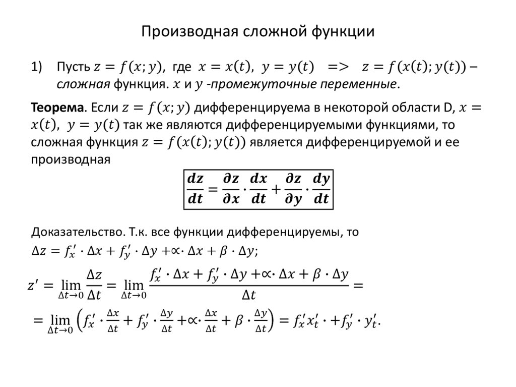
1 2 производная
Вы искали 1 2 производная? На нашем сайте вы можете получить ответ на любой математический вопрос здесь. Подробное решение с описанием и пояснениями поможет вам разобраться даже с самой сложной задачей и 1 2x 2 производная, не исключение. Мы поможем вам подготовиться к домашним работам, контрольным, олимпиадам, а так же к поступлению в вуз. И какой бы пример, какой бы запрос по математике вы не ввели – у нас уже есть решение. Например, «1 2 производная».
Применение различных математических задач, калькуляторов, уравнений и функций широко распространено в нашей
жизни. Они используются во многих расчетах, строительстве сооружений и даже спорте. Математику человек
использовал еще в древности и с тех пор их применение только возрастает. Однако сейчас наука не стоит на
месте и мы можем наслаждаться плодами ее деятельности, такими, например, как онлайн-калькулятор, который
может решить задачи, такие, как 1 2 производная,1 2x 2 производная,1 2x производная,1 3 х 3 производная,1 3x 3 производная,1 4 x производная,1 sin 2x производная,1 x 2 производная,1 x 3 производная,1 x 5 производная,1 x производная,1 найти производную функции 1 2,1 х 2 производная,1 х 3 производная,1 х производная,2 3 x производная,2 4x производная,2 x sinx производная,2 x sqrt x производная,2 x производная,2 производная от,2 х производная,2x 1 2 производная,2x 2 2x 1 производная,2x 2 производная,2x 3 производная,2x производная,2х производная,3 2x производная,3 sin x производная,3 sinx производная,3 x 2 производная,3 x производная,3 в степени x производная,3 производная,3 х 2 производная,3 х производная,3sinx производная,3x 2 производная,3x производная,3х производная,4 x 2 производная,4 x производная,4 в степени х производная,4 производная,4 х 2 производная,4 х производная,4x 2 производная,4x производная,4х производная,5 x производная,5 в степени х производная,5 х производная,5x производная,5х производная,6 x производная,7 x производная,8 x производная,a x производная,arccos x производная,arcsin 2 x производная,arcsin 2x производная,arcsin x 2 производная,ctg 2 x производная,ctg 2x производная,ctg x 2 производная,e x 1 производная,f x 1 x решение,f x 2x 2 y 2 x,f x y x 2,f x как найти,f x калькулятор,f x калькулятор онлайн,f x корень x 3,f x найти,f x производная,f x производная функции,f х 2 х,ln y x производная,mathsolution производная,sin x 3 производная,sinx 3 производная,sinx x 2 производная,tg 3 2x производная,x 1 2 x 4 производная,x 1 2 производная,x 1 3 производная,x 1 в квадрате производная,x 2 1 производная,x 2 3 производная,x 2 4 x производная,x 2 4 производная,x 2 sinx производная,x 2 sqrt x производная,x 2 производная,x 2x 2 производная,x 3 2 x производная,x 3 2 производная,x 3 4 производная,x 3 производная,x 4 2 производная,x 4 производная,x 5 производная,x 7 производная,x 8 производная,x sqrt x производная,x y производная,x в 3 степени производная,x в степени 3 производная,x производная,y 1 x 1 2x 3 производная,y 1 x 2 найти производную,y 1 x 2 производная,y 1 x 3 производная,y 1 x производная,y 2 x производная,y 2x 3 производная,y 3 2x производная,y 3 x производная,y 5 x производная,y 6 x производная,y cos 2x найти производную,y x 1 x найти производную функции,y x 1 x производная,y x 1 производная,y x 2 1 найти производную,y x 2 ln x производная,y x 2 корень из x производная,y x 2 найти производную,y x 2 производная,y x 3 2x 2 x 2 производную,y x 3 x производная,y x 3 производная,y x 4 x производная,y x 5 найдите производную функции,y x 5 производная,y x 6 производная,y x arcsin x найти производную,y x arcsin x производная,y x arctg x производная,y x cos x производная,y x e x найти производную,y x e x производная,y x sin x найти производную,y x производная,y производная,а х производная,бесплатно найти производную функции онлайн с подробным решением бесплатно,взятие производной онлайн,взять производную,взять производную онлайн,вычисление производной,вычисление производной онлайн,вычисление производной онлайн функции,вычисление производной функции,вычисление производной функции онлайн,вычисление производных,вычисление производных онлайн,вычисление производных функций,вычисление производных функций онлайн,вычисление функции производной онлайн,вычисления производных,вычисления производных калькулятор,вычислите значение производной функции,вычислите производную функции,вычислить производную,вычислить производную онлайн,вычислить производную онлайн с подробным решением бесплатно,вычислить производную с подробным решением онлайн,вычислить производную функции,вычислить производную функции онлайн,вычислить производную функции онлайн с подробным решением,вычислить производные функции онлайн с решением,дифференциация онлайн,дифференцирование калькулятор онлайн,дифференцирование онлайн,дифференцирование онлайн калькулятор,дифференцирование сложной функции онлайн,дифференцирование функции онлайн,знайти похідну,знайти похідну онлайн,знайти похідну функції,знайти похідну функції онлайн калькулятор,икс производная,как найти производную функции калькулятор онлайн,как найти производную функции онлайн калькулятор,калькулятор f x,калькулятор дифференцирования,калькулятор найти производную,калькулятор найти производную функции,калькулятор онлайн найти производную функции,калькулятор онлайн найти с решением производную функции,калькулятор онлайн похідних,калькулятор онлайн приращение функции,калькулятор онлайн производная с решением,калькулятор онлайн производной,калькулятор онлайн производной функции,калькулятор онлайн производных,калькулятор онлайн производных с решением,калькулятор онлайн производных функций,калькулятор онлайн производных функций с решением,калькулятор онлайн решение производных,калькулятор похідних,калькулятор похідних онлайн,калькулятор производная,калькулятор производная сложной функции,калькулятор производная функции,калькулятор производной,калькулятор производной онлайн,калькулятор производной онлайн с решением,калькулятор производной сложной функции,калькулятор производной функции,калькулятор производной функции онлайн,калькулятор производной функции онлайн с решением,калькулятор производные,калькулятор производные функции,калькулятор производные функции онлайн,калькулятор производный,калькулятор производных,калькулятор производных онлайн,калькулятор производных онлайн решение,калькулятор производных онлайн с подробным решением,калькулятор производных онлайн с решением,калькулятор производных решение онлайн,калькулятор производных с решением,калькулятор производных с решением онлайн,калькулятор производных сложных,калькулятор производных сложных функций,калькулятор производных функций,калькулятор производных функций онлайн,калькулятор производных функций онлайн с подробным решением,калькулятор производных функций онлайн с решением,калькулятор производных функций с решением,калькулятор производных функций с решением онлайн,калькулятор решение производных онлайн,калькулятор с решением производных,калькулятор сложной производной функции,калькулятор сложной функции производная,калькулятор сложных производных,калькулятор сложных производных функций,калькулятор сложных функций онлайн,логарифмическое дифференцирование онлайн калькулятор с решением,найдите производную,найдите производную заданной функции y x корень из x,найдите производную функции,найдите производную функции f x,найдите производную функции f x 1 3x 3 x 2 2x,найдите производную функции f x 2 3x 3 2x 2 x,найдите производную функции f x 3 2x x,найдите производную функции f x 3 x,найдите производную функции f x 3 x 2 3,найдите производную функции h x ex 4×2,найдите производную функции x sin x,найдите производную функции y,найдите производную функции y 3 x,найдите производную функции y 4 x,найдите производную функции y 5 x,найдите производную функции y x 2 x,найдите производную функции y x 3,найдите производную функции y x 3 cosx,найдите производную функции y x6 4sinx,найдите производную функции в точке х0,найдите производную функции онлайн,найдите производную функции онлайн с решением,найдите производную функцию,найдите производную функцию f x,найдите производные следующих функций,найдите производные функций,найти f x,найти f от x онлайн,найти y,найти y производную онлайн,найти значение производной,найти значение производной функции,найти значение производной функции в точке онлайн,найти значение производной функции в точке х0 онлайн,найти онлайн,найти онлайн производную функцию,найти первую производную функции,найти первую производную функции онлайн,найти первые производные функций онлайн,найти приращение функции онлайн калькулятор,найти производная,найти производная онлайн,найти производную,найти производную 3 x,найти производную x 1 x,найти производную x 3,найти производную x e x,найти производную x sin x,найти производную y 1 x 2,найти производную y sinx cosx,найти производную y x 3 x 2 x 1,найти производную y x e x,найти производную y x корень из x,найти производную y онлайн,найти производную в точке,найти производную и дифференциал функции онлайн,найти производную калькулятор,найти производную калькулятор онлайн,найти производную онлайн,найти производную онлайн y,найти производную онлайн калькулятор,найти производную онлайн с подробным решением,найти производную онлайн с решением,найти производную от функции онлайн,найти производную сложной функции онлайн,найти производную сложной функции онлайн с подробным решением,найти производную функции,найти производную функции x 2 x,найти производную функции x 3 x,найти производную функции y,найти производную функции y x 2 x,найти производную функции y x 3 y,найти производную функции в точке,найти производную функции в точке x0,найти производную функции в точке онлайн,найти производную функции калькулятор,найти производную функции калькулятор онлайн с решением,найти производную функции онлайн,найти производную функции онлайн в точке,найти производную функции онлайн калькулятор,найти производную функции онлайн калькулятор с подробным решением,найти производную функции онлайн калькулятор с подробным решением бесплатно,найти производную функции онлайн калькулятор с решением,найти производную функции онлайн с подробным решением бесплатно,найти производную функции онлайн с подробным решением бесплатно калькулятор,найти производную функции онлайн с решением,найти производную функции с решением онлайн,найти производную функции сложной онлайн с подробным решением,найти производную функцию,найти производную функцию онлайн,найти производные,найти производные данных функций,найти производные данных функций решение онлайн калькулятор,найти производные онлайн,найти производные следующих функций,найти производные следующих функций онлайн калькулятор с решением,найти производные функции,найти производные функции онлайн,найти производные функции онлайн с подробным решением,найти производные функций,найти производные функций калькулятор онлайн,найти производные функций онлайн,найти производные функций онлайн калькулятор,найти функцию,нахождение производной,нахождение производной онлайн,нахождение производной онлайн с подробным решением,нахождение производной сложной функции онлайн с решением,нахождение производной функции,нахождение производной функции онлайн,нахождение производных онлайн,нахождения производной калькулятор,онлайн взятие производной,онлайн вычисление производной,онлайн вычисление производной функции,онлайн вычисление производных,онлайн вычисление производных функций,онлайн дифференцирование,онлайн дифференцирование сложной функции,онлайн дифференцирование функции,онлайн калькулятор дифференцирование,онлайн калькулятор знайти похідну функції,онлайн калькулятор найти производную,онлайн калькулятор найти производную функции,онлайн калькулятор найти производную функции с подробным решением бесплатно,онлайн калькулятор похідних,онлайн калькулятор приращение функции,онлайн калькулятор производная функции,онлайн калькулятор производная функция,онлайн калькулятор производной,онлайн калькулятор производной функции,онлайн калькулятор производной функции с решением,онлайн калькулятор производные,онлайн калькулятор производные сложных функций,онлайн калькулятор производных,онлайн калькулятор производных решение,онлайн калькулятор производных с подробным решением,онлайн калькулятор производных с решением,онлайн калькулятор производных функций,онлайн калькулятор производных функций с подробным решением,онлайн калькулятор производных функций с решением,онлайн калькулятор решение производных,онлайн калькулятор сложных функций,онлайн найти производную функцию,онлайн найти производные,онлайн нахождение производной,онлайн нахождение производной функции,онлайн похідна,онлайн продифференцировать функцию,онлайн производная от функции,онлайн производная решение,онлайн производная с решением,онлайн производная сложной функции,онлайн производная функция,онлайн производные решение,онлайн производные с подробным решением,онлайн производные с решением,онлайн производные сложных функций,онлайн производные функции,онлайн расчет производной,онлайн расчет производных,онлайн решение производной,онлайн решение производной функции,онлайн решение производные,онлайн решение производных,онлайн решение производных калькулятор,онлайн решение производных с подробным решением,онлайн решение производных функций,онлайн решение производных функций с подробным решением,онлайн сложная производная,онлайн считать производную,первая производная онлайн,поиск производной,поиск производной онлайн,посчитать производную,посчитать производную онлайн,похідна,похідна онлайн,похідна функції калькулятор онлайн,похідна функції онлайн калькулятор,приращение функции калькулятор онлайн,приращение функции онлайн калькулятор,продифференцировать функцию онлайн,продифференцировать функцию онлайн с решением,производная 1,производная 1 2,производная 1 2 x,производная 1 2 х,производная 1 2x,производная 1 2x 2,производная 1 3 х,производная 1 3 х 3,производная 1 3x 3,производная 1 sqrt x,производная 1 x,производная 1 x 2,производная 1 x 3,производная 1 x 4,производная 1 x 5,производная 1 x в квадрате,производная 1 делить на х,производная 1 х,производная 1 х 2,производная 1 х 3,производная 1 х в квадрате,производная 10 в 10 степени,производная 2,производная 2 1,производная 2 2x,производная 2 3x,производная 2 arcsin x,производная 2 x,производная 2 x 2 2x,производная 2 x 3,производная 2 х,производная 2 х 3,производная 2 х у х,производная 2x,производная 2x 1,производная 2x 1 2,производная 2x 2,производная 2x 3,производная 2х,производная 3,производная 3 2 x,производная 3 2x,производная 3 sinx,производная 3 x,производная 3 x 2,производная 3 x cosx,производная 3 в степени x,производная 3 в степени х,производная 3 х,производная 3 х 1,производная 3 х 2,производная 3x,производная 3x 2,производная 3х,производная 4,производная 4 3 x,производная 4 x,производная 4 x 2,производная 4 x 3,производная 4 в степени х,производная 4 х,производная 4 х 2,производная 4 х корень из х,производная 4x,производная 4x 2,производная 5 2 x,производная 5 x,производная 5 x y,производная 5 в степени х,производная 5 х,производная 5x,производная 5х,производная 6 x,производная 6 х,производная 7 x,производная 8 x,производная a b x,производная a x,производная arcsin 2 x,производная arcsin 2x,производная arcsin x 2,производная cosx x,производная ctg 2x,производная ctg x 2,производная e 1 x,производная e 2x,производная e x 2,производная e x sinx,производная f x,производная f x 2 x,производная sin 1 x,производная sin x 1,производная sin x 3,производная sin x 3 x,производная sin корень из 2 на икс,производная sinx 2 x,производная sinx 3,производная sinx e x,производная x,производная x 1,производная x 1 2,производная x 1 3,производная x 1 в квадрате,производная x 2,производная x 2 1,производная x 2 2x,производная x 2 3,производная x 2 4,производная x 2 4 x,производная x 2 ctg x,производная x 2 e x,производная x 2 sinx,производная x 2 sqrt x,производная x 2 x 3,производная x 2 y,производная x 2 в квадрате,производная x 3,производная x 3 1,производная x 3 2,производная x 3 4,производная x 3 sin x,производная x 3 y,производная x 3 корень x,производная x 3 корень из x,производная x 4,производная x 4 2,производная x 4 3 x,производная x 5,производная x 6,производная x 7,производная x 8,производная x a,производная x arctg x,производная x sin x 3,производная x sqrt x,производная x sqrt x 2,производная x y,производная x y 2,производная x в квадрате 1,производная x в степени 2,производная x в степени 3,производная x корень из 2,производная x корень из x 3,производная y,производная y 1 x,производная y 1 x 2,производная y 1 x 3,производная y 2 x,производная y 2x 3,производная y 3 2x,производная y 3 x,производная y 4 x,производная y 5 x,производная y e y,производная y x,производная y x 2 1,производная y x 3,производная y x 5,производная y x 6,производная y x arcsin x,производная y x cos x,производная y x e x,производная y x lnx,производная а х,производная в точке онлайн,производная дроби онлайн,производная калькулятор,производная калькулятор онлайн,производная калькулятор онлайн с решением,производная квадратного уравнения,производная корень из 3 x 3,производная найти,производная найти онлайн,производная онлайн,производная онлайн в точке,производная онлайн в точке онлайн,производная онлайн дроби,производная онлайн калькулятор,производная онлайн калькулятор с подробным,производная онлайн калькулятор с подробным решением,производная онлайн калькулятор с решением,производная онлайн найти,производная онлайн решение,производная онлайн с подробным решением,производная онлайн с подробным решением калькулятор,производная онлайн с решением,производная онлайн с решением калькулятор,производная онлайн сложная,производная от,производная от 1,производная от 1 x,производная от 1 x 2,производная от 1 x 2 1,производная от 1 х,производная от 1 х 2,производная от 2,производная от 2 x,производная от 2 x 2,производная от 2 x 3,производная от 2 х,производная от 2x,производная от 2х,производная от 3,производная от 3 x,производная от 3 x 2,производная от 3 x 3,производная от 3x,производная от 3х,производная от 4 x,производная от 5 x,производная от 5x,производная от x,производная от x 1,производная от x 1 2,производная от x 2,производная от x 2 1,производная от x 2 3,производная от x 3,производная от x 3 2,производная от x 4,производная от x 5,производная от x sinx,производная от x в степени x 2,производная от y,производная от икса,производная от у,производная от функции онлайн,производная от х,производная от х 1,производная от х 1 2,производная от х 2,производная от х 2 1,производная от х в 2 степени,производная от х в степени 3,производная от х равна,производная от х синус х,производная отрицательного числа,производная решение онлайн,производная с,производная сложная онлайн,производная сложной функции калькулятор,производная сложной функции калькулятор онлайн,производная сложной функции онлайн,производная сложной функции онлайн калькулятор,производная сложной функции онлайн калькулятор с подробным решением,производная у,производная у х 1 х,производная функции 1 x 1,производная функции f x,производная функции y 2x в точке x0 1 равна,производная функции калькулятор,производная функции калькулятор онлайн,производная функции калькулятор онлайн с решением,производная функции онлайн,производная функции онлайн калькулятор,производная функции онлайн калькулятор с подробным решением,производная функции онлайн калькулятор с решением,производная функции онлайн решение,производная функции равна,производная функции решение онлайн,производная функция калькулятор онлайн,производная функция онлайн,производная функция онлайн калькулятор,производная х,производная х 1,производная х 1 2,производная х 1 в квадрате,производная х 2,производная х 2 1,производная х 2 3,производная х 2 х 3,производная х 3,производная х 3 1,производная х 3 2,производная х 4,производная х 5,производная х 6,производная х а,производная х в 5 степени,производная х в степени 1 х,производная х в степени 3,производная х в степени 4,производная х в степени 5,производная х по х,производная х3,производной сложной функции калькулятор,производной функции калькулятор,производной функции онлайн калькулятор,производной функции решение онлайн,производную,производную взять,производную онлайн,производную посчитать,производные калькулятор,производные калькулятор онлайн,производные онлайн,производные онлайн калькулятор,производные онлайн калькулятор с подробным решением,производные онлайн решение,производные онлайн с подробным решением,производные онлайн с решением,производные первого порядка онлайн калькулятор,производные решение онлайн,производные с решением онлайн,производные сложные онлайн,производные сложных функций онлайн,производные сложных функций онлайн калькулятор,производные функции калькулятор,производные функции онлайн,производные функции онлайн калькулятор,производные функции онлайн калькулятор с подробным решением,производные функций калькулятор онлайн,производные функций онлайн калькулятор,производный калькулятор,производных,рассчитать производную онлайн,расчет производной,расчет производной онлайн,расчет производных онлайн,решение онлайн производная,решение онлайн производной функции,решение онлайн производных функций,решение производная онлайн,решение производная функции онлайн,решение производной онлайн,решение производной онлайн с подробным решением бесплатно,решение производной функции онлайн,решение производные онлайн,решение производных,решение производных калькулятор онлайн,решение производных онлайн,решение производных онлайн бесплатно с подробным решением,решение производных онлайн калькулятор,решение производных онлайн с подробным решением,решение производных онлайн с подробным решением бесплатно,решение производных онлайн с подробным решением онлайн,решение производных функций,решение производных функций онлайн,решение производных функций онлайн с подробным решением,решение сложных производных онлайн,решить производную,решить производную онлайн,решить производную онлайн с подробным решением,решить производную функции онлайн с решением,решить функцию онлайн с решением,сложные производные онлайн,у производная,х 1 2 производная,х 1 3 производная,х 2 3 производная,х 2 производная,х 3 производная,х 5 в 5 степени производная,х 5 производная,х 6 производная,х в 3 степени производная,х в 4 степени производная,х в 5 степени производная,х в квадрате 1 производная,х в степени 4 производная,х в степени 5 производная,х3 производная.
Где можно решить любую задачу по математике, а так же 1 2 производная Онлайн?
Решить задачу 1 2 производная вы можете на нашем сайте https://pocketteacher.ru. Бесплатный онлайн решатель позволит решить онлайн задачу любой сложности за считанные секунды. Все, что вам необходимо сделать – это просто ввести свои данные в решателе. Так же вы можете посмотреть видео инструкцию и узнать, как правильно ввести вашу задачу на нашем сайте. А если у вас остались вопросы, то вы можете задать их в чате снизу слева на странице калькулятора.
Найти производную функции f x 2 x
Этот математический калькулятор онлайн поможет вам если нужно найти производную функции.
Программа решения производной не просто даёт ответ задачи, она приводит подробное решение с пояснениями, т.е. отображает процесс решения производной функции.
Данная программа может быть полезна учащимся старших классов общеобразовательных школ при подготовке к контрольным работам и экзаменам, при проверке знаний перед ЕГЭ, родителям для контроля решения многих задач по математике и алгебре. А может быть вам слишком накладно нанимать репетитора или покупать новые учебники? Или вы просто хотите как можно быстрее сделать домашнее задание по математике или алгебре? В этом случае вы также можете воспользоваться нашими программами с подробным решением.
Таким образом вы можете проводить своё собственное обучение и/или обучение своих младших братьев или сестёр, при этом уровень образования в области решаемых задач повышается.
Вы можете посмотреть теорию о производной функции и правила дифференцирования и таблицу производных, т.е. список формул для нахождения производных от некоторых элементарных функций.
Если вам нужно найти уравнение касательной к графику функции, то для этого у нас есть задача Уравнение касательной к графику функции.
Обязательно ознакомьтесь с правилами ввода функций. Это сэкономит ваше время и нервы.
Т.к. желающих решить задачу очень много, ваш запрос поставлен в очередь.
Определение. Пусть функция определена в некотором интервале, содержащем внутри себя точку . Дадим аргументу приращение такое, чтобы не выйти из этого интервала. Найдем соответствующее приращение функции (при переходе от точки к точке ) и составим отношение . Если существует предел этого отношения при , то указанный предел называют производной функции в точке и обозначают .
Для обозначения производной часто используют символ y’. Отметим, что y’ = f(x) – это новая функция, но, естественно, связанная с функцией y = f(x), определенная во всех точках x, в которых существует указанный выше предел. Эту функцию называют так: производная функции у = f(x).
Геометрический смысл производной состоит в следующем. Если к графику функции у = f(x) в точке с абсциссой х=a можно провести касательную, непараллельную оси y, то f(a) выражает угловой коэффициент касательной:
А теперь истолкуем определение производной с точки зрения приближенных равенств. Пусть функция имеет производную в конкретной точке :
2. Дать аргументу приращение , перейти в новую точку , найти
Если функция у = f(x) имеет производную в точке х, то ее называют дифференцируемой в точке х. Процедуру нахождения производной функции у = f(x) называют дифференцированием функции у = f(x).
Обсудим такой вопрос: как связаны между собой непрерывность и дифференцируемость функции в точке.
Пусть функция у = f(x) дифференцируема в точке х. Тогда к графику функции в точке М(х; f(x)) можно провести касательную, причем, напомним, угловой коэффициент касательной равен f'(x). Такой график не может «разрываться» в точке М, т. е. функция обязана быть непрерывной в точке х.
Это были рассуждения «на пальцах». Приведем более строгое рассуждение. Если функция у = f(x) дифференцируема в точке х, то выполняется приближенное равенство . Если в этом равенстве устремить к нулю, то и будет стремиться к нулю, а это и есть условие непрерывности функции в точке.
Итак, если функция дифференцируема в точке х, то она и непрерывна в этой точке.
Обратное утверждение неверно. Например: функция у = |х| непрерывна везде, в частности в точке х = 0, но касательная к графику функции в «точке стыка» (0; 0) не существует. Если в некоторой точке к графику функции нельзя провести касательную, то в этой точке не существует производная.
Еще один пример. Функция непрерывна на всей числовой прямой, в том числе в точке х = 0. И касательная к графику функции существует в любой точке, в том числе в точке х = 0. Но в этой точке касательная совпадает с осью у, т. е. перпендикулярна оси абсцисс, ее уравнение имеет вид х = 0. Углового коэффициента у такой прямой нет, значит, не существует и
Итак, мы познакомились с новым свойством функции — дифференцируемостью.
А как по графику функции можно сделать вывод о ее дифференцируемости?
Ответ фактически получен выше. Если в некоторой точке к графику функции можно провести касательную, не перпендикулярную оси абсцисс, то в этой точке функция дифференцируема. Если в некоторой точке касательная к графику функции не существует или она перпендикулярна оси абсцисс, то в этой точке функция не дифференцируема.
Операция нахождения производной называется дифференцированием. При выполнении этой операции часто приходится работать с частными, суммами, произведениями функций, а также с «функциями функций», то есть сложными функциями. Исходя из определения производной, можно вывести правила дифференцирования, облегчающие эту работу. Если C — постоянное число и f=f(x), g=g(x) — некоторые дифференцируемые функции, то справедливы следующие правила дифференцирования:
Ряд сходится абсолютно
Чем график функции отличается от графика производной
f x sin2x cos2x найти производную
Автор admin На чтение 7 мин.
2)’= 2 * (соs (x)) * (sin (x)) – 2 * (sin (x)) * (соs (x)) = 0.
Ответ: Наша производная будет выглядеть так f(x)’ = 2 * (соs (x)) * (sin (x)) – 2 * (sin (x)) * (соs (x)) = 0.
[email protected] Выход
Этот математический калькулятор онлайн поможет вам если нужно найти производную функции. Программа решения производной не просто даёт ответ задачи, она приводит подробное решение с пояснениями, т.е. отображает процесс решения производной функции.
Данная программа может быть полезна учащимся старших классов общеобразовательных школ при подготовке к контрольным работам и экзаменам, при проверке знаний перед ЕГЭ, родителям для контроля решения многих задач по математике и алгебре. А может быть вам слишком накладно нанимать репетитора или покупать новые учебники? Или вы просто хотите как можно быстрее сделать домашнее задание по математике или алгебре? В этом случае вы также можете воспользоваться нашими программами с подробным решением.
Таким образом вы можете проводить своё собственное обучение и/или обучение своих младших братьев или сестёр, при этом уровень образования в области решаемых задач повышается.
Вы можете посмотреть теорию о производной функции и правила дифференцирования и таблицу производных, т.е. список формул для нахождения производных от некоторых элементарных функций.
Если вам нужно найти уравнение касательной к графику функции, то для этого у нас есть задача Уравнение касательной к графику функции.
Обязательно ознакомьтесь с правилами ввода функций. Это сэкономит ваше время и нервы.
Правила ввода функций >> Почему решение на английском языке? >> С 9 января 2019 года вводится новый порядок получения подробного решения некоторых задач. Ознакомтесь с новыми правилами >> —> Введите выражение функции Найти производную функции f(x)
В решении ошибка
Если вы считаете, что задача решена не правильно, то нажмите на эту кнопку.
Определение производной
Определение. Пусть функция ( y = f(x) ) определена в некотором интервале, содержащем внутри себя точку ( x_0 ). Дадим аргументу приращение ( Delta x ) такое, чтобы не выйти из этого интервала. Найдем соответствующее приращение функции ( Delta y ) (при переходе от точки ( x_0 ) к точке ( x_0 + Delta x ) ) и составим отношение ( frac). Если существует предел этого отношения при ( Delta x
ightarrow 0 ), то указанный предел называют производной функции ( y=f(x) ) в точке ( x_0 ) и обозначают ( f'(x_0) ).
Для обозначения производной часто используют символ y’. Отметим, что y’ = f(x) — это новая функция, но, естественно, связанная с функцией y = f(x), определенная во всех точках x, в которых существует указанный выше предел. Эту функцию называют так: производная функции у = f(x).
Геометрический смысл производной состоит в следующем. Если к графику функции у = f(x) в точке с абсциссой х=a можно провести касательную, непараллельную оси y, то f(a) выражает угловой коэффициент касательной:
( k = f'(a) )
Поскольку ( k = tg(a) ), то верно равенство ( f'(a) = tg(a) ) .
2 ) справедливо приближенное равенство ( Delta y approx 2x cdot Delta x ). Если внимательно проанализировать определение производной, то мы обнаружим, что в нем заложен алгоритм ее нахождения.
Как найти производную функции у = f(x) ?
1. Зафиксировать значение ( x ), найти ( f(x) )
2. Дать аргументу ( x ) приращение ( Delta x ), перейти в новую точку ( x+ Delta x ), найти ( f(x+ Delta x) )
3. Найти приращение функции: ( Delta y = f(x + Delta x) — f(x) )
4. Составить отношение ( frac)
5. Вычислить $$ lim_ frac$$
Этот предел и есть производная функции в точке x.
Если функция у = f(x) имеет производную в точке х, то ее называют дифференцируемой в точке х. Процедуру нахождения производной функции у = f(x) называют дифференцированием функции у = f(x).
Обсудим такой вопрос: как связаны между собой непрерывность и дифференцируемость функции в точке.
Пусть функция у = f(x) дифференцируема в точке х. Тогда к графику функции в точке М(х; f(x)) можно провести касательную, причем, напомним, угловой коэффициент касательной равен f'(x).
Такой график не может «разрываться» в точке М, т. е. функция обязана быть непрерывной в точке х.
Это были рассуждения «на пальцах». Приведем более строгое рассуждение. Если функция у = f(x) дифференцируема в точке х, то выполняется приближенное равенство ( Delta y approx f'(x) cdot Delta x ). Если в этом равенстве ( Delta x ) устремить к нулю, то и ( Delta y ) будет стремиться к нулю, а это и есть условие непрерывности функции в точке.
Итак, если функция дифференцируема в точке х, то она и непрерывна в этой точке.
Обратное утверждение неверно. Например: функция у = |х| непрерывна везде, в частности в точке х = 0, но касательная к графику функции в «точке стыка» (0; 0) не существует. Если в некоторой точке к графику функции нельзя провести касательную, то в этой точке не существует производная.
Еще один пример. Функция ( y=sqrt[3] ) непрерывна на всей числовой прямой, в том числе в точке х = 0. И касательная к графику функции существует в любой точке, в том числе в точке х = 0.
Но в этой точке касательная совпадает с осью у, т. е. перпендикулярна оси абсцисс, ее уравнение имеет вид х = 0. Углового коэффициента у такой прямой нет, значит, не существует и ( f'(0) )
Итак, мы познакомились с новым свойством функции — дифференцируемостью. А как по графику функции можно сделать вывод о ее дифференцируемости?
Ответ фактически получен выше. Если в некоторой точке к графику функции можно провести касательную, не перпендикулярную оси абсцисс, то в этой точке функция дифференцируема. Если в некоторой точке касательная к графику функции не существует или она перпендикулярна оси абсцисс, то в этой точке функция не дифференцируема.
Правила дифференцирования
Операция нахождения производной называется дифференцированием. При выполнении этой операции часто приходится работать с частными, суммами, произведениями функций, а также с «функциями функций», то есть сложными функциями. Исходя из определения производной, можно вывести правила дифференцирования, облегчающие эту работу.
Если C — постоянное число и f=f(x), g=g(x) — некоторые дифференцируемые функции, то справедливы следующие правила дифференцирования:
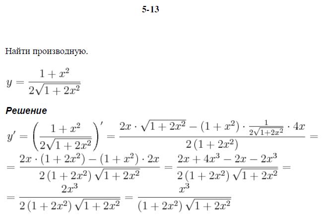
Решение
Применим правило производной частного:
Производная косинус есть минус синус:
Затем примените цепочку правил. Умножим на :
Производная произведения константы на функцию есть произведение этой константы на производную данной функции.
В силу правила, применим: получим
Таким образом, в результате:
В результате последовательности правил:
Производная синуса есть косинус:
Затем примените цепочку правил. Умножим на :
Производная произведения константы на функцию есть произведение этой константы на производную данной функции.
В силу правила, применим: получим
Таким образом, в результате:
В результате последовательности правил:
В силу правила, применим: получим
Теперь применим правило производной деления:
Калькулятор онлайн. Найти (с решением) производную функции.
График функцииПриведены график и основные свойства экспоненты (е в степени х): область определения, множество значений, основные формулы, производная, интеграл, разложение в степенной ряд, действия с комплексными числами.
Определение
Частные значения
Пусть y(x)
= e x
.
Тогда
.
Экспонента обладает свойствами показательной функции с основанием степени е > 1 .
Область определения, множество значений
Экспонента y(x)
= e x
определена для всех x
.
Ее область определения:
– ∞ Ее множество значений:
0
.
Экстремумы, возрастание, убывание
Экспонента является монотонно возрастающей функцией, поэтому экстремумов не имеет. Основные ее свойства представлены в таблице.
Обратная функция
Обратной для экспоненты является натуральный логарифм .
;
.
Производная экспоненты
Производная е в степени х равна е в степени х :
.
Производная n-го порядка:
.
Вывод формул > > >
Интеграл
Комплексные числа
Действия с комплексными числами осуществляются при помощи формулы Эйлера :
,
где есть мнимая единица:
.
Выражения через гиперболические функции
;
;
.
Выражения через тригонометрические функции
;
;
;
.
Разложение в степенной ряд
Использованная литература:
И.Н. Бронштейн, К.А. Семендяев, Справочник по математике для инженеров и учащихся втузов, «Лань», 2009.
Свойства функций играют важную роль при их изучении. Они позволяют делать определенные выводы о функциях. Изучение данной темы крайне важно для обучающихся, особенно старших классов. Это связано с тем,что задания по данной теме довольно часто встречаются в КИМ государственной итоговой аттестации.
Видеоурок по теме «Свойства функции» разработан автором для облегчения работы учителя и его подготовки к урокам. Если использовать данный материал на уроках, то появится больше свободного времени, которое можно посвятить индивидуальному обучению или другим направлениям обучения математики в школе.
Длительность урока составляет 8:23 минут. Примерно столько же времени требуется учителю, чтобы объяснить материал на уроке, который длится 40-45 минут. При этому учитель успеет актуализировать знания обучающихся, повторить необходимый материал, просмотреть видеоурок, а затем еще и закрепить материал.
Рассмотрение материала начинается непосредственно с первого свойства, которое называется монотонность. Это понятие подробно расписывается на математическом языке, что способствует развитию математической грамотности обучающихся, а также словесно поясняется каждая запись на экране. Далее автор демонстрирует на рисунке, как выглядит монотонная функция для случаев возрастания и убывания. После этого дается определение монотонной функции. Здесь же дается правило для запоминания, которое связано с монотонностью функции. Далее предлагается рассмотреть эту теорию на примере. На рисунке изображен график, на экране последовательно выделяются промежутки возрастания и убывания. Показана и математическая запись этих промежутков.
Согласно условию другого примера, необходимо исследовать функцию на монотонность. Чтобы определить монотонность функции, автор воспользовался определением возрастающей и убывающей функции. В результате получается, что функция убывает на всей области определения.
Затем на экране демонстрируются примеры возрастающих функций на всей области определения.
Далее внимание обучающихся обращается ко второму свойству, которое называется ограниченностью. Рассмотрение этого свойства строится по аналогии с первым свойством. Рассматривается понятие ограниченности, все это иллюстрируется на рисунке, как ограниченность снизу, так и ограниченность сверху. Затем на экране появляется пример ограниченной функции.
Важными понятиями в пункте ограниченность являются наибольшее и наименьшее значение функции. В качестве иллюстрации показан рисунок и идет подробное описание этих понятий.
После примера рассматривается третье свойство, которое называется выпуклостью. Это понятие иллюстрируется с помощью рисунка.
На данном свойстве автор не останавливается так же подробно, как на предыдущих. Он сразу переходит к четвертому свойству – непрерывности. Здесь вводится понятие непрерывной функции. После этого демонстрируется это свойство на рисунке с подробными пояснениями.
Далее рассматривается свойство четности и нечетности. И тут же объясняется, когда функция четная и нечетная. Объяснения сопровождаются иллюстрациями и подробными описаниями. Это показано на примерах двух функций.
И, наконец, рассматривается шестое свойство – периодичность. На нем автор не останавливается, отмечая, что примеры периодичных функций будут изучены в дальнейшем на уроках алгебры.
ТЕКСТОВАЯ РАСШИФРОВКА:
Первое свойство, которое мы рассмотрим -монотонность.
Внимание: во всех определениях рассматривается числовое множество икс большое – подмножество области определения функции.
Функция игрек равно эф от икс возрастает на множестве икс большое, которое является подмножеством области определения и если для любых икс первое из множества икс большое и икс второе из множества икс большое таких,что икс второе больше икс первого выполняется неравенство эф от икс второе больше эф от икс первое.
Другими словами – большему значению аргумента соответствует большее значение функции.
Функция игрек равно эф от икс убывает на промежутке икс большое которое является подмножеством областиопределения и если для любых икс первое из множества икс большое и икс второе из множества икс большое таких,что икс второе больше икс первого выполняется неравенство эф от икс второе меньше эф от икс первое. Другими словами – большему значению аргумента соответствует меньшее значение функции.
Функция игрек равно эф от икс называется монотонной на множестве икс большое, если она на этом промежутке или убывает или возрастает.
Запомни: если функция определена и непрерывна в концах интервала возрастания или убывания, то эти точки включаются в промежуток возрастания или убывания.
Например, функция, график которой изображен на рисунке, на промежутках
от минус бесконечности до минус пяти и от трех до плюс бесконечностивозрастает, а на промежутке от минус пяти до трех убывает.
Пример. Исследовать функцию на монотонность: игрек равен шесть минус два икс.
Введем обозначение: эф от икс равен шесть минус два икс.
Если икс первое меньше икс второе, то используя свойства числовых неравенств, имеем
Значит, заданная функция убывает на всей числовой прямой.
Существуют функции, являющиеся возрастающими на всей области определения, например, игрек равен ка икс плюс вэ при ка больше нуля, игрек равен икс в кубе.
Второе свойство – ограниченность.
Если все значения функции игрек равно эф от икс на множестве икс большое больше некоторого числа эм малое, то функцию игрек равно эф от икс называют ограниченной снизу на множестве икс большое из области определения.
Если все значения функции игрек равно эф от икс на множестве икс большое меньше некоторого числа эм большое, то функцию игрек равно эф от икс называют ограниченной сверху на множестве икс большое из области определения.
Запомни: если функция ограничена и сверху и снизу на всей области определения, то ее называют ограниченной.
По графику функции легко можно определить ее ограниченность.
Наибольшее значение функции обозначают игрек с индексом наибольшее. .
Игрик является наибольшим если:
Во -первых, существует точка икс нулевое из множества икс большое такая, что эф от икс нулевое равно эм большое;
Во – вторых,для любого значения икс из множества икс большое выполняется неравенство эф от икс меньше или равно эф от икс нулевое, то число эм большое называют наибольшим значением функции игрек равно эф от икс на множестве икс большое из области определения функции.
Наименьшее значение функции обозначают игрек с индексом наименьшее
Во -первых, существует точка икс нулевое из множества икс большое такая, что эф от икс нулевое равно эм;
Во – вторых,для любого значения икс из множества икс большое выполняется неравенство эф от икс больше или равно эф от икс нулевое,то число эм называют наименьшим значением функции игрек равно эф от икс на множестве икс большое из области определения функции
Полезно запомнить:
Если у функции существует наименьшее значение.
, то она ограничена снизу.
Если у функции существует наибольшее значение, то она ограничена сверху.
Рассмотрим пример. Найти наименьшее значение функции
Функция, график которой изображен на рисунке, ограничена снизу, наименьшее значение функции равно нулю, а наибольшего не существует, функция сверху неограниченна.
Третье свойство: выпуклость вверх, выпуклость вниз.
Если,соединить любые две точки графика функции с абсциссами из икс большое отрезком и соответствующая часть графика будет лежать ниже проведенного отрезка, то такая функция выпукла вниз на промежутке икс большое из области определения.
Если,соединить любые две точки графика функции с абсциссами из икс большое отрезком и соответствующая часть графика будет лежать выше проведенного отрезка, то такая функция выпукла вверх на промежутке икс большое из области определения.
четвертое свойство: непрерывность.
Функция называется непрерывной на промежутке, если она определена на этом промежутке и непрерывна в каждой точке этого промежутка.
Непрерывность функции на промежутке Х означает, что график функции на всей области определения сплошной, т.е. не имеет проколов и скачков.
пятое свойство: четность, нечетность.
Если область определения функции -симметричное множество и для любого х из области определения функции выполняется равенство f(-х)= f(х), то такая функция четная.
График четной функции симметричен относительно оси ординат.
Если область определения функции -симметричное множество и для любого х из области определения функции выполняется равенство f(-х)= -f(х), то такая функция нечетная.
График нечетной функции симметричен относительно начала координат.
Так же существуют функции, которые не являются ни четными, ни нечетными
шестое свойство: периодичность
примеры периодических функций будем рассматривать в дальнейшем
Если существует такое отличное от нуля число тэ большое, что для любого икс из области определения функции верно равенство эф от икс плюс тэ большое равно эф от икс и равно эф от икс минус тэ большое, то функция игрек равно эф от икс -периодическая. Число тэ большое – период функции игрек равно эф от икс
все тригонометрические функции периодические.
Операция отыскания производной называется дифференцированием.
В результате решения задач об отыскании производных у самых простых (и не очень простых) функций по определению производной как предела отношения приращения к приращению аргумента появились таблица производных и точно определённые правила дифференцирования. Первыми на ниве нахождения производных потрудились Исаак Ньютон (1643-1727) и Готфрид Вильгельм Лейбниц (1646-1716).
Поэтому в наше время, чтобы найти производную любой функции, не надо вычислять упомянутый выше предел отношения приращения функции к приращению аргумента, а нужно лишь воспользоваться таблицей производных и правилами дифференцирования. Для нахождения производной подходит следующий алгоритм.
Чтобы найти производную , надо выражение под знаком штриха разобрать на составляющие простые функции и определить, какими действиями (произведение, сумма, частное) связаны эти функции. Далее производные элементарных функций находим в таблице производных, а формулы производных произведения, суммы и частного – в правилах дифференцирования. Таблица производных и правила дифференцирования даны после первых двух примеров.
Пример 1. Найти производную функции
Решение. Из правил дифференцирования выясняем, что производная суммы функций есть сумма производных функций, т. е.
Из таблицы производных выясняем, что производная “икса” равна единице, а производная синуса – косинусу. Подставляем эти значения в сумму производных и находим требуемую условием задачи производную:
Пример 2. Найти производную функции
Решение. Дифференцируем как производную суммы, в которой второе слагаемое с постоянным множителем, его можно вынести за знак производной:
Если пока возникают вопросы, откуда что берётся, они, как правило, проясняются после ознакомления с таблицей производных и простейшими правилами дифференцирования. К ним мы и переходим прямо сейчас.
Таблица производных простых функций
Правила дифференцирования
| 1. Производная суммы или разности | |
| 2. Производная произведения | |
| 2a. Производная выражения, умноженного на постоянный множитель | |
| 3. Производная частного | |
| 4. Производная сложной функции |
Правило 1. Если функции
дифференцируемы в некоторой точке , то в той же точке дифференцируемы и функции
причём
т.е. производная алгебраической суммы функций равна алгебраической сумме производных этих функций.
Следствие. Если две дифференцируемые функции отличаются на постоянное слагаемое, то их производные равны , т.е.
Правило 2. Если функции
дифференцируемы в некоторой точке , то в то же точке дифференцируемо и их произведение
причём
т.е. производная произведения двух функций равна сумме произведений каждой из этих функций на производную другой.
Следствие 1. Постоянный множитель можно выносить за знак производной :
Следствие 2. Производная произведения нескольких дифференцируемых функций равна сумме произведений производной каждого из сомножителей на все остальные.
Например, для трёх множителей:
Правило 3. Если функции
дифференцируемы в некоторой точке и , то в этой точке дифференцируемо и их частное u/v , причём
т.е. производная частного двух функций равна дроби, числитель которой есть разность произведений знаменателя на производную числителя и числителя на производную знаменателя, а знаменатель есть квадрат прежнего числителя.
Где что искать на других страницах
При нахождении производной произведения и частного в реальных задачах всегда требуется применять сразу несколько правил дифференцирования, поэтому больше примеров на эти производные – в статье “Производная произведения и частного функций ” .
Замечание. Следует не путать константу (то есть, число) как слагаемое в сумме и как постоянный множитель! В случае слагаемого её производная равна нулю, а в случае постоянного множителя она выносится за знак производных. Это типичная ошибка, которая встречается на начальном этапе изучения производных, но по мере решения уже нескольких одно- двухсоставных примеров средний студент этой ошибки уже не делает.
А если при дифференцировании произведения или частного у вас появилось слагаемое u “v , в котором u – число, например, 2 или 5, то есть константа, то производная этого числа будет равна нулю и, следовательно, всё слагаемое будет равно нулю (такой случай разобран в примере 10).
Другая частая ошибка – механическое решение производной сложной функции как производной простой функции. Поэтому производной сложной функции посвящена отдельная статья. Но сначала будем учиться находить производные простых функций.
По ходу не обойтись без преобразований выражений. Для этого может потребоваться открыть в новых окнах пособия Действия со степенями и корнями и Действия с дробями .
Если Вы ищете решения производных дробей со степенями и корнями, то есть, когда функция имеет вид вроде , то следуйте на занятие “Производная суммы дробей со степенями и корнями “.
Если же перед Вами задача вроде , то Вам на занятие “Производные простых тригонометрических функций”.
Пошаговые примеры – как найти производную
Пример 3. Найти производную функции
Решение. Определяем части выражения функции: всё выражение представляет произведение, а его сомножители – суммы, во второй из которых одно из слагаемых содержит постоянный множитель. Применяем правило дифференцирования произведения: производная произведения двух функций равна сумме произведений каждой из этих функций на производную другой:
Далее применяем правило дифференцирования суммы: производная алгебраической суммы функций равна алгебраической сумме производных этих функций. В нашем случае в каждой сумме второе слагаемое со знаком минус. В каждой сумме видим и независимую переменную, производная которой равна единице, и константу (число), производная которой равна нулю. Итак, “икс” у нас превращается в единицу, а минус 5 – в ноль. Во втором выражении “икс” умножен на 2, так что двойку умножаем на ту же единицу как производную “икса”. Получаем следующие значения производных:
Подставляем найденные производные в сумму произведений и получаем требуемую условием задачи производную всей функции:
Пример 4. Найти производную функции
Решение. От нас требуется найти производную частного. Применяем формулу дифференцирования частного: производная частного двух функций равна дроби, числитель которой есть разность произведений знаменателя на производную числителя и числителя на производную знаменателя, а знаменатель есть квадрат прежнего числителя. Получаем:
Производную сомножителей в числителе мы уже нашли в примере 2. Не забудем также, что произведение, являющееся вторым сомножителем в числителе в текущем примере берётся со знаком минус:
Если Вы ищете решения таких задач, в которых надо найти производную функции, где сплошное нагромождение корней и степеней, как, например, , то добро пожаловать на занятие “Производная суммы дробей со степенями и корнями” .
Если же Вам нужно узнать больше о производных синусов, косинусов, тангенсов и других тригонометрических функций, то есть, когда функция имеет вид вроде , то Вам на урок “Производные простых тригонометрических функций” .
Пример 5. Найти производную функции
Решение. В данной функции видим произведение, один из сомножителей которых – квадратный корень из независимой переменной, с производной которого мы ознакомились в таблице производных. По правилу дифференцирования произведения и табличному значению производной квадратного корня получаем:
Пример 6. Найти производную функции
Решение. В данной функции видим частное, делимое которого – квадратный корень из независимой переменной. По правилу дифференцирования частного, которое мы повторили и применили в примере 4, и табличному значению производной квадратного корня получаем:
Чтобы избавиться от дроби в числителе, умножаем числитель и знаменатель на .
Урок по теме «Область определения и область значений функции» проводится в 10 классе в курсе алгебры и начал анализа. На объяснение материала по данной теме автор отводит 8:47 минут. этого времени достаточно для того, чтобы обучающиеся прослушали необходимую информацию, зафиксировали ее в своих тетрадях и поняли содержание материала. Примерно столько же времени затрачивает учитель на уроке при объяснении нового материала.
Автор позаботился об учителях, нагрузка которых итак достаточно велика, поэтому разработал данный видеоурок с учетом всех требований. То есть, урок соответствует возрасту обучающихся, их уровню образования и особенностей восприятия материала. Учителю останется лишь подобрать материал для закрепления новой информации, полученной из данного урока.
Урок начинается с информации о том, что функция задается вместе с областью определения. Далее автор определяет переменные xи y? как аргумент и значение функции соответственно. После этого вводятся определения понятий область определения функции и область значений функции.
Затем рассматривается пример, где функция задана графически, и необходимо определить ее область определения. Решение данного примера подробно расписывается на экране. Автор поясняет каждый момент, где обучающиеся могут допустить ошибки. Все объяснение сопровождается наглядной иллюстрацией на рисунке.
Далее автор переходит к пункту «Область определения рациональной функции». Для обучающихся говорится о том, что в область определения рациональных функций не входят те значения аргумента, которые обращают знаменатель в нуль. Это поясняется на случае общего написания рациональной функции.
Затем на этот случай рассматривается пример. Здесь необходимо найти область определения рациональной функции. Решение пример основано на той информации, которую только что автор поведал обучающимся. То есть, он находит все те значения, которые обращают знаменатель в нуль и исключает их из множества действительных чисел, получая, таким образом, область определения функции.
после этого предлагается рассмотреть еще один пример, где требуется найти область определения рациональной функции. Но здесь наблюдается следующая особенность: знаменатель дроби никогда не обращается в нуль. Поясняя это, автор делает вывод, что областью определения данной функции является множество действительных чисел. После этого примера предлагается запомнить закономерность, которая только что была использована в примере.
Далее автор переходит к пункту «Область определения иррациональной функции». Здесь важно запомнить то, что подкоренное выражение никогда не может быть отрицательным. Это подкрепляется математической интерпретацией на математической языке. Здесь же поясняется, что если иррациональное выражение в записи функции находится в знаменателе, то подкоренное выражение будет не просто неотрицательным, а строго положительным.
К этому материалу прилагается пример, где требуется найти область определения иррациональной функции. Решая неравенство: подкоренное выражение неотрицательно, автор получает значения аргумент, которые образуют область определения заданной функции.
Затем рассматривается область определения функции с натуральным логарифмом. Сначала дается теоретический экскурс по данному материалу, а затем приводится пример с подробным описанием каждого шага решения.
После всего теоретического материала автор предлагает рассмотреть три примера, где требуется найти область определения и область значений функции, заданной графически. Это можно использовать как небольшой элемент закрепления выданного только что материала.
Урок будет полезен не только учителям, но и обучающимся, которые занимаются самообразованием или пропустили урок по данной теме по определенным причинам. Из этого урока обучающиеся смогут почерпнуть не только теоретический материал, но и подкрепить полученные знания практическими упражнениями.
ТЕКСТОВАЯ РАСШИФРОВКА:
Область определения и область значений функции.
Из определения функции следует, что функция игрек равен эф от икс задается вместе с ее областью определения икс большое.
Для изучения этой темы нам необходимо вспомнить: как называется переменная икс? число у?
Независимую переменную икс называют аргументом функции, а число игрек, соответствующее числу икс, называют значением функции эф в точке икс и обозначают эф от икс
Какое множество называется областью определения функции?
Если нам дана функция у=f(х),то ее область определения – это множество значений «икс» , для которых существуют значения «игрек»и обозначают дэ большое от эф.
Область значений функции – множество, состоящее из всех чисел эф от х, таких, что икс принадлежит икс большому и обозначают е большое от эф.
Рассмотрим пример. Функция задана графически. Определить дэ большое от эф.
Область определения данной функции представляет собой объединение промежутков:
интервал от минус бесконечности до а, луч от вэ до цэ и интервал от цэ до плюс бесконечности. Действительно так, если взять любое значение «икс» из интервала от минус бесконечности до а, или из полуинтервала от вэ до цэ, или из интервала от цэ до плюс бесконечности, то для каждого такого «икс» будет существовать значение «игрек».
Как ?
Рассмотрим примеры.
Первое.
Область определения рациональной функции, т.е. аргумент у которой есть в содержится в знаменателе.
Запомните:
значения аргумента, которые обращают знаменатель в ноль – не входят в область определения данной функции .
Предположим, дана функция, содержащая некоторую дробь единица, деленная на альфа от ихс. Как вы знаете, на ноль делить нельзя: поэтому альфа от икс не равно нулю
Найти область определения функции
эф от икс равен дроби, числитель которой икс плюс два, а знаменатель – икс квадрат минус три. Данная функция задана аналитически.
Решение : обращаем внимание на знаменатель, он должен быть не нулевым. Приравняем его к нулю и найдем значение аргумента которые обращают знаменатель функции в ноль:
икс квадрат минус триравно нулю.
икс квадрат равно трем.
Полученное уравнение имеет два корня:
минус квадратный корень из трех, квадратный корень из трех.
Данные значения не входят в область определения функции , так как при этих значениях знаменатель дроби обращается в ноль.
Ответ : дэ большое от эф равен объединению промежутков:интервал от минус бесконечности до квадратного корня из трех,интервал от минус квадратного корня из трех до квадратного кореня из трех.
и интервал от квадратного кореня из трех
до плюс бесконечности.
Рассмотрим еще пример.
Найти область определения функции
эф от икс равен дроби, числитель которой единица, а знаменатель – икс квадрат плюс один.
Рассмотрим выражение стоящее в знаменателе: к квадрату числа икс прибавляют единицу он всегда положительно т.е. какое бы значение «икс» мы не взяли, знаменатель не обратится в ноль, более того, будет всегда положителен, значит область определения функции, дэ большое от эф равено множеству всех действительных чисел.
определена на всей числовой оси.
Запомните!
при любом значении «икс» и положительной константе ка :
икс квадрат плюс ка больше нуля.
Второе.
Область определения иррациональной функции (содержащий радикал или корень).
подкоренное выражение неотрицательно
Функция вида игрек равен квадратный корень из альфа от икс определена только при тех значениях икс из области определения дэ от альфа, когда альфа от икс не отрицательно, т.е. больше или равна нулю. Если функция содержащая радикал в знаменателе дроби, то альфа от х строго больше нуля.
Найти область определения функции
эф от икс равен квадратный корень из трех минус два икс.
Решение : подкоренное выражение должно быть неотрицательным:
три минус два икс больше или равно нулю
минус два икс больше или равно минус трем
два икс меньше или равно трем
икс меньше или равнотрем вторым
Ответ: дэ большое от эф равен полуинтервалу от минус бесконечности до трех вторых.
Третье .
Область определения функций с натуральным логарифмом.
Пусть функция содержит натуральный логарифм альфа от икс., то в её область определения входят только те значения икс, удовлетворяющие неравенству альфа от икс строго больше нуля.
Если логарифм находится в знаменателе: то дополнительно накладывается условие альфа от икс не равно единице, (так как натуральный логарифм единицы равен нулю).
Найти область определения функции
эф от икс равен дроби числитель равен единице, а знаменатель – натуральный логарифм из выражения икс плюс три.
Решение : в соответствии с вышесказанным составим и решим систему:
икс плюс три больше нуля
и икс плюс три не равно единице
икс больше минус трех и икс не равно минус двум.
Изобразим множество решений системы на прямой и сделаем вывод.
Ответ: дэ большое от эф равно объединению промежутков: интервалам от минус трех до минус двух и от минус двух до плюс бесконечности.
Дэ большое от эф равен отрезку от минус четырех до двух;
Е большое от эф равно отрезку от минус одного до двух;
Найтиобласть определения и область значений функции.
Дэ большое от эф равен интервалу от минус двух до пяти;
Е большое от эф равно отрезку от минус двух до трех;
Найтиобласть определения и область значений функции.
Дэ большое от эф равен отрезку от минус четырех до трех;
Е большое от эф равно отрезку от минус пяти до нуля;
Определение. Пусть функция \(y = f(x) \) определена в некотором интервале, содержащем внутри себя точку \(x_0 \). Дадим аргументу приращение \(\Delta x \) такое, чтобы не выйти из этого интервала. Найдем соответствующее приращение функции \(\Delta y \) (при переходе от точки \(x_0 \) к точке \(x_0 + \Delta x \)) и составим отношение \(\frac{\Delta y}{\Delta x} \). Если существует предел этого отношения при \(\Delta x \rightarrow 0 \), то указанный предел называют производной функции \(y=f(x) \) в точке \(x_0 \) и обозначают \(f”(x_0) \).
$$ \lim_{\Delta x \to 0} \frac{\Delta y}{\Delta x} = f”(x_0) $$
Для обозначения производной часто используют символ y”. Отметим, что y” = f(x) – это новая функция, но, естественно, связанная с функцией y = f(x), определенная во всех точках x, в которых существует указанный выше предел. Эту функцию называют так: производная функции у = f(x) .
Геометрический смысл производной состоит в следующем. Если к графику функции у = f(x) в точке с абсциссой х=a можно
провести касательную, непараллельную оси y, то f(a) выражает угловой коэффициент касательной:
\(k = f”(a) \)
Поскольку \(k = tg(a) \), то верно равенство \(f”(a) = tg(a) \) .
А теперь истолкуем определение производной с точки зрения приближенных равенств. Пусть функция \(y = f(x) \) имеет
производную в конкретной точке \(x \):
$$ \lim_{\Delta x \to 0} \frac{\Delta y}{\Delta x} = f”(x) $$
Это означает, что около точки х выполняется приближенное равенство \(\frac{\Delta y}{\Delta x} \approx f”(x) \), т.2 \) справедливо приближенное равенство \(\Delta y \approx 2x \cdot \Delta x \).
Если внимательно проанализировать определение производной, то мы обнаружим, что в нем заложен алгоритм ее нахождения.
Сформулируем его.
Как найти производную функции у = f(x) ?
1. Зафиксировать значение \(x \), найти \(f(x) \)
2. Дать аргументу \(x \) приращение \(\Delta x \), перейти в новую точку \(x+ \Delta x \), найти \(f(x+ \Delta x) \)
3. Найти приращение функции: \(\Delta y = f(x + \Delta x) – f(x) \)
4. Составить отношение \(\frac{\Delta y}{\Delta x} \)
5. Вычислить $$ \lim_{\Delta x \to 0} \frac{\Delta y}{\Delta x} $$
Этот предел и есть производная функции в точке x.
Если функция у = f(x) имеет производную в точке х, то ее называют дифференцируемой в точке х. Процедуру нахождения производной функции у = f(x) называют дифференцированием функции у = f(x).
Обсудим такой вопрос: как связаны между собой непрерывность и дифференцируемость функции в точке.
Пусть функция у = f(x) дифференцируема в точке х. Тогда к графику функции в точке М(х; f(x)) можно провести касательную, причем, напомним, угловой коэффициент касательной равен f”(x). Такой график не может «разрываться» в точке М, т. е. функция обязана быть непрерывной в точке х.
Это были рассуждения «на пальцах». Приведем более строгое рассуждение. Если функция у = f(x) дифференцируема в точке х, то выполняется приближенное равенство \(\Delta y \approx f”(x) \cdot \Delta x \). Если в этом равенстве \(\Delta x \) устремить к нулю, то и \(\Delta y \) будет стремиться к нулю, а это и есть условие непрерывности функции в точке.
Итак, если функция дифференцируема в точке х, то она и непрерывна в этой точке .
Обратное утверждение неверно. Например: функция у = |х| непрерывна везде, в частности в точке х = 0, но касательная к графику функции в «точке стыка» (0; 0) не существует. Если в некоторой точке к графику функции нельзя провести касательную, то в этой точке не существует производная.
Еще один пример. Функция \(y=\sqrt{x} \) непрерывна на всей числовой прямой, в том числе в точке х = 0. И касательная к графику функции существует в любой точке, в том числе в точке х = 0. Но в этой точке касательная совпадает с осью у, т. е. перпендикулярна оси абсцисс, ее уравнение имеет вид х = 0. Углового коэффициента у такой прямой нет, значит, не существует и \(f”(0) \)
Итак, мы познакомились с новым свойством функции – дифференцируемостью. А как по графику функции можно сделать вывод о ее дифференцируемости?
Ответ фактически получен выше. Если в некоторой точке к графику функции можно провести касательную, не перпендикулярную оси абсцисс, то в этой точке функция дифференцируема. Если в некоторой точке касательная к графику функции не существует или она перпендикулярна оси абсцисс, то в этой точке функция не дифференцируема.
Правила дифференцирования
Операция нахождения производной называется дифференцированием . При выполнении этой операции часто приходится работать с частными, суммами, произведениями функций, а также с «функциями функций», то есть сложными функциями.2} $$
Математика для блондинок: Производная функции онлайн
Это презентация специального калькулятора, для которого производная функции онлайн является самой простой задачей, которую только вы можете придумать. Если вам не терпится найти производную функции, которая, вне всякого сомнения, является вашей любимой математической функцией, тогда быстрее переходите по ссылке:Мы же немножко порассуждаем о производных функции онлайн и о нашей действительности. И так…
Если вы оказались на этой странице, значит вы где-то учитесь. Рядовой обыватель никогда в жизни не станет искать в Интернете производную функции онлайн, разве что под страхом пыток. Для учащихся мы совершим беглую экскурсию по сервису онлайн производных, который вам здесь рекомендуется.
Сейчас мы не будем вдаваться в определение производной, которое придумали математики. Наша задача взять ту функцию, которую нам задали математики и найти производную функции, что бы могли отмахнуться этим решением от математиков, как от назойливых мух. И так, мы имеем сервис, который позволяет найти производную и частную производную в режиме онлайн. В этом сервисе есть специальное окошко для ввода значения функции.
То, что вы сейчас видите на картинке, получено мною при помощи ссылки “Переключить на компактный дизайн”. Есть там такая в самой верхней строчке сервиса, рядом с выбором языков. Не знаю, как у вас, а у меня именно такая функция вылезает по умолчанию. Помимо этого, в самом калькуляторе производных имеется кнопочка “Редактор” (у меня она не работает, выдает ошибку Джава-скрипта) и кнопочка “Предварительный просмотр”. К имеющейся функции я добавлю что-нибудь от себя прямо в окошке и нажму на кнопку предварительного просмотра.
Умный калькулятор покажет нам, как именно он понял то, что мы пытались в него впихнуть. Введенную нами функцию в компьютерном выражении калькулятор преобразует в математическое выражение. Следует заметить, что общение с калькулятором пределов основано на всеобщем математическом равенстве: калькулятору абсолютно безразлично, кто с ним общается – двоечник из 5-Б класса или профессор математики – все должны выражать свои мысли на языке компьютера, а не на своем собственном. Иначе калькулятор вас понимать откажется.
В качестве бонуса предлагаются дополнительные опции. Можно найти обычную производную функции одной переменной, можно найти частную производную по “х”, частную производную по “у” – это функции двух переменных (наверное, это и есть производная сложной функции). Можно поставить галочку возле автоматического распознавания констант или автоматически использовать линейность производной. Что-то типа:
– Официант! Мне одну порцию производной, пожалуйста.
– Вам с линейностью или без?
– А у вас линейность свежая?
– Только сегодня утром завезли, прямо с грядки. Очень рекомендую! Наша линейность выращивается на экологически чистом числовом поле.
– Уговорили, давайте производную с линейностью.
Теперь о самом интересном – решение производных. Нажимаем кнопочку “Отправить”, ждем несколько секунд и получаем решение производной. Оно выдается на отдельной странице в формате pdf. Это такой специальный формат картинки, которую можно распечатать и отмахиваться этим листком от математиков. Решение производных расписано очень подробно, шаг за шагом. В конце предлагается несколько вариантов упрощения полученного выражения. Выглядит всё это приблизительно так.
Как видите, решение производных расписано очень подробно. Здесь используются формулы производной степенной функции, производная произведения двух функций, производная экспоненциальной функции. Упрощение выражения может быть выполнено и до взятия производной. Об этом есть предупреждение в самом низу страницы. Так что не пугайтесь, если в исходных данных для получения производной онлайн вы увидите совсем другую функцию.
Подводя итог, можно сказать, что данный калькулятор производных избавляет нас от необходимости ломать голову в поиске решения производной. Тупо вставили функцию, тупо получили производную, переписали решение, ткнули в нос математику и забыли навсегда. Возникает вполне естественный вопрос: зачем учить всю эту фигню, если есть калькулятор производных? Это только гурманы-математики могут пытаться найти ошибки в решениях калькулятора.
(n), то есть 1,2,3 или n-кратное применение вывода к функции, итеративная / последовательная производная от n кортежей для одной и той же переменной.Результаты
N-я производная – dCode
Тег (и): Функции
Поделиться
dCode и другие
dCode является бесплатным, а его инструменты являются ценным подспорьем в играх, математике, геокешинге, головоломках и задачах, которые нужно решать каждый день!
Предложение? обратная связь? Жук ? идея ? Запись в dCode !
Калькулятор N-й производной
Ответы на вопросы (FAQ)
Как рассчитать n-ю производную?
n-я производная (или производная порядка $ n $) функции $ f $ состоит из итеративного применения производной $ n $ раз к функции $ f $.{(4n + 3)} (x) = – \ cos (x) $$
Задайте новый вопросИсходный код
dCode сохраняет право собственности на исходный код онлайн-инструмента «Nth Derivative». За исключением явной лицензии с открытым исходным кодом (обозначенной CC / Creative Commons / free), любой алгоритм, апплет или фрагмент Nth Derivative (конвертер, решатель, шифрование / дешифрование, кодирование / декодирование, шифрование / дешифрование, переводчик) или любой Nth Derivative ‘функция (вычислить, преобразовать, решить, расшифровать / зашифровать, расшифровать / зашифровать, декодировать / закодировать, перевести), написанная на любом информатическом языке (Python, Java, PHP, C #, Javascript, Matlab и т. д.)), и никакая загрузка данных, скрипт, копипаст или доступ к API для Nth Derivative не будут бесплатными, то же самое для автономного использования на ПК, планшете, iPhone или Android! dCode распространяется бесплатно и онлайн.
Нужна помощь?
Пожалуйста, посетите наше сообщество dCode Discord для получения помощи!
NB: для зашифрованных сообщений проверьте наш автоматический идентификатор шифра!
Вопросы / комментарии
Сводка
Похожие страницы
Поддержка
Форум / Справка
Ключевые слова
производная, n-я, функция, дифференцирование, последовательная, итерация, калькулятор
Ссылки
Источник: https: // www.dcode.fr/nth-derivative
© 2021 dCode – Идеальный «инструментарий» для решения любых игр / загадок / геокэшинга / CTF.Как вычислять производные – Видео и стенограмма урока
Вычислительные производные
Вы можете вспомнить нечто, называемое коэффициентом разности, из курса алгебры или предварительного исчисления. Коэффициент разности функции f ( x ) – это формула, которая дает наклон линии через любые две точки с координатами x x и x + h для функции:
( f ( x + h ) – f ( x )) / h
Это ключ к вычислению производных.Производные вычисляются путем нахождения предела коэффициента разности функции, когда h приближается к 0, как вы можете видеть ниже.
В принципе, мы можем вычислить производную f ( x ), используя определение предела производных, выполнив следующие шаги:
- Найти f ( x + h ).
- Вставьте f ( x + h ), f ( x ) и h в определение предела производной.
- Упростите коэффициент разницы.
- Возьмите предел упрощенного коэффициента разности, так как h приближается к 0.
Пример
Итак, рассмотрим нашу гоночную функцию f (x) = -7×2 + 280x. Сначала находим f ( x + h ):
f ( x + h ) = -7 ( x + h ) 2 + 280 ( x + h ) = -7 ( x 2 + 2 xh + h 2) + 280 x + 280 h = -7 x 2-14 xh -7 h 2 + 280 x + 280 h
Теперь мы подключаемся к определению предела, упрощаем и находим предел, как вы можете видеть здесь.
Хорошо. Теперь, когда вы это сделали, мы видим, что производная от f ( x ) равна:
f ‘( x ) = -14 x + 280
Мы можем использовать эту формулу для расчета скорости победителя в любой момент гонки. Например, рассмотрим ее скорость через 10 секунд. Подставляем x = 10 в формулу производной:
f ‘( x ) = -14 (10) + 280 = 140
Мы получаем, что производная f при x = 10 составляет 140, так что за 10 секунд гонки она ехала со скоростью 140 миль в час! Вау, это так быстро!
Другой пример
Хорошо, еще один пример использования этого определения предела для вычисления производной.Рассмотрим функцию g ( x ) = 1/ x , где x ≠ 0. Чтобы найти производную, используя предельное определение производных, мы сначала находим g ( x + h ):
г ( x + h ) = 1 / ( x + h )
Теперь мы включаем g ( x + h ), g ( x ) и h в определение предела и находим предел, как вы можете видеть ниже.
Мы видим, что производная от g ( x ) = 1/ x равна g ‘( x ) = -1 / x 2.
Формулы для производных
Мы всегда можем использовать предельное определение производных для вычисления производных. Однако у нас также есть несколько хороших формул для производных различных типов общих функций. Эти формулы являются прямым результатом предельного определения функции.
Их наличие под рукой может значительно упростить задачу, поэтому не стесняйтесь просматривать таблицу ниже:
Давайте еще раз рассмотрим пример с нашим гоночным автомобилем. Таблица показывает, что производная суммы функций – это сумма производных. Следовательно, производная нашей функции гоночного автомобиля f ( x ) = -7 x 2 + 280 x равна сумме производной -7 x 2 и 280 x . .
Чтобы найти эти производные, мы видим, что изображение дает формулу для производной функции вида ax n как nax ( n – 1).
Следовательно, производная от -7 x 2 равна (2) (- 7) x 2-1 = -14 x , а производная от 280 x равна (1) (280) x 0 = 280. В целом производная f ( x ) равна:
f ‘( x ) = -14 x + 280
. тот же результат, что и при использовании предельного определения производных.
Краткое содержание урока
Производная функции, f ( x ), представляет собой скорость, с которой значение функции изменяется относительно x . Мы можем вычислять производные, используя определение предела производной, которое, как вы можете видеть здесь, выполняется путем нахождения предела коэффициента разности функции, поскольку h приближается к 0:
Это определение предела можно не только использовать для вычисления производных, но мы также можем использовать его для нахождения формул для производных общих функций, которые могут значительно упростить вычисление производных в целом.Чем больше мы работаем с деривативами, тем больше мы знакомы с такими ярлыками, как эти формулы, поэтому, вероятно, будет неплохо продолжать практиковаться!
Мистер экзамен
Этот сайт поможет вам решать математические задачи в режиме онлайн с подробными пошаговыми инструкциями.
Уравнения
:Решает различные уравнения: от простых линейных, квадратных и кубических до сложных, содержащих тригонометрические функции, логарифмы, квадратные и кубические корни.Особое внимание уделяется дифференциальным уравнениям, некоторые выражения в уравнениях также расширены, упрощены. ↓
Дифференциальные уравнения, шаг за шагом
Для однородных и неоднородных линейных дифференциальных уравнений первого и второго порядков, дифференциальных уравнений с разделимыми переменными, с подстановкой и т. Д. С подробным пошаговым решением.
Регулярные уравнения, шаг за шагом
Калькулятор обыкновенных уравнений может решать уравнения со степенями, в том числе квадратные и кубические, некоторые четвертой степени, уравнения с модулем, простые линейные, экспоненциальные, простые тригонометрические и некоторые другие. Любое другое уравнение с ответом. Можно решать задачи численно.
Упрощение выражений
Введите упрощенное выражение, и калькулятор найдет все возможные упрощения алгебраического выражения или комплексного числа.
Системы уравнений шаг за шагом
Вы получите несколько подробных решений для линейных систем уравнений, в том числе «лобовое» решение с использованием правил Крамера и Гаусса.
Неравенство, шаг за шагом
Помимо аналитического решения неравенства, вы увидите решение неравенства на графике.
Графический калькулятор
:Отображает различные функции: например, однозначные с использованием синуса, косинуса и других тригонометрических функций, а также трансцендентные функции, такие как квадратный и кубический корень. Но он также отображает многозначные функции: неявные функции, построение поверхностей и линий в трехмерном пространстве, графики параметрических функций. ↓
Пошаговое построение функционального графика
Вычислительный инструмент строит график функции в ортогональных координатах, интервал построения может быть указан, на этом графике указываются точки пересечения, если определено несколько функций, а также проверяется соответствующая функция.
Этапы построения кривой
Калькулятор генерирует подробный анализ графика функции: экстремумы функций, горизонтальные и вертикальные асимптоты, наклонные асимптоты, четность и нечетность функции, точки перегиба, точки пересечения графика с координатами X и Ось Y, область определения функции, также строит график функции.
Участок
Введите функцию поверхности или поверхность, заданную уравнением
Производные
:Находит производные от обеих однозначных функций, включая тригонометрические, линейные, со степенями, с дробями и экспоненциальные функции. Также для многозначных функций: неявные и параметрические функции.
Производная, шаг за шагом
Используя калькулятор производных, вы можете вычислить производную функции с одной переменной с подробным решением, частные производные функции с двумя и тремя переменными, а также производную неявной функции, заданной уравнением.
Серияи последовательности
:Разложить на ряды Тейлора и Фурье с построением частичных рядов.Для суммы ряда строится график частичной суммы. Особое внимание уделено ряду Фурье – создан функционал для ввода кусочно заданных функций. ↓
Сумма ряда Пошагово
Дает аналитический и числовой ответ на сумму ряда, а также график скорости сходимости суммы ряда.
Интегралы
:Принимает интегралы от различных функций, можно увидеть численный и аналитический результат для определенного и несобственного интеграла, а также для неопределенного. Возьмем двойной и тройной интегралы от функций двух и трех переменных соответственно. ↓
Интегральный шаг за шагом
Калькулятор интегралов дает возможность шаг за шагом решать определенные, неопределенные, несобственные интегралы.
Другое
Каноническая форма
Приводит форму уравнения для прямых на плоскости и в пространстве второго порядка и поверхностей второго порядка к каноническому виду.
Комплексные числа, шаг за шагом
Операции выполняются над комплексными числами: деление, умножение и другие упрощения, нахождение комплексно-сопряженного числа, алгебраических, тригонометрических и экспоненциальных форм комплексного числа.
Вы также найдете модуль комплексного числа.
Матрицы
В этом разделе вы можете выполнять как стандартные операции с матрицами, такие как умножение, сложение, определитель, обратное, ранговое, так и экзотические операции с матрицами: комплексное сопряжение, правильные векторы и правильные значения, QR и LU.
Математическая логика
Калькулятор может ставить скобки, упрощать логические выражения, строить таблицу истинности, находить нормальную форму выражения.
Ограничения, шаг за шагом
Калькулятор пределов позволяет найти предел функции в конечной точке или на бесконечности с помощью пошагового решения, а также найти предел с помощью правила Л’Оспиталя.
Калькулятор градусов
Калькулятор градусов помогает выполнять различные преобразования углов.
Кусочно-определенная функция
Введите кусочно и перейдите к нужному калькулятору, например, к одному из: найти интеграл, производную, построение кривой и построение графика и т. Д.
Онлайн-калькулятор для построения кривых
Введите здесь свою функцию.4) и |
Что означает построение кривых?
Построение кривой – это расчет для нахождения всех характерных точек функции, например корни, пересечение оси Y, максимальные и минимальные точки поворота, точки перегиба.Как получить эти баллы?
Расчет производных. Затем вы устанавливаете функцию и производную равными нулю: корни являются решениями уравнения.Точки поворота могут лежать в основе деривации, т.е. вам нужно решить уравнение для нахождения максимальных / минимальных точек поворота. (если в корне дифференцирования есть точка поворота, это можно проверить с помощью критерия смены знака.) В точке перегиба должна быть вторая производная, поэтому для нахождения точек перегиба решите уравнение.Почему в наши дни создание кривых эскизов делается меньше?
Это немного глупо: вам просто нужно научиться каждый раз выполнять одни и те же вычисления точек, не слишком задумываясь об их значении.Поэтому упражнения, в которых вы должны думать о значении этих моментов, в наши дни становятся более важными.Могу я взглянуть на пример?
Конечно. Нарисуем кривую.| Mathepower работает с этой функцией:
Корни:
Симметрия: Вычислите точку пересечения оси Y, вставив 0. Диффенцируйте функцию
Третья производная, то есть производная от :
Вставить корни первой производной во вторую производную: Вставить -0.577 в функцию: -3,464 меньше 0. Таким образом, есть максимум при. Вставьте -0,577 в функцию: Максимальная точка поворота (-0,577 | 0,385) Вставьте 0,577 в функцию: 3,464 больше нуля. Вставьте 0,577 в функцию: Минимальная точка поворота (0,577 | -0,385) Ищем точки перегиба. Нам нужно найти корни второй производной. Ищем корни
Вставить корни второй производной в третью производную: Третья производная не содержит x, поэтому вставка дает 6 6 больше 0, поэтому есть точка перегиба в. Вставьте 0 в функцию: Точка перегиба (0 | 0) |
3.Производная от Первых принципов
В этом разделе мы будем отличать функцию от «основных принципов». Это означает, что мы начнем с нуля и будем использовать алгебру, чтобы найти общее выражение для наклона кривой при любом значении x .
Первая принципы также известны как “дельта метод “, так как во многих текстах используется Δ x (для” изменение в x ) и Δ y (для “изменение в x “). Это делает алгебру более сложной, поэтому здесь мы вместо Δ x используйте h .Мы до сих пор называем это “дельта” метод ».
ПРИМЕЧАНИЕ
Если вы хотите узнать, как найти наклоны (градиенты) касательных непосредственно с использованием производных, а не из первых принципов, перейдите к разделу «Касательные и нормали» в главе «Применение дифференцирования».
Наклон касательной в точке P .
Мы хотим найти алгебраический метод , чтобы найти наклон y = f ( x ) при P , чтобы сохранить выполняя численные замены, которые мы видели в предыдущем разделе (Наклон касательной к кривой – численный подход).
Мы можем приблизить это значение, взяв точку где-то рядом с P ( x , f ( x )), скажем Q ( x + h , f ( x + h )).
Уклон линии PQ .
Значение `г / ч` является приближением крутизны касательная, которая нам нужна.
Мы также можем записать этот наклон как `(” изменение в “\ y) / (” изменение в “\ x)` или:
`m = (Задержка) / (Deltax`
Если мы переместим Q все ближе и ближе к P (то есть, мы позволим h становиться все меньше и меньше), линия PQ будет приближаться к касательной на P и, таким образом, наклон PQ приближается к желаемой крутизне.
Уклон линии PQ .
Если мы позволим Q полностью коснуться P (т.е. `h = 0`), то мы получим точный наклон касательной.
Отличие от апплета из первых принципов
В следующем апплете вы можете изучить, как работает этот процесс.
Мы используем пример с предыдущей страницы (Наклон касательной), y = x 2 , и находим наклон в точке P (2, 4).
Используйте левый ползунок , чтобы переместить точку P ближе к Q. Наблюдайте, как наклон PQ становится все ближе и ближе к фактическому наклону в точке Q по мере того, как вы приближаете точку P.
Фактически вы можете перемещать обе точки, используя оба ползунка, и исследовать уклон в различных точках.
Каков наклон в точке (0, 0)?
Авторские права © www.intmath.com
Информация
Функция:
Выражение процесса дифференцирования с помощью алгебры
Теперь можно записать `g / h`:
`г / ч = (f (x + h) -f (x)) / h`
Таким образом, уклон PQ будет определяться как:
`m = (y_2-y_1) / (x_2-x_1) = (Deltay) / (Deltax)` = (f (x + h) -f (x)) / h`
Но нам нужен наклон при P , поэтому мы позволяем «h → 0» (то есть позволяем h приближаться к «0»), тогда, по сути, Q будет приближение P и `г / ч` приблизится к требуемый уклон.
Наклон кривой как производная
Собирая все вместе, мы можем записать наклон касательной в точке P как:
`dy / dx = lim_ (h-> 0) (f (x + h) -f (x)) / h`
Это называется дифференциацией от первых принципов, (или дельта-метод ). Он дает мгновенную скорость изменения от до по х.
Это эквивалентно следующему (где раньше мы использовали h для Δ x ):
`dy / dx = lim_ (Deltax-> 0) (Задержка) / (Deltax`
Вы также встретите следующий способ написания дельта-метода:
`dy / dx = lim_ (Deltax-> 0) (f (x + Deltax) -f (x)) / (Deltax`
Обозначение производной
ВАЖНО: Производное (также называемое дифференцированием ) может быть записано несколькими способами.Это может вызвать некоторую путаницу, когда мы впервые узнаем о дифференциации. 2 + 3h) / h`
`= lim_ (h-> 0) (4x + 2h + 3)`
`= 4x + 3`
Мы нашли выражение, которое может дать нам наклон касательной в любом месте кривой.
Если `x = -2`, наклон равен` 4 (-2) + 3 = -5` (красный, на графике ниже)
Если `x = 1`, наклон равен` 4 (1) + 3 = 7` (зеленый)
Если `x = 4`, наклон равен` 4 (4) + 3 = 19` (черный)
Мы можем увидеть, что наши ответы верны, когда мы построим график кривой (которая является параболой) и наблюдаем наклон касательных.
Это то, что делает исчисление таким мощным. Мы можем найти наклон в любом месте кривой (то есть скорость изменения функции в любом месте).
Пример 2
а. Найдите “y” с первого принципы если y = x 2 + 4 х .
г. Найдите наклон касательной, где x = 1, а также где x = −6.
г. Нарисуйте кривую и обе касательные. 2 + 4h) / h`
`= lim_ (h-> 0) (2x + h + 4)`
`= 2x + 4`
г.Когда `x = 1`, наклон` m = 2 (1) + 4 = 6`
Когда `x = -6`, наклон` m = 2 (-6) + 4 = -8`
г. Эскиз:
CALCULUS.ORG
CALCULUS.ORG; Спонсоры
Ресурсы Calculus.org для студентов, изучающих математику
Ресурсы Calculus.org для преподавателя математического анализа:
- Примеры задач экзамена
Вот примеры задач экзаменов из первого года исчисления в формате текс, отсортировано по проблемной области.Не стесняйтесь изменять их и использовать для своих собственные экзамены. - Демонстрации в классе по исчислению
Демонстрации по исчислению, которые вы можете использовать в классе, чтобы оживить лекции и предотвратить кивание голов.
ССЫЛКИ НА ДРУГИЕ РАСЧЕТНЫЕ САЙТЫ:
сайтов с экзаменами по математическому анализу.
Учебники и курсы по математике:
- Онлайн-курсы по математике от Массачусетского технологического института. Проект OpenCourseWare в Массачусетском технологическом институте дает много ценных
ресурсы в Интернете.Представлены математические и многие другие математические курсы.
Анимированные демонстрации исчисления:
Сайты с проблемами исчисления.
- Aid for Calculus : Около 300 примеров задач от Джона А. Тейлора с решениями. Хорошо проиндексировано.
- exampleproblems.com : На этом вики-сайте много пользователей, созданных
примеры задач с решениями в области исчисления и других областях.
- Доктор математики : Большой список проблем.Также есть что сказать
исчисление и другие темы.
- S.O.S. Математика – Исчисление : Хороший список проблем с решениями. Через ряды Фурье.
- Магазин математики :
Некоторые решенные задачи, java-апплеты для вычислений и обзорный материал.
- Hotmath :
Следуйте за кнопкой учеников, чтобы получить список решений странных проблем в
математические тексты Стюарта; Ларсон, Хостетлер, Эдвардс; и Тан
- Найдите ошибку :
Дуглас Шоу предлагает вам найти ошибку в некоторых расчетных доказательствах.
- WYKAmath : Интегральные и производные задачи с хорошо объясненными ответами. Также есть видео, которые могут понравиться поклонникам YouTube.
Сайты с записными книжками и задачами для вычислений на основе Sage, Mathematica, Maple и т. Д.
- Исчисление мудреца Тоториал : Учебник по исчислению, основанный на бесплатной системе компьютерной алгебры Sage с открытым исходным кодом.
- Блокноты Mathematica :
Большая коллекция записных книжек Mathematica от
математический факультет Государственного университета Райта.В обоих
Форматы Windows и Mac.
- Интерактивное обучение исчислению и дифференциальным уравнениям с приложениями :
Коллекция записных книжек по системе Mathematica, объясняющих темы в этих областях, от
математический факультет Университета Индианы в Пенсильвании.
- WebCalc: Полностью онлайн-курс по исчислению в Texas A&M. Нужна научная тетрадь,
но доступна бесплатная версия для просмотра.
- Вычисления и математика:
Вводный онлайн-курс по исчислению в Университете
Иллинойс в Университете Урбана-Шампейн и штата Огайо.
Онлайн-тексты:
- Calculus Made Easy Классическое приложение по исчислению Сильваниуса П. Томпсона. Опубликовано в 1914 г.
это было очень популярно. Лечение интуитивно понятное. Доступно в электронной библиотеке.
- Бесплатные онлайн-учебники Ссылки на бесплатные онлайн-тексты по различным математическим областям, включая математический анализ.
- Интернет-учебники по математике из списка Джорджа Кейна,
в Технологическом институте Джорджии.
- Учебник по математике Гилберта Стрэнга. Полный учебник доступен в формате pdf.
Учебники и объяснения по математическим темам:
- Примечания по исчислению онлайн :
Из Университета Британской Колумбии.
Имеет приятные объяснения и некоторые интерактивные функции.
- Расчет объема вазы : очень красиво оформленный проект, в котором
рассчитан объем реальной вазы.От математического факультета Университета Дьюка.
- Karl’s Calculus Tutor : Множество хороших объяснений понятий исчисления.
- Mudd Math Fun Facts :
Хорошие объяснения многих математических (и других математических) концепций. Также имеет
разделы геометрии, алгебры, вероятности и др. Организовано по уровням
сложности.
- Распространенные ошибки :
Распространенные ошибки в математике бакалавриата, составлено Эриком Шехтером на
Университет Вандербильта.
- Графика для кабинета математики : Коллекция графики и анимации
которые иллюстрируют концепции математического анализа.
- Руководство по выживанию : Руководство по выживанию с расчетом для одного человека.
- AP Исчисление : Руководство College Board по исчислению AP.
- Математические таблицы Дэйва : Таблицы интегралов, производных и разложения в ряды.
- Learning Calculus : Некоторая мотивационная пропаганда исчисления.
- Анимированные примеры Луи А. Талмана из Столичного государственного колледжа Денвера.
Хороший сборник очень информативных анимаций.
- Галерея патологий зубного камня доктора Фогеля Коллекция странных функций, иллюстрирующих вопросы непрерывности и дифференцируемость.
- Мировая веб-математика () Связанный сборник объяснений по исчислению из Массачусетского технологического института.
- Википедия Запись по исчислению в онлайн-энциклопедии.Множество ссылок на специализированные темы.
- Учебники и задачи по исчислению Бесплатные интерактивные руководства по темам clauclus, включая теорему о среднем значении, Рунге Кутта, Ряд Фурье. Множество ссылок на специализированные темы.
- Wyzant имеет коллекцию объяснений по исчислению по избранным темам от предварительного расчета до векторов.
Расчет видео:
- IntegralCalc :
имеет множество коротких видео по математической тематике.Принесено вам Кристой Кинг.
- Математический центр :
имеет видеолекции по тематике дифференциального и интегрального исчисления.
- Just Math Tutorials :
имеет большую коллекцию видеороликов на YouTube по математическим вычислениям и другим математическим темам.
- Midnight Tutor : На этом сайте есть большая коллекция видеороликов, в которых объясняются концепции и решаются проблемы.
- Академия Хана : В академии Хана есть много бесплатных видео с объяснениями вычислений.
- Яркая буря : есть множество бесплатных видеороликов, предлагающих объяснения по исчислению.
- Видео исчисление : Видео по исчислению 1 и 2 от Селвина Холлиса из Хьюстонского университета.
Коллекции ссылок на сайты исчисления:
Сайты по векторному и многомерному исчислению:
Калькуляторы для вычисления производных, интегралов и т. Д .:
- WolframAlpha.com : Помимо интегралов и производных, он выполняет ограничения, разложение в ряды, векторный анализ, интегральные преобразования и т. Д.Мощный инструмент.
- integration.com : онлайн-интегратор. Будьте осторожны, иначе вас заменит калькулятор за 12 долларов. На основе Mathematica.
- mathen.com : онлайн-сервис для производные, интегралы. Также делает упрощение графиков и формул.
- Encalc : бесплатный онлайн-накопитель, который включает численное интегрирование и многочисленные физические формулы
- Графический калькулятор : отображает сразу несколько уравнений.
- Derivative-calculator.net : вычисляет производные и частные производные,
- Integral-calculator.net : вычисляет первообразные для вас.
Аплеты и программное обеспечение для расчетов:
- Математические апплеты для исчисления в SLU : У Майка Мэя из Университета Сент-Луиса есть набор программ, иллюстрирующих важные концепции одно- и многомерного исчисления.
- Calculusapplets.com : Обширная коллекция апплетов для интерактивной иллюстрации идей исчисления одной переменной.
- MathServ Calculus Toolkit : Онлайн-набор инструментов для построения графиков, пределов, производных, инверсий и т. Д.
- FADBAD : программа на C ++ для автоматического распознавания. Ты
можете скачать его, если хотите.
- Некоторые Java-апплеты : Коллекция апплетов Java, иллюстрирующих концепции исчисления.
- Calculator.org : Научный калькулятор.
Приложения исчисления:
Исчисление и общество, история и т. Д .:
Продукты для коммерческого исчисления:
- Справка по математике : Предлагает программное обеспечение MathXpert, помогающее изучать предварительные вычисления и вычисления.
Связанные темы: Предварительные вычисления, дифференциальные уравнения, линейная алгебра и т. Д .:
- Precalculus Notes : Обширная коллекция красивых объяснений предварительные вычисления, написанные Кеном Куниюки из колледжа Сан-Диего Меса.
Веселые математические ссылки:
- Дни рождения : математики, у которых сегодня дни рождения.
- пи : История П.И.
Призов и конкурсов:
Результаты Национальные соревнования школьников по исчислению можно найти по адресу: Соревнование по расчету Награды .Планов на будущие соревнования на данный момент нет. Этот веб-сайт поддерживают Спонсоров
Calculus.org На главную
Пожалуйста, присылайте свои комментарии, вопросы или предложения по адресу:
[email protected] .
URL-адрес этой страницы: http://www.calculus.org.
Derivative Calculator – Калькулятор дифференцирования
Введите функцию и переменную, чтобы найти производную с помощью калькулятора производной.
Калькулятор дифференциации – это онлайн-инструмент исчисления, который находит производную заданной функции. Он может выполнять явную дифференциацию одним щелчком мыши. Если вы ищете неявное дифференцирование, воспользуйтесь нашим калькулятором неявного дифференцирования.
Самое главное, что этот дифференциальный калькулятор показывает пошаговый расчет вместе с подробным ответом.
Производная – Определение
Пусть f (x) будет функцией, домен которой содержит открытый интервал в некоторой точке x 0 . Функция f (x) считается дифференцируемой в x 0 , и производной f (x) в x 0 дано по:
Другими словами, производная измеряет чувствительность к изменению значения функции по отношению к изменению ее аргумента. Функция, обратная производной, известна как первообразная.
Как рассчитать производную?
Чтобы дифференцировать функцию, давайте вычислим производную от 1 / x , чтобы понять основную идею вывода.
Как 1 / x = x -1
Мы будем использовать правило продукта (см. Правила ниже).
d / dx ( x -1 ) = -1 (x -2 ) = – 1 / x 2
Пример:
Найти производная (x + 7) 2 .
Решение:
Шаг 1: Примените символ деривации.
Шаг 2: Применить правило мощности.
Некоторым функциям требуется вторая производная для завершения процесса дифференциации. В этом случае вы можете использовать наш калькулятор второй производной.
Производные правила – Формулы
- Тригонометрические производные
- 1.
