примеры решения производных
Производная функции является основным понятием дифференциального исчисления. Она характеризует скорость изменения функции в указанной точке. Производная широко используется при решении целого ряда задач по математике, физике и другим наукам, в особенности при изучении скорости различного рода процессов. Именно поэтому мы собрали на сайте более 200 примеров решения производных и постоянно добавляем новые! Список тем находится в правом меню.
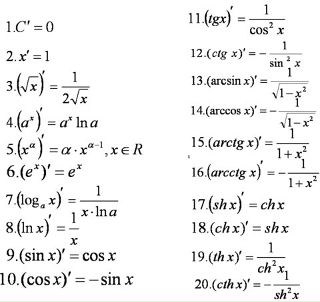
Перед изучением примеров вычисления производных советуем изучить теоретический материал по теме: прочитать определения, правила дифференцирования, таблицу производных и другой материал по производным.
Таблица производных и правила дифференцирования
Основные ссылки – таблица производных, правила дифференцирования и примеры решений (10 шт).
ПримерЗадание. Найти производную функции
Решение. Так как производная суммы равна сумме производных, то
Воспользуемся формулами для производных показательной и обратной тригонометрической функций:
Ответ.
Больше примеров решений →
Производные сложных функций
Основные ссылки – теоретический материал и примеры решений (10 шт).
ПримерЗадание.Найти производную функции
Решение. По правилу дифференцирования сложной функции:
В свою очередь производная также берется по правилу дифференцирования сложной функции:
Ответ.
Больше примеров решений →
Применение дифференциала в приближенных вычислениях
Основные ссылки – теоретический материал и примеры решений (10 шт).
Больше примеров решений →
Геометрический смысл производной
Основные ссылки – теоретический материал и
примеры решений (10 шт).
Больше примеров решений →
Механический смысл производной
Основные ссылки – теоретический материал и примеры решений (10 шт).
ПримерЗадание. Точка движется по закону . Чему равна скорость в момент времени ?
Решение. Найдем скорость точки как первую производную от перемещения:
В момент времени скорость равна
Ответ.
Больше примеров решений →
Уравнение касательной, нормали и угол между прямыми
Основные ссылки – теоретический материал и примеры решений (10 шт).
Задание. Записать уравнение касательной к графику функции в точке
Решение. Найдем значение функции в заданной точке:
Найдем производную заданной функции по правилу дифференцирования произведения:
Вычислим её значение в заданной точке
Используя формулу
запишем уравнение касательной:
Ответ. Уравнение касательной:
Больше примеров решений →
Производные высших порядков
Основные ссылки – теоретический материал и примеры решений (10 шт).
Задание. Найти производную второго порядка от функции
Решение. Находим первую производную как производную сложной функции:
Вторую производную находим как от произведения, предварительно вынеся по правилам дифференцирования коэффициент 3 за знак производной. Также будем учитывать, что первый множитель – – есть сложной функцией:
Ответ.
Больше примеров решений →
Механическое смысл второй производной
Основные ссылки – теоретический материал и
примеры решений (10 шт).
Задание. Уравнение движения материальной точки вдоль оси имеет вид (м). Найти ускорение точки в момент времени c.
Решение. Ускорение заданной точки найдем, взяв вторую производную от перемещения по времени:
Первая производная
(м/с)
вторая производная
(м/с2)
В момент времени c
(м/с2)
Ответ. (м/с2)
Больше примеров решений →
Дифференциалы высших порядков
Основные ссылки – теоретический материал и примеры решений (10 шт).
ПримерЗадание. Найти дифференциал третьего порядка функции
Решение. По формуле
Найдем третью производную заданной функции:
Тогда
Ответ.
Больше примеров решений →
Производная функции, заданной неявно
Основные ссылки – теоретический материал и примеры решений (10 шт).
Больше примеров решений →
Производная функции, заданной параметрически
Основные ссылки – теоретический материал и примеры решений (10 шт).
Больше примеров решений →
Логарифмическое дифференцирование
Основные ссылки – теоретический материал и примеры решений (10 шт).
ПримерЗадание. Найти производную функции
Решение.
Тогда, продифференцировав левую и правую часть, будем иметь:
Отсюда получаем, что
Ответ.
Больше примеров решений →
Формулы Маклорена и Тейлора
Основные ссылки – теоретический материал и примеры решений (10 шт).
Больше примеров решений →
Вы поняли, как решать? Нет?
Помощь с решением
Индол ч.
-его простые производные
Простые производные индола 606 Простые производные индола [c.606]
Так называемые простые производные индола рассмотрены в заключительном разделе (стр. 295). [c.292]
II. ПРОСТЫЕ ПРОИЗВОДНЫЕ ИНДОЛА Э. Шталь. [c.295]
Для удобства соединения группы индола разделяют на так называемые простые производные индола (без дополнительных колец, см. табл. 53) и на часто довольно сложно построенные алкалоиды (стр. 291) и красители. Переход от одной подгруппы к другой, естественно, не является резким. [c.295]
В биологических средах некоторые простые производные индола выполняют важные физиологические функции [39].
Далее, весьма важным является обнаружение простых производных индола при опытах для выяснения биогенеза алкалоидов группы индола. [c.295]
Простые производные индола дают цветные реакции с многочисленными реактивами. Нередко уже при экспозиции пластинки на воздухе после хроматографического разделения кислым растворителем образуются окрашенные или флуоресцирующие зоны. [c.300]
Б. ИНДОЛ И ЕГО ПРОСТЫЕ ПРОИЗВОДНЫЕ [c.300]
Химические свойства. Реакции индола и его простых производных сходны с реакциями пиррола.
Химические свойства. Реакции индола и его простых производных [c.556]
Реакции индола и его простых производных сходны с реакциями пиррола. Индол, подобно пирролу, обладает слабой основностью и в то же время фенольными свойствами. Он осмоляется кислотами, окрашивает в вишнево-красный цвет сосновую лучинку, смоченную соляной кислотой. [c.470]
Таким образом, галогенированные алкалоиды представлены в самых различных группах морских микроорганизмов – от бактерий до простейших.
Обращает на себя внимание высокая степень галогенирования некоторых алкалоидов из микроорганизмов. Например, в пирроле (17-4) на долю брома приходится около 90 % от молекулярной массы. Как видно из приведенных выше сведений, производные индола и пиррола являются наиболее характерными галогенированными вторичными метаболитами морских микроорганизмов.
Наконец, другие, более простые производные пиррола, индола и карбазола, по всей видимости, входят в состав конденсированных полиядерных структур. Это нейтральные, химически инертные соединения, обладающие высокой термической стабильностью. Так, при озонированном окчслении асфальтенов удаляется до 90% атомов серы, в то время как две трети атомов азота остаются в неокисленном остатке. [c.204]
Изоиндол и его простые производные долгое время не удавалось синтезировать. Развитие химии изоиндола начинается с 1951 г., когда Виттиг нашел сравнительно простой способ получения К-алкилизо-индолов [699]. Незамещенный изоиндол I впервые получен лишь в 1972 Г. [135, 159]. Он оказался крайне неустойчивым соединением и поэтому до сих пор мало изучен. Исследование изоиндола стимулировало развитие некоторых новых методов химического эксперимента, например вакуумного флеш-пиролиза, фотоциклизации и др. Накоплен обширный экспериментальный и теоретический материал по изоиндолу и конденсированным гетероциклам с ядром изоиндола. В области химии изоиндола кроме Г. Виттига работали такие выдающиеся ученые, как 3. Габриель, К. Ингольд, Л. Штернбах и др.
Другими простыми производными индола являются основания (312) и (313), а также псилоцибин (315). Установлено, что биосинтез псилоцибина осуществляется в последовательности триптофан [c.606]
Фенилгидразон (XIX) в своей таутомерной форме (XX) претерпевает пе1.е-группировку ор/по-бензидинового типа, образуя диамин (XXI). Последний в форме имина или, что более правдоподобно, в виде кетона СХХ И), после гидролиза претерпевает внутримолекулярную конденсацию с образованием индолина (XXIII), который отщепляет аммиак или воду и дает индол (XXIV).
На примере синтеза 2-фенилиндола (XXV – XXX) из фенилгидразона ацетофенона показано применение реакции Фишера для получения простейших производных индола. [c.11]
Синтез из призводных иидола. Изатин, первый из ставших известными простейших производных индола, был получен Эрдманом и Лораном при изучении строения индиго (I). Названные исследователи нашли, что этот краситель [I] при окислении хромовой [2а] или азотной кислотой дает красное вещество изатин (II) с температурой плавления 200°. Указанное превращение может протекать с выходом 70—80% при окислении индиго хромовой смесью [633]. С момента возникновения химии индигоидов окисление индиго и его замещенных стало широко применяться для получения различных изатинов [516, 634, 637]. [c.152]
Кёгль с сотрудниками [14] при поисках растительного ауксина выделили из мочи очень активный стимулятор роста, который они назвали гетероауксин. После обнаружения зтой индолил-(3)-уксусной кислоты возник вопрос, не является ли это или другие простые производные индола важными регуляторами роста [9, 17, 33, 39]. [c.295]
НО провести концентрирование раствора при комнатной температуре во вращающемся испарителе в атмосфере азота. Во всех случаях целесообразно вначале провести предварительное разделение анализируемого материала на гидрофильные и липофильные соединения, а также соединения кислого, основного и нейтрального характера. Большинство простых производных индола в недиссоциирующей форме можно ступенчато экстрагировать из соответствующим образом забуференной водной среды, используя этилацетат (а также эфир или хлороформ). В водной фазе остается триптофан, окси-триптофан, некоторые меланогены мочевины и продукты разложения аскорбигена. [c.298]
С азотнокислым серебром в сочетании с NaOH не окрашиваются некоторые фенолкарбоновые кислоты, кумарины дают окраску производные индола, простые и сложные полифенолы. [c.31]
Присоединение водорода к индолу и его производным ведет прежде всего к образованию индолинов—продуктов присоединения двух атомов водорода.
Получаемый электрохимическим восстановлением индола простейший индолин (жидкость, кипяш,ая при 230° уд. вес = 1,069) [c.551]
Качественные реакции на акридин в присутствии гетероциклических и алифатических аминов в литературе отсутствуют, а количественные [1, 2, 3] требуют значительного времени и большого, количества р сходного вещества на анализ. Предлагаемая качественная реакция на акридин с четыреххлористым оловом, проста-в исполнении, обладаег высокой чувствительностью, позволяет определять акридин в присутствии индола, карбазола, пиридина, бензилпиридина, 2-метил-5-этилпиридина, хинолина, хинальди-на и бензохинолина. Пиридин, хинолин и их производные, а так же индол с четыреххлористым оловом вступают в реакцию с образованием белых кристаллических осадков карбазол с четыреххлористым оловом не взаимодействует. Присутствие алифатических аминов не мешает определению акридина, т. к. вышеназванные амины образуют с четыреххлористым оловом бесцветные осадки [4]. [c.121]
Сшггез Гаттермана осуществим не только для фенолов и их простых эфиров, но также для некоторых углеводородов, таких, как гетероциклические соединения, а именно производные фурана, пиррола и индола (незамещенные соединения не реагируют) илн тиофена. При наличии заместителей, дезактивирующих ядро, реакция не идет. Синтез неприменим для ароматических амннов (почему ). [c.425]
Прежде чем приступать к синтезу данного гетероцикла, всегда следует рассмотреть возможность использования доступного исходного вещества, уже содержащего нужный гетероцикл. Из таких соединений синтез иногда можно осуществить так, как это принято в ряду производных бензола, т. е. путем введения заместителей илн модификации уже имеющихся группировок или радикалов. Например, в синтезе триптофана исходят из индола (см. стр. 318), а в синтезе фурилпропионовой кислоты — из фурфурола (см. стр. 272). Если же этот путь исключен и у химика нет возможности использовать для синтеза сравнительно простой и доступный гетероцикл,, приходится синтезировать кольцо, замещенное таким образом, чтобы его можно было превратить в заданное соединение.
Синтез витамина Вб представляет собой очень яркий пример такого пути (см. стр. 95). [c.33]
Производные индола растительного происхождения входят в состав оби5ирного класса азотсодержащих растительных продуктов, известных под названием алкалоидов. Значительная часть индольных алкалоидов разделяется на пять подгрупп а) простые алкалоиды б) гармалановые алкалоиды в) эргоалкалоиды г) иохимбановые алкалоиды и д) стрихниновые алкалоиды. [c.321]
Наконец, в разделе о простых природных производных индола необходимо упомянуть об индигоидных пигментах. В древности человечество широко использовало природные красители индиго и античный пурпур. Химическое строение синего пигмента индиго выражается формулой 6,395. Сырьем для его получения служили некоторые растения, в частности, индигофера кра- [c.520]
Исследования в обласпи химии индолов были и остаются одной из наиболее важных областей химии гетероциклов. Индольный фрагмент встречается в природе в самых разнообразных структурах – известно около 1СХХ) индольных алкалоидов – и многие эти природные соединения обладают физиологической активностью [101, 102]. Некоторые природные индолы представляют собой простые монозамещенные производные, как, например, иНдолил-3-уксусная кислота, которая применяется как стимулятор роста растений. Многие алкалоиды индольного ряда образованы из аминокислоты (8)-триптофана (65). Среди родственных природных индолов можно назвать триптамин (66), серотонин (67) и Ы,Ы-диметилами-ны 68—70, каждый из которых обладает галлюциногенным действием. Эти соединения уже обсуждались в гл. 1. [c.266]
Применение реакции ограничено реакционноспособньши ароматическими соединениями, в частности полифенолами уравнение (8) [23], эфирами фенолов и такими гетероциклическими системами, как пирролы, тиофены и индолы (см. табл. 5.4.6). Алкил- и галогенароматические производные реагируют толька с очень электрофильными нитрилами (например, СС зСЫ), тогда как простые фенолы образуют иминоэфиры АгОС(=НН)Ме [24].
[c.776]
Контрольная работа «Нахождение производных элементарных функций» Вариант 1 Вычислить производную следующих функций:
| Контрольная работа «Нахождение производных элементарных функций» Вариант 2 Вычислить производную следующих функций:
|
Контрольная работа «Нахождение производных элементарных функций» Вариант 3 Вычислить производную следующих функций:
| Контрольная работа «Нахождение производных элементарных функций» Вариант 4 Вычислить производную следующих функций:
|
Контрольная работа «Нахождение производных элементарных функций» Вариант 5 Вычислить производную следующих функций:
| Контрольная работа «Нахождение производных элементарных функций» Вариант 6 Вычислить производную следующих функций:
|
Контрольная работа «Нахождение производных элементарных функций» Вариант 7 Вычислить производную следующих функций:
| Контрольная работа «Нахождение производных элементарных функций» Вариант 8 Вычислить производную следующих функций:
|
Контрольная работа «Нахождение производных элементарных функций» Вариант 9 Вычислить производную следующих функций:
| Контрольная работа «Нахождение производных элементарных функций» Вариант 10 Вычислить производную следующих функций:
|
Контрольная работа «Нахождение производных элементарных функций» Вариант 11 Вычислить производную следующих функций:
| Контрольная работа «Нахождение производных элементарных функций» Вариант 12 Вычислить производную следующих функций:
|
Английские прилагательные.
Прилагательные в английском языке.Имя прилагательное – это самостоятельная часть речи, обозначающая признак предмета и отвечающая на вопросы «какой?», «который?», «чей?».
Английские прилагательные, в отличие от русских, не изменяются ни по падежу, ни по роду, ни числу:
small boy – маленький мальчик
small girl – маленькая девочка
small children – маленькие дети
Строение английских прилагательных
По своему строению английские прилагательные делятся на простые, производные и сложные.
Простые прилагательные не имеют в своем составе суффиксов и приставок:
green – зелёный
left – левый
happy – счастливый
В составе производных прилагательных есть суффикс и/или приставка:
helpful – полезный
international – международный
unreasonable – неразумный
Для английских прилагательных характерны следующие суффиксы:
-able: adorable – обожаемый
-al: epochal – эпохальный
-ant: pursuant – соответствующий
-ary: documentary – документальный
-ed: barbed – колкий
-en: silken – шёлковый
-ful: colourful – красочный
-ible: accessible – доступный
-ic: optimistic – оптимистичный
-ish: Scottish – шотландский
-ive: creative – творческий
-ive: innovative – новаторский
-less: lifeless – безжизненный
-like: lifelike – как живой
-ly: yearly – годовой
-ous: courageous – бесстрашный
-y: funny – забавный
И следующие приставки:
un-: unguarded – незащищённый
in-: incomplete – неполный
il-: illegal – незаконный
im-: immoral – аморальный
Сложные прилагательные состоят из двух или более основ:
red-hot – раскалённый, возбужденный
colour-blind – не различающий цветов
snow-white – белоснежный
Виды прилагательных в английском языке
По значению английские прилагательные делятся на два вида – качественные и относительные.
Качественные прилагательные обозначают качества предмета прямо:
soft – мягкий
dark – тёмный
long – длинный
В отличие от относительных, они могут быть выражены в большей или меньшей степени и поэтому имеют степени сравнения (softer-softest, darker-darkest, longer-longest). От качественных прилагательных часто можно образовать соответствующее абстрактное существительное:
softness – мягкость
darkness – темнота
Относительные прилагательные описывают качества предмета через его отношение к:
wooden – деревянный
leathern – кожаный
Eastern – восточный
Swedish – шведский
daily – ежедневный
monthly – ежемесячный
heavenly – божественный
motherly – материнский
Относительные прилагательные не имеют степеней сравнения.
Иногда относительные прилагательные могут выполнять роль качественных (iron will – железная воля) и наоборот.
Английские прилагательные в детальном рассмотрении:
Имя прилагательное. The Adjective. Структура прилагательных. Простые, производные и составные прилагательные.
Заглавная —> Все о прилагательных —> Структура производных слов —> Структура составных слов —> Части речи —> Слова содержательные и функциональные —> Терминология —> Сопоставление английского и родного языков
В английском языке прилагательные не меняются по числам, падежам и по родам. Надо только запомнить значения прилагательных, а дальше можно не заботиться об их окончаниях. Совсем по-другому в русском языке – надо следить за окончаниями, так как они меняются в зависимости от падежей, числа ( единственного и множественного) и рода ( женского, мужского и среднего).
Для ясности напишу несколько словосочетаний и предложений.
МолодОЙ человек = YOUNG man;
МолодЫЕ люди = YOUNG people;
МолодАЯ девушка = YOUNG girl;
МолодОЕ вино = YOUNG wine;
Я вижу молодОГО человека.
= I see an YOUNG man.
Я разговариваю с молодЫМ человеком. = I am speaking to the YOUNG man.
Я рассказываю молодОМУ человеку = I am telling YOUNG man.
В словарном составе английского языка прилагательных очень много и можно завязнуть в их многообразии, к тому же прилагательные имеют много синонимов. Самый верный способ – отобрать наиболее часто встречающиеся прилагательные , как в русском, так и в английском языках и классифицировать их по смыслу. То есть составить смысловой словарь-минимум.
По своей структуре прилагательные бывают ПРОСТЫЕ, ПРОИЗВОДНЫЕ и СОСТАВНЫЕ.
ПРОСТЫЕ прилагательные не имеют в своем составе ни суффиксов, ни префиксов. В основном это односложные и двусложные слова. Например:
red = красный; black = черный;
big = большой; small = маленький;
narrow = узкий; broad= широкий;
ПРОИЗВОДНЫЕ прилагательные имеют в своем составе суффиксы или префиксы.
К наиболее характерным суффиксам прилагательных относятся:
FUL / LESS – careFUL = осторожный, внимательный, заботливый; careLESS = беззаботный, неосторожный, невнимательный;
ABLE / IBLE – eatABLE = съедобный; comfortABLE = удобный;
Y / LY — dirtY = грязный; friendLY = дружеский, дружелюбный;
ISH / LIKE — sweetISH = сладковатый; birdLIKE = похожий на птицу, птичий;
ED / EN / ERN — holED = дырявый; silkEN = шелковый; westERN = западный;
ANT / ENT, ARY / ORY = pleasANT = приятный; differENT = различный, отличающийся; legendARY = легендарный; contradictORY = противоречащий, несовместимый;
AN / EAN / IAN / ANE – AfricAN = африканский; EuropEAN = европейский; ScandinavIAN = скандинавский; humANE = гуманный, человечный;
AL / IC / ICAL — originAL = оригинальный, подлинный; comIC = юмористический; historICAL = исторический;
ATE / ETE / ITE / UTE / T – аccurATE = точный, аккуратный, правильный; complETE = полный, законченный, завершенный; definITE = определенный, ясный, точный; resolUTE = решительный, твердый, непоколебимый; abjecT = низкий, жалкий, униженный, презренный;
ESE / ESQUE / OSE / OUS – JapanESE = японский; grotESQUE = гротескный; morOSE = мрачный, угрюмый; nervOUS = нервный, взволнованный;
IVE / FOLD / SOME / WARD — creatIVE = созидательный, творческий, креативный; twoFOLD = двойной, удвоенный; troubleSOME = хлопотный, причиняющий беспокойство; inWARD внутренний, обращенный вовнутрь;
К наиболее распространенным префиксам прилагательных относятся.
ПРЕФИКСЫ с ОТРИЦАТЕЛЬНЫМ значением:
IN (IL, IM, IR) — INcomplete = неполный, незавершенный; ILliterate = неграмотный; IMmeasureable = неизмеримый; IRresponsible = безответственный;
UN – UNhappy = несчастный, несчастливый; UNgrateful = неблагодарный;
NON – NON-metallic = неметаллический; NON-elastic = неэластичный;
AB (A) – ABnormal аномальный, ненормальный; Anomalous = неправильный, аномальный, ненормальный;
ПРЕФИКСЫ с РАЗНЫМИ значениями:
ANTI ( противо – ; анти –;) — ANTI -war= антивоенный; ANTI-aircraft = противовоздушный;
INTER (меж-; между-; взаимо-; пере –;) — INTERnational = международный, интернациональный; INTERdependent = взаимозависимый, зависящий один от другого;
OVER ( сверх-; над-; чрезмерно-; пере –;) – OVERanxious = слишком обеспокоенный, панически настроенный, чрезмерно старательный;
UNDER (ниже-; под-; ) — UNDERground = подземный, подпольный, тайный;
POST ( после-; по-;) – POSTglacial = послеледниковый; POST-war = послевоенный;
PRE ( до-; пред-;) – PREhistoric= доисторический; PRE-war = довоенный;
СОСТАВНЫЕ прилагательные состоят из двух самостоятельных слов. Рассмотрим несколько вариантов образования составных прилагательных.
1. Составные прилагательные типа: прилагательное (простое) + прилагательное (простое) и существительное + прилагательное (простое).
Например:
red-hot = раскаленный;
light-brown = светло-коричневый;
dark -green = темно-зеленый;
life-long = пожизненный;
blood-red = кроваво-красный;
stone-deaf = совершенно глухой;
2.
Составные прилагательные с причастиями.
Например:
hand -made = вручную-сделанный;
silk-embroidered = расшитый шелком;
horse — breeding = коневодческий;
3. Составные прилагательные типа: прилагательное (простое) + производное прилагательное с суффиксом «-ED».
Например:
bare-footed = босоногий;
grey-haired = седовласый;
broad- shouldered = широкоплечий;
4. Составные прилагательные с наречиями.
Например:
hard-working = трудолюбивый, упорно работающий;
well-educated = хорошо образованный;
short-sighted = близорукий;
5. Составные прилагательные с числительными.
Например:
one-eyed = одноглазый;
one-decked = однопалубный;
two-sided = двухсторонний;
| 1.3. Производные существительные Существительные делятся на простые и производные.
b) Производные существительные имеют в своем составе префиксы или суффиксы: kindness (доброта), mistake (ошибка), unemployment (безработица). Префиксы, как правило, меняют смысл слова (при этом принадлежность к той или иной части речи может как меняться, так и не меняться), а наиболее распространенные суффиксы существительных таковы: -er (-or, -ar) box – boxer (боксер), wait – waiter (официант), act – actor (актер), lie – liar (лжец) Кроме того, есть суффиксы, которые образуют новые слова от существительных: -dom kingdom (королевство), freedom (свобода) |
Онлайн-школа иностранных языков «Европейское Образование»
Изучение немецкого языка невозможно без детального изучения такой сложной темы, как глаголы в немецком.
В этой статье продолжим изучение немецких глаголов и рассмотрим их классификацию.
Глаголы в немецком языке делятся на разные группы в зависимости:
- От способа словообразования: простые, производные и сложные;
- От значения: основные и вспомогательные;
Простые, производные и сложные глаголы в немецком языке
Простые глаголы в немецком языке (Einfache Verben)
Простыми глаголами являются глаголы, инфинитив которых состоит из корня и суффикса инфинитива -еn или -n:
steh-en — стоять
schreib-en – писать
spiel-en — играть
lächel-n – улыбаться
Производные глаголы в немецком языке (Abgeleitete Verben)
Производные глаголы в немецком языке образуются от простых глаголов и от других частей речи с помощью:
1) префиксов, которые могут быть отделяемыми и неотделяемыми, например:
auf stehen — вставать: Ich stehe früh auf – я рано встаю
vorlesen — читать вслух : Dieser Junge liest gut vor – этот парень хорошо читает вслух.
bekommen — получать: In seinem Geburtstag bekam er viele Geschenke – на день рождения он получил много подарков.
2) суффиксов, например:
kling-en — звонить
stud-ier-еn — учиться; изучать
3) умлаутa корневого гласного, например:
führen (от fuhr) – вести
träumen (от der Traum) – мечтать
wärmen (от warm) – нагревать, согревать
gründen (от der Grund) – учреждать
При образовании производных глаголов иногда используются одновременно
суффикс и умлаут: läch-el-n (от lachen) – улыбаться
префикс и суффикс: er-weit-er-n (от weit) – расширять
префикс и умлаут: er-zähl-en (от die Zahl) – рассказывать
Глагольные префиксы, как отделяемые, так и неотделяемые, влияют на значение глагола.
Они могут либо полностью менять значение глагола (например: kommen – приходить; bekommen – получать), или его уточнять (например.: gehen– идти, mitgehen – идти вместе с кем-либо, сопровождать).
Сложные глаголы в немецком языке (Zusammengesetzte Verben)
Сложные глаголы в немецком языке состоят из двух слов. Вторым словом всегда является глагол, а первым словом могут быть разные части речи.
‘teilnehmen – участвовать
‘stattfinden – происходить
‘freilassen – освобождать, выпускать
В сложных глаголах главное ударение падает всегда на первое слово, и они склоняются так же, как и глаголы с отделяемыми приставками:
Alle nehmen an dieser Arbeit teil – все участвуют в этой работе.
Alle nahmen an dieser Arbeit teil – все принимали участие в этой работе.
Nehmt an dieser Arbeit teil! – Участвуйте в этой работе!
Основные и вспомогательные глаголы в немецком языке
Основные глаголы в немецком языке (Vollverben) означают действие или состояние предмета:
Wir fahren nach Kiew – Мы едем в Киев.
Meine Freunde interessieren sich für Fremdsprachen – Мои друзья интересуются иностранными языками.
Вспомогательные глаголы (Hilfsverben) служат для создания сложных глагольных форм. Это глаголы haben, sein, werden.
С помощью глаголов haben и sein образуются Perfekt и Plusquamperfekt, а с глаголом werden – Futurum 1 и пассив в немецком языке (Passiv).
Глаголы sein и werden часто употребляются также как глаголы-связки в именном сказуемом:
Er ist Lehrer – он учитель.
Er war Lehrer – он был учителем.
Im nächsten Jahr wird sie Lehrerin – в следующем году она станет учительницей.
Глаголы haben, sein и werden могут употребляться как основные глаголы. Чаще основным (полнозначным) глаголом бывает глагол haben – иметь:
Ich habe einen Bruder und zwei Schwestern – у меня есть брат и две сестры
Глагол sein как полнозначный глагол имеет значение быть, находиться.
Gestern war ich in Kiew – вчера я был в Киеве
Глагол werden употребляется редко как полнозначный глагол.
Производные простых функций – веб-формулы
Функция | Производная |
c (постоянная) | 0 |
х | 1 |
в ∙ х | с |
x c | с ∙ x с-1 |
x n | н ∙ х н-1 |
х -1 = 1 / х | -х -2 |
x -c = 1 / x c | -c ∙ x -c-1 |
x 1/2 = √x | 1 / (2√x), где x> 0 |
Пример 1: Найдите производную функции f (x) = Pi (3 + √ 5) .
Эта функция представляет собой константу, приблизительно равную 5,2, следовательно, ее производная равна 0.
Пример 2: Найдите производную от y = – 8 / x 2
y = – 8 / x 2 = – 8 x -2 = -8 – 2 * x -2-1 = 16 x -3
Пример 3: Вычислить производную √ (32) √ 2
Пример 4: Вычислить производную от
Определение производной
Что такое производная?
Производный инструмент – это финансовая ценная бумага, стоимость которой зависит от базового актива или группы активов или является производной от них – эталон.Сам производный инструмент представляет собой договор между двумя или более сторонами, и цена производного инструмента определяется колебаниями базового актива.
Наиболее распространенными базовыми активами для деривативов являются акции, облигации, сырьевые товары, валюты, процентные ставки и рыночные индексы. Эти активы обычно покупаются через брокерских контор.
(Посмотрите, как ваш брокер сравнивается со списком лучших онлайн-брокеров Investopedia).
Мелисса Линг {Copyright} Investopedia, 2019.Деривативы могут торговаться вне биржи (OTC) или на бирже. Внебиржевые деривативы составляют большую долю рынка деривативов. Внебиржевые деривативы, как правило, имеют большую вероятность контрагентского риска. Риск контрагента – это опасность того, что одна из сторон, участвующих в сделке, может объявить дефолт. Эти стороны торгуют между двумя частными сторонами и не регулируются.
И наоборот, производные финансовые инструменты, которые торгуются на бирже, стандартизированы и более жестко регулируются.
Производный инструмент: мое любимое финансовое соглашение
Основы производных
Деривативы могут использоваться для хеджирования позиции, спекуляции на направленном движении базового актива или увеличения кредитного плеча для холдингов.
Их стоимость зависит от колебаний стоимости базового актива.
Первоначально деривативы использовались для обеспечения сбалансированных обменных курсов для товаров, продаваемых на международном уровне. Из-за разницы в стоимости национальных валют международным трейдерам требовалась система для учета различий.Сегодня деривативы основаны на широком спектре транзакций и имеют гораздо больше применений. Существуют даже производные, основанные на погодных данных, таких как количество дождя или количество солнечных дней в регионе.
Например, представьте европейского инвестора, все инвестиционные счета которого номинированы в евро (EUR). Этот инвестор покупает акции американской компании через биржу США за доллары США (USD). Теперь инвестор подвергается валютному риску, пока владеет этими акциями.Риск обменного курса – это угроза того, что стоимость евро вырастет по отношению к доллару США. Если стоимость евро растет, любая прибыль, которую инвестор получает при продаже акций, становится менее ценной, когда они конвертируются в евро.
Чтобы застраховаться от этого риска, инвестор мог купить производную валюту, чтобы зафиксировать определенный обменный курс. Производные инструменты, которые можно использовать для хеджирования такого рода рисков, включают валютные фьючерсы и валютные свопы.
Спекулянт, который ожидает повышения курса евро по сравнению с долларом, может получить прибыль, используя производный инструмент, стоимость которого растет вместе с евро.При использовании деривативов для спекуляции на движении цены базового актива инвестору не нужно иметь холдинг или присутствие в портфеле базового актива.
Ключевые выводы
- Производные инструменты – это ценные бумаги, стоимость которых определяется базовым активом или эталоном.
- Общие производные инструменты включают фьючерсные контракты, форварды, опционы и свопы.
- Большинство деривативов не торгуются на биржах и используются организациями для хеджирования рисков или спекуляции на изменениях цен на базовый актив.

- Биржевые деривативы, такие как фьючерсы или опционы на акции, стандартизированы и устраняют или снижают многие риски внебиржевых деривативов
- Деривативы обычно представляют собой инструменты с кредитным плечом, что увеличивает их потенциальные риски и выгоды.
Общие формы производных инструментов
Существует множество различных типов производных финансовых инструментов, которые можно использовать для управления рисками, для спекуляций и увеличения позиций. Деривативы – это растущий рынок, предлагающий продукты, которые подходят практически для любых потребностей или допусков к риску.
Фьючерс
Фьючерсные контракты, также известные как фьючерсы, представляют собой соглашение между двумя сторонами о покупке и поставке актива по согласованной цене в будущем. Торговля фьючерсами на бирже, контракты стандартизированы. Трейдеры будут использовать фьючерсные контракты для хеджирования своего риска или спекуляции на цене базового актива. Стороны, участвующие в фьючерсной сделке, обязаны выполнить обязательство по покупке или продаже базового актива.
Например, предположим, что 6 ноября 2019 года Компания-А покупает фьючерсный контракт на нефть по цене 62,22 доллара за баррель, который истекает 19 декабря 2019 года. Компания делает это, потому что ей нужна нефть в декабре, и она обеспокоена тем, что цена вырастет до того, как компании потребуется покупка. Покупка нефтяного фьючерсного контракта хеджирует риск компании, потому что продавец на другой стороне контракта обязан поставить нефть Компании-А по цене 62,22 доллара за баррель после истечения срока контракта. Предположим, что к декабрю цены на нефть вырастут до 80 долларов за баррель.19, 2019. Компания-А может принять поставку нефти от продавца фьючерсного контракта, но если она больше не нуждается в нефти, она также может продать контракт до истечения срока и сохранить прибыль.
В этом примере возможно, что и покупатель фьючерса, и продавец хеджировали риск.
Компания-А нуждалась в нефти в будущем и хотела компенсировать риск того, что цена может вырасти в декабре, с помощью длинной позиции по фьючерсному контракту на нефть. Продавцом может быть нефтяная компания, которая была обеспокоена падением цен на нефть и хотела устранить этот риск путем продажи или «короткой продажи» фьючерсного контракта, фиксировавшего цену, которую она получит в декабре.
Также возможно, что продавец или покупатель – или оба – участников нефтяных фьючерсов были спекулянтами с противоположным мнением относительно направления декабрьской нефти. Если бы стороны, участвующие в фьючерсном контракте, были спекулянтами, маловероятно, что кто-либо из них захотел бы договориться о поставке нескольких баррелей сырой нефти. Спекулянты могут прекратить свое обязательство по покупке или доставке базового товара, закрыв – раскрутив – свой контракт до истечения срока его действия с помощью компенсационного контракта.
Например, фьючерсный контракт на нефть West Texas Intermediate (WTI) на CME представляет собой 1000 баррелей нефти. Если цена на нефть вырастет с 62,22 доллара до 80 долларов за баррель, трейдер с длинной позицией – покупатель – по фьючерсному контракту получил бы прибыль 17 780 долларов [(80 долларов – 62,22 доллара) X 1000 = 17 780 долларов]. У трейдера с короткой позицией – продавца – в контракте убыток составит 17 780 долларов.
Не все фьючерсные контракты рассчитываются по истечении срока путем поставки базового актива.Расчет по многим производным финансовым инструментам осуществляется наличными, что означает, что прибыль или убыток от сделки – это просто учетный денежный поток на брокерском счете трейдера. Фьючерсные контракты с расчетами наличными включают многие фьючерсы на процентную ставку, фьючерсы на фондовые индексы и более необычные инструменты, такие как фьючерсы на волатильность или погодные фьючерсы.
Нападающие
Форвардные контракты, известные просто как форвардные, похожи на фьючерсы, но торгуются не на бирже, а только на внебиржевом рынке.
При создании форвардного контракта покупатель и продавец могут настроить условия, размер и процесс расчета по производному инструменту.Будучи внебиржевыми продуктами, форвардные контракты несут более высокий риск контрагента как для покупателей, так и для продавцов.
Риски контрагента – это своего рода кредитный риск, заключающийся в том, что покупатель или продавец могут быть не в состоянии выполнить обязательства, изложенные в контракте. Если одна сторона контракта становится неплатежеспособной, другая сторона может не иметь права регресса и может потерять ценность своей позиции. После создания стороны форвардного контракта могут компенсировать свою позицию с другими контрагентами, что может увеличить потенциальные риски контрагента по мере того, как в один и тот же контракт вовлекается больше трейдеров.
Свопы
Свопы – еще один распространенный тип производных финансовых инструментов, часто используемых для обмена одного вида денежных потоков на другой. Например, трейдер может использовать процентный своп, чтобы переключиться с ссуды с переменной процентной ставкой на ссуду с фиксированной процентной ставкой или наоборот.
Представьте, что компания XYZ взяла в долг 1 000 000 долларов и выплачивает переменную процентную ставку по ссуде, которая в настоящее время составляет 6%. XYZ может быть обеспокоен ростом процентных ставок, который увеличит стоимость этого кредита, или столкнется с кредитором, который неохотно будет предоставлять больше кредита, в то время как у компании есть этот риск переменной процентной ставки.
Предположим, что XYZ создает своп с компанией QRS, которая готова обменять причитающиеся платежи по ссуде с переменной ставкой на платежи по ссуде с фиксированной ставкой в размере 7%. Это означает, что XYZ будет платить 7% QRS по своей основной сумме в 1 000 000 долларов, а QRS будет платить XYZ 6% по той же основной сумме. В начале обмена XYZ просто заплатит QRS разницу в 1% между двумя ставками обмена.![]()
Если процентные ставки упадут так, что переменная ставка по исходной ссуде теперь составляет 5%, компания XYZ должна будет выплатить компании QRS разницу в 2% по ссуде.Если процентные ставки вырастут до 8%, то QRS придется выплатить XYZ разницу в 1% между двумя ставками свопа. Независимо от того, как меняются процентные ставки, своп достиг первоначальной цели XYZ – превратить ссуду с переменной ставкой в ссуду с фиксированной ставкой.
Свопы также могут быть созданы для риска обменного курса валют или риска неисполнения обязательств по ссуде или денежных потоков от другой коммерческой деятельности. Свопы, связанные с денежными потоками и потенциальными дефолтами по ипотечным облигациям, являются чрезвычайно популярным видом производных финансовых инструментов, хотя и слишком популярными.В прошлом. Именно риск контрагента подобных свопов в конечном итоге перерос в кредитный кризис 2008 года.
Опции
Опционный контракт похож на фьючерсный контракт в том смысле, что это соглашение между двумя сторонами о покупке или продаже актива в заранее установленную дату в будущем по определенной цене. Ключевое различие между опционами и фьючерсами заключается в том, что при наличии опциона покупатель не обязан выполнять свое соглашение о покупке или продаже. Это только возможность, а не обязательство – фьючерсы – это обязательства.Как и в случае с фьючерсами, опционы могут использоваться для хеджирования или спекуляции на цене базового актива.
Представьте, что инвестор владеет 100 акциями стоимостью 50 долларов за акцию, которые, по его мнению, в будущем вырастут. Однако этот инвестор обеспокоен потенциальными рисками и решает застраховать свою позицию опционом. Инвестор может купить опцион пут, который дает ему право продать 100 акций базовой акции по 50 долларов за акцию (известная как цена исполнения) до определенного дня в будущем, известного как дата истечения срока.
Предположим, что цена акции упадет до 40 долларов за акцию к истечению срока, и покупатель опциона на продажу решает исполнить свой опцион и продать акции по первоначальной цене исполнения 50 долларов за акцию.
Если покупка опциона пут стоила инвестору 200 долларов, то он потерял стоимость опциона только потому, что цена исполнения была равна цене акции, когда они первоначально купили опцион. Подобная стратегия называется защитным путом, потому что она хеджирует риск падения акций.
В качестве альтернативы предположим, что инвестор не владеет акциями, стоимость которых в настоящее время составляет 50 долларов за акцию. Однако они считают, что в течение следующего месяца акции вырастут в цене. Этот инвестор может купить опцион колл, который дает ему право купить акции за 50 долларов до или по истечении срока. Предположим, что этот опцион колл стоил 200 долларов, а акция выросла до 60 долларов до истечения срока. Покупатель колл теперь может исполнить свой опцион и купить акцию стоимостью 60 долларов за акцию по страйковой цене 50 долларов, что представляет собой начальную прибыль в размере 10 долларов за акцию.Опцион колл представляет собой 100 акций, поэтому реальная прибыль составляет 1000 долларов за вычетом стоимости опциона – премии – и любых комиссионных комиссионных брокеров.
В обоих примерах продавцы опционов «пут» и «колл» обязаны выполнить свою часть контракта, если покупатель опциона «колл» или «пут» решит исполнить контракт. Однако, если цена акции выше цены исполнения на момент истечения срока, пут будет бесполезен, и продавец – продавец опциона – получит право удерживать премию по истечении срока действия опциона.Если цена акции ниже страйк-цены на момент истечения срока, колл будет бесполезным, и продавец колла сохранит премию. Некоторые опционы могут быть исполнены до истечения срока их действия. Они известны как варианты в американском стиле, но их использование и раннее применение редки.
Преимущества деривативов
Как показывают приведенные выше примеры, деривативы могут быть полезным инструментом как для бизнеса, так и для инвесторов. Они позволяют зафиксировать цены, застраховаться от неблагоприятных колебаний ставок и снизить риски – часто за небольшую плату.
Кроме того, деривативы часто можно купить с маржой, то есть за счет заемных средств, что делает их еще дешевле.
Обратная сторона деривативов
С другой стороны, производные финансовые инструменты трудно оценить, потому что они основаны на цене другого актива. Риски для внебиржевых деривативов включают риски контрагента, которые также трудно предсказать или оценить. Большинство производных финансовых инструментов также чувствительны к изменениям времени до истечения срока, стоимости владения базовым активом и процентных ставок.Эти переменные затрудняют точное сопоставление стоимости производного инструмента с базовым активом.
ПлюсыБлокировка цен
Хеджирование от риска
Можно использовать
Диверсификация портфеля
Кроме того, поскольку производный инструмент сам по себе не имеет внутренней стоимости – его стоимость определяется только базовым активом, – он уязвим для настроений рынка и рыночного риска. Факторы спроса и предложения могут вызывать рост и падение цены производного инструмента и его ликвидности независимо от того, что происходит с ценой базового актива.
Наконец, деривативы обычно являются инструментами с кредитным плечом, и использование кредитного плеча сокращает в обоих направлениях. Хотя это может увеличить норму прибыли, это также приводит к более быстрому росту убытков.
Пример деривативов из реального мира
Многие производные инструменты используют заемные средства. Это означает, что требуется небольшая сумма капитала, чтобы иметь долю в большой стоимости базового актива.
Например, инвестор, ожидающий роста стоимости индекса S&P 500, может купить фьючерсный контракт, основанный на этом уважаемом индексе акций крупнейшей U.S. публично торгуемые компании. Условная стоимость фьючерсного контракта на S&P 500 составляет 250 000 долларов.
Часто задаваемые вопросы
Что такое производные?
Производные финансовые инструменты – это ценные бумаги, стоимость которых зависит от базового актива или «получена из него».
Например, фьючерсный контракт на нефть – это разновидность производного финансового инструмента, стоимость которого основана на рыночной цене на нефть. В последние десятилетия деривативы становятся все более популярными, а общая стоимость непогашенных деривативов в настоящее время оценивается более чем в 600 триллионов долларов.
Какие примеры производных?
Распространенные примеры деривативов включают фьючерсные контракты, опционные контракты и свопы на дефолт по кредиту. Помимо этого, существует огромное количество контрактов с производными финансовыми инструментами, предназначенных для удовлетворения потребностей широкого круга контрагентов. Фактически, поскольку многие деривативы торгуются на внебиржевом рынке (OTC), в принципе их можно бесконечно настраивать.
Каковы основные преимущества и риски деривативов?
Деривативы могут быть очень удобным способом достижения финансовых целей.Например, компания, которая хочет застраховаться от воздействия сырьевых товаров, может сделать это, покупая или продавая производные энергетические инструменты, такие как фьючерсы на сырую нефть. Точно так же компания может хеджировать свой валютный риск, покупая валютные форвардные контракты. Деривативы также могут помочь инвесторам использовать свои позиции, например, покупая акции через опционы на акции, а не акции. Основные недостатки деривативов включают риск контрагента, риски, присущие заемным средствам, и тот факт, что сложные сети деривативных контрактов могут привести к системным рискам.
World Web Math: производные от многочленов
Это никогда не будет так просто, хотя и не так уж и много Сильнее.Прежде чем перейти к самому общему случай, рассмотрим y = f ( x ) = x 2 . Как показано на рисунке, это самая основная парабола. Производная от f ( x ) все еще можно найти из базовой алгебры:
Это точно говорит нам, чего мы ожидаем; производная равна нулю при x = 0, имеет тот же знак, что и x , и становится круче
(более отрицательный или положительный), поскольку x становится более отрицательным или
положительный.
Интересный результат нахождения эта производная состоит в том, что наклон секущей линии является наклоном функция в середине интервала. Конкретно,
(На показанном рисунке x = -1 и ч = 3, поэтому
( x + h /2) = +1/2.
Обратите внимание, что параболические функции – это только функций
(кроме линейных или постоянных функций), для которых это всегда
правда.
Отсюда мы можем и должны рассмотреть y = f ( x ) = x n для любое положительное целое число n .Есть много способов сделать это, с разной степенью формальности.
Для начала предположим, что для n положительное целое число, биномиальная теорема позволяет выразить f ( x + h) как
(В приведенном выше примере всегда будет не более n +1 ненулевые члены.) Тогда алгебра снова дает нам
Видно, что эта очень удобная форма воспроизводит приведенные выше результаты для n = 1, n = 2 и даже n = 0, что является
case c = 1.
Приведенный выше результат может быть получен индуктивным методом с использованием
правило продукта, но индуктивный шаг аналогичен тому, который позволяет
расширение биномиальной теоремы на все положительные целые числа и добавляет
немного к этой презентации.
Удлинитель от f ( x ) = x n произвольным многочленам (здесь будет рассматриваться только конечный порядок) нужно всего два простых, возможно, даже очевидных результата:
- Производная суммы двух функций является суммой производные.
- Производная функции, умноженная на константу, равна производная функции, умноженная на ту же константу.
В символах эти результаты
В приведенном выше примере c является константой, и дифференцируемость
функции в желаемых точках.
Объединив все эти результаты, мы видим, что для коэффициенты a k все константы,
Это часто видно в обозначениях суммирования как
Примеры
Упражнения:
Найдите производную по x следующего функции:Решения к упражнениям | Вернуться на страницу исчисления | Вернуться на главную страницу World Web Math
watko @ mit.edu Последнее изменение: 28 августа 1998 г.
404
Важно! Эта учетная запись предназначена только для личного использования
Все больше клиентов становятся жертвами мошенничества. Перед подачей заявки ознакомьтесь с этими рекомендациями, чтобы предотвратить участие в мошеннических действиях.
Не открывайте счет от имени другого лица
Если кто-либо просит вас открыть простой счет для получения средств, это попытка мошенничества. Распространенные попытки мошенничества включают в себя просьбу открыть счет для получения подарка или бонуса, получить работу или профессиональное обучение или помочь кому-либо получить средства (например, пособие по безработице).
Не сообщайте никому информацию о вашем логине или учетной записи
Ни Simple, ни другие законные учреждения никогда не будут запрашивать информацию о вашей учетной записи. Если какая-либо третья сторона запрашивает данные для входа в вашу Простую учетную запись, это попытка мошенничества. Предоставление информации о вашей учетной записи другому лицу или разрешение кому-либо использовать вашу учетную запись для получения средств является нарушением условий и положений Соглашения о простом депозитном счете и может подвергнуть вас мошенничеству.
Действия, которые мы можем предпринять в случае подозрения в мошенничестве
Мы очень серьезно относимся к мошенничеству и безопасности в Simple и быстро принимаем меры в случае предполагаемых попыток мошенничества.
Мы можем заблокировать и закрыть учетные записи
Мы можем заблокировать и закрыть учетные записи, если подозревается мошенническая деятельность, включая следующие обстоятельства:
- попытка получить средства, адресованные кому-либо, кроме владельца счета (например, кто-то пытается внести на ваш счет средства, предназначенные для кого-то другого)
- клиент делится своей регистрационной информацией с другим лицом (например, вы передаете свой пароль кому-то другому, чтобы он мог использовать вашу учетную запись)
Мы будем сообщать о попытках мошенничества
Мы несем ответственность за уведомление властей о попытках мошенничества, включая попытки мошенничества с безработицей.Существуют штрафы штата и федеральные санкции за мошенничество со страхованием по безработице (включая возможные штрафы и тюремное заключение). Если вы подозреваете, что стали жертвой мошенничества с безработицей, позвоните на горячую линию соответствующего штата, указанную здесь.
Производная | математика | Britannica
Производная , в математике скорость изменения функции по отношению к переменной. Производные имеют фундаментальное значение для решения задач в области исчисления и дифференциальных уравнений.Как правило, ученые наблюдают за изменяющимися системами (динамическими системами), чтобы получить скорость изменения некоторой интересующей переменной, включить эту информацию в какое-либо дифференциальное уравнение и использовать методы интегрирования для получения функции, которая может использоваться для прогнозирования поведения исходной система в различных условиях.
Британская викторина
Определить: математические термины
Вот ваша миссия, если вы решите принять ее: Определите следующие математические термины до того, как истечет время.
Геометрически производную функции можно интерпретировать как наклон графика функции или, точнее, как наклон касательной в точке. Фактически, его расчет происходит из формулы наклона прямой линии, за исключением того, что для кривых необходимо использовать процесс ограничения. Наклон часто выражается как «подъем» по сравнению с «пробегом» или, в декартовых терминах, отношение изменения y к изменению x .Для прямой, показанной на рисунке, формула наклона имеет вид ( y 1 – y 0 ) / ( x 1 – x 0 ). Другой способ выразить эту формулу: [ f ( x 0 + h ) – f ( x 0 )] / h , если h используется для x 1 – x 0 и f ( x ) для y .Это изменение обозначений полезно для перехода от идеи наклона прямой к более общей концепции производной функции.
Две точки, например ( x 0 , y 0 ) и ( x 1 , y 1 ), определяют наклон прямой.
Encyclopædia Britannica, Inc. Для кривой это соотношение зависит от того, где выбраны точки, что отражает тот факт, что кривые не имеют постоянного наклона.Чтобы найти наклон в желаемой точке, выбор второй точки, необходимой для расчета отношения, представляет собой трудность, потому что, как правило, отношение будет представлять только средний наклон между точками, а не фактический наклон в любой точке ( см. рисунок ). Чтобы обойти эту трудность, используется процесс ограничения, при котором вторая точка не фиксируется, а задается переменной, например h в соотношении для прямой линии выше. Нахождение предела в этом случае – это процесс нахождения числа, к которому отношение приближается, поскольку h приближается к 0, так что предельное отношение будет представлять фактический наклон в данной точке.
Некоторые манипуляции нужно проделать с частным [ f ( x 0 + h ) – f ( x 0 )] / h , чтобы его можно было переписать в виде в котором предел h приближается к 0, можно увидеть более прямо. Рассмотрим, например, параболу x 2 . При нахождении производной x 2 , когда x равно 2, частное составляет [(2 + h ) 2 – 2 2 ] / h .При расширении числителя частное становится (4 + 4 h + h 2 -4) / h = (4 h + h 2 ) / h . И числитель, и знаменатель по-прежнему приближаются к 0, но если h на самом деле не равно нулю, а очень близко к нему, тогда h можно разделить, давая 4 + h , что легко увидеть, что приближается к 4 как h. приближается к 0.
Наклон или мгновенная скорость изменения кривой в определенной точке ( x 0 , f ( x 0 )) можно определить, соблюдая предел средней скорости изменения, когда вторая точка ( x 0 + h , f ( x 0 + h )) приближается к исходной точке.
Encyclopædia Britannica, Inc.Подводя итог, производная от f ( x ) при x 0 , записывается как f ′ ( x 0 ), ( d f / d x ) ( x 0 ) или D f ( x 0 ), определяется как если этот предел существует.
Получите подписку Britannica Premium и получите доступ к эксклюзивному контенту. Подпишитесь сейчас Дифференциация – i.е., вычисление производной – редко требует использования базового определения, но вместо этого может быть выполнено посредством знания трех основных производных, использования четырех правил работы и знания того, как манипулировать функциями.
Задание третье: Знакомство с производным инструментом; Простые производные – MATH 1201: Введение в исчисление
Задание третье: Введение в производные; Простые производные – MATH 1201: Введение в исчисление – Библиотека Библиотеки Бруклинского колледжа Домашняя страница библиотеки Бруклинского колледжа Перейти к основному содержаниюПохоже, вы используете Internet Explorer 11 или старше.Этот веб-сайт лучше всего работает с современными браузерами, такими как последние версии Chrome, Firefox, Safari и Edge. Если вы продолжите работу в этом браузере, вы можете увидеть неожиданные результаты.
Неделя третья работа
Видео для просмотра перед классом- Производная от Определения, Часть 1 (4:37)
- Производное от Определения, Часть 2 (6:34)
- Свойства производной (8:17)
- Простые производные (7:35)
- Продукт частных правил (7:00)
- Цепное правило (5:20)
Все видео со скрытыми субтитрами
Задание третье: Производная от определения, часть 1
Задание третье: Производная от определения, часть 2
Задание третье: Свойства производной
Задание третье: Простые производные
Задание третье: Правила продукта и доли
Задание третье: Цепное правило
Лицензия Creative Commons Site License (мини)
простых производных с PyTorch – KDnuggets
Производные с PyTorch просты.
Как и многие другие библиотеки нейронных сетей, PyTorch включает пакет автоматического дифференцирования, autograd , который выполняет тяжелую работу. Но производные с PyTorch кажутся особенно простыми.
Одна из вещей, которые мне хотелось бы иметь, когда я впервые узнал о том, как производные и практические реализации нейронных сетей сочетаются друг с другом, были конкретные примеры использования таких пакетов нейронных сетей для поиска простых производных и выполнения над ними вычислений отдельно от графов вычислений в нейронных сетях.Архитектура PyTorch упрощает такие педагогические примеры.
Я не могу сказать, будет ли это полезно для людей, которые хотят увидеть, как PyTorch реализует автоматическое дифференцирование, как практически вычислять производные или даже узнать, что означает «поиск производной», но давайте все равно попробуем. Есть шанс, что это бесполезно ни для одного из них. 🙂
Сначала нам понадобится функция, для которой нужно найти производную. Условно воспользуемся этим:
Здесь следует вспомнить, что производную функции можно интерпретировать как наклон касательной к кривой, представленной нашей функцией, а также как скорость изменения функции.
Прежде чем использовать PyTorch для нахождения производной от этой функции, давайте сначала разберемся с ней вручную:
Это производная первого порядка нашей исходной функции.
Теперь давайте найдем значение нашей производной функции для данного значения x . Возьмем произвольно 2 :
Решение нашей производной функции для x = 2 дает 233 .Это можно интерпретировать как скорость изменения y по отношению к x в нашей формуле 233, когда x = 2 .
Использование autograd для поиска и решения производной
Как мы можем сделать то же самое с пакетом PyTorch autograd ?
Во-первых, должно быть очевидно, что мы должны представить нашу исходную функцию в Python как таковую:
у = 5 * х ** 4 + 3 * х ** 3 + 7 * х ** 2 + 9 * х - 5
импортная горелка x = фонарик.![]()
