Пакет заданий по математике для студентов 1 курса Башкирского строительно-архитектурного колледжа
Содержание
Пояснительная записка -2-
2. Проверочные задания по темам:
2.1 Вычисление пределов. Раскрытие неопределенностей. -3-
2.2 Линейные уравнения и неравенства -7-
2.3 Преобразование выражений, содержащих радикалы и степени с дробными показателями. -11-
2.4 Иррациональные уравнения -12-
2.5 Корень п-ой степени и его свойства -13-
2.6 Определение и свойства логарифма -17-
2.7 Логарифмические уравнения -18-
2.8 Практикум решения показательных уравнений -23-
2.9 Показательные уравнения -26
2.10 Правильная пирамида -30-
2.11. Индивидуальная контролирующая проверочная работа по теме: «Пирамида» -31-
2.12 Цилиндр. Конус. Шар. -35-
Курс математики – один из базовых курсов, на которые опираются общепрофессиональные и специальные дисциплины, дисциплины специализации.
Для закрепления теоретических знаний и приобретения необходимых практических умений программной дисциплины по математике предусматриваются практические занятия, которые рекомендуются проводить после изучения соответствующей темы.
Данная методическая разработка составлена для преподавателей математики для оказания методической помощи для выдачи заданий студентам 1 курса колледжей и техникумов. В данной методической разработке предложены такие темы, как вычисление пределов, раскрытие неопределенностей, линейные уравнения и неравенства, преобразование выражений, содержащих радикалы и степени с дробными показателями, иррациональные уравнения, корень п-ой степени и его свойства, определение и свойства логарифма, логарифмические и показательные уравнения, пирамида, цилиндр, конус, шар.
В результате решения практических заданий студент должен иметь представление:
о роли и месте математики в современном мире, общности ее понятий и представлений;
о методах решения некоторых практических задач с использованием элементов математического анализа.
Знать:
базовые понятия дифференциального исчисления;
способы решения простейших видов показательных и логарифмических уравнений;
способы решения простейших и иррациональных уравнений;
способы раскрытия неопределенностей при вычислении пределов;
2. Проверочные задания по темам:
2.1 Вычисление пределов. Раскрытие неопределенностей
Н
айти пределы функций
вариант 1.
2.1 Вычисление пределов. Раскрытие неопределенностей
Найти пределы функций
вариант 2.

2.1 Вычисление пределов. Раскрытие неопределенностей.
Н
айти пределы функций
вариант 3.
2.1 Вычисление пределов. Раскрытие неопределенностей.
Н
айти пределы функций
вариант 4.
2. 2 Линейные уравнения и неравенства
Р
ешить неравенства:
Решить уравнения:

2.2 Линейные уравнения и неравенства
Р
ешить неравенства:
Р
ешить уравнения:
Р
ешить уравнения:
Решите неравенства:

2.2 Линейные уравнения и неравенства
Р
ешить уравнения:
Решить неравенства:

2.3 Преобразование выражений, содержащих радикалы
и степени с дробными показателями.
У
простите выражения:
2.4 Иррациональные уравнения
Р

ешить уравнения:
2.5 Корень п-ой степени и его свойства
1 вариант.
В
ычислить: Н
айдите значение числового выражения:
П
редставьте выражение в виде дроби, знаменатель которой не содержит знака корня:
Н

айдите значение выражения:
В

ыполнить действия:Р
ешить уравнения:
2 вариант.
В
ычислить:Н
айдите значение числового выражения:
П
редставьте выражение в виде дроби, знаменатель которой не содержит знака корня:
Н

айдите значение выражения:
В

ыполнить действия:Р
ешить уравнения:
2.5 Корень п-ой степени и его свойства
3 вариант.
В
ычислить:Н
айдите значение числового выражения:
П
редставьте выражение в виде дроби, знаменатель которой не содержит знака корня:
Н

айдите значение выражения:
В

ыполнить действия:Решить уравнения:
2.5 Корень п-ой степени и его свойства
4 вариант.
В
ычислить:Н
айдите значение числового выражения:
П
редставьте выражение в виде дроби, знаменатель которой не содержит знака корня:
Н

айдите значение выражения:
В

ыполнить действия:Решить уравнения:
2.6 Определение и свойства логарифма
В
ычислить логарифмы:
Вычислите:

Вычислите:
Найдите А по его логарифму:
2.7 Логарифмические уравнения
Решите уравнения:

2.7. Логарифмические уравнения
В
ариант 1
Решить уравнение:
Д
ополнительные задания:
2.7. Логарифмические уравнения
Вариант 2
Р
ешить уравнение:
Дополнительные задания:

2.7. Логарифмические уравнения
Вариант 3
Решить уравнение:

Дополнительные задания:

2.7. Логарифмические уравнения
Вариант 4
Решить уравнение:

Дополнительные задания:

2. 8. Практикум по решению показательных уравнений
Вариант №1
Решите уравнения
2х=4
3х=81
4х=2
5х= ;
=4;
7х=1
=25;
7–х= –;
=1
26–х =23х–2
2х – 2х–2 =3
3х+3– 2•3х–1–4•3х–2 =17
Решите уравнение вынесением за скобки
2х+2х–1 +2х–2 56
10х+10х–1=1100
3х+33–х=12
Решите уравнение графически
2х=х–1
2.8. Практикум по решению показательных уравнений
Вариант №2
9х=27
3х=9
4х=64
6х= ;
=27;
8х=1
=36;
8–х= –;
=1
35–х=32х–1
5х+1 – 5 =500
2•3х+1 +2•32–х =56
Решите уравнение вынесением за скобки
2•33х–1+27х–2/3 =9х–1+2•32х–1
6х+6х+2=222
Решите уравнение графически
0,5х =2х
2.8. Практикум по решению показательных уравнений
Вариант №3
5х=25
6х=216
100х=10000
8х= ;
=125;
5х=1
=16;
5–х= –;
=1
49–х =42х–7
3х–2 – 3х–3 =36
2х + 2х–1 +2х–2 =3х–3х–1+3х–2
Решите уравнение вынесением за скобки
3х+1 –4:3х–1 =45
2х+2х+2=40
22х+6+2х+7=17
Решите уравнение графически
х =3х–2
2.9. Показательные уравнения
вариант 1
Р
ешить показательные уравнения:

2.9. Показательные уравнения
вариант 2
Р

ешить показательные уравнения:
2.9. Показательные уравнения
вариант 3
Р
ешить показательные уравнения:

2.9. Показательные уравнения
вариант 4
Решить показательные уравнения:

2.10. Правильная пирамида
Задача № 1
Боковое ребро правильной треугольной пирамиды равно 5 см., а высота – 3 см. Найдите площадь полной поверхности.
Задача № 2
Апофема правильной шестиугольной пирамиды равна 5 см, а высота – 4 см. Найдите площадь боковой поверхности.
Задача № 3.
В правильной треугольной пирамиде боковые грани наклонены к основанию под углом 600. Расстояние от вершины основания до боковой грани равно 3. Найдите площадь боковой поверхности пирамиды.
Задачи № 4
В правильной четырехугольной пирамиде боковые грани наклонены к основанию под углом 600, а расстояние от середины стороны основания до противоположной боковой грани равно 4. Найдите площадь боковой поверхности.
2.11. Индивидуальная контролирующая проверочная работа.
Вариант 1
Найдите высоту правильной шестиугольной пирамиды, если сторона ее основания равна а, апофема h
Сторона основания правильной четырехугольной пирамиды равна а, а высота h. Определить полную поверхность пирамиды.
Найдите высоту правильной треугольной пирамиды, у которой боковая поверхность равна
60 см2, а полная поверхность 108 см2.
2.11. Индивидуальная контролирующая проверочная работа по теме: «Пирамида»
Вариант 2
Найдите высоту правильной треугольной пирамиды, если сторона ее основания равна а, а апофема h.
Боковое ребро правильной четырехугольной пирамиды, равное 12 см, образует с плоскостью основания угол в 600. Найдите боковую поверхностьпирамиды.
Найдите высоту правильной треугольной пирамиды, у которой площадь основания равна
27см2, а полная поверхность 72см2.
2.11. Индивидуальная контролирующая проверочная работа по теме: «Пирамида»
Вариант 3
Сторона основания правильной четырехугольной пирамиды равна а. Двугранные углы при основании равны . Определите полную поверхность.
Найдите величину двугранного угла при основании правильной четырехугольной пирамиды, если ее боковые ребра наклонены к плоскости основания под углом 300.
Найдите высоту правильной треугольной пирамиды, у которой площадь основания равна
27см2, а полная поверхность 72см2.
2.11. Индивидуальная контролирующая
проверочная работа по теме: «Пирамида»
Вариант 4
Найдите величину двугранного угла при основании правильной четырехугольной пирамиды, если ее боковые ребра наклонены к плоскости основания под углом 600.
Высота боковой грани правильной четырехугольной пирамиды равна 10 см. Определите полную поверхность пирамиды, если боковая грань наклонна к плоскости основания под углом 600.
Найдите высоту правильной треугольной пирамиды, у которой боковая поверхность равна
60см2, а полная поверхность 108см2.
2.12. Задания по теме: «Цилиндр. Конус. Шар».
Вариант 1
1. Длина окружности основания цилиндра равна 12, высота 10 см. Найти объем цилиндра.
2. Осевым сечением конуса является правильный треугольник. Образующая конуса равна 6v3. Вычислить высоту конуса.
3. Через середину радиуса шара проведено сечение, найти площадь, если радиус шара равен 6 см.
2.12. Задания по теме: «Цилиндр. Конус. Шар».
Вариант 2
1. Осевым сечением цилиндра является квадрат, площадь которого 8 см2. Вычислите боковую поверхность цилиндра.
2. Осевым сечением конуса является правильный треугольник, площадь которого 64 см2 . Найти объем цилиндра.
3. Осевым сечением цилиндра является квадрат, площадь которого 64 см2 . Найти объем цилиндра.
2.12. Задания по теме: «Цилиндр. Конус. Шар».
Вариант 3
1. Длина окружности основания цилиндра равна 12, высота 10 см. Найти объем цилиндра.
2. Осевым сечением конуса является правильный треугольник. Образующая конуса равна 6v3. Вычислить высоту конуса.
3. Через середину радиуса шара проведено сечение, найти площадь, если радиус шара равен 6 см.
2.12. Задания по теме: «Цилиндр. Конус. Шар».
Вариант 4
1. Осевым сечением цилиндра является квадрат, площадь которого 8 см2. Вычислите боковую поверхность цилиндра.
2. Осевым сечением конуса является правильный треугольник, площадь которого 64 см2 . Найти объем цилиндра.
Осевым сечением цилиндра является квадрат, площадь которого 64 см2 . Найти объем цилиндра.
Список литературы:
1. Лисичкин В.Т., Соловейчик И.Л.
Математика: Учеб. Пособие для техникумов.- М.:
Высшая школа, 2005
2. Алгебра и начала анализа. Учебник для 10-11 кл. средней школы./ А.М. Колмогоров, А.М. Абрамов, Ю.П. Дудницын и др.: Под ред. А.Н. Колмогоров.- 2-е изд.- М.: Просвещение, 2008.
3. Апанасов П.Т., Орлов М.И.
Сборник задач по математике: Учебное пособие для техникумов.- М.: Высшая школа, 1987.
4. М.И.Башмаков.
Математика.- 2-е издание- М.: «Высшая школа». Учебное пособие для профессионально- технических училищ, 2001
5. Геометрия: Учебник для 10-11 кл. средней школы/ Л.С. Атанасян, В.Ф. Бутузов, С.Б.Кадомцев и др.- М.: Просвещение, 2008
www.metod-kopilka.ru
Практические работы по математике 1 курс СПО
Министерство образования Ставропольского края.
ГБОУ СПО «Григорополисский сельскохозяйственный техникум
имени атамана М.И. Платова
Инструкционная карта
для проведения практического занятия №2
по дисциплине «Математика»
для специальности «Экономика и бухгалтерский учет»
Тема: Действия над приближенными значениями чисел
Наименование работы: Приближенные вычисления над числами
Цель: Научиться вычислять приближенные значения чисел.
Норма времени: 90 минут
Оснащение рабочего места: инструкционная карта, микрокалькулятор.
СОДЕРЖАНИЕ РАБОТЫ.
1. Вычислить приближённую разность чисел, если числа даны с точностью до единицы последнего разряда:
1) 13,752 — 2,524 2) 3,71—2,4
3)58,06 — 18,780 4) 124,658—15,60.
2. Выполнить сложение и вычитание с наибольшей достижимой точностью, если данные числа даны с точностью до единицы последнего разряда:
70,137 + 173,94 — 116,316 — 29,37 + 0,037.
3. Вычислить произведения приближённых чисел:
4,26 • 7,12; 0,453• 2,73; 1,84 • 0,672
6,52• 0,048; 8,46• 5,3; 4,281• 8,47
63,04• 5,120; 2,65• 3,0; 37,150• 92,3.
4. Вычислить частные от деления приближённых чисел:
1) 74,1 : 3,8; 2,35 : 0.72; 38,5 : 2,7
2) 4,3: 1,7; 316:24,9; 16,7:24,0
3) 260,5:3,16 1,75:0,083; 3,8:2,63
4) 418,8 : 24; 24,94 : 5,8; 23,0 : 8,125.
Методические указания.
Используя микрокалькулятор провести действия над числами.
Преподаватель: Земцева Е.В
kopilkaurokov.ru
Математика 1 курс техникума
ГАПОУ СО «Верхнесалдинский авиаметаллургический техникум»
к календарно-тематическому плану работы преподавателя
по предмету математика на 1 семестр 2017/18 учебный год
п/п
ВИД ЗАНЯТИЯ
Г р у п п а ТМ -120
№ группы
№ группы
№ группы
№ группы
№ группы
№ группы
по плану
по факту
по плану
по факту
по плану
по факту
1
Роль математики в современном обществе. Действительные числа. Комплексные числа.
2
Действия над комплексными числами. Способы решения линейных уравнений.
3
Действия над комплексными числами. Способы решения линейных уравнений.
4
Действия над комплексными числами. Способы решения неравенств. Иррациональные уравнения.
5
Иррациональные уравнения.
6
Иррациональные уравнения. Погрешности и вычисления с помощью микрокалькулятора
7
Практическая работа №1. Комплексные числа. Действия над комп. числами.
8
Практическая работа №2. Способы решения линейных уравнений и неравенств.
9,
10
Погрешности и вычисления с помощью микрокалькулятора. Функции. Область определения и множество значений; график функции; способы задания.
10
Функции. Область определения и множество значений; график функции; способы задания.
Свойства функции: монотонность, четность, нечётность, ограниченность, периодичность. Обратные функции. График обратной функции. Арифм. Операции над функциями. Сложная функция (композиция).
11
График обратной функции. Арифм. Операции над функциями. Сложная функция (композиция).
12
Геометрические преобразования графиков функций.
13
Практическая работа №3. Область определения и множество значений функции. Построение графиков функций, заданных различными способами.
14
Степень с действительным показателем. Действия над степенями.
Свойства степеней с рациональным показателем.
15
Степенная функция, её свойства и графики.
Показательная функция, её свойства и графики. Показательные уравнения.
16
Показательные уравнения.
Показательные неравенства.
17
Логарифмы, свойства логарифмов.
Логарифмирование, потенцирование.
18
Логарифмическая функция, её свойства и графики.
Десятичные, натуральные логарифмы. Связь между ними .
19
Формулы перехода от одного логарифма к другому. Логарифмические уравнения.
20
Логарифмические неравенства. Углы и их измерения.
21
Практическая работа №4. Степень с действительным показателем. Действия над степенями.
22
Практическая работа №5. Свойства степеней с рациональным показателем.
23
Практическая работа №6. Степенная функция, её свойства и графики.
24
Практическая работа №7. Показательная функция, её свойства и графики. Показательные уравнения.
25
Углы и их измерения.
Тригонометрические функции числового аргумента и их свойства.
26
Тригонометрические функции числового аргумента и их свойства.Основные формулы тригонометрии.
27
Основные формулы тригонометрии.График, свойства тригонометрической функции синус.
28
График, свойства тригонометрической функции синус.График, свойства тригонометрической функции косинус.
29
График, свойства тригонометрической функции косинус. График, свойства тригонометрической функции тангенс.
30
График, свойства тригонометрической функции тангенс. График, свойства тригонометрической функции котангенс.
31
График, свойства тригонометрической функции котангенс Обратные тригонометрические функции.
32
Решение простейших тригонометрических уравнений (частные случаи).
33
Формулы приведения.
34
Формулы двойного и половинного аргумента.
35
Формулы сложения.
Формулы суммы и разности двух тригонометрических функций.
Преобразование произведения тригонометрических выражений.
Преобразование в сумму или разность тригонометрических выражений.
36
Практическая работа №8. Тригонометрические функции числового аргумента и их свойства.
37
Практическая работа №9. График, свойства тригонометрической функции синус.
38
Практическая работа №10. График, свойства тригонометрической функции косинус, тангенс.
39
Практическая работа №11. График, свойства тригонометрической функции котангенс. Обратные тригонометрические функции.
40
Контрольная работа.
41
Прямоугольная (декартова) система координат в пространстве. Формула расстояния между двумя точками.
42
Уравнение сферы.
43,
44
Векторы. Модуль вектора. Равенство векторов. Сложение векторов. Умножение вектора на число. Разложение вектора по единичным векторам.
45,
46
Угол между векторами. Проекция вектора на ось.
47
Координаты вектора. Скалярное произв. векторов.
48
Использование координат и векторов при решении мат и прикл. Задач.
49
П.р 12. « Прямоугольная (декартова) система координат в пространстве. Формула расстояния между двумя точками. Уравнение сферы.»
50
П. р 13. «Векторы. Модуль вектора. Равенство векторов. Сложение векторов. Умножение вектора на число. Разложение вектора по единичным векторам.»
51
П. р 14. «Угол между векторами. Проекция вектора на ось.»
52
П. р 15. «Координаты вектора. Скалярное произв. векторов.»
53
П. р 16. «Использование координат и векторов при решении мат и прикл. Задач.»
54
Аксиомы стереометрии и следствия из них.
55
Взаимное расп. прямых в пространстве.
56
Перпендикуляр и наклонные.
57
Параллельное проектирование. Свойства.
58
Теорема о трех перпендикулярах.
59,
60
Взаимное расположение двух плоскостей в пространстве.
61
Связь между параллельностью и перпендикулярностью.
62
П. р 17. «Аксиомы стереометрии и следствия из них. Параллел. прямой и плоскости»
63
П. р 18. «Перпендикуляр и наклонные. Сечение многогранников плоскостью.»
64
Числовые последовательности. Предел числ. Послед.
Преподаватель Крюкова.Е.И.
infourok.ru
Конспекты лекций СПО по математике 1 курс
Государственное бюджетное образовательное учреждение
среднего профессионального образования
«Губернский колледж г.Сызрани»
Технический профиль

КОНСПЕКТ ЛЕКЦИЙ
(тезисы лекций/СПО/ 1 курс)
Преподаватель Барабанова Л.Н.
РАССМОТРЕНО ОДОБРЕНО
на заседании ПЦК Методическим советом
естественнонаучного цикла технического профиля
Протокол № ___ ГБОУ СПО «ГК г. Сызрани»
от «___» _________ 2014 г. протокол № ____ от «____» 2014 г.
Председатель _________________
Барабанова Л.Н. Методист ___________
Барабанова Л.Н.
Преподаватель ___________ Барабанова Л.Н.
Методические рекомендации для студентов СПО 1 курса разработаны преподавателем для использования их при самостоятельном изучении
материала по математике.
УТВЕРЖДАЮ
Заместитель директора
Руководитель технического профиля
_____________ В.В. Колосов
ТЕМА: «ТРИГОНОМЕТРИЧЕСКИЕ ВЫРАЖЕНИЯ»
План лекции.
Определения синуса, косинуса, тангенса, котангенса. Свойства синуса, косинуса, тангенса, котангенса.
Радианная мера угла. Соотношения между тригонометрическими функциями одного и того же угла.
Применение основных тригонометрических формул к преобразованию выражений.
Формулы приведения.
Формулы сложения.
Формулы двойного угла.
Формулы половинного угла. Формулы суммы и разности тригонометрических функций.
Контрольные вопросы для самоподготовки.
Учебник: Алгебра и начала анализа 10 – 11. Колмогоров А.Н. М. Просвещение, 2005г. Вопросы № 1 – 10, страница 88 – 91.
Литературные источники.
Учебник: Алгебра и начала анализа 10 – 11. Колмогоров А.Н. М. Просвещение, 2005г. § 1, пункт 1.
ТЕМА : « ТРИГОНОМЕТРИЧЕСКИЕ ФУНКЦИИ».
План лекции.
Тригонометрические функции и их графики.
Функции и их графики.
Четные и нечетные функции. Периодичность тригонометрических функций.
Возрастание и убывание функций. Экстремумы.
Исследование функций.
Контрольные вопросы для самоподготовки.
Учебник: Алгебра и начала анализа 10 – 11. Колмогоров А.Н. М. Просвещение, 2005г. Вопросы № 10 – 15, страница 91 – 92.
Литературные источники.
Учебник: Алгебра и начала анализа 10 – 11. Колмогоров А.Н. М. Просвещение, 2005г. § 1, пункт 2. § 2, пункт 3, 4, 5, 6.
ТЕМА: «ТРИГОНОМЕТРИЧЕСКИЕ УРАВНЕНИЯ».
План лекции.
Арксинус, арккосинус, арктангенс, арккотангенс.
Решение простейших тригонометрических уравнений.
Решение тригонометрических уравнений.
Решение тригонометрических уравнений и систем уравнений.
Контрольные вопросы для самоподготовки.
Учебник: Алгебра и начала анализа 10 – 11. Колмогоров А.Н. М. Просвещение, 2005г. Вопросы № 22, 23, 24, страница 93 – 94.
Литературные источники.
Учебник: Алгебра и начала анализа 10 – 11. Колмогоров А.Н. М. Просвещение, 2005г. § 3, пункт 8, 9, 11.
ТЕМА: «ПРОИЗВОДНАЯ».
План лекции.
Приращение функции
Понятие о производной.
Правила вычисления производных.
Производная сложной функции.
Производные тригонометрических функций.
Примеры вычисления производных.
Контрольные вопросы для самоподготовки.
Учебник: Алгебра и начала анализа 10 – 11. Колмогоров А.Н. М. Просвещение, 2005г. Вопросы № 1 – 3, страница 166.
Литературные источники.
Учебник: Алгебра и начала анализа 10 – 11. Колмогоров А.Н. М. Просвещение, 2005г. § 4, пункт 12, 13, 15,16, 17.
ТЕМА: «ПРИМЕНЕНИЕ ПРОИЗВОДНОЙ».
План лекции.
Метод интервалов.
Касательная к графику функции.
Производная в физике и технике.
Признак возрастания (убывания) функции.
Критические точки функции, максимумы и минимумы.
Применение производной к исследованию функции.
Наибольшее и наименьшее значение функции.
Контрольные вопросы для самоподготовки.
Учебник: Алгебра и начала анализа 10 – 11. Колмогоров А.Н. М. Просвещение, 2005г. Вопросы № 4, 5, 9, 10, 11, страница 167 – 168.
Литературные источники.
Учебник: Алгебра и начала анализа 10 – 11. Колмогоров А.Н. М. Просвещение, 2005г. § 5, пункт 18, 19, 21, § 6, пункт 22, 23, 24, 25.
ТЕМА: «ПЕРВООБРАЗНАЯ»
План лекции.
Определение первообразной.
Основное свойство первообразной
Правила нахождения первообразных.
Площадь криволинейной трапеции.
Контрольные вопросы для самоподготовки.
Учебник: Алгебра и начала анализа 10 – 11. Колмогоров А.Н. М. Просвещение, 2005г. Вопросы № 1 – 4, страница 199 – 200.
Литературные источники.
Учебник: Алгебра и начала анализа 10 – 11. Колмогоров А.Н. М. Просвещение, 2005г. § 7, пункт 26, 27, 28, § 8, пункт 29.
ТЕМА: «ПОКАЗАТЕЛЬНАЯ ФУНКЦИЯ».
План лекции.
Корень n – степени и его свойства.
Иррациональные уравнения.
Степень с рациональным показателем.
Показательная функция.
Решение показательных уравнений.
Решение показательных неравенств.
Контрольные вопросы для самоподготовки.
Учебник: Алгебра и начала анализа 10 – 11. Колмогоров А.Н. М. Просвещение, 2005г. Вопросы № 1 – 5, страница 261 – 262.
Литературные источники.
Учебник: Алгебра и начала анализа 10 – 11. Колмогоров А.Н. М. Просвещение, 2005г. § 9, пункт 32, 33, 34, § 10, пункт 35, 36.
ТЕМА: «ЛОГАРИФМИЧЕСКАЯ ФУНКЦИЯ».
План лекции.
Основные свойства логарифмов.
Логарифмическая функция.
Решение логарифмических уравнений.
Решение логарифмических неравенств.
Контрольные вопросы для самоподготовки.
Учебник: Алгебра и начала анализа 10 – 11. Колмогоров А.Н. М. Просвещение, 2005г. Вопросы № 6 – 9, страница 262 – 263.
Литературные источники.
Учебник: Алгебра и начала анализа 10 – 11. Колмогоров А.Н. М. Просвещение, 2005г. § 10, пункт 37, 38, 39.
ТЕМА: «ПРОИЗВОДНАЯ ПОКАЗАТЕЛЬНОЙ, ЛОГАРИФМИЧЕСКОЙ И СТЕПЕННОЙ ФУНКЦИИ».
План лекции.
Производная показательной функции.
Первообразная показательной функции.
Производная логарифмической функции.
Степенная функция и ее производная.
Контрольные вопросы для самоподготовки.
Учебник: Алгебра и начала анализа 10 – 11. Колмогоров А.Н. М. Просвещение, 2005г. Вопросы № 10 – 12, страница 263 – 264.
Литературные источники.
Учебник: Алгебра и начала анализа 10 – 11. Колмогоров А.Н. М. Просвещение, 2005г. § 11, пункт 41, 42, 43.
ТЕМА: «ПАРАЛЛЕЛЬНОСТЬ ПРЯМЫХ И ПЛОСКОСТЕЙ».
План лекции.
Аксиомы стереометрии.
Следствия из аксиом стереометрии.
Параллельные и скрещивающие прямые в пространстве.
Параллельность прямых и плоскостей.
Изображение пространственных фигур на плоскости.
Контрольные вопросы для самоподготовки.
Учебник Геометрия 7 – 11. Погорелов А.В. М. Просвещение. 2005 г.
Вопросы 1 – 5, страница 237. Вопросы 1, 2, 5, 7, 12.
Литературные источники.
Учебник Геометрия 7 – 11. Погорелов А.В. М. Просвещение. 2005 г.
§ 15, пункт 130 – 133, § 16, пункт 136 – 139, 142.
ТЕМА: «ПЕРПЕНДИКУЛЯРНОСТЬ ПРЯМЫХ И ПЛОСКОСТЕЙ».
План лекции.
Перпендикулярность прямых.
Перпендикулярность прямых и плоскостей.
Перпендикуляр и наклонная.
Перпендикулярность плоскостей.
Расстояние между скрещивающимися прямыми.
Контрольные вопросы для самоподготовки.
Учебник Геометрия 7 – 11. Погорелов А.В. М. Просвещение. 2005 г.
Вопросы 1, 3, 7, 8, 9, 11, 15, страница 263.
Литературные источники.
Учебник Геометрия 7 – 11. Погорелов А.В. М. Просвещение. 2005 г.
§ 17, пункт 143 – 150.
ТЕМА: «МНОГОГРАННИКИ».
План лекции.
Многогранники.
Призма. Прямая призма
Изображение призмы и построение ее сечений.
Параллелепипед.
Прямоугольный параллелепипед.
Пирамида. Правильная пирамида.
Правильные многогранники.
Контрольные вопросы для самоподготовки.
Учебник Геометрия 7 – 11. Погорелов А.В. М. Просвещение. 2005 г.
Вопросы 1 – 9, 11 – 12, 15 – 17, 19, 23, 24, 27, 32, 33, 34, 36, стр 311.
Литературные источники.
Учебник Геометрия 7 – 11. Погорелов А.В. М. Просвещение. 2005 г.
§ 19, пункт 166 – 172, 174, 176, 178 – 180.
ТЕМА: «ТЕЛА ВРАЩЕНИЯ».
План лекции.
Цилиндр.
Конус.
Шар.
Контрольные вопросы для самоподготовки.
Учебник Геометрия 7 – 11. Погорелов А.В. М. Просвещение. 2005 г.
Вопросы 1 – 3, 6 – 8, 10, 12 – 13, страница 333.
Литературные источники.
Учебник Геометрия 7 – 11. Погорелов А.В. М. Просвещение. 2005 г.
§ 20, пункт 181, 184, 187.
ТЕМА: «ОБЪЕМЫ МНОГОГРАННИКОВ».
План лекции.
Понятие объема.
Объем прямоугольного параллелепипеда.
Объем наклонного параллелепипеда.
Объем призмы.
Объем пирамиды.
Контрольные вопросы для самоподготовки.
Учебник Геометрия 7 – 11. Погорелов А.В. М. Просвещение. 2005 г.
Вопросы 1 – 9, страница 349.
Литературные источники.
Учебник Геометрия 7 – 11. Погорелов А.В. М. Просвещение. 2005 г.
§ 21, пункт 194 – 200, 174.
ТЕМА: «ОБЪЕМЫ И ПОВЕРХНОСТИ ТЕЛ ВРАЩЕНИЯ».
План лекции.
Объем цилиндра.
Объем конуса.
Общая формула для объемов тел вращения.
Объем шара.
Объем шарового сегмента и сектора.
Площадь боковой поверхности цилиндра.
Площадь боковой поверхности конуса.
Площадь сферы.
Контрольные вопросы для самоподготовки.
Учебник Геометрия 7 – 11. Погорелов А.В. М. Просвещение. 2005 г.
Вопросы 1 – 9, страница 360.
Литературные источники.
Учебник Геометрия 7 – 11. Погорелов А.В. М. Просвещение. 2005 г.
§ 22, пункт 202 – 210.
infourok.ru
Вводное повторение алгебры на I курсе колледжа
Разделы: Математика
Повторение ранее изученного материала – одно из важных направлений в реализации дидактического принципа прочного усвоения знаний, которое происходит из-за того, что дальнейшее накопление знаний невозможно, если изученный ранее материал забыт. Психологической основой прочности считают память, её закономерности, заставляющие прибегать к повторению, возвращаться к тому, что было усвоено ранее. Прочному усвоению знаний способствует чёткая первоначальная целевая установка при изложении материала преподавателем, последовательно проводимая система закрепления.
При повторении, как и при изложении нового материала, решение определенных познавательных задач должно развивать у учащихся: логическую память, активное логическое мышление, способность мобилизовать знания для выполнения предстоящей работы, воображение (воспроизводящее и творческое). Необходимо обеспечить положительное эмоциональное отношение учащихся к процессу повторения введением в повторяемый материал элементов новизны, использования новых ярких примеров, заданий, требующих активного размышления, поисков рациональных решений, проверки результатов.
Повторяемый материал полезно разбивать на структурные смысловые части, озаглавливать их, ставить к ним вопросы, формулировать в виде тезисов. Необходимо выделять для повторения стержневые идеи, вопросы и проблемы.
Эффективность повторения и закрепления обеспечивается разнообразием применяемых подходов, методов и форм.
Виды повторения
В методической литературе по математике наибольшее распространение получили следующие виды повторения: повторение в начале учебного года; текущее повторение ранее пройденного материала в связи с изучением нового и вне связи с новым материалом; тематическое повторение с целью систематизации и обобщения учебного материала, изученных тем; заключительное повторение в конце учебного года или после прохождения всего курса
Рассмотрим повторение в начале учебного года, которое обусловлено необходимостью восстановить в памяти учащихся минимум знаний, которые стали бы опорой для дальнейшего изучения самой математики и других предметов. Планируя такое повторение на первом курсе, следует учитывать, что общий уровень математической подготовки поступающих в колледж выпускников девятилетней школы зачастую недостаточен для успешного овладения нового программного материала по математике.
Как показывает опыт, наиболее целесообразно повторение в начале учебного года на первом курсе организовать по принципу обзора и систематизации фактов, понятий и зависимостей, отмеченных выше. Это облегчает включение учащихся в круг новых идей и методов, рассматриваемых в курсах алгебры с началами анализа и геометрии.
Повторение должно быть направлено также на ликвидацию пробелов в математической подготовке учащихся, на выравнивание их знаний.
В процессе вводного повторения приходится систематизировать сведения из учебников по математике с 4-ого по 9-ый классы. И это определяет специфику работы преподавателя и учащихся: отдаётся преимущество повторению на уроке, а домашние задания с использованием учащимися нескольких учебников исключаются.
Наряду с обзорными беседами преподавателя широко применяются обобщающие таблицы на классификацию понятий, таблицы-справочники, задачи на готовых чертежах, схемы, фолии, DVD и CD диски.
Стараюсь добиться, чтобы на этих уроках работали все учащиеся и притом каждый в меру своих сил, возможностей и способностей.
Я выделяю из всего пройденного материала наиболее важные темы:
- Алгебраические дроби (десятичные и обыкновенные) – 2 часа.
- Действия над отрицательными числами – 1 час.
- Уравнения и неравенства – 2 часа.
- Простейшие функции и их графики – 1 час.
- Действия со степенями – 1 час.
- На восьмом уроке даю входной контроль.
Организую повторение материала на практической основе:
- по каждой теме предусмотрено выполнение учащимися самостоятельных работ. Для проведения каждой самостоятельной работы заготавливаю 6 вариантов карточек;
- готовлю тексты математических диктантов.
Начинается каждый урок с математического диктанта. Проверку выполнения математического диктанта на доске провожу сама, а учащиеся меняются тетрадями, оценивая друг друга. Те, у кого работа выполнена правильно, а их немного, оцениваются пятёрками. Им даю более сложное задание. Учащиеся, не получившие пятёрок за диктант, продолжают работать со мной над темой урока.
В конце урока даю небольшую самостоятельную работу. Если работа выполнена правильно, ставлю четвёрку. Остальные учащиеся доделывают работу дома.
Итак, для организации повторения учебного материала с учащимися первого курса колледжа использую математические диктанты, таблицы, упражнения, тексты для самостоятельной работы.
Результаты этого вводного повторения фиксирую в таблице в виде оценок “5”, “4”, “3”.
Группа №_____
№ п/п |
Ф.И.О. учащегося |
дроби |
отрицательные числа |
квадратныеуравнения |
действия со степенями |
элементарные графики |
Продолжаю повторение по мере прохождения нового материала и на консультациях после уроков. В конце ноября, как правило, все учащиеся сдают материал по теме: “Вводное повторение”.
Пример математического диктанта по теме: “Отрицательные числа”.
Вычислить:
–5 + 10 =
–10 + 5 =
– (–5) + 10 =
–10 + (–5) =
10 – (–5) + 0 + (–8) =
На первый взгляд, диктант излишне лёгкий, но, учитывая минимальные математические знания поступивших в колледж учеников, хочется отметить, что получая за него первые пятерки, мы вызываем интерес к обучению математике.
Утверждать, что пришедшие к нам учащиеся все не способные, нельзя! Не редко попадаются и “светлые головы”, но их обладатели совершенно не приучены даже к самым малым умственным усилиям, поэтому задача номер один преодолеть негативное отношение к предмету “математика”.
xn--i1abbnckbmcl9fb.xn--p1ai
I курс Геометрия | |||||
Введение в стереометрию | 3 | ||||
1 | Повторение курса геометрии основной школы с учетом знаний, необходимых для изучения специальных предметов | 1 | 1 | ||
2 | Основные понятия и аксиомы стереометрии и их связь с планиметрией | 2 | 2 | ||
Тема 1 | Прямые и плоскости в пространстве | 2 0 | |||
1.1 | Взаимное расположение двух прямых в пространстве | 1 | 1 | ||
1.2 | Параллельность прямой и плоскости | 1 | 1 | ||
1.3 | Скрещивающиеся прямые | 1 | 1 | ||
1.4 | Угол между прямыми | 1 | 1 | ||
1.5 | Параллельность плоскостей | 1 | 1 | ||
1.6 | Свойства параллельных плоскостей | 1 | 1 | ||
1.7 | Перпендикулярность прямой и плоскости | 1 | 1 | ||
1.8 | Признак перпендикулярности прямой и плоскости | 1 | 1 | ||
1.9 | Перпендикуляр и наклонная к плоскости, проекция наклонной к плоскости | 1 | 1 | ||
1.10 | Перпендикуляр и наклонная к плоскости, проекция наклонной к плоскости | 1 | 1 | ||
1.11 | Угол между прямой и плоскостью | 1 | 1 | ||
1.12 | Решение задач | 1 | 1 | ||
1.13 | Двугранный угол | 1 | 1 | ||
1.14 | Угол между плоскостями | 1 | 1 | ||
1.15 | Перпендикулярность двух плоскостей | 1 | 1 | ||
1.16 | Геометрические преобразования пространства: параллельный перенос, симметрия относительно плоскости | 1 | 1 | ||
1.17 | Параллельное проектирование. Площадь ортогональной проекции. Изображение пространственных фигур. | 1 | 1 | ||
1.18-1.19 | Практические задачи на построение сечений | 2 | 2 | ||
1.20 | Контрольная работа№1 по геометрии по теме «Прямые и плоскости в пространстве» | 1 | 1 | ||
Тема 2 | Координаты и векторы | 14 | |||
2.1 | Прямоугольная (декартова) система координат в пространстве | 1 | 1 | ||
2.2 | Формула расстояния между двумя точками | 1 | 1 | ||
2.3 | Координаты середины отрезка | 1 | 1 | ||
2.4 | Векторы. Модуль вектора. Равенство векторов | 1 | 1 | ||
2.5 | Сложение векторов | 1 | 1 | ||
2.6 | Умножение вектора на число. | 1 | 1 | ||
2.7 | Разложение вектора по направлениям | 1 | 1 | ||
2.8 | Угол между двумя векторами | 1 | 1 | ||
2.9 | Координаты вектора | 1 | 1 | ||
2.10 | Связь между координатами векторов и координатами точек | 1 | 1 | ||
2.11 | Скалярное произведение векторов | 1 | 1 | ||
2.12- 2.13 | Использование координат и векторов при решении математических и прикладных задач | 1 | 1 | ||
2.14 | Контрольная работа№2 по геометрии по теме «Координаты и векторы» | 1 | 1 | ||
Итого геометрия за курс 1 | 37 | 35 | 2 | ||
II курс | Геометрия | 24 | |||
Тема1 | Многогранники | 8 | |||
1.1 | Понятие многогранника | 1 | 1 | ||
1.2 | Призма. Элементы призмы. Площадь полной поверхности призмы. Построение сечений призмы | 1 | 1 | ||
1.3 | Прямая и наклонная призма. Правильная призма. | 1 | 1 | ||
1.4 | Параллелепипед. Куб | 1 | 1 | ||
1.5 | Пирамида. Элементы пирамиды. Площадь поверхности пирамиды. Правильная пирамида. Тетраэдр. Усеченная пирамида. | 1 | 1 | ||
1.6 | Симметрии в кубе, в параллелепипеде, в призме и пирамиде | 1 | 1 | ||
1.7 | Представление о правильных многогранниках (тетраэдр, куб, октаэдр, додекаэдр и икосаэдр). | 1 | 1 | ||
1..8 | Контрольная работа №1 «Многогранники» | 1 | 1 | ||
Тема 2 | Тела и поверхности вращения | 10 | |||
2.1-2.2 | Цилиндр и конус. Сечения цилиндра плоскостями .Усеченный конус | 2 | 2 | ||
2.3-2.4 | Конус и усеченный конус и их элементы. Площадь поверхности конуса и усеченного конуса | 2 | 2 | ||
2.5 | Решение задач | 1 | 1 | ||
2.6 | Шар и сфера, их элементы и сечения | 1 | 1 | ||
2.7 | Площадь сферы | 1 | 1 | ||
2.8-2.9 | Решение задач | 2 | 2 | ||
2.10 | Контрольная работа№2 по геометрии по теме «Тела и поверхности вращения» | 1 | 1 | ||
Тема 3 | Измерения в геометрии | 6 | |||
3.1 | Объем и его измерение. | 1 | 1 | ||
3.2 | Формулы объема куба, прямоугольного параллелепипеда, | 1 | 1 | ||
3.3 | Объем призмы. Объем пирамиды | 1 | 1 | ||
3.4 | Объем цилиндра. Объем конуса | 1 | 1 | ||
3.5 | Формулы объема шара и площади сферы | 1 | 1 | ||
3.6 | Контрольная работа№3 по геометрии по теме «Измерения в геометрии» | 1 | 1 | ||
Итого за курс 2 | 24 | 21 | 3 | ||
Итого по геометрии за 1 и 2 курсы | 61 | 56 | 5 | ||
I курс | Алгебра и начала анализа | 35 | |||
Введение Математика в науке, технике, экономике, информационных технологиях и практической деятельности. Цели и задачи изучения математики в учреждениях начального и среднего профессионального образования | 1 | 1 | |||
Тема1 | Развитие понятия о числе | 1 0 | |||
1.1 | Классификация действительных чисел. | 1 | 1 | ||
1.2 | Действия над натуральными числами | 1 | 1 | ||
1.3 | Дроби и виды дробей | 1 | 1 | ||
1.4 | Действия над дробными числами | 1 | 1 | ||
1.5 | Решение примеров с дробными числами | 1 | 1 | ||
1.6 | Совместные действия над действительными числами | 1 | 1 | ||
1.7 | Проценты и пропорции | 1 | 1 | ||
1.8 | Решение задач на проценты | 1 | 1 | ||
1.9 | Решение задач | 1 | 1 | ||
1.10 | Контрольная работа №1 «Понятие о числе» | 1 | 1 | ||
Тема 2 | Корни, степени и логарифмы | 24 | |||
2.1-2.2 | Корень n-степени и его свойства | 2 | 2 | ||
2.3-2.6 | Иррациональные уравнения | 4 | 4 | ||
2.7-2.10 | Степени с рациональными показателями, их свойства | 4 | 4 | ||
2.11-2.14 | Логарифм числа | 4 | 4 | ||
2.15-2.18 | Основные свойства логарифмов. | 4 | 4 | ||
2.19-2.23 | Преобразование логарифмических выражений | 5 | 5 | ||
2.24 | Контрольная работа №2 «Корни, степени и логарифмы» | 1 | 1 | ||
Тема 3. | Функции, их свойства и графики | 5 | |||
3.1 | Функции. Область определения и множество значений; график функции, построение графиков функций, заданных различными способами | 1 | 1 | ||
3.2 | Свойства функции | 1 | 1 | ||
3.3 | Графики функции | 1 | 1 | ||
3.4 | Обратные функции | 1 | 1 | ||
3.5 | Контрольная работа №3 «Функции, их свойства» | 1 | 1 | ||
Тема 4. | Степенная, показательная и логарифмическая функции. | 20 | |||
4.1 | Определение степенной функции | 1 | 1 | ||
4.2 | Свойства и графики степенной функций | 1 | 1 | ||
4.3 | Определение показательной функции | 1 | |||
4.4 | Свойства и графики показательной функции | 1 | |||
4.5-4.10 | Решение показательных уравнений и неравенств | 6 | 6 | ||
4.11 | Контрольная работа №4 «Показательная функция» | 1 | 1 | ||
4.12 | Определения логарифмических функций | 1 | 1 | ||
4.13 | Свойства и графики логарифмических функций | 1 | 1 | ||
4.14-4.19 | Решение логарифмических уравнений и неравенств | 6 | 6 | ||
4.20 | Контрольная работа №5 «Логарифмическая функция» | 1 | 1 | ||
Итого за 1 курс по алгебре | 60 | 53 | 7 | ||
Итого за 1 курс | 97 | 87 | 10 | ||
II курс Алгебра и начала анализа | |||||
Тема 1 | Основы тригонометрии. Тригонометрические функции | 10 | |||
1.1 | Радианная мера угла | 1 | 1 | ||
1.2 | Синус, косинус, тангенс и котангенс числа | 1 | 1 | ||
1.3 | Основные тригонометрические тождества, | 1 | 1 | ||
1.4 | Формулы приведения. Формулы сложения Формулы двойного угла | 1 | 1 | ||
1.5-1.6 | Преобразования простейших тригонометрических выражений | 2 | 2 | ||
1.7-1.8 | Определения функции y=sin x, y=cos x, y=tg x и у=ctgx её свойства и график | 2 | 2 | ||
1.9 | Преобразования графиков тригонометрических функций | 1 | 1 | ||
1.10 | Контрольная работа №1. «Основы тригонометрии». | 1 | 1 | ||
Тема 2 | Тригонометрические уравнения и неравенства | 13 | |||
2.1 | Арксинус, арккосинус, арктангенс числа | 1 | 1 | ||
2.2 | Решение примеров на понятия арксинус, арккосинус, арктангенс, арккотангенс | 1 | 1 | ||
2.3 | Простейшие тригонометрические уравнения :уравнение cos x=a | 1 | 1 | ||
2.4 | Простейшие тригонометрические уравнения :уравнение sin x=a | 1 | 1 | ||
2.5 | Простейшие тригонометрические уравнения :уравнение tg x=a | 1 | 1 | ||
2.6 | Простейшие тригонометрические уравнения :уравнение сtg x=a | 1 | 1 | ||
2.7-2.8 | Простейшие тригонометрические неравенства | 2 | 2 | ||
2.9-2.10 | Решение тригонометрических уравнений, сводящихся к квадратному уравнению | 2 | 2 | ||
2.11-2.12 | Решение однородных тригонометрических уравнений | 2 | 2 | ||
2.13 | Контрольная работа№2. Решение тригонометрических уравнений и неравенств. | 1 | 1 | ||
Тема3 | Начала математического анализа | 35 | |||
3.1-3.2 | Производная. Понятие о производной функции, её геометрический и физический смысл | 2 | 2 | ||
3.3-3.6 | Производные суммы, разности, произведения, частного | 4 | 4 | ||
3.7-3.10 | Производные основных элементарных функций | 4 | 4 | ||
3.11-3.12 | Сложная функция (композиция). Производные композиции функций | 2 | 2 | ||
3.13- 3.14 | Уравнение касательной к графику функции | 2 | 2 | ||
3.15 | Контрольная работа №3 «Вычисление производной» | 1 | 1 | ||
3.16-3.18 | Признак возрастания (убывания) функции. Критические точки функции, максимумы и минимумы. | 3 | 3 | ||
3.19-3.20 | Наибольшее и наименьшее значения функции | 2 | 2 | ||
3.21-3.23 | Применение производной к исследованию функций и построению графиков | 3 | 3 | ||
3.24 | Контрольная работа №4 «Применение производной к исследованию функции» | 1 | 1 | ||
3.25-3.27 | Первообразная и интеграл | 3 | 3 | ||
3.28-3.29 | Применение определенного интеграла для нахождения площади криволинейной трапеции | 2 | 2 | ||
3.30-3.31 | Формула Ньютона—Лейбница | 2 | 2 | ||
3.32-3.34 | Таблица первообразных. Вычисление первообразных | 3 | 3 | ||
3.35 | Контрольная работа №5 «Первообразная и интеграл» | 1 | 1 | ||
Тема 4 | Элементы теории вероятностей и статистики. Комбинаторика. | 12 | |||
4.1-4.4 | Основные понятия комбинаторики | 4 | 4 | ||
4.5-4.8 | Событие, вероятность события, сложение и умножение вероятностей. Понятие о независимости событий | 4 | 4 | ||
4.9-4.11 | Решение практических задач с применением вероятностных методов | 3 | 3 | ||
4.12 | Контрольная работа №6 «Элементы теории вероятностей. Комбинаторика» | 1 | 1 | ||
Тема 5 | Уравнения и неравенства | 18 | |||
5.1-5.2 | Равносильность уравнений | 2 | 2 | ||
5.3-5.4 | Решение линейных и квадратных уравнений | 2 | 2 | ||
5.5-5.8 | Системы уравнений и неравенств. | 4 | 4 | ||
5.9-5.10 | Методы решения тригонометрических уравнений | 2 | 2 | ||
5.11-5.12 | Графическое решение уравнений и систем уравнений | 2 | 2 | ||
5.13-5.14 | Решение неравенств методом интервалов | 2 | 2 | ||
5.15-5.17 | Решение задач с помощью уравнений и систем уравнений | 3 | 3 | ||
5.18 | Контрольная работа №7 «Уравнения и неравенства» | 1 | 1 | ||
Элективный курс. Решение задач с производственным содержанием. | 8 | 8 | |||
Повторение. | 11 | 11 | |||
Итого за 2 курс алгебра | 107 | 95 | 12 | ||
Итого за 2 курс | 121 | 109 | 12 | ||
Итого по математике | 228 | 209 | 19 | ||
multiurok.ru
Пакет заданий по математике для студентов 1 курса Башкирского строительно-архитектурного колледжа
Содержание
Пояснительная записка -2-
2. Проверочные задания по темам:
2.1 Вычисление пределов. Раскрытие неопределенностей. -3-
2.2 Линейные уравнения и неравенства -7-
2.3 Преобразование выражений, содержащих радикалы и степени с дробными показателями. -11-
2.4 Иррациональные уравнения -12-
2.5 Корень п-ой степени и его свойства -13-
2.6 Определение и свойства логарифма -17-
2.7 Логарифмические уравнения -18-
2.8 Практикум решения показательных уравнений -23-
2.9 Показательные уравнения -26
2.10 Правильная пирамида -30-
2.11. Индивидуальная контролирующая проверочная работа по теме: «Пирамида» -31-
2.12 Цилиндр. Конус. Шар. -35-
Пояснительная записка.
Курс математики – один из базовых курсов, на которые опираются общепрофессиональные и специальные дисциплины, дисциплины специализации.
Для закрепления теоретических знаний и приобретения необходимых практических умений программной дисциплины по математике предусматриваются практические занятия, которые рекомендуются проводить после изучения соответствующей темы.
Данная методическая разработка составлена для преподавателей математики для оказания методической помощи для выдачи заданий студентам 1 курса колледжей и техникумов. В данной методической разработке предложены такие темы, как вычисление пределов, раскрытие неопределенностей, линейные уравнения и неравенства, преобразование выражений, содержащих радикалы и степени с дробными показателями, иррациональные уравнения, корень п-ой степени и его свойства, определение и свойства логарифма, логарифмические и показательные уравнения, пирамида, цилиндр, конус, шар.
В результате решения практических заданий студент должен иметь представление:
о роли и месте математики в современном мире, общности ее понятий и представлений;
о методах решения некоторых практических задач с использованием элементов математического анализа.
Знать:
базовые понятия дифференциального исчисления;
способы решения простейших видов показательных и логарифмических уравнений;
способы решения простейших и иррациональных уравнений;
способы раскрытия неопределенностей при вычислении пределов;
2. Проверочные задания по темам:
2.1 Вычисление пределов. Раскрытие неопределенностей
Н
айти пределы функций
вариант 1.
2.1 Вычисление пределов. Раскрытие неопределенностей
Найти пределы функций
вариант 2.

2.1 Вычисление пределов. Раскрытие неопределенностей.
Н
айти пределы функций
вариант 3.
2.1 Вычисление пределов. Раскрытие неопределенностей.
Н
айти пределы функций
вариант 4.
2. 2 Линейные уравнения и неравенства
Р
ешить неравенства:
Решить уравнения:

2.2 Линейные уравнения и неравенства
Р
ешить неравенства:
Р
ешить уравнения:
2.2 Линейные уравнения и неравенства
Р
ешить уравнения:
Решите неравенства:

2.2 Линейные уравнения и неравенства
Р
ешить уравнения:
Решить неравенства:

2.3 Преобразование выражений, содержащих радикалы
и степени с дробными показателями.
У
простите выражения:
2.4 Иррациональные уравнения
Р

ешить уравнения:
2.5 Корень п-ой степени и его свойства
1 вариант.
В
ычислить:Н
айдите значение числового выражения:
П
редставьте выражение в виде дроби, знаменатель которой не содержит знака корня:
Н

айдите значение выражения:
В

ыполнить действия:Р
ешить уравнения:
2.5 Корень п-ой степени и его свойства
2 вариант.
В
ычислить:Н
айдите значение числового выражения:
П
редставьте выражение в виде дроби, знаменатель которой не содержит знака корня:
Н

айдите значение выражения:
В

ыполнить действия:Р
ешить уравнения:
2.5 Корень п-ой степени и его свойства
3 вариант.
В
ычислить:Н
айдите значение числового выражения:
П
редставьте выражение в виде дроби, знаменатель которой не содержит знака корня:
Н

айдите значение выражения:
В

ыполнить действия:Решить уравнения:
2.5 Корень п-ой степени и его свойства
4 вариант.
В
ычислить:Н
айдите значение числового выражения:
П
редставьте выражение в виде дроби, знаменатель которой не содержит знака корня:
Н

айдите значение выражения:
В

ыполнить действия:Решить уравнения:
2.6 Определение и свойства логарифма
В
ычислить логарифмы:
Вычислите:

Вычислите:
Найдите А по его логарифму:
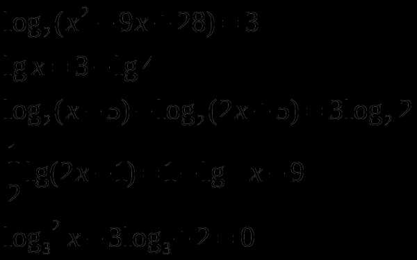
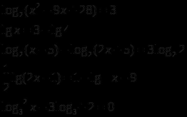
2.7 Логарифмические уравнения
Решите уравнения:

2.7. Логарифмические уравнения
В
ариант 1
Решить уравнение:
Д
ополнительные задания:
2.7. Логарифмические уравнения
Вариант 2
Р
ешить уравнение:
Дополнительные задания:

2.7. Логарифмические уравнения
Вариант 3
Решить уравнение:

Дополнительные задания:

2.7. Логарифмические уравнения
Вариант 4
Решить уравнение:

Дополнительные задания:

2. 8. Практикум по решению показательных уравнений
Вариант №1
Решите уравнения
2х=4
3х=81
4х=2
5х= ;
=4;
7х=1
=25;
7–х= –;
=1
26–х =23х–2
2х – 2х–2 =3
3х+3– 2•3х–1–4•3х–2 =17
Решите уравнение вынесением за скобки
2х+2х–1 +2х–2 56
10х+10х–1=1100
3х+33–х=12
Решите уравнение графически
2х=х–1
2.8. Практикум по решению показательных уравнений
Вариант №2
9х=27
3х=9
4х=64
6х= ;
=27;
8х=1
=36;
8–х= –;
=1
35–х=32х–1
5х+1 – 5 =500
2•3х+1 +2•32–х =56
Решите уравнение вынесением за скобки
2•33х–1+27х–2/3 =9х–1+2•32х–1
6х+6х+2=222
Решите уравнение графически
0,5х =2х
2.8. Практикум по решению показательных уравнений
Вариант №3
5х=25
6х=216
100х=10000
8х= ;
=125;
5х=1
=16;
5–х= –;
=1
49–х =42х–7
3х–2 – 3х–3 =36
2х + 2х–1 +2х–2 =3х–3х–1+3х–2
Решите уравнение вынесением за скобки
3х+1 –4:3х–1 =45
2х+2х+2=40
22х+6+2х+7=17
Решите уравнение графически
х =3х–2
2.9. Показательные уравнения
вариант 1
Р
ешить показательные уравнения:

2.9. Показательные уравнения
вариант 2
Р

ешить показательные уравнения:
2.9. Показательные уравнения
вариант 3
Р
ешить показательные уравнения:

2.9. Показательные уравнения
вариант 4
Решить показательные уравнения:

2.10. Правильная пирамида
Задача № 1
Боковое ребро правильной треугольной пирамиды равно 5 см., а высота – 3 см. Найдите площадь полной поверхности.
Задача № 2
Апофема правильной шестиугольной пирамиды равна 5 см, а высота – 4 см. Найдите площадь боковой поверхности.
Задача № 3.
В правильной треугольной пирамиде боковые грани наклонены к основанию под углом 600. Расстояние от вершины основания до боковой грани равно 3. Найдите площадь боковой поверхности пирамиды.
Задачи № 4
В правильной четырехугольной пирамиде боковые грани наклонены к основанию под углом 600, а расстояние от середины стороны основания до противоположной боковой грани равно 4. Найдите площадь боковой поверхности.
2.11. Индивидуальная контролирующая проверочная работа.
Вариант 1
Найдите высоту правильной шестиугольной пирамиды, если сторона ее основания равна а, апофема h
Сторона основания правильной четырехугольной пирамиды равна а, а высота h. Определить полную поверхность пирамиды.
Найдите высоту правильной треугольной пирамиды, у которой боковая поверхность равна
60 см2, а полная поверхность 108 см2.
2.11. Индивидуальная контролирующая проверочная работа по теме: «Пирамида»
Вариант 2
Найдите высоту правильной треугольной пирамиды, если сторона ее основания равна а, а апофема h.
Боковое ребро правильной четырехугольной пирамиды, равное 12 см, образует с плоскостью основания угол в 600. Найдите боковую поверхностьпирамиды.
Найдите высоту правильной треугольной пирамиды, у которой площадь основания равна
27см2, а полная поверхность 72см2.
2.11. Индивидуальная контролирующая проверочная работа по теме: «Пирамида»
Вариант 3
Сторона основания правильной четырехугольной пирамиды равна а. Двугранные углы при основании равны . Определите полную поверхность.
Найдите величину двугранного угла при основании правильной четырехугольной пирамиды, если ее боковые ребра наклонены к плоскости основания под углом 300.
Найдите высоту правильной треугольной пирамиды, у которой площадь основания равна
27см2, а полная поверхность 72см2.
2.11. Индивидуальная контролирующая
проверочная работа по теме: «Пирамида»
Вариант 4
Найдите величину двугранного угла при основании правильной четырехугольной пирамиды, если ее боковые ребра наклонены к плоскости основания под углом 600.
Высота боковой грани правильной четырехугольной пирамиды равна 10 см. Определите полную поверхность пирамиды, если боковая грань наклонна к плоскости основания под углом 600.
Найдите высоту правильной треугольной пирамиды, у которой боковая поверхность равна
60см2, а полная поверхность 108см2.
2.12. Задания по теме: «Цилиндр. Конус. Шар».
Вариант 1
1. Длина окружности основания цилиндра равна 12, высота 10 см. Найти объем цилиндра.
2. Осевым сечением конуса является правильный треугольник. Образующая конуса равна 6v3. Вычислить высоту конуса.
3. Через середину радиуса шара проведено сечение, найти площадь, если радиус шара равен 6 см.
2.12. Задания по теме: «Цилиндр. Конус. Шар».
Вариант 2
1. Осевым сечением цилиндра является квадрат, площадь которого 8 см2. Вычислите боковую поверхность цилиндра.
2. Осевым сечением конуса является правильный треугольник, площадь которого 64 см2 . Найти объем цилиндра.
3. Осевым сечением цилиндра является квадрат, площадь которого 64 см2 . Найти объем цилиндра.
2.12. Задания по теме: «Цилиндр. Конус. Шар».
Вариант 3
1. Длина окружности основания цилиндра равна 12, высота 10 см. Найти объем цилиндра.
2. Осевым сечением конуса является правильный треугольник. Образующая конуса равна 6v3. Вычислить высоту конуса.
3. Через середину радиуса шара проведено сечение, найти площадь, если радиус шара равен 6 см.
2.12. Задания по теме: «Цилиндр. Конус. Шар».
Вариант 4
1. Осевым сечением цилиндра является квадрат, площадь которого 8 см2. Вычислите боковую поверхность цилиндра.
2. Осевым сечением конуса является правильный треугольник, площадь которого 64 см2 . Найти объем цилиндра.
Осевым сечением цилиндра является квадрат, площадь которого 64 см2 . Найти объем цилиндра.
Список литературы:
1. Лисичкин В.Т., Соловейчик И.Л.
Математика: Учеб. Пособие для техникумов.- М.:
Высшая школа, 2005
2. Алгебра и начала анализа. Учебник для 10-11 кл. средней школы./ А.М. Колмогоров, А.М. Абрамов, Ю.П. Дудницын и др.: Под ред. А.Н. Колмогоров.- 2-е изд.- М.: Просвещение, 2008.
3. Апанасов П.Т., Орлов М.И.
Сборник задач по математике: Учебное пособие для техникумов.- М.: Высшая школа, 1987.
4. М.И.Башмаков.
Математика.- 2-е издание- М.: «Высшая школа». Учебное пособие для профессионально- технических училищ, 2001
5. Геометрия: Учебник для 10-11 кл. средней школы/ Л.С. Атанасян, В.Ф. Бутузов, С.Б.Кадомцев и др.- М.: Просвещение, 2008
infourok.ru
