Корни (решения) квадратного уравнения зависят от знака дискриминанта (D) :
D>0 – уравнение имеет 2 различных действительных корня;
D=0 – уравнение имеет 1 корень (2 совпадающих корня):
D<0 – не имеет действительных корней (в школьной теории). В ВУЗах изучают комплексные числа и уже на множестве комплексных чисел уравнение с отрицательным дискриминантом имеет два комплексных корня.
Формула для вычисления дискриминанта достаточно проста, поэтому множество сайтов предлагают онлайн калькулятор дискриминанта. Мы с такого рода скриптами еще не разобрались, поэтому кто знает, как это реализовать просим писать на почту Этот адрес электронной почты защищён от спам-ботов. У вас должен быть включен JavaScript для просмотра..Общая формула для нахождения корней квадратного уравнения:
Корни уравнения находим по формуле
Если коэффициент при переменной в квадрате парный то целесообразно исчислять не дискриминант, а четвертую его часть
В таких случаях корни уравнения находят по формуле
Формулируется теорема не только для квадратных уравнений, но и для многочленов. Это Вы можете почитать в Википедии или других электронных ресурсах. Однако для упрощения рассмотрим ту ее часть, которая касается приведенных квадратных уравнений, то есть уравнений вида (a=1)
Суть формул Виета заключается в том, что сумма корней уравнения равна коэффициенту при переменной, взятому с противоположным знаком. Произведение корней уравнения равно свободном члену. Формулами теорема Виета имеет запись.
Вывод формулы Виета достаточно прост. Распишем квадратное уравнение через простые множители
Как видите все гениальное одновременно является простым. Эффективно использовать формулу Виета когда разница корней по модулю или разница модулей корней равна 1, 2. Например, следующие уравнения по теореме Виета имеют корни
До 4 уравнения анализ должен выглядеть следующим образом. Произведение корней уравнения равно 6, следовательно корнями могут быть значения (1, 6) и (2, 3) или пары с противоположным знаком.
Сумма корней равна 7 (коэффициент при переменной с противоположным знаком). Отсюда делаем вывод что решения квадратного уравнения равны x=2; x=3.
Проще подбирать корни уравнения среди делителей свободного члена, корректируя их знак с целью выполнения формул Виета. В начале это кажется трудно сделать, но с практикой на ряде квадратных уравнений такая методика окажется эффективнее вычисления дискриминанта и нахождения корней квадратного уравнения классическим способом.
Как видите школьная теория изучения дискриминанта и способов нахождения решений уравнения лишена практического смысла – “Зачем школьникам квадратное уравнение?”, “Какой физический смысл дискриминанта?”.
Давайте попробуем разобраться,
что описывает дискриминант?В курсе алгебры изучают функции, схемы исследования функции и построения графика функций. Из всех функций важное место занимает парабола, уравнение которой можно записать в виде
Так вот физический смысл квадратного уравнения – это нули параболы, то есть точки пересечения графика функции с осью абсцисс Ox
Свойства парабол которые описаны ниже попрошу Вас запомнить.
Придет время сдавать экзамены, тесты, или вступительные экзамены и Вы будете благодарны за справочный материал. Знак при переменной в квадрате соответствует тому, будут ли ветки параболы на графике идти вверх (a>0),
или парабола ветвями вниз (a<0).
Вершина параболы лежит посередине между корнями
Физический смысл дискриминанта:
Если дискриминант больше нуля (D>0) парабола имеет две точки пересечения с осью Ox.
Если дискриминант равен нулю (D=0) то парабола в вершине касается оси абсцисс.
И последний случай, когда дискриминант меньше нуля (D<0) – график параболы принадлежит плоскости над осью абсцисс (ветки параболы вверх), или график полностью под осью абсцисс (ветки параболы опущены вниз).
Если в квадратном уравнении коэффициент при свободном члене или переменной равны нулю то такие уравнения называют неполными. Корни уравнений находим по упрощенной формуле
График функций всегда симметричен относительно начала координат.
Стоит отметить, что уравнение имеет действительные корни только тогда, когда в уравнении чередуются знаки при коэффициентах “+, -” или “-, +”.
Неполное квадратное уравнение вида
одним из корней всегда имеет точку x=0.
В таком контексте решения квадратных уравнений становится нужным, а при построении графиков парабол, еще и визуально интересным времяпрепровождением, особенно если речь идет о школьном занятии по анализу графика функций, или изучении темы парабол. Поэтому в 8, 9 классе рекомендуем эти две темы в алгебре сочетать.
Если материал помог Вам в обучении, просьба поделиться с друзьями ссылкой на статью!
как сдать часть 2 ЕГЭ по математике — Учёба.ру
Чем раньше начнешь готовиться к ЕГЭ,
тем выше будет балл Поможем подготовиться, чтобы сдать экзамены на максимум и поступить в топовые вузы на бюджет. Первый урок бесплатно
Татьяна Петрова,
преподаватель математики учебного центра Challenge
Задание № 9
Что требуетсяВыполнить вычисления и преобразования.
Это задача на вычисление значения числового или буквенного выражения. Здесь достаточно уметь выполнять действия с числами и знать определение и простейшие свойства степеней с рациональным показателем, тригонометрических функций, корней n-степени и логарифмов.
СоветыНужно знать базовые формулы и уметь их применять.
Задание № 10
Что требуетсяРешить задачу с прикладным содержанием.
ОсобенностиЗдесь предлагаются задачи прикладного характера, связанные с такими областями науки, как физика, химия, биология. В этом задании можно встретить все типы уравнений и неравенств: линейные, квадратные, степенные, рациональные, иррациональные, показательные, логарифмические и тригонометрические. Ваша задача — выразить требуемую величину из заданной формулы.
Внимательно читайте условие и старайтесь его понять. Следите, чтобы единицы измерения были приведены к одному виду.
Выражайте ту или иную переменную в общем виде и только потом подставляйте числовые значения. Не спешите считать в лоб, пробуйте сокращать.
Задание № 11
Что требуетсяВсего существует шесть типов текстовых задач. Они могут быть на движение, на совместную работу, на проценты, на смеси, растворы и сплавы, на прогрессии, на оптимальный выбор и целые числа. Соответственно, нужно знать основные законы и формулы для каждого типа. Традиционная текстовая задача сводится к составлению уравнения и его решению.
| Задачи на движение | \(S = V \cdot t\) |
| Задачи на совместную работу | \(A = p \cdot t\) |
| Задачи на смеси, растворы и сплавы | \(C = \frac{V_{1}}{ V} \cdot 100\%\) |
Обратите внимание, что формулы в задачах на движение и на работу очень похожи.
Производительность — это аналог скорости. Для задач на смеси и растворы не забывайте формулу концентрации. В качестве неизвестной выбирайте искомую величину. Составленное уравнение будет рациональным и в основном сводится к линейному или квадратному.
Задание № 12
Что требуетсяНайти наибольшее или наименьшее значение функции.
ОсобенностиЗдесь требуется уметь находить производную функции, а также исследовать функцию с помощью производной. Вопрос может быть двух типов: найти точку минимума/максимума функции или найти наибольшее/наименьшее значение функции. Многие школьники не различают этих понятий, а ведь ответ будет совершенно разный. Еще в этом задании мы сталкиваемся с задачей нахождения минимума/максимума на отрезке или на всей действительной прямой. Если вас ограничивают отрезком, то не забывайте находить значения на его концах и сравнивать их с локальными минимумами/максимумами функции на отрезке.
Выучите базовую таблицу производных, а также формулы производной произведения, частного и композиции функций.
Помните, что если производная положительна, то функция растет, если производная отрицательна — функция убывает. Когда производная меняет свой знак с плюса на минус, это значит, что мы попали в точку максимума. Если производная поменяла свой знак с минуса на плюс, значит, мы попали в точку минимума.
Задание № 13
Что требуетсяРешить тригонометрическое, рациональное, показательное, логарифмическое уравнение, уравнение с радикалом или смешанное уравнение, содержащее одновременно логарифмы, модули, радикалы.
ОсобенностиДля решения любого уравнения существует два основных правила. Во-первых, решение всегда должно начинаться с нахождения ОДЗ — области допустимых значений, то есть всех значений переменной, при которых это уравнение имеет смысл. Во-вторых, нужно помнить основные методы решения уравнений и уметь применять их. Как правило, решение данной задачи требует замены, позволяющей свести уравнение к квадратному.
Для решения тригонометрических уравнений важно знать формулы приведения и знаки тригонометрических функций на четвертях окружности.
Формулы приведения позволяют упростить вычисления, привести сложные аргументы тригонометрических функций к аргументам первой четверти. Помните про мнемоническое правило («правило лошади»), которое позволит вам не заучивать все многообразие формул приведения: если вы откладываете угол от вертикальной оси, то «лошадь говорит вам „да“», то есть кивает головой вдоль оси ординат, тем самым вы меняете функцию. Если вы откладываете угол от горизонтальной оси, то «лошадь говорит вам „нет“», то есть кивает головой вдоль оси абсцисс, следовательно, приводимая функция не меняет своего названия (не забудьте про знак, он совпадает со знаком исходной функции!).
Задание № 14
Что требуетсяРешить стереометрическую задачу.
ОсобенностиЭто задача на построение сечения многогранника и нахождение его площади, а также на нахождение расстояний и углов в пространстве, нахождение объемов различных многогранников и круглых тел (цилиндр, конус, шар).
В этой задаче, как правило, два пункта. В первом пункте нужно либо что-то построить, либо доказать. Для доказательства очень часто используются признаки подобия треугольников и теорема Фалеса. Во втором пункте нужно найти угол, расстояние или площадь. Вспомните основные формулы расстояний: расстояние от точки до прямой, от точки до плоскости, между двумя плоскостями. Вы должны знать основные тригонометрические функции, теорему синусов и косинусов, теорему Пифагора и теорему о трех перпендикулярах. Нужно уметь проводить дополнительные построения и владеть координатным и векторным методами.
Задание № 15
Что требуетсяРешить тригонометрическое, рациональное, показательное, логарифмическое (в том числе с переменным основанием) неравенство, неравенство с радикалом, смешанное неравенство, содержащее одновременно логарифмы, модули, радикалы.
ОсобенностиЗдесь необходимо свести сложное неравенство к простейшему. Часто для этого используются замены показательных и тригонометрических функций (не забывайте про ограничения!). Также нужно знать метод интервалов и метод рационализации для логарифмических, показательных неравенств и неравенств, содержащих модуль.
Метод решения логарифмических неравенств опирается на монотонность логарифмической функции. Помните, что если у логарифма переменное основание, то нужно рассматривать два случая: а) основание лежит в диапазоне от 0 до 1 (функция убывает), б) основание больше единицы (функция возрастает). Если основание переменное, то можно избавиться от перебора случаев, перейдя к новому, постоянному основанию.
В логарифмических неравенствах внимательно следите за областью допустимых значений, применяя формулы действий с логарифмами, она может как расширяться, так и сужаться. И если первую ситуацию легко исправить, то вторая приведет к потере решений, что недопустимо.
Задание № 16
Что требуетсяРешить планиметрическую задачу.
ОсобенностиПод этим номером может быть два варианта задания. Первый вариант: в задаче два пункта — а и b. В пункте a требуется что-то доказать, в пункте b — что-то найти. Могу сказать, что чаще всего надо начинать решать эту задачу именно с пункта b, а уже решение этого пункта поможет доказать пункт а. Как правило, абитуриентам проще что-то найти, чем доказать.
Второй вариант: задача без подпунктов. Здесь чаще всего скрыт подводный камень: задача требует рассмотрения двух случаев и приводит к двум разным ответам. Например, в условии задачи сказано, что окружности касаются в точке A, но не сказано каким образом, внешним или внутренним.
Необходимое условие для решения этой задачи — хорошее владение теоретическим материалом, например, из классического учебника по геометрии для 7-9 классов (Л.С. Атанасян). Необходимо знать формулировки аксиом и определений, уметь формулировать и доказывать теоремы, признаки, свойства и формулы. Изучите дополнительные методы: метод дополнительного построения, метод подобия, метод замены, метод введения вспомогательного неизвестного, метод удвоения медианы, метод вспомогательной окружности, метод площадей.
Также здесь важен рисунок. 80% успеха геометрической задачи — это правильно нарисованный рисунок. Сделайте большой, хороший, наглядный рисунок, не экономьте на нем место.
И последнее, лайфхак для абитуриента — для решения задач по планиметрии выучите пять формул площади треугольника: через высоту и основание, через две стороны и угол между ними, через радиус вписанной окружности, через радиус описанной окружности и формулу Герона.
| Площадь треугольника через высоту и основание | \(S = \frac{1}{2}a \cdot h_{a}\) |
| Площадь треугольника через две стороны и угол между ними | \(S = \frac{1}{2}a \cdot b \cdot \sin \alpha\) |
| Площадь треугольника через радиус вписанной окружности | \(S = p \cdot r\), где \(p = \frac{a+b+c}{2}\), \(r\) – радиус вписанной окружности |
| Площадь треугольника через радиус описанной окружности | \(S = \frac{a \cdot b \cdot c}{4R}\), где \(R\) – радиус описанной окружности |
| Формула Герона | \(S = {\sqrt{p(p-a)(p-b)(p-c)}}\), где \(p = \frac{a+b+c}{2}\) |
Задание № 17
Что требуетсяРешить текстовую задачу преимущественно экономического содержания на кредиты, вклады и оптимальный выбор.
ОсобенностиЗадача на злобу дня, которая появилась на ЕГЭ только в последние годы.
Задания на банковские проценты могут быть двух типов: задачи на проценты по вкладам (депозитам) и задачи на проценты по кредитам. Помимо них под этим номером на ЕГЭ могут дать задачу на оптимизацию производства товаров и услуг, в которой необходимо будет либо использовать графическую интерпретацию, либо решать аналитически с помощью производной, чтобы понять, как минимизировать расходы или максимизировать прибыль.
Внимательно читайте условие задачи, вникайте в процедуры выдачи кредита или открытия вклада, которые там описываются. Каждый пункт условия сразу переводите в уравнение. Таким образом вы получите уравнение или систему уравнений, которые вам останется только решить. Чтоб подготовиться, изучите основные схемы кредитования с дифференцированными и аннуитетными платежами. В задачах оптимизации нужно уметь работать с линейными/нелинейными целевыми функциями с целочисленными/нецелочисленными точками экстремумов.
Задание № 18
Что требуетсяРешить уравнение или неравенство с параметрами, систему уравнений или неравенств с параметрами.
Эти задачи сложно классифицировать и дать общий алгоритм решения, поскольку каждая из них является нестандартной, но можно изучить основные приемы и методы. Не забывайте про особенности функций: монотонность, непрерывность, четность/нечетность, ограниченность, инвариантность и т. д. Для того чтобы осилить задачу с параметром, необходимо произвести несложные, но последовательные рассуждения и составить логическую схему решения. Самое главное в этом задании — логика.
СоветыЧтобы подготовиться к заданиям с параметрами, я рекомендую решать задачи из учебников С.А. Шестакова «Задачи с параметрами», А.И. Козко и В.Г. Чирского «Задачи с параметрами для абитуриентов». Также хочется дать лайфхак для уравнений с двумя неизвестными: как правило, там спрятана геометрическая фигура, построй ее и получишь честное графическое решение.
Задание № 19
Что требуетсяРешить задачу на числа и их свойства.
Это самая сложная задача экзамена, олимпиадного уровня, она оценивается в четыре первичных балла. Тем не менее материал для ее решения школьники проходят еще в 6-8 классе. Задание требует хорошего логического мышления и математической культуры.
СоветыПовторите основные признаки делимости целых чисел, вспомните понятия «НОК/НОД», выучите формулы арифметической и геометрической прогрессии. «Прорешайте» типовые задания из сборника Г.И. Вольфсона и М.Я. Пратусевича «Арифметика и алгебра». Последние два задания (№ 18 и № 19) — это прямая заявка на 100 баллов.
комиксы, гиф анимация, видео, лучший интеллектуальный юмор.
вотермаркПодробнее
Сын пошел в школу. Ураура. Первый класс. Два месяца обучения. Приходит ко мне и спрашивает. Кроха сын к отцу пришел и спросила кроха.
едыдущее
число
* Назовите число в «
окошке»
отбудет четыре?
I не
Чочочо? \AZTF??? Какие там четыре равенства? Чо тут писать надо? Что сказать сыну? Что крокодилы летают, но низенько-низенько?
– Сынок, а ты знаешь, что такое равенство, обескураженно спросил я?
– Нет, папа.
– Ну ладно, давай решать вместе.
Через пять минут мы таки решили эту задачу.
Но обрадовался я рано. Следующая задача была не легче.
‘ Какой из фигур на рисунке принадлежит зе-
точка?
ЧТОЧТОЧТО??? Какая тут нахрен фигура? Где тут вообще ХОТЬ ОДНА ФИГУРА??? Мать вашу, вы совсем с дубу рухнули, /роды моральные?
– Сынок, ну тут, понятно, ответ «никакой». Потому, что точка сама по себе. А ■еще я надеюсь; ■ что-создатели пособия сгорят в аду:
– Папа, а тут вот выше задание еще есть…
этите ломаную, у которой 5 звеньев >шин. Начертите ломаную, у которой 5 заечьев и 5 вершин.
ЛОМАНУЮ! Шесть (доминошечка)Н Вершин!!! Начертите!!!! СУКИН!!! Порвать на части.
» ■■■«♦« ” 1 j
■■ |и и- – ■ — и- ? ■
• — •— 1
■ 1 1 ■ т*
■ 1 | 1 *”и ■ —
Естественно, что такое «ЗАКОНОМЕРНОСТЬ» на третьем месяце обучения в первом классе школы, мой сын не знал. Также как не знал и что такое «ломаная», которую я, помнится проходил только на уроках геометрии, начавшихся с 5 класса…
Ну а теперь, в студию авторов и название.
Федеральный государственный обрижнлтвлы Образовательная система «Школа 2 К
II
Федеральный государственный образовательный стандарт Образовательная система «Школа 2100»
Руководитель издателеской программы доктор лед. наук, проф.. член-корр. РАО Р.Н. Ьунввв
Демидова, Т.Е.
Рабочая тетрадь к учебнику «Математика*, 1 кл. / Т.Е. Деми -.А. Козлова, А.П. Тонких. – Изд. 2-е, перераб. – М. : Ба Издательство Школьный дом, 2013. — 48 с.: (Образовательная «Школа 2100»).
ISBN 978-5-85939-476-0 («Блласс»)
ISBN 978-5-90S772-39-9 («Издательство Школьный дом*)
Содержание рабочей тетради соотнесено с содержаи ка «Математика.
, 1-й класс, § 1.1 – 3.41 авторов Т.Е.
■ А Козловой, А П. Тонких. В тетради выполняются за ника, которые требуют письменного оформления, в пр01
“клУетПк;РВ°КЛвССИИКОв Р“ ~ Р-*
Учебник соответствует Федеральному государственно гельному стандарту начального общего образования I юлжением непрерывного курса математик! ‘исооае
’2*00ГбНИК°в РЗЗвИваЮЩей Образовательно
Итак, вот имена этих
умудренных жизнью любителей детей
». ТЕ. Демидова. С.А.Козлова. А.П.Тонких. Учебник для 1 класса. Федеральный государственный образовательный стандарт. Как жаль, что имя дебилоида, оный стандарт придумавшего, мне неизвестно. Зато мне известно, что Демидова, Козлова и Тонких работали под руководством не-меньшего вредителя, членкорра РАО, профессора, кандидата педагогических наука Р. Н. Бунеева.
Всем вам четверым, а также неизвестным мне составителям ФГОСа для1 класса, я желаю сдохнуть в самых страшных мучениях. Потому, что из-за вас мой сын и десятки тысяч других первоклассников считают себя глупыми и ни к чему не годными людьми – ведь, они не понимают даже самого простого – сути задания.
То бишь, не понимают слов, которые там написаны. А они, надо сказать, читать-то ПО ИДЕЕ научиться еще не должны были.
Вы понимаете, что эти мерзавцы делают с нашими детьми, господа и дамы? Они из них воспитывают через подобные учебники – уже с первого класса – закомплексованных и не уверенных в себе людей.
Гореть вам в аду, чинуши от Минобразования, профессор Буннеев, Демидова, Козлова и Тонких.
В аду.вотермарк
Развернуть
Похожие темы
перевел сам
Похожие посты
Урок русского языка в 7 классе. Междометие.
Иоцус С.В.,
учитель русского языка, КГУ «Школа-гимназия №1 г.Сатпаев»
Урок
русского языка
в 7 «А» классе
Раздел:
Морфология. Междометие.
Интересно жить на свете,
если знаешь междометья.
Тема урока №1
Междометия как особая часть речи.
Цель
Создать условия для восприятия и усвоения учащимися междометия
Задачи
дать понятие о части речи междометие;
помочь освоить основные значения и группы междометий;
совершенствовать навыки постановки знаков препинания при междометиях
Результаты обучения
Данная тема поможет учащимся:
дети будут правильно ставить знаки препинания в предложениях с междометиями.
учащиеся будут уметь отличать междометия от знаменательных и служебных частей речи
Ключевые понятия
Междометие –особая часть речи, которая выражает чувства и побуждение к действию.
Группы междометий – эмоциональные, волеизъявительные, этикетные
Производные и непроизводные междометия
Оборудование
слайдовая презентация урока, карточки , словари, таблицы ЗХУ, карточки с тестами различных стилей речи, тестовые задания
Ход урока
I.
Организационный этап. Эмоциональный настрой на урок
Запись даты, классной работы в тетрадях. Приветствие учителя в стихотворной форме.
II. Подготовка к восприятию новой темы
Постановка учителем проблемного вопроса, определение учащимися задач урока.
Работа с предложением у доски.
Беседа с учащимися.
III. Этап изучения нового материала
1. Таблица предварительных вопросов.
2.Знакомство с понятием, группами междометий.
3. Задание на отработку материала (групповая работа, защита)
Физкультминутка.
IV. Тренировочные упражнения
Задания
1. Самостоятельная работа по карточкам.
2.Итоговое тестирование
3. Заполнение таблицы ответов на вопросы по итогам урока
Работа в группе. Самопроверка
Индивидуальная, взваимопроверка
Индивидуальная работа, проверяется учителем
V.
Размышление над обучением
1. Подведение итогов урока. Рефлексия.
2. Выставление оценок по оценочному листу.
VI. Домашнее задание
Тема 63-84
Упр. № 651 (творческая работа по составлению предложений с междометиями и глаголами)
Урок 1. Что должен делать учитель и что должны делать ученики?
I. Организационный этап. Эмоциональный настрой на урок.
Учитель: приветствует учащихся в стихотворной форме:
Ой, какой прекрасный день!
Ах, учиться нам не лень!
Батюшки, гостей как много.
Ух, судить нас будут строго?
Вывешивание 3 смайликов с антонимичным выражением. Определить в конце урока свое настроение.
Учащиеся: записывают число, классная работа в тетрадях.
II. Подготовка к восприятию новой темы.
1. Постановка учителем проблемного вопроса, определение учащимися задач урока.
Учитель: беседует с учащимися. -С помощью каких частей речи мы можем общаться? А выражать чувства?
Учащиеся: воспринимают предоставленную информацию; формулируют проблему урока собственными словами.
Разбор предложения у доски, нахождение не определяющейся части речи: Ух, премьера началась вовремя.
III. Этап изучения нового материала.
1.Работа на знание: определение и отбор информации.
Учитель: показывает, направляет, просит сделать вывод.
Учащиеся: воспринимают, запоминают, распознают, делают вывод.
Задание: учитель зачитывает стихотворение с междометиями.
«Мне,- сказало
Междометье,-
Интересно жить на свете:
Выражаю поощренье,
Похвалу, упрёк, запрет,
Благодарность, восхищенье,
Возмущение, привет.
Те, кого охватит страх
Произносит слово «Ах!”
У кого тяжёлый вздох,
Произносит слово «Ой!”
Кто встречается с бедой,
Произносит слово «Ой!”
Кто отстанет от друзей,
Произносит слово «Эй!»
У кого захватит дух,
Произносит слово «Ух!”
Интересно жить на свете,
Если знаешь междометья
Учащиеся: делают вывод о применении слов Ай, ой, ух и тд ,знакомиться с материалом учебника по определению понятий
2.Работа на установление связи понятия и значения.
Сделаем разбор слова «междометие» по составу
междометие
Учитель: совместное объяснение лексического значения частей этого слова – между и мета (подбираем однокоренные слова: примета, заметка, отметка, заметить и т.д. У них общий корень мет, который обозначает отличие одной части речи от другой, т.е. одежда, по которой мы отличаем одни части речи от других)
Вывод, мы выяснили, что междометие – это, часть речи, которая стоит между какими-то частями речи.
Между какими? (Самостоятельными и служебными. Особая часть речи, которая стоит между ними). Междометие –особая часть речи, которая выражает чувства и побуждение к действию.
Междометие- очень необычная и интересная часть речи, над которой работало множество ученых. И понятия, которые они давали междометию можно встретить в различных словарях русского языка. Это «Большой энциклопедический словарь», «Новый словарь русского языка под редакцией Т.Ф. Ефремовой», мы остановимся на понятии, которое дает «Толковый словарь русского языка Д.Н.Ушакова» (вывешивается на доску)
3.Учитель: дает задание на самостоятельное получение новых знаний о производных и непроизводных междометиях и их группах, звукоподражательных словах (работа ведется в группах)
Учащиеся добывают информацию, распределенную по группам, делают вывод, защищают материал по методу «Автобусная остановка». Спикеров выбирает учитель из числа наиболее способных по предмету учеников.
2.Задание на применение: использование понятий в новых ситуациях.
(работа в группе).
Учитель: наблюдает, помогает, критикует.
Учащиеся: решают проблемы, демонстрируют знания.
Задание: ответить на вопрос: Засоряют ли междометия нашу речь или делают её богаче? Во всех ли стилях речи можно употреблять междометия?
Официально – деловой стиль.
Ах, уважаемая Сания Жумадиловна!
Эх, приглашаем Вас на открытый урок русского языка в 7б класс 16 февраля 2007 года.
Допустимо ли употребление междометий в данном стиле? (нет)
Научный стиль
Ну, гроза- атмосферное явление, которое, ого-го, заключается в электрических разрядах между, м-да, между грозовыми облаками.
Допустимо ли употребление междометий в данном стиле? (нет)
Художественный стиль
– Батюшки! Беда! – отвечала Василиса Егоровна. – Нижнеозерная взята сегодня утром. А.С.Пушкин «Капитанская дочка»
Ай, Моська знать она сильна, что лает на слона. А.И.Крылов басня «Слон и Моська»
Допустимо ли употребление междометий в данном стиле? (да)
Разговорный стиль
Ого, он занял первое место в олимпиаде по русскому языку.
Ух ты, я тоже так хотел бы.
Дудки! Больше я не получу ни одной двойки.
Допустимо ли употребление междометий в данном стиле? (да)
Вывод: междометия можно употреблять только в разговорном и художественном стиле, в остальных стилях их употребление недопустимо.
Физкультминутка на движение:
Веселая видео разминка (под музыкальное сопровождение)
Действия учителя:
Демонстрация видео
Действия учащихся: повтор за видео
Учащиеся: выражают свои чувства после разминки с помощью междометий (на применение).
IV. Тренировочные упражнения.
1. Словообразовательная работа на понимание. Работа в группе.
Учитель: демонстрирует (на слайде).
Учащиеся: распределяют, объясняют.
Задание: распределить по группам междометия: а, о, спасибо, ну, ох, здравствуйте, браво, эх, айда, кыш, караул, давай, тсс, бис, алло, пожалуйста, ш-ш, брысь, увы
Самопроверка по эталону
2.
Работа на применение: использование понятий в новых ситуациях. Конструирование предложений. Работа в паре.
Учитель: наблюдает, помогает, критикует.
Учащиеся: решают проблемы, демонстрируют знания.
Задание: Спишите предложения , расставьте знаки препинания, укажите, что выделялось запятыми.
Совместная выработка критериев для взаимооценивания задания:
Правильно вставить все пропущенные буквы
Расставить все знаки препинания
Определить какие слова выделяются запятой
Определить группу междометий
Надписать производные или непроизводные междометия.
1. Ваше бл..городие там ден(ь)щик ст…ит.
2. Эх мало ли что снилось наяву Якову Лукичу!
3. Ра…будил меня ч…рт его возьми сказал, что ед…м.
Взаимооценивание по критериям.
3. Самостоятельная индивидуальная работа на применение.
Учитель: наблюдает.
Учащиеся: демонстрируют знания.
Задание: выполнить тест.
1. Междометие – это…
А. служебная часть речи
В. самостоятельная часть речи
С. особая часть речи
2. Междометие – это часть речи, которая…
А. не изменяется, не является членом предложения.
В. изменяется, не является членом предложения.
С. не изменяется, является членом предложения.
3. Междометия бывают…
А. главные и зависимые.
В. производные и непроизводные.
С. обособленные и необособленные.
4. Определи, в каком предложении слово «пропасть» является междометием.
А. Направо был утёс, налево пропасть такая, что целая деревушка осетин, живущих на дне её, казалась гнездом ласточки.
В. Я нашила пропасть, да после траура всё ещё не решаюсь щеголять-то.
С. – Тьфу, пропасть, – говорит она, – и тот дурак, кто слушает людских всех врак.
5. Какое из междометий не является этикетным?
А. спасибо. С. браво.
В. будьте любезны. D. до свидания.
Взаимопроверка по эталону, которым является сильный ученик.
V. Размышление над обучением.
1. Подведение итогов урока. Рефлексия письменная в рефлексивных дневничках учащихся:
– Что нового вы узнали, чему научились?
– Каковы причины вашего успеха ли неуспеха?
– Как вы оцениваете свое участие в занятии?
Затем некоторые участники поочередно по желанию высказываются в соответствии с заданным алгоритмом.
– Выберите смайлик с изображением вашего настроения после урока:
2. Выставление оценок по оценочному листу.
Оценивание практического занятия
Урок оценивается по оценочному листу:
Ф.И._____________
Этапы работы
Изучение нового материала
Тренировочные упражнения
Беседа
Работа в группе
Распределение
Междометий по группам
Работа с предложениями по критериям
Самост.
Работа
(тест)
Последующее чтение
VI. Домашнее задание
Тема 83-86
Упр. № 640 (творческая работа на употребление всех временных форм глагола)
Анализ занятия
Все стратегии, методы, формы и средства, примененные в уроке, были рассчитаны на качественное усвоение и понимание учащимися материала урока. Данный урок помог учащимся: понять ключевые понятия темы:междометие –особая часть речи, которая выражает чувства и побуждение к действию, группы междометий – эмоциональные, волеизъявительные, этикетные,
производные и непроизводные междометия.
Таким образом, цель, поставленная учащимися в начале урока, достигнута.
В начале урока учащиеся пытались сформулировать задачи, но в очередной раз это происходило с помощью учителя. Причина- неумение учащихся говорить, правильно выражать свою мысль. Необходимо сделать упор на развитие речи. К сожалению, на такие уроки программой выделено мало часов.
На занятии были применены различные виды работы: групповая, парная и индивидуальная. В группах детям работать комфортно, они четко понимают смысл групповой работы, умеют отслеживать деятельность каждого ученика во время процесса. Работа в группах повышает активность и комфортность на уроке для учащихся. Ребята не переходят на отвлеченное от темы и задание общение.
В парах работать учащимся не всегда комфортно, есть антипатии по личному и половому признаку, это наблюдалось и на данном уроке, но работу в парах оправдываю необходимостью выработки коммуникативных способностей с любой аудиторией.
Не полностью справились с заданием две пары, у остальных учеников задание не вызвало особых затруднений.
Учащиеся продолжают испытывать трудности в составлении критериев по заданиям, критерии были составлены при подсказках учителя. Само и взаимооценивание ни у кого вопросов не вызывает, но наблюдается невнимательная проверка, которая становится причиной необъективной оценки ученика.
Индивидуальная самостоятельная работа с тестом показала, что дети материал урока усвоили, так как практически все выполнили задание верно.
Вывод: подбор форм и методов оправдал себя.
В ходе рефлексии урока ребята дали положительную оценку занятию и с эмоциональной, и со знаньевой позиции: ученики выбрали улыбающихся смайликов. Оценочный лист очень удобен для самого преподавателя, но дети не совсем любят им пользоваться, так как там отражаются сразу и отрицательные результаты урока.
Задания подобраны верно, с учетом возрастных особенностей учащихся.
Но ученики забывали по ходу работы на уроке заполнять таблицу ЗХУ, отмечаю недоработку учителя, необходимо делать регулярные напоминания.
В уроке прослеживались следующие модули: критическое мышление, критериальное оценивание, обучение одаренных, ИКТ, возрастные особенности и обучение тому, как учиться.
Учитываю все недочеты для дальнейшего планирования уроков
Изменения к занятиям
Рекомендации:
Продолжить работу по изучению и применению на уроке стратегий по технологии критического мышления.
Совершенствовать работу в парах.
Продумать приемы для качественного само и взаимооценивания.
Дать больше возможности одаренным и талантливым детям проявлять себя на различных этапах урока , подробнее продумать их деятельность и целесообразность привлечения к активной деятельности на уроке.
Возрастание и убывание функций | Алгебра
Определения
1) Функция y=f(x) называется возрастающей на некотором промежутке, если бо́льшему значению аргумента из этого промежутка соответствует бо́льшее значение функции.
То есть для любых двух значений x1,x2 из этого промежутка выполняется условие
2) Функция y=f(x) называется убывающей на некотором промежутке, если бо́льшему значению аргумента из этого промежутка соответствует меньшее значение функции.
То есть для любых двух значений x1,x2 из этого промежутка выполняется условие
Предполагается, что промежуток принадлежит области определения функции y=f(x). Обычно промежуток — это отрезок, интервал или полуинтервал.
График функции на промежутках возрастания «идёт вверх» (чем правее x, тем выше y).
На промежутках убывания график «идёт вниз» (чем правее x, тем ниже y).
Пример 1.
Пользуясь графиком, найти промежутки возрастания и убывания функции y=f(x), определённой на отрезке [x1;x5]:
Функция y=f(x) возрастает на промежутках [x2;x3] и [x4;x5]
Функция y=f(x) убывает на промежутках [x1;x2] и [x3;x4].
Кратко это записывают так:
3) Функцию, возрастающую на промежутке либо убывающую на промежутке, называют монотонной функцией на этом промежутке (или строго монотонной).
4) Если функция возрастает на всей своей области определения, то её называют возрастающей.
Если функция убывает на всей своей области определения, то её называют убывающей.
Например, y=√x, y=x³ — возрастающие функции.
Линейная функция y=kx+b возрастающая при k>0 и убывающая при k<0.
5) Если для любых двух значений x1,x2 из некоторого промежутка выполняется условие
то функция y=f(x) называется неубывающей на этом промежутке.
6) Если для любых двух значений x1,x2 из некоторого промежутка выполняется условие
то функция y=f(x) называется невозрастающей на этом промежутке.
7) Функцию, невозрастающую на промежутке либо неубывающую на промежутке, называют не строго монотонной функцией на этом промежутке.
Пример 2.
Пользуясь графиком, найти промежутки, на которых функции y=g(x), определённая на отрезке [x1;x3], является невозрастающей и неубывающей:
Функция y=g(x) является неубывающей на промежутке [x1;x2].
Функция y=g(x) является невозрастающей на промежутке [x2;x3].
Возрастание и убывание функции можно определять как с помощью графика, так и аналитически.
Как доказать, что функция возрастает или убывает, с помощью задающей эту функцию формулы?
Для этого при условии x2>x1 на промежутке надо доказать выполнение одного из неравенств: f(x2)>f(x1) либо f(x2)>f(x1), то есть определить f(x2)-f(x1)>0 или f(x2)-f(x1)<0.
Примеры.
1) Доказать, что функция f(x)=x²+4x убывает на промежутке (-∞;-2).
Доказательство:
Функция определена на всей числовой прямой.
Пусть x2>x1.
f(x1)=x1²+4x1, f(x2)=x2²+4x2,
f(x2)-f(x1)=(x2²+4x2)-(x1²+4x1)=x2²+4x2-x1²-4x1=
группирует первое слагаемое с третьим, второе — с четвертым. В первых скобках — разность квадратов, из вторых выносим общий множитель 4 за скобки:
=(x2²-x1²)+(4x2-4x1)=(x2-x1)(x2+x1)+4(x2-x1)=
Теперь выносим общий множитель (x2-x1) за скобки:
=(x2-x1)(x2+x1+4).
Так как x2>x1, то x2-x1>0.
Следовательно, знак произведения зависит от знака второго множителя.
Для x1, x2 ∈(-∞;-2) x2+x1+4<0. Значит, (x2-x1)(x2+x1+4)<0 и f(x2)<f(x1). Отсюда следует, что функция функция f(x)=x²+4x убывает на промежутке (-∞;-2).
Что и требовалось доказать.
2) Доказать, что функция
возрастает на промежутке (2;+∞).
Доказательство:
Функция определена при x∈(-∞;2) и (2;+∞).
Пусть x2>x1.
Так как x2>x1, то x2-x1>0.
Для x1, x2 ∈ (2;+∞) (2-x1)(2-x2)>0. Значит,
Отсюда y(x2)-y(x1)>0. Поэтому данная функция возрастает на промежутке (2;+∞).
Что и требовалось доказать.
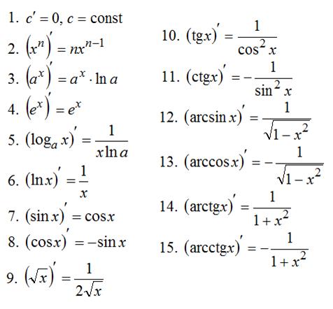
Исследование функции на монотонность гораздо удобнее проводить с помощью производной (начала математического анализа — производную и её применение — проходят в школьном курсе алгебры в 10-11 классах).
4.5 Производные и форма графика – Исчисление Том 1
Цели обучения
- Объясните, как знак первой производной влияет на форму графика функции.
- Назовите критерий первой производной для критических точек.
- Используйте вогнутость и точки перегиба, чтобы объяснить, как знак второй производной влияет на форму графика функции.
- Объясните критерий вогнутости функции на открытом интервале.
- Объясните связь между функцией и ее первой и второй производными.
- Назовите критерий второй производной для локальных экстремумов.
Ранее в этой главе мы утверждали, что если функция имеет локальный экстремум в точке, то она должна быть критической точкой Однако не гарантируется, что функция имеет локальный экстремум в критической точке. Например, имеет критическую точку при , поскольку равна нулю при , но не имеет локального экстремума при Используя результаты из предыдущего раздела, мы теперь можем определить, действительно ли критическая точка функции соответствует локальному экстремальному значению.
В этом разделе мы также увидим, как вторая производная предоставляет информацию о форме графика, описывая, идет ли график функции вверх или вниз.
Следствие 3 теоремы о среднем значении показало, что если производная функции положительна на интервале, то функция возрастает на протяжении. С другой стороны, если производная функции на интервале отрицательна, то функция убывает как показано на следующем рисунке.
0. Другими словами, f увеличивается. На рис. b показана функция, возрастающая вогнуто от (a, f(a)) до (b, f(b)). В двух точках берется производная и отмечается, что в обеих f’ > 0. Другими словами, f возрастает. На рис. c показана функция, вогнуто убывающая от (a, f(a)) до (b, f(b)). В двух точках берется производная и отмечается, что в обеих f’ < 0. Другими словами, f убывает. На рис. d показана функция, выпукло убывающая от (a, f(a)) к (b, f(b)). В двух точках берется производная и отмечается, что в обеих точках f' < 0.Другими словами, f убывает."> Рисунок 1.
Обе функции возрастают на отрезке В каждой точке производная Обе функции убывают на отрезке В каждой точке производная Непрерывная функция имеет локальный максимум в точке тогда и только тогда, когда переключается с возрастания на убывание в точке Аналогично, имеет локальный минимум в том и только в том случае, если переключается с убывания на возрастание в точке Если есть непрерывная функция на интервале, содержащем и дифференцируемом по за исключением, возможно, единственного способа перехода от возрастания к убыванию (или наоборот) в точке есть если меняет знак при возрастании через Если дифференцируема при единственном способе менять знак при возрастании через если Следовательно, для непрерывной функции на интервале, содержащем и дифференцируемом, за исключением, возможно, единственного способа переключения с возрастания на убывание (или наоборот) – это если или не определено.Следовательно, чтобы найти локальные экстремумы функции, мы ищем точки в области определения такой, что или не определено.
Напомним, что такие точки называются критическими точками
Обратите внимание, что в критической точке не обязательно должны быть локальные экстремумы. Критические точки являются кандидатами только в локальные экстремумы. На (рисунке) мы показываем, что если непрерывная функция имеет локальный экстремум, он должен находиться в критической точке, но функция может не иметь локального экстремума в критической точке. Показано, что если имеет локальный экстремум в критической точке, то знак переключения увеличивается через эту точку.
Используя (рисунок), мы суммируем основные результаты относительно локальных экстремумов.
Этот результат известен как тест первой производной .
Мы можем резюмировать первую проверку производной как стратегию поиска локальных экстремумов.
Теперь давайте посмотрим, как использовать эту стратегию для поиска всех локальных экстремумов для определенных функций.
Использование теста первой производной для поиска локальных экстремумов
Используйте тест первой производной, чтобы найти местоположение всех локальных экстремумов для Используйте графическую утилиту, чтобы подтвердить свои результаты.
Используйте тест первой производной, чтобы найти все локальные экстремумы для
Решение
имеет локальный минимум на уровне -2 и локальный максимум на уровне 3.
Использование теста первой производной
Используйте тест первой производной, чтобы найти местоположение всех локальных экстремумов для Используйте графическую утилиту, чтобы подтвердить свои результаты.
Используйте тест первой производной, чтобы найти все локальные экстремумы для
Решение
не имеет локальных экстремумов, потому что не меняет знак в точке
.Теперь мы знаем, как определить, где функция возрастает или убывает.Однако есть еще одна проблема, которую следует учитывать в отношении формы графика функции. Если график изгибается, он изгибается вверх или вниз? Это понятие называется вогнутостью функции.
(рисунок)(а) показывает функцию с графиком, который изгибается вверх. По мере увеличения наклон касательной увеличивается.
Таким образом, поскольку производная возрастает по мере увеличения, является возрастающей функцией. Мы говорим, что эта функция вогнута вверх . (Рисунок) (b) показывает функцию, которая изгибается вниз.По мере увеличения наклон касательной уменьшается. Так как производная убывает с ростом, функция является убывающей. Мы говорим, что эта функция вогнута вниз .
Вообще, не имея графика функции, как определить ее вогнутость? По определению, функция является вогнутой, если она возрастает. Из следствия 3 мы знаем, что если — дифференцируемая функция, то она возрастает, если ее производная. Следовательно, дважды дифференцируемая функция вогнута вверх, когда Аналогично функция вогнута вниз, если она убывает.Мы знаем, что дифференцируемая функция убывает, если ее производная. Следовательно, дважды дифференцируемая функция вогнута вниз, когда Применение этой логики известно как критерий вогнутости .
Мы заключаем, что можем определить вогнутость функции, глядя на вторую производную Кроме того, мы наблюдаем, что функция может переключать вогнутость ((Рисунок)).
Однако непрерывная функция может переключать вогнутость только в точке, если или не определено. Следовательно, чтобы определить интервалы, на которых функция вогнута вверх и вогнута вниз, мы ищем те значения, где или не определено.Когда мы определили эти точки, мы делим область определения на меньшие интервалы и определяем знак над каждым из этих меньших интервалов. Если меняет знак при прохождении через точку, то меняет вогнутость. Важно помнить, что функция не может изменить вогнутость в точке, даже если или не определена. Если, однако, меняет вогнутость в точке и является непрерывной в точке, мы говорим, что точка является точкой перегиба
Испытание на вогнутость
Для функции определить все интервалы, где вогнутость вверх и все интервалы, где вогнутость вниз.Перечислите все точки перегиба для Используйте графическую утилиту, чтобы подтвердить свои результаты.
Теперь мы суммируем на (Рисунок) информацию, которую первая и вторая производные функции предоставляют о графике, и иллюстрируем эту информацию на (Рисунок).![]()
| Знак | Знак | Увеличивается или уменьшается? | Вогнутость |
|---|---|---|---|
| Положительный | Положительный | Увеличение | Подбарабанья |
| Положительный | Отрицательный | Увеличение | Вогнутая вниз |
| Отрицательный | Положительный | По убыванию | Подбарабанья |
| Отрицательный | Отрицательный | По убыванию | Вогнутая вниз |
Критерий первой производной обеспечивает аналитический инструмент для поиска локальных экстремумов, но вторая производная также может быть использована для обнаружения экстремумов.
Использование второй производной иногда может быть более простым методом, чем использование первой производной.
Мы знаем, что если непрерывная функция имеет локальные экстремумы, то они должны находиться в критической точке. Однако функция не обязательно должна иметь локальные экстремумы в критической точке. Здесь мы исследуем, как тест второй производной можно использовать для определения того, имеет ли функция локальный экстремум в критической точке. Пусть – дважды дифференцируемая функция такая, что и непрерывна на открытом интервале, содержащем предположим, что Т. к. непрерывна для всех ((рисунок)).Тогда по следствию 3 является убывающей функцией над Т. К. заключаем, что для всех, если и если Следовательно, по признаку первой производной имеет локальный максимум в С другой стороны, пусть существует точка такая, что Т. о. открытый интервал, содержащий тогда для всех ((Рисунок)). Тогда по Следствию является возрастающей функцией над Так как мы заключаем, что для всех если и если Следовательно, по первой производной имеет локальный минимум на
Обратите внимание, что для случая iii.
когда тогда может быть локальный максимум, локальный минимум или ни один из них в Например, функции и все имеют критические точки в В каждом случае вторая производная равна нулю в Однако функция имеет локальный минимум в тогда как функция имеет локальный минимум максимум при и функция не имеет локального экстремума при
Давайте теперь посмотрим, как использовать тест второй производной, чтобы определить, имеет ли локальный максимум или локальный минимум в критической точке, где
Использование теста второй производной
Используйте вторую производную, чтобы найти местоположение всех локальных экстремумов для
Теперь мы разработали инструменты, необходимые для определения возрастания и убывания функции, а также получили представление об основной форме графика.В следующем разделе мы обсудим, что происходит с функцией, поскольку у нас есть достаточно инструментов, чтобы построить точные графики большого количества функций.
1.
Если является критической точкой, когда нет локального максимума или минимума в Объяснить.
2. Для функции есть и точка перегиба и локальный максимум/минимум?
Решение
Не является локальным максимумом/минимумом, т.к. не меняет знак
3. Для функции является точкой перегиба?
4. Может ли точка быть одновременно точкой перегиба и локальным экстремумом дважды дифференцируемой функции?
5. Зачем нужна непрерывность для теста первой производной? Придумайте пример.
6. Объясните, должна ли вогнутая вниз функция пересекаться для некоторого значения
Решение
Ложь; например,
7. Объясните, может ли многочлен степени 2 иметь точку перегиба.
Для следующих упражнений проанализируйте графики, а затем перечислите все интервалы, в которых происходит увеличение или уменьшение.
Решение
Уменьшение для увеличения для
11. 12.Для следующих упражнений проанализируйте графики, а затем перечислите все интервалы, где
- увеличивается и уменьшается и
- расположены минимумы и максимумы.
Решение
а. Увеличение над уменьшением над b. Минимум на
17.Для следующих упражнений проанализируйте графики, затем перечислите все точки перегиба и интервалы, которые вогнуты вверх и вогнуты вниз.
18.Решение
Вогнутость во всех точках без перегиба
19. 20.Решение
Вогнутость во всех точках без перегиба
21. 22. Для следующих упражнений нарисуйте график, удовлетворяющий заданным характеристикам области.
Функция не обязательно должна быть непрерывной или дифференцируемой.
Решение
Ответы будут разными
25. выше локального максимума при локальных минимумах на
26. Существует локальный максимум на локальном минимуме at, и график не является ни вогнутым вверх, ни вогнутым вниз.
Решение
Ответы будут разными
27. Имеются локальные максимумы на функции вогнутой для всех и функция остается положительной для всех
Для следующих упражнений определите
- интервалы, где увеличивается или уменьшается и
- локальных минимумов и максимумов
29.
Для следующих упражнений определите a. интервалы, где выпуклость вверх или выпуклость вниз, и b. точки перегиба
30.
Решение
а.Вогнутая вверх для вогнутой вниз для b. Точка перегиба на
Для следующих упражнений определите
- интервалы возрастания или убывания,
- локальных минимумов и максимумов
- интервалов, где вогнутость вверх и вогнутость вниз, и
- точки перегиба
31.
32.
33.
34.
35.
37.
Для следующих упражнений определите
- интервалы возрастания или убывания,
- локальных минимумов и максимумов
- интервалов, где вогнутость вверх и вогнутость вниз, и
- точек перегиба Нарисуйте кривую, затем используйте калькулятор, чтобы сравнить свой ответ. Если вы не можете определить точный ответ аналитически, воспользуйтесь калькулятором.
38. [Т] над
39.[Т] вместо
41. [Т]
42. [Т]
Решение
а. Увеличение для всех, где определено b. Нет локальных минимумов или максимумов c. Вогнутая вверх для вогнутой вниз для d. Нет точек перегиба в домене
44. свыше
45.
46.
47.
Для следующих упражнений интерпретируйте предложения с точки зрения
48. Население растет медленнее. Вот население.
Решение
49. Велосипед разгоняется быстрее, но машина едет быстрее. Здесь положение велосипеда минус положение автомобиля.
50. Самолет плавно приземляется. Вот высота самолета.
Решение
51. Цены на акции достигли своего пика. Вот цена акции.
52. Экономика набирает обороты.Вот показатель экономики, такой как ВВП.
Решение
В следующих упражнениях рассмотрим многочлен третьей степени, обладающий свойствами Определить, являются ли следующие утверждения истинными или ложными . Обосновать ответ.
53. для некоторых
54.
для некоторых
Решение
Верно, по теореме о среднем значении
55. На
нет абсолютного максимума56. Если имеет три корня, то имеет 1 точку перегиба.
Решение
Верно, проверить производную
57. Если имеет одну точку перегиба, то имеет три действительных корня.
Определение чистых деривативных поступлений класса M
Относится к
Чистая деривативная расписка по классу MКласс M-4 Коэффициент переноса На первую Дату распределения, ____% годовых. По состоянию на любую Дату распределения после этого, меньшее из (1) месячной ставки LIBOR плюс маржи класса M-4 и (2) предела средневзвешенных доступных средств на такую Дату распределения.
Проходная ставка класса M-6 На первую Дату распределения, ____% годовых. По состоянию на любую Дату распределения после этого, меньшее из (1) месячной ставки LIBOR плюс маржи класса M-6 и (2) предела средневзвешенных доступных средств на такую Дату распределения.
Маржа класса M-4 На любую Дату распределения до Первоначальную факультативную Дату прекращения включительно — _____% годовых, а на любую Дату распределения после Первоначальной факультативной Даты прекращения действия — _____ % годовых.
Проходная ставка класса M-5 На первую Дату распределения, 5,7700% годовых. На любую Дату распределения после этого наименьший из (1) месячной ставки LIBOR плюс маржи класса M-5, (2) предела средневзвешенных доступных средств на такую Дату распределения и (3) предела средневзвешенной максимальной ставки для такого Дата распространения.
Маржа класса M-5 На любую Дату распределения до Исходной необязательной Даты прекращения включительно — 0,390% годовых и на любую Дату распределения после Первоначальной необязательной Даты прекращения — 0.585% годовых.
Маржа класса M-6 На любую Дату распределения до Даты первоначального необязательного прекращения включительно — 0,460% годовых, а на любую Дату распределения после Даты первоначального необязательного прекращения — 0,690% годовых.
Доля Класса M-2 в процентах В отношении любой Даты распространения – дробь, выраженная в процентах, числитель которой представляет собой совокупный основной баланс Сертификатов класса M-2 непосредственно перед такой датой, а знаменатель который представляет собой совокупный заявленный основной баланс всех ипотечных кредитов (или связанных объектов REO) (кроме соответствующей дисконтной части каждого дисконтного ипотечного кредита) непосредственно перед такой Датой распределения.
Сертификат класса M-7 Любой из сертификатов класса M-7, оформленный Доверительным управляющим, заверенный и доставленный Регистратором сертификатов, по форме, прилагаемой к настоящему документу в качестве Приложения AM-7 и подтверждающий (i) обычный Доля в REMIC III, (ii) право на получение Чистой переносимой суммы ставки WAC и (iii) обязательство по выплате Суммы распределения Класса IO.
Коэффициент переноса по Классу M-3 На первую Дату Распределения, _____% годовых.
На любую Дату распределения после этого, меньшее из (1) месячной ставки LIBOR плюс маржи класса M-3 и (2) предела средневзвешенных доступных средств на такую Дату распределения.
Проходная ставка класса M-2 На первую Дату распределения, 5,6800% годовых. На любую Дату распределения после этого наименьший из (1) одномесячной ставки LIBOR плюс маржа класса M-2, (2) предел средневзвешенных доступных средств на такую Дату распределения и (3) предел средневзвешенной максимальной ставки для такого Дата распространения.
Сертификат класса M-6 Любой из Сертификатов класса M-6, оформленный и заверенный Администратором ценных бумаг и доставленный Доверительным управляющим, по форме, прилагаемой к настоящему документу в качестве Приложения A-2 и свидетельствующий о регулярной заинтересованности в REMIC III для целей положений REMIC.
Проходная ставка класса M В отношении любой Даты распределения годовая ставка равна наименьшему из (i) 5,1310% и (ii) средневзвешенной чистой ипотечной ставке.
Маржа класса M-3 На любую Дату распределения до Исходной необязательной Даты прекращения включительно — 0,3300% годовых и на любую Дату распределения после Первоначальной необязательной Даты прекращения действия — 0,4950% годовых.
Маржа Класса M-2 На любую Дату распределения до Первоначальную Факультативную Дату прекращения действия Сертификатов включительно — 0,650% годовых и на любую Дату распределения после Первоначальной Факультативной Даты прекращения действия — 0,975% годовых.
Сертификат класса M-5 Любой из Сертификатов класса M-5, оформленный и заверенный Администратором ценных бумаг и доставленный Доверительным управляющим, в основном в форме, прилагаемой к настоящему документу в качестве Приложения A-2 и свидетельствующий о регулярной заинтересованности в REMIC II для целей положений REMIC.
Сертификат класса M-9 Любой из сертификатов класса M-9, оформленный Доверительным управляющим, заверенный и доставленный Регистратором сертификатов, по форме, прилагаемой к настоящему документу в качестве Приложения AM-9 и подтверждающий (i) обычный Доля в REMIC III, (ii) право на получение Чистой переносимой суммы ставки WAC и (iii) обязательство по выплате Суммы распределения Класса IO.
Текущие проценты по классу M-2 На любую Дату распределения проценты, начисленные в течение соответствующего Периода начисления по процентной ставке класса M-2 по сертификату класса M-2 на основной баланс на такую Дату распределения, плюс часть любых предыдущих распределений по такому Классу в отношении Текущей процентной ставки или Суммы переноса процентной ставки Класса M-2, которая возмещена в качестве оспоримой привилегии доверительным управляющим в деле о банкротстве, за вычетом любого Необеспеченного дефицита процентной ставки, распределенного на такую Дату распределения на Класс Сертификаты М-2.
Сертификат класса M-2 Любой из сертификатов класса M-2, оформленный и заверенный Администратором ценных бумаг и доставленный Доверительным управляющим, по форме, приложенной к настоящему документу в качестве Приложения A-2 и подтверждающий регулярную заинтересованность в REMIC II для целей положений REMIC.
Сертификаты класса M-6 Все сертификаты с обозначением класса «Класс M-6».![]()
Сертификат класса M-8 Любой из Сертификатов класса M-8, оформленный Доверительным управляющим, заверенный и доставленный Регистратором сертификатов, по форме, прилагаемой к настоящему документу в качестве Приложения AM-8 и подтверждающий (i) Обычный Доля в REMIC III, (ii) право на получение Чистой переносимой суммы ставки WAC и (iii) обязательство по выплате Суммы распределения Класса IO.
Текущие проценты по классу M-3 На любую Дату распределения проценты, начисленные в течение соответствующего Периода начисления по процентной ставке класса M-3 на основной баланс сертификата класса M-3 на такую Дату распределения, плюс часть любых предыдущих распределений по такому Классу в отношении Текущей доли или Суммы переноса процентов по Классу M-3, которая возмещена в качестве оспоримой привилегии доверительным управляющим в деле о банкротстве, за вычетом любого Необеспеченного дефицита процентов, распределенного на такую Дату распределения в пользу Класса Сертификаты М-3.
Сертификат класса M-4 Любой из сертификатов класса M-4, оформленный и заверенный Администратором ценных бумаг и доставленный Доверительным управляющим, по форме, прилагаемой к настоящему документу в качестве Приложения A-2 и подтверждающий регулярную заинтересованность в REMIC II для целей положений REMIC.
Процент класса M На любую Дату распределения процент, полученный путем деления основного баланса класса M на основной баланс ипотечного пула, но не более 100%; при условии, однако, что на любую Дату распределения, когда Процентная ставка Класса B равна 0%, Процентная ставка Класса M должна равняться 100% минус Процентная ставка Класса A.
Сертификат класса M-3 Любой из Сертификатов класса M-3, оформленный и заверенный Администратором ценных бумаг и доставленный Доверительным управляющим, по форме, прилагаемой к настоящему документу в качестве Приложения A-2 и подтверждающий регулярную заинтересованность в REMIC II для целей положений REMIC.
Процент Класса М-1 В отношении любой Даты Распределения, дробь, выраженная в процентах, числитель которой представляет собой совокупный Основной Баланс Сертификатов Класса М-1 непосредственно перед такой датой, а знаменатель который представляет собой совокупный заявленный основной баланс всех ипотечных кредитов (или связанных объектов REO) (кроме соответствующей дисконтной части каждого дисконтного ипотечного кредита) непосредственно перед такой Датой распределения.
Маржа класса M-1 На любую Дату распределения до Исходной необязательной Даты прекращения включительно — 0,300% годовых и на любую Дату распределения после Первоначальной необязательной Даты прекращения действия — 0,450% годовых.
Маленькие шажки для сдачи Исчисление 1. Пределы, производные и интегралы | by Mayara Rysia
Исчисление 1: пределы, производные и интегралы
Дифференциальное и интегральное исчисление — это инструмент функционального анализа, который можно использовать разными способами для решения простых и сложных задач, а также является причиной головной боли многих людей.
Поэтому я взял на себя инициативу написать немного о « шагах », которые помогли мне сдать экзамен по исчислению 1 из-за высокого уровня отказов в моем колледже, поскольку я был частью класса с , чуть более 60 человек и около 5 человек. из них были утверждены в моем периоде.
В первую очередь примечательно, что я не специалист в математике, просто напишу несколько полезных советов, которые мне помогли. Во-первых, нет волшебной формулы обучения, нужна самоотверженность, связанная с оптимизмом в процессе обучения.Второе, что нужно сказать: это непросто, но и не невозможно. Перед или во время занятий я рекомендую краткий обзор математики и предметов средней школы, поэтому рекомендую видеоуроки на YouTube.
Темы обзора, на которых следует сосредоточиться: факторизация , известные продукты , тригонометрия , потенцирование , n-й корень и функции .
В этом смысле книгой, которую я использовал в тот период, была книга «Исчисление Джеймса Стюарта — том 1 », и есть проверочные тесты, которые служат основой для пересмотра.Когда вы читаете книгу/раздаточный материал, постарайтесь понять основы каждого метода, сосредоточьтесь на каждом шаге и не пропускайте главу, потому что это нормально, когда глава «зависит» от предыдущей.
Точно так же общайтесь с одноклассниками, нет ничего постыдного в том, чтобы не знать, как решить упражнение, ищите знания, задавайте свои вопросы, не отдыхайте, пока не научитесь. Вам нравится писать? Запишите важные части уроков, чтобы иметь в виду, сфотографируйте упражнения, которые были решены в классе.И, наконец, я предлагаю вам выполнять много упражнений, так как это ключ к изучению и закреплению предметов, и только практика может привести к тому, что вы хорошо сдадите тесты.
Оставляю несколько ссылок для изучения и удачи!
Precalculus Precalculus Playlist: CALLUS 01 PLAYLIST : Различный и интегральный исчислений Материал – уроки, книги, советы по математике Rio Mathmatics с проф. PS.: Если вам понравилось, уйти Ваши аплодисменты здесь в контентах =) my Twitter , , Github & 9002 & DEV сообщество ☺ Цели: Имипрамин использовался более четырех десятилетий (первые отчеты в 1960-х годах) для лечения ночного энуреза, хотя причина его эффекта не ясна.Имипрамин представляет собой третичный амин, который может действовать как на периферии, так и/или проходить через гематоэнцефалический барьер (ГЭБ) в неионизированной форме и проявлять центральное действие. Поскольку имипрамин обладает антихолинергическими свойствами, некоторые полагают, что он может оказывать антиэнуретическое действие, воздействуя на периферические холинорецепторы, т. Методы: В данной статье описаны синтез и оценка антихолинергического действия нового биспроизводного имипрамина, содержащего в своей структуре два имипраминовых звена. Ключевые результаты: Соединение проявляло антихолинергическую активность, сравнимую с активностью имипрамина, на изолированной подвздошной кишке морской свинки. Выводы: Будучи четвертичным аммонием, ожидается, что это соединение не сможет проникать через ГЭБ и, таким образом, будет вызывать меньше побочных эффектов со стороны ЦНС. Использование деривативов и других торговых стратегий организациями для создания возможностей и снижения рисков имеет решающее значение для предприятий в разных отраслях и по всему миру.Понимание как экономики сделки, так и того, как сделка может повлиять на управление рисками или инвестиционные цели, является неотъемлемым фактором успеха вашего бизнеса. Регуляторные требования, в том числе обязательный клиринг определенных контрактов на деривативы в рамках EMIR в Европейской экономической зоне и Додда-Франка в США, правила маржи и дополнительные капитальные затраты усложняют успешное управление бизнес-рисками за счет использования деривативов и других торговых стратегий. .Eversheds Sutherland помогает клиентам ориентироваться в нормативных сложностях и управлять рисками. Какими бы ни были ваши потребности, мы здесь, чтобы помочь вам. Наша команда предоставляет консультации по всем аспектам покупки и продажи на международном рынке деривативов. Наши юристы: Наша консультационная и юридическая работа охватывает все основные типы продуктов, включая биржевые, внебиржевые и централизованно клиринговые деривативы, а также все классы базовых активов, такие как процентная ставка, валюта, кредит, акции, товары, инфляция, фонды и энергия. Мы знаем, как изменение правил и тенденций может повлиять на участников отрасли и активно влиять на усилия по реформированию. Чтобы наши клиенты не спотыкались о вопросах соответствия, мы внимательно отслеживаем тенденции и события. Мы предлагаем ряд юридических услуг, которые помогут вам в разработке ваших торговых стратегий, в том числе: Мы применяем прагматичный и коммерческий подход к нашим советам и быстро и эффективно решаем вопросы или проблемы. Если вам нужна дополнительная информация или консультация по деривативному праву, свяжитесь с нашей командой юристов. § 95.9 Производные жира, полученного из крупного рогатого скота. (a) Импорт производных жира крупного рогатого скота запрещен, за исключением случаев, когда товар соответствует условиям параграфа (b), (c), (d) или (e) настоящего раздела, а также параграфа (f) настоящего раздела или, в качестве альтернативы, соответствует условиям пункта (g) настоящего раздела. (b) Товар соответствует определению производного жира в § 95.1. (c) Производное из жира, состоящего из максимального уровня нерастворимых примесей 0,15% по весу. (d) Производное из жира, происходящего из региона с незначительным риском заражения ГЭКРС. (e) Производное из жира, происходящего из региона контролируемого риска по ГЭКРС, получено от крупного рогатого скота, прошедшего предубойный и послеубойный осмотр, и не содержит SRM, как это определено для регионов с контролируемым риском по ГЭКРС. в § 92.1 этой подглавы. (f) Производное жира сопровождается в Соединенные Штаты оригинальным сертификатом, подписанным штатным ветеринарным работником национального правительства экспортирующего региона или выданным ветеринарным врачом, назначенным национальным правительством экспортирующего региона и заверенный штатным ветеринарным работником национального правительства экспортирующего региона, свидетельствующий о том, что ветеринар, выдавший сертификат, уполномочен на это.В сертификате должно быть указано, что требования параграфа (b), (c), (d) или (e) данного раздела, в зависимости от обстоятельств, выполнены, а для производных животного жира, отличных от описанных в параграфе (b) или (c) этого раздела, должна быть указана классификация риска ГЭКРС региона-экспортера. (g) Администратор определяет, что производное жира не будет вступать в контакт с жвачными в Соединенных Штатах и может быть импортировано в условиях, которые предотвратят занос ГЭКРС в Соединенные Штаты, и лицо, импортирующее производное жира, получило Ветеринарное разрешение США на импорт и транспортировку контролируемых материалов, организмов и переносчиков.Чтобы подать заявку на получение разрешения, заполните форму VS 16-3, которую можно получить в Strategy and Policy, Veterinary Services, APHIS, 4700 River Road, Riverdale, MD 20737-1231, или в электронном виде по адресу https://efile. aphis.usda.gov/s/vs-permitting-assistant. В заявке на такое разрешение должно быть указано предполагаемое использование производного жира, а также имя и адрес грузополучателя в Соединенных Штатах. (Утверждено Административно-бюджетным управлением под контрольным номером 0579-0393) Сигнал BOLD , измеренный с помощью фМРТ, представляет собой смесь флуктуаций
как нейронального, так и ненейронного происхождения. Вмешивающиеся факторы (или мешающие регрессоры) — это переменные, представляющие колебания с потенциальным
ненейронного происхождения.Такие ненейронные флуктуации могут привести к ложным результатам при анализе данных фМРТ.
включая стандартную активацию GLM и анализ функциональных возможностей подключения.
Можно свести к минимуму искажающие эффекты ненейронных сигналов, включив
их как мешающие регрессоры в матрице дизайна GLM или регрессируют их из
данные фМРТ — процедура, известная как шумоподавление .
В настоящее время в сообществе фМРТ нет единого мнения об оптимальной стратегии шумоподавления. Наиболее хорошо установленными вмешивающимися переменными в нейровизуализации являются шесть параметров движения головы.
(три поворота и три перевода) – общий вывод коррекции движения головы
(также известная как перестройка ) популярного программного обеспечения для предварительной обработки фМРТ.
такие как SPM или FSL.
Помимо стандартных параметров движения головы, конвейер fMRIPrep генерирует большой массив
возможных помех, которые позволяют исследователям выбрать наиболее подходящий шумоподавитель
стратегию последующего анализа. Вмешивающиеся переменные, рассчитанные в fMRIPrep , хранятся отдельно для каждого субъекта,
сеанс и запустить в файлах TSV – один столбец для каждой смешанной переменной. Основные путаницы . Наиболее часто используемые смешанные временные ряды: Расчетные параметры движения головы: Глобальные сигналы: Расширение параметров основных путаниц .
Стандартные параметры шести движений могут не учитывать все связанные с дисперсией
к движению головой.
[Friston1996] и [Satterthwaite2013] предложили расширение шести фундаментальных
параметры движения головы.
Чтобы сделать этот метод более доступным, fMRIPrep автоматически рассчитывает параметр движения
расширение [Satterthwaite2013], обеспечивающее временные ряды, соответствующие первому временные производные шести базовых параметров движения вместе с их квадратичных слагаемых , что в сумме дает 24 параметра движения головы
(шесть основных параметров движения + шесть временных производных шести параметров движения +
12 квадратичных членов шести параметров движения и их шести временных производных).Кроме того, fMRIPrep возвращает временные производные и квадратичные члены для
три глобальных сигнала ( Производные и квадратичные члены хранятся под именами столбцов с
суффиксы: Обнаружение выбросов .
Эти путаницы могут быть использованы для обнаружения потенциальных временных точек выбросов –
кадры с внезапным и сильным движением или всплесками интенсивности. Обнаруженные выбросы могут быть дополнительно удалены из временных рядов с помощью таких методов, как:
объем подвергает цензуре – полностью отбрасывая проблемные моменты времени [Power2012],
регрессия сигнала от точек выбросов в процедуре шумоподавления, или
включение точек выбросов в последующий анализ первого уровня при построении
матрица дизайна.
Усредненное значение смешения (например, среднее Дискретные косинусные регрессоры .
В фМРТ обычно присутствуют физиологические и инструментальные (сканер) источники шума.
данные, обычно принимающие форму дрейфа низкочастотного сигнала.Чтобы учесть эти дрейфы, временная фильтрация верхних частот является немедленным вариантом.
В качестве альтернативы, низкочастотные регрессоры могут быть включены в статистическую модель для учета
для этих смешанных сигналов.
Используя базовые функции DCT , fMRIPrep генерирует
эти низкочастотные предикторы: Одной из характеристик косинусных регрессоров является то, что они идентичны для двух разных
наборы данных с тем же TR и тем же эффективным количеством
моменты времени ( эффективная длина ).Уместно упомянуть эффективное , потому что начальные моменты времени определены как нестационарные.
состояния удаляются перед созданием косинусных регрессоров. Осторожно Если ваш анализ включает отдельную фильтрацию высоких частот, не включайте CompCor путает . CompCor — это PCA ,
следовательно, основанный на компонентах метод распознавания образов шума.
В методе главные компоненты рассчитываются в пределах ROI который вряд ли включает сигнал, связанный с активностью нейронов, например CSF и маски WM .Сигналы, извлеченные из компонентов CompCor, могут быть дополнительно регрессированы из данных фМРТ с помощью
процедура шумоподавления [Behzadi2007]. Для вычисления компонентов шума выполняются четыре отдельных разложения CompCor: одно временное
разложение ( Каждый файл данных смешивания также будет иметь соответствующий файл метаданных
( Для разложений CompCor записи включают: Осторожно Для дальнейшего шумоподавления следует использовать только часть этих декомпозиций CompCor.
Оригинальная реализация Behzadi aCompCor [Behzadi2007] может применяться с использованием
компоненты из комбинированных масок, в то время как более поздняя реализация Muschelli
[Muschelli2014] можно применить с помощью
маски WM и CSF . Существует множество способов выбора компонентов CompCor для дальнейшего шумоподавления.В общем случае компоненты с наибольшими сингулярными значениями (т. е. те, которые
объяснить наибольшую часть дисперсии данных). fMRIPrep выводит компоненты в порядке убывания единственного числа.
Общие подходы включают выбор фиксированного количества компонентов (например,
первые 5 или 6), используя количественный или качественный критерий (например, локоть, сломанный
стержень или номер состояния), или с использованием достаточного количества компонентов, чтобы как минимум
кумулятивная доля дисперсии объясняется (т.г., 50%). Осторожно Точно так же, если вы используете анатомический или временной CompCor, это может не иметь смысла.
использовать глобальные регрессоры Опасность fMRIPrep выполняет фильтрацию верхних частот перед запуском анатомического или временного CompCor.
Следовательно, при использовании регрессоров CompCor соответствующие регрессоры См. также Это дидактическое обсуждение на NeuroStars.org
где Патрик Садил подробно рассказывает о PCA и о том, как применяется эта базовая техника
к CompCor в целом и реализации fMRIPrep в частности. АРОМАТ смущает . AROMA — это ICA .
основанная на процедуре выявления смешанных временных рядов, связанных с движением головы [Prium2015].
ICA-AROMA можно включить с помощью флага Опасность Если вы уже используете очищенные AROMA данные ( Дополнительно, согласно [Hallquist2013] и [Lindquist2019], при использовании данных, очищенных AROMA.
большинство смешанных регрессоров должны быть пересчитаны (эта функция находится в стадии разработки,
продолжение № 1905).
Удивительно, но наши симуляции
(с благодарностью Дж. Д. Кент) предполагают, что использование путаницы, рассчитанной в настоящее время fMRIPrep — до шумоподавления — вполне подойдет. Осторожно Нестационарные состояния (или фиктивные сканы ) в начале каждого прогона
отбрасываются до выполнения ICA-AROMA.Следовательно, любой последующий анализ выходных данных ICA-AROMA должен отбрасывать то же самое.
число нестационарных состояний .
Rafael Procopio Синтез до четвертичного биса производной имипрамина в качестве нового соединения с потенциальным противоурезенным эффектом
е. его антиэнуретический эффект может быть обусловлен периферическим антихолинергическим действием, в то время как другие считают, что он может проходить через ГЭБ и взаимодействуют с рецепторами центральной нервной системы (ЦНС).Если антиэнуретический эффект имипрамина обусловлен его периферическим антихолинергическим эффектом, его проникновение в ЦНС не требуется. Таким образом, синтез формы имипрамина, которая может проявлять периферические антихолинергические эффекты, но не имеет побочных эффектов со стороны ЦНС, в этом случае будет иметь более безопасный лекарственный профиль. С другой стороны, если антиэнуретический эффект имипрамина в первую очередь обусловлен его действием на ЦНС, форма имипрамина, которая не может проходить через ГЭБ, не влияет на лечение ночного энуреза и, таким образом, может помочь прояснить механизм действия. Имипрамин в лечении ночного энуреза.
Юридическая консультация по деривативам – Eversheds Sutherland

Опытные юристы по деривативам
Нашими клиентами являются банки, страховые компании, строительные общества, брокеры-дилеры, заемщики и корпорации, особенно в транспортном, розничном, энергетическом и некоммерческом секторах. Мы также консультируем управляющих активами, государственные и частные фонды и пенсионные программы.
Мы понимаем, что вам нужны юридические консультации и обучение по разумной цене, и мы можем адаптировать эти услуги в соответствии с различными бюджетами. Свяжитесь с нашей командой деривативов
9 CFR § 95.9 – Производные жира, полученного из крупного рогатого скота. | CFR | Закон США


Выходные данные fMRIPrep — документация по версии fmriprep
Нейрональные сигналы измеряются косвенно, как изменения локальной концентрации оксигенированного гемоглобина.
Ненейронные колебания данных фМРТ могут появляться в результате движения головы, шума сканера,
или физиологические колебания (связанные с сердечными или респираторными эффектами).
Подробный обзор возможных источников шума в сигнале BOLD см. в [Greve2013].
Скорее, были предложены разные стратегии, которые позволяют достичь разных компромиссов между
насколько эффективно удаляются ненейронные флуктуации и сколько нейронных флуктуаций
повреждаются в процессе.Конвейер fMRIPrep генерирует большое количество возможных путаниц.
Такие табличные файлы могут включать более 100 столбцов потенциальных регрессоров смешения. Описание регрессоров путаницы
trans_x , trans_y , trans_z , rot_x , rot_y , rot_z – движение твердого тела 6
параметры (3 перемещения и 3 поворота), оцениваемые относительно эталонного изображения; csf – средний сигнал в пределах анатомически выведенной эродированной маски CSF ; white_matter – средний сигнал в пределах анатомически полученных эродированных масок WM ; global_signal – средний сигнал в пределах маски мозга.
csf , white_matter и global_signal )
для возможности применения стратегии шумоподавления с 36 параметрами, предложенной [Satterthwaite2013].
_derivative1 и мощности _power2 .
Они рассчитываются для оценок движения головы ( trans_ и rot_ ) и глобальных сигналов.
( white_matter , csf и global_signal ). framewise_displacement – количественная оценка предполагаемого движения переборки, рассчитанная с использованием
формула, предложенная [Power2012]; rmsd — количественная оценка предполагаемого относительного (от кадра к кадру) объемного движения головы.
рассчитано с использованием подхода RMS [Jenkinson2002]; dvars – производная RMS дисперсии по вокселям (или DVARS ) [Power2012]; std_dvars – стандартизированный DVARS ; non_steady_state_outlier_XX — в столбцах указаны нестационарные объемы с одним 1 значение и 0 в другом месте ( i.
е. , есть один столбец non_steady_state_outlier_XX на
выброс/объем). framewise_displacement )
также могут быть добавлены в качестве регрессоров при анализе на уровне группы [Yan2013]. Регрессоры пиков движения для цензурирования выбросов генерируются изнутри fMRIPrep ,
и их расчет можно настроить с помощью параметров командной строки --fd-spike-threshold и --dvars-spike-threshold (по умолчанию FD > 0,5 мм или DVARS > 1,5).
Регрессоры всплесков движения хранятся в отдельных столбцах motion_outlier_XX .

cosine_XX регрессоров в вашей матрице проекта. t_comp_cor_XX ) и три анатомических разложения ( a_comp_cor_XX ) поперек
три различных шумовых ROI: эрозированная маска белого вещества, эрозированная маска ЦСЖ и комбинированная маска, полученная
от союза этих.
~desc-confounds_regressors.json ).
Файлы метаданных содержат дополнительную информацию о столбцах в TSV-файле путаницы: {
"a_comp_cor_00": {
«Объяснение совокупной дисперсии»: 0,1081970825,
«Маска»: «комбинированная»,
«Метод»: «аКомпКор»,
«Сохранено»: правда,
"SingularValue": 25.8270209974,
«Разница Объяснена»: 0,1081970825
},
"выпало_0": {
«Объяснение совокупной дисперсии»: 0,5965809597,
«Маска»: «комбинированная»,
«Метод»: «аКомпКор»,
«Сохранено»: ложь,
«Единственное значение»: 20.7955177198,
«Разница Объяснена»: 0,0701465624
}
}
Метод : анатомический или временной CompCor. Маска : обозначает область интереса , где декомпозиция, которая сгенерировала
был выполнен компонент: CSF , WM или в сочетании с для анатомического CompCor.
SingularValue : единственное значение компонента. VarianceExplained : доля дисперсии, объясняемая компонентом в маске ROI декомпозиции. CumulativeVarianceExplained : общая доля дисперсии, объясняемая этим конкретным компонентом
и все предыдущие компоненты. Сохранено : Указывает, был ли компонент сохранен в desc-confounds_timeseries.tsv для использования в шумоподавлении.
Записи, которые не сохраняются в файле данных для шумоподавления, по-прежнему сохраняются в метаданных с сбросил префикс .
Чтобы определить происхождение каждого компонента, обратитесь к файлу метаданных (описанному выше). csf или white_matter –
см. № 1049.
И наоборот, использование общего global_signal смешения в дополнение к CompCor
регрессоры могут быть полезны (см.
[Parkes2018]). cosine_XX также должны быть включены в матрицу дизайна. --use-aroma . ~desc-smoothAROMAnonaggr_bold.),
не включайте помехи ICA-AROMA в спецификацию проекта или процедуру шумоподавления.
нии.гз
