправильно.Например, вы можете использовать интеграцию на основе триггера для выравнивания баз данных двух приложений. Однако это решение не синхронизирует исторические данные (данные, которые были введены в ваши инструменты до настройки интеграции) и только передает данные с одной платформы на другую. Если вы хотите, чтобы эти базы данных были синхронизированы, вам потребуется двусторонняя интеграция.
5. У вас слишком много данных
Там есть такая вещь как слишком много данных. Если ваша компания собирает данные без разбора, вы получите много информации, которая вам не нужна, и она может спрятать под ней ценную информацию. Это похоже на накопление предметов: если ваши ящики забиты вещами, которые вам не нужны, становится намного труднее найти в беспорядке то, что вам и нужно, и вам потребуется гораздо больше времени, чтобы найти это.
, слишком.
Эта проблема усугубляется, если вы собираете данные из нескольких каналов без надлежащей системы управления данными. С огромными объемами данных, создаваемых ежедневно, становится большой проблемой управлять, анализировать и извлекать ценность из ваших данных, когда вы не можете найти сигнал в шуме.
Как создать лучший план интеграции данных
Если вы столкнулись с некоторыми или всеми из этих проблем при разработке стратегии интеграции данных вашей организации, не беспокойтесь — есть несколько шагов, которые вы можете предпринять, чтобы убедиться, ваш план интеграции данных проходит гладко.
1. Очистите свои данные
Очистите свои данные — это абсолютно важный шаг, который необходимо предпринять, прежде чем даже думать об интеграции вашей программной экосистемы. Первое, что вам нужно сделать, это просмотреть существующие базы данных и:
- Убрать дубликаты. Вы можете использовать средство дедупликации, например, Dedupely.
Ваши приложения также могут иметь возможность сканировать и объединять дубликаты. Это присутствует в некоторых CRM и инструментах управления контактами, таких как Google Contacts. - Сканируйте свои инструменты на наличие устаревших или недействительных данных. Это включает в себя электронные письма, которые постоянно возвращаются в ваш инструмент электронного маркетинга, номера телефонов в недопустимом формате, контакты с неправильно написанным именем и т. д. Избавьтесь от этих данных — это не принесет вам никакой пользы!
- Внимательно изучите каналы, по которым вы собираете данные , и подумайте, как их можно оптимизировать. Например, если у вас есть форма на целевой странице, полная ненужных информационных полей, удалите их из формы и собирайте только те данные, которые вам действительно нужны. Кроме того, убедитесь, что вы соблюдаете политики защиты данных, такие как Общий регламент по защите данных (GDPR).
Очистка ваших баз данных может занять много времени, но если вы сделаете это правильно, а затем настроите инструмент интеграции, вам нужно будет сделать это только один раз.
Забота об этом улучшит качество ваших данных по всем направлениям и обеспечит плавный и эффективный процесс интеграции.
2. Внедрить четкие процессы управления данными
Затем внедрить общекорпоративные стандарты ввода и обслуживания данных. Владение данными является важной частью этого: это означает назначение одной команды или отдельного лица, ответственного за качество и управление вашими данными. Им нужно будет убедиться, что все, что входит в ваши системы, соответствует коду в соответствии с политиками и стратегией компании.
Если это невозможно для вашей организации, обязательно обучите всех членов команды тому, как правильно вводить и обновлять данные, а также объясните им, как ваши инструменты подключены.
Внедрив общекорпоративные протоколы ввода и управления данными, вы сможете значительно сократить количество некачественных, устаревших или дублирующихся данных в вашей системе.
3. Сделайте резервную копию ваших данных
Перед тем, как перейти к фактической интеграции данных, важно — и часто упускается из виду — шаг к сделайте резервную копию ваших данных .
Ваши приложения могут уже предлагать возможность резервного копирования ваших данных, поэтому проверьте, возможно ли это у вашего поставщика программного обеспечения. Вы можете создать резервную копию в облаке или на физическом жестком диске — или даже в том и другом, если хотите быть в большей безопасности.
После очистки и резервного копирования данных можно переходить к фактической интеграции.
4. Выберите правильное программное обеспечение, которое поможет вам в интеграции данных
Очень важно иметь правильное программное обеспечение для интеграции, соответствующее вашим потребностям. Он автоматизирует большую часть ваших задач по управлению данными и автоматически синхронизирует данные между приложениями в вашем программном стеке, что значительно снижает потребность в ручном вводе данных, унифицирует форматы данных и снижает вероятность ошибок.
Программное обеспечение для интеграции — это нить, которая связывает все вместе в вашем стеке. Он обеспечивает непрерывный поток данных между различными приложениями и гарантирует, что каждая команда имеет доступ к нужной информации в нужное время.
Прежде чем выбрать интеграционное решение, необходимо ответить на следующие вопросы:
- Какие данные необходимо интегрировать?
- Какие из ваших приложений нужно интегрировать и как?
- Как должны передаваться данные внутри организации? Вам нужен односторонний или двусторонний поток информации?
- Вам нужна постоянная синхронизация в реальном времени или отправка данных по триггеру?
Существуют различные виды интеграционных платформ, которые лучше всего подходят для различных вариантов использования. Возможно, вы захотите использовать интеграцию внутри приложения, предлагаемую инструментами, которые вы уже используете, или вам может потребоваться использовать стороннюю интеграционную платформу или поставщика интеграционной платформы как услуги (iPaaS).
После того, как вы точно определите, что вам нужно от интеграционного решения, вы будете в гораздо лучшем положении, чтобы выбрать правильное программное обеспечение для вас.
Если инструменты, которые вы используете, уже предлагают встроенную интеграцию, отвечающую всем вашим требованиям, это отличная отправная точка.
Однако, если это не совсем соответствует вашим требованиям, развертывание инструмента iPaaS — отличная идея. Эти инструменты включают такие платформы, как Zapier, Tray.io и Automate.io, которые специализируются на автоматизации рабочих процессов и односторонней отправке данных. Это позволит вам создавать триггерные рабочие процессы во всем программном стеке.
Если вам нужна непрерывная синхронизация данных клиентов в режиме реального времени, возможно, вам лучше всего подойдет такой инструмент, как Operations Hub. Operations Hub поддерживает обмен вашими контактами между базами данных двумя способами и в режиме реального времени, а это означает, что каждый раз, когда вы изменяете или обновляете какие-либо контактные данные, это изменение также отражается в других ваших приложениях. Это также относится к данным, созданным до настройки синхронизации.
Возможно, вы даже решите, что вам лучше всего подойдет сочетание программного обеспечения для интеграции, например, использование Zapier для односторонней передачи некоторых основных данных и Operations Hub для синхронизации данных о клиентах между вашими инструментами.
5. Управление данными и их обслуживание
Эти шаги помогут вам автоматизировать значительную часть вашей стратегии управления данными и убедиться, что ваша организация располагает согласованными, актуальными и ценными данными, что, в свою очередь, поможет вам лучше извлекать аналитика для принятия решений на основе данных.
Но управление данными — это непрерывный процесс: вам все еще нужно время от времени проверять свои базы данных, чтобы убедиться, что все работает гладко, убедиться, что ваша команда следует правильным процессам, проверить, работают ли ваши существующие инструменты, а также они должны, и определите, нужно ли обновить или адаптировать какие-либо части вашей стратегии.
Это особенно важно, если ваш бизнес растет — ваша стратегия интеграции данных, скорее всего, должна будет развиваться вместе с вами по мере вашего роста.
Зная об этих проблемах и зная, как решить их в своей стратегии обработки данных, вы будете в лучшем положении для сбора и анализа данных, имеющихся в распоряжении вашей организации, и принятия действенных решений на основе данных.
Темы: Интеграции
Не забудьте поделиться этим постом!
Примеры изменения порядка интегрирования в двойных интегралах
Дан двойной интеграл
\начать{выравнивать*}
\iint_\dlr f(x,y)\,dA
\конец{выравнивание*}
функции $f(x,y)$ над областью $\dlr$, вы можете записать ее
как два различных повторных интеграла. Вы можете интегрироваться с
сначала по $x$, или вы можете сначала проинтегрировать по $y$.
Если вы сначала проинтегрируете по $x$, вы получите
интеграл, который выглядит примерно так
\начать{выравнивать*}
\iint_\dlr f(x,y)\,dA = \int_{\Box}^{\Box}
\left(\int_{\Box}^{\Box} f(x,y)\,dx \right) dy,
\конец{выравнивание*}
и если вы сначала проинтегрируете по $y$, вы получите
интеграл, который выглядит примерно так
\начать{выравнивать*}
\iint_\dlr f(x,y)\,dA = \int_{\Box}^{\Box}
\left(\int_{\Box}^{\Box} f(x,y)\,dy \right) dx.
\конец{выравнивание*}
Мы часто говорим, что первый интеграл находится в порядке $dx\,dy$, а второй интеграл – в порядке $dy\,dx$.
Одной из сложных частей вычисления двойных интегралов является определение пределов интегрирования, т. е. определение того, что поставить вместо прямоугольников $\Box$ в приведенных выше интегралах. В некоторых ситуациях нам известны пределы интегрирования порядка $dx\,dy$ и необходимо определить пределы интегрирования для эквивалентного интеграла порядка $dy\,dx$ (или наоборот). Процесс переключения между порядком $dx\,dy$ и порядком $dy\,dx$ в двойных интегралах называется изменением порядка интегрирования (или изменением порядка интегрирования).
Изменить порядок интегрирования немного сложно, потому что это сложно
записать определенный алгоритм процедуры. Самый простой способ
выполнить задание через рисование картины региона
$\длр$. По рисунку можно определить углы и края
область $\dlr$, что вам нужно, чтобы записать пределы
интеграция.
Продемонстрируем этот процесс на примерах. Простейшей областью (кроме прямоугольника) для изменения порядка интегрирования является треугольник. Вы можете увидеть, как изменить порядок интегрирования для треугольника, сравнив пример 2 с примером 2′ на странице примеров двойного интеграла. На этой странице мы приводим еще несколько примеров изменения порядка интегрирования. 9у} f(x,y) dx\, dy. \конец{выравнивание*} (Поскольку в этом примере основное внимание уделяется пределам интегрирования, мы не будем указывать функцию $f(x,y)$. Процедура не зависит от идентичности $f$.)
Решение : В исходном интеграле порядок интегрирования $dx\,dy$. Этот порядок интегрирования соответствует интегрированию сначала по $x$ (т. е. суммированию по строкам на рисунке ниже), а затем интегрированию по $y$ (т. е. суммированию значений для каждой строки). Наша задача — заменить интегрирование на $dy\,dx$, что означает сначала интегрирование по $y$. 91=e$, а точка $(e,1)$.
Чтобы изменить порядок интегрирования, нужно записать интеграл порядка $dy\,dx$.
y$ для красной кривой как $y=\log x$, диапазон $y$ равен $\log x \le y \le 1$. (Функция $\log x$ указывает на натуральный логарифм, который иногда мы записываем как $\ln x$.) 92}$, поэтому вы застряли, пытаясь вычислить интеграл с помощью
относительно $y$. Но если изменить порядок интегрирования, то
можно сначала проинтегрировать по $x$, что выполнимо. И это
оказывается, что интеграл по $y$ также становится возможным
после того, как мы закончим интегрирование по $x$.
В соответствии с пределами интегрирования данного интеграла область интегрирования \начать{собирать*} 0 \le x \le 1\\ х \ле у \ле 1, \end{собрать*} что показано на следующем рисунке. 91 f(x,y)dy\,dx \end{собрать*}
Решение : Область $\dlr$, описываемая этим интегралом, равна
\начать{собирать*}
\пи/2 \ле х \ле 5\пи/2\\
\sin x \le y \le 1.
\end{собрать*}
как показано на следующем изображении, где общий диапазон для $x$ показан серой полосой под областью, а границы переменных для $y$ показаны синей и голубой кривыми.
Один из приемов замены переменных в этой области заключается в правильной работе с нижней границей $y = \sin(x)$. Когда мы решаем это граничное уравнение для $x$ как функции $y$, у нас может возникнуть соблазн записать его в виде $x = \arcsin(y)$ и даже подумать, что $x \le \arcsin(y)$ в регионе.
Присмотревшись к картинке, мы видим, что это не так. На самом деле нижняя граница $y$ как функции $x$ (синяя кривая) должна быть как верхней, так и нижней границей $x$ как функции $y$, как показано красной и фиолетовой линиями. кривые на рисунке ниже.
Чтобы получить формулу для этих границ, мы должны помнить, как определяется обратная синусоида, $\arcsin(y)$. Чтобы определить обратную $\sin(x)$, нам нужно ограничить функцию интервалом, где она принимает каждое значение только один раз. Стандартный способ определения $\arcsin(y)$ состоит в том, чтобы ограничить $\sin(x)$ значениями $x$ в интервале $[-\pi/2,\pi/2]$ как $\sin( x)$ находится в диапазоне от $-1$ до 1 в этом интервале.
Это означает, что $\arcsin(y)$ находится в диапазоне от $[-\pi/2,\pi/2]$, когда $y$ изменяется от $-1$ до 1,
Для верхней границы $x$ (выделено фиолетовым цветом) $x$ находится в диапазоне от $3\pi/2$ до $5\pi/2$. Если мы допустим $x=\arcsin(y)+2\pi$, то $x=3\pi/2$ при $y=-1$ и $x=5\pi/2$ при $y=1$ , как требуется. Для нижней границы $x$ (выделено красным) нам нужно, чтобы $x$ было убывающей функцией $y$, начиная с $x=3\pi/2$, когда $y=-1$, и уменьшаясь до $ x=\pi/2$, когда $y=1$. Эти условия выполняются, если мы выбираем $x=\pi-\arcsin(y)$. Если вы являетесь экспертом в своих тригнометрических определениях, вы можете убедиться, что уравнения для обеих этих кривых являются просто разными обратными значениями $\sin(x)$, поскольку взятие синусоиды этих уравнений сводит их к $y=\sin( х)$. 9{\ arcsin y + 2 \ pi} f (x, y) dx \, dy. \end{собрать*}
Другие примеры
Если вам нужно больше примеров двойных интегралов, вы можете изучить некоторые
вводный
примеры двойных интегралов.
Вы также можете взглянуть на примеры двойных интегралов из частных случаев интерпретации двойных интегралов как площади и двойных интегралов как объема.
Примеры двойных интегралов — Math Insight
Для иллюстрации вычислений двойные интегралы как повторные интегралы, мы начинаем с простейший пример двойного интеграла по прямоугольнику, а затем перейти к интегралу по треугольнику. 92\справа. = \ гидроразрыв {4} {6} = \ гидроразрыв {2} {3}. \конец{выравнивание*} Как и должно быть, этот повторный интеграл дает тот же ответ.
Пример 2
Прямоугольные области просты, потому что пределы
($a \le x \le b$ и $c \le y \le d$) фиксированы, то есть диапазоны $x$ и $y$ не зависят друг от друга. Для регионов другой формы диапазон одной переменной будет зависеть от другой. Вот пример
где мы интегрируем по области, определяемой $0 \le x \le 2$ и $0
\ле у \ле х/2$. Тот факт, что диапазон $y$ зависит от $x$, означает, что эта область не является прямоугольником. На самом деле область представляет собой треугольник, изображенный ниже.
2\вправо. = \frac{32}{5 \cdot 24} = \frac{4}{15}.
\конец{выравнивание*}
Пример 2′
Теперь вычислите интеграл по тому же треугольнику $\dlr$, но сделайте $y$ — внешняя переменная интегрирования.
Решение : Теперь нам нужно указать постоянные пределы для $y$. В качестве показано ниже, общий диапазон $y$ внутри треугольника находится между от $0$ до $1$. Тогда для заданного значения $y$ $x$ принимает вид значения между $2y$ и $2$ (как показано горизонтальной пунктирной линией между $(2y,y)$ и $(2,y)$). Следовательно, мы можем описать треугольник как $0 \le y \le 1$ и $2y \le x \le 2$.
Вас смущает, что пределы $x$ составляют $2y \le x \le 2$, а
чем $0 \le x \le 2$ (что было бы более близко к приведенному выше
Пример 2)? Если мы допустим $x$ в диапазоне от $0$ до $2y$, то треугольник
будет верхний левый треугольник на картинке выше. Мы хотим
вычислить интеграл по области $\dlr$, которая является нижним правым
треугольник, заштрихованный красным.
В этом треугольнике $y \lt x/2$ (как использовано выше в
Пример 2), что означает, что для этого примера мы должны использовать $x > 2y$. 91\\
&= 2 \left(\frac{1}{3} – \frac{1}{5} -(0-0)\right)\\
&= 2 \cdot \frac{2}{15} \goodbreak = \frac{4}{15}.
\конец{выравнивание*}
К счастью, это согласуется с ответом, полученным в примере 2.
Другие примеры
Чтобы перейти от примера 2 к примеру 2′, мы «изменили порядок интеграция». Ты можешь видеть более примеры изменения порядка интегрирования в double интегралы. Вы также можете увидеть больше примеров двойных интегралов из частных случаев интерпретации двойных интегралов как площади и двойных интегралов как объема.
Обзор методов интегрирования в пространстве и времени
Интегрирование является одним из наиболее важных математических инструментов, особенно для численного моделирования. Уравнения в частных производных (УЧП) обычно выводятся, например, из интегральных уравнений баланса. Когда УЧП необходимо решить численно, интегрирование также часто играет важную роль.
В этом сообщении блога представлен обзор методов интеграции, доступных в программном обеспечении COMSOL, и показано, как их можно использовать.
Важность интегралов
COMSOL использует метод конечных элементов, который преобразует основное уравнение в частных производных в интегральное уравнение — другими словами, в слабой форме. Присмотревшись к программе моделирования COMSOL, вы поймете, что многие граничные условия формулируются в виде интегралов. Пара примеров из них: Общий тепловой поток или Плавающий потенциал . Интеграция также играет ключевую роль в постобработке, поскольку COMSOL предоставляет множество производных значений, основанных на интеграции, например 9.{t_1}\int_{\Omega}F(u)\ \mathrm{d A} \mathrm{d} t
, где [t_0,t_1] — временной интервал, \Omega — пространственная область, а F(u ) — произвольное выражение в зависимой переменной u. Выражение может включать производные по пространству и времени или любое другое производное значение.
Наиболее удобный способ получения интегралов — использовать «Производные значения» в разделе «Результаты» новой ленты (или построитель моделей, если вы не используете Windows®).
Как добавлять объемные, поверхностные или линейные интегралы в качестве производных значений.
Вы можете обратиться к любому доступному решению, выбрав соответствующий набор данных. Поле Expression представляет собой интегральное выражение и позволяет использовать зависимые или производные переменные. Для переходных симуляций пространственный интеграл оценивается на каждом временном шаге. В качестве альтернативы окно настроек предлагает операции с рядом данных, где Интеграция может быть выбрана для временной области. Это приводит к пространственно-временной интеграции.
Пример настроек интеграции поверхности с дополнительной интеграцией времени с помощью операции Data Series.
Среднее значение — еще одно производное значение, связанное с интеграцией.
Он равен интегралу, который делится на объем, площадь или длину рассматриваемой области. Операция Average Data Series Operation дополнительно выполняет деление по временному горизонту. Производные значения очень полезны, но поскольку они доступны только для постобработки, они не могут обрабатывать все типы интеграции. Вот почему COMSOL предлагает более мощные и гибкие инструменты интеграции. Мы демонстрируем эти методы на примере модели ниже. 92 прописывается. Стационарное решение и решение, зависящее от времени, через 100 секунд показаны на следующих рисунках.
Стационарное решение, щелкните изображение, чтобы увеличить его.
Переходное решение через 100 с, щелкните изображение, чтобы увеличить его.
Пространственное интегрирование с помощью операторов связи компонентов
Операторы связи компонентов необходимы, например, когда несколько интегралов объединяются в одно выражение, когда интегралы запрашиваются во время вычисления или в случаях, когда требуется набор интегралов по путям.
Операторы связывания компонентов определяются в разделе «Определения» соответствующего компонента. На этом этапе оператор еще не оценивается. Фиксируются только его имя и выбор домена.
Как добавить операторы связывания компонентов для дальнейшего использования.
В нашем примере мы сначала хотим вычислить пространственный интеграл по стационарной температуре, который определяется выражением
\int_{\Omega}T(x,y)\\mathrm{d}x\mathrm{d} y = 301,65
В программном обеспечении COMSOL мы используем оператор интегрирования, который по умолчанию называется intop1 .
Окно настроек оператора интеграции.
Как оценить оператор интегрирования.
На следующем шаге мы покажем, как в модели можно использовать оператор интегрирования. Мы могли бы, например, спросить, какую мощность нагрева нам нужно применить, чтобы получить среднюю температуру 303,15 К, что соответствует повышению средней температуры на 10 К по сравнению с комнатной температурой.
Во-первых, нам нужно вычислить разницу между желаемой и фактической средней температурой. Среднее значение вычисляется путем деления интеграла по T на интеграл по постоянной функции 1, которая дает площадь области. К счастью, этот тип вычислений можно легко выполнить с помощью Средний оператор в COMSOL. По умолчанию такой оператор называется aveop1 . (Обратите внимание, что среднее значение по домену такое же, как и интеграл для нашего примера. Это потому, что домен имеет единичную площадь.) Соответствующая разница определяется выражением
303,15-\int_{\Omega}T(x,y) \mathrm{d} x\mathrm{d} y = 1.50
Далее нужно найти общий тепловой поток на левой и нижней границе, чтобы удовлетворялась искомая средняя температура. Для этого введем дополнительную степень свободы с именем 92. Это значение должно быть задано как общее граничное условие внутреннего теплового потока для достижения средней температуры 303,15 К во всей области.
Вычисление первообразной с помощью интегральной связи
Часто задаваемый вопрос, который мы получаем в службу поддержки: Как можно получить пространственную первообразную? Следующее применение интеграционной связи отвечает на этот вопрос.
Первообразная является аналогом производной и геометрически позволяет вычислять произвольные области, ограниченные графиками функций. Одним из важных приложений является расчет вероятностей в статистическом анализе. Чтобы продемонстрировать это, мы фиксируем y=0 в нашем примере и обозначаем первообразную T(x,0) через u(x). Это означает, что \frac{\partial u}{\partial x}=T(x,0). Представлением первообразной является следующий интеграл 9{\bar x}T(x,0)\mathrm{d} x
, где мы используем \bar x, чтобы различать интегрирование и выходную переменную. В отличие от приведенных выше интегралов здесь в результате мы имеем функцию, а не скалярную величину. Нам нужно включить информацию о том, что для каждого \bar x\in[0,1] соответствующее значение u(\bar x) требует решения интеграла. К счастью, это легко настроить в среде COMSOL и требует, так сказать, всего три компонента. Во-первых, можно использовать логическое выражение, чтобы переформулировать интеграл как 91T(x,0)\cdot(x\leq\bar x)\ \mathrm{d} x
Во-вторых, нам нужен оператор интегрирования, который действует на нижней границе области нашего примера.
Обозначим его intop2 . В-третьих, нам нужно включить различие интегрирования и выходной переменной. Обозначение для этой ситуации: источник и пункт назначения для x и \bar x соответственно. При использовании оператора связи интегрирования доступен встроенный оператор dest , который указывает, что соответствующее выражение не принадлежит переменной интегрирования. Точнее, это означает \bar x=dest(x) в COMSOL. Объединение логического выражения и оператора назначения приводит к выражению T*(x<=dest(x)) , что является именно тем входным выражением, которое нам нужно для intop2 . В целом, мы можем вычислить первообразную с помощью intop2(T*(x<=dest(x))) , что приведет к следующему графику в нашем примере:
, и логическое выражение.
COMSOL предоставляет два других оператора связи интегрирования, а именно общая проекция и линейная проекция . Их можно использовать для получения набора интегралов по путям в любом направлении области.
Другими словами, интегрирование выполняется только по одному измерению. В результате получается функция на одну размерность меньше области определения. Для 2D-примера результатом является 1D-функция, которую можно вычислить на любой границе. Некоторые дополнительные сведения о том, как использовать эти операторы, будут опубликованы в следующем блоге о связях компонентов.
Пространственная интеграция с помощью дополнительного физического интерфейса
Наиболее гибким способом пространственной интеграции является добавление дополнительного интерфейса PDE. Вспомним пример с первообразной и предположим, что мы хотим вычислить первообразную не только для y=0. Задачу можно сформулировать в терминах УЧП
\frac{\partial u}{\partial x}=T(x,y)
с краевым условием Дирихле u=0 на левой границе. Самым простым интерфейсом для реализации этого уравнения является интерфейс Coefficient Form PDE , для которого требуется только несколько следующих настроек:
Как использовать дополнительный физический интерфейс для пространственной интеграции.
Зависимая переменная u представляет собой первообразную по x и доступна во время расчета и постобработки. Помимо гибкости, еще одним преимуществом этого метода является точность, поскольку интеграл не получается как производное значение, а является частью расчета и оценки внутренней погрешности.
Временная интеграция с помощью встроенных операторов
Мы уже упоминали операции с рядом данных, которые можно использовать для интегрирования времени. Еще один очень полезный метод интегрирования по времени предоставляется встроенными операторами timeint и timeavg для интегрирования по времени или среднего по времени соответственно. Они легко доступны при постобработке и используются для интегрирования любого выражения, зависящего от времени, в течение заданного интервала времени. В нашем примере нас может интересовать среднее значение температуры между 90 и 100 секундами, то есть: 9{100}T(x,y,t)\ \mathrm{d} t
На следующем поверхностном графике показан результирующий интеграл, который является пространственной функцией в (x,y) :
Как использовать встроенный оператор интегрирования времени timeavg .
Аналогичные операторы доступны для интегрирования на сферических объектах, а именно ballint , circint , diskint и sphint .
Временное интегрирование посредством дополнительных физических интерфейсов
Если в модели должны быть доступны временные интегралы, их необходимо определить как дополнительные зависимые переменные. Подобно приведенному выше примеру формы коэффициента PDE , это можно сделать, добавив интерфейс ODE ветви Mathematics. Предположим, например, что на каждом временном шаге модель запрашивает интеграл времени от начала до настоящего времени по величине полного теплового потока, который измеряет накопленную энергию. Переменная для общего теплового потока автоматически рассчитывается COMSOL и называется ht.tfluxMag . Интеграл можно рассчитать как дополнительную зависимую переменную с распределенным ОДУ , который является подузлом интерфейса ОДУ домена и ДАУ .
Исходным термином этого ODE домена является подынтегральная функция , как показано на следующем рисунке.
Как использовать дополнительный физический интерфейс для временной интеграции.
Какая польза от такого расчета? Интеграл можно повторно использовать в другом физическом интерфейсе, на который может повлиять накопленная в системе энергия. Более того, он теперь доступен для всех видов постобработки, что удобнее и быстрее, чем встроенные операторы. Например, ознакомьтесь с моделью «Отложение углерода в гетерогенном катализе», где ОДУ домена используется для расчета пористости катализатора как зависящей от времени переменной поля в присутствии химических реакций.
Интеграция аналитических функций и выражений
До сих пор мы показали, как интегрировать переменные решения во время расчета или постобработки. Мы еще не рассмотрели интегралы аналитических функций или выражений. С этой целью COMSOL предоставляет встроенный оператор интегрирования ( выражение , переменная интегрирования , нижняя граница , верхняя граница ).

..

С дифференциалами, думаю, дружба уже у всех налажена.
Кроме того, уже в этом примере использование метода подведения функции под знак дифференциала значительно повышает риск запутаться в решении.

Примеры решений
Если у Вас до сих пор их нет, то, пожалуйста, посетите кладовку моего сайта: Математические формулы и таблицы. Не устану повторять – лучше всё распечатать. Весь материал я постараюсь изложить последовательно, просто и доступно, в интегрировании по частям нет особых трудностей.
… что-то лирической получается статья, ах да… весна же пришла.
..

