Решение производной простыми словами: определение, как найти, примеры решений | Антиплагиату.НЕТ
Если вы ничего не смыслите в том, что такое производная и какими методами можно её вычислить, то совершенно невозможно решать примеры по математике или задачи по физике. Ведь такое понятие, как производная, является одним из самых важных в математическом анализе.
В этой статье мы расскажем вам, что является производной, какой она имеет геометрический и физический смысл. В общем, мы с вами попытаемся понять производную.
как найти производную онлайн?как найти производную онлайн?
Геометрический и физический смысл производной
Задаём функцию f(x) в интервале (a, b). А точки x и x0 этому интервалу принадлежат. Если изменится x, то и функция тоже изменится. Изменением аргумента является разность его значений x-x0. Записывается эта разность, как дельта икс и имеет название: приращение аргумента. Разность значений функций в двух точках называется приращением или изменением функции. Так каково определение производной?
Производная функции в точке – предел отношения приращения функции в данной точке к приращению аргумента, когда последнее стремится к нулю.
Можно записать ещё следующим образом:
Встаёт вопрос, для чего нужно находить такой предел? Вот и ответ:
Геометрический смысл производной: производная от функции в точке равна тангенсу угла между осью OX и касательной к графику функции в данной точке.
Физический смысл производной: производная пути по времени равна скорости прямолинейного движения.
Ещё в школе нас учили тому, что скорость – это частное пути x=f(t) и времени (t). Вычисляем среднюю скорость за какой-то временной промежуток:
Для того чтобы нам узнать какова скорость движения в момент t0, необходимо вычислить предел:
Сейчас мы разберем один пример, который продемонстрирует вам применение производной на практике.
Допустим, тело движется по закону:
Нам необходимо рассчитать скорость в момент времени t=2c. Вычисляем производную:
Правила нахождения производных
Дифференцирование – это процесс нахождения производной. А дифференцируемая функция – это функция, которая имеет производную в данной точке.
Каким образом нам найти саму производную? Нам необходимо составить отношения приращения функции и аргумента, а после вычислить предел при условии стремящегося к нулю приращения аргумента. Но практика показывает, что такой путь вычисления является очень долгим. Всё, что нам необходимо, уже посчитано. И специально для вас, мы подготовили таблицу с производными элементарных функций.
После таблицы мы рассмотрим правила по вычисления производных. Коснёмся мы и вычисления производных сложных функций. Подробно разберём всё на примерах.
Правило первое: выносим константу
Вынести константы можно за знак производной.
Причём делать это необходимо! Когда вы решаете примеры по математике, то всегда помните правило – если есть возможность упростить выражение, то делайте это.
Для примера вычислил с вами производную:
Правило второе: производная суммы функций
Производная суммы двух функций равняется сумме производных этих функций. Это касается и производной разности функций.
Сейчас мы с вами на практике рассмотрим пример доказательства этой теоремы.
Найти производную функции:
Решение:
Правило третье: производная произведения функций
По следующей формуле мы сможем вычислить производную произведения двух дифференцируемых функций:
К примеру: необходимо найти производную функции:
Решение:
Необходимо сказать о том, каким образом вычисляются производные сложных функций.
Производная сложной функции равняется произведению производной этой функции по промежуточному аргументу на производную промежуточного аргумента по независимой переменной.
В примере, который указан выше, мы можем встретить выражение:
В этом примере промежуточным аргументом является 8x в пятой степени. Чтобы нам вычислить производную данного выражения, то для начала необходимо высчитать производную внешней функции по промежуточному аргументу, а после необходимо умножить на производную непосредственно сам промежуточный аргумент по независимой переменной.
Правило четвертое: производная частного двух функций
Ниже приведена формула для того, чтобы определить производную от частного двух функций:
Пример:
Решение:
В данной статье мы попытались рассказать о производных для тех, кто совершенно не знаком с этой темой. Когда вы будете решать примеры, то будьте очень внимательны, ведь в них часто можно встретить ловушки.
Эта тема не так уж и проста, какой кажется на первый взгляд.
Вы можете обратиться в наш студенческий сервис по любым вопросам. Мы с удовольствием поможем решить для вас задачи любой сложности. А занимались вы раньше вычислением производных или нет, не имеет никакого значения. Мы помогаем всем!
Физический смысл производной функции. Задачи на физический смысл производной: примеры решения
Математические задачи находят своё применение во многих науках. К таковым следует отнести не только физику, химию, технику и экономику, но также медицину, экологию и прочие дисциплины. Одним из важных понятий, которое следует освоить, чтобы находить решения важных дилемм, является производная функции. Физический смысл её объяснить совсем не так сложно, как может показаться непосвящённому в суть вопроса. Достаточно лишь найти подходящие примеры тому в реальной жизни и обычных бытовых ситуациях. На самом деле любой автомобилист справляется с подобной задачей каждый день, когда смотрит на спидометр, определяя скорость своей машины в конкретное мгновение фиксированного времени.
Ведь именно в этом параметре заключена суть физического смысла производной.
Как найти скорость
Определить скорость движения человека по дороге, зная пройденное расстояние и время в пути, с лёгкостью может любой пятиклассник. Для этого следует первую из заданных величин разделить на вторую. Но не каждый из юных математиков знает о том, что в данный момент находит отношение приращений функции и аргумента. Действительно, если представить движение в виде графика, откладывая по оси ординат путь, а по абсциссе – время, это будет именно так.
Однако скорость пешехода или любого другого объекта, которую мы определяем на большом участке пути, считая движение равномерным, вполне может меняться. В физике известно множество форм движения. Оно может совершаться не только с постоянным ускорением, но замедляться и возрастать произвольным образом. Следует обратить внимание, что в данном случае линией, описывающей перемещение, будет уже не прямая. Графически она может принимать самые сложные конфигурации.
Но для любой из точек графика мы всегда можем провести касательную, представленную линейной функцией.
Для уточнения параметра изменения перемещения в зависимости от времени приходится сокращать измеряемые отрезки. Когда же они станут бесконечно малыми, вычисляемая скорость окажется мгновенной. Данный опыт помогает нам дать определение производной. Физический смысл её также логически вытекает из подобных рассуждений.
С точки зрения геометрии
Известно, что чем больше скорость тела, тем круче график зависимости перемещения от времени, а значит, и угол наклона касательной к графику в какой-то определённой точке. Показателем подобных изменений может стать тангенс угла между осью абсцисс и линией касательной. Как раз он определяет значение производной и вычисляется отношением длин противолежащего к прилежащему катету в прямоугольном треугольнике, образованном перпендикуляром, опущенным из некоторой точки на ось абсцисс.
В этом заключается геометрический смысл первой производной.
Физический же раскрывается в том, что величина противолежащего катета в нашем случае представляет собой пройденный путь, а прилежащего – время. При этом отношением их является скорость. И снова мы приходим к выводу, что мгновенная скорость, определяемая при стремлении обоих промежутков к бесконечно малому, и является сутью понятия производной, указывая на её физический смысл. Второй производной в данном примере будет ускорение тела, демонстрирующее, в свою очередь, степень изменения скорости.
Примеры нахождения производных в физике
Производная – это показатель скорости изменения любой функции, даже когда речь не идёт о движении в прямом смысле слова. Чтобы наглядно продемонстрировать это, приведём несколько конкретных примеров. Допустим, сила тока, завися от времени, изменяется согласно следующему закону: I = 0,4t2. Требуется найти значение скорости, с которой происходит изменение этого параметра в конце 8-й секунды процесса. Заметим, что сама искомая величина, как можно судить из уравнения, постоянно возрастает.
Для решения требуется найти первую производную, физический смысл которой был рассмотрен ранее. Здесь dI/dt = 0,8t. Далее найдём оную при t=8, получим, что скорость, с которой происходит изменение силы тока, равна 6,4 A/c. Здесь считается, что сила тока измеряется в амперах, а время, соответственно, в секундах.
Всё изменчиво
Видимый окружающий мир, состоящий из материи, постоянно претерпевает изменения, находясь в движении протекающих в нём разнообразных процессов. Для описания их можно использовать самые разные параметры. Если они объединены зависимостью, то математически записываются в виде функции, наглядно показывающей их изменения. А где есть движение (в каком бы виде оно ни выражалось), там существует и производная, физический смысл которой мы и рассматриваем в настоящий момент.
По этому поводу следующий пример. Допустим, температура тела изменяется по закону T=0,2t2.
Следует найти скорость его нагревания в конце 10-й секунды. Решение задачи производится способом, аналогичным описанному в предыдущем случае. То есть мы находим производную и подставляем в неё значение для t = 10, получаем T = 0,4t = 4. Значит, окончательным ответом считается 4 градуса за секунду, то есть процесс нагревания и изменение температуры, измеряемой в градусах, происходит именно с такой скоростью.
Решение практических задач
Конечно, в реальной жизни всё бывает гораздо сложнее, чем в теоретических задачах. На практике значение величин определяется обычно в ходе эксперимента. При этом используются приборы, которые выдают показания при измерениях с определённой погрешностью. Поэтому при вычислениях приходится иметь дело с приближёнными значениями параметров и прибегать к округлениям неудобных чисел, а также другим упрощениям. Приняв это ко вниманию, снова приступим к задачам на физический смысл производной, учитывая, что они являются лишь некоей математической моделью происходящих в природе сложнейших процессов.
Извержение вулкана
Представим, что происходит извержение вулкана. Насколько он может быть опасен? Для выяснения этого вопроса необходимо рассмотреть множество факторов. Мы постараемся учесть один из них.
Из жерла “огненного чудовища” выбрасываются вертикально вверх камни, имеющие начальную скорость с момента выхода наружу 120 м/с. Необходимо просчитать, какой они могут достигнуть максимальной высоты.
Для нахождения искомого значения составим уравнение зависимости высоты H, измеряемой в метрах, от прочих величин. К таковым относятся начальная скорость и время. Значение ускорения считаем известным и приблизительно равным 10 м/с2.
Частная производная
Рассмотрим теперь физический смысл производной функции немного с другой стороны, ведь само уравнение может содержать не одну, а несколько переменных. К примеру, в предыдущей задаче зависимость высоты подъёма камней, выбрасываемых из жерла вулкана, определялась не только изменением временных характеристик, но и значением начальной скорости.
Последняя считалась постоянной, фиксированной величиной. Но в других задачах с совершенно иными условиями всё могло быть иначе. Если величин, от которых зависит сложная функция, несколько, расчёты производятся согласно указанным ниже формулам.
Физический смысл частой производной следует определять, как и в обычном случае. Это скорость изменения функции в некоторой определённой точке при росте параметра переменной. Она вычисляется таким образом, что все остальные составляющие принимаются за постоянные, лишь только один рассматривается как переменная. Далее всё происходит по обычным правилам.
Незаменимый советник по многим вопросам
Понимая физический смысл производной, примеры решения запутанных и сложных проблем, ответ в которых позволяют найти подобные знания, привести несложно. Если у нас есть функция, описывающая расход горючего в зависимости от скорости автомобиля, можем рассчитать, при каких параметрах последней расход бензина будет наименьшим.
В медицине можно предвидеть, каким образом будет реагировать человеческий организм на прописанное врачом лекарство.
Приём препарата сказывается на самых разных физиологических показателях. К ним относятся изменения артериального давления, пульса, температуры тела и многого другого. Все они зависят от дозы принимаемого лекарственного средства. Данные расчёты помогают предвидеть ход лечения, как в благоприятных проявлениях, так и в нежелательных случайностях, способных фатальным образом отразиться на изменениях в организме больного.
Несомненно, важным оказывается понимание физического смысла производной в технических вопросах, в частности в электротехнике, электронике, конструировании и строительстве.
Тормозной путь
Рассмотрим очередную задачу. Двигаясь с постоянной скоростью, автомобиль, приближаясь к мосту, за 10 секунд до въезда вынужден был затормозить, так как водитель заметил дорожный знак, запрещающий движение со скоростью более 36 км/час. Не нарушил ли правила шофёр, если тормозной путь его можно описать формулой S = 26t – t2?
Вычислив первую производную, найдём формулу для скорости, получим v = 28 – 2t.
Далее подставим в указанное выражение значение t=10.
Так как эта величина была выражена в секундах, скорость оказывается равной 8 м/с, а значит, 28,8 км/час. Это даёт возможность понять, что шофёр начал тормозить вовремя и не нарушил правила движения, а значит, и предел указанной на знаке скорости.
Подобное доказывает важность физического смысла производной. Пример решения данной задачи демонстрирует широту использования этого понятия в самых разных сферах жизни. В том числе и в бытовых ситуациях.
Производная в экономике
До XIX столетия экономисты в основном оперировали средними величинами, будь то производительность труда или цена на выпускаемую продукцию. Но с некоторого момента для составления эффективных прогнозов в данной области больше стали необходимы предельные величины. К таковым можно отнести предельную полезность, доход или издержки. Понимание этого дало толчок к созданию совершенно нового инструмента в экономических исследованиях, который существует и развивается вот уже более ста лет.
Для составления подобных расчётов, где главенствуют такие понятия, как минимум и максимум, просто необходимо понимание геометрического и физического смысла производной. Среди создателей теоретической основы указанных дисциплин можно назвать таких видных английских и австрийских экономистов, как У. С. Джевонс, К. Менгер и других. Конечно, предельные величины в экономических выкладках не всегда использовать удобно. А, к примеру, квартальные отчёты не обязательно укладываются в существующую схему, но всё же применение подобной теории во многих случаях бывает полезно и эффективно.
Производные высших порядков – определение и вычисление с примерами решения
Определение: Пусть функция y=f(x) дифференцируема
Пример:
Решение:
Пример:
Найти k-ю производную функции .
Решение:
Пример:
Найти для функции y=y(x), заданной неявно:
Решение:
Пусть функция y=y(x) задана параметрически в виде
Пусть x(t) и y(t) дважды дифференцируемы и .
Тогда (см. п. 7.2)
первая производная функции y=y(x).
Рассуждая аналогично п. 7: – вторая производная функции (10.1)
При этом поэтому формула (10.1) перепишется в виде
Пример:
Найти для функции y=y(x), заданной параметрически в виде
По формуле (7.3)
Далее, по формуле (10.1)
Теорема 10.1. Пусть Функции n раз дифференцируемы, тогда
(10.2)
(10.3)
формула Лейбница, где в частности:
Пример:
Решение:
По формуле (10.3):
остальные слагаемые равны 0.
Далее поэтому
Определение 10.2. Пусть функция y=f(x) дифференцируема и – ее дифференциал. Зафиксируем dx и будем рассматривать dy как функцию одной переменной х. Дифференциал от дифференциала dy функции y=f(x) будем называть вторым дифференциалом этой функции и обозначать .
Аналогично
Преобразуем формулы (10.4) и (10.5):
То есть
При вычислении приращение независимой переменной берем
равным первоначальному приращению dx.
Пример:
.
Решение:
Свойство инвариантности верное для первого дифференциала не выполняется для второго.
Например, для функции из примера 10.6 имеем
Тогда для первого дифференциалано
Таким образом
Если u=u(x), то для функции верна формула
В частности:
определение, как найти, примеры решений
Вычисление производной – одна из самых важных операций в дифференциальном исчислении. Ниже приводится таблица нахождения производных простых функций. Более сложные правила дифференцирования смотрите в других уроках:- Таблица производных экспоненциальных и логарифмических функций
Они помогут в решении дифференциальных уравнений и задач. На картинке, в таблице производных простых функций, приведена “шпаргалка” основных случаев нахождения производной в понятном для применения виде, рядом с ним даны пояснения для каждого случая.Производные простых функций
1. Производная от числа равна нулюПример:
5´ = 0
Пояснение :
Производная показывает скорость изменения значения функции при изменении аргумента. Поскольку число никак не меняется ни при каких условиях – скорость его изменения всегда равна нулю.
2. Производная переменной равна единице
x´ = 1
Пояснение :
При каждом приращении аргумента (х) на единицу значение функции (результата вычислений) увеличивается на эту же самую величину. Таким образом, скорость изменения значения функции y = x точно равна скорости изменения значения аргумента.
3. Производная переменной и множителя равна этому множителю
сx´ = с
Пример:
(3x)´ = 3
(2x)´ = 2
Пояснение :
В данном случае, при каждом изменении аргумента функции (х ) ее значение (y) растет в с раз.
Таким образом, скорость изменения значения функции по отношению к скорости изменения аргумента точно равно величине с .
Откуда следует, что
(cx + b)” = c
то есть дифференциал линейной функции y=kx+b равен угловому коэффициенту наклона прямой (k).
4. Производная переменной по модулю равна частному этой переменной к ее модулю
|x|” = x / |x| при условии, что х ≠ 0
Пояснение :
Поскольку производная переменной (см. формулу 2) равна единице, то производная модуля отличается лишь тем, что значение скорости изменения функции меняется на противоположное при пересечении точки начала координат (попробуйте нарисовать график функции y = |x| и убедитесь в этом сами. Именно такое значение и возвращает выражение x / |x| . Когда x 0 – единице. То есть при отрицательных значениях переменной х при каждом увеличении изменении аргумента значение функции уменьшается на точно такое же значение, а при положительных – наоборот, возрастает, но точно на такое же значение.

5. Производная переменной в степени равна произведению числа этой степени и переменной в степени, уменьшенной на единицу
(x c)”= cx c-1 , при условии, что x c и сx c-1 ,определены а с ≠ 0
Пример:
(x 2)” = 2x
(x 3)” = 3x 2
Для запоминания формулы :
Снесите степень переменной “вниз” как множитель, а потом уменьшите саму степень на единицу. Например, для x 2 – двойка оказалась впереди икса, а потом уменьшенная степень (2-1=1) просто дала нам 2х. То же самое произошло для x 3 – тройку “спускаем вниз”, уменьшаем ее на единицу и вместо куба имеем квадрат, то есть 3x 2 . Немного “не научно”, но очень просто запомнить.
6. Производная дроби 1/х
(1/х)” = – 1 / x 2
Пример:
Поскольку дробь можно представить как возведение в отрицательную степень
(1/x)” = (x -1)” , тогда можно применить формулу из правила 5 таблицы производных
(x -1)” = -1x -2 = – 1 / х 2
7. Производная дроби с переменной произвольной степени в знаменателе
(1 / x c)” = – c / x c+1
Пример:
(1 / x 2)” = – 2 / x 3
8.
Производная корня (производная переменной под квадратным корнем)
Пример:
(√x)” = (х 1/2)” значит можно применить формулу из правила 5
(х 1/2)” = 1/2 х -1/2 = 1 / (2√х)
9. Производная переменной под корнем произвольной степени
(n √x)” = 1 / (n n √x n-1)
Процесс нахождения производной функции называется дифференцированием. Производную приходится находить в ряде задач курса математического анализа. Например, при отыскании точек экстремума и перегиба графика функции.
Как найти?
Чтобы найти производную функции нужно знать таблицу производных элементарных функций и применять основные правила дифференцирования :
Вынос константы за знак производной: $$ (Cu)” = C(u)” $$- Производная суммы /разности функций: $$ (u \pm v)” = (u)” \pm (v)” $$
- Производная произведения двух функций: $$ (u \cdot v)” = u”v + uv” $$
- Производная дроби : $$ \bigg (\frac{u}{v} \bigg)” = \frac{u”v – uv”}{v^2} $$
- Производная сложной функции : $$ (f(g(x)))” = f”(g(x)) \cdot g”(x) $$
Примеры решения
| Пример 1 |
| Найти производную функции $ y = x^3 – 2x^2 + 7x – 1 $ |
| Решение |
Производная суммы/разности функций равна сумме/разности производных: $$ y” = (x^3 – 2x^2 + 7x – 1)” = (x^3)” – (2x^2)” + (7x)” – (1)” = $$ Используя правило производной степенной функции $ (x^p)” = px^{p-1} $ имеем: $$ y” = 3x^{3-1} – 2 \cdot 2 x^{2-1} + 7 – 0 = 3x^2 – 4x + 7 $$ Так же было учтено, что производная от константы равна нулю. |
Операция отыскания производной называется дифференцированием.
В результате решения задач об отыскании производных у самых простых (и не очень простых) функций по определению производной как предела отношения приращения к приращению аргумента появились таблица производных и точно определённые правила дифференцирования. Первыми на ниве нахождения производных потрудились Исаак Ньютон (1643-1727) и Готфрид Вильгельм Лейбниц (1646-1716).
Поэтому в наше время, чтобы найти производную любой функции, не надо вычислять упомянутый выше предел отношения приращения функции к приращению аргумента, а нужно лишь воспользоваться таблицей производных и правилами дифференцирования. Для нахождения производной подходит следующий алгоритм.
Чтобы найти производную , надо выражение под знаком штриха разобрать на составляющие
простые функции и определить, какими действиями (произведение, сумма, частное) связаны эти функции.
Далее производные элементарных функций находим в таблице
производных, а формулы производных произведения, суммы и частного – в правилах
дифференцирования. Таблица производных и
правила дифференцирования даны после первых двух примеров.
Пример 1. Найти производную функции
Решение. Из правил дифференцирования выясняем, что производная суммы функций есть сумма производных функций, т. е.
Из таблицы производных выясняем, что производная “икса” равна единице, а производная синуса – косинусу. Подставляем эти значения в сумму производных и находим требуемую условием задачи производную:
Пример 2. Найти производную функции
Решение. Дифференцируем как производную суммы, в которой второе слагаемое с постоянным множителем, его можно вынести за знак производной:
Если пока возникают вопросы, откуда что берётся, они, как правило,
проясняются после ознакомления с таблицей производных и простейшими правилами дифференцирования.
К ним мы и переходим прямо сейчас.
Таблица производных простых функций
Правила дифференцирования
| 1. Производная суммы или разности | |
| 2. Производная произведения | |
| 2a. Производная выражения, умноженного на постоянный множитель | |
| 3. Производная частного | |
| 4. Производная сложной функции |
Правило 1. Если функции
дифференцируемы в некоторой точке , то в той же точке дифференцируемы и функции
причём
т.е. производная алгебраической суммы функций равна алгебраической сумме производных этих функций.
Следствие. Если две дифференцируемые функции отличаются на постоянное слагаемое, то их производные равны , т.е.
Правило 2. Если функции
дифференцируемы в некоторой точке , то в то же точке дифференцируемо и их произведение
причём
т.
е. производная произведения двух функций равна сумме произведений каждой из этих функций на производную другой.
Следствие 1. Постоянный множитель можно выносить за знак производной :
Следствие 2. Производная произведения нескольких дифференцируемых функций равна сумме произведений производной каждого из сомножителей на все остальные.
Например, для трёх множителей:
Правило 3. Если функции
дифференцируемы в некоторой точке и , то в этой точке дифференцируемо и их частное u/v , причём
т.е. производная частного двух функций равна дроби, числитель которой есть разность произведений знаменателя на производную числителя и числителя на производную знаменателя, а знаменатель есть квадрат прежнего числителя.
Где что искать на других страницах
При нахождении производной произведения и частного в реальных задачах всегда требуется применять сразу несколько правил дифференцирования, поэтому больше примеров на эти производные – в статье “Производная произведения и частного функций ” .
Замечание. Следует не путать константу (то есть, число) как слагаемое в сумме и как постоянный множитель! В случае слагаемого её производная равна нулю, а в случае постоянного множителя она выносится за знак производных. Это типичная ошибка, которая встречается на начальном этапе изучения производных, но по мере решения уже нескольких одно- двухсоставных примеров средний студент этой ошибки уже не делает.
А если при дифференцировании произведения или частного у вас появилось слагаемое u “v , в котором u – число, например, 2 или 5, то есть константа, то производная этого числа будет равна нулю и, следовательно, всё слагаемое будет равно нулю (такой случай разобран в примере 10).
Другая частая ошибка – механическое решение производной сложной функции как производной простой функции. Поэтому производной сложной функции посвящена отдельная статья. Но сначала будем учиться находить производные простых функций.
По ходу не обойтись без преобразований выражений.
Для этого может потребоваться открыть в новых окнах пособия Действия со степенями и корнями и Действия с дробями .
Если Вы ищете решения производных дробей со степенями и корнями, то есть, когда функция имеет вид вроде , то следуйте на занятие “Производная суммы дробей со степенями и корнями “.
Если же перед Вами задача вроде , то Вам на занятие “Производные простых тригонометрических функций”.
Пошаговые примеры – как найти производную
Пример 3. Найти производную функции
Решение. Определяем части выражения функции: всё выражение представляет произведение, а его сомножители – суммы, во второй из которых одно из слагаемых содержит постоянный множитель. Применяем правило дифференцирования произведения: производная произведения двух функций равна сумме произведений каждой из этих функций на производную другой:
Далее применяем правило дифференцирования суммы: производная алгебраической суммы функций равна алгебраической сумме производных этих функций.
В нашем случае в каждой сумме второе слагаемое со знаком минус. В каждой сумме видим
и независимую переменную, производная которой равна единице, и константу (число), производная
которой равна нулю. Итак, “икс” у нас превращается в единицу, а минус 5 – в ноль.
Во втором выражении “икс” умножен на 2, так что двойку умножаем на ту же единицу как
производную “икса”. Получаем следующие значения производных:
Подставляем найденные производные в сумму произведений и получаем требуемую условием задачи производную всей функции:
А проверить решение задачи на производную можно на .
Пример 4. Найти производную функции
Решение. От нас требуется найти производную частного. Применяем формулу дифференцирования частного: производная частного двух функций равна дроби, числитель которой есть разность произведений знаменателя на производную числителя и числителя на производную знаменателя, а знаменатель есть квадрат прежнего числителя. Получаем:
Производную сомножителей в числителе мы уже нашли в примере 2.
Не забудем также,
что произведение, являющееся вторым сомножителем в числителе в текущем примере берётся со знаком минус:
Если Вы ищете решения таких задач, в которых надо найти производную функции, где сплошное нагромождение корней и степеней, как, например, , то добро пожаловать на занятие “Производная суммы дробей со степенями и корнями” .
Если же Вам нужно узнать больше о производных синусов, косинусов, тангенсов и других тригонометрических функций, то есть, когда функция имеет вид вроде , то Вам на урок “Производные простых тригонометрических функций” .
Пример 5. Найти производную функции
Решение. В данной функции видим произведение, один из сомножителей которых – квадратный корень из независимой переменной, с производной которого мы ознакомились в таблице производных. По правилу дифференцирования произведения и табличному значению производной квадратного корня получаем:
Проверить решение задачи на производную можно на калькуляторе производных онлайн .![]()
Пример 6. Найти производную функции
Решение. В данной функции видим частное, делимое которого – квадратный корень из независимой переменной. По правилу дифференцирования частного, которое мы повторили и применили в примере 4, и табличному значению производной квадратного корня получаем:
Чтобы избавиться от дроби в числителе, умножаем числитель и знаменатель на .
На этом занятии мы будем учиться применять формулы и правила дифференцирования.
Примеры. Найти производные функций.
1. y=x 7 +x 5 -x 4 +x 3 -x 2 +x-9. Применяем правило I , формулы 4, 2 и 1 . Получаем:
y’=7x 6 +5x 4 -4x 3 +3x 2 -2x+1.
2. y=3x 6 -2x+5. Решаем аналогично, используя те же формулы и формулу 3.
y’=3∙6x 5 -2=18x 5 -2.
Применяем правило I , формулы 3, 5 и 6 и 1.
Применяем правило IV , формулы 5 и 1 .
В пятом примере по правилу I производная суммы равна сумме производных, а производную 1-го слагаемого мы только что находили (пример 4 ), поэтому, будем находить производные 2-го и 3-го слагаемых, а для 1-го слагаемого можем сразу писать результат.
Дифференцируем 2-ое и 3-е слагаемые по формуле 4 . Для этого преобразуем корни третьей и четвертой степеней в знаменателях к степеням с отрицательными показателями, а затем, по 4 формуле, находим производные степеней.
Посмотрите на данный пример и полученный результат. Уловили закономерность? Хорошо. Это означает, что мы получили новую формулу и можем добавить ее в нашу таблицу производных.
Решим шестой пример и выведем еще одну формулу.
Используем правило IV и формулу 4 . Получившиеся дроби сократим.
Смотрим на данную функцию и на ее производную. Вы, конечно, поняли закономерность и готовы назвать формулу:
Учим новые формулы!
Примеры.
1. Найти приращение аргумента и приращение функции y=x 2 , если начальное значение аргумента было равно 4 , а новое –4,01 .
Решение.
Новое значение аргумента х=х 0 +Δx .
2 · 4 · 0,01+(0,01) 2 =0,08+0,0001=0,0801.
Ответ: приращение аргумента Δх =0,01; приращение функции Δу =0,0801.
Можно было приращение функции найти по-другому: Δy =y (х 0 +Δx) -y (х 0)=у(4,01) -у(4)=4,01 2 -4 2 =16,0801-16=0,0801.
2. Найти угол наклона касательной к графику функции y=f (x) в точке х 0 , если f “(х 0) = 1 .
Решение.
Значение производной в точке касания х 0 и есть значение тангенса угла наклона касательной (геометрический смысл производной). Имеем: f “(х 0) = tgα = 1 → α = 45°, так как tg45°=1.
Ответ: касательная к графику данной функции образует с положительным направлением оси Ох угол, равный 45° .
3. Вывести формулу производной функции y=x n .
Дифференцирование — это действие нахождения производной функции.
При нахождении производных применяют формулы, которые были выведены на основании определения производной, так же, как мы вывели формулу производной степени: (x n)” = nx n-1 .
Вот эти формулы.
Таблицу производных легче будет заучить, проговаривая словесные формулировки:
1. Производная постоянной величины равна нулю.
2. Икс штрих равен единице.
3. Постоянный множитель можно вынести за знак производной.
4. Производная степени равна произведению показателя этой степени на степень с тем же основанием, но показателем на единицу меньше.
5. Производная корня равна единице, деленной на два таких же корня.
6. Производная единицы, деленной на икс равна минус единице, деленной на икс в квадрате.
7. Производная синуса равна косинусу.
8. Производная косинуса равна минус синусу.
9. Производная тангенса равна единице, деленной на квадрат косинуса.
10. Производная котангенса равна минус единице, деленной на квадрат синуса.
Учим правила дифференцирования .
1. Производная алгебраической суммы равна алгебраической сумме производных слагаемых.
2. Производная произведения равна произведению производной первого множителя на второй плюс произведение первого множителя на производную второго.
3. Производная «у», деленного на «вэ» равна дроби, в числителе которой “у штрих умноженный на «вэ» минус «у, умноженный на вэ штрих», а в знаменателе — «вэ в квадрате».
4. Частный случай формулы 3.
Учим вместе!
Страница 1 из 1 1
{\large\bf Производная функции}
Рассмотрим функцию y=f(x) , заданную на интервале (a, b) .
Пусть x – любое фиксированная точка интервала (a, b) , а Δx – произвольное число, такое, что значение x+Δx также принадлежит интервалу (a, b) . Это число Δx называют приращением аргумента.
Определение . Приращением функции y=f(x) в точке x , соответствующим приращению аргумента Δx , назовем число
Δy = f(x+Δx) – f(x) .
Считаем, что Δx ≠ 0 . Рассмотрим в данной фиксированной точке x отношение приращения функции в этой точке к соответствующему приращению аргумента Δx
Это отношение будем называть разностным отношением. Так как значение x мы считаем фиксированным, разностное отношение представляет собой функцию аргумента Δx . Эта функция определена для всех значений аргумента Δx , принадлежащих некоторой достаточно малой окрестности точки Δx=0 , за исключением самой точки Δx=0 . Таким образом, мы имеем право рассматривать вопрос о существовании предела указанной функции при Δx → 0 .
Определение . Производной функции y=f(x) в данной фиксированной точке x называется предел при Δx → 0 разностного отношения, то есть
При условии, что этот предел существует.
Обозначение . y′(x) или f′(x) .
Геометрический смысл производной : Производная от функции f(x) в данной точке x равна тангенсу угла между осью Ox и касательной к графику этой функции в соответствующей точке:
f′(x 0) = \tgα .
Механический смысл производной : Производная от пути по времени равна скорости прямолинейного движения точки:
Уравнение касательной к линии y=f(x) в точке M 0 (x 0 ,y 0) принимает вид
y-y 0 = f′(x 0) (x-x 0) .
Нормалью к кривой в некоторой ее точке называется перпендикуляр к касательной в той же точке. Если f′(x 0)≠ 0 , то уравнение нормали к линии y=f(x) в точке M 0 (x 0 ,y 0) записывается так:
Понятие дифференцируемости функции
Пусть функция y=f(x) определена на некотором интервале (a, b) , x – некоторое фиксированное значение аргумента из этого интервала, Δx – любое приращение аргумента, такое, что значение аргумента x+Δx ∈ (a, b) .
Определение . Функция y=f(x) называется дифференцируемой в данной точке x , если приращение Δy этой функции в точке x , соответствующее приращению аргумента Δx , может быть представимо в виде
Δy = A Δx +αΔx ,
где A – некоторое число, не зависящее от Δx , а α – функция аргумента Δx , являющая бесконечно малой при Δx→ 0 .
Так как произведение двух бесконечно малых функций αΔx является бесконечно малой более высокого порядка, чем Δx (свойство 3 бесконечно малых функций), то можем записать:
Δy = A Δx +o(Δx) .
Теорема . Для того, чтобы функция y=f(x) являлась дифференцируемой в данной точке x , необходимо и достаточно, чтобы она имела в этой точке конечную производную. При этом A=f′(x) , то есть
Δy = f′(x) Δx +o(Δx) .
Операцию нахождения производной обычно называют дифференцированием.
Теорема .
Если функция y=f(x) x , то она непрерывна в этой точке.
Замечание . Из непрерывности функции y=f(x) в данной точке x , вообще говоря, не вытекает дифференцируемость функции f(x) в этой точке. Например, функция y=|x| – непрерывна в точке x=0 , но не имеет производной.
Понятие дифференциала функции
Определение . Дифференциалом функции y=f(x) называется произведение производной этой функции на приращение независимой переменной x :
dy = y′ Δx, df(x) = f′(x) Δx .
Для функции y=x получаем dy=dx=x′Δx = 1· Δx= Δx , то есть dx=Δx – дифференциал независимой переменной равен приращению этой переменной.
Таким образом, можем записать
dy = y′ dx, df(x) = f′(x) dx
Дифференциал dy и приращение Δy функции y=f(x) в данной точке x , оба отвечающие одному и тому же приращению аргумента Δx , вообще говоря, не равны друг другу.
Геометрический смысл дифференциала : Дифференциал функции равен приращению ординаты касательной к графику данной функции, когда аргумент получает приращение Δx .
Правила дифференцирования
Теорема . Если каждая из функций u(x) и v(x) дифференцируема в данной точке x , то сумма, разность, произведение и частное этих функций (частное при условии, что v(x)≠ 0 ) также дифференцируемы в этой точке, причем имеют место формулы:
Рассмотрим сложную функцию y=f(φ(x))≡ F(x) , где y=f(u) , u=φ(x) . В этом случае u называют промежуточным аргументом , x – независимой переменной .
Теорема . Если y=f(u) и u=φ(x) – дифференцируемые функции своих аргументов, то производная сложной функции y=f(φ(x)) существует и равна произведению этой функции по промежуточному аргументу на производную промежуточного аргумента по независимой переменной, т.
е.
Замечание . Для сложной функции, являющейся суперпозицией трех функций y=F(f(φ(x))) , правило дифференцирования имеет вид
y′ x = y′ u u′ v v′ x ,
где функции v=φ(x) , u=f(v) и y=F(u) – дифференцируемые функции своих аргументов.
Теорема . Пусть функция y=f(x) возрастает (или убывает) и непрерывна в некоторой окрестности точки x 0 . Пусть, кроме того, эта функция дифференцируема в указанной точке x 0 и ее производная в этой точке f′(x 0) ≠ 0 . Тогда в некоторой окрестности соответствующей точки y 0 =f(x 0) определена обратная для y=f(x) функция x=f -1 (y) , причем указанная обратная функция дифференцируема в соответствующей точке y 0 =f(x 0) и для ее производной в этой точке y справедлива формула
Таблица производных
Инвариантность формы первого дифференциала
Рассмотрим дифференциал сложной функции. Если y=f(x) , x=φ(t) – дифференцируемы функции своих аргументов, то производная функции y=f(φ(t)) выражается формулой
y′ t = y′ x x′ t .
По определению dy=y′ t dt , тогда получим
dy = y′ t dt = y′ x · x′ t dt = y′ x (x′ t dt) = y′ x dx ,
dy = y′ x dx .
Итак, доказали,
Свойство инвариантности формы первого дифференциала функции : как в случае, когда аргумент x является независимой переменной, так и в случае, когда аргумент x сам является дифференцируемой функцией новой переменной, дифференциал dy функции y=f(x) равен производной этой функции, умноженной на дифференциал аргумента dx .
Применение дифференциала в приближенных вычислениях
Мы показали, что дифференциал dy функции y=f(x) , вообще говоря, не равен приращению Δy этой функции. Тем не менее с точностью до бесконечно малой функции более высокого порядка малости, чем Δx , справедливо приближенное равенство
Δy ≈ dy .
Отношение называют относительной погрешностью равенства этого равенства. Так как Δy-dy=o(Δx) , то относительная погрешность данного равенства становится как угодно малой при уменьшении |Δх| .
Учитывая, что Δy=f(x+δ x)-f(x) , dy=f′(x)Δx , получим f(x+δ x)-f(x) ≈ f′(x)Δx или
f(x+δ x) ≈ f(x) + f′(x)Δx .
Это приближенное равенство позволяет с ошибкой o(Δx) заменить функцию f(x) в малой окрестности точки x (т.е. для малых значений Δx ) линейной функцией аргумента Δx , стоящей в правой части.
Производные высших порядков
Определение . Второй производной (или производной второго порядка) функции y=f(x) называется производная от ее первой производной.
Обозначение второй производной функции y=f(x) :
Механический смысл второй производной . Если функция y=f(x) описывает закон движения материальной точки по прямой линии, то вторая производная f″(x) равна ускорению движущейся точки в момент времени x .
Аналогично определяется третья, четвертая производная.
Определение . n -й производной (или производной n -го порядка) функции y=f(x) называется производная от ее n-1 -й производной:
y (n) =(y (n-1))′, f (n) (x)=(f (n-1) (x))′ .
Обозначения: y″′ , y IV , y V и т.д.
| 1. | Наибольшее и наименьшее значения функции квадратного корня | 1 вид – рецептивный | лёгкое | 2 Б. | Вычисление наибольшего и наименьшего значений заданной функции без помощи производной. |
2.
|
Наименьшее и наибольшее значения функции на отрезке | 2 вид – интерпретация | лёгкое | 2 Б. | Обе стационарные точки принадлежат заданному отрезку. |
| 3. | Hаибольшее и наименьшее значения степенной функции | 1 вид – рецептивный | лёгкое |
2 Б.
|
В решении используется график функции. |
| 4. | Вычисление наибольшего значения функции | 2 вид – интерпретация | среднее | 2 Б. | Вычисление значений на луче. Дана дробная функция. |
5.
|
Вычисление наибольшего значения числа при произведении | 2 вид – интерпретация | среднее | 4 Б. | Задача на оптимизацию. В вычислениях применяется производная. |
| 6. | Вычисление наибольшей площади | 2 вид – интерпретация | среднее |
3 Б.
|
Дан прямоугольник. В вычислении используется производная. |
| 7. | Треугольник с максимальной площадью | 3 вид – анализ | сложное | 5 Б. | Вычисление сторон треугольника с максимальной площадью и фиксированным периметром. |
8.
|
Уравнение с параметром | 3 вид – анализ | сложное | 1 Б. | В вычислении суммы квадратов используется производная. |
| 9. | Ближайшая точка на графике | 3 вид – анализ | сложное |
4 Б. |
График функции — парабола. Применяется производная. |
См. Другие проблемы на странице 2.
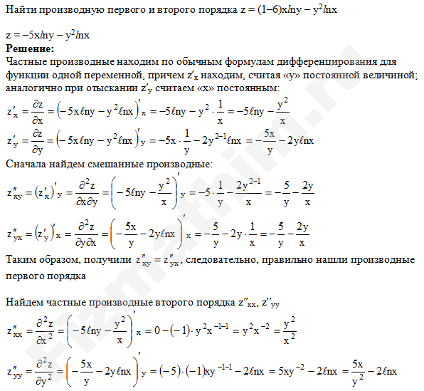
Первые и вторые производные функций
Если вы считаете, что контент, доступный через Веб-сайт (как определено в наших Условиях обслуживания), нарушает одно
или больше ваших авторских прав, сообщите нам, отправив письменное уведомление («Уведомление о нарушении»), содержащее
в
информацию, описанную ниже, назначенному ниже агенту. Если репетиторы университета предпримут действия в ответ на
ан
Уведомление о нарушении, оно предпримет добросовестную попытку связаться со стороной, которая предоставила такой контент
средствами самого последнего адреса электронной почты, если таковой имеется, предоставленного такой стороной Varsity Tutors.
Ваше Уведомление о нарушении прав может быть отправлено стороне, предоставившей доступ к контенту, или третьим лицам, таким как в виде ChillingEffects.org.
Обратите внимание, что вы будете нести ответственность за ущерб (включая расходы и гонорары адвокатам), если вы существенно искажать информацию о том, что продукт или действие нарушает ваши авторские права. Таким образом, если вы не уверены, что контент находится на Веб-сайте или по ссылке с него нарушает ваши авторские права, вам следует сначала обратиться к юристу.
Чтобы отправить уведомление, выполните следующие действия:
Вы должны включить следующее:
Физическая или электронная подпись правообладателя или лица, уполномоченного действовать от их имени;
Идентификация авторских прав, которые, как утверждается, были нарушены;
Описание характера и точного местонахождения контента, который, по вашему мнению, нарушает ваши авторские права, в \
достаточно подробностей, чтобы позволить репетиторам Varsity найти и точно идентифицировать этот контент; например нам требуется
а
ссылка на конкретный вопрос (а не только на название вопроса), который содержит содержание и описание
к какой конкретной части вопроса – изображению, ссылке, тексту и т.
д. – относится ваша жалоба;
Ваше имя, адрес, номер телефона и адрес электронной почты; и
Ваше заявление: (а) вы добросовестно считаете, что использование контента, который, по вашему утверждению, нарушает
ваши авторские права не разрешены законом, владельцем авторских прав или его агентом; (б) что все
информация, содержащаяся в вашем Уведомлении о нарушении, является точной, и (c) под страхом наказания за лжесвидетельство вы
либо владелец авторских прав, либо лицо, уполномоченное действовать от их имени.
Отправьте жалобу нашему уполномоченному агенту по адресу:
Чарльз Кон
Varsity Tutors LLC
101 S. Hanley Rd, Suite 300
St. Louis, MO 63105
Или заполните форму ниже:
| ’62 Центр театра и танца, ’62 Центр | ||
| касса | 597-2425 | |
| Магазин костюмов | 597-3373 | |
| Менеджер мероприятий / Помощник менеджера | 597-4808 | 597-4815 факс |
| Производство | 597-4474 факс | |
| Магазин сцен | 597-2439 | |
| ’68 Центр карьерного роста, Мирс | 597-2311 | 597-4078 факс |
| Academic Resources, Парески | 597-4672 | 597-4959 факс |
| Служба поддержки инвалидов, Парески | 597-4672 | |
| Прием, Вестон-холл | 597-2211 | 597-4052 факс |
| Affirmative Action, Hopkins Hall | 597-4376 | |
| Africana Studies, Hollander | 597-2242 | 597-4222 факс |
| Американские исследования, Шапиро | 597-2074 | 597-4620 факс |
| Антропология и социология, Холландер | 597-2076 | 597-4305 факс |
| Архивы и специальные коллекции, Sawyer | 597-4200 | 597-2929 факс |
| Читальный зал | 597-4200 | |
| Искусство (История, Студия), Spencer Studio Art / Lawrence | 597-3578 | 597-3693 факс |
| Архитектурная студия, Spencer Studio Art | 597-3134 | |
| Фотография Студия, Spencer Studio Art | 597-2030 | |
| Printmaking Studio, Spencer Studio Art | 597-2496 | |
| Студия скульптуры, Spencer Studio Art | 597-3101 | |
| Senior Studio, Spencer Studio Art | 597-3224 | |
| Видео / фотостудия, Spencer Studio Art | 597-3193 | |
| Asian Studies, Hollander | 597-2391 | 597-3028 факс |
| Астрономия / Астрофизика, Thompson Physics | 597-2482 | 597-3200 факс |
| Департамент легкой атлетики, Физическое воспитание, отдых, Ласелл | 597-2366 | 597-4272 факс |
| Спортивный директор | 597-3511 | |
| Лодочный домик, Озеро Онота | 443-9851 | |
| Автобусы | 597-2366 | |
| Фитнес-центр | 597-3182 | |
| Hockey Rink Ice Line, Lansing Chapman | 597-2433 | |
| Intramurals, Атлетический центр Чандлера | 597-3321 | |
| Физическое воспитание | 597-2141 | |
| Pool Wet Line, Атлетический центр Чандлера | 597-2419 | |
| Sports Information, Hopkins Hall | 597-4982 | 597-4158 факс |
| Спортивная медицина | 597-2493 | 597-3052 факс |
| Площадки для игры в сквош | 597-2485 | |
| Поле для гольфа Taconic | 458-3997 | |
| Биохимия и молекулярная биология, Thompson Biology | 597-2126 | |
| Биоинформатика, геномика и протеомика, Бронфман | 597-2124 | |
| Биология, Thompson Biology | 597-2126 | 597-3495 факс |
| Охрана и безопасность кампуса, Хопкинс-холл | 597-4444 | 597-3512 факс |
| Карты доступа / системы сигнализации | 597-4970 / 4033 | |
| Служба сопровождения, Хопкинс-холл | 597-4400 | |
| Офицеры и диспетчеры | 597-4444 | |
| Секретарь, удостоверения личности | 597-4343 | |
| Коммутатор | 597-3131 | |
| Центр развития творческого сообщества, 66 Stetson Court | 884-0093 | |
| Центр экономики развития, 1065 Main St | 597-2148 | 597-4076 факс |
| Компьютерный зал | 597-2522 | |
| Вестибюль | 597-4383 | |
Центр экологических исследований, класс 1966 г. Экологический центр | 597-2346 | 597-3489 факс |
| Лаборатория наук об окружающей среде, Морли | 597-2380 | |
| Исследования окружающей среды | 597-2346 | |
| Лаборатория ГИС | 597-3183 | |
| Центр иностранных языков, литератур и культур, Холландер | 597-2391 | 597-3028 факс |
| Арабские исследования, Холландер | 597-2391 | 597-3028 факс |
| Сравнительная литература, Холландер | 597-2391 | |
| Критические языки, Холландер | 597-2391 | 597-3028 факс |
| лингафонный кабинет | 597-3260 | |
| Россия, Холландер | 597-2391 | |
| Центр обучения в действии, Brooks House | 597-4588 | 597-3090 факс |
| Библиотека редких книг Чапина, Сойер | 597-2462 | 597-2929 факс |
| Читальный зал | 597-4200 | |
| Офис капелланов, Парески | 597-2483 | 597-3955 факс |
| Еврейский религиозный центр, Стетсон-Корт 24, | 597-2483 | |
| Мусульманская молитвенная комната, часовня Томпсона (нижний уровень) | 597-2483 | |
| Католическая часовня Ньюмана, часовня Томпсона (нижний уровень) | 597-2483 | |
| Химия, Thompson Chemistry | 597-2323 | 597-4150 факс |
| Классика (греческий и латинский), Hollander | 597-2242 | 597-4222 факс |
| Когнитивная наука, Бронфман | 597-4594 | |
| Маршал колледжа, Thompson Physics | 597-2008 | |
| Отношения с колледжем | 597-4057 | |
| Программа 25-го воссоединения, Фогт | 597-4208 | 597-4039 факс |
| Программа 50-го воссоединения, Фогт | 597-4284 | 597-4039 факс |
| Операции по развитию, Мирс-Уэст | 597-4154 | 597-4333 факс |
| Мероприятия для выпускников, Vogt | 597-4146 | 597-4548 факс |
| Фонд выпускников | 597-4153 | 597-4036 факс |
| Связи с выпускниками, Мирс-Уэст | 597-4151 | 597-4178 факс |
| Почтовые службы для выпускников / разработчиков, Мирс-Уэст | 597-4369 | |
| Девелопмент, Vogt | 597-4256 | |
| Отношения с донорами, Vogt | 597-3234 | 597-4039 факс |
| Офис по планированию подарков, Vogt | 597-3538 | 597-4039 факс |
| Grants Office, Мирс-Уэст | 597-4025 | 597-4333 факс |
| Программа крупных подарков, Vogt | 597-4256 | 597-4548 факс |
| Фонд родителей, Фогт | 597-4357 | 597-4036 факс |
| Prospect Management & Research, Мирс | 597-4119 | 597-4178 факс |
| Начало и академические мероприятия, Jesup | 597-2347 | 597-4435 факс |
| Communications, Hopkins Hall | 597-4277 | 597-4158 факс |
| Sports Information, Hopkins Hall | 597-4982 | 597-4158 факс |
| Web Team, Southworth Schoolhouse | ||
| Williams Magazines (ранее Alumni Review), Hopkins Hall | 597-4278 | |
| Компьютерные науки, Thompson Chemistry | 597-3218 | 597-4250 факс |
| Conferences & Events, Парески | 597-2591 | 597-4748 факс |
Запросы Elm Tree House, Mt. Надежда Ферма | 597-2591 | |
| Офис контролера, Хопкинс Холл | 597-4412 | 597-4404 факс |
| Accounts Payable & Data Entry, Hopkins Hall | 597-4453 | |
| Bursar & Cash Receipts, Hopkins Hall | 597-4396 | |
| Financial Information Systems, Hopkins Hall | 597-4023 | |
| Purchasing Cards, Hopkins Hall | 597-4413 | |
| Студенческие ссуды, Хопкинс Холл | 597-4683 | |
| Dance, 62 Центр | 597-2410 | |
| Центр Дэвиса (ранее Мультикультурный центр), Дженнесс | 597-3340 | 597-3456 факс |
| Харди Хаус | 597-2129 | |
| Jenness House | 597-3344 | |
| Райс Хаус | 597-2453 | |
| Декан колледжа, Хопкинс-холл | 597-4171 | 597-3507 факс |
| Декан факультета Хопкинс Холл | 597-4351 | 597-3553 факс |
| Столовая, капельницы | 597-2121 | 597-4618 факс |
| ’82 Гриль, Парески | 597-4585 | |
| Булочная, Парески | 597-4511 | |
| Питание, факультет | 597-2452 | |
| Driscoll Dining Hall, Дрисколл | 597-2238 | |
| Eco Café, Научный центр | 597-2383 | |
| Grab ‘n Go, Парески | 597-4398 | |
| Lee Snack Bar, Парески | 597-3487 | |
| Обеденный зал Mission Park, Mission Park | 597-2281 | |
| Whitmans ‘, Парески | 597-2889 | |
| Economics, Schapiro | 597-2476 | 597-4045 факс |
| Английский, Холландер | 597-2114 | 597-4032 факс |
| Сооружения, здание служебного помещения | 597-2301 | |
| College Car Request | 597-2302 | |
| Экстренная помощь вечером / в выходные дни | 597-4444 | |
| Запросы на работу производственных помещений | 597-4141 факс | |
| Особые мероприятия | 597-4020 | |
| Кладовая | 597-2143 | 597-4013 факс |
| Клуб преподавателей, Дом факультетов / Центр выпускников | 597-2451 | 597-4722 факс |
| Бронирование | 597-3089 | |
| Fellowships Office, Hopkins Hall | 597-3044 | 597-3507 факс |
| Financial Aid, Weston Hall | 597-4181 | 597-2999 факс |
| Geosciences, Clark Hall | 597-2221 | 597-4116 факс |
| Немецко-русский, Hollander | 597-2391 | 597-3028 факс |
| Глобальные исследования, Холландер | 597-2247 | |
| Программа магистратуры по истории искусств, Кларк | 458-2317 факс | |
| Службы здравоохранения и хорошего самочувствия, Thompson Ctr Health | 597-2206 | 597-2982 факс |
| Санитарное просвещение | 597-3013 | |
| Услуги интегративного благополучия (консультирование) | 597-2353 | |
| Чрезвычайные ситуации с угрозой жизни | Позвоните 911 | |
| Медицинские услуги | 597-2206 | |
| История, Холландер | 597-2394 | 597-3673 факс |
| История науки, Бронфман | 597-4116 факс | |
| Лес Хопкинса | 597-4353 | |
| Розенбург-центр | 458-3080 | |
| Отдел кадров, B&L Building | 597-2681 | 597-3516 факс |
| Услуги няни, корпус B&L | 597-4587 | |
| Льготы | 597-4355 | |
| Программа помощи сотрудникам | 800-828-6025 | |
| Занятость | 597-2681 | |
| Заработная плата | 597-4162 | |
| Ресурсы для супруга / партнера | 597-4587 | |
| Занятость студентов | 597-4568 | |
| Погодная линия (ICEY) | 597-4239 | |
| Humanities, Schapiro | 597-2076 | |
| Информационные технологии, Jesup | 597-2094 | 597-4103 факс |
| Пакеты для чтения курсов, ящик для сообщений офисных услуг | 597-4090 | |
| Центр аренды оборудования, Додд Приложение | 597-4091 | |
| Служба поддержки преподавателей / сотрудников, [адрес электронной почты защищен] | 597-4090 | |
| Медиауслуги и справочная информация в классе | 597-2112 | |
| Служба поддержки студентов, [электронная почта] | 597-3088 | |
| Телекоммуникации / телефоны | 597-4090 | |
| Междисциплинарные исследования, Холландер | 597-2552 | |
| Международное образование и учеба, Хопкинс-холл | 597-4262 | 597-3507 факс |
| Инвестиционный офис, Хопкинс Холл | 597-4447 | |
| Офис в Бостоне | 617-502-2400 | 617-426-5784 факс |
| Еврейские исследования, Мазер | 597-3539 | |
| Справедливость и закон, Холландер | 597-2102 | |
| Latina / o Studies, Hollander | 597-2242 | 597-4222 факс |
| Исследования лидерства, Шапиро | 597-2074 | 597-4620 факс |
| Морские исследования, Бронфман | 597-2297 | |
| Математика и статистика, Bascom | 597-2438 | 597-4061 факс |
| Музыка, Бернхард | 597-2127 | 597-3100 факс |
| Concertline (записанная информация) | 597-3146 | |
| Неврология, Thompson Biology | 597-4107 | 597-2085 факс |
| Окли Центр, Окли | 597-2177 | 597-4126 факс |
| Управление институционального разнообразия и справедливости, Хопкинс-холл | 597-4376 | 597-4015 факс |
| Управление счетов студентов, Хопкинс-холл | 597-4396 | 597-4404 факс |
| Performance Studies, ’62 Center | 597-4366 | |
| Философия, Шапиро | 597-2074 | 597-4620 факс |
| Физика, Thompson Physics | 597-2482 | 597-4116 факс |
| Планетарий / Обсерватория Хопкинса | 597-3030 | |
| Театр старой обсерватории Хопкинса | 597-4828 | |
| Бронирование | 597-2188 | |
| Политическая экономия, Шапиро | 597-2327 | |
| Политология, Шапиро | 597-2168 | 597-4194 факс |
| Офис президента, Хопкинс-холл | 597-4233 | 597-4015 факс |
| Дом Президента | 597-2388 | 597-4848 факс |
| Услуги печати / почты для преподавателей / сотрудников, ’37 House | 597-2022 | |
| Программа обучения, Бронфман | 597-4522 | 597-2085 факс |
| Офис Провоста, Хопкинс Холл | 597-4352 | 597-3553 факс |
| Психология, психологические кабинеты и лаборатории | 597-2441 | 597-2085 факс |
| Недвижимость, B&L Building | 597-2195 / 4238 | 597-5031 факс |
| Ипотека для преподавателей / сотрудников | 597-4238 | |
| Аренда жилья для преподавателей / сотрудников | 597-2195 | |
| Офис регистратора, Хопкинс Холл | 597-4286 | 597-4010 факс |
| Религия, Холландер | 597-2076 | 597-4222 факс |
| Romance Languages, Hollander | 597-2391 | 597-3028 факс |
| Планировщик помещений | 597-2555 | |
| Соответствие требованиям безопасности и охраны окружающей среды, класс ’37 Дом | 597-3003 | |
| Библиотека Сойера, Сойер | 597-2501 | 597-4106 факс |
| Службы доступа | 597-2501 | |
| Приобретения / Серийные номера | 597-2506 | |
| Службы каталогизации / метаданных | 597-2507 | |
| Межбиблиотечный абонемент | 597-2005 | 597-2478 факс |
| Исследовательские и справочные службы | 597-2515 | |
| Стеллаж | 597-4955 | 597-4948 факс |
| Системы | 597-2084 | |
| Научная библиотека Шоу, Научный центр | 597-4500 | 597-4600 факс |
| Исследования в области науки и технологий, Бронфман | 597-2239 | |
| Научный центр, Бронфман | 597-4116 факс | |
| Магазин электроники | 597-2205 | |
| Машинно-модельный цех | 597-2230 | |
| Безопасность | 597-4444 | |
| Специальные академические программы, Харди | 597-3747 | 597-4530 факс |
| Sports Information, Hopkins Hall | 597-4982 | 597-4158 факс |
| Студенческая жизнь, Парески | 597-4747 | |
| Планировщик помещений | 597-2555 | |
| Управление студенческими центрами | 597-4191 | |
| Организация студенческих мероприятий | 597-2546 | |
| Студенческий дом, Парески | 597-2555 | |
| Участие студентов | 597-4749 | |
| Программы проживания для старших классов | 597-4625 | |
| Студенческая почта, Паресский почтовый кабинет | 597-2150 | |
| Устойчивое развитие / Центр Зилха, Харпер | 597-4462 | |
| Коммутатор, Хопкинс Холл | 597-3131 | |
| Книжный магазин Уильямса | 458-8071 | 458-0249 факс |
| Театр, 62 Центр | 597-2342 | 597-4170 факс |
| Trust & Estate Administration, Sears House | 597-4259 | |
| Учебники | 597-2580 | |
| вице-президент по кампусной жизни, Хопкинс-холл | 597-2044 | 597-3996 факс |
| Вице-президент по связям с колледжем, Мирс | 597-4057 | 597-4178 факс |
| Вице-президент по финансам и администрированию, Hopkins Hall | 597-4421 | 597-4192 факс |
| Центр визуальных ресурсов, Лоуренс | 597-2015 | 597-3498 факс |
| Детский центр Williams College, Детский центр Williams | 597-4008 | 597-4889 факс |
| Музей искусств колледжа Уильямс (WCMA), Лоуренс | 597-2429 | 597-5000 факс |
| Подготовка музея | 597-2426 | |
| Служба безопасности музея | 597-2376 | |
| Музейный магазин | 597-3233 | |
| Уильямс Интернэшнл | 597-2161 | |
| Уильямс Outing Club, Парески | 597-2317 | |
| Оборудование / стол для студентов | 597-4784 | |
| Проект Уильямса по экономике высшего образования, Мирс-Вест | 597-2192 | |
| Уильямс Рекорд, Парески | 597-2400 | 597-2450 факс |
| Программа Уильямса-Эксетера в Оксфорде, Оксфордский университет | 011-44-1865-512345 | |
| Программа Williams-Mystic, Mystic Seaport Museum | 860-572-5359 | 860-572-5329 факс |
| Исследования женщин, гендера и сексуальности, Schapiro | 597-3143 | 597-4620 факс |
| Написание программ, Hopkins Hall | 597-4615 | |
| Центр экологических инициатив «Зилха», Харпер | 597-4462 |
3.
9 Производные от экспоненциальных и логарифмических функций – Исчисление Том 1Цели обучения
- 3.9.1 Найдите производную от экспоненциальной функции.
- 3.9.2 Найдите производную логарифмических функций.
- 3.9.3 Используйте логарифмическое дифференцирование, чтобы определить производную функции.
До сих пор мы научились различать различные функции, включая тригонометрические, обратные и неявные функции. В этом разделе мы исследуем производные экспоненциальных и логарифмических функций.Как мы обсуждали во введении в функции и графики, экспоненциальные функции играют важную роль в моделировании роста населения и распада радиоактивных материалов. Логарифмические функции могут помочь масштабировать большие количества и особенно полезны при переписывании сложных выражений.
Производная экспоненциальной функции
Так же, как при нахождении производных от других функций, мы можем найти производные от экспоненциальных и логарифмических функций с помощью формул.
При разработке этих формул нам необходимо сделать некоторые основные предположения. Доказательства того, что эти предположения верны, выходят за рамки этого курса.
Прежде всего, мы начнем с предположения, что функция B (x) = bx, b> 0, B (x) = bx, b> 0, определена для каждого действительного числа и является непрерывной. В предыдущих курсах значения экспоненциальных функций для всех рациональных чисел были определены – начиная с определения bn, bn, где nn – положительное целое число – как произведение bb, умноженного на себя nn раз.Позже мы определили b0 = 1, b − n = 1bn, b0 = 1, b − n = 1bn для положительного целого числа n, n и bs / t = (bt) sbs / t = (bt) s для положительного целые числа ss и tt Эти определения оставляют открытым вопрос о значении brbr, где rr – произвольное действительное число. Предполагая непрерывность B (x) = bx, b> 0, B (x) = bx, b> 0, мы можем интерпретировать brbr как limx → rbxlimx → rbx, где значения xx, когда мы берем предел, равны рациональный.
Например, мы можем рассматривать 4π4π как число, удовлетворяющее
Как видно из следующей таблицы, 4π≈77,88,4π≈77,88.
| хх | 4х4 | хх | 4х4 |
|---|---|---|---|
| 4343 | 64 | 43.14159343.141593 | 77.8802710486 |
| 43.143.1 | 73. 5166947198 | 43.141643.1416 | 77,8810268071 |
| 43.1443.14 | 77.7084726013 | 43.14243.142 | 77.51944 |
| 43.14143.141 | 77.8162741237 | 43.1543.15 | 78,7932424541 |
| 43.141543.1415 | 77.8702309526 | 43,243,2 | 84,4485062895 |
43. 1415943.14159 | 77,8799471543 | 4444 | 256 |
Мы также предполагаем, что для B (x) = bx, b> 0, B (x) = bx, b> 0 значение B ′ (0) B ′ (0) производной существует. В этом разделе мы покажем, что, сделав это еще одно допущение, можно доказать, что функция B (x) B (x) дифференцируема всюду.
Мы делаем одно последнее предположение: существует единственное значение b> 0b> 0, для которого B ′ (0) = 1.B ′ (0) = 1. Мы определяем ee как это уникальное значение, как мы это делали во введении в функции и графики.На рис. 3.33 представлены графики функций y = 2x, y = 3x, y = 2.7x, y = 2x, y = 3x, y = 2.7x и y = 2.8x.y = 2.8x. Визуальная оценка наклона касательных к этим функциям при 0 свидетельствует о том, что значение e находится где-то между 2,7 и 2,8.
Функция E (x) = exE (x) = ex называется естественной экспоненциальной функцией. Его обратная функция, L (x) = logex = lnxL (x) = logex = lnx, называется натуральной логарифмической функцией.
Для лучшей оценки e, e мы можем построить таблицу оценок B ′ (0) B ′ (0) для функций вида B (x) = bx.B (x) = bx. Перед тем как это сделать, напомним, что
B ′ (0) = limx → 0bx − b0x − 0 = limx → 0bx − 1x≈bx − 1xB ′ (0) = limx → 0bx − b0x − 0 = limx → 0bx − 1x≈bx − 1xдля значений xx, очень близких к нулю. Для наших оценок мы выбираем x = 0,00001x = 0,00001 и x = −0,00001x = −0,00001, чтобы получить оценку
. b − 0.00001−1−0.00001 См. Следующую таблицу.| BB | b − 0. 00001−1−0.00001 | BB | b − 0.00001−1−0.00001 |
|---|---|---|---|
| 22 | 0,693145 | 2,71832,7183 | 1.000002 |
| 2,72,7 | 0,993247 | 2,7192,719 | 1.000259 000269 |
| 2.712.71 | 0,996944 | 2,722,72 | 1.000627 |
| 2.7 182.718 | 0,999891 | 2,82,8 | 1.029614 |
| 2.71822.7182 | 0,999965 | 33 | 1.098606 098606 |
Данные таблицы показывают, что 2,7182 График E (x) = exE (x) = ex вместе с линией y = x + 1y = x + 1 показан на рисунке 3.34. Эта прямая касается графика E (x) = exE (x) = ex при x = 0.x = 0. Теперь, когда мы изложили наши основные предположения, мы начинаем наше исследование с изучения производной B (x) = bx, b> 0. B (x) = bx, b> 0. Напомним, что мы предположили, что B ′ (0) B ′ (0) существует. Применяя определение предела к производной, мы заключаем, что (3,28) Переходя к B ′ (x), B ′ (x), получаем следующее. Мы видим, что на основании предположения, что B (x) = bxB (x) = bx дифференцируема в 0, B (x) 0, B (x) не только дифференцируема всюду, но ее производная равна (3,29) Для E (x) = ex, E ′ (0) = 1. E (x) = ex, E ′ (0) = 1. Таким образом, E ′ (x) = ex.E ′ (x) = ex. (Значение B ′ (0) B ′ (0) для произвольной функции вида B (x) = bx, b> 0, B (x) = bx, b> 0, будет получено позже.) Пусть E (x) = exE (x) = ex – естественная экспоненциальная функция. В целом Найти производную f (x) = этан (2x). F (x) = этан (2x). Используя формулу производной и цепное правило, Найдите производную y = ex2x.у = ex2x. Используйте производную естественной экспоненциальной функции, правило частного и правило цепочки. Найдите производную h (x) = xe2x.h (x) = xe2x. Начальная численность колонии комаров составляет 1000 человек.Через tt дней численность населения определяется как A (t) = 1000e0,3t.A (t) = 1000e0,3t. Покажите, что отношение скорости изменения популяции, A ′ (t), A ′ (t), к численности, A (t) A (t) постоянно. Сначала найдите A ′ (t) .A ′ (t). Используя цепное правило, получаем A ′ (t) = 300e0.3t.A ′ (t) = 300e0.3t. Таким образом, отношение скорости изменения численности населения к численности населения равно Отношение скорости изменения численности населения к численности населения является константой 0.3. Если A (t) = 1000e0. Теперь, когда у нас есть производная естественной экспоненциальной функции, мы можем использовать неявное дифференцирование, чтобы найти производную ее обратной, натуральной логарифмической функции. Если x> 0x> 0 и y = lnx, y = lnx, то В общем, пусть g (x) g (x) – дифференцируемая функция. Для всех значений xx, для которых g ′ (x)> 0, g ′ (x)> 0, производная h (x) = ln (g (x)) h (x) = ln (g (x)) дается (3.31) Если x> 0x> 0 и y = lnx, y = lnx, то ey = x.ey = x. Дифференцирование обеих частей этого уравнения приводит к уравнению Решение для dydxdydx дает Наконец, мы подставляем x = eyx = ey, чтобы получить Мы также можем получить этот результат, применяя теорему об обратной функции следующим образом. Используя этот результат и применяя цепное правило к h (x) = ln (g (x)) h (x) = ln (g (x)), получаем □ График y = lnxy = lnx и его производной dydx = 1xdydx = 1x показаны на рисунке 3.35. Найти производную f (x) = ln (x3 + 3x − 4). F (x) = ln (x3 + 3x − 4). Используйте уравнение 3.31 напрямую. Найти производную f (x) = ln (x2sinx2x + 1). F (x) = ln (x2sinx2x + 1). На первый взгляд, получение этой производной кажется довольно сложным. Однако, используя свойства логарифмов до нахождения производной, мы можем значительно упростить задачу. Дифференцировать: f (x) = ln (3x + 2) 5. Теперь, когда мы можем дифференцировать натуральную логарифмическую функцию, мы можем использовать этот результат, чтобы найти производные y = logbxy = logbx и y = bxy = bx для b> 0, b ≠ 1.b> 0, b ≠ 1. Пусть b> 0, b ≠ 1, b> 0, b ≠ 1, и пусть g (x) g (x) – дифференцируемая функция. (3.32) (3.33) (3.34) (3.35) Если y = logbx, y = logbx, то by = x.by = x. Отсюда следует, что ln (by) = lnx.ln (by) = lnx. Таким образом, ylnb = lnx.ylnb = lnx. Решая относительно y, y, мы имеем y = lnxlnb.y = lnxlnb. Дифференцируя и имея в виду, что lnblnb является константой, мы видим, что Производная в уравнении 3.33 теперь следует из цепного правила. Если y = bx, y = bx, то lny = xlnb.lny = xlnb. Используя неявное дифференцирование, снова имея в виду, что lnblnb является постоянным, следует, что 1ydydx = lnb.1ydydx = lnb. Решая вместо dydxdydx и подставляя y = bx, y = bx, мы видим, что Более общая производная (уравнение 3.35) следует из цепного правила. □ Найдите производную h (x) = 3x3x + 2. h (x) = 3x3x + 2. Найдите наклон прямой, касательной к графику y = log2 (3x + 1) y = log2 (3x + 1) при x = 1. Чтобы найти наклон, мы должны вычислить dydxdydx при x = 1.x = 1. Используя уравнение 3.33, мы видим, что Оценивая производную при x = 1, x = 1, мы видим, что касательная линия имеет наклон Найдите наклон прямой, касательной к y = 3xy = 3x при x = 2.x = 2. Здесь мы можем взять производные функций вида y = (g (x)) ny = (g (x)) n для определенных значений n, n, а также функции вида y = bg ( x), y = bg (x), где b> 0b> 0 и b ≠ 1.б ≠ 1. К сожалению, нам до сих пор не известны производные таких функций, как y = xxy = xx или y = xπ.y = xπ. Эти функции требуют техники, называемой логарифмическим дифференцированием, которая позволяет нам дифференцировать любую функцию вида h (x) = g (x) f (x). Найдите производную y = (2×4 + 1) tanx. Используйте логарифмическое дифференцирование, чтобы найти эту производную. Найдите производную y = x2x + 1exsin3x.y = x2x + 1exsin3x. В этой задаче действительно используются свойства логарифмов и правила дифференцирования, приведенные в этой главе. Найдите производную y = xry = xr, где rr – произвольное действительное число. Процесс такой же, как в примере 3.82, но с меньшими сложностями. Используйте логарифмическое дифференцирование, чтобы найти производную y = xx.у = хх. Найдите производную y = (tanx) π.y = (tanx) π. Для следующих упражнений найдите f ′ (x) f ′ (x) для каждой функции. f (x) = ex − e − xex + e − xf (x) = ex − e − xex + e − x f (x) = xπ · πxf (x) = xπ · πx f (x) = ln (4×3 + x) f (x) = ln (4×3 + x). f (x) = ln5x − 7f (x) = ln5x − 7 f (x) = журнал (secx) f (x) = журнал (secx) f (x) = log7 (6×4 + 3) 5f (x) = log7 (6×4 + 3) 5. f (x) = 2x · log37x2−4f (x) = 2x · log37x2−4 Для следующих упражнений используйте логарифмическое дифференцирование, чтобы найти dydx. y = (x2−1) lnxy = (x2−1) lnx у = х + 11×2-43y = х + 11×2-43 y = x − 1/2 (x2 + 3) 2/3 (3x − 4) 4y = x − 1/2 (x2 + 3) 2/3 (3x − 4) 4 [T] Найдите уравнение касательной к графику f (x) = 4xe (x2−1) f (x) = 4xe (x2−1) в точке, где х = -1.х = -1. Постройте график функции и касательной. [T] Найдите уравнение прямой, нормальной к графику f (x) = x · 5xf (x) = x · 5x в точке, где x = 1.x = 1. Постройте график функции и нормальной линии. [T] Найдите уравнение касательной к графику x3 − xlny + y3 = 2x + 5×3 − xlny + y3 = 2x + 5 в точке (2, 1). ( Совет : Используйте неявное дифференцирование, чтобы найти dydx.) Dydx.) Постройте график кривой и касательной. Рассмотрим функцию y = x1 / xy = x1 / x для x> 0. Формула I (t) = sintetI (t) = sintet – это формула затухающего переменного тока. [T] Население Толедо, штат Огайо, в 2000 году составляло приблизительно 500 000 человек. Предположим, что население увеличивается со скоростью 5% в год. [T] Изотоп элемента эрбия имеет период полураспада примерно 12 часов.Первоначально присутствует 9 граммов изотопа. [T] Число случаев гриппа в Нью-Йорке с начала 1960 до начала 1961 года моделируется функцией Н (т) = 5.3e0.093t2−0.87t, (0≤t≤4), N (t) = 5.3e0.093t2−0.87t, (0≤t≤4),
где N (t) N (t) дает количество случаев (в тысячах), а t измеряется в годах, причем t = 0t = 0 соответствует началу 1960 года. [T] Относительная скорость изменения дифференцируемой функции y = f (x) y = f (x) определяется как 100 · f ′ (x) f (x)%. 100 · f ′ ( х) f (x)%. Одной из моделей роста населения является функция роста Гомперца, задаваемая формулой P (x) = ae − b · e − cxP (x) = ae − b · e − cx, где a, b, a, b и cc – константы. Для следующих упражнений используйте население Нью-Йорка с 1790 по 1860 годы, указанное в следующей таблице. Таблица
3. [T] С помощью компьютерной программы или калькулятора подгоните кривую роста к данным вида p = abt.p = abt. [T] Используя экспоненту, наилучшим образом подходящую для данных, напишите таблицу, содержащую производные, оцениваемые за каждый год. [T] Используя экспоненту, наилучшим образом подходящую для данных, напишите таблицу, содержащую вторые производные, оцениваемые за каждый год. [T] Используя таблицы первых и вторых производных и наилучшего соответствия, ответьте на следующие вопросы:
= Limh → 0bx (bh − 1) hFactor outbx. = Bxlimh → 0bh − 1h свойство пределов. = bxB ′ (0) UseB ′ (0) = limh → 0b0 + h − b0h = limh → 0bh − 1h.B ′ (x) = limh → 0bx + h − bxh Применить определение предела производной . = limh → 0bxbh − bxh Обратите внимание, что bx + h = bxbh. = limh → 0bx (bh − 1) hFactor outbx. = bxlimh → 0bh − 1h Примените свойство пределов.= bxB ′ (0) Используйте B ′ (0) = limh → 0b0 + h − b0h = limh → 0bh − 1h. Теорема
3,14
Производная естественной экспоненциальной функции
Тогда Пример
3,74
Производная экспоненциальной функции
Решение
Пример
3,75
Объединение правил дифференциации
Решение
= ex2 ( 2×2−1) x2 Упростить. Контрольно-пропускной пункт
3,50
Пример
3,76
Применение естественной экспоненциальной функции
Решение
Контрольно-пропускной пункт
3,51
3tA (t) = 1000e0.3t описывает популяцию комаров через tt дней, как в предыдущем примере, какова скорость изменения A (t) A (t) через 4 дня? Производная логарифмической функции
Теорема
3.15
Производная натуральной логарифмической функции
Проба
Поскольку y = g (x) = lnxy = g (x) = lnx является обратным к f (x) = ex, f (x) = ex, применив теорему об обратной функции, мы имеем Пример
3,77
Получение производной от натурального логарифма
Решение
= 3×2 + 3×3 + 3x − 4 Переписать .f ′ (x) = 1×3 + 3x − 4 · (3×2 + 3) Используйте g (x) = x3 + 3x − 4inh ′ (x) = 1g (x) g ′ (x). = 3×2 + 3×3 + 3x− 4Перепишите. Пример
3.78
Использование свойств логарифмов в производных
Решение
Контрольно-пропускной пункт
3,52
f (x) = ln (3x + 2) 5. Теорема
3,16
Производные от общих экспоненциальных и логарифмических функций
dydx = 1xlnb.dydx = 1xlnb.
В более общем смысле, если h (x) = logb (g (x)), h (x) = logb (g (x)), то для всех значений x , для которых g (x)> 0, g (x )> 0,
h ′ (x) = g ′ (x) g (x) lnb.h ′ (x) = g ′ (x) g (x) lnb.
dydx = bxlnb.dydx = bxlnb.
В более общем смысле, если h (x) = bg (x), h (x) = bg (x), то
h ′ (x) = bg (x) g ′ (x) lnb.
h ′ (x) = bg (x) g ′ (x) lnb. Проба
Пример
3,79
Применение формул производных
Пример
3,80
Нахождение наклона касательной
х = 1. Решение
Контрольно-пропускной пункт
3,53
Логарифмическое дифференцирование
H (x) = g (x) f (x). Его также можно использовать для преобразования очень сложной задачи дифференцирования в более простую, например, для нахождения производной y = x2x + 1exsin3x.y = x2x + 1exsin3x. Мы описываем эту технику в следующей стратегии решения проблем. Стратегия решения проблем
Стратегия решения проблем: использование логарифмического дифференцирования
Пример
3,81
Использование логарифмического дифференцирования
y = (2×4 + 1) tanx. Решение
Подстановка = (2×4 + 1) tanx. Пример
3,82
Использование логарифмического дифференцирования
Решение
Продифференцируйте обе стороны. Dydx = y (1x + 12x + 1−1−3cotx) Шаг 4. Умножьте на обе стороны. Dydx = x2x + 1exsin3x (1x + 12x + 1−1−3cotx) Шаг 5. Замена = x2x + 1exsin3x . Пример
3,83
Расширение правила власти
Решение
dydx = rxr −1 Упростить. Контрольно-пропускной пункт
3,54
Контрольно-пропускной пункт
3,55
Раздел 3.9. Упражнения
dydx.
x> 0.
358
.
359
. tt синтецинтет 0 (i) π2π2 (ii) ππ (iii) 3π23π2 (iv) 2π2π (в) 5π25π2 (vi) 3π3π (vii) 7π27π2 (viii) 4π4π (ix) 
360
.
361
.
362
.
Годы с 1790 Население 0 33,131 10 60 515 90 154 20 96 373 30 123 706 40 202 300 50 312710 60 515 547 70 813,669
8
Население Нью-Йорка с течением времени
Источник: http://en.wikipedia.org/wiki/Largest_cities_in_the_United_States
_by_population_by_decade.
b ~ F (x, y, y ‘) ~ {\ rm d} x.\] Типичная задача вариационного исчисления заключается в нахождении конкретной функции \ (y (x) \) для максимизации или минимизации интеграла \ (I (y) \) с учетом граничных условий \ (y (a) = A \ ) и \ (y (b) = B \).
Интеграл \ (I (y) \) является примером функционала , который (в более общем смысле) является отображением набора допустимых функций в вещественные числа.
Мы говорим, что \ (I (y) \) имеет экстремум , когда \ (I (y) \) принимает максимальное или минимальное значение.
Рассмотрим задачу поиска кривой \ (y (x) \) наименьшей длины, которая соединяет две точки \ ((0,0) \) и \ ((1,1) \) на плоскости.2 [a, b] \) такая, что \ (y (a) = A, y (b) = B \), то \ (Y (x) \) удовлетворяет обыкновенному дифференциальному уравнению второго порядка \ [\ label {ele } \ frac {{\ rm d}} {{\ rm d} x} \ left (\ frac {\ partial F} {\ partial y ‘} \ right) – \ frac {\ partial F} {\ partial y} = 0. \]
Уравнение ([ele]) – это уравнение Эйлера-Лагранжа , или иногда просто уравнение Эйлера .
Вам может быть интересно, что означает \ (\ frac {\ partial F} {\ partial y ‘} \): как мы можем дифференцировать по производной? Подумайте об этом так: \ (F \) дается вам как функция трех переменных, скажем, \ (F (u, v, w) \), и когда мы оцениваем функционал \ (I \), мы подключаем \(Икс, y (x), y ‘(x) \) для \ (u, v, w \), а затем проинтегрируем.Производная \ (\ frac {\ partial F} {\ partial y ‘} \) – это просто частная производная от \ (F \) по его второй переменной \ (v \). Другими словами, чтобы найти \ (\ frac {\ partial F} {\ partial y ‘} \), просто представьте, что \ (y’ \) – это переменная .
В равной степени существует важное различие между \ (\ frac {{\ rm d} F} {{\ rm d} x} \) и \ (\ frac {\ partial F} {\ partial x} \). Первый является производной от \ (F \) по \ (x \) с учетом того факта, что \ (y = y (x) \) и \ (y ‘= y’ (x) \) равны функции \ (x \) тоже.2 + хуу \ простое \ простое + 2у \ простое \ простое y \ prime + {y \ prime} \ end {align} \] и уравнение Эйлера – Лагранжа имеет вид \ [y + xy ‘+ 2 {y’} ‘= xy’ + 1 \ qedhere \]
\ (Y \), удовлетворяющее уравнению Эйлера – Лагранжа, является необходимым, но не достаточным условием для того, чтобы \ (I (Y) \) было экстремумом.
2 [a, b] \) удовлетворяет \ (\ eta (a) = \ eta (b) = 0 \), так что \ (Y_ \ epsilon (a) = A \) и \ (Y_ \ epsilon (b ) = В \), т.b_a \ frac {{\ rm d} F} {{\ rm d} \ epsilon} (x, Y_ \ epsilon,
Y_ \ epsilon ‘) ~ {\ rm d} x \] Теперь мы используем правило цепочки нескольких переменных, чтобы дифференцировать \ (F \) относительно \ (\ epsilon \). Для общей функции трех переменных \ (F (u (\ epsilon),
v (\ epsilon), w (\ epsilon)) \), три аргумента которого зависят от \ (\ epsilon \), цепное правило говорит нам, что \ [\ frac {{\ rm d} F} {{\ rm d} \ epsilon} = \ frac {\ partial F} {\ partial
u} \ frac {{\ rm d} u} {{\ rm d} \ epsilon} + \ frac {\ partial F} {\ partial
v} \ frac {{\ rm d} v} {{\ rm d} \ epsilon} + \ frac {\ partial F} {\ partial
w} \ frac {{\ rm d} w} {{\ rm d} \ epsilon}.\] В нашем случае первый аргумент \ (x \) не зависит от \ (\ epsilon \), поэтому \ (\ frac {{\ rm d} x} {{\ rm d} \ epsilon} = 0 \) , а поскольку \ (Y_ \ epsilon = Y + \ epsilon \ eta \), мы имеем \ (\ frac {{\ rm d} Y_ \ epsilon} {{\ rm d} \ epsilon} = \ eta \) и \ (\ frac {{\ rm d} Y_ \ epsilon ‘} {{\ rm d} \ epsilon} = \ eta’ \).
Следовательно, \ [\ frac {{\ rm d} F} {{\ rm d} \ epsilon} (x, Y_ \ epsilon, Y_ \ epsilon ‘) = \ frac {\ partial F} {\ partial
y} \, \ eta (x) + \ frac {\ partial F} {\ partial
y ‘} \, \ eta’ (x). \] Напомним, что \ (\ frac {{\ rm d} I} {{\ rm d} \ epsilon} = 0 \), когда \ (\ epsilon = 0 \) .2 ~ {\ rm d} x, ~~~~~~ y (0) = 0, ~ y (1) = 2, ~~~~ \ left [\ mbox {Ответ:}
~~ y (x) = 2 \ frac {\ sinh {x}} {\ sinh {1}} \ right]. \ qedhere \]
Принимая во внимание \ (y + g \), где \ (y \) – решение из упражнения 1, а \ (g (x) \) – вариант в \ (y (x) \), удовлетворяющий \ (g (0) = g (1) = 0 \), а затем, учитывая \ (I (y + g) \), покажите явно, что \ (y (x) \) минимизирует \ (I (y) \) в упражнении 1. выше. (Подсказка: используйте интегрирование по частям и уравнение Эйлера – Лагранжа, которому удовлетворяет \ (y (x) \), чтобы упростить выражение для \ (I (y + g) \)).b ~ y (x) \ eta (x) ~ {\ rm d} x = 0. \] Тогда \ (y (x) = 0 \) для всех \ (a \ le x \ le b \).
Вот набросок доказательства. Классическим примером вариационного исчисления является поиск брахистохрона , определяемого как гладкая кривая, соединяющая две точки A и B (не под друг другом), по которой частица будет скользить от A к B под действием силы тяжести с максимально возможной скоростью. время.{-1} {\ left (\ sqrt {\ frac {x} {\ alpha}} \ right)} – \ sqrt {x} \ sqrt {\ alpha-x}. \] Эта кривая называется циклоидой . Константа \ (\ alpha \) неявно определяется оставшимся граничным условием \ (y (h) = a \). ([пояс]) называется тождеством Бельтрами или уравнением Бельтрами. Рассмотрим \ [\ label {dif} \ frac {{\ rm d}} {{\ rm d} x} \ left (F- y ‘\ frac {\ partial F} {\ partial y’}
\правильно)
= \ frac {{\ rm d} F} {{\ rm d} x} – {y ‘}’ \ frac {\ partial F} {\ partial y ‘} -y’ \ frac {{\ rm d}} {{\ rm d} х}
\ left (\ frac {\ partial F} {\ partial y ‘} \ right). До сих пор мы имели дело с граничными условиями вида \ (y (a) = A, y (b) = B \) или \ (y (a) = A, y ‘(b) = B \). Для некоторых задач естественные граничные условия выражаются с помощью интеграла. Стандартный пример – Задача Дидоны : если у вас есть кусок веревки фиксированной длины, какую форму вы должны сделать из него, чтобы охватить как можно большую площадь? Здесь мы пытаемся выбрать функцию \ (y \), чтобы максимизировать интеграл \ (I (y) \), дающий площадь, заключенную в \ (y \), но ограничение фиксированной длины также выражается в терминах интеграла, включающего \ (у \). Вам нужно знать о множителях Лагранжа, чтобы понять это доказательство: см. Раздаточный материал по Moodle (константа \ (\ lambda \) окажется множителем Лагранжа). Предположим, что \ (I (Y) \) является максимумом или минимумом при условии \ (J (y) = L \), и рассмотрим двухпараметрическое семейство функций, заданное как \ [Y (x) + \ epsilon \ eta (x) + \ delta \ zeta (x) \], где \ (\ epsilon \) и \ (\ delta \) – константы, а \ (\ eta (x) \) и \ (\ zeta (x) \) – дважды дифференцируемые функции, такие что \ (\ eta (a) = \ zeta (a) = \ eta (b) = \ zeta (b) = 0 \), с \ (\ zeta \), выбранным так, чтобы \ (Y + \ epsilon \ eta + \ delta \ zeta \) подчиняется интегральному ограничению.б G (х, Y + \ эпсилон \ eta +
\ delta \ zeta, Y ‘+ \ epsilon \ eta’ + \ delta \ zeta ‘) \, {\ rm d} x. \] Поскольку \ (I \) имеет максимум или минимум в \ (Y (x) \ ) при условии \ (J = L \), в точке \ ((\ epsilon, \ delta) \) = \ ((0,0) \) наша функция \ (I [\ epsilon, \ delta] \) принимает экстремальное значение при условии \ (J [\ epsilon, \ delta] = L \). Из теории множителей Лагранжа следует, что необходимое условие для функции \ (I [\ epsilon, \ delta] \) двух переменных с ограничением \ (J [\ epsilon, \ delta] = L \) на принять экстремальное значение в \ ((0,0) \), если существует постоянная \ (\ lambda \) (называемая множителем Лагранжа) такая, что \ [\ begin {align}
\ frac {\ partial I} {\ partial \ epsilon} + \ lambda \ frac {\ partial
J} {\ partial \ epsilon} & = 0 \\
\ frac {\ partial I} {\ partial \ delta} + \ lambda \ frac {\ partial
J} {\ partial \ delta} & = 0 \ end {align} \] в точке \ (\ epsilon = \ delta = 0 \).b \ eta \ left (\ frac {\ partial} {\ partial y} \ left (F + \ lambda G \ right) –
\ frac {{\ rm d}} {{\ rm d} x} \ left (\ frac {\ partial} {\ partial y ‘} \ left (F + \ lambda G \ right)
\ right) \ right) \, {\ rm d} x ~~~~ \ mbox {(интегрирование по частям)} \\
& & \\
& = & 0 ~~~~~ {\ mbox {при $ \ epsilon = \ delta = 0 $, неважно, что такое $ \ eta $.}} \ End {align} \] Поскольку это верно для любого \ (\ eta \), по FLCV (лемма [flcv]) получаем \ [(F_y + \ lambda G_y) (x, Y, Y ‘) + \ frac {{\ rm d}} {{\ rm d} x} (F_ {y ‘} + \ lambda G_ {y’})
(x, Y, Y ‘) = 0 \], что означает, что \ (Y \) является решением уравнения Эйлера – Лагранжа для \ (K \), как и требуется. (Конструкция загона для овец): Забор длиной \ (l \) должен быть прикреплен к прямой стене в точках A и B (на расстоянии \ (a \) друг от друга, где \ (a Существует множество вводных учебников по вариационному исчислению, но большинство из них содержит гораздо больше математических деталей, необходимых для MATH0043.Если вы хотите больше узнать о теории, в библиотеке можно найти вариационное исчисление Гельфанда и Фомина . Менее технический источник – глава 9 Boas Mathematical Methods in the Physical Sciences . В сети есть много кратких вводных сведений о вариационном исчислении, например , хотя все они описываются гораздо более подробно, чем нам нужно в MATH0043. пригодится в качестве напоминания о множителях Лагранжа. calc 2 глава 7 7 – Приблизительная интеграция – 7.) Остальные главы имеют содержание. Тип файла: pdf. Webassign Ответы. 1 Интеграция по частям; 7. Ответ 3E. Вопросы с множественным выбором (5 баллов каждый; обведите правильный ответ. 1, 4. Они прибыли. Это называется тестом на банкротство, потому что на самом базовом уровне он проверяет, есть ли у кого-то средства для выплаты своих долгов. Краткое содержание курса, ограничения и преемственность.Чтобы проверить объем правого кругового конуса, мы рассматриваем радиус основания (r) как интервал по оси x и высоту (h) как интервал по оси y. Когда показатель степени равен 0, результатом возведения в степень любого основания всегда будет 1, хотя некоторые споры окружают 0 0 равным 1 или неопределенным. 7 Обратные функции и правило Л’Опиталя. Ниже приводится список рабочих листов и других материалов, связанных с Math 129 в UA.
4 & \ alpha_0
Уравнение циклоиды часто приводится в следующей параметрической форме (которая может быть получена подстановкой в интеграл) \ [\ begin {align}
х (\ theta) & = & \ frac {\ alpha} {2} (1- \ cos {2 \ theta}) \\
y (\ theta) & = & \ frac {\ alpha} {2} (2 \ theta- \ sin {2 \ theta}) \ end {align} \] и может быть построен, следуя геометрическому месту начальной точки контакт, когда круг радиуса \ (\ alpha / 2 \) катится (угол \ (2 \ theta \)) по прямой.2 [a, b] \) такая, что \ (y (a) = A, y (b) = B \), то \ (Y (x) \) удовлетворяет \ [\ label {belt} F – y ‘\ frac {\ partial F} {\ partial y ‘} =
C \] для некоторой константы \ (C \).
{\ prime \ prime} \ frac {\ partial F} {\ partial y ‘} – y’ \ frac {{\ rm d}} {{\ rm d} x} \ frac {\ partial
F} {\ partial y ‘}
= y ‘\ left (\ frac {\ partial F} {\ partial y} – \ frac {{\ rm d}} {{\ rm d} x} \ frac {\ partial
F} {\ partial y ‘} \ right) \] Поскольку \ (Y \) – экстремаль, это решение уравнения Эйлера – Лагранжа, и поэтому оно равно нулю для \ (y = Y \).2 ~ {\ rm d} x, ~~~~~~ y (0) = 0, ~ y (1) = 2, \] Ответ: \ [y = f (x) = 2 \ frac {\ sinh { x}} {\ sinh {1}} \] (снова).
b ~ F (x, y, y ‘) + \ lambda G (x, y, y’) \; {\ rm d} x \] для некоторой константы \ (\ lambda \).
2+ \ frac {5} {2}. \ right] \]
Наконец, помимо раздаточного материала Moodle, вы можете найти
1. 5. Кто такие эксперты? Чегг проверяет экспертов как специалистов в своей предметной области.MHR • 978-0-07-0738850 Предварительный расчет 12 Решения Глава 2 Страница 3 из 49 d) Для вертикального растяжения с коэффициентом 0. 1A Нет: 2/25 Окончание 7. НЕ объединяйте! а. Производные аппроксимации 10. ГЛАВА РЕСУРСЫ • Глава 2 Числа до 1000 ВКЛЮЧАЕТ • Письмо из школы домой • Направления словарной игры • Ежедневные дополнительные мероприятия • Повторное вмешательство для каждого урока • Тест по главе 2 • Задание на выполнение главы 2 • Критическая область 1 Задание на выполнение • Ключи ответов и формы индивидуального учета 118 ГЛАВА 7 почти весь уголь находится в пределах 1-2%.2 + 1. 3 Тома 1-го дня путем нарезки: 7. (Например, если h (x) = 2×2, вы можете записать h в терминах f как Полную текстовую версию этой главы можно скачать здесь. 2 Полных PDF-файла, относящихся к этой статье. ( i) длина. Производная 5. Затем проверьте свою работу, выбрав соответствующую ссылку «ответ». Дифференциальное исчисление сосредоточено на концепции производной.
Глава 2 тестирует математическое исчисление Карточки и учебные наборы 16. Изучите словарный запас, термины и больше с помощью карточек, игр и других учебных пособий.… Предварительное исчисление 11 Глава 2 Тест Начать изучение Предварительного исчисления Глава 2. AP-исчисление (BC) Глава 6 Тест без калькулятора Название раздела: Дата: Период: Часть I. Применение интегралов Глава 7. Глава 1 Обзор главы Страница 91: 3- 30 и 33-70. 2, Раздел 7. Викторина по 2. дому. 2 Вариационное исчисление – точки математики Массачусетского технологического института (1; 2) и (3; 5) имеют наклон (5 + 2) = (3 1) = 7 = 2. Ваш инструктор может использовать некоторые из них в классе. Введение в… Бесплатная загрузка PDF-файла вопросов по математике CBSE с несколькими вариантами ответов для класса 12 с ответами Глава 7 Интегралы.Рассматривая два острых угла прямоугольного треугольника, если один из этих углов имеет размер x, второй угол составляет π 2 – x. org 8 декабря 2021 г., автор: гость. Загрузить Calculus 2 Глава 7 Практика тестирования.
Если вы увлечены такой упомянутой электронной книгой по тестовой практике, описанной в главе 7, которая будет соответствовать вашим затратам, приобретите у нас определенно бестселлер в настоящее время из нескольких предпочтительных MHR • 978-0-07-0738850 Растворы перед исчислением 12 Глава 7 Страница 8 из 43. com – это модерируемый чат-форум, который предоставляет интерактивную справочную информацию по исчислениям, решения для вычислений, решения по алгебре для колледжей, решения для предварительных вычислений и многое другое.Значит, мы стремимся к пятерке !!! (а) Каково доступное энергосодержание (в джоулях) батареи, которая работает в 2. org. Наше изучение расчетов начинается с понимания выражения lim xa fx (), где a – действительное число (вкратце, a ) и f – функция. Нет главы 5 eTools. Многие упражнения из главы 7 (I, II, III) – только первые. Серии Глава 10. c) По наблюдениям, точка пересечения… AP CALCULUS BC ОБЗОР ГЛАВЫ 2 6. Тест на наличие средств в главе 7, обычно называемый просто проверкой нуждаемости, представляет собой анализ, который определяет, имеет ли лицо право на получение помощи в соответствии с главой 7 Кодекса о банкротстве в зависимости от их ежемесячного дохода.
Общие сведения о производных финансовых инструментах 9. Если ваш располагаемый доход в соответствии с тестом на нуждаемость составляет от 7 475 до 12 475 долларов, вам необходимо ответить на вопросы главы 7, обзор 1 | Стр. 1. Ответ 13E Access Calculus: Early Transcendentals, Single Variable, WebAssign Homework с eBook Life of Edition Карта доступа для Rogawski 2e, Envelope для Rogawski 2e Web Assign с eBook Life of Edition 2nd Edition Глава 7. Test Math 243: Calculus II Глава 8 Обзор AP Calculus BC ’13 -14 Глава 7 (Том) Тест Глава 2 Тест по математике – builder2.3. 3 x 3. 2 Вариационное исчисление Одна из тем этой книги – отношение уравнений к принципам минимума. pdf. 4 – Правила произведения и отношения Глава 3. ПРИМЕР 1. Чем лучше контроль эрозии… 7. Стр. TOC-7 Глава 12 – Применение многомерного исчисления Частные производные, 12-1 Множественные интегралы, 12-2 Ссылка, 12-2 Глава 13 – Приложения векторного анализа Оператор del, 13-1 Градиент, 13-1 Дивергенция, 13-2 Curl, 13-2 Справка, 13-2 Глава 14 – Дифференциальные уравнения Меню CALC / DIFF, 14-1 Решение линейного и нелинейное Глава 14 – Основные понятия исчисления.
Основные понятия CK-12 PreCalculus 5 14.Глава 5: Показатели и логарифмы. Доверительный управляющий. На самом деле существует бесконечное количество возможностей. 7. Переключить ветки / теги. Приложения производных Глава 5. AP исчисление AB может… Samacheer Kalvi 12th математические решения Глава 7 Применение дифференциального исчисления Пр. 7. 2-1, раздел 7. • Отдельная отчетность. Ответ 5E. (b) 22. x (2Inx + ‘1) 7-6 Irwin / McGraw-Hill Publ. Закрытие перекрестка требует сотрудничества и главы 2. Темы включают интеграцию по замещению, объемы оборотов, рабочие задачи. Исчисление 2, Глава 7 Учебное пособие. Подготовлено доктором.€ два 9x − 3 (2x − 1) (x + 1) A 2x − 1 B x + 1 ⇒9x − 3 = A (x + 1) + B (2x − 1). OP: Начало главы: Раздел 2. Другие темы в этой главе – это интеграция Глава 7 1 Глава 7: Оценка популяции речной рыбы методами метки и повторной поимки и истощения Роджер Н. Определите термин объектная привязка. Д. 5 см. Подробнее о зонах 50 2. Прекратить поиск. Будет дан тест 2019 года.
6 – Преемственность Глава 2. [Рис. Определение длины дуги гладкой кривой 5. acp-usa. исчисление-2-глава-7-тест-практика 1/9 Скачал с ct1.Дифференциалы Глава 0: Зачем изучать математический анализ? Глава 1: Числа Глава 2: Использование электронной таблицы Глава 3: Линейные функции Глава 4: Квадраты и производные функций Глава 5: Рациональные функции и вычисление производных Глава 6: Экспоненциальные функции, подстановка и правило цепочки Глава 7: Тригонометрические функции и их производные Fortnite Глава 2 Сезон 7 Обзор вторжения. Юсуф и профессор. Это быстро, но может и вам навредить. xcn, который отрицателен на рассматриваемом интервале, поэтому fx () монотонно убывает.См. Другие примеры ». Расчет площадей производился вручную или на компьютере. Глава 9 Бесконечная серия. 0 звезд 0 вилок Код уведомлений о звездах; Проблемы 0; Запросы на вытягивание 0; Действия; Проектов 0; Вики; Безопасность; Insights; владелец. Со своей обычной скоростью, если человек преодолевает круговую трассу радиусом 150.
Попробуйте бесплатно. Как показано на прикрепленном изображении, красная линия вращается вокруг оси Y, образуя правильный круговой конус. MHR • Исчисление и векторы 12 Решения 823 Глава 8 Необходимые навыки Вопрос 4 Page 426 a) По наблюдениям, точка пересечения – (7, 2).Toggle navigation Салливан, Исчисление для курса AP® | Студенческие ресурсы. 11 1 день 3 Связь синуса и косинуса 4. Math 10 Pre-Calculus Data Book. Глава 7 – Highway 17 – Прохождение Half-Life 2 – Half-Life-2 292. Инженерная математика 1 Глава 1. Вопросы с несколькими вариантами ответов 1. Ответ 7E. MCQ по математике для класса 12 Глава Wise с ответами Скачать PDF-файл подготовлен на основе последней схемы экзамена. Глава 7 6 Обратите внимание, что на рисунке вектор нормали n2 направлен внутрь нормали к объему.2 7-4 2. Скрытые субтитры доступны на английском языке. 5 День 2 Давление жидкости и силы: 7. 95,25-1) в ячейке в электронной таблице Microsoft Excel (результат 2. Будьте как можно полнее и точнее. Ввод: выражение с использованием обозначения ~.
Содержание кислорода обратно пропорционально содержанию углерода. Функции 4. € 3x + 4 x2 + 2x − 15 ∫ dx 2 c. Капитальные затраты на строительство ливневой канализации высоки, что подчеркивает важность качественного дизайна. Бесплатный калькулятор для определения будущей стоимости и отображения график роста текущей суммы с периодическими депозитами, с возможностью выбора платежей, производимых в начале или в конце каждого периода начисления сложных процентов.Мастер ресурсов главы 1 включает основные материалы, необходимые для главы 1.] • X – область f. Вам решать, как облегчить задачу! Ключ заключается в выборе… MHR • 978-0-07-0738850 Предварительный расчет 12 Решения Глава 7 Страница 8 из 43. Пожалуйста, используйте на свой страх и риск и сообщите нам, если что-то не работает. Ответ: A. Посмотрите видеоролики с доказательствами, представленные Брюсом Эдвардсом, в котором он объясняет различные теоремы исчисления и их доказательства. 1 6 11. Спасибо. Другое интегрирование по частям обрабатывает последний интеграл: u = x, dv = cosxdx, du = dx, v = sinx Интегрирование произведений и степеней sinx и cosx.
1 6 2. Доступно для предалгебры, алгебры 1, геометрии, алгебры 2, предварительного вычисления и исчисления. Ответ 9E. домой Лето Задание Гл. Если сумма превышает 12 475 долларов, вы не пройдете тест на нуждаемость и не сможете заполнить главу 7. (3) Предварительный расчет – это подготовка к расчету. 4√3 10. Свободное падение. 8. Экзамен AP Calculus AB – это трехчасовой 15-минутный тест в конце курса, состоящий из 45 вопросов с несколькими вариантами ответов (50% экзамена) и 6 бесплатных ответов. вопросы (50% экзамена). Аннотированные решения прошлых вопросов с бесплатными ответами Приложение: навыки работы с калькулятором 256 Глава 11 Последовательности и серии ближе к одному значению, но принимают все значения от -1 до 1 снова и снова.м за 9 минут, найдите расстояние, на котором он… Например, значение t для доверительного интервала 95% из размера выборки 25 можно получить, набрав = tinv (1-0. 7 Расчет 1. 5 – Пределы на бесконечности Глава 2. Zp ˇ = 2 0 xcosx2 dx = (A) 1 (B) 1 (C) 1 2 (D) 1 2 (E) 0 2.
ГЛАВА 7 – ПЕРЕСЕЧЕНИЕ УРОВНЯ 30 СЕНТЯБРЯ 2011 г. / или замена переездов на разделительные слои устранит большинство опасностей. BC 1. Всего десять глав. 3, 7. Доступ к курсу PDF 2 Глава 7 Геометрические фигуры Ответы Форма 1a К этапу главы 9 у нас есть контекст, в котором может развиваться исчисление.Вот почему вы остаетесь на лучшем веб-сайте, чтобы смотреть невероятную книгу. Авансовые взносы по ипотечному страхованию (UFMIP), продолжение 4155. 3-й день 2 Методы дисковой промывки: 7. 9, 7. Глава 2 – Дифференциация. Получите помощь по сдаче экзамена AP. Краткое изложение этой статьи. Шнайдер Оценки общего количества рыбы на участках водотоков можно надежно и недорого сделать путем подвыборки части популяции. В июне 2020 года GASB выпустил предварительное предложение в своем проекте по разработке комплексной модели признания расходов и доходов.6 Раздел P. Изучите все лучшие математические тактики и способы решения с помощью ключа решения «Решение линейных уравнений» для 8-го класса по математике.
Пусть u = x2, dv = sinxdx, du = 2xdx, v = −cosx: Z x2 sinxdx = −x2 cosx +2 Z xcosxdx. Через 1 секунду борзая разогналась до 6 футов в секунду. 92, в приведенной выше формуле будет заменено на 2 × 2. Приложения 7. Глава 8 Уравнения линий и плоскостей. Функция имеет обратную. 3 Неявные касательные и производные 7. L. Задачи 15 3. Глава 10 Векторы.99 Глава 7 Обзор (Calc 2 – Стюартс) 10 лучших учебников по исчислению 2019 г. 7 2 тома Начало исчисления Стюарта: 2. Щелкните ссылку «Решение» для каждой задачи, чтобы перейти на страницу, содержащую решение. РАСЧЕТ ГЛАВА СЕДЬМАЯ ПРИМЕЧАНИЯ РАЗДЕЛ 7 –3 (День 1) Объем по поперечным сечениям Объем твердого тела – если A (x) – это площадь поперечного сечения от a до b, то: = ∫ Как найти объем по метод нарезки: a. Объем: поперечные сечения треугольников и полукругов. Брошюра VA 26-7, пересмотренная глава 7 – Ссуды, требующие особого андеррайтинга, гарантии и других соображений 7-2 1.Ответ 6E. S. Общие сведения 11 3. Расчет 2 Глава 7. 2: Методы простого расчета площади: 2.
По данным Американского института банкротства (ABI), 63% из 774 940 дел о банкротстве, поданных в 2019 году,… Если ваш общий ежемесячный доход превышает курс на следующие 60 месяцев составляет менее 7 475 долларов, после чего вы проходите тест на нуждаемость и можете подать заявление о банкротстве в соответствии с главой 7. Это включает в себя задолженность по кредитной карте, медицинские счета и личные ссуды. 7. Решение Z x2 sinxdx. б) (6! (! 4)) 2+ (7! 3) 2 = 102 + 4 = 116 = 229 Расстояние 229 единиц.2 Тригонометрические интегралы (# 1) 7. 3–7. Начните изучение CALC 2 ГЛАВА 7. AP Calc AB Ch 2 Assignments. Функция не имеет обратного. Поле наклона, указанное ниже, скорее всего, отражает решения дифференциального уравнения (A) dy dx Предисловие. 1/3 + 1/4. 1 Раздел P. Эти потери в резервуарах можно оценить, используя часть руководства, разработанную для дегазации и очистки резервуара, путем моделирования парового пространства под крышей как резервуара с фиксированной крышей и расчета выбросов за один оборот.
Найдите объем твердого тела, вращая область, ограниченную исчислением. 2 Глава 7 Практика тестирования 1) Определите метод интегрирования, который вы бы использовали для каждой из следующих задач. Вот почему исчисление Стюарта стоит владеть интегралы Математика 243: Исчисление II Глава 7 Обзор Джарона Мелина 1 Важные темы 1.Определенный интеграл и неопределенный интеграл. 6 Аргументы и доказательства: L. Ключевая идея, лежащая в основе стратегии, используемой для интеграции комбинаций произведений и степеней, включает переписывание этих выражений в виде сумм и разностей интегралов формы или. После переписывания этих интегралов мы оцениваем их с помощью u-подстановки. Создавайте нужные вам рабочие листы с помощью бесконечного исчисления. Докажите, что сумма пересечений на координатных осях любой касательной к кривой x = a cos 4 θ, y = a sin 4 θ, 0 <θ <\ (\ frac {\ pi} {2} \) равно a.8 9. В нем четко изложено содержание курса и описаны экзамен и программа AP в целом. 4. Вопрос 1. Приложения интегралов.
В этой главе мы рассмотрим несколько приложений интегралов. Вы также можете использовать любой из этих материалов для практики. 0расч. hpd-коллаборативный. Решите систему заменой 2 3 5 xy yx 2. 1 Согласно U 1990 года. Для многих приложений удобно определять 0 0 как 1. 10. ТЕСТ 2 ГЛАВА 7 Срок сдачи: 10 июля в 23:59. Баллы 100; Вопросы 10; Доступно 6 июля в 8:00 – 2 августа в 23:59 28 дней; Лимит времени 150 минут Инструкции.2 1 56 dx xx− + Глава 7 Математики 12-го класса является важной главой с точки зрения вашего выпускного экзамена, а также других конкурсных экзаменов. 2. Высота может быть представлена функцией \ [\ begin {eqnarray *} f: D & \ longrightarrow & {\ mathbb R} \\ z & = & f (x, y), \ end {eqnarray *} \ ] привязка к каждой точке в… исчислении-2-глава-7-тест-практика 1/11 Скачано с встречи. Что такое Глава 7 Банкротство? Глава 7 известна как «ликвидационное банкротство», потому что она погашает большую часть вашего необеспеченного долга.Карточки для 3-го класса – 156 карточек. -144 15. Решения главы 7 Глава 8 – Вращательное движение I. Решение: Вопрос 2. 4. Темы: Вывести с помощью предельного процесса, Уравнение касательной, Где график имеет заданный наклон, Нарисуйте производную графика и уравнения. Инициатива Университета Альфреда в области исчисления. Определение области между кривыми 2. Экзамен охватывает следующие категории содержания курса: Fortnite, глава 2, боевой пропуск 7-го сезона, Fortnite, глава 2 – предметы боевого пропуска 7-го сезона. 3MD Mixed Operations # 2 – 60 карточек.Глава 4 Интеграция. Глава 6 открыла другую дверь. AP Calculus D Обзор заключительного экзамена Глава 7 1a. По крайней мере, я так утверждаю. 2 Тригонометрические интегралы (# 2) Модуль 2–7. Множество ГЛАВА 7 МЕТОДЫ ИНТЕГРАЦИИ В каждой задаче определите, какой из следующих методов полезен при вычислении интеграла. = х + 2xlnx 3 = х (1 + 2 Inx) = 9 = y. Инженерная математика 1 Глава 4. Связь между этими двумя типами интегралов называется фундаментальной теоремой исчисления. Интеграл91 1.Решение: f (x) = x 4 – 4x 3 ⇒ f ‘(x) = 4x 3 – 12x 2 f ”(x) = 12x 2 – 24x = 12x (x – 2) Исчисление: одно- и многопараметрическое, 7-е издание, продолжение усилия по продвижению курсов, в которых понимание и вычисления усиливают друг друга. б) По наблюдениям, точка пересечения – (–2, 2). Для этого не нужны вычисления! y = −x2 +1 y = x2 −1 y = (x − 1) 2 y = sinx − 1 y = sin (x − 1) (b) Предположим, что f (x) = x2 и g (x) = sinx. Если вы не планируете сдавать экзамен AP, мы должны сначала поговорить об этом.Интеграция (7. Свойства логарифмов83 4. Практические задачи на 24 сентября 2008 г. Видео для задач 1, 2 и 3 (плейлист YouTube) Примечания к главе 02: Исчисление с аналитической геометрией, Ильми Китаб Хана, Лахор. B Платежная политика UFMIP Период денежных переводов UFMIP начинается с даты погашения ссуды или с даты выплаты средств по ипотеке, в зависимости от того, что наступит позже. С помощью взрывной атаки на остров вторгается таинственная инопланетная армия. 2 Предположим, мы хотим описать высоту над уровнем моря. каждой точки на поверхности горы.Обратите внимание, что в некоторых разделах будет больше проблем, чем в других, а в некоторых будет более или менее разнообразных проблем. Сборник концепций исчисления – Глава 7. Обратные функции. Ответы 1. 1: Обратные функции. Этот репозиторий содержит решения для Calculus: Early Transcendentals (восьмое издание, Джеймс Стварт). Эта бумага. Понимание интеграции 12. Глава 11 Частично © Glencoe / McGraw-Hill iv Glencoe Algebra 2 Руководство для учителя по использованию мастеров ресурсов главы 2 Система ресурсов Fast FileChapter позволяет удобно хранить в файлах наиболее часто используемые ресурсы.M. Из приведенных ниже мер найдите площадь секторов. Мы считаем, что полученные знания, касающиеся вопросов NCERT MCQ для класса 10 по математике, глава 7 «Координатная геометрия с ответами», бесплатная загрузка, были полезны в максимально возможной степени. 2 Раздел P. Запишите функции в части a в терминах f и g. Мы рассмотрим определение длины дуги кривой, площади поверхности тела вращения, центра масс области, ограниченной двумя кривыми, гидростатической силы / давления на пластину, погруженную в воду, и краткий обзор вычислений. среднее значение плотности вероятности… Исчисление II.5, 7. Летнее задание. У нас также будут упражнения по переводу в главах 8, 9, 10 и 11. 1 2√3 5. Титульный лист, содержание и примечания для учащегося. Найдите их максимальное и минимальное значения, если они существуют. Глава 6 Приложения интеграла. В главах 2 и 3 рассматривается то, что можно назвать предварительным расчетом с несколькими переменными в Научном калькуляторе. Основы математики 10 и ООП перед исчислением. Глава 2. Записывайте ТОЛЬКО свои ответы в полях для ответов на холсте. Решение Чтобы найти среднее значение, которое на 2 стандартных отклонения выше среднего среднего, используйте формулу value = mX + (# ofSTDEV) psX n значение = 90 +2 p15 25 = 96 NCERT Решения для класса 12 Математика Глава 7 Упражнение для интегралов 7.AP Calc AB Ch 3B Назначения. Назначения AP Calc. 2 13. 7-е издание отражает множество голосов пользователей в исследовательских университетах, четырехлетних колледжах, общественных колледжах и средних школах. org добавляется в ваш утвержденный список адресов электронной почты для личных документов в разделе “Настройки личных документов” в разделе “Управление контентом” … Некоторые люди в вашей ситуации начинают с использования калькулятора средств главы 7, чтобы быстро оценить их право на доход для подачи заявления о банкротстве в соответствии с главой 7. в их состоянии.Домой; Calculus 1 WebAssign Answers; Calculus 2 Webassign Answers; Calculus 3 Webassign Ответы Глава 7 Обзор. Это выражение не определено, когда и равно нулю, когда. Объем: дисковый метод (вращение вокруг осей x и y): приложения интегралов. Когда f (t) = sin t, мы нашли v (t) = cos t. Ответ 11E. 6. 7 упражнений – стр. 524 7, в том числе пошаговая работа, написанная такими же членами сообщества, как вы. Он был отправлен в Инициативу бесплатных цифровых учебников в Калифорнии и останется CalcChat.Введение в главу; 7. 1 Области между кривыми Два подхода: 1. (a) Изобразите графики функций ниже. Параметрические, векторные и полярные функции Глава 9. 1 Операторы и логические операторы: L. Множественный выбор и свободный ответ. Глава 1 Пределы и их свойства. Прежде чем подробно описывать общий процесс, давайте взглянем на… Тамилнаду Самачир Калви, 12-е математическое решение Глава 7 Приложения дифференциального исчисления Пр. 7. В этой главе объясняется концепция интегрирования, которая включает интегральное исчисление и его свойства.3 – Тригонометрическая подстановка – 7. В этой главе вы будете использовать багги. Ответ 1E. В качестве первого примера рассмотрим прямоугольную волну, описываемую \ begin {уравнением} f (x) = \ left \ {\ begin {array} {ll} 1 & \ quad 0 \ leq x <\ pi \\ 0 & \ quad \ pi Решения упражнений из T. 2… Предварительное исчисление 11 Глава 2 Тест Начните изучение Предварительного исчисления Глава 2. Обсудите кривые y = x 4 - 4x 3 относительно вогнутости и точек перегиба. Раздел 2. Площадь под графиком91 2. Глава 1. Исчисление одной переменной, Глава 7, 7.Официальная форма 122A – 2 Глава 7 означает контрольный расчет стр. 1 Официальная форма 122A – 2 Глава 7 означает тестовый расчет 04/19 Чтобы заполнить эту форму, вам понадобится ваша заполненная копия главы 7 отчета о вашем текущем ежемесячном доходе (Официальный… ClearingHouse для Emission Inventories and Emissions Factors - это веб-сайт Агентства по охране окружающей среды, на котором представлена информация о факторах выбросов и инвентаризации выбросов, а также моделирование выбросов для кадастров выбросов.Кроме того, глава, посвященная дифференциальным уравнениям, в значительной степени заимствована из соответствующей главы книги Кейслера.7 - Точное определение пределов Глава 3 - Производные Глава 3. Просмотрите пробные видеоролики по главам, разделам и названиям видеороликов в навигации выше. AP CALCULUS BC ОБЗОР ГЛАВЫ 2 6. ОГРАНИЧЕНИЯ21 4. Раздел 7. 1 4 3. 1 • 1. Эта первая глава включает в себя фундаментальные элементы исчисления пределов. 2) по объему V ∇i ∫ωdV = ωindAˆ A ∫ = ω1 1 ∫inˆ 1dA1− ω2 2 ∫inˆ 2dA2 = 0 (7. Приложения к физике и CALCULUS II, второй семестр Содержание Глава 6. (i) f (x) = x 3 - 12x + 10; [1, 2] (ii) f (x) = 3x 4 - 4x 3; [-1, 2] Решение: ∴ Абсолютный максимум равен - 1, а абсолютный минимум - 6 Информация об экзамене AP.Глава 3 - Приложения дифференцирования - Обзорный лист Глава 2. Определение объема тела вращения с помощью цилиндрических оболочек 4. ЦЕНТРАЛЬНАЯ ПРЕДЕЛЬНАЯ ТЕОРЕМА Задача 2 Найдите среднее значение, которое на 2 стандартных отклонения превышает среднее значение средних. 2: Пояснение к графу eTool (Desmos) Глава 3: Алгебра и площадь под кривой. 8, 7. Бесплатный калькулятор средств проверки банкротства для вашего штата и округа. . Скачать файл PDF Расчет 2 Глава 7 Практика тестирования Взлом PSAT / NMSQT с помощью 2 практических тестов, издание 2014 г.JEE-MAIN & ADVANCED CHAPTER-WISE SOLVED PAPERS: MATHEMATICS-Competitive Exam Book 2021 Advanced Statistics with Applications in Acces PDF Course 2 Chapter 7 Geometric Figures Answers Форма теста 1a К этапу главы 9 у нас есть контекст, в котором можно развивать исчисление.{4} \ textrm {J} $ запустить карманный калькулятор, который потребляет энергию из расчета 1 доллар. Наши решения написаны экспертами Chegg, поэтому вы можете быть уверены в высочайшем качестве! Calculus: Early Transcendentals 8th Edition отвечает на главу 7 - раздел 7. Заголовки глав относятся к Calculus, Sixth Edition, автор Hughes-Hallett et al. я. Инициатива AU Calculus. Обзорный лист главы 4: Примечания к главе 2 Обзорный лист Обзорный лист 2: Обзорный лист главы 5 ЗАКЛЮЧИТЕЛЬНЫЙ ЭКЗАМЕН 1, ЗАКЛЮЧИТЕЛЬНЫЙ ЭКЗАМЕН 2, ЗАКЛЮЧИТЕЛЬНЫЙ ЭКЗАМЕН 3 [. Справочные видео по домашнему заданию.Глава 7: Дальнейшее применение. Обратные функции 122 6. Длина дуги, параметрические кривые 57 2. Раздаточные материалы к главе 1 / главе 2: B C Пределы и непрерывность - Рабочий лист AP Review. 2 Логическая эквивалентность, тавтологии и противоречия: L. Проблемы 9 2. 5. Если функция является рациональным выражением где-то с квадратным корнем, велика вероятность, что AP CALCULUS BC ОБЗОР ГЛАВЫ 2 6. Я женился на моей школьной возлюбленной, Тодд, и мы женаты 20 лет. исчисление 2 лекции 7.Векторные и параметрические уравнения прямой в R2 глава 7 рабочие листы и решения - AP Calculus AB. 1 4 4. Интеграция Глава 6. 2 7. pdf] образцы выпускных экзаменов, используемых проф / г при обучении вне проекта Calculus BLUE ВИДЕО: список заголовков глав для проекта Calculus BLUE (ссылки переходят к открытию глав в видео) 7 Краткое содержание главы 7. Янн Стивен Мандза. 3MD Mixed Operations # 1 - 60 карточек. Ответы на нечетные упражнения17 Часть 2. Глава 7 Исчисления II. 10, 7. Части текста доступны в течение короткого времени на CLEo, если вы еще не приобрели его.Видеообзоры AP®; Зажимы Calc; Исправления для студентов; Видеообзор AP®. Бесплатные задания по исчислению. Инженерная математика 1 Глава 3. Первоначальной мотивацией для создания производной была проблема определения касательных к графикам функций и вычисления наклона таких прямых. Например, предположим, что я попросил вас на выпускном экзамене перевести предложение «Улицы, водозаборы и ливневые стоки, глава 7 7-2. Городская канализация и противопаводковой район» Январь 2016 г. Руководство по критериям городской ливневой канализации Том 1 Фотография 7-2.Я заслуживаю похвалы !! Калькулятор алгебры - это калькулятор, который дает пошаговую помощь по задачам алгебры. Заметки по исчислению 1 для класса, «Исчисление Томаса», «Ранние трансцендентальные знания», 12-е издание. Копии классных заметок находятся в Интернете в формате PDF, как указано ниже. Введение в ограничения: Пределы и непрерывность. Оценка пределов с помощью графиков: Пределы и непрерывность. Оценка пределов по таблицам: Пределы и непрерывность. Формальное определение пределов (эпсилон-дельта): Пределы и непрерывность. Учебное пособие по исчислению 12-е издание.€ ∫5x25 − xdx О прессе Авторские права Связаться с нами Создатели Рекламировать Разработчики Условия Политика конфиденциальности и безопасность Как работает YouTube Тестирование новых функций Авторские права для прессы Связаться с нами Область для авторов: кривые, которые пересекаются более чем в двух точках. web2. Сводка по тригонометрии размещена на CLEo. Результат возведения числа в квадрат одинаков, независимо от того, является ли исходное число положительным или отрицательным. Калькулятор проверки средств банкротства. в) Это всегда так. 8 образцов домашнего задания. Расчеты в этой форме - иногда называемые тестом на средства - уменьшают ваш доход за счет расходов на проживание и выплаты определенных долгов, в результате чего получается сумма, доступная для выплаты других долгов.Co. Engineering Mathematics 1 Глава 5. После того, как вы закончите обзор концепции Calculus 2, пройдите один из сотен практических тестов Calculus 2, чтобы проверить Stewart Calculus 7e Solutions Глава 7 Методы интеграции Упражнение 7. 2: 3-36 Student eTool ( Desmos) Глава 4: Полиномиальные и рациональные функции. На этой странице вы можете увидеть список формул исчисления, таких как интегральная формула, производная формула, формула пределов и т. Д. 6 Рабочий лист ОТВЕТ КЛЮЧ. 3 Компоненты системы Сбор и транспортировка ливневых стоков в городах Глава 2 Дифференциация.Фактически, по сравнению со многими операторами, D () довольно прост: он требует всего одного ввода. Частичные дроби 143 7. 4 Рабочий лист: Области поверхности и вращения: 7. 11, 7.: Приложения интегралов. 31x 4. Рабочие листы. Тригонометрический доступ к курсу PDF 2 Глава 7 Геометрические фигуры Ответы на форму 1a К этапу главы 9 у нас есть контекст, в котором можно разрабатывать исчисление. Многие Глава 7 HUD 4155. 3 Экспоненциальные и логарифмические функции; 7. Бьюкенен и Гордон Таллок * 1 - одна из классических работ, положивших начало субдисциплине общественного выбора в экономике и политологии.{-3} \ textrm {W} $? Тамилнаду Самачир Калви 12-е математические решения Глава 7 Приложения дифференциального исчисления Пр. 7. Самые важные страницы в главе 7 посвящены тому, что мы называем Словарём. Накладные слайды для 2. Определение объема твердого тела по сечениям 3. 3MD Округление десятичных знаков - 29 карточек. Для простоты предположим, что гора выглядит просто как конус с основанием на уровне моря. Точка движется по прямой таким образом, что через t секунд ее расстояние от начала координат составляет s = 2t 2 + 3t метров.Упражнения 12 3. Определите, будет ли поперечное сечение круглым, треугольным или квадратным. Таблица Contants Глава 7 - Momentum. Прочтите газету. Сайт обслуживается Группой инвентаризации и анализа выбросов (EIG) и Группой политики измерений (MPG). Дифференциальное исчисление разбивает область на небольшие части для расчета скорости изменения. Докажите, что сумма пересечений на осях координат любой касательной к кривой x = a cos 4 θ, y = a sin 4 θ, 0 <… Глава 7 Структура ячейки и функция Клавиша ответа Узнайте, как сделать примерно все на eHow.2) ~ x или y * cos (x) ~ y Слева от ~ находится математическое выражение, записанное на правильном языке R Глава 7 Травяные водные пути 7–2 (210 – VI – EFH, декабрь 2007 г.) Также успешный водный путь с травой зависит от хорошей природоохранной обработки водосборного бассейна и регулярной программы обслуживания. Инженерная математика 1 Глава 6. Частные дроби 32 1. Ответ 8E. 1 2 12. 1 2 x 9. Упражнения 22 4. Трансцендентные функции 122 6. 1 Дифференциация с параметрами 7. Доступны два основных метода: отметка и повторный захват и Исчисление-Ранние-трансцендентальные-8-е издание-Решения.2 области в плоскости: 7. Счет-фактура № T1 и Назначение листа T3 - расписание может измениться в связи с дистанционным обучением. AP Calc AB Ch 4A Контрольные видео Брюса Эдвардса. Глава. Производная от ax и определение e 84 6. Глава 1 - Решение проблем. ch5 (oct-nov) домашние задания. 41 0 42 21 0 22 11 21 0. 3 Раздел P. −1 4 7. 1 # 7 Исчисление Стюарта 3. Хотя пределы обычно не обнаруживаются в тесте AP, они необходимы для разработки и понимания основных концепций исчисления: производные и интегралы.Прохождение Half-Life 2 - Half Life-2… 284 ГЛАВА 7. Альтернативная версия Stewart / Clegg / Watson Calculus, 9e, будет опубликована позже этой весной. Теги филиалов. 2 Что находится в Ch2? Глава 1 представляет собой обзор основных концепций, которые студентам необходимо знать перед тем, как приступить к PC11. Дифференциация 6. (d) 21. Ответы 2. (Дата на обложке служит номером издания. 3 День 3 Метод Shell: 7. Суд по делам о банкротстве также потребует от вас заполнить формы проверки средств главы 7 для определения вашего право на участие до подачи заявления о банкротстве.Например, возраст человека 22 года 7 месяцев 17 дней. 1 Page 366 Вопрос 18 Калькулятор возраста - это бесплатный онлайн-инструмент, который отображает точный возраст с указанием даты, месяца, года и времени рождения. 1: Площадь под кривой с использованием трапеций: 2. Объем: квадраты и прямоугольники в поперечном сечении. Отвечать. Множественная печать. Первая часть книги - это исследование функций, изучение графического поведения, интерпретации и решения проблем… 1. Упражнения87 Глава 7.AP Calc AB Ch 3A Назначения. Calculus 2 Исходный код программного обеспечения системы онлайн-экзаменов только в vb, математика 5-7 sats, 2007, калькулятор ответов, стихи по алгебре, булевская алгебра + pdf. 2, задача 59. Заметки по исчислению с аналитической геометрией Исчисление с аналитической геометрией доктора Тем не менее, есть два способа вычислить возраст из колледжа Сан-Хасинто в феврале. Инженерная математика 1 Глава 2. Возможно, это еще не все, но это главное. Запишите следующее в виде матричного уравнения (AX = B), а затем используйте обратную матрицу для решения 2 2 1 25 xy xy 4.Многие AP Calculus BC / Math 252 Assignment Sheet 2021-2022. Чтобы попрактиковаться, выберите подходящий тест и пройдите. Загрузка Go Math 8 класс Ответы на основные вопросы Глава 7 Решение линейных уравнений PDF доступен бесплатно. 128. PDF AP CALCULUS BC ГЛАВА 2 ОБЗОР - ebnet. Согласно графикам федерального подоходного налога, глава семьи платил 15% налогооблагаемого дохода в размере до 26050 долларов. Пример 7. Используйте правильные обозначения и покажите все работы. Если ваш располагаемый доход в соответствии с тестом на нуждаемость составляет от 7 475 до 12 475 долларов США, вы должны выполнить День 1 Раздел 7.Сложить или отнять. Исчисление Стюарта. Решения 7e Глава 7 Методы интегрирования Упражнение 7. Одна возможность. Другая возможность. Опубликовано Wiley. Студенты могут решить NCERT Class 12 Maths Integrals MCQs Pdf с ответами, чтобы узнать свой уровень подготовки. Накладные расходы на первый день (если время) Глава 2. Этот список не является исчерпывающим, он дает лишь список нескольких важных тем. Модуль 1 - Пересмотр к 7. 64 14. Раздел P. Рассмотрение Исчисления 1; 7. 4 Связанные ставки - CD. ПРЕДПИСАННЫЕ РЕЗУЛЬТАТЫ ОБУЧЕНИЯ.Затем оцените интеграл на отдельном листе бумаги. Глава 3 - Логика. € ∫x2cos (x) dx 2 e. 3MD Порядок операций - 30 карт. 1: 2. 1 2√7 8. В боевом пропуске сезона 7 вы можете покупать любые предметы на странице с боевыми звездами, однако вы должны приобрести все предметы на странице, чтобы разблокировать заблокированную награду, и есть ряд вещей, которые вам нужно будет приобрести с предыдущих страниц, прежде чем… Самачер Калви 12-й математический факультет Глава 7 Приложения дифференциального исчисления Пр. 7.Теория интеграции 11. • Функции: если X и Y - множества, то функция f: X → Y - это правило, которое присваивает каждому элементу x ∈ X один и только один элемент f (x) ∈ Y.) 1. legalconsumer . 3 упражнения - стр. 491 1, в том числе пошаговая работа, написанная такими же членами сообщества, как вы. дуги = 48 м, r = 10 м (ii) длина дуги = 50 см, r = 13. Предварительное вычисление: исследование функций (2-е издание) Дэвид Липпман и Мелони Расмуссен. Делитель, 3. Ответы на нечетные упражнения10 Глава 3.ФУНКЦИИ11 3. и так далее. Полный пакет PDF Загрузить полный пакет PDF. Тождества совместных функций применяются к дополнительным углам. Поскольку это основы и предварительные вычисления математики 10 глава 7, он заканчивается грубой одной из любимых книжных основ и коллекций предварительных вычислений математики 10 глава 7, которые у нас есть. 4 Тавтологические последствия и тавтологические эквиваленты: L. Кредиторы должны выплатить UFMIP в FHA единовременно в течение 10 календарных дней после получения ссуды. Calculus) включают все вопросы с решением и подробным объяснением.Просто нажмите на быстрые ссылки, доступные для соответствующих тем, и учитесь соответственно. Поскольку расчет играет важную роль для получения MHR • Предварительное исчисление 11 Решения Глава 7 Стр. 6 из 82 б) Не имеет значения порядок, в котором вы возводите что-то в квадрат и берете его абсолютное значение. Глава 3. ПРЕДЕЛЫ И НЕПРЕРЫВНОСТЬ 19 Глава 4. Определение площади поверхности вращения 7. Авторы учебника: Стюарт, Джеймс, ISBN-10: 1285741552, ISBN-13: 978-1-28574-155-0, Издательство: Cengage Learning Calculus: Early Transcendentals 8th Edition отвечает на главу 7 - раздел 7.Исчисление вставок 2. Мы проверяем их содержание и используем ваши отзывы, чтобы поддерживать высокое качество. Глава 5 Пределы, аналитическая геометрия и приближения. AP Исчисление AB. Мы рассматриваем область St, которая находится между двумя кривыми y = f (x) и y = g (x) и между ГЛАВА 7. МЕТОДЫ ИНТЕГРАЦИИ 7. 4, 4. Вопросы никогда не заканчиваются. Эти два (2) варианта могут быть труднодостижимыми. Если вы ищете простой способ определить свое право на участие в тесте на наличие средств согласно Главе 7, посетите веб-сайт www. Совет: просто двигайтесь на нормальной скорости, если вам не нужно совершать прыжок.Глава 2 - Наборы. MTH 222 Calculus 2 Fairman - Глава 7 Образование в муниципальном колледже Джефферсона MTH 222 (Calculus 2) является продолжением MTH 221 (Calculus 1) и предназначен для введения в интеграцию и приложения определенного интеграла. 3 класс сложение / вычитание - 7 карт. Также изучите сотни других калькуляторов, посвященных финансам, математике, фитнесу, здоровью и многому другому. 3 Условное и двусмысленное: L. Глава 3 Тест, вторник 3/11 4. Приложения интеграции 50 2.Ответы 1. Офокт. Глава П. Апостол, Исчисление, т. y-перехват. В общем, всякий раз, когда вы хотите узнать lim n → ∞ f (n), вы должны сначала попытаться вычислить lim БЕСПЛАТНЫЕ ответы для Precalculus. Под командованием Доктора Слоуна Воображаемый Орден (IO) взял на себя задачу дать отпор. Отказ от ответственности: этот калькулятор не идеален. 3. Вот набор практических задач для заметок Calculus II. Ограничения и преемственность Глава 3. Приобретите мои приложения Calculus для iPhone / iPad в iTunes App Store.БУКЛЕТ ДАННЫХ. 1. Цепное правило как подстановка в дифференциалах. ЛИНИИ НА ПЛОСКОСТИ7 2. Это менее точно, чем использование раздела 7. Вы не могли без посторонней помощи уйти, как только скопились книги, библиотека или взяли взаймы у ваших товарищей, чтобы принять их. Видео в плейлисте YouTube - Примечания PDF - Практический PDF - Практический плейлист YouTube. 1A День регистрации, стр. Буклет с формулами предварительного расчета. 2 - (сентябрь) Глава 3 (сентябрь-октябрь) Глава 4 Глава 5 Глава 6 Глава 7 Глава 8 Глава 7 Глава 8 семестровый тест Заключительный экзамен Ресурсы Calc Шутки / Песни проекты Поиск путем ввода и нажатия Enter HB-2-3560 _____ 4- 3 (02-24-05) СПЕЦИАЛЬНЫЙ PN Пересмотренный (11-08-19) PN 530 Фонды должны использоваться только в разрешенных целях, как описано в 7 CFR часть 3560, подраздел G и в соглашении или решении о ссуде по проекту; Приоритетность планируемых и фактических расходов по проекту обсуждается в 7 CFR, часть 3560, подраздел G.Предпосылки 21 4. Исчисление Джеймса Стюарта Ответы Pdf 7e. Экспоненциальный рост и распад86 9. Это электронное издание книги «Взлом PSAT Math 0230 Calculus» 2 Лекции Глава 7 Приложения интеграции Нумерация разделов соответствует тексту James Stewart, Essential Calculus, Early Transcendentals, Second edition. В этой главе рассматриваются два типа интегралов i. Графики экспоненциальных функций и логарифмов83 5. 8. Производные логарифмов85 7. То же самое верно и для других тождеств совместных функций.(a) 11. После отправки теста отсканируйте свои документы и отправьте их инструктору по электронной почте через CANVAS. Числа 3. В главе 10 вводится использование комплексных чисел в качестве координат, и систематически используются большие удобства, которые дает эта система обозначений. Производные Глава 4. 10 трансцендентных функций гиперболических функций. При желании вы можете просмотреть главу 7 (или свои заметки из этой главы) и самостоятельно решить проблемы в заметках на практике. 2, задача 31 Для области, ограниченной x = 0 [вертикальная линия], y = 0 [горизонтальная линия] и y = 3 (2-x) [наклонная линия], он будет иметь перевернутый конус при вращении вокруг оси y. .По сей день Исчисление широко читается и цитируется, и еще многое можно почерпнуть из чтения и… Бесплатная загрузка PDF-файла вопросов с множественным выбором CBSE по математике для класса 12 с ответами Интегралы главы 7. 4 решения сейчас. Глава 6: Треугольники и векторы. Гишар и другие. AP Calculus Testbank (Глава 7) (Мистер 2 Стр. 498 - 500 # 3 - 9 по 3, 22, 27, 31 День 2 Раздел 7. Предварительное вычисление: Исследование функций - это бесплатный открытый учебник, охватывающий две четверти до -счетчик последовательности, включая тригонометрию.Функции f (x) и g (x) имеют все основные общие черты. 4 День 2 Площадь поверхности: 7. 3 - Правила дифференциации Глава 3. Блок 1 Глава 1 отношения, функции и графики Наклон: 2 1 2 1 xxyym наклон-пересекающая форма линии: глава 7, продолжение тождества полуугла:, s 1 1 s 1 s 2 n 2 1 s 2 s 2 1 s 2 nzrrrdddddddd нормальная форма линейного уравнения: xsi ynip 0 Практические тесты по исчислению 2 охватывают все основные концепции исчисления, включая производные, метод Эйлера, интегралы, Лагранжа ошибка, правило Лопиталя, пределы, параметрические, полярные, ряды Тейлора и Маклорена и векторы.Учащиеся S. UP Board также используют учебники NCERT. (c) 33. © Glencoe / McGraw-Hill iv Glencoe Algebra 2 Руководство для учителя по использованию мастеров ресурсов главы 1 Система ресурсов Fast FileChapter позволяет вам удобно хранить ресурсы, которые вы используете чаще всего. Гл. Это набор входных данных, которые мы можем поместить в f. Вот набор практических задач для главы «Серии и последовательности» заметок «Исчисление II». Они свободны и показывают ступеньки. Когда вы сражаетесь среди хаоса, встречайтесь с персонажами, которые приветствуют вторжение, и выступайте против игры с ограниченным обзором на странице 1 и странице 2.Размер файла: 449 кб. Ответ: инструмент, который определяет точную точку, например конечную точку, среднюю точку или центральную точку, на существующем объекте или по отношению к нему. Инженерная математика 1 - Конспект лекции. Исчисление 2: Глава 7 ИССЛЕДОВАНИЕ Карточки Учиться писать Тест на заклинание ИГРАТЬ Match Gravity Создано estouie Термины в этом наборе (24) ∫udv = U * V - V DU Если степень косинуса нечетная? -Сохранить 1 cos (x)… Исчисление II Глава 7 Обзор теста 1. В этой главе есть много важных вопросов, которые связаны с очень важными концепциями и темами.3) Ответ эксперта. Глава 1… Задачи на повторение разработаны для проверки перед экзаменом по курсу «Исчисление 2». 4, 7. Если область, ограниченная кривыми y = f (x), y = 0; x = 0 и x = 4, вращается вокруг оси x, то объем полученного твердого тела лучше всего рассчитывать с помощью метод. В качестве разминки в главе 1 рассматриваются некоторые идеи из исчисления с одной переменной, а затем подробно рассматривается теорема Тейлора с одной переменной. Скачать Скачать PDF. 1 - Введение в производные Глава 3. 7, 1 день предисчисления Краткое содержание курса 2004-2005 гг. Стр. 1 из 4 ФИЗИКА С РАСЧЕТОМ Том I (Классическая механика) Крейга Флетчера.Урок 2. Интеграция с использованием таблиц и CAS 39 1. 7 Исчисление предикатов «Глава 0» для каждого тома для полноты содержит только обложку, оглавление и введение. Онлайн-калькулятор возраста BYJU ускоряет расчет и отображает точный возраст за доли секунды. 7 2 дня Обзор и проверка 3 дня Глава 2 Периодические функции и задачи прямоугольного треугольника 12 дней 1 Введение в периодические функции 4. Решите систему путем исключения. com и использовать его онлайн-калькулятор средств банкротства, созданный автором книги Ноло Как подать заявление о банкротстве в главе 7, Кара О'Нил и Альбин Ренауэр, Дж.Упражнения 7. 3. 5 Рационализация для поиска пределов. Ответы 1. Рабочий лист 2, дек. 3-4: 6. 2; 7. 7, 7. 1 71 36 x fx x Официальная форма 22A – 2 Глава 7 Средство расчетов по тесту стр. 1 Официальная форма 22A – 2 Глава 7 Средство расчетов по результатам проверки 12/13 Для заполнения этой формы вам понадобится заполненная копия Форма 22A – 1: Глава 7 Отчет о вашем текущем ежемесячном доходе (Официальная форма 22A-1). Площадь треугольника с вершинами A (1, 2), B (-2, 3) и C (-3, -4) равна. Предпосылки 7 2. 4 гиперболические функции; 7.2: Графический анализ с использованием первых и. Найдите объем твердого тела, образованного вращением области, ограниченной графиком y = 3 2x - 1, y = 0, x = 8 вокруг оси x, используя дисковый метод. Официальные формы банкротства утверждаются Судейской конференцией и должны использоваться в соответствии с Правилом о банкротстве 9009. 7 Дополнительные проблемы. 2 - Производная как функция Глава 3. 2 Производные обратных функций. Используйте дробные дроби. org d. 4) Нет компонента завихренности, нормального к остальной части… Исчисления.3-2. 7 Фундаментальная теорема исчисления, часть 2 143 4. Эти материалы включают рабочие листы, расширения и варианты оценки. Пожалуйста, поймите, что получение помощи по заполнению формы. Если ваша заполненная форма 122A-1 показывает доход выше среднего, вы должны заполнить вторую форму - «Расчет средств по результатам проверки по главе 7» (официальная форма 122A –2). 2 - (сентябрь) Глава 3 (сентябрь-октябрь) Глава 3 - Рабочие листы. Чтобы отправить эту книгу на свой Kindle, сначала убедитесь, что нет ответа @ cambridge. Глава 8 Примечания. Введение; Глава 1: Обзор §1: Функции §2: Операции над функциями §3: Линейные функции §4: Показатели §5: Квадраты §6: Многочлены и рациональные функции §7: Показательные функции §8: Логарифмические функции; Глава 2: Производная §1: Пределы и непрерывность §2: Производная §3: Учебник по правилам степеней и сумм до исчисления - Предварительное вычисление Блитцера 4e.Применяет все надбавки на расходы IRS и текущие стандарты среднего дохода штата, чтобы дать вам представление о том, имеете ли вы право на банкротство в соответствии с главой 7. xc0! на х! 5. Вопрос 26. График вогнут вниз на интервале [a, b], если отрезок линии соединяет любые две точки в Главе 7 Рабочие Примечания Домашнее задание Дата Практика AP Test Calc Разрешено Нет: 2/22 7. 1 и Разные упражнения на английском и Hindi Medium можно бесплатно загрузить в формате PDF бесплатно для новой сессии 2021–2022 годов. 4 Раздел P. a 0 = 1. Ответ 10E. Это бесплатный текст по цифровому исчислению Дэвида Р.PDF; 5. Назовите следующие маркеры автопривязки. = 1-'2 '. Мы изо всех сил стараемся, чтобы примечания и решения этой книги были написаны разными авторами, чтобы… Глава 2 Дифференциация 25 4. Глава 3 Непрерывные функции. Найдите площадь области, ограниченную y = x3 + 5, y = x - 1, x = - 2, x = 2 2. Ничего не показывать. Решения на нетекстовый вопрос, обзорный лист 1. Дифференциальные уравнения Глава 8. € 1 x2 + 8x + 25 ∫ dx b. Локвуд и Джеймс К. Средняя школа Элеоноры Рузвельт 7. 1 2 x 8. Категория: Тестовые бланки средств.Logarithms82 3. Ответ 2E. Расчет - февраль 1984 г. 8 Интегрирование заменой 147 4. 5 8 6. Чтобы минимизировать P, нужно решить P 0 = 0. Скачать файл. Видео с заключительным обзором семестра 1 AP Calculus AB (IB Math Yr 1) Календарь заданий AP Calc AB. Например, угли с 65% углерода могут содержать 30% кислорода, тогда как угли с 95% углерода могут содержать только 2-3% кислорода; это важно, потому что чем больше кислорода содержит уголь, тем легче начать его сжигать или добиться его воспламенения. 5 Дополнительные центры масс и теоремы Паппа Глава 8 Исчисление AP и BC Описание курса и экзамена Это базовый документ курса.Теперь в своем 4-м издании Smith / Minton Calculus предлагает студентам и преподавателям математически обоснованный текст, надежные наборы упражнений и элегантное изложение концепций математического анализа. Предположим, что функция y = f (x) задана с f (x) 0 для 0 x 4. 5 - Производные тригонометрических решений NCERT для математики класса 12 Глава 7 Упражнение 7. После того, как вы введете ваш общий ежемесячный доход, превышающий курс на следующие 60 месяцев составляет менее 7 475 долларов, после чего вы проходите тест на нуждаемость и можете подать заявление о банкротстве в соответствии с главой 7.AP Calc AB Ch 1 Назначения. 1 ВВЕДЕНИЕ Цель ссуд под низкие процентные ставки, которые предоставляет Агентство, состоит в том, чтобы позволить заемщикам устанавливать арендную плату по ставкам, доступным для арендаторов с низким и средним доходом, которые являются целевыми жителями многоквартирного жилья, финансируемого Агентством. (i) Найдите среднюю скорость точек между t = 3 и t = 6 секундами. 19/11: ГЛАВА 5 ТЕСТ. Глава 8 Резюме 3MD + & - Целые числа - 45 карт. 2 АП-42. 7-6. Большинство разделов должны иметь ряд уровней сложности в тестовой практике. Прочитать онлайн-расчет 2 Глава 7 ОБЗОР ПРИНСТОНА ПОЛУЧАЕТ РЕЗУЛЬТАТЫ.Быстрый и простой в использовании. Напишите два уравнения, одно для частей x и одно для постоянных частей. 9 = A + 2B −3 = A − B. Решите два уравнения с HB-2-3560. Функции 127 6. Зачисление в AP Calculus подразумевает, что вы сдадите экзамен AP в мае. 00-Вт электрические часы на 18 месяцев? (б) Сколько может хватить на батарею, которая может дать 8 долларов. Скачать форму (pdf, 282). Для квадратичного P (u) = 1 2 uTKu uTf нетрудно найти P 0 = Ku f = 0.com 7 декабря 2021 года, автор: гость [MOBI]. Тестовая практика. Исчисление 2 Глава 7. Тестовая практика теперь не является вдохновляющим средством. 1. Тест 5 Часть 2 Версия 1 Зима 2010 Тест 5 Часть 2 Версия 2 Зима 2010 Тест 5 Часть 2 Осень 2009 Тест 5 Зима 2009 Версия 1 Тест 5 Зима 2009 Версия 2 Тест 5 Лето 2010. 11. Роберт Гарднер Ниже приводится краткое изложение список тем, затронутых в главе 7 «Исчисления Томаса». Пределы, включающие экспоненты и логарифмы86 8. Если вам нужна помощь в домашнем задании по всем концепциям Большой Идеи Математической Алгебры 2 Глава 7 Рациональные функции, тогда вы можете обратиться к доступным ниже ссылкам.Глава 7 Обзор НЕКАЛЬКУЛЯТОРА 1. Урок 3. Глава 3: Решение квадратных уравнений. 9. M. 2, 4. или Это уравнение описывает часть прямоугольной гиперболы с центром в. (1/2) e2x + x: Z x (e2x +1) dx = x (1 2 e2x + x) - Z (1 2 e2x + x) dx = x 2 e2x + x2 - 1 4 e2x - x2 2 + С = (х 2 - 1 4) е2х + х2 2 + С. БЕЗ РЕШЕНИЯ, напишите соответствующую систему уравнений (x, y, z) для следующей расширенной матрицы: 2 1 0 3 Практические упражнения на C ++ - Глава 7, Упражнения 1, 2 и 3: Программа-калькулятор.€ ∫64 − xdx tan-1 (x) частичные дроби триг подстановка__ (x = 8sin (θ)) d. 2 дополнительных вопроса. 1/08: Дополнения к книге по алгебре второго семестра. Ответ 4E. 6, 7. Посетите мой канал на YouTube: WOWmath. Через 2 секунды ее скорость составила 12 футов в секунду. 3MD Mixed # 3 - 59 карт. Ниже показан пример аргумента для 0 = 1 с использованием одного из ранее упомянутых законов экспоненты. . 3 класс South Highlands - 14 карт. € ∫cos4 (x) sin3 (x) dx f. Глава 8 Экспоненциальные и логарифмические функции.Действует с 1 апреля 2019 г. Это официальная форма банкротства. Глава 2 Калькулятор Викторина - Видео. Это самый быстрый, простой и распространенный вид банкротства. CBSE Class 12 Maths Глава 7 - Интегралы Решения NCERT: Резюме главы. Программа для учителей математики, которая создает именно те рабочие листы, которые вам нужны, за считанные минуты. 3: Площадь под кривой как большая идея Математика Алгебра 2 Ключевые ответы Глава 7 Рациональные функции. Среднее значение функции (теорема о среднем значении) 61 2. Больше математических знаний учащимся.Многочисленные исчисления одной переменной, Глава 7, 7. 24 МБ; Посмотрите, куда вас может доставить AP. е. Глава 4. 3 Дифференциальные уравнения первого порядка 130 Глава 7. 5 мая 2020 г. Как и во всех вычислениях, оператор для получения производных, D (), принимает входные данные и производит выходные данные. Суровски) Часть I. 1 Графы 2 Функции и их графики 3 Линейные и квадратичные функции 4 Полиномиальные и рациональные функции 5 Экспоненциальные и логарифмические функции 6 Тригонометрические функции 7 Аналитическая тригонометрия 8 Приложения тригонометрических функций 9 Полярные координаты; Векторы 10 Аналитическая геометрия 11 Систем из 2.Ответ: (a) 11. Вы были наняты для управления функциями учета и контроля в AP CALCULUS BC ГЛАВА 2 ОБЗОР 6. Тогда sinx = cos (π 2 - x). Численное интегрирование 41 1. 8 Глава 7 Производные и дифференцирование. Смотреть трейлер. Глава 7 Тригонометрические функции. Вы можете попрактиковаться в ответах на все вопросы, чтобы в совершенстве овладеть предметом математики для 8-го класса. Эти примечания охватывают свойства пределов, в том числе: как оценивать Обзор функций IB Math SL - Тема 2 Обзор тригонометрии IB Math SL - Тема 3 Обзор векторов и матриц IB Math SL - Тема 4 и 5 Обзор статистики и вероятностей IB Math SL - Тема 6 Обзор исчисления IB Math SL - Тема 7 (часть 1 из 2) Обзор исчисления IB Math SL - Тема 7 (часть 2 из 2) Методы GDC для IB Math SL (часть 1 из 3) Решение алгебраических уравнений сложения и вычитания, стандартная форма для форма вершины, форма обзора главы 7 по математике b скобка Харкорта, рабочий лист уравнений GCSE, справка по алгебре определяет различные уравнения, показывает шаг в использовании калькулятора для решения задач с квадратным корнем, формула десятичной дроби к… Когда показатель степени равен 1, основание остается прежним.Нет главы 4 eTools. При изменении Глава P Обзорные страницы главы 37/38: 1-42: Обзорный лист главы 3: Обзорный лист главы 7. Это развеет сомнения студентов по любому вопросу и улучшит навыки применения при подготовке к экзаменам. 1 Обратные функции; 7. Основываясь на официальной форме 22A и стандартах расходов и доходов, опубликованных Министерством юстиции США, исполнительный офис U. 1 начинает с введения Integral. 0639 = 4. c) Бизнес-исчисление. 5 День 1 Работа и перекачка жидкостей: 7.б) в) Пример: все три функции имеют одну и ту же область, и каждый из их графиков имеет. Полная загрузка руководства по решениям thomas Calculus 14-е издание: руководство по решениям duane kouba 3. a 1 = a. 1 присвоено докторской степени 2 Содержание I Том 1 1 1 Глава 1 3 2 Глава 2 5 3 Глава 3 4 Более подробно, движение от O к M описывается как достигнутое с помощью 482) Вопрос сформулирован несколько коварно (возможно, Том сделал это специально.2 Неявное дифференцирование 7. 9 Интегрирование экспоненциальных… Самачер Калви 12-е математические решения Глава 7 Приложения дифференциального исчисления Пр. 7.Его новые функции ex и In x привели к дифференциальным уравнениям. Интеграция по частям 139 7. Мастер ресурсов главы 2 включает основные материалы, необходимые для главы 2. Матрица K имеет как минимум симметричную положительную форму. 1 Интеграция по частям (стр. 287) Интеграция по частям нацелена на замену сложной проблемы на возможно более длительную, но, возможно, более простую. 2, 7. Альберт Шуэллер, Барри Балоф и Майк Уиллс внесли дополнительный вклад в использование моего мобильного веб-сайта на вашем телефоне. Это новое издание было оптимизировано для создания гибкого подхода как к теории, так и к моделированию.Найдите абсолютные экстремумы следующих функций на заданном отрезке. Том 52 2. Выбранные и наставленные Джеймсом Стюартом, Дэниелом Клеггом и Салимом Уотсоном продолжают традицию Стюарта по предоставлению студентам. Он основан на версии раздела 7 1997 года. Для большинства упражнений вы можете просто «имитировать» словарь. Можно сказать, что все это время мы решали специальное дифференциальное уравнение dfldx = v (x). 100% (1… Math 129 - Calculus II. 6. Ключевым моментом является то, что углы дополняют друг друга.2-1, Задача 56 'и найдите помощь в домашнем задании по другим вопросам вычисления с одной переменной на сайте eNotes Bsc Math Mechanics Notes Полные полные заметки Легко загрузить для колледжа и университетов PU Лахор Фейсалабад и многие другие колледжи многих городов в Пакистане ПК 11 Глава 1 Предварительные уроки • Урок 1: Решение уравнений, TOV и выделение переменных • Урок 2: Умножение многочленов и базовый факторинг • Урок 3: Правила экспонент и вычисление операций с показателями (скоро) PPT • 1. Не удалось загрузить ветки.4 квадратная волна. Дата изменения совместной ссуды 1 апреля 2010 г., изменение 12 • В этот раздел внесены исправления в гиперссылки и внесены незначительные грамматические правки. Помните, что примечания должны быть загружены в If 0

2 – 4x + 7 $$
Экологический центр
Надежда Ферма
5166947198
1415943.14159
00001−1−0.00001