Дифференциальные уравнения высших порядков без y
Рассмотрен метод решения дифференциального уравнения высшего порядка, не содержащего функцию y в явном виде. В таком уравнении порядок понижается с помощью подстановки. Дан подробный пример решения такого уравнения.
Рассмотрим уравнение, не содержащие функцию в явном виде:
(1)
Порядок этого уравнения понижается на единицу с помощью подстановки:
Действительно, тогда:
…
И мы получили уравнение, в котором порядок понижен на единицу:
Пример
Решить уравнение:
Решение
Делаем подстановку:
Тогда:
Подставляем:
Разделяем переменные:
При u ≠ 0 имеем:
Интегрируем:
Или:
Отсюда:
Интегрируем:
Интегрируем еще раз:
Интегрируем по частям:
Окончательно имеем:
Заменим постоянную:
Теперь рассмотрим случай:
u = 0 также является решением исходного уравнения. Интегрируем:
Ответ
Автор: Олег Одинцов. Опубликовано:
1cov-edu.ru
Диф.уравнения
ДИФФЕРЕНЦИАЛЬНЫЕ УРАВНЕНИЯ
Основные понятия
Уравнения, связывающие независимую переменную, искомую функцию и ее производные, называются дифференциальными.
Общий вид дифференциальных уравнений: F (x,y,y’,y’’..y’’’) = 0
Решением дифференциального уравнения называется функция, которая при подстановке в уравнение обращает его в тождество.
Наивысший порядок производной, входящей в ДУ, называется порядкомэтого уравнения.
Процесс отыскания решения ДУ называется его интегрированием.
Дифференциальные уравнения первого порядка
Обыкновенным дифференциальным уравнением первого порядка называется уравнение вида F(x, y, y‘ )=0, где F
Уравнение y‘=f(x, y) устанавливает связь между координатами точки (x, y) и угловым коэффициентом y‘ касательной к интегральной кривой, проходящей через эту точку.
Дифференциальное уравнение первого порядка, разрешенное относительно производной, можно записать в дифференциальной форме:
P(x;
Где P(x;y) и Q(x;y) – известные функции. Уравнение P(x;y)dx+Q(x;y)dy=0 удобно тем, что переменные в нем равноправны, т.е. любую из них можно рассматривать как функцию другой.
Если
дифференциальное уравнение первого
порядка y‘=f(x,
y),
имеет решение, то решений у него,
вообще говоря, бесконечно много и эти
решения могут быть записаны в виде y=φ(x,C),
где
Функция y=φ(x,C) называется общим решением дифференциального уравнения 1-го порядка. Она содержит одну произвольную постоянную и удовлетворяет условиям:
Функция y=φ(x,C) является решением ДУ при каждом фиксированном значении С.
Каково бы ни было начальное условие y(x0)= y0, можно найти такое значение постоянной С=С0 , что функция y=φ(x,C0) удовлетворяет данному начальному условию.
Частным решением ДУ первого порядка называется любая функция y=φ(x,C0), полученная из общего решения y=φ(x,C) при конкретном значении постоянной С=С0.
Задача отысканиярешения ДУ первого порядка P(x;y)dx+Q(x;y)dy=0, удовлетворяющего заданному начальному условию y(x0)= y0 , называется задачей Коши.
Теорема (существования и единственности решения задачи Коши).
Если в уравнении y‘=f(x, y) функция f(x, y) и ее частная производная f‘y(x, y) непрерывны в некоторой области D, содержащей точку (x0 ; y0 ), то существкет единственное решение y=φ(x) этого уравнения, удовлетворяющее начальному условию y(x0)= y0 . (без доказательства)
Уравнения с разделяющимися переменными
Наиболее простым ДУ первого порядка является уравнение вида
В нем одно слагаемое зависит только от x, а другое – от y. Иногда такие ДУ называют уравнениями с разделенными переменными. Проинтегрировав почленно это уравнение, получаем:
∫ P(x)dx+∫Q(y)dy=с – его общий интеграл.
Более общий случай описывают уравнения с разделяющимися переменными, которые имеют вид:
P1(x) . Q1(y) . dx+ P
Особенность этого уравнения в том, что коэффициенты представляют собой произведения двух функций, одна из которых зависит только от х другая – только от у.
Уравнение P1(x) . Q1(y) . dx+ P2(x) . Q2(y) . dy=0 легко сводится к уравнению P(x)
, – общий интеграл.
Однородные дифференциальные уравнения
К уравнению с разделяющимися переменными приводятся однородные ДУ первого порядка.
Функция y=φ(x,у) называется однородной функцией n-го порядка, если при умножении каждого ее аргумента на произвольный множитель λ вся функция умножится на λn, т.е.
f(λ
Дифференциальное уравнение y’= f(x, y) называется однородным, если функция f(x, y) есть однородная функция нулевого порядка.
Покажем, что однородное ДУ y’= f(x, y) можно записать в виде

Если f(x, y)- функция нулевого порядка, то, по определению, f(x, y)= f
Положив
,
получаем:

Однородное
уравнение
преобразуется в уравнение с разделяющимися
переменными при помощи замены переменной
(подстановки).
или,
что то же самое, y=ux.
Действительно,
подставив y=ux и y’=u’x+u в уравнение
,
получаемu’x+
или
=
–u, т.е. уравнение с разделяющимися
переменными.Найдя
его общее решение (или общий интеграл),
следует заменить в нем u на
.
Получим общее решение (интеграл) исходного
уравнения.
Однородное уравнение часто задается в дифференциальной форме:
P(x, y) dx + Q(x, y) dy = 0 Оно будет однородным, если P(x, y)
Переписав
уравнение P(x, y) dx + Q(x, y) dy = 0 в
виде
и применив в правой части рассмотренное
выше преобразование, получим уравнение
.
Линейные уравнения. Уравнения Бернулли.
Дифференциальное уравнение первого порядка называется линейным, если его можно записать в виде
y’+p(x) y
где p(x) и g(x) – заданные функции, в частности – постоянные.
Особенность ДУ y’+p(x) y=g(x): искомая функция y и ее производная y’ входят в уравнение в первой степени, не перемножаясь между собой.
Рассмотрим 2 метода интегрирования ДУ– метод Бернулли и метод Лагранжа.
Метод И.Бернулли
Решение уравнения y’+p(x) y=g(x) ищется в виде произведения двух других функций, т.е. с помощью подстановки y=uv, где u=u(x) и v=v(x) – неизвестные функции от x, причем одна из них произвольна (но не равна 0 – действительно любую функцию y(x) можно записать как
,
где
).
Тогдаy’=u’ v+u v’.
Подставляя выражения y и y’ в уравнение y’+p(x) y=g(x), получаем: u’ v+u v’+p(x) u v=g(x) или
u’ v+u (v’+p(x)v)=g(x).
Подберем функцию v=v(x) так, чтобы выражение в скобках было равно 0, т.е. решим ДУ v’+p(x) v=0.
Итак,
+p(x) v=0,
т.е.
=-p(x) dx.
Интегрируя, получаем:
Ввиду свободы выбора функции v(x), можно принять с=1.
Отсюда 
Подставляя найденную функцию v в уравнение u’ v+u (v’+p(x)v)=g(x), получаем
u’
=g(x).
Получено уравнение с разделяющимися переменными. Решаем его:
, ,
Возвращаясь к переменной y, получаем решение
исходного ДУ y’+p(x) y=g(x).
Метод Лагранжа(метод вариации произвольной постоянной)
Уравнение y’+p(x) y=g(x) интегрируется следующим образом.
Рассмотрим соответствующее уравнение без правой части, т.е. уравнение y’+p(x) y=0. Оно называется линейным однородным ДУ первого порядка. В этом уравнении переменные делятся:
и
.
Таким
образом,
,
т.е.
или
,где
с= 
Метод вариации произвольной постоянной состоит в том, что постоянную С в полученном решении заменяем функцией с(х), т.е. полагаем с=с(х).
Решение уравнения y’+p(x) y=g(x) ищем в виде
Уравнение Я.Бернулли
Уравнение вида
называется уравнением Бернулли. Покажем, что его можно привести к линейному.
Если n=0, то ДУ – линейное, а при n=1 – с разделяющимися переменными.
В
общем случае, разделив уравнение
на
,
получим:
.
Обозначим
=z.
Тогда z’=
=(1-n) 
. Отсюда находим 
=
. Уравнение
принимает
вид
.
Последнее уравнение является линейным относительно z. Решение его известно. Таким образом, подстановка
z=
сводит уравнение
к линейному.
Уравнение в полных дифференциалах.
Уравнение P(x;y)dx+Q(x;y)dy=0 называется уравнением в полных дифференциалах, если его левая часть есть полный дифференциал некоторой функции u(x;y), т.е. P(x;y)dx+Q(x;y)dy=du(x;y).
В этом случае ДУ P(x;y)dx+Q(x;y)dy можно записать в виде du(x;y)=0, а его общий интеграл будет:
u(x;y)=c.
Приведем условие, по которому можно судить, что выражение
Δ= P(x;y)dx+Q(x;y)dy
Есть полный дифференциал.
Теорема.
Для
того, чтобы выражение Δ= P(x;y)dx+Q(x;y)dy,
где функции P(x;y) и Q(x;y) и их частные производные
и
непрерывны в некоторой областиD плоскости Оху,
было полным дифференциалом, необходимо
и достаточно выполнение условия
= 
Необходимость
Пусть Δ есть полный дифференциал, т.е. P(x;y)dx+Q(x;y)dy=du(x;y).
Учитывая,
что du(x;y)=
dx+
dy,
имеем:
P(x;y)=
;Q(x;y)=
.
Дифференцируя эти равенства по у и по х соответственно, получаем
=
и
=
.
А
так как смешанные частные производные
и
равны между собой, получаем
=
.
Достаточность
Пусть
в области D выполняется условие
=
.
Покажем, что существует функцияu(x;y) в области D такая, что
du(x;y)=P(x;y)dx+Q(x;y)dy.
Найдем эту функцию. Искомая функция должна удовлетворять требованиям:
=P(x;y) и
=Q(x;y).
Если
в уравнении
=P(x;y) зафиксировать у и проинтегрировать его по х,
то получим:
u(x;y)= .
Здесь
произвольная постоянная с=
зависит
от у . В решении
u(x;y)= не
известна лишь
.
Для ее нахождения продифференцируем
данную функцию поу:
.
Используя
второе равенство
=Q(x;y), можно записать:
.
Отсюда .
В этом равенстве левая часть зависит от у. Покажем, что и правая часть равенства зависит только от у.
Для этого продифференцируем правую часть по х и убедимся, что производная равна 0. Действительно,
= =
=в силу условия
=
.
Из
равенства
находим
:
, с-const.
Подставляя
найденное значение для
в равенствоu(x;y)= ,
находим функциюu(x;y) такую, что du(x;y)=P(x;y)dx+Q(x;y)dy.
Таким
образом, при решении ДУ вида P(x;y)dx+Q(x;y)dy=0 сначала проверяем выполнение условия
=
.
Затем, используя равенства
=P(x;y) и
=Q(x;y), находим функцию u(x;y). Решение записываем в виде u(x;y)=с.
Дифференциальные уравнения высших порядков.
Основные понятия.
Дифференциальные уравнения порядка выше первого называются ДУ высших порядков. ДУ второго порядка в общем случае записывается в виде
F(x;y;y’;y’’)=0
Или, если это возможно, в виде, разрешенном относительно старшей производной:
y’’=f(x;y;y’).
РешениемДУ y’’=f(x;y;y’)называется всякая функцияу=
,которая при подстановке в уравнение
обращает его в тождество.
Общим
решением ДУ y’’=f(x;y;y’) называется
функция у=
,где
и
– не зависящие отх произвольные постоянные.
Аналогичные
понятия и определения имеют место для
ДУ n-го
порядка,
которое в общем виде записывается как F(x;y;y’;y’’;…;
)=0.
Уравнения, допускающие понижение порядка
Одним из методов интегрирования ДУ высших порядков является метод понижения порядка. Суть метода состоит в том, что с помощью замены переменной данное ДУ сводится к уравнению, порядок которого ниже.
Рассмотрим 3 типа уравнений, допускающих понижение порядка.
Пусть дано уравнение y’’=f(x). Порядок можно понизить, введя новую функцию p(x), положив y’=p(x). Тогда y’’=p’(x) и получаем ДУ первого порядка: p’=f(x). Решив его, т.е. найдя функцию р=р(х), решим уравнение у’=р(х). Получим общее решение заданного уравнения y’’=f(x).
Пусть дано уравнение y’’=f(x;y’), не содержащее явно искомой функции у.
Обозначим у’=р,
где р=р(х) – новая неизвестная функция. Тогда у’’=p’ и уравнение y’’=f(x;y’) принимает
вид р’=f(x;p). Пусть р=
–
общее решение полученного
ДУ первого порядка. Заменяя функцию р на у’,
получаем ДУ: y’=
. Оно имеет вид y’’=f(x). Для отыскания у достаточно проинтегрировать
последнее уравнение. Общее решение
уравнения y’’=f(x;y’) будет иметь вид
у= .
Частным
случаем уравнения y’’=f(x;y’) является уравнение y’’=f(y’), не содержащее также и независимую
переменную х.
Оно интегрируется тем же способом: y’=p(x), y’’=p’=
. Получаем уравнение p’=f(p) с
разделяющимися переменными.
Рассмотрим уравнение y’’=f(y;y’), которое не содержит явно
независимой переменной х.
Для понижения порядка уравнения введем новую функцию р=р(у), зависящую от переменной у, полагая y’=p. Дифференцируем это равенство по х, учитывая, что р=р(у(х)):
,
т.е.
=
.
Теперь уравнениеy’’=f(y;y’) запишется
в виде
=f(y;p).
Пусть р=
является общим решением этого ДУ первого
порядка. Заменяя функцию р(у) на y’,
получаем y’=
– ДУ с разделяющимися переменными.
Интегрируя его, находим общий интеграл
уравнения y’’=f(y;y’):
.
Частным
случаем уравнения y’’=f(y;y’) является ДУ y’’=f(y). Такое уравнение решается при помощи
аналогичной подстановки: y’=p(y), y’’=
.
Линейные дифференциальные уравнения высших порядков.
Основные понятия
Уравнения вида
,
где – заданные функции (отх), называется линейным дифференциальным уравнением n-го порядка.
Оно содержит искомую функцию у и все ее производные лишь в первой степени. Функции называютсякоэффициентами уравнения, а функция g(x) – его свободным членом.
Если свободный член g(x)=0, то уравнение называетсялинейным однородным уравнением, иначе – неоднородным.
Разделив
уравнение
на
и
обозначив
запишем уравнение в видеприведенного:
Линейные однородные дифференциальные уравнения второго порядка
Рассмотрим ЛОДУ второго порядка:
И установим некоторые свойства его решений.
Теорема:
Если
функции
и
являются частными решениями уравнения,
то решением этого уравнения является
также функция
studfiles.net
Дифференциальные уравнения Лекция 19. Дифференциальные уравнения первого порядка
План лекции
19.1. Задачи, приводящие к дифференциации уравнениям.
19.2. Основные понятия о дифференциальных уравнениях.
19.3. Уравнение первого порядка с разделяющимися переменными.
19.4. Однородные уравнения.
19.5. Дифференциальные уравнения, приводящиеся к однородным.
19.6. Линейные уравнения и уравнения Бернулли.
19.7. Дифференциальные уравнения в полных дифференциалах.
19.1
В различных областях науки и техники весьма часто выражаются задачи, для решения которых требуется решить одно или несколько уравнений, содержащих производные искомых функций. Такие уравнения называются дифференциальными. Рассмотрим несколько задач, приводящих к дифференциальным уравнениям.
Задание 1.на плоскости ХОУ найти кривую, проходящую через О(0;0), у которой угловой коэффициент касательной, проведен к любой точке кривой, равен удвоенной абсциссе точки касания.
Пусть у = f(x) – уравнение искомой кривой. По условию известно, что в каждой точке M(x;f(x)) есть касательная к этой кривой, угловой коэффициент которой, то есть f/(x) равняется 2х. Найти уравнение кривой.
Таким
образом, имеем
(1).
Из (1) следует, что y = f(x) есть первообразная для 2х. Следовательно, (2).
Из
(2) следует, что дифференциальное уравнение
(1) имеет бесконечное множество решений,
то есть уравнению (1) удовлетворяет не
одна кривая, а бесконечное множество
парабол. Чтобы из этого множества кривых
выбрать нужную кривую, надо воспользоваться
тем, что искомая кривая проходит через
точку О(0;0). Следовательно, координаты
О должны удовлетворять (2). Поэтому О
= О + С, то
есть С = О.
Значит, искомая кривая будет
.
Задание
2. Найти закон
уравнения свободного падающего в пустоте
тела, если пройденный путь начинает
отсчитываться от момента времени t = 0 и начальная
скорость падения равна нулю. Скорость
в этом случае выражается, как известно,
формулой
.
Решение.
(3)
следовательно, S
– первообразная для gt,
следовательно
.
Имеем
.следовательно,
то
,
то есть
.
Задание 3. Пусть тело имеющее температуру Q0 в момент времени t=0, помещено в среду температуры Q(Q0>Q). Требуется найти закон, по которому изменяется температура тела в зависимости от времени. Искомая температура есть функция от времени, которую обозначают через Q(t).
Из функции известно, что скорость движения тела пропорциональна разности температур тела и окружающей среды. Учитывая, что функция Q(t) убывает, в силу максимального смысла произведения получаем , гдеk – коэффициент пропорциональности. ,.
Заметим, что уравнение (4) при Q=0 так же записывает радиоактивный распад.
В
рассмотренных задачах мы приходим к
дифференциации уравнения вида
.
Это уравнение является простейшим
дифференциальным уравнением. Однако в
большинстве случаев естественные и
технические процессы описываются
гораздо более общими и сложными
дифференциальными уравнениями.
19.2.
Дифференциальным уравнением называется соотношение, связывающее независимую переменную х, искомую функцию y = f(x) и ее производные. Порядок старшей производной, входящей в дифференциальное уравнение, называется порядком данного уравнения.
Общий вид дифференциального уравнения: F(x,y.y/,…y(n)) = 0 (1).
Причем F(x,y.y/,…y(n)) может не зависеть от некоторых величин x,y.y/,… Но если это уравнение n-го порядка, то от y(n) обязательно зависит.
Например, у/ + ху = 0, у//+2у/ = 1, 
1-го порядка 2-го порядка 1-го порядка.
Всякая
функция
,
которая, будучи подставлена в уравнение
(1), обращает его в тождество, называетсярешением
этого уравнения.
График решения обыкновенного дифференциального уравнения n-го порядка будем называть интегральной кривой этого уравнения.
Например, является ли функция y = 1+2e-4x решением дифференциального уравнения а) , б). Найдему/ и у// и подставим у, у/, у// в данные уравнения:
,
а) б)
0 = 0 – верно – ложно.
Следовательно, данная функция решения дифференциального уравнения а) не является решением дифференциального уравнения б).
Дифференциальное уравнение первого порядка называется соотношение вида F(x,y,y/) = 0 (2) – в полном виде.
Относительно y/: – в явном или естественном его можно разрешить. (2/).
Решением дифференциального уравнения первого порядка называется функция , зависящая от переменойx и от произвольной постоянной C, обращающая уравнение (2) в верное равенство.
Иногда решение уравнения может быть получено и неявной форме: Ф(х,у,с) = 0 или Ф(х,у) = С.
Решить данное дифференциальное уравнение – значит найти его общее решение в той или иной форме.
Решение, которое получается из общего решения при котором фиксированном значение произвольной постоянной C, называется частным решением.
Частное решение выделяется из общего с помощью так называемого начального условия.
Условие, что при х = х0 функция у должна равняться заданному числу у0 называется начальным условием.
Пример. По общему решению дифференциального уравнения у = сх2 + х2sinx. Найти частное решение удовлетворяющее начальному условию
Тогда частное решение имеет вид: .
Общим решением дифференциального уравнения n-го порядка F(x,y,…y/) = 0(1) называется функция , зависящая отn произвольных постоянных и образующая уравнение (1) в тождество.
Решение, получаемое из общего при закреплении постоянных С1, С2,,….Сn называются частными.
Пусть при заданном значении х = х0 функция у и ее первые (n-1) производная принимают значения: . Эти условия называются начальными. С их помощью можно выделить из общего решения единственное частное решения.
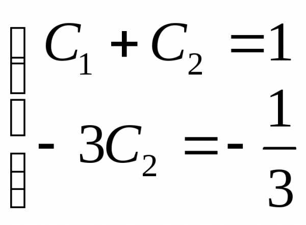
Пример. По общему решению дифференциального уравнения . Найти частное отвечающее условию(так как в общем решении 2 постоянных, то это решение дифференциального уравнения 2-го порядка).
, ,
,
,
–
частное решение.
Остановимся далее на отдельных видах дифференциальных уравнений и методах их решения.
19.3.
studfiles.net
