Формула индукции магнитного поля. Вектор индукции магнитного поля.
Природа магнетизма
Согласно одной из легенд, когда-то давным-давно жил в Греции пастух по имени Магнес. И вот шел он как-то со своим стадом овец, присел на камень и обнаружил, что конец его посоха, сделанный из железа, стал притягиваться к этому камню. С тех пор стали называть этот камень магнетит в честь Магнеса. Этот камень представляет из себя оксид железа.
Если такой камень положить на деревянную доску на воду или подвесить на нитке, то он всегда выстраивался в определенном положении. Один его конец всегда показывал на СЕВЕР, а другой — на ЮГ.
Этим свойством камня пользовались древние цивилизации. Поэтому, это был своего рода первый компас. Потом уже стали обтачивать такой камень и делать из разные фигурки. Например, так выглядел китайский древний компас, ложка которого была сделана из того самого магнетита. Ручка у этой ложки всегда показывала на ЮГ.
Ну а далее дело шло за практичностью и маленькими габаритами.
Из магнетита вытачивали маленькие стрелки, которые подвешивали на тонкую иглу посередине. Так стали появляться первые малогабаритные компасы.
Древние цивилизации, конечно, не знали еще что такое север и юг. Поэтому, одну сторону магнетита они назвали северным полюсом (North), а противоположный конец — южным (South). Названия на английском очень легко запомнить, если кто смотрел американский мультфильм «Южный парк», он же Сауз (South) парк).
Магнитные линии и магнитный поток
Вокруг магнита экспериментальным путем были обнаружены магнитные силовые линии. Эти магнитные линии создают так называемое магнитное поле.
Как вы могли заметить на рисунке, концентрация магнитных силовых линий на самых краях магнита намного больше, чем в его середине. Это говорит о том, что магнитное поле является более сильным именно на краях магнита, а в его середине практически равна нулю. Направлением магнитных силовых линий считается направление от севера к югу.
Ошибочно считать, что магнитные силовые линии начинают свое движение от северного полюса и заканчивают свой век на южном.
Это не так. Магнитные линии — они замкнуты и непрерывны. В магните это будет выглядеть примерно так.
Если приблизить два разноименных полюса, то произойдет притягивание магнитов
Если же приблизить одноименными полюсами, то произойдет их отталкивание
Итак, ниже важные свойства магнитных силовых линий.
- Магнитные линии не поддаются гравитации.
- Никогда не пересекаются между собой.
- Всегда образуют замкнутые петли.
- Имеют определенное направление с севера на юг.
- Чем больше концентрация силовых линий, тем сильнее магнитное поле.
- Слабая концентрация силовых линий указывает на слабое магнитное поле.
Магнитные силовые линии, которые образуют магнитное поле, называют также магнитным потоком.
Итак, давайте рассмотрим два рисунка и ответим себе на вопрос, где плотность магнитного потока будет больше? На рисунке «а» или на рисунке «б»?
Видим, что на рисунке «а» мало силовых магнитных линий, а на рисунке «б» их концентрация намного больше.
Отсюда можно сделать вывод, что плотность магнитного потока на рисунке «б» больше, чем на рисунке «а».
В физике формула магнитного потока записывается как
где
Ф — магнитный поток, Вебер
В — плотность магнитного потока, Тесла
а — угол между перпендикуляром n (чаще его зовут нормалью) и плоскостью S, в градусах
S — площадь, через которую проходит магнитный поток, м2
Магнитная индукция
Так же, как заряженные тела создают вокруг себя электрическое поле, движущиеся заряженные тела порождают магнитное поле. Магнитное поле не только создается движущимися зарядами (электрическим током), но еще и действует на них. По сути магнитное поле можно обнаружить только по действию на движущиеся заряды. А действует оно на них с силой, называемой силой Ампера, о которой речь пойдет позже.
Изображение магнитного поля при помощи силовых линий
Прежде чем мы начнем приводить конкретные формулы, нужно рассказать про магнитную индукцию.
Магнитная индукция – это силовая векторная характеристика магнитного поля.
Она обозначается буквой B и измеряется вТесла (Тл). По аналогии с напряженностью для электрического поля Е магнитная индукция показывает, с какой силой магнитное поле действует на заряд.
Кстати, вы найдете много интересных фактов на эту тему в нашей статье про теорию магнитного поля и интересные факты о магнитном поле Земли.
Как определять направление вектора магнитной индукции? Здесь нас интересует практическая сторона вопроса. Самый частый случай в задачах – это магнитное поле, создаваемое проводником с током, который может быть либо прямым, либо в форме окружности или витка.
Для определения направления вектора магнитной индукции существует правило правой руки. Приготовьтесь задействовать абстрактное и пространственное мышление!
Если взять проводник в правую руку так, что большой палец будет указывать на направление тока, то загнутые вокруг проводника пальцы покажут направление силовых линий магнитного поля вокруг проводника.
Вектор магнитной индукции в каждой точке будет направлен по касательной к силовым линиям.
Формула индукции магнитного поля
ОПРЕДЕЛЕНИЕ
Векторной характеристикой магнитного поля является вектор магнитной индукции. Его обозначают как:
Направлением вектора магнитной индукции считают направление на север магнитной стрелки, которая может свободно вращаться в магнитном поле. Такое же направление имеет положительная нормаль к замкнутому контуру, по которому течет ток. Положительная нормаль имеет направление, совпадающее с направлением перемещения правого винта (буравчика), если его вращают по направлению тока в контуре.
Модуль вектора магнитной индукции можно установить, используя силу, которая действует на проводники с током, помещенные в магнитное поле (силу Ампера). Тогда модуль вектора
равен частному от деления максимальной силы (), с которой магнитное поле оказывает воздействие на отрезок проводника с током (I) к произведению силы тока на длину проводника ():
Рассматривая силу Лоренца, которая действует на заряженную частицу, движущуюся в магнитном поле, получают формулу для магнитной индукции в виде:
где – модуль силы Лоренца; q – заряд частицы, движущейся со скоростью v в магнитном поле; – это угол между векторами и .
Направления , векторов и связаны между собой правилом левой руки.
Формулой, которая определяет величину вектора магнитной индукции в данной точке магнитного поля, считают так же следующее выражение:
где – максимальный вращающий момент, действующий на рамку, которая обладает магнитным моментом , равным единице, если нормаль к рамке перпендикулярна направлению поля. Вращающий момент (M), действующий на контур с током I в однородном магнитном поле можно вычислить как:
где S – площадь, которую обтекает ток I. Следует помнить, что максимальный вращающий момент получается тогда, когда плоскость контура параллельна линиям магнитной индукции поля ().
Физический смысл магнитной индукции
Физически это явление объясняется следующим образом. Металл имеет кристаллическую структуру (катушка металлическая). В кристаллической решетке металла есть электрические заряды – электроны. Если на металл не действует магнитное воздействие, заряды (электроны) покоятся и никуда не движутся.
Если металл попадает под действие переменного магнитного поля (из-за движения постоянного магнита внутри катушки – точное смещение), то заряды начинают двигаться под действием влияние этого магнитного поля.
В результате в металле образуется электрический ток. Сила этого тока зависит от физических свойств магнита и катушки и скорости движения одного относительно другого.
Когда металлическую катушку помещают в магнитное поле, заряженные частицы металлической решетки (в каштане) поворачиваются на определенный угол и размещаются вдоль силовых линий магнитного поля.
Чем больше напряженность магнитного поля, тем большее количество частиц вращается и тем более равномерным будет их расположение.
Магнитные поля, ориентированные в одном направлении, не нейтрализуют друг друга, а складываются в единое поле.
Другие формулы, где встречается B
Эти формулы также можно использовать для его расчета.
Сила Ампера
Представим, что есть магнитное поле с индукцией B. Если мы поместим в него проводник длиной l, по которому течет ток силой I, то поле будет действовать на проводник с силой:
Это и есть сила Ампера. Угол альфа– угол между направлением вектора магнитной индукции и направлением тока в проводнике.
Направление силы Ампера определяется по правилу левой руки: если расположить левую руку так, чтобы в ладонь входили линии магнитной индукции, а вытянутые пальцы указывали бы направление тока, отставленный большой палец укажет направление силы Ампера.
Сила Лоренца
Мы выяснили, что поле действует на проводник с током. Но если это так, то изначально оно действует отдельно на каждый движущийся заряд. Сила, с которой магнитное поле действует на движущийся в нем электрический заряд, называется силой Лоренца. Здесь важно отметить слово «движущийся», так на неподвижные заряды магнитное поле не действует.
Итак, частица с зарядом q движется в магнитном поле с индукцией В со скоростью v, а альфа– это угол между вектором скорости частицы и вектором магнитной индукции. Тогда сила, которая действует на частицу:
Как определить направление силы Лоренца? По правилу левой руки. Если вектор индукции входит в ладонь, а пальцы указывают на направление скорости, то отогнутый большой палец покажет направление силы Лоренца. Отметим, что так направление определяется для положительно заряженных частиц. Для отрицательных зарядов полученное направление нужно поменять на противоположное.
Если частица массы m влетает в поле перпендикулярно линиям индукции, то она будет двигаться по окружности, а сила Лоренца будет играть роль центростремительной силы. Радиус окружности и период обращения частицы в однородном магнитном поле можно найти по формулам:
Магнитный поток
Магнитный поток: Ф = BS cosα
Где:
- Ф — магнитный поток (в Вб — вебер)
- B — индукция (в Тл)
- S — площадь рамки (в м²)
- α — угол между вектором В и одним из направлений (силы тока, скорости, или др.
; измеряется в рад. или град.))
Взаимодействие магнита с контуром
Итак, приближение или удаление магнита приводит к появлению в контуре индукционного тока, направление которого определяется правилом Ленца. Но ведь магнитное поле действует на ток! Появится сила Ампера, действующая на контур со стороны поля магнита. Куда будет направлена эта сила?
Если вы хотите хорошо разобраться в правиле Ленца и в определении направления силы Ампера, попробуйте ответить на данный вопрос самостоятельно. Это не очень простое упражнение и отличная задача для С1 на ЕГЭ. Рассмотрите четыре возможных случая.
1. Магнит приближаем к контуру, северный полюс направлен на контур.
2. Магнит удаляем от контура, северный полюс направлен на контур.
3. Магнит приближаем к контуру, южный полюс направлен на контур.
4. Магнит удаляем от контура, южный полюс направлен на контур.
Не забывайте, что поле магнита не однородно: линии поля расходятся от северного полюса и сходятся к южному.
Это очень существенно для определения результирующей силы Ампера. Результат получается следующий.
Если приближать магнит, то контур отталкивается от магнита. Если удалять магнит, то контур притягивается к магниту. Таким образом, если контур подвешен на нити, то он всегда будет отклоняться в сторону движения магнита, словно следуя за ним. Расположение полюсов магнита при этом роли не играет .
Уж во всяком случае вы должны запомнить этот факт — вдруг такой вопрос попадётся в части А1
Результат этот можно объяснить и из совершенно общих соображений — при помощи закона сохранения энергии.
Допустим, мы приближаем магнит к контуру. В контуре появляется индукционный ток. Но для создания тока надо совершить работу! Кто её совершает? В конечном счёте — мы, перемещая магнит. Мы совершаем положительную механическую работу, которая преобразуется в положительную работу возникающих в контуре сторонних сил, создающих индукционный ток.
Итак, наша работа по перемещению магнита должна быть положительна .
Это значит, что мы, приближая магнит, должны преодолевать силу взаимодействия магнита с контуром, которая, стало быть, является силой отталкивания .
Теперь удаляем магнит. Повторите, пожалуйста, эти рассуждения и убедитесь, что между магнитом и контуром должна возникнуть сила притяжения.
Частные случаи формул для вычисления величины вектора магнитной индукции
Формула для вычисления модуля вектора индукции в центре кругового витка с током (I):
где R – радиус витка.
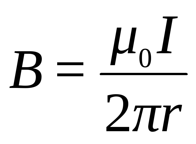
Модуль вектора магнитной индукции поля, которое создает бесконечно длинный прямой проводник с током:
где r – расстояние от оси проводника до точки, в которой рассматривается поле.
В средней части соленоида магнитная индукция поля вычисляется при помощи формулы:
где n – количество витков соленоида на единицу длины; I – сила тока в витке.
Основные формулы раздела «Магнитное поле»
Закон электромагнитной индукции
Закон электромагнитной индукции (закон Фарадея) звучит так:
ЭДС индукции в замкнутом контуре равна и противоположна по знаку скорости изменения магнитного потока через поверхность, ограниченную контуром.
Математически его можно описать формулой:
| Закон Фарадея Ɛi — ЭДС индукции [В] ΔФ/Δt — скорость изменения магнитного потока [Вб/с] |
Знак «–» в формуле позволяет учесть направление индукционного тока. Индукционный ток в замкнутом контуре всегда направлен так, чтобы магнитный поток поля, созданного этим током сквозь поверхность, ограниченную контуром, уменьшал бы те изменения поля, которые вызвали появление индукционного тока.
Если контур состоит из N витков (то есть он — катушка), то ЭДС индукции будет вычисляться следующим образом.
| Закон Фарадея для контура из N витков Ɛi — ЭДС индукции [В] ΔФ/Δt — скорость изменения магнитного потока [Вб/с] N — количество витков [-] |
Сила индукционного тока в замкнутом проводящем контуре с сопротивлением R:
| Закон Ома для проводящего контура Ɛi — ЭДС индукции [В] I — сила индукционного тока [А] R — сопротивление контура [Ом] |
Если проводник длиной l будет двигаться со скоростью v в постоянном однородном магнитном поле с индукцией B ЭДС электромагнитной индукции равна:
| ЭДС индукции для движущегося проводника Ɛi — ЭДС индукции [В] B — магнитная индукция [Тл] v — скорость проводника [м/с] l — длина проводника [м] |
Возникновение ЭДС индукции в движущемся в магнитном поле проводнике объясняется действием силы Лоренца на свободные заряды в движущихся проводниках.
Сила Лоренца играет в этом случае роль сторонней силы.
Движущийся в магнитном поле проводник, по которому протекает индукционный ток, испытывает магнитное торможение. Полная работа силы Лоренца равна нулю.
Количество теплоты в контуре выделяется либо за счет работы внешней силы, которая поддерживает скорость проводника неизменной, либо за счет уменьшения кинетической энергии проводника.
Изменение магнитного потока, пронизывающего замкнутый контур, может происходить по двум причинам:
- вследствие перемещения контура или его частей в постоянном во времени магнитном поле. Это случай, когда проводники, а вместе с ними и свободные носители заряда, движутся в магнитном поле
- вследствие изменения во времени магнитного поля при неподвижном контуре. В этом случае возникновение ЭДС индукции уже нельзя объяснить действием силы Лоренца. Явление электромагнитной индукции в неподвижных проводниках, возникающее при изменении окружающего магнитного поля, также описывается формулой Фарадея
Таким образом, явления индукции в движущихся и неподвижных проводниках протекают одинаково, но физическая причина возникновения индукционного тока оказывается в этих двух случаях различной:
- в случае движущихся проводников ЭДС индукции обусловлена силой Лоренца
- в случае неподвижных проводников ЭДС индукции является следствием действия на свободные заряды вихревого электрического поля, возникающего при изменении магнитного поля.

Примеры решения задач по теме «Магнитная индукция»
ПРИМЕР 1
| Задание | Какова магнитная индукция поля в вакууме, которую создают два тока в точке находящейся на равном расстоянии от каждого проводника (рис.1)? Проводники являются бесконечно длинными, прямыми. Расстояние между ними равно r. Провода параллельные, текущие в них токи равны I, они имеют одинаковые направления. |
| Решение | В соответствии с принципом суперпозиции результирующая индукция магнитного поля должна быть найдена как векторная сумма: где Величину вектора магнитной индукции в точке А поля, которое создает первый проводник можно найти используя формулу: где <br>;
|
| Ответ |
ПРИМЕР 2
| Задание | Какова магнитная индукция в центре тонкого кольца, находящегося в вакууме, если по нему течет ток, равный А? Радиус кольца равен м. |
| Решение | В качестве основы для решения задачи используем закон Био-Савара-Лапласа для вакуума. Выделим на круговом токе элементарный участок, который можно считать прямолинейным. В центре окружности этот участок создает поле равное: Все векторы магнитной индукции от всех элементов тока при движении по окружности будут направлены вдоль одной прямой, поэтому векторное суммирование заменим простым интегрированием: Проведем вычисление: |
| Ответ | Тл |
Причины возникновения индукционного тока в движущихся и неподвижных проводниках
Причин, по которым может происходить изменение магнитного потока, пронизывающего замкнутый контур, две:
- Изменение магнитного потока вследствие перемещения всего контура или отдельных его частей в магнитном поле, которое не изменяется со временем;
- Изменение магнитного поля при неподвижном контуре.

Перейдем к рассмотрению этих случаев подробнее.
Перемещение контура или его частей в неизменном магнитном поле
При движении проводников и свободных носителей заряда в магнитном поле возникает ЭДС индукции. Объяснить возникновение δинд можно действием силы Лоренца на свободные заряды в движущихся проводниках. Сила Лоренца здесь – это сторонняя сила.
Пример 2
На рисунке мы изобразили пример индукции, когда прямоугольный контур помещен в однородное магнитное поле B→ направленное перпендикулярно плоскости контура. Одна из сторон контура перемещается по двум другим сторонам с некоторой скоростью.
Рисунок 1.20.3. Возникновение ЭДС индукции в движущемся проводнике. Отражена составляющая силы Лоренца, которая действует на свободный электрон
На свободные заряды подвижной части контура воздействует сила Лоренца. Основная составляющая силы Лоренца в данном случае направлена вдоль проводника и связана с переносной скоростью зарядов υ→. Модуль этой сторонней силы равен:
FЛ=eυ→B.
Работа силы FЛ на пути l равна:
A=FЛ·l=eυBl.
По определению ЭДС:
δинд=Ae=υBl.
Значение сторонней силы для неподвижных частей контура равно нулю. Для соотношения δинд можно записать другой вариант формулы. Площадь контура с течением времени изменяется на ΔS=lυΔt. Соответственно, магнитный поток тоже будет с течением времени изменяться: ΔΦ=BlυΔt.
Следовательно,
δинд=∆Φ∆t.
Знаки в формуле, которая связывает δинд и ∆Φ∆t, можно установить в зависимости от того, какие направления нормали и направления контура будут выбраны. В случае выбора согласованных между собой по правилу правого буравчика направлений нормали n→ и положительного направления обхода контура l→ можно прийти к формуле Фарадея.
При условии, что сопротивление всей цепи – это R, то по ней будет протекать индукционный ток, который равен Iинд=δиндR. За время Δt на сопротивлении R выделится джоулево тепло:
∆Q=RIинд2∆t=υ2B2l2R∆t
Парадокса здесь нет. Мы просто не учли воздействие на систему еще одной силы.
Объяснение заключается в том, что при протекании индукционного тока по проводнику, расположенному в магнитном поле, на свободные заряды действует еще одна составляющая силы Лоренца, которая связана с относительной скоростью движения зарядов вдоль проводника. Благодаря этой составляющей появляется сила Ампера FА→.
Для рассмотренного выше примера модуль силы Ампера равен FA =IBl. Направление силы Ампера таково, что она совершает отрицательную механическую работу Aмех. Вычислить эту механическую работу за определенный период времени можно по формуле:
Aмех=-Fυ∆t=-IBlυ∆t=-υ2B2l2R∆t
Проводник, перемещающийся в магнитном поле, испытывает магнитное торможение. Это приводит к тому, что полная работа силы Лоренца равна нулю. Джоулево тепло может выделяться либо за счет уменьшения кинетической энергии движущегося проводника, либо за счет энергии, которая поддерживает скорость перемещения проводника в пространстве.
Изменение магнитного поля при неподвижном контуре
Определение
Вихревое электрическое поле – это электрическое поле, которое вызывается изменяющимся магнитным полем.
В отличие от потенциального электрического поля работа вихревого электрического поля при перемещении единичного положительного заряда по замкнутому проводящему контуру равна δинд в неподвижном проводнике.
В неподвижном проводнике электроны могут приводиться в движение только под действием электрического поля. А возникновение δинд нельзя объяснить действием силы Лоренца.
Первым, кто ввел понятие вихревого электрического поля, был английский физик Джон Максвелл. Случилось это в 1861 году.
Фактически, явления индукции в подвижных и неподвижных проводниках протекают одинаково. Так что в этом случае мы тоже можем использовать формулу Фарадея. Отличия касаются физической причины возникновения индукционного тока: в движущихся проводниках δинд обусловлена силой Лоренца, в неподвижных – действием на свободные заряды вихревого электрического поля, возникающего при изменении магнитного поля.
Рисунок. Модель электромагнитной индукции
Рисунок. Модель опытов Фарадея
Рисунок .
Модель генератора переменного тока
Источники
- https://www.RusElectronic.com/magnetic-field/
- https://Zaochnik.ru/blog/magnetizm-dlya-chajnikov-osnovnye-formuly-kotorye-prigodyatsya-pri-reshenii-zadach/
- http://ru.solverbook.com/spravochnik/formuly-po-fizike/formula-indukcii-magnitnogo-polya/
- https://www.radiochipi.ru/magnitnaya-indukcziya-magnitnyj-potok-opredelenie-formuly-smysl/
- https://www.uznaychtotakoe.ru/magnitnaya-indukciya/
- https://ege-study.ru/ru/ege/materialy/fizika/elektromagnitnaya-indukciya/
- http://ru.solverbook.com/spravochnik/formuly-po-fizike/formula-magnitnoj-indukcii/
- https://fizi4ka.ru/egje-2018-po-fizike/magnitnoe-pole.html
- https://skysmart.ru/articles/physics/zakon-elektromagnitnoj-indukcii
- https://Zaochnik.com/spravochnik/fizika/magnitnoe-pole/elektromagnitnaja-induktsija-pravilo-lentsa/
Как вам статья?
Павел
Бакалавр “210400 Радиотехника” – ТУСУР.
Томский государственный университет систем управления и радиоэлектроники
Написать
Пишите свои рекомендации и задавайте вопросы
связь магнитного потока и ВМИ
Содержание
- 1 Физический смысл магнитной индукции (МИ)
- 2 Направление вектора МИ
- 2.1 Наглядное отображение линий МИ
- 3 Модуль вектора магнитной индукции
- 4 Основные формулы для вычисления вектора МИ
- 4.1 Закон Био-Савара-Лапласа
- 4.2 Принцип суперпозиции
- 4.3 Теорема о циркуляции
- 4.4 Магнитный поток
- 5 Видео
Один из параметров магнитного поля – его силовая характеристика. Она обозначает, с какой силой поле влияет на движущиеся в нём заряженные частицы. Это значение из разряда векторных величин, носит название магнитная индукция B→.
Индукция B→ проводника с током и соленоида
Физический смысл магнитной индукции (МИ)
Возможность действовать на предмет магнитным полем (МП) определяет сущность настоящей индукции.
Она появляется в момент перемещения в катушке индуктивности магнита постоянной природы. Результатом такого движения является появление тока, с одновременным увеличением магнитного потока. Поскольку обмотка у катушки металлическая, а структура металла – кристаллическая решётка, то можно объяснить физические свойства этого явления.
Электроны, находящиеся в этой решётке, при отсутствии магнитного воздействия находятся в покое. Движения никакого нет. Оно начинается в тот момент, когда электроны попадают под воздействие переменного МП (поле изменяется при перемещении постоянного магнита).
Значение возникающего в катушке тока зависит от диаметра жилы и количества витков, физических характеристик магнита и скорости его движения.
Единица размерности в системе Си рассматриваемой характеристики – тесла. Она обозначается буквами Тл.
Важно! Электроны в решётке, после попадания катушки в МП, разворачиваются под некоторым углом и выстраиваются вдоль силовых линий МП.
Количество ориентированных частиц и однородность их размещения зависимы от величины поля.
Вектор – это вектор индукции магнитного поля (градиентный параметр МП).
Вектор магнитной индукции
Направление вектора МИ
Единица измерения силы тока
Направление магнитных полей может указать стрелка магнита, помещаемая в эти поля. Она будет крутиться до тех пор, пока не остановится. Северный конец стрелки покажет, куда ориентирован B→ орт того или иного поля.
Таким же образом ведёт себя рамка с током, имеющая возможность без помех ориентироваться в МП. Направленность вектора индукции указывает ориентацию нормали к такому замкнутому электромагнитному контуру.
Внимание! Здесь используют правило буравчика (правого винта). Если винт вращать так, как направлен ток в рамке, то поступательное продвижение винта совпадёт с направлением положительной нормали.
В некоторых случаях, чтобы найти направление, применяют правило правой руки.
Определение направления B→
Наглядное отображение линий МИ
Линию, к которой можно провести касательную, совпадающую с B→, называют линией магнитной индукции (МИ). С помощью таких линий можно визуально отобразить магнитное поле. Это сомкнутые контурные чёрточки, которые охватывают токи. Их густота всегда пропорциональна величине B→ в конкретной точке МП.
Информация. Когда имеют дело с МП прямого движения заряженных частиц, то эти линии изображаются в виде концентрических окружностей. Они имеют свой центр, расположенный на прямой линии с током, и находятся в плоскостях, расположенных под прямым углом к нему.
С направлением магнитных линий также можно определиться, пользуясь правилом буравчика.
Графическое обозначение линий МИ
Модуль вектора магнитной индукции
3G антенна для усиления приема
Чтобы определить величину вектора МИ, нужно узнать его модуль. Как определяется модуль вектора магнитной индукции (градиент)? Это можно понять на примере небольшой модели.
Если поместить в поле подковообразного магнита горизонтально подвешенный проводник, то МП магнита будет действовать только на участок, расположенный в междуполюсном промежутке. Сила F→, действующая на этот участок, будет направлена под прямым углом к линиям индукции и самому проводнику. Она достигает своего максимума, когда орт МИ располагается перпендикулярно проводнику.
Значение модуля B→ будет равно отношению максимального значения этой силы F→ к произведению длины отрезка ∆L на силу движения зарядов (I), а именно:
B = Fm/I*∆L.
Электрическая модель для определения модуля B→
Основные формулы для вычисления вектора МИ
Гофротруба
Вектор магнитной индукции, формула которого B = Fm/I*∆L, можно находить, применяя другие математические вычисления.
Закон Био-Савара-Лапласа
Описывает правила нахождения B→ магнитного поля, которое создаёт постоянный электроток.
Интересно. Лаплас Пьер Симон предложил считать током даже движение одного электрона и на этом утверждении, с помощью данного закона, доказал возможность определения МП продвигающегося точечного заряда.
Согласно этому физическому правилу, каждый сегмент dl проводника, по которому протекает электрический ток I, образовывает в пространстве вокруг себя на промежутке r и под углом α магнитное поле dB:
dB = µ0 *I*dl*sin α /4*π*r2,
где:
- dB – магнитная индукция, Тл;
- µ0 = 4 π*10-7 – магнитная постоянная, Гн/м;
- I – сила тока, А;
- dl – отрезок проводника, м;
- r – расстояние до точки нахождения магнитной индукции, м;
α – угол, образованный r и вектором dl.
Важно! Согласно закону Био-Савара-Лапласа, суммируя векторы магнитных полей отдельных секторов, можно определить МП нужного тока. Оно будет равно векторной сумме.
Закон Био-Савара-Лапласа
Существуют формулы, описывающие этот закон для отдельных случаев МП:
- поля прямого перемещения электронов;
- поля кругового движения заряженных частиц.
Формула для МП первого типа имеет вид:
В = µ* µ0*2*I/4*π*r.
Для кругового движения она выглядит так:
В = µ*µ0*I/4*π*r.
В этих формулах µ – это магнитная проницаемость среды (относительная).
Рассматриваемый закон вытекает из уравнений Максвелла. Максвелл вывел два уравнения для МП, случай, где электрическое поле постоянно, как раз рассматривают Био и Савар.
Принцип суперпозиции
Для МП существует принцип, согласно которому общий вектор магнитной индукции в определённой точке равен векторной сумме всех векторов МИ, созданных разными токами в данной точке:
B→= B1→+ B2→+ B3→… + Bn→
Принцип суперпозиции
Теорема о циркуляции
Изначально в 1826 году Андре Ампер сформулировал данную теорему.
Стоит знать! Тридцать пять лет спустя Д. Максвелл обобщил это утверждение, проведя параллели с гидродинамикой.
Другое название теоремы – закон Ампера, описывающий циркуляцию МП.
Математически теорема записывается следующим образом.
Математическая формула теоремы о циркуляции
где:
- B→– вектор магнитной индукции;
- j→ – плотность движения электронов.
Это интегральная форма записи теоремы. Здесь в левой части интегрируют по некоторому замкнутому контуру, в правой части – по натянутой поверхности на полученный контур.
Магнитный поток
Одна из физических величин, характеризующих уровень МП, пересекающего любую поверхность, – магнитный поток. Обозначается буквой φ и имеет единицу измерения вебер (Вб).
Эта единица характерна для системы СИ. В СГС магнитный поток измеряется в максвеллах (Мкс):
108 Мкс = 1 Вб.
Магнитный поток φ определяет величину МП, пронизывающую определённую поверхность. Поток φ зависит от угла, под которым поле пронизывает поверхность, и силы поля.
Формула для расчёта имеет вид:
φ = |B*S| = B*S*cosα,
где:
- В – скалярная величина градиента магнитной индукции;
- S – площадь пересекаемой поверхности;
- α – угол, образованный потоком Ф и перпендикуляром к поверхности (нормалью).
Внимание! Поток Ф будет наибольшим, когда B→ совпадёт с нормалью по направлению (угол α = 00). Аналогично Ф = 0, когда он проходит параллельно нормали (угол α = 900).
Магнитный поток
Вектор магнитной индукции, или магнитная индукция, указывает направление поля. Применяя простые методы: правило буравчика, свободно ориентирующуюся магнитную стрелку или контур с током в магнитном поле, можно определить направление действия этого поля.
Видео
Magnetic Flux: Definition, Equation & Change
Когда вы слышите слова «магнитный поток», ваша первая мысль может перескочить на «Назад в будущее» и на De-Lorean Дока Брауна, работающий от конденсатора потока. К сожалению, на самом деле магнитный поток не позволяет путешествовать во времени, независимо от того, насколько крута ваша машина. Однако в физике магнитный поток является невероятно важным понятием, которое занимает центральное место в идее электромагнитной индукции, от которой зависит почти вся наша электроэнергия. В этой статье мы углубимся в магнитный поток и в то, как его можно рассчитать. Мы также увидим, как изменяющийся магнитный поток может индуцировать ток благодаря закону Фарадея.
Определение магнитного потока
Давайте начнем с основного определения того, что такое магнитный поток.
Магнитный поток — это измерение общей величины магнитного поля, проходящего через заданную площадь поверхности.
Из этого определения видно, что магнитный поток зависит от двух величин: магнитного поля \(\vec{B}\) и площади поверхности \(\vec{A}\) интересующей нас поверхности. , Эта площадь поверхности выражается в виде вектора \(\vec{A}=A\vec{n}\), где \(A\) – величина площади поверхности, а \(\vec{n}\) – единичный вектор, перпендикулярный поверхности, известный как нормальный вектор. Например, в декартовых координатах вектор нормали к горизонтальной поверхности, лежащей в плоскости \(x-y\), представляет собой единичный вектор \(\vec{k}\), параллельный оси \(z\). Для сферы вектор нормали представляет собой единичный вектор \(\vec{r}\), параллельный радиусу сферы.
Единичные векторы — это векторы длины один, в декартовых координатах мы используем обозначение \(\vec{i},\,\vec{j},\,\vec{k}\) для обозначения единичных векторов в \ (x,\,y,\,z\) направлений соответственно.
Обратите внимание, что эти поверхности не обязательно должны быть реальными физическими поверхностями, мы часто хотим учитывать поток через воображаемую математическую поверхность при выполнении вычислений. В большинстве случаев это позволяет нам использовать поверхности, которые упрощают некоторые интегральные вычисления.
При попытке визуализировать магнитные поля мы часто используем понятие f Линии поля, которые представляют собой воображаемые линии, касающиеся векторов силы поля, представляющие направление и величину силы, испытываемой пробным зарядом в магнитном поле. поле. Мы можем определить магнитный поток как количество силовых линий, проходящих через определенную поверхность.
Рис. 1. Магнитный поток может быть представлен потоком или силовыми линиями, которые показывают направление силы. Чем больше силовых линий проходит через поверхность, тем больше будет поток.
Важно учитывать направление линий поля; если поверхность имеет одинаковое количество силовых линий, входящих и выходящих из нее, чистый поток будет равен нулю.
Уравнение магнитного потока
Мы можем превратить это интуитивное определение магнитного потока в точное математическое определение, используя следующие уравнения. Нам необходимо рассмотреть две основные ситуации: одну, когда поле имеет постоянное значение во всех точках поверхности, и другую, когда поле меняется по всей поверхности.
Постоянное поле
Если поле \(\vec{B}\) одинаково по всей поверхности, \(\vec{A}\), то для магнитного потока можно использовать следующее уравнение \ (\Phi_B\):
\[\Phi_B=\vec{B}\cdot\vec{A}.\]
Используя определение скалярного произведения, мы видим, что магнитный поток равен составляющей магнитный перпендикуляр к поверхности, умноженный на площадь поверхности, как обсуждалось в предыдущем разделе. Если известен угол между вектором нормали и магнитным полем, величина магнитного потока может быть выражена как: \[\begin{align}\Phi_B&=\vec{B}\cdot A\vec{n},\ \&=|B|A\cos(\theta),\end{align}\] 92\right)\\&=12\,\mathrm{Wb}.
\end{align}\]
Переменное поле
Если вместо этого поле изменяется по поверхности, которую мы рассматриваем, все становится немного сложнее. Здесь мы должны использовать исчисление. Идея состоит в том, что мы рассматриваем количество поля \(\vec{B}\left(\vec{r}\right)\), протекающего через бесконечно малый участок поверхности \(\mathrm{d}\vec{A} \) путем скалярного произведения \(\vec{B}\left(\vec{r}\right)\cdot \mathrm{d}\vec{A}\),
, а затем мы интегрируем по каждой бесконечно малой части поверхности, чтобы найти полный поток через всю поверхность
\[\Phi_B=\int_S\vec{B}\left(\vec{r}\right)\cdot\mathrm{d}\vec{A}.\]
Интегральный символ \(\int_S\ ) обозначает поверхностный интеграл.
Точное вычисление поверхностного интеграла сильно зависит от типа исследуемой поверхности, как правило, это только простые поверхности, такие как квадраты или сферы, которые мы можем легко вычислить точно. Давайте посмотрим на пример, чтобы увидеть, как это работает.
2}\right)\vec{k}.\] 91\right)\\&=|B|\left(2+2\right)=-4|B|\,\mathrm{Wb}.\end{align}\]
Магнитное поле против магнитного потока
Хотя эти две концепции тесно связаны, важно не путать концепцию магнитного потока с магнитным полем. Самое важное, что нужно помнить, это то, что магнитный поток также определяется площадью поверхности данной поверхности, тогда как магнитное поле просто указывает силу, ощущаемую зарядом в данной точке. Это означает, что для одного магнитного поля может возникнуть целый ряд возможных потоков в зависимости от рассматриваемой нами поверхности и ее положения по отношению к полю.
Более того, магнитный поток определяется суммарной величиной поля, которая определяется направлением каждой силовой линии, проходящей через поверхность. Это означает, что поле, которое везде не равно нулю, может производить нулевой поток, если количество поля, втекающего в поверхность, равно количеству поля, выходящего наружу. Фактически, закон Гаусса для магнитных полей утверждает, что для любых замкнутых поверхностей полный поток через поверхность всегда равен нулю.
Это связано с тем, что магнитные монополи не могут существовать в природе.
Закон Гаусса для магнитных полей гласит, что полный поток через замкнутую поверхность, не содержащую отверстий, всегда равен нулю.
Математически это задается как \[\oint_S\vec{B}\cdot\mathrm{d}\vec{A}=0.\]
Итак, мы видим, что магнитное поле и магнитный поток на самом деле являются разными свойствами, которые могут сказать нам очень разные вещи о силе магнитного поля.
Изменение магнитного потока
Итак, мы разобрались, что такое магнитный поток и как его вычислить, но почему именно магнитный поток является такой важной величиной в физике? Ответ кроется в явлениях электромагнитной индукции.
Электромагнитная индукция относится к процессу создания электродвижущих сил (ЭДС), которые могут создавать токи, путем перемещения магнитного поля вокруг электрического проводника или путем перемещения электрического проводника через фиксированное магнитное поле.
Электромагнитная индукция была впервые обнаружена и проанализирована Майклом Фарадеем в его экспериментах по электромагнетизму в 1830-х годах. Великое открытие Фарадея состояло в том, что, когда две катушки проволоки были намотаны по обе стороны от железного стержня, прохождение тока через одну катушку мгновенно индуцировало ток в другой катушке.
После этих экспериментов Фарадей постулировал свой закон электромагнитной индукции.
Закон индукции Фарадея – «ЭДС вокруг замкнутого пути равна отрицательной скорости изменения во времени магнитного потока, охваченного путем»
Итак, мы видим, что это изменяющийся магнитный поток что непосредственно определяет величину наведенной ЭДС. Таким образом, в случае с катушками и железным стержнем, когда ток впервые включается, изменение ЭДС индуцирует магнитное поле в железном стержне. Это внезапное изменение потока в магнитном стержне индуцирует ЭДС и ток через другую катушку.
Математически это утверждение является одним из уравнений Максвелла, фундаментальных законов классического электромагнетизма.
Во-первых, обратите внимание, что ЭДС \(\mathcal{E}\) вокруг замкнутого контура может быть задана как замкнутый линейный интеграл электрического поля: \[\mathcal{E}=\oint_{\partial S}\vec{E }\cdot\mathrm{d}\vec{l}\]
\(\partial S\) обозначает край поверхности \(S\), например, если \(S\) является окружностью \(\ дельта S\) является замкнутым контуром.
Линейный интеграл подобен поверхностному интегралу в том смысле, что мы интегрируем по электрическому полю на каждом бесконечно малом отрезке линии. Разница в том, что здесь нас интересуют компоненты полевой параллели вдоль линии, а не перпендикулярно, как в поверхностном интеграле. Нам также нужно интегрировать только по одному измерению. Тогда формула закона Фарадея выглядит следующим образом: частичное S}\vec{E}\cdot\mathrm{d}\vec{l}&=-\frac{\mathrm{d}}{\mathrm{d}t}\int_S\vec{B}\left( \vec{r}\right)\cdot\mathrm{d}\vec{A}\end{align}\]
Важно помнить, что, поскольку закон Фарадея касается изменяющегося магнитного поля flux, существует два возможных способа наведения ЭДС в катушке.
Первый, очевидно, заключается в использовании источника переменного магнитного поля и изменении силы или направления поля. Второй заключается в изменении площади поверхности, подвергаемой воздействию фиксированного магнитного поля. Этот второй метод часто является гораздо более простым методом создания ЭМП. Например, в ветряных турбинах магнит, удерживаемый между витками проволоки, вращается вращающимися лопастями. Поскольку количество катушек, подвергающихся воздействию поля, постоянно меняется по мере вращения магнита, это также создает изменяющийся поток и, следовательно, ЭДС. 9{-2}\) — проницаемость свободного пространства, а \(r\) — радиальное расстояние от провода. Единичный вектор \(\vec{\theta}\) описывает тот факт, что магнитное поле закручивается вокруг провода.
A: Дайте выражение для потока через круглую поверхность радиуса \(R\), лежащую в плоскости провода, так что силовые линии магнитного поля перпендикулярны поверхности.
Начнем с интегральной формулы для магнитного потока \[\Phi_B=\int_S\vec{B}\left(\vec{r}\right)\cdot\mathrm{d}\vec{A}.
{\circ}\,\mathrm{deg}\) с направлением магнитного поля \(\vec{z}\). Какова будет величина ЭДС индукции \(\mathcal{E}\)?
A: Закон Фарадея говорит нам, что ЭДС, индуцированная колеблющимся магнитным полем, пропорциональна скорости изменения магнитного потока.
\[\mathcal{E}=-\frac{\mathrm{d}}{\mathrm{d}t}\int_{S}\vec{B}\cdot\mathrm{d}\vec{A} \]
Сначала найдем выражение для магнитного потока.
\[\begin{align}\Phi_B&=\int_{S}\vec{B}\cdot\mathrm{d}\vec{A}\\&=\int_SB\sin\left(2\pi t\ right)\vec{z}\cdot\vec{A}\end{align}\]Из определения скалярного произведения и угла, данного в вопросе, мы знаем\[\vec{z}\cdot\mathrm{d }\vec{A}=\cos\left(45\right)\mathrm{d}A=\frac{\sqrt{2}}{2}\]Обратите внимание, что магнитное поле пространственно независимо, поэтому мы можем принять это вне подынтегральной функции. \[\Phi_B=\frac{\sqrt{2}}{2}B\sin\left(2\pi t\right)\int_{S}\mathrm{d}\vec{A}\]Подынтегральная функция теперь просто дает площадь поверхности, заключенную в круговую петлю, которая равна \(\pi r^2=\frac{\pi}{100}\).
2}{100}B\cos\left(2\pi t\right)\]
Мы можем рассмотреть еще один пример, чтобы укрепить наше понимание.
Q: Рассмотрим соленоид, создающий постоянное магнитное поле \(B=10\,\mathrm{T}\). Если петля из проволоки радиуса \(R=0,5\,\mathrm{мм}\) повернута так, что угол между вектором нормали и магнитным полем равен \(\theta=2\pi t\). Определите выражение для ЭДС, индуцируемой в контуре, и найдите значение ЭДС после \(0,5\,\mathrm{s}\)
A: Поскольку магнитное поле фиксировано, мы можем использовать уравнение фиксированного поля для магнитный поток. 92\sin(2\pi t )\,\mathrm{Wb}\end{align}\]
Итак, при \(t=0,5\,\mathrm{s}\) \(\mathcal{E}=0 \,\mathrm{V}.\)
Магнитный поток – Ключевые выводы
- Магнитный поток определяется как величина магнитного поля, протекающего через заданную площадь поверхности. Его можно представить равным количеству линий магнитного поля , проходящих через площадь поверхности.
- Для фиксированного магнитного поля поток определяется как \(\Phi_B=\vec{B}\cdot\vec{A},\), где вектор площади \(\vec{A}=A\vec{ n}\) направлен перпендикулярно поверхности.

- Для переменного магнитного поля мы используем расчет для определения потока\[\Phi_B=\int_S\vec{B}\cdot\mathrm{d}\vec{A}.\]
- Закон Фарадея гласит, что величина индуцированной ЭДС в замкнутом контуре провода пропорциональна скорости изменения магнитного потока через поверхность, окруженную проводом. \[\mathcal{E}=-\frac{\mathrm{d}\Phi_B }{\mathrm{d}t}.\]
Ссылки
- Рис. 1 – Диаграмма потока, StudySmarter Originals.
- Рис. 2. Схема железного кольца и катушек, StudySmarter Originals.
- Рис. 3 — Схема турбины, оригиналы StudySmarter.
Лист формул электромагнитной индукции
1. Магнитный поток
Если поверхность замкнута, то
Φ = \(\oint \overrightarrow{\mathrm{B}} \cdot \mathrm{d} \overrightarrow{\mathrm{A}}\)
, так как магнитные силовые линии замкнуты линий и свободных магнитных полюсов не существует.
B = \(\frac{\phi}{A}\)
2.
Электромагнитная индукция: законы Фарадея
(a) Первый закон:
Всякий раз, когда происходит изменение магнитного потока, связанного с цепью с При этом в цепи возникает ЭДС индукции, которая существует до тех пор, пока продолжается изменение магнитного потока.
(b) Второй закон:
e ∝ \(\left(\frac{d \phi}{d t}\right)\)
3. Закон Ленца
Направление ЭДС индукции или тока в цепь такова, что она противостоит причине, из-за которой она создана, так что
e = – N \(\left(\frac{d \phi}{d t}\right)\)
N → Количество витков в катушке.
Закон Ленца, основанный на сохранении энергии.
4. ЭДС тока и заряда, индуцируемые в цепи
(а) ЭДС индукции e = – N \(\frac{d \phi}{d t}\) = – \(\frac{\mathrm{N }\left(\phi_{2}-\phi_{1}\right)}{\mathrm{t}}\)
(b) Наведенный ток I = \(\frac{\mathrm{e}}{\ mathrm {R}} = – \ frac {\ mathrm {N}} {\ mathrm {R}} \ left (\ frac {\ mathrm {d} \ phi} {\ mathrm {dt}} \ right) = – \ frac{\ mathrm {N}} {\ mathrm {R}} \ frac {\ left (\ phi_ {2} – \ phi_ {1} \ right)} {\ mathrm {t}} \)
(c) Наведенный заряд q = – \(\frac{\mathrm{N}\left(\phi_{2}-\phi_{1}\right)}{\mathrm{R}}=\frac{\ mathrm{N}\left(\phi_{1}-\phi_{2}\right)}{\mathrm{R}}\)
Индуцированный заряд зависит только от чистого изменения потока не зависит от скорости изменения потока .
5. ЭДС, вызванная линейным движением проводящего стержня в однородном магнитном поле
e = –\(\vec{\ell} \cdot(\overrightarrow{\mathrm{v}} \times \overrightarrow {\mathrm{B}})\)
перпендикулярны друг другу, то
e = Bvl вольт
6. ЭДС индукции при вращении проводящего стержня в однородном магнитном поле
e = \(\frac{1}{2}\) Bwl 2 = Bπnl 2 = BAn
, где n — частота вращения.
7. ЭДС индукции при вращении металлического диска в однородном магнитном поле
E OA = \(\frac{1}{2}\) BωR 2 = BπR 2 п = BAn
здесь O имеет более высокий потенциал, чем A (см. рис.)
8. ЭДС индукции, ток и энергия
Сохранение в прямоугольной петле, движущейся в неоднородном магнитном поле с постоянной скоростью:
(i) Чистое увеличение потока, проходящего через катушку во времени Δt
ΔΦ = (B 2 – B 1 ) lvΔt
(ii) ЭДС в катушке
e = (B 1 – B 2 )l v
(iii) Если сопротивление катушки равно R, то ток, индуцируемый в катушке
I = \(\frac{\mathrm{e}}{\mathrm{R}}=\frac{\left(\mathrm{B}_{1}-\mathrm{ B}_{2}\right)}{\mathrm{R}} \ell \mathrm{v}\) 9{2}}{\mathrm{R}}\) Δt джоулей
или H = W
9.
Вращение прямоугольной катушки в однородном магнитном поле
(a) Магнитный поток, связанный с катушкой
Φ = BAN cos θ
= BAN cos ωt
(б) ЭДС в катушке
e = – \(\frac{d \phi}{d t}\) = BA Nω sin ωt = e 0 sin ωt
(в ) Ток, индуцируемый в катушке.
I = \(\frac{\mathrm{e}}{\mathrm{R}}=\frac{\mathrm{BAN} \omega}{\mathrm{R}}\) = sin ωt
= \(\ frac{\ mathrm {e} _ {0}} {\ mathrm {R}} \) sin ωt
(d) ЭДС и ток, индуцируемые в катушке, являются ЭДС переменного тока и переменного тока.
10. Самоиндукция и собственная индуктивность (L)
При изменении тока в катушке возникает ЭДС индукции. I ПРИМЕЧАНИЯ, то явление называется самоиндукцией j
(i) Φ ∝ I или Φ = LI
или L = \(\frac{\phi}{\mathrm{I}}\)
( ii) e = – L\(\frac{\mathrm{d} \mathrm{I}}{\mathrm{dt}}\)
, где L – константа, называемая собственной индуктивностью или коэффициентом самоиндукции. 9{2} A}{\ell}\)
(v) Две катушки собственной индуктивности L 1 и L 2 , расположенные далеко друг от друга (т.
е. без соединения j)
(a) Для последовательного соединения : j
L = L 1 + L 2 …. L n
(b) Для параллельной комбинации:
\(\frac{1}{L}=\frac{1}{L_{1}}+\frac{1}{L_{2}} \ldots \ldots .\frac{1}{L_{n}}\)
11. Взаимная индукция и взаимная индуктивность
(а) Об изменении тока в одной катушке, если магнитный поток связан с § второй катушкой изменения и э.д.с. производится в этой катушке, то это явление называется взаимной индукцией.
(б) Φ 2 ∝ I 1 или Φ 2 = MI 1
или M = \(\frac{\phi_{2}}{I_{1}}\)
(г) M 12 = M 21 = M
(д) Взаимная индуктивность двух коаксиальных соленоидов
M = \(\frac{\mu_{0} N_{1} N_{ 2} А}{\ell}\)
(f) Если две катушки собственной индуктивности L 1 и L 2 намотать друг на друга, взаимная индуктивность будет равна
M = K \(\ sqrt{\mathrm{L}_{1} \mathrm{L}_{2}}\)
, где K называется константой связи.
(g) Для двух катушек, намотанных в одном направлении и соединенных последовательно
L = L 1 + L 2 + 2M
Для двух катушек, намотанных в противоположном направлении и соединенных последовательно
L = L 1 + L 2 – 2M
Для двух катушек параллельно 9{2}}{2 \mu_{0}}\)
13. В цепи L-R
- Рост тока I = I 0 (1 – e -Rt/L ) 9 0163 Затухание тока I = I 0 e -Rt/L
- Постоянная времени τ = L/R
14. Вихревой ток 9 0003
Когда проводник движется в магнитном поле, индуцированные токи генерируются во всем объеме проводника. Эти токи называются вихревыми токами.
15. Трансформатор
(a) Это устройство, которое изменяет величину переменного напряжения или тока.
(б) \(\frac{\mathrm{e}_{\mathrm{s}}}{\mathrm{e}_{\mathrm{p}}}=\frac{\mathrm{N}_ {\ mathrm {s}}} {\ mathrm {N} _ {\ mathrm {p}}} \) = K
(c) \(\ frac {I_ {s}} {I_ {p}} = \ frac{N_{p}}{N_{s}}=\frac{1}{K}\) (Для идеального трансформатора)
(d) В идеальном трансформаторе:
= e p I p = e s I s или стр.
in = p out
(e) В понижающем трансформаторе:
N s > N p или K > 1
e s > e p 90 259 и я с < я p
(f) В понижающем трансформаторе:
N с < N p или K < 1
e с < e p и I с > I р
(g) Эффективность η = \(\frac{P_{\text {out}}}{P_{\text {in}}}\) × 100%
16. Генератор или динамо-машина
Это устройство, с помощью которого механическая энергия преобразуется в электрическую. Он основан на принципе E.M.I.
17. Генератор переменного тока
Состоит из магнита возбуждения, якоря, контактных колец и щеток. Частота генерируемого им напряжения –
f = \(\frac{\mathrm{Nn}}{2}\)
N → число полюсов
n → частота вращения
18. Генератор постоянного тока
Состоит из магнита возбуждения, якоря, коллектора и щеток.

Получаем, что в точке А: