Таблицы интегралы: Таблица интегралов, таблица основных интегралов для школьников и студентов

Содержание

Таблицы неопределенных интегралов

Справочник содержит таблицы неопределенных интегралов от элементарных функций.

Предназначен для студентов высших учебных заведений, инженеров, научных работников.

Первое издание – 1986 г.

Автор
Издательство ООО “Физматлит”
Дата издания 2002
Кол-во страниц 200
ISBN 978-5-9221-0331-2
Тематика Справочник
Вес книги 300 г
№ в каталоге 331

Категории: Справочная литература

Таблица интегралов

В школе у многих не получается решить интегралы или возникают какие-либо трудности с ними.

Данная статья поможет вам в этом разобраться, так как в ней вы найдете все таблицы интегралов.

Интеграл является одним из главных вычислений и понятием в математическом анализе. Его появление получилось от двух целей:
Первая цель – восстановить функцию с помощью ее производной.
Вторая цель – вычисление площади, находящейся на расстоянии от графика к функции f(x) на прямой где, а больше или равна х больше или равен b и ось абсцисс.

Данные цели подводят нас к определенным и неопределенным интегралам. Связь между данными интегралами лежит в поиске свойств и вычислении. Но все течет и все меняется со временем, находились новые пути решения, выявлялись дополнения тем самым приводя определенные и неопределенные интегралы к иным формам интегрирования.

Что такое неопределенный интеграл спросите Вы. Это первообразная функция F(x) одной переменной x в интервале а больше х больше b. называется любой функцией F(x), в данном интервале для любого обозначения х, производная равняется F(x). Понятно что F(x) первообразная для f(x) в промежутке а больше х больше b. Значит F1(x) = F(x) + C. С -является любым постоянным и первообразным для f(x) в данном интервале. Данное утверждение обратимо, для функции f(x) – 2 первообразные отличаются только постоянной. Опираясь на теорему интегрального исчисления получается, что каждая непрерывная в интервале a

Определенный интеграл понимается как предел в интегральных суммах, или в ситуации заданной функции f(x) определенной на некоторой прямой (а,b) имея на нем первообразную F, означающую разность ее выражений в концах данной прямой F(b) – F(a).

Для наглядности изучения данной темы, предлагаю посмотреть видео. В нем подробно рассказывается и показывается как находить интегралы.

Каждая таблица интегралов сама по себе очень полезна, так как помогает в решении конкретного вида интегралов.

Все возможные виды канцтоваров и не только. Вы можете приобрести через интернет-магазин v-kant.ru. Либо просто перейдите по ссылке Канцтовары Самара (http://v-kant.ru) качество и цены Вас приятно удивят.


Если материал был полезен, вы можете отправить донат или поделиться данным материалом в социальных сетях:

Таблица интегралов – Энциклопедия по экономике

Таким образом, из таблицы производных нетрудно получить таблицу интегралов (см. следующую страницу).  [c.206]

Интегрирование, основанное на прямом использовании таблицы интегралов, называется непосредственным интегрированием.  [c.208]

Я лично непрестанно искал решение этой проблемы. Я безрезультатно возился с идеей суперпозиции двух распределений исходов под углом между ними, согласно коэффициенту корреляции, вычисляя интегралы по образуемым ими поверхностям. Долгое время я думал, что смогу воспользоваться направляющими (частью очевидных на желаемых вероятностях и туманных в остальном). Я хотел выстроить их под углами, согласно их корреляции, пустить вектора, которые пройдут через очевидные части. Пересекаемые ими области будут разделены параллелограммом, образованным возможными зонами пересечения событий, откуда будут получены совместные вероятности. Я вывел все необходимые формулы и запрограммировал их в виде огромных электронных таблиц для анализа результатов этой  [c.136]

На практике часто встречаются интегралы, которые не выражаются через элементарные функции или выражаются очень сложно. Нередко подынтегральная функция задается таблицей или графиком. В этих случаях интегралы находят численными методами. Основа численных методов построения формул приближенного вычисления интегралов состоит в замене частичных криволинейных трапеций, образующихся при разбиении отрезка интегрирования, на более простые фигуры. В формуле прямоугольников — это прямоугольники в формуле трапеций — трапеции в формуле парабол — параболы. Рассмотрим эти методы более подробно.  [c.

254]

Интегралы в этом выражении не могут быть выражены через элементарные функции. Более того, для интегральной функции нормального закона распределения нет ни таблиц, ни графиков, так как с их помощью невозможно охватить все многообразие возможных значений Q и а2 . Произведем поэтому замену переменной  [c.76]

Определение и простейшие свойства неопределенных интегралов. Таблица неопределенных интегралов.  [c.14]

Таблица основных неопределенных интегралов 128 714 Основные методы интегрирования . 130  [c.6]

Таблица основных неопределенных интегралов  [c.128]

Кроме того, можно решить и обратную задачу, т.е. определить тот срок, к которому рассматриваемый комплекс работ может завершиться с некоторой заданной вероятностью Pt. Зная Pd, можно воспользоваться нормальным стандартным распределением (в форме таблиц или с помощью известной функциональной зависимости, описываемой интегралом нормального стандартного распределения  [c.123]

Таблица основных интегралов  [c.

149]

Двайт Г.Б. Таблицы интегралов и другие математические формулы. – М. Изд-во Наука , 1966. – 228 с.  [c.200]

По значению t/ из графика на рис. 29 можно опред пить, с какой вероятностью отдельное значение результата измерения, подчиняющегося нормальному закону распределения вероятности, попадает в интервал V100 Uj. С вероятностью в два раза меньшей оно попадает в левую или правую половину этого интервала. Эта вероятность, как показано в разд. 3.3.4, определяется интегралом вероятности – функцией Лапласа L (tj), так что для повышения точности расчетов можно пользоваться не графиком, а таблицами функции Лапласа. Полученные из таблиц значения /. (т/) занесены в пятую графу табл. 11.  [c.108]

Далее с помощью таблиц, имеющихся в спец. руководствах, вычисляем частости по нормальному распределению при этом частость каждого интервала устанавливается как соотгетствующий определенный интеграл функции/(ж), та что пользоваться надо таблицей ее интегралов. Их итг г — 98,76% — несколько меньше 100%, ибо теоретически кривая нормального распределения простирается до бесконечности (незначительное расхождение с суммой по строкам — следствие округлений). Умножая их на 200, получаемтеоретич. число плашек, вычисленное по нормальному распределению (недостающие 2 штуки прибавлены в крайних группах).  [c.97]

Вычисление интеграле с использованием осно ных свойств неопределенных интегралов и таблицы простейших нгегралов называется непосредственным штегрировшш М. Покажем это на примерах  [c.130]

Грандштейн И.С., Рыжиков И.М. Таблицы интегралов, сумм, рядов и произведений (1963) – PDF, страница 4

Изменен и способ нумерации формул. Все формулы, определения и теоремы разбиты па разделы, которые занумерованы. Принцип нумерации имеет некоторое сходство с десятичной системой классификации и легко может быть. выяснен из оглавления. В оглавлении указаны только более крупные разделы, номера которых содержат одну, дзе или три цифры.

Самые мелкие разделы книги содержат четыре цифры. В эти разделы входят одна нли несколько формул (теорт»м или определений), камера которых напечатаны светлым птрифтом, Цифра «пуль» забронирована за разделами, носящими общий характер: за введениями, определениями и т. п. Первой главе книги, пРедислОВие к чвтвкгтОМР издАнию включающей ряд теорем общего характера и носящей несколько вводный характер, также присвоен нулевой номер. Нововведением в этом издании являются ссылки, сделанные в конце формул и указывающие на литературу, из которой эата формула взята*).

Я старался делать ссылки, в первую очередь, па советские издания и особенно на оригинальные, во вторую очередь, на иностранные книги и, наконоц, в третью очередь, на справочники. Ссылки на журнальную литературу отсутствуют. Формула, взятая из какой-либо книги, иногда видоизмепялась. В этом случае и конце библиографической ссылки ставилась буква и («изменено») В частности, буква и может означать исправление замеченной опечатки. Н. Градштейн ПРЕДИСа1ОВИЕ 1« ЧЕТВЕРТОМУ ИЗДАНИЮ При подготовке четвертого издания И.

С. Градвггойн задумал значительное расширение справочника. Смерть помешала ему реализовать свои замыслы полностью. Им были составлены новые таблицы интегралов от элементарных функций и собраны некоторые материалы для составлении таблиц интегралов от специальных функций. Издательство поручило нам подготовить к печати оставшуюся от И. С. Градштейна рукопись, дополнив ее недостающими разделами.

При вьшолненин этой работы мы старались следовать плану рукописи и предыдущего издания н сохранили, во всяком случае, их главные особенности: порядок следования формул я ссылки па источники. Из предыдущего издания в книгу включены без изменений разделы, касающиеся сумм, рядов, произведений н элементарных функций. Остальные разделы подвергались переработке. Особенно сильно расширены таблицы определенных интегралов от элементарных и специальных фушщяй. Появились разделы, например интегралы от функций Матье, функций Струне, функций Ломмеля и ряда других функций, которых и старом издании не было совсем. Вообще, в четвертом издании справочника число рассматриваемых специальных функций яо сравнению с третьим изданием увеличилось.

В связи с этим главы, относящиеся к специальным функциям, дополнены соответствующими разделами. Большинство определений специальных функций, принятых в предыдущем издании, сохранено. На другие определения мы переходили лишь иногда, следуя источникам, содержащим наиболее богатый материал по интегралам от соответствующих специальных функций. Изменены также некоторые обозначения. Имевшаяся в третьем издании глава, посвященная интегральным преобразованиям, из четвертого издания исключона. Ее материал размещен в других частях справочника. Мы выражаем глубокую признательность Л. Ф. Лапке, который внимательно прочитал рукопись и сделал целый ряд полезных замечаний.

Ю. Геронил»ус, М. Цейтлин *) Ъ”на»атель литературы, на которую имеются ссылки, помещен на стр. 1099 — ИОО. После шифра, указывающего книгу, в библиографических ссылках стоят числа. Числа, не заключенные нн н какие скобки, оаначают страницы; чегла н круглых скобнах— номера формул, цифры в нвадратньхх снобиах — номера таблиц. О ПОРЯДКЕ СЛЕДОВАНИЯ ФОРМУЛ Вопрос о целесообразном порядке следования формул, особенно в таком отделе, как определенные интегралы, оказался весьма сложным.

Естественно приходит мысль об установлении некоторого порядка, аналогичного словарному. Однако простое установлепие такого порядка в формулах интегрального исчисления почти невозможно. Действительно, в любой формуле ь ~(х) с~х, где ~(х) — нечетная функция. Тогда мы такой интеграл опускали. Приведем пример (К 26 на стр. 159 второго издания): 4 (сЪц х — 1)Р 1 Л 1п фд х Ых = — — созес рп. ь1в» ж Р а Естественная подстановка с1дх — 1 = и; с ее помощью получим 0 0 и~ ‘ 1п (1+ и) Ыи = ~ созес рп. Р (2) Этого интеграла непосредственно в справочнике пе было. Его можно было получить нз других более сложных формул, имевшихся в справочнике. Далее Л’Ж~ 59 и 60 являются частными видами формулы Хо 26 на стр. 159. Все эти интегралы в новом издании опущены, Вместо них имеется фор- можно сделать целый ряд подстановок вида х=ф~) и получить таким образом ряд «синонимов» данной формулы.

Надо сказать, что обилием таких «синонимов» и сложных по виду формул грешат как таблица определенных интегралов В1егепз йе Наап’а, так и первые издания данного справочника. Мы старались в настоягцем издании оставить только наиболее простые из «формул-синонимов». О простоте формулы мы судили в основном по простоте аргументов «внешних» функций, входящих в подынтегральное выражение. Где это было можно, мы сложную формулу заменяли более простой Иногда при этом несколько более сложных формул приводятся к одной более простой. Тогда мы оставляли только эту более простую формулу. Иногда, в результате таких упрощающих подстановок, мы приходили к интегралу, который можно вычислить, пользуясь формулами отдела 2 и формулой Ньютона — Лейбница, или к интегралу, имеющему вид а О ПОРЯДКВ СЛНДОВАБИЯ ЮОРМРЛ мула (2) и формула, получающаяся из интеграла (1) пря с1дх = о. Второй пример (№ 24 на стр.

172 второго издания) л 2 1 ~1п(~двх+с18Рх)1пйдхЫх=0. о Подстановка 1дх= и дает подстановке Далее следуют специальные функции: 8. Эллиптические интегралы. 9. Эллиптические функции. 10. Интегральный логарифм, интегральная показательная функция, интегральный синус и интегральный косинус. 11.

Интегралы вероятности и интегралы Френеля. 12. Гамма-фуннция я родственные ей функции. 13. Цилиндрические функции. 14. Функции Матье. 15. Шаровые функции. 16. Ортогональные многочлены. 17 Гипергеометрические функции. 18 Вырожденные гипергеометрические функции. 19. Функции параболического цилиндра. 20. Функции Мейера и Мак-Роберта. 21.

Дзета-функция Римана. В таблицах зти функции располагаются в порядке старшинства, причем внешняя функция принимается во внимание в первую очередь чем старше ()ункция, тем дальше ставится соответствующая формула. Предположим, что в несколько выражений входит одна и та же внешняя функция; например, » выражениях в1п е”, в(п х, з1п 1п х внешняя функция — синус — общая. Такие 1в(ив+и е) 1в и 1+и* о Полагаем далее о= 1п и, Тогда 1 = ~ — 1п (е”‘+ е “”) со — — ~ и 1+»»” ) 2 сй и йо, Ое — ОО Подынтегральная функция нечетна в, следовательно, интеграл равен нулю. Итак, раньше, чем искать интеграл в таблицах, подынтегральное выра- аение следует упростить и притом так, чтобы возможно более простыми ока- зались аргументы («внутренние функции») у функций, входящих в подынте- гральное выражение. Функции упорядочиваются по старшинству следующим образом.

Сначала идут злементарные функции; 1. Функция г(х)=х. 2. Показательная функция, 3. Гиперболические функции. 4. Тригонометрические функции. 5. Логарифмическая функция. 6. Обратньге гиперболические функции (В формулах, содержащих определенные интегралы, они заменены соответствующими логарифмами.) 7.

Обратные тригонометрические функции. О ПОРЯДКЕ СЛЕДОВАНИЯ ФОРМ»’Л выражения располагаются в порядке впутренпих функций. Например, ука- занные три функции расположатся и таком порядке зря х, з)па, з)п1нх. В приведенном нами списке отсутствуют следующие функции: много- член, рациональная, алгебраическая и степенная функции. Встречающаяся в таблицах определенных интегралов алгебраическая функция сводится обычно к конечной комбинации корней рациопальпой степепи, и поэтому мы можем для классификации наших формул условно считать степенную функцию обобщением алгебраической, а следовательно, и рациональной фупкции е). Все указанные функции мы будем отличать от перечисленных выше и будем рассматривать как нвкоторыв операторы.

Интегралы Таблицы – Энциклопедия по машиностроению XXL

Поскольку на втором участке кольца отсутствуют точки перегиба и, следовательно, d /ds нигде на этом участке в нуль не обращается, то величина С, в выражении (2) (стр. 264) должна быть больше единицы. Если же мы, как и в задаче 137, обозначим j через k-, а sin /2 через k sin ф, то придем к эллиптическим интегралам с модулем, большим единицы. Для таких интегралов таблиц не имеется. Поэтому выражения (3)—(6) задачи 137 должны быть преобразованы.  [c.279]

Мы имеем прежде всего тригонометрические, показательные и гиперболические функции. Это — функции, к которым мы обраш,аемся повседневно. Далее идут такнфункции Бесселя и их различные модификации Ьег х, bei х, кег х, kei х и др. При решении некоторых задач приходится иметь дело с таблицами эллиптических интегралов, таблицами эллиптических функций, сферических функций, с таблицами интегрального синуса и т. д.  [c. 152]


В тех случаях, когда данные по теплоемкости как функции температуры представлены в форме таблиц или графика и неизвестны эмпирические постоянные уравнений для теплоемкости, как в уравнении (1-58), интегралы уравнений (10-8) и (10-10) можно вычислить графически и полученные значения АНт и AS°T подставить непосредственно в уравнение (10-6) для AFt Этот метод проще и короче, чем определение постоянных уравнений для теплоемкостей и использование затем аналитических выражений.  [c.296]

Тот же результат получается и по таблице интегралов. Результат перемножения эпюр положителен, так как обе эпюры располагаются снизу стержня. Следовательно, точка приложения нагрузки смещается-вниз, т. е. по принятому направлению единичной силы.  [c.193]

Таблицы эллиптических интегралов приводятся в справочниках специальных функций. См., например, Е. Я н к е и Ф. Эмде. Таблицы функций с формулами и кривыми, ОГИЗ, 1948.  [c.419]

Неподвижный непрерывно действующий источник теплоты переменной мощности. Определение приращений температуры точек тела при действии источника теплоты переменной мощности принципиально ничем не отличается от ранее рассмотренных случаев с источниками теплоты постоянной мощности. Если мощность источника теплоты изменяется во времени, т. е. q = q t), то необходимо взамен постоянной величины q в уравнения (6.9), (6.12) и (6.14) подставить функцию q t), а затем провести интегрирование. Разумеется, при этом может оказаться, что интегралы взять невозможно. В таких случаях их определение следует производить численно, составляя таблицы или программу для ЭВМ.  [c.165]

Для МНОГИХ веществ интегралы с теплоемкостями просчитаны и приведены в справочной литературе в виде таблиц с графой (НJ— 298.is) для различных температур. Пользование такими таблицами существенно облегчает расчет.  [c. 258]

Для рассматриваемого примера х = 5,5 мкм, г = х оо — = 5,5/6 0,91. Пользуясь таблицей значений интегралов функций Ф (г) (см. приложение), находим Ф (г) == 0,3186. Вероятность получения натягов в соединении 0,5 + 0,3186 = 0,8186, или 81,86 %. Вероятность получения зазоров (незаштрихованная площадь под кривой распределения) 1 —0,8186 = 0,1814, или 18,14 %. Вероятные натяг —5,5 — За = —23,5 мкм и зазор —5,5 + Зст = +12,5 мкм практически являются предельными. Этот расчет приближенный, так как в нем не учтены возможности смещения центра группирования относительно середины поля допуска вследствие систематических погрешностей. При высоких требованиях к точности центрирования, а также при больших (особенно ударных) нагрузках и вибрациях назначают посадки с большим средним натягом, т. е. Н/п, Н/т. Чем чаще требуется разборка (сборка) узла и чем она сложнее и опаснее в смысле повреждения других деталей соединения (особенно подшипников качения), тем меньше должен быть натяг в соединении, т. е. следует назначать переходные посадки Н/к, H/j .  [c.221]


После подстановки в явной форме выражения для/(г , Т о, АГо) в левой части формулы (69) получается эллиптический интеграл, и таким образом, задача сводится к одной простой квадратуре — эллиптическому интегралу. Интегралы такого рода хорошо изучены, и для них составлены специальные таблицы. Вычислив этот интеграл, т. е. найдя t как функцию от л и трех произвольных постоянных S, Ко и То, определяемых начальными данными, а затем разрешив полученное соотношение относительно г, нужно вернуться к уравнениям (66) и подставить в их правые части найденное выражение г. Тогда р vi q тоже будут найдены как функции t и указанных трех произвольных постоянных. Уравнения (60) полностью проинтегрированы, причем были использованы два готовых первых интеграла, даваемых законами сохранения, и лишь один раз пришлось вычислить интеграл.  [c. 198]

Интеграл в правой части называется эллиптическим интегралом второго рода. Значение его можно получить с помощью таблиц, но можно с этой же целью применить разложение подынтегрального выражения в ряд по степеням параметра е. Тогда формула для периода колебаний примет вид  [c.228]

Этот интеграл является полным эллиптическим интегралом первого рода, значения которого даются в специальных таблицах.  [c.188]

Вид решения уравнения (22.37) зависит от знака выражения 4Ас — 6 , а само решение, как и в предыдущем случае, получается с помощью таблиц интегралов. Особенность решения заключается в том, что из-за громоздкости полученных выражений практически нельзя перейти от зависимости ф = ф (со) к зависимости со = оз (ф), что делает предпочтительным численные методы решения.  [c.291]

Таблица производных и интегралов  [c.243]

Значения интегралов, с которыми нам придется встретиться при вычислении среднего по времени значения (dx/dt) можно найти в соответствующих таблицах. Однако для случая от > 1 множитель можно с хорошим приближением вынести за  [c.223]

Функция и называется эллиптическим интегралом первого рода имеются подробные таблицы Лежандра (1752—1833), дающие значения и при О я/2 и О й первого рода К = = и л/2). Функция (ijj) непрерывна при всех значениях i 5 ее производная  [c.501]

Значения интегралов формул (в) имеются в таблицах их берут в замкнутом виде [16].  [c.59]

Таблица 41.6. Резонансные интегралы [28]
Таблица 41.7. Резонансные интегралы делящихся элементов [25]
По таблицам эллиптических интегралов при fe = О находим F (0) = = (0) = л/2, а по формулам (10.107), (10.111) получаем  [c.355]

Из соответствующих математических таблиц по значениям аргументов — 5,2 и 2а = о находим функции Лапласа — Гаусса (интегралы вероятности) Фх г = 1 и Ф-Аи) = 0.[c.634]

Дробно-экспоненциальные функции и интегралы от них про-табулированы, эти таблицы описаны и частично приведены в книге Работнова (1977). Следует заметить, что дробно-экспоненциальные функции оказались чрезвычайно удобными для описания линейной наследственности в горных породах, полимерах и армированных пластиках. Принимая ядро ползучести в виде одной дробно-экспоненциальной функции  [c.581]

Экстремум 147, 148 Эксцентриситеты эллипсов 243 Электрические датчики 416 Элементарные функции 87—114 Эллипсоиды 111, 255 Эллипсы 107, 243, 244 Эллиптические интегралы — Таблицы 59 Эллиптические конусы усеченные — Объем 111 Эллиптические параболО 1ды — Уравнения 256  [c.567]

Из рассмотре( кых примеров видно, что при определении перемещений для бруса, изогнутого ио дуге окружности, приходится брать интегралы от простейших трш-онометрических (функций в различных комбинациях. Так как эти ко.мбииации довольно типичны, представляется целесообразным даль сводку наиболее часто нстре-чающихед при решении подобных задач интегралов (см. таблицу 5).  [c.181]


Полученные интс ралы в элементарных функциях не берутся. Они носят название эллиптических интегралов первого рода. Для них “существуют таблицы, Е которых задаются значения интегралов в функции верхнего предела ф и модуля инте1 рала т ).  [c.419]

Интегралы, стоящие в первом уравнении (14.15), называются эллиптическими интегралами второго рода. Для них, как и для интегралов первшо рода, существуют подробные таблицы.. Уравнения (14.15) дают в парпметри-ческом виде уравнение упругой линии изо[иутого стержня.  [c.421]

В первой строке этой таблицы приведено несколько зиачс 1ий параметра ш, взятых е таким расчетом, чтобы ar sin/ i = 5°, 10 , 15°,. .. Эго ирсдстанляст очевидные удобства, потому что эллиптические интегралы в большинстве задаются именно в функции угла ar sin т, а не самой величины т.  [c.421]

Для всех приведенных выше формул характеристик новых каких-либо таблиц интегралов, кроме имеющихся для случая установившегося движения, не требуется. Исключением являются интегралы О г) и 61 (г) для довольно редкого в практике случая отрицательных уклонов дна, для которых табличных значений пока мы нещмеем.  [c.213]

Таблица 29.31. Намагниченности иттриевого граната и подрешеток Ма и и обменные интегралы Jlj по результатам измерений различными методами [151]
Итак, зная кривизны поверхностей соприкасающихся тел и угол гр между их главными нормальными сечениями, по формуле (10.69). можно вычислить os 9. Тогда, пользуясь таблицами полных эллиптических интегралов, из уравнения (10.100) можно определить k. Зная к, по формулам (10.103) и (10.105) найти коэффициенты man, затем по формулам (10.102) и (10.106) получить полуоси а к Ь контурного эллипса, а по формулам (10.107) и (10.111) —величины а и ро- Для облегчения перечисленных вычислений Г. Виттемор и С. Петренко составили (1921) таблицу (табл. 10.1), позволяющую сразу определить коэффициенты т а п в зависимости от 0.  [c.355]

По кривым рис, 10.11 при Ь/а = 0,181 найдем, чтот ах = 0,32ро = 1850кгс/см и этр напряжение имеет место на глубине z а 0,14а = 0,423 10 см При k = = 1 —(b/fl) = 0,985 по таблицам полных эллиптических интегралов найдем F (k) = 3,1534 и тогда по формуле (10.107) получим а = 0,905. Ю- см.  [c.362]

Функция E(k) находится для значения Мп = 0,7843 из таблиц эллиптических интегралов по а = ar sin k = 38,34° н равна Е(к) = 1.407. В соответствии с этим  [c.231]

Из таблиц полных. эллиптических интегралов по а = ar sin k = 35,26° находим (k) = К74 и после подстановки данных в (8.40) получаем =  [c.235]

По углу а = ar sin 0,76439 = 49,81° из таблиц эллиптических интегралов находим  [c.466]

В рассматриваемой задаче кромки оперения дозвуковые, так как угол Маха Роо = ar sin(l/M o) = 41,8° больше л/2 — х = “/2 — 63,5 = 26,5°. Для этого случая k = 0,8303 затем по а = ar sin0,8303 = 56,13° из таблиц эллиптических интегралов находим К = 2,06 Е — 1,248 и вычисляем = 1,315 т – = —0,3539.  [c.652]


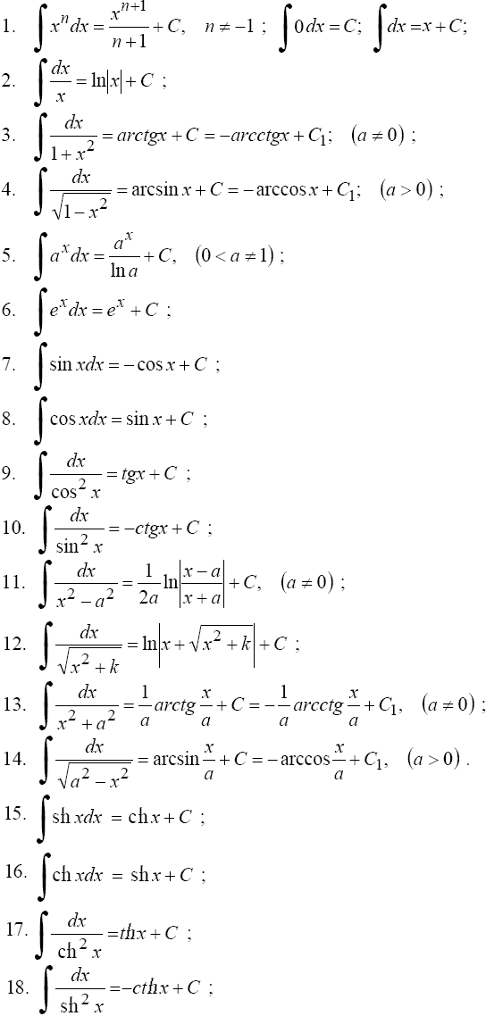
Таблица неопределенных интегралов


Функции, содержащие a2
 
+ x2
 
, a2
 
– x2
 
, a + bx2
 
1)     = arctgx + C
2)     = 1 
a
arctg x 
a
+ C
3)     = 1 
2a
ln| a + x 
a – x
| + C = 1 
2a
ln| x + a 
x – a
| + C
4)     =
 
arctg(x b 
a
) + C   при a > 0 и b > 0
Если a и b отрицательны, то знак “−” выносится за интеграл,
а если a и b разных знаков, то использовать следущую формулу (№5)
6)     =ln|x2
 
+ a 
b
| + C
7)     = x 
b
 a 
b
 , затем см. №4 или №5
9)     = – b 
a
 , затем см. №4 или №5
10)     = +  , затем см. №4 или №5

Функции, содержащиеa + bx
1)    a + bx  dx =(a + bx)3
 
+ C
2)    x  dx = –
2(2a – 3bx)(a + bx)3
 
+ C
3)    x2
 
 dx =
2(8a2
 
– 12abx + 3b2
 
x2
 
)(a + bx)3
 
+ C
5)     =
2(8a2
 
– 4abx + 3b2
 
x2
 
)a + bx
+ C
6)     =ln|| + C , при a > 0
7)     =arctg + C , при a
8)     = b 
2a
 , затем см. №6 или №7
9)     = + a , затем см. №6 или №7

Функции, содержащие
1)      dx = x 
2
+ 1 
2
a2
 
ln|x +| + C
2)      dx = x 
8
(2x2
 
+ 5a2
 
) + 3 
8
a4
 
ln|x +| + C
3)    x  dx = 1 
3
+ C
4)    x2
 
 dx = x 
8
(2x2
 
+ a2
 
) 1 
8
a4
 
ln|x +| + C
5)     =ln|x +| + C
8)     = x 
2
 1 
2
a2
 
ln|x +| + C
9)     = − +ln|x +| + C
10)     = 1 
a
ln|| + C
12)     = − +ln|| + C
13)     = – aln|| + C
14)     = − 1 
x
+ln|x +| + C

Функции, содержащие
1)     =arcsinx + C
2)     =arcsin x 
a
+ C
4)     = − + C
6)     = − x 
2
+ 1 
2
a2
 
arcsin x 
a
+ C
7)    dx = x 
2
+ 1 
2
a2
 
arcsin x 
a
+ C
8)    dx = x 
8
(5a2
 
– 2x2
 
) + 3 
8
a4
 
arcsin x 
a
+ C
9)    xdx = − 1 
3
+ C
10)    xdx = − 1 
5
+ C
11)    x2
 
dx = x 
8
(2x2
 
– a2
 
) + 1 
8
a4
 
arcsin x 
a
+ C
12)     =arcsin x 
a
+ C
13)     = 1 
a
ln|| + C
15)     = − +ln|| + C
16)     = – aln|| + C
17)     = − 1 
x
arcsin x 
a
+ C

Функции, содержащие
1)     =ln|x +| + C
4)      dx = x 
2
 1 
2
a2
 
ln|x +| + C
5)      dx = x 
8
(2x2
 
– 5a2
 
) + 3 
8
a4
 
ln|x +| + C
6)    x  dx = 1 
3
+ C
7)    x  dx = 1 
5
+ C
8)    x2
 
 dx = x 
8
(2x2
 
– a2
 
) 1 
8
a4
 
ln|x +| + C
9)     = x 
2
+ 1 
2
a2
 
ln|x +| + C
10)     = − +ln|x +| + C
11)     =arcsecx + C
12)     = 1 
a
arcsec x 
a
+ C
14)     = +arcsec x 
a
+ C
15)     = – a*arccos a 
x
+ C
16)     = − 1 
x
+ln|x +| + C

Функции, содержащие,
Функция, содержащаяинтегрируется подстановкой t = x – a.
Тогда получает вид, и интеграл находят в группе
для функций, содержащих. Если его в таблице нет,
то стараются привести его к виду, имеющемуся в таблице.
То же можно сказать и о функции, содержащей выражение.
В этом случае подстановка t = x + a приводит радикал к виду

Функции, содержащие a + bx + cx2
 
  (c > 0)
1)     =
{
arctg + C , если b2
 
ln|| + C , если b2
 
> 4ac
2)     =ln|2cx + b + 2| + C
3)    dx =ln|2cx + b + 2| + C
4)     =ln|2cx + b + 2| + C

Функции, содержащие a + bx – cx2
 
  (c > 0)
2)     =arcsin + C
3)    dx = +arcsin + C
4)     = − +arcsin + C

Другие алгебраические функции
1)     a + x 
b + x
dx = + (a – b)ln| +| + C
2)     a – x 
b + x
dx = + (a + b)arcsin x + b 
a + b
+ C
3)     a + x 
b – x
dx = − – (a + b)arcsin b – x 
a + b
+ C
4)     1 + x 
1 – x
dx = − + arcsinx + C
5)     =2arcsin x – a 
b – a
+ C

Показательные и тригонометрические функции
2)    ex
 
dx =ex
 
+ C
3)    eax
 
dx = + C
4)    sinx dx = -cosx + C
5)    cosx dx = sinx + C
6)    tgx dx = -ln|cosx| + C
7)    ctgx dx = ln|sinx| + C
8)    secx dx = ln|secx + tgx| + C = ln|tg( π 
4
+ x 
2
)| + C
9)    cosecx dx = ln|cosecx – ctgx| + C = ln|tg x 
2
| + C
10)    sec2
 
x dx = tgx + C
11)    cosec2
 
x dx = -ctgx + C
12)    secx*tgx dx = secx + C
13)    cosecx*ctgx dx = -cosecx + C
14)    sin2
 
x dx = x 
2
 1 
4
sin2x + C
15)    cos2
 
x dx = x 
2
+ 1 
4
sin2x + C
16)    sinn
 
x dx = − + n – 1 
n
sinn – 2
 
x dx
Эта формула применяется несколько раз, пока не приведет к интегралу
sinx dx илиsin2
 
x dx(в зависимости от n, четное или нечетное), затем №4 или №14.
17)    cosn
 
x dx = + n – 1 
n
cosn – 2
 
x dx
Аналогично предыдущему интегралу, затем №5 или №15.
18)     = −   1   
n – 1
+ n – 2 
n – 1
Эта формула применяется несколько раз, пока не приведет к интегралу
dx или   dx   
sinx
(в зависимости от n, четное или нечетное), затем №9.
19)     =   1   
n – 1
+ n – 2 
n – 1
Аналогично предыдущему интегралу, затем №8.
20)    sinx * cosn
 
x dx = − + C
21)    sinn
 
x * cosx dx = + C
22)    sinn
 
x * cosm
 
x dx =
cosm – 1
 
x *sinm + 1
 
x
m + n
 
+ m – 1 
m + n
sinn
 
x * cosm – 2
 
x dx
Применяется несколько раз, пока степень косинуса не будет равна нулю (если m – четное)
или единице (если m – нечетное). В первом случае см.№16, во втором – №21.
Этой формулой следует пользоваться, когда m n, то лучше пользоваться №23.
23)    sinn
 
x * cosm
 
x dx = −
cosm + 1
 
x *sinn – 1
 
x
m + n
 
+ n – 1 
m + n
sinn – 2
 
x * cosm
 
x dx
Аналогично предыдущему интегралу, затем №17 и №20.
24)    sin(mx)sin(nx)dx = − sin(m + n)x 
2(m + n)
+ sin(m – n)x 
2(m – n)
+ C ,   (m ≠ n).
25)    cos(mx)cos(nx)dx = sin(m + n)x 
2(m + n)
+ sin(m – n)x 
2(m – n)
+ C ,   (m ≠ n).
26)    sin(mx)cos(nx)dx = − cos(m + n)x 
2(m + n)
 cos(m – n)x 
2(m – n)
+ C ,   (m ≠ n).
27)     =arctg(tg x 
2
) + C , если a > b
28)     =ln|
b – atg x 
2
+b + a
b – atg x 
2
b + a
| + C , если a
29)     =arctg + C , если a > b
30)     =ln|| + C , если a
31)    
 
dx
a2
 
cos2
 
x + b2
 
sin2
 
x
= 1 
ab
arctg( b tgx 
a
) + C
32)    ex
 
sinx dx = + C
33)    eax
 
sin(nx) dx =
eax
 
(a sin(nx) – n cos(nx))
+ C
34)    ex
 
cosx dx = + C
35)    eax
 
cos(nx) dx =
eax
 
(n sin(nx) + a cos(nx))
+ C
36)    x eax
 
dx =(ax – 1) + C
37)    xn
 
eax
 
dx = n 
a
xn – 1
 
eax
 
dx
Формула применяется несколько раз, пока степень х не станет равной единице, затем см. №36
38)    x amx
 
dx = + C
39)    xn
 
amx
 
dx =   n   
m ln(a)
xn – 1
 
amx
 
dx
Формула применяется несколько раз, пока степень х не станет равной единице, затем см. №38
40)    eax
 
cosn
 
dx =
eax
 
cosn – 1
 
x(a cosx + n sinx)
+eax
 
cosn – 2
 
dx
Формула применяется несколько раз, пока косинус не исчезнет (если четное n)
или его степень не станет равной единице (если нечетное n), затем см. №35
41)    sh x dx = ch x + C
42)    ch x dx = sh x + C
43)    th x dx = ln|ch x| + C
44)    cth x dx = ln|sh x| + C
45)    sch x dx = 2arctg ex
 
+ C
46)    csch x dx = ln|th x 
2
| + C
47)    sch2
 
x dx = th x + C
48)    csch2
 
x dx = -cth x + C
49)    sch x th x dx = sch x + C
50)    csch x cth x dx = -csch x + C
51)    sh2
 
x dx = − x 
2
+ 1 
4
sh3x + C
52)    ch2
 
x dx = x 
2
+ 1 
4
sh3x + C

Логарифмические функции
Даются функции, содержащие только натуральный логарифм. Если требуется найти
интеграл от функции, содержащей логарифм при другом основании,
то предварительно переводят его в натуральный по формуле
log 
a
x = ln(x) 
ln(a)
, а затем пользуются таблицей.
1)    ln(x)dx = x ln(x) – x + C
2)     = ln|ln(x)| + C
3)    xn
 
ln(x)dx = xn + 1
 
(  ln(x)  
n + 1
) + C
4)    lnn
 
(x)dx = x lnn
 
(x) – nlnn – 1
 
(x)dx
Формулу применять до тех пор, пока не получится интегралln(x)dx, затем №1
5)    xm
 
lnn
 
(x)dx =lnn
 
(x) –   n   
m + 1
xm
 
lnn – 1
 
(x)dx
Формулу применять до тех пор, пока не получится интеграл №3

Приложение В.

Таблицы -интегралов – Справочник химика 21

Химия и химическая технология

Статьи Рисунки Таблицы О сайте English     Пользуясь таблицей интеграла (17). данной в приложении V. находим  [c.423]

    Пользуясь таблицей значений интеграла (17), данной в Приложении V, находим  [c.599]

    Принимая, что потенциал Леннарда — Джонса адекватно описывает взаимодействие между неполярными молекулами, Гиршфельдер, Кертисс и Берд [4] рассчитали интеграл столкновений в уравнении (VIII. 9) и составили таблицу значений этого интеграла в функции от Т = kTI o (табл. VIII. 1). Величины ео (или so/k) и а являются параметрами потенциала Леннарда — Джонса (раздел 1.10, приложение VII). Значения, приведенные в приложении VII были рассчитаны в обратной последовательности (исходя [c.433]


    Предлагаемый вниманию читателей I том таблиц интегралов квантовой химии содержит наиболее подробные из существующих таблицы численных значений двух важных вспомогательных интегралов квантовой химии – интегралов и В (широкое применение в квантовохимических расчетах, где, например, всегда приходится вычислять двухцентровые одноэлектроыные интегралы, которые в вытянутых сфероидальных координатах (см. например [48]) легко представить в виде алгебраической суммы произведений интегралов А и В (см. например [21]). Отметим также появление интеграла А при вычислении одноцентровых двухэлектронных радиальных интегралов в теории атомных спектров [4,5] и двухцентровыходноэлектронных радиальных интегралов в теории поля лигандов [33]. Среди прочих приложений укажем, что интеграл А появляется при решении ряда задач теории кристаллической решетки методом Эвальда (например, при улучшении сходимости сумм, распространенных по узлам решетки [80,37,38,9]), а также в теории мономолекулярных реакций [105]. Интеграл В встречается, например, в теории телефонных реле с электромагнитной задержкой [47]. [c.450]
Смотреть страницы где упоминается термин Приложение В. Таблицы -интегралов: [c.40]    [c.58]    [c.250]    [c.68]    [c.68]   
Смотреть главы в:

Математическая теория процессов переноса в газах -> Приложение В. Таблицы -интегралов



© 2022 chem21.info Реклама на сайте

Таблица интегралов в исчислении


“Покупка DVD-дисков с репетитором по алгебре, математике и физике была лучшей инвестицией в образование”.

“В прошлом семестре я прошел путь от троечки до
отличницы!”

Лес Дж.
Матаван, Нью-Джерси


“DVD-диски Math Tutor просто фантастические!
Джейсон представляет материал в ясной
и хорошо организованной форме.  

Я был в полном
ужасе от физики,
но сразу после первой лекции я почувствовал себя непринужденно.

С. Дидс-Рубин
Лос-Анджелес, Калифорния


“Ваши методы настолько ясны, что мой семилетний
-летний сын схватывал уроки тригонометрии. Я тоже узнаю кое-что
новое.”

Гэри Г.


“Просматривать ваши видео-подсказки по математике – это прекрасно, потому что, когда вы решаете задачи, вы показываете и объясняете каждый шаг.”

М. Далримпл
Ланкастер, Калифорния

“Все инструкции
и примеры на DVD-дисках с репетиторами по математике очень четко объяснены, а стиль преподавания Джейсона определенно позволяет зрителю чувствовать себя комфортно с представляемым материалом.

 

Д. Форбс
Миддлтаун, Нью-Джерси


“Я нашел лекции
очень ясными, прямолинейными, и темп был как раз для меня, который не видел никаких исчислений или триггеров за последние 10 лет и должен быстро набрать скорость.”

София

 


 

“Просто хотел, чтобы вы знали, что благодаря
фонду, который я получил от ваших вспомогательных DVD по математике (особенно DVD по предварительному исчислению), я смог пройти курс по предварительному анализу в этом семестре на пятерку!”

 

Дж. Ректон

 

 

“У вас серьезный учительский дар.
Доказательство тому, что я смотрю ваши DVD, когда я
обычно гуляю. Никогда не думал, что смогу выучить математику. Я сразу перехожу к математике, а затем к физике. Я действительно наслаждайтесь этим, и я думаю о смене карьеры. Отличная работа!”

 

Д. Смит

Математические слова: таблица интегралов

Встроенный стол

Для следующих букв a , b , n , и C представляют константы.

Примечание. Большинство следующих интегральных записей пишутся на неопределенный срок интегралы, но они применимы и к определенным интегралы.

Основные формы

1. , где n ≠ –1

2.

3.

4. , где a > 0 и a ≠ 1

5.

6.

7.

8.

9.

10.

11. , где F ( u ) является производной от f ( u )

Другие базовые триггеры и инверсы Триггерные формы

12.

13.

14.

15.

16.

17. для a > 0

18.

19. для a > 0

20. для и > 1

21. для u > a > 0

Основные рациональные формы

22. для а > 0

23. для a > 0


Триггерные формы

24.

25.

26.


Обратные триггерные формы

27.

28.

29.

30.

31. для и > 1

32. для и > 1


Формы, содержащие

33. для a > 0


Формы, содержащие

34.

Формы, содержащие

35.для u > a > 0


Формы, включающие au + b

36.

37.


Экспоненциальные формы

38.

39.

40.

41.

42.


Логарифмические формы

43.


Определенные интегралы

44.

 

См. также

Интеграция методы, интегральные правила

 

Таблица интегралов, рядов и произведений

Это седьмое издание известного справочника (сокращенно ОТО), основное внимание в котором уделяется определенным и неопределенным интегралам.Он также содержит много информации о специальных функциях и полезную информацию о других темах анализа, таких как неравенства, дифференциальные уравнения, интегральные преобразования, матрицы и определители. К нему прилагается компакт-диск, на котором вся книга находится в формате MathML.

Теперь, когда у нас есть компьютеры и Интернет, большие книги с таблицами стали менее важны в математике. Вопросы, которые возникают в связи с такой работой, включают: Могу ли я найти что-то в этой книге? Могу ли я найти их проще в Интернете или с помощью системы компьютерной алгебры (CAS), такой как Mathematica ? Откуда мы знаем, что книга (или CAS) точна?

Я проверил «находимость», используя JSTOR для поиска некоторых элементов в American Mathematical Monthly Раздел задач, которые использовали GR в своем решении.Затем я проверил, смогу ли я самостоятельно найти предмет в GR. Выбранные задачи имели 9 определенных интегралов, 2 конечных суммы и 1 бесконечный ряд. Я провел около часа с GR и смог найти 8 из этих 12 предметов. Я думаю, что это показывает превосходную простоту использования — по сути, я решил 8 90 104 Ежемесячных 90 105 задач за один час! Формулы, которые я нашел, были теми же, что и в решениях Monthly , поэтому они уже были бы там, если бы я работал над проблемами, когда вышел Monthly .

Искать математические формулы в Интернете — дело удручающее, и мне с этим никогда не везло. Mathematica 6.0 очень хорошо справляется с определенными интегралами и бесконечными рядами, но эти примеры разочаровали, обнаружив только 5 из 12 элементов. Справочники по-прежнему имеют преимущество перед компьютерами! Я думаю, что справочники также полезны для просмотра: точный результат, который вы хотите, может быть неизвестен, но вы можете найти аналогичный результат, доказательство которого вы можете адаптировать.

Я протестировал компакт-диск на Macintosh с помощью Firefox 2.0.0.4 и Netscape Navigator 9.0b2, и проблем с отображением не было. Загрузка каждой главы занимает много времени, потому что они огромны (несколько мегабайт), а для рендеринга всего MathML требуется время.

Издатель заявляет, что компакт-диск “полностью доступен для поиска”, но это преувеличение. Вы можете использовать функцию поиска браузера для поиска обычного текста, и вы можете искать математический текст в том смысле, что вы можете искать формулу со всеми удаленными тегами MathML. Например, предположим, что вы ищете значение интеграла от 0 до бесконечности sin( x )/ x . Вы можете выполнить поиск по слову «sinxx» и найти несколько релевантных результатов, хотя вы пропустите несколько других релевантных результатов, в которых t используется в качестве переменной интегрирования.

Откуда мы знаем, что приведенные в справочнике результаты верны? Предыдущее (6-е) издание GR содержит 64 страницы опечаток, так что это не легкомысленное беспокойство. Для большинства представленных результатов, особенно для определенных интегралов, нет очевидного способа их проверки.GR (в отличие от CAS) дает источник каждого результата, поэтому, по крайней мере, теоретически вы можете посмотреть на первоисточник и обрести некоторую уверенность. Но многие из источников для GR старые (с 1800-х годов) и, вероятно, труднодоступны, и кажется, что некоторые из них являются более ранними таблицами, которые могут не иметь самих источников.

Джордж Борос и Виктор Молл несколько лет назад начали амбициозный проект по проверке всех формул ОТО. На данный момент в результате этих усилий в ОТО было внесено множество поправок, а книга «Непреодолимые интегралы» (Кембридж, 2004 г.) полна интересных вещей, включая доказательства небольшой части формул ОТО.Проект продолжается и имеет веб-страницу по адресу http://www.math.tulane.edu/~vhm/Table.html.


Аллен Стенгер — любитель математики, библиотечный пропагандист и программист на пенсии. В свободное время он работает волонтером на MathNerds.com, справочном сайте по математике, который способствует обучению с помощью запросов. Его математические интересы связаны с теорией чисел и классическим анализом.

Что такое таблицы интегралов? – idswater.com

Что такое таблицы интегралов?

Процесс нахождения интеграла в исчислении называется интегрированием, а интеграл функции также известен как первообразная функции.Далее следует таблица интегралов различных форм, включая рациональные функции, тригонометрические интегралы, экспоненциальные формы и многое другое.

Какова формула правила трапеций?

Запишем формулу правила трапеций для подынтервалов: T 4 = Δ x 2 [ f ( x 0 ) + 2 f ( x 1 ) + 2 f ( x 2 ) + 2 f ( x 3 ) + f ( x 4 ) ] .

Какие бывают виды интегралов?

Существуют две формы интегралов.

  • Неопределенные интегралы: это интеграл функции, когда нет предела для интегрирования.Он содержит произвольную константу.
  • Определенные интегралы: интеграл от функции с пределами интегрирования. В качестве пределов интервала интегрирования используются два значения.

Какова формула cos2x?

Что такое формула cos 2x? Его можно выразить с помощью различных тригонометрических функций, таких как синус, косинус и тангенс. Это можно выразить так: cos 2x = cos2x – sin2x.

Каковы правила интегрирования тригонометрических интегралов?

Предполагается, что вы знакомы со следующими правилами дифференцирования.Они приводят непосредственно к следующим неопределенным интегралам. 1.) 2.) 3.) 4.) 5.) 6.) Следующие четыре неопределенных интеграла получаются из тригональных тождеств и u-подстановки.

Чем заменить подынтегральную функцию в исчислении 2?

Хитрость здесь заключается в следующем манипулировании подынтегральным выражением. Теперь мы можем использовать замену u = tan x для первого интеграла и результаты предыдущего примера для второго интеграла.

Как переписываются интегралы, содержащие синусы и косинусы?

Каждый интеграл уникален, и в некоторых случаях будет более одного способа вычислить интеграл.При этом большинство, если не все интегралы, включающие произведения синусов и косинусов, в которых оба показателя степени четны, могут быть выполнены с использованием одной или нескольких следующих формул для перезаписи подынтегральной функции.

Как заменить тангенс на триггерную функцию?

Однако показатель степени тангенса нечетный, и у нас есть секанс в интеграле, поэтому мы сможем использовать замену u = sec x u = sec x. Это означает удаление одной касательной (вместе с секущей) и преобразование оставшихся касательных в секущие с использованием (4) (4).

Таблица интегралов, рядов и произведений – И.С. Градштейн И.М….

Это шестое издание самой продаваемой таблицы интегралов, Серии и продукты включают в себя сотни исправлений для предыдущий выпуск. Таблица интегралов, рядов и Products, шестое издание, представляет собой сборник из более чем 10 000 интегралы, или проще математические формулы, и это маловероятно, чтобы кто-либо где-либо в любое время когда-либо использовал или имел использовал каждый интеграл в этой книге.Их выбирают и используется по мере необходимости, поэтому иногда кто-то будет использовать его для в первый раз и найти небольшую ошибку в формуле. Это является важным справочником для математиков, ученых, и инженеров, которые полагаются на него при определении и последующее решение чрезвычайно сложных задач. Таблица Интегралы, ряды и произведения, 6-е издание разработано для использования математиками, учеными и профессионалами инженеры, которым необходимо решать сложные математические задачи.

Содержимое

  • Предисловие к шестому изданию xxi
  • Благодарности xxiii
  • Порядок представления формул xxvii
  • Использование таблиц xxxi
  • Специальные функции xxxix
  • Обозначение xliii
  • Примечание к библиографическим ссылкам xlvii
0 Введение 1
  • 0.1 Конечные суммы 1
  • 0.2 Числовые ряды и бесконечные произведения 6
  • 0,3 Функциональная серия 15
  • 0.4 Некоторые формулы дифференциального исчисления 21
1 Элементарные функции 25
  • 1.1 Степени биномов 25
  • 1.2 Экспоненциальная функция 26
  • 1. 3-1.4 Тригонометрические и гиперболические функции 27
  • 1.5 Логарифм 51
  • 1.6 Обратные тригонометрические и гиперболические функции 54
2 Неопределенные интегралы элементарных функций 61
  • 2.0 Введение 61
  • 2.1 Рациональные функции 64
  • 2.2 Алгебраические функции 80
  • 2.3 Экспоненциальная функция 104
  • 2.4 Гиперболические функции 105
  • 2.5-2.6 Тригонометрические функции 147
  • 2.7 Логарифмы и обратные гиперболические функции 233
  • 2.8 Обратные тригонометрические функции 237
3-4 Определенные интегралы элементарных функций 243
  • 3.0 Введение 243
  • 3.1-3.2 Степенные и алгебраические функции 248
  • 3.3-3.4 Экспоненциальные функции 331
  • 3.5 Гиперболические функции 365
  • 3.6-4.1 Тригонометрические функции 384
  • 4.2-4.4 Логарифмические функции 522
  • 4.5 Обратные тригонометрические функции 596
  • 4. 6 Множественные интегралы 604
5 Неопределенные интегралы специальных функций 615
  • 5.1 Эллиптические интегралы и функции 615
  • 5.2 Экспоненциальная интегральная функция 622
  • 5.3 Интеграл синуса и интеграл косинуса 623
  • 5.4 Интеграл вероятности и интегралы Френеля 623
  • 5.5 Функции Бесселя 624
6-7 Определенные интегралы специальных функций 625
  • 6.1 Эллиптические интегралы и функции 625
  • 6.2-6.3 Экспоненциальная интегральная функция и функции Сгенерировано It 630
  • 6.4 Гамма-функция и порождаемые ею функции 644
  • 6.5-6.7 Функции Бесселя 652
  • 6.8 функций, порожденных функциями Бесселя 745
  • 6.9 Функции Матье 755
  • 7.1-7.2 Связанные функции Лежандра 762
  • 7.3-7.4 Ортогональные многочлены 788
  • 7.5 Гипергеометрические функции 806
  • 7.6 Вырожденные гипергеометрические функции 814
  • 7. 7 Функции параболического цилиндра 835
  • 7.8 Функции Мейера и Мак-Роберта (G и E) 843
8-9 Специальные функции 851
  • 8.1 Эллиптические интегралы и функции 851
  • 8.2 Экспоненциальная интегральная функция и функции Сгенерировано It 875
  • 8.3 Интегралы Эйлера первого и второго рода 883
  • 8.4-8.5 Функции Бесселя и функции, связанные с Их 900
  • 8.6 Функции Матье 940
  • 8.7-8.8 Связанные функции Лежандра 948
  • 8.9 Ортогональные многочлены 972
  • 9.1 Гипергеометрические функции 995
  • 9.2 Вырожденные гипергеометрические функции 1012
  • 9.3 G-функция Мейера 1022
  • 9.4 Электронная функция MacRobert 1025
  • 9.5 Дзета-функции Римана [дзета] (z, q) и [дзета] (z), а Функции [Phi] (z, s, v) и [xi] (s) 1026
  • 9.6 Числа и многочлены Бернулли, числа Эйлера 1030
  • 9.7 Константы 1035
10 Векторная теория поля 1039
  • 10. 1-10.8 Векторы, векторные операторы и интеграл Теоремы 1039
11 Алгебраические неравенства 1049
  • 11.1-11.3 Общие алгебраические неравенства 1049
12 Интегральные неравенства 1053
  • 12.11 Теоремы о среднем значении 1053
  • 12.21 Дифференцирование определенного интеграла, содержащего параметр 1054
  • 12.31 Интегральные неравенства 1054
  • 12.41 Выпуклость и неравенство Йенсена 1056
  • 12.51 Ряды Фурье и связанные с ними неравенства 1056
13 Матрицы и связанные результаты 1059
  • 13.11-13.12 Специальные матрицы 1059
  • 13.21 Квадратичные формы 1061
  • 13.31 Дифференцирование матриц 1063
  • 13.41 Матрица экспоненциальная 1064
14 Детерминанты 1065
  • 14.11 Разложение определителей второго и третьего порядка 1065
  • 14.12 Основные свойства 1065
  • 14.13 Миноры и кофакторы определителя 1065
  • 14. 14 Основные несовершеннолетние 1066
  • 14.15 Лапласово разложение определителя 1066
  • 14.16 Теорема Якоби 1066
  • 14.17 Теорема Адамара 1066
  • 14.18 Неравенство Адамара 1067
  • 14.21 Правило Крамера 1067
  • 14.31 Некоторые специальные определители 1068
15 норм 1071
  • 15.1-15.9 Векторные нормы 1071
  • 15.11 Общие свойства 1071
  • 15.21 Нормы главных векторов 1071
  • 15.31 Нормы матрицы 1072
  • 15.41 Основные натуральные нормы 1072
  • 15.51 Спектральный радиус квадратной матрицы 1073
  • 15.61 Неравенства, касающиеся собственных значений матриц 1074
  • 15.71 Неравенства для характеристического многочлена 1074
  • 15.81-15.82 Названные теоремы о собственных значениях 1076
  • 15.91 Вариационные принципы 1081
16 Обыкновенные дифференциальные уравнения 1083
  • 16.1-16.9 Результаты, относящиеся к решению обычных дифференциальные уравнения 1083
  • 16. 11 Уравнения первого порядка 1083
  • 16.21 Фундаментальные неравенства и связанные с ними результаты 1084
  • 16.31 Системы первого порядка 1085
  • 16.41 Некоторые специальные типы элементарного дифференциала уравнения 1087
  • 16.51 Уравнения второго порядка 1088
  • 16.61-16.62 Теоремы о колебаниях и неколебаниях для уравнений второго порядка 1090
  • 16.71 Две связанные теоремы сравнения 1093
  • 16.81-16.82 Неколебательные решения 1093
  • 16.91 Некоторые оценки роста решений уравнения второго порядка 1094
  • 16.92 Теоремы ограниченности 1096
17 Преобразования Фурье, Лапласа и Меллина 1099
  • 17.1-17.4 Интегральные преобразования 1099
18 Z-преобразование 1127
  • 18.1-18.3 Определение, двустороннее и одностороннее z-преобразования 1127
  • Ссылки 1133
  • Дополнительные каталожные номера 1137
  • Индекс функций и констант 1143
  • Общий индекс 1153

Таблица интегралов

1.   
sin (x) dx = -cos (x) + C
2.  
cos (x) dx = sin (x) + C
3.
sin 2 (x) dx = x2 – 14 sin (2x) + C
4.  
cos 2 (x) dx = x2 + 14 sin (2x) + C
5.  
sin n (x) dx = -1n sin n – 1 (x) cos (x) + n – 1n sin н – 2 (x)dx
6.
cos n (x) dx = 1n cos n – 1 (x) sin (x) + n – 1n cos n – 2 (x) dx
7.  
dxsin (x) = ln|tg(x2)| + С
8.   
dxcos (x) = ln|ctg(x2)| + С
9.
dxsin 2 (х) = -ctg (х) + С
10.  
dxcos 2 (х) = tg (х) + С
11.  
sin (x) cos (x) dx = -14cos (2x) + C
12.  
sin 2 (x) cos (x) dx = 13sin 3 (x) + C
13.
sin (x) cos 2 (x) dx = -13cos 3 (x) + C
14.  
sin 2 (x) cos 2 (x) dx = -18x – 132sin (4x) + C
15.   
tg (x) dx = -ln |cos (x)| + С
16.
ctg (x) dx = ln |sin (x)| + C
17.  
sin(x)cos 2 (x)dx = 1cos(x) + C
18.  
cos (x) sin 2 (x) dx = -1sin (x) + C
19.  
sin 2 (x)cos 2 (x)dx = tg (x) – x + C
20.
cos 2 (x)sin 2 (x)dx = -ctg (x) – x + C
21.  
sin 2 (x)cos (x)dx = ln|ctg(x2)| – грех (х) + С
22.   
cos 2 (x)sin (x)dx = ln|tg(x2)| + cos (х) + С
23.
dxsin (x) cos (x) = ln|tg(x)| + С
24.  
dxsin 2 (x) cos (x) = -1sin (x) + ln|ctg(x2)| + С
25.  
dxsin (x) cos 2 (x) = 1cos (x) + ln|tg(x2)| + С
26.
dxsin 2 (х) cos 2 (х) = tg(x) – ctg(x) + C
27.  
dxsin n (x) = -1n – 1cos (x)sin n – 1 (x) + n – 2n – 1 dxsin n – 2 (x)
28.  
tg n (x) dx = tg n – 1 (x)n – 1 –  тг н – 2 (х)дх
29.

Оставить комментарий