§ 1. Интерференция и дифракция волн — Phystech.Academy
А. Наложение двух или нескольких волн, при котором образуется устойчивое перераспределение в пространстве энергии результирующих колебаний, называют интерференцией.
Наблюдать такую устойчивую картину можно только тогда, когда разность фаз складывающихся колебаний в каждой точке пространства не зависит от времени. О таких волнах говорят, что они когерентны. Когерентные волны должны иметь одинаковую частоту (длину волны).
Если вдоль оси `X` распространяются две волны одинаковой природы (две волны на поверхности воды, две звуковые волны, две световые волны) `y_1(x,t)=A_1cos(omegat-kx)` и `y_2(x,t)=A_2cos(omegat-kx+delta)`, то в результирующей волне имеем `y(x,t)=y_1(x,t)+y_2(x,t)`. Это не есть просто определение результирующей волны. Последняя формула выражает собой экспериментальный факт и называется принципом суперпозиции. Величину называют циклической частотой; она связана с обычной частотой `nu` (другое часто встречаемое обозначение `f`) и периодом колебаний `T` соотношением
`omega=2pinu=2pif=2pi//T`. (1.1)
Величина `k`, называемая волновым числом, связана с длиной волны в среде `lambda` аналогичным соотношением
`k=2pi//lambda`. (1.2)
В свою очередь, частота `nu` и длина волны `lambda` связаны друг с другом и со скоростью `v` волн в среде соотношением
`v*T=v//nu=lambda`. (1.3)
При переходе волны из одной среды в другую частота остаётся неизменной – изменяются скорость распространения волны и длина волны. В случае электромагнитных волн (в частности, света) при переходе волны из вакуума в среду с показателем преломления `n` имеем:
`v=c//n`, (1.4)
где `c` – скорость света в вакууме (примерно `300 000` км/с),
`lambda=(c//n)/nu=(c//nu)/n=(lambda_0)/n`, (1.5)
где `lambda_0` – длина электромагнитной волны в вакууме. К сожалению, индекс `«0»` часто опускают, и бывает непонятно, о какой длине волны говорят – в вакууме или в среде. В случае воздуха показатель преломления для электромагнитных волн в широком диапазоне частот близок к единице, поэтому величины `lambda_0` и `lambda` также близки друг к другу. Впрочем, для радиоволн в ионосфере это уже не так.
Для расчёта фазы волны при прохождении в среде с показателем преломления `n` расстояния `l` вводят понятие оптической длины пути
`l_”опт”=nl`, (1.6)
`y(l,t)=Acos(omegat-kl)=Acos(omegat-(2pi)/lambda l)=`
`=Acos(omegat-(2pi)/lambda_0 nl)=Acos(omegat-(2pi)/lambda_0 l_”опт”)`.
Если две волны одинаковой частоты двигались в разных средах, то частота `omega` и длина волны `lambda_0` в вакууме у них будут одинаковыми; разность фаз `Deltavarphi` для волн может «набежать», однако, за счёт разных оптических длин:
`Deltavarphi=omegat-(2pi)/lambda_0 l_(“опт”1)-(omegat-(2pi)/lambda_0 l_(“опт”2))=(2pi)/lambda_0(l_(“опт”1)-l_(“опт”2))`. (1.7)
Обычные длины при этом могут быть равны друг другу.
В случае, например, звуковых волн или электромагнитных волн большой длины волны (радиодиапазон) построить разные источники волн, дающие когерентные друг с другом волны, сравнительно несложно. Ситуация не такая простая для электромагнитных волн видимого диапазона (длины волн порядка микрометра). Только с появлением лазеров ситуация упростилась. До этого чаще всего с помощью линз и зеркал делали два (или больше) мнимых источника света, каждый из которых был изображением некоего (одного и того же!) действительного источника света. (Редкое исключение – опыт Юнга с двумя щелями.) Именно то, что мнимые источники были изображениями одного и того же действительного источника, делало их когерентными почти автоматически. (К сожалению, даже в этом случае при большой разности оптических длин для мнимых источников когерентность разрушается.)
Интерференция света – одно из проявлений того, что свет представляет собой волновой процесс, в котором колеблются векторы напряжённости электрического и магнитного полей. Поскольку эти две величины в волне не независимы, но связаны друг с другом (неким соотношением), можно рассуждать о колебаниях, например, только напряжённости электрического поля: `vecE(x,t)=vecE_0cos(omegat-kx-varphi_0)`. Интерференцию (и дифракцию) света учёные считают прямым доказательством того, что свет – это волна (или суперпозиция волн). Рассмотрение света в виде потока частиц (Ньютон) не смогло объяснить названных явлений.
Интерференция света наблюдается при наложении двух или нескольких световых пучков при условии когерентности волн. При этом интенсивность света в области перекрытия пучков имеет характер чередующихся светлых и тёмных полос, причём в максимумах интенсивность больше, а в минимумах – меньше суммы интенсивностей пучков. При использовании белого света интерференционные полосы оказываются окрашенными в различные цвета спектра. С интерференционными явлениями мы сталкиваемся довольно часто: цвета масляных пятен на асфальте, окраска замерзающих оконных стёкол, рисунки на крыльях некоторых бабочек и жуков – всё это проявление интерференции света.
При сложении двух когерентных волн амплитуда в данной точке пространства будет максимальной, если колебания происходят синфазно (в точку одновременно приходят горбы двух волн или одновременно две впадины), и будет в данной точке минимальной, когда волны приходят в неё в противофазе (от одной из волн приходит горб, а от другой – впадина).
В световой волне видимого диапазона (от `0,4` до `0,8` мкм) напряжённость электрического поля колеблется с частотами порядка `(4-:8)xx10^(14)` `1//`сек. Ни человеческий глаз, ни самые совершенные приборы не способны уследить за такими быстрыми изменениями поля световой волны. Все они реагируют на некие средние величины поля – средние за достаточно большой промежуток времени `tau` (много больший периода колебаний, `tau> >T`).
Скажем об этом чуть подробней. В математике под средним значением переменной величины `y(t)` за время `tau` понимают величину
`bary=1/tauint_0^tau y(t)dt`. (1.8)
При этом среднее от константы равно самой этой константе: `1/tauint_0^tau “const”*dt=”const”*1/tauint_0^taudt=”const”*1/tau*tau=”const”`. Для нас наибольший интерес представляют периодические функции. Среднее значение, например, косинуса (или синуса) будет близко к нулю. В самом деле, `bar(cosomegat)=1/tauint_0^taucosomegat*dt=(sinomegatau)/(omegatau)=T/tau*(sinomegatau)/(2pi)`, что при малом отношении `T//tau` есть малая величина. Однако среднее от квадрата косинуса уже не есть малая величина:
`bar(cos^2omegat)=1/tauint_0^taucos^2omegat*dt=1/(2tau)int_0^tau(1+cos2omegat)*dt=`
`=1/(2tau)*tau+1/(2tau)*(sin2omegatau)/(2omega)=1/2+T/tau*(sin2omegatau)/(4pi)~~1/2`
(вторым слагаемым пренебрегаем). В 1-м случае косинус одинаково часто принимает то положительные, то отрицательные значения, а в среднем – нуль. Квадрат же косинуса всегда не отрицателен, а площадь под кривой `y(t)=cos^2omegat` при `T> >tau` равна примерно половине площади прямоугольника под прямой `y= 1`.
Счастливым образом наш глаз (и современные приборы) реагируют не на среднее поле в световой волне (оно равно нулю), а на среднее от квадрата поля, которое называют интенсивностью волны:
`I=bar(E^2)`. (1.9)
Среднему же от квадрата поля пропорциональны плотность энергии в волне и поток энергии в ней.
В случае интерференции двух волн `y_1(t)=A_1cos(omegat+varphi_1)` и `y_2(t)=A_2cos(omegat+varphi_2)` имеем:
`bar(y_1^2)=(A_1^2)/2-=I_1`, `bar(y_2^2)=(A_2^2)/2-= I_2`;
`y(x,t)=y_1(x,t)+y_2(x,t)`.
Для интенсивности в суммарной волне тогда получаем формулу:
`I=bar(y^2(x,t))=(A_1^2)/2+(A_2^2)/2+2A_1A_2*bar(cos(omegat+varphi_1)*cos(omegat+varphi_2))=`
`=I_1+I_2+sqrt(2I_1)*sqrt(2I_2)*bar((cos(varphi_1-varphi_2)+cos(2omegat+varphi_1+varphi_2)))=`
`=I_1+I_2+2sqrt(I_1I_2)*cos(varphi_1-varphi_2)`.
Если `varphi_1=-kx_1` и `varphi_2=-kx_2` то
`I=I_1+I_2+2sqrt(I_1I_2)*coskDelta`, (1.10)
где `Delta=|x_1-x_2|` – так называемая разность хода. В более общем случае, когда две волны приходят в точку, пройдя по средам с разными показателями преломления, волновые числа `k` будут разными, – и требуется рассчитывать разность оптических длин.
Две антенны `A` и `B` излучают радиоволны на частоте `f=3` МГц в фазе друг с другом. Расстояние между ними `|AB|=L=200` м. На каком минимальном расстоянии `l=|BC|` интенсивность сигнала минимальна, если `BC_|_AB`. Ослаблением сигналов при удалении от станций пренебречь.
`lambda=c//f=100` м. Чтобы в точке `C` наблюдался интерференционный минимум:, нужно, чтобы сигналы от антенн в эту точку приходили в противофазе (от одной антенны приходил «горб», а от другой «впадина»), т. е. разность расстояний от антенн до т. `C` должно равняться полуцелому числу длин волн излучения: `sqrt(L^2+l^2)-l=(m+1/2)lambda(m>=0)`. С учётом равенства `L = 2lambda` получаем `l=(4/(2m+1)-(2m+1)/4)lambda`. В силу положительности длины `l > 0` имеем `4 > 2m+1`, или `m<3//2`, т. е. возможные значения `m:` `0` и `1`. В первом случае `l = 3,74lambda= 375` м, при `m = 1` получаем меньшее значение `l=7/12lambda~~58` м.
Во многих оптических приборах для уменьшения потерь на отражение поверхности линз покрывают тон-кой пленкой фторида магния `(“MgF”_2)`, показатель преломления которого `n_2=1,38` (показатель преломления стекла `n_3=1,50`). Пусть на стекло перпендикулярно поверхности падает видимый свет с длиной волны `lambda=0,550` мкм. При какой минимальной толщине `L` покрытия отражение света вследствие интерференции волн резко ослабнет?
Отражённый свет ослабляется вследствие интерференции волн – волны, отражённой от наружной поверхности пленки (1), и волны, отражённой от поверхности стекла и затем вышедшей из плёнки (2) (рис. 1).
(Наклонное падение изображено для того, чтобы избежать наложения друг на друга разных линий.)
Разность оптических длин в этом случае равна `2L n_2` (множитель `«2»` появился из-за того, что свету, прежде чем выйти из плёнки, нужно дойти до стекла и обратно). Для ослабления волн необходимо, чтобы на выходе из плёнки разность фаз равнялась `pi` плюс число, кратное `2pi`/ На языке длин волн это означает:
`2L n_2=lambda//2+mlambda`.
В данном примере длина волны `lambda=0,550` мкм – это длина волны в вакууме или в воздухе (то, что раньше обозначалось как `lambda_0`: длина волны в стекле при этом буде равна `lambda//(1,5)`, а в плёнке фторида магния – `lambda//(1,38)`). Отсюда получаем `L_min=lambda/(4n_2)~~99,6` нм (для сравнения: характерный размер большинства атомов порядка `0,1` нм).

Нами не было доказано, что амплитуда волны, вышедшей из плёнки (но дошедшей сначала до стекла и отразившейся), равна амплитуде волны, сразу отраженной от плёнки. Для того чтобы две волны погасили друг друга, необходимо, чтобы они были в противофазе (это мы учли), но нужно ещё, чтобы их амплитуды были равны друг другу. Последнее, однако, не было доказано (это выходит за рамки школьной физики).
Оказывается, что при отражении от оптически более плотной среды происходит скачкообразное изменение фазы волны на `pi`. Доказательство этого также выходит за рамки школьной программы. К счастью, в данном примере обе волны отражались от оптически более плотной среды, и каждая из них получила сдвиг по фазе на одно и то же значение `pi`.
Корректный расчёт требует рассмотрения многократных отражений волны, прошедшей в плёнку. Эта волна, дойдя до стекла, частично отразится, но частично пройдёт в него (для целей просветления оптики нужно, конечно, чтобы проходило как можно больше света). Отразившаяся от стекла волна лишь частично выйдет наружу: частично она отразится от внутренней поверхности плёнки и направится снова к стеклу и т. д.*
Б. Явление дифракции волн (не обязательно – только световых) есть проявление интерференции вторичных волн от воображаемых источников, расположенных на волновых фронтах в любые предыдущие моменты времени (принцип Гюйгенса –Френеля). Гюйгенс впервые стал рассуждать о вторичных источниках волн, Френель же впервые применил к ним соображения интерференции волн. Разумеется, интерференция волн от бесконечного числа воображаемых источников – совсем не простая вещь, а теория этого явления есть сложная математическая теория – сложнее, чем теория интерференции волн всего от двух источников! Тем более удивительно, что для практически важного оптического прибора, дифракционной решётки, можно написать простую формулу для положения главных максимумов.
![]() |
Пусть на дифракционную решётку в виде плоскости с многочисленными регулярно изготовленными параллельными друг другу щелями перпендикулярно решётке падает свет с длиной волны `lambda`. За решёткой параллельно решётке ставят линзу, в фокальной плоскости которой помещают экран, параллельный плоскости решётки (рис. 2). Каждая щель представляет собой источник вторичных волн. На экране видят сложную картину, состоящую из очень узких полос (тем уже, чем больше штрихов `N` у решётки). Некоторые из полос будут очень яркими (главные максимумы), некоторые слабо заметными, будут и тёмные полосы. Направления на главные максимумы определяются формулой
`dsinvarphi=mlambda`, (1.11)
где `m = 0,+-1,+-2, …` – так называемый порядок дифракции, `d` – период решётки (не ширина щелей!). Зная период решётки `d`, и измеряя угол `varphi` на `m`-й главный максимум, можно определить длину волны. Бывает и наоборот: зная длину волны света, находят период решётки.
Чем больше щелей содержит решётка, тем более узкими будут главные максимумы. Угловое расстояние между соседними тёмными полосами (эта величина совпадает с шириной главных максимумов) равна
`deltavarphi=lambda/(Ndcosvarphi)`, (1.12)
где `varphi` даёт направление на соответствующий максимум в дифракционной картине. Узость дифракционных максимумов от дифракционной решётки поз-воляет использовать её в качестве спектрального прибора. Пусть на решётку последовательно падал свет, например, жёлтого цвета, но с двумя слегка разными длинами волн. На глаз мы можем порой и не сказать, отличаются эти два жёлтых цвета друг от друга или нет. Но положения их дифракционных максимумов будут существенно разными, а вследствие узости полос – легко отличимыми друг от друга.
Для излучения некоторой длины волны дифракционный максимум первого порядка наблюдается под углом `varphi_1=8,5^@`. Какой угол дифракции соответствует последнему максимуму для той же длины волны?
Пусть `m` – последний порядок дифракции. Согласно (1.11) имеем систему двух уравнений `dsinvarphi_m=mlambda` (*) и `dsinvarphi_1=lambda` (**). Деля одно уравнение на другое (при этом сокращаются неизвестные величины – период решётки `d` и длина волны `lambda`), получаем `sinvarphi_m=msinvarphi_1` (***). Последний порядок дифракции `m` определятся из условия `|sinvarphi_m|<=1` отсюда находим `|m|<=1/(sinvarphi_1)~~6,8` или с учётом целочисленности `m`: `|m|<=6`. Тогда в силу (***): `sinvarphi_6=6sin8,5^@~~0,887`, а сам угол `varphi_6~~62,5^@`.
Линии в спектре водорода имеют длину волны `lambda_1=656,45` нм, а дейтерия – `lambda_2=656,72` нм. Какое число штрихов должна иметь дифрак-ционная решётка, чтобы эти линии в спектре 3-го порядка были различимы?
Из условия (1.11) `dsinvarphi=mlambda` при `m=3` находим угловое расстояние между главными максимумами `Deltavarphi` для разных длин волн: `d*cosvarphi*Deltavarphi=3(lambda_2-lambda_1)`, или `Deltavarphi=(3(lambda_2-lambda_1))/(d*cosvarphi)`. Для того чтобы линии были различимы, угловое расстояние между полосами одного и того же порядка, но для разных длин волн, должно быть, очевидно, не меньше ширины самих полос `deltavarphi=lambda/(Ndcosvarphi)` (1.12), то есть `(3(lambda_2-lambda_1))/(d*cosvarphi)>=lambda/(Ndcosvarphi)`. Отсюда получим `N>=lambda/(3(lambda_2-lambda_1))`. В качестве `lambda` здесь возьмём среднее арифметическое для двух близких длин волн. В итоге получаем: `N>=810,60`, то есть `N_min=811`.
Заметим, что в ответ не вошёл период решётки (не заданный в условии задачи). Неопределённым оказался и угол `varphi`, соответствующий 3-му порядку в дифракционной картине. Эти величины просто сократились в процессе вычислений.*
phystech.academy
Интерференция и дифракция электромагнитных волн
Интерференция и дифракция электромагнитных волн, приближение геометрической оптики, дифракция Френеля и Фраунгофера.
Интерференция волн возникает в результате
слоения гармонических колебаний, имеющих
одинаковые частоты и фазы, которые не
изменяются во времени. Суперпозиция
монохроматических волновых полей
и
,
имеющих одинаковую частоту и начальную
фазу, но различные пути распространения
и
,
определяется выражением
=+.
Интенсивность поля результирующей волны в каждой точке пространства пропорциональна квадрату напряженности поля
,
в котором слагаемое
называется интерференционным членом.
Для монохроматических волн одинаковой
частоты и одинакового направления
интерференционный член обращается в
нуль, если поля находятся в противофазе,
то есть
.
В этом случае колебания полей гасятдруг друга в каждой точке пространства и их интенсивность равна нулю. Существует и другой случай обращения интерференционного члена в нуль – взаимная ортогональность полей


.
В случае, когда интерференционный член не равен нулю в точках пространства возникают максимумы и минимумы поля, интенсивность которого определяется выражениями
при
при,
где
,
2, 3… – целое число. В случае
результирующая интенсивность сигнала
в точке наблюдения равна
,
т.е. интенсивность сигнала в точке
приема изменяется от минимального
значения, равного нулю,
до максимального.
В основе теоретического описания явления дифракции – огибанияволной препятствий, находящихся на пути её распространения, лежит принцип Гюйгенса-Френеля. Суть проблемы была определена Гюйгенсом, который предложил считать
волновой фронт центром вторичных возмущений происходящих от расположенных на нем вторичных точечных источников. Френель дополнил этот принцип утверждением
о том, что волны от вторичных источников интерферируют в точке наблюдения.
Рассмотри случай, когда точечный источник сферической волны находится в точке O, S – мгновенное положение сферического волнового фронта радиуса r. Определим
интенсивность электромагнитной волны в точке O, находящейся на
расстоянии r на линии OO’, соединяющей положение источника с наблюдателем. Рассмотрим геометрию распространения волны, показанную на рис.1. В соответствии с принципом Гюйгенса-Френеля каждый элемент волнового фронта можно рассматривать как центр вторичных сферических волн, причем вклад в амплитуду поля в точке
,
здесь r расстояние от элемента dS до точки наблюдения O’, K(χ) — коэффициент,
учитывающий изменение амплитуды
вторичного источника в зависимости от
значения угла χ между направлением
падающего луча
и рассеянного
,
который часто называют углом дифракции.
При χ
коэффициентK
.
Полное поле в точке наблюдения определяется
интегралом от выражения по поверхностиSволнового фронта
первичной волны.
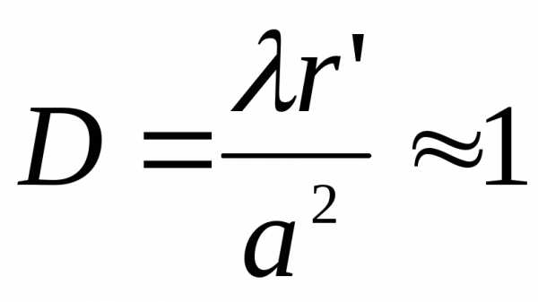
Величина rФ=
носит название радиуса первой зоны
Френеля, она определяет размер отверстия
в экране, начиная с которого приходящие
в точку приема волны гасят друг друга,
т.е. сдвиг фазы между прямым лучом и
лучом дифрагировавшей волны составляет
.
Если в центре поверхностиSоткрыто только одно отверстие с радиусомa = rФ,
то приходящие в точкуO’
волны будут преимущественно усиливать
друг друга. При открытых двух зонах
Френеля возникнет преимущественное
гашение волн.
Френелем было показано, что при открытой
первой зоне интенсивность сигнала в
точке O’ равна
,
где
– интенсивность при полностью открытом
экранеS, т.е. имеет место
френелевская фокусировка сигнала.
Дифракция волн в области
– дифракцией Френеля, где параметраопределят характерный размерпрепятствияна пути распространения волны в
плоскости, ортогональной её распространению.
При изменении расстоянияr’
от препятствия до точки приема
интенсивность поля
в точкеO’ будет испытывать
осцилляции. Область распространения
волны, в которой параметр
называется зоной дифракции Френеля.
Область параметра
называется зонойгеометрической
оптики. Дифракция при значениях
параметра
носит название дифракции Фраунгофера.
studfiles.net
ИНТЕРФЕРЕНЦИЯ, ДИФРАКЦИЯ И ПОЛЯРИЗАЦИЯ ВОЛН — Мегаобучалка
Принцип суперпозиции. Наблюдения за распространением волн на поверхности воды от двух или большего числа источников показывают, что волны проходят одна через другую, совершенно не влияя друг на друга. Точно так же не влияют друг на друга и звуковые волны. Когда играет оркестр, то звуки от каждого инструмента приходят к нам точно такими же, как если бы играл отдельно каждый инструмент.
Этот экспериментально установленный факт объясняется тем, что в пределах упругой деформации сжатие или растяжение тел вдоль одного направления не влияет на их упругие свойства при деформации по любым другим направлениям. Поэтому в каждой точке, которой достигают волны от разных источников, результат действия нескольких волн в любой момент времени равен сумме результатов действия каждой волны в отдельности. Эта закономерность называется принципом суперпозиции.
Интерференция волн. Для более глубокого понимания содержания принципа суперпозиции проделаем следующий опыт.
В волновой ванне с помощью вибратора с двумя стержнями создадим два точечных источника волн с одинаковой частотой колебаний. Наблюдения показывают, что в этом случае в волновой ванне возникает особая картина распространения волн. На водной поверхности выделяются полосы, где колебания отсутствуют (рис. 226).
Рис. 226
Подобное явление можно обнаружить в опытах со звуковыми волнами. Установим два динамических громкоговорителя и подключим их к выходу одного звукового генератора. Перемещаясь на небольшие расстояния в классной комнате, на слух можно обнаружить, что в одних точках пространства звучание громкое, а в других – тихое. Звуковые волны от двух источников в одних точках пространства усиливают, а в других ослабляют друг друга (рис. 227).
Рис. 227
Явление увеличения или уменьшения амплитуды результирующей волны при сложении двух или нескольких волн с одинаковыми периодами колебаний называется интерференцией волн.
Явление интерференции волн не противоречит принципу суперпозиции. В точках с нулевой амплитудой колебаний две встречающиеся волны не “гасят” друг друга, обе они без изменений распространяются далее.
Условия интерференционного минимума и максимума. Амплитуда колебаний равна нулю в тех точках пространства, в которые волны с одинаковыми амплитудой и частотой приходят со сдвигом по фазе колебаний на или на половину периода колебаний. При одинаковом законе колебаний двух источников волн различие на половину периода колебаний будет при условии, что разность расстояний и от источников волн до этой точки равна половине длины волны:
или нечетному числу полуволн:
.
Разность называется разностью хода интерферирующих волн, а условие
(65.1)
называется условием интерференционного минимума.
Интерференционные максимумы наблюдаются в точках пространства, в которые волны приходят с одинаковой фазой колебаний. При одинаковом законе колебаний двух источников для выполнения этого условия разность хода должна равняться целому числу волн:
. (65.2)
Когерентность. Интерференция волн возможна только при выполнении условия когерентности. Слово “когерентность” означает согласованность. Когерентными называются колебания с одинаковой частотой и постоянной во времени разностью фаз.
Интерференция и закон сохранения энергии. Куда исчезает энергия двух волн в местах интерференционных минимумов? Если рассматривать только одно место встречи двух волн, то на такой вопрос нельзя дать правильный ответ. Распространение волн не является совокупностью независимых процессов колебаний в отдельных точках пространства. Сущность волнового процесса заключается в передаче энергии колебаний от одной точки пространства к другой и т.д. При интерференции волн в местах интерференционных минимумов энергия результирующих колебаний действительно меньше суммы энергий двух интерферирующих волн. Зато в местах интерференционных максимумов энергия результирующих колебаний превышает сумму энергий интерферирующих волн ровно на столько, на сколько уменьшилась энергия в местах интерференционных минимумов. При интерференции волн энергия колебаний перераспределяется в пространстве, но при этом закон сохранения энергии строго выполняется.
Дифракция волн. Если уменьшать размеры отверстия в преграде на пути волны, то, чем меньше будут размеры отверстия, тем большие отклонения от прямолинейного направления распространения будут испытывать волны (рис. 228,а,б). Отклонение направления распространения волн от прямолинейного у границы преграды называется дифракцией волн.
Рис. 228
Для наблюдения дифракции звуковых волн подключим громкоговорители к выходу звукового генератора и поставим на пути распространения звуковых волн экран из материала, поглощающего звуковые волны. Передвигая за экраном микрофон, можно обнаружить, что звуковые волны регистрируются и за краем экрана. Изменяя частоту звуковых колебаний и тем самым длину звуковых волн, можно установить, что явление дифракции становится более заметным при увеличении длины волны.
Дифракция волн происходит при их встрече с преградой любой формы и любых размеров. Обычно при больших по сравнению с длиной волны размерах препятствия или отверстия в преграде дифракция волн мало заметна. Наиболее отчетливо дифракция проявляется при прохождении волн через отверстие с размерами порядка длины волны или при встрече с препятствиями таких же размеров. При достаточно больших расстояниях между источником волн, преградой и местом наблюдения волн дифракционные явления могут иметь место и при больших размерах отверстия или преграды.
Принцип Гюйгенса – Френеля. Качественное объяснение явления дифракции можно дать на основе принципа Гюйгенса. Однако принцип Гюйгенса не может объяснить всех особенностей распространения волн. Доставим на пути плоских волн в волновой ванне преграду с широким отверстием. Опыт показывает, что волны проходят через отверстие и распространяются по первоначальному направлению луча. В остальных направлениях волны от отверстия не распространяются. Это противоречит принципу Гюйгенса, согласно которому вторичные волны должны распространяться во все стороны от точек, которых достигла первичная волна.
Поставим на пути волн широкую преграду. Опыт показывает, что за преграду волны не распространяются, что опять противоречит принципу Гюйгенса. Для объяснения явлений, наблюдаемых при встрече волн с преградами, французский физик Огюстен Френель (1788-1827) в 1815 г. дополнил принцип Гюйгенса представлениями о когерентности вторичных волн и их интерференции. Отсутствие волн в стороне от направления луча первичной волны за широким отверстием согласно принципу Гюйгенса – Френеля объясняется тем, что вторичные когерентные волны, испускаемые разными участками отверстия, интерферируют между собой. Волны отсутствуют в тех местах, в которых для вторичных волн от разных участков выполняются условия интерференционных минимумов.
Поляризация волн. Явления интерференции и дифракции наблюдаются как при распространении продольных, так и поперечных волн. Однако поперечные волны обладают одним свойством, которым не обладают продольные волны, – свойством поляризации.
Поляризованной волной называется такая поперечная волна, в которой колебания всех частиц происходят в одной плоскости. Плоскополяризованная волна в резиновом шнуре получается при колебаниях конца шнура в одной плоскости. Если же конец шнура колеблется в различных направлениях, то волна, распространяющаяся вдоль шнура, не поляризована.
Поляризацию этой волны можно осуществить, поставив на ее пути преграду с отверстием в виде узкой щели. Щель пропускает только колебания шнура, происходящие вдоль нее. Поэтому волна после прохождения щели становится поляризованной в плоскости щели (рис. 229). Если далее на пути плоскополяризованной волны поставить вторую щель параллельно первой, то волна свободно проходит через нее. Поворот второй щели по отношению к первой на 90° останавливает процесс распространения волны в шнуре.
Рис. 229
Устройство, выделяющее из всех возможных колебания, происходящие в одной плоскости (первая щель), называется поляризатором. Устройство, позволяющее определить плоскость поляризации волны (вторая щель), называется анализатором.
megaobuchalka.ru
Явления интерференции и дифракции

УПРАВЛЕНИЕ ОБРАЗОВАНИЯ И НАУКИ ЛУГАНСКОЙ ОБЛАСТНОЙ ГОСУДАРСТВЕННОЙ АДМИНИСТРАЦИИ
КУ “ЛУГАНСКАЯ ОБЛАСТНАЯ МАЛАЯ АКАДЕМИЯ НАУК УЧАЩЕЙСЯ МОЛОДЕЖИ”
автор – составитель : А. С. Воронкин
ЯВЛЕНИЯ ИНТЕРФЕРЕНЦИИ И ДИФРАКЦИИ
Луганск – 201 3

Тема V .
ЯВЛЕНИЯ ИНТЕРФЕРЕНЦИИ И ДИФРАКЦИИ
План
5 .1. Явление интерференции
5. 2 . Сложение гармонических колебаний одного направления с близкими частотами. Биения
5.3. Дифракция звуковых волн

5.1 . Явление интерференции
Нередки случаи, когда система одновременно участвует в двух или нескольких независимых друг от друга колебаниях. В этих случаях образуется сложное колебательное движение, которое создается путем наложения (сложения) колебаний друг на друга.
Наблюдения за распространением волн на поверхности воды от двух или большего числа источников показывают, что волны проходят одна через другую, совершенно не влияя друг на друга .
Точно так же не влияют друг на друга и звуковые волны : распространение звука от любого источника не испытывает никакого влияния со стороны других звуковых волн, как угодно распространяющихся в это время через те же области среды.

Принцип суперпозиции ( принцип наложения волн )
Это объясняется тем, что в пределах упругой деформации сжатие или растяжение тел вдоль одного направления не влияет на их упругие свойства при деформации по любым другим направлениям .
Поэтому в каждой точке, которой достигают волны от разных источников, результат действия нескольких волн в любой момент времени равен сумме результатов действия каждой волны в отдельности . Эта закономерность называется принципом суперпозиции.
Принцип суперпозиции: при распространении в линейной среде нескольких волн каждая из них распространяется так, как будто другие волны отсутствуют, а результирующее смещение частиц среды в любой момент времени равно геометрической сумме смещений, которые получают частицы, участвующие в каждом из слагающих волновых процессов.

Допустим, мы имеем три синусоидальных волны с различными амплитудами и частотами в струне с заданным натяжением.
В любой момент времени результирующая амплитуда волны представляет собой алгебраическую сумму амплитуд отдельных волн в этой точке в данный момент времени. Колебания уже не являются простыми синусоидальными, а волна называется сложной волной.
Результирующая волна x(t) образуется из трех синусоидальных волн с различными амплитудами и частотами
Суперпозиция волн , мало отличающихся друг от друга по частоте, называется волновым пакетом или группой волн .

Интерференция от двух монохроматических источников одинаковой частоты
Интерференция (от лат. i nter – взаимно, ferio – ударяю) – взаимное усиление или ослабление двух (или большего числа) волн при их наложении друг на друга при одновременном распространении в пространстве.
Интерференция волн возможна только при выполнении условия когерентности.
Волны называются когерентными , если разность их фаз остается постоянной во времени. Очевидно, что когерентными могут быть лишь волны, имеющие одинаковую частоту.
В 1802 г. Томас Юнг при помощи волновой ванны открыл интерференцию.

Проведем следующую демонстрацию: в волновой ванне при помощи вибратора с двумя механически жестко связанными стержнями создадим два точечных источника волн . Вибратор с определенной частотой будет осуществлять возвратно-поступательное движение (в вертикальной плоскости) при помощи электродвигателя. Причем глубина воды в волновой ванне должна превышать создаваемую длину волны λ .
Наблюдения показывают, что в этом случае в волновой ванне возникает особая картина распространения волн – на водной поверхности выделяются полосы, где колебания отсутствуют. Другими словами, волновое поле разделяется интерференционными полосами.

а б
Две волны встречаются в точке А гребнями – возмущение поверхности воды усиливается (а), гребень одной волны встречается с впадиной другой – в точке А поверхность воды не возмущена
http://www.physicsclassroom.com/mmedia/waves/ipl.cfm

Если оба колеблющихся стержня не будут связаны между собой, а будут приводиться в движение двумя вибраторами независимо друг от друга с близкими частотами, то интерференционные полосы начнут перемещаться . При этом они достигают в периодической последовательности положений, которые перед этим занимали соседние полосы.
Явление интерференции можно обнаружить в опытах и со звуковыми волнами . Установим два динамических громкоговорителя и подключим их к выходу одного звукового тон-генератора.
Перемещаясь на небольшие расстояния в комнате, на слух можно обнаружить, что в одних точках пространства звучание более громкое, а в других – более тихое. Звуковые волны от двух источников в одних точках пространства усиливают, а в других ослабляют друг друга.

Еще один прибор для демонстрации интерференции звука представлен на рисунке ниже. В самом начале прибор имеет два одинаковых – верхний и нижний звукопровода. Затем нижний звукопровод удлиняют. При
l= υ /4f
( υ – скорость звука в воздухе, f – частота звука, поступающего из динамика A ) звучание из рупора B максимально ослабится.

Условия образования максимумов и минимумов интерференции
Итак, при наложении в пространстве двух (или нескольких) когерентных волн в разных его точках получается усиление или ослабление результирующей волны в зависимости от соотношения между фазами этих волн. Это явление называется интерференцией волн .
Точки пространства, в которых наблюдается максимальное усиление колебаний, называются интерференционными максимумами .
Точки пространства, в которых наблюдается максимальное ослабление колебаний, называются интерференционными минимумами .
I 1 и I 2 – когерентные источники ,
А – точка наблюдения ,
r 1 , r 2 – расстояния, проходимые волнами от источников до точки наблюдения ,
∆ r – называется геометрической разностью хода .

Если на разности хода двух когерентных волн до некоторой точки укладывается целое число длин волн , то в этой точке наблюдается интерференционный максимум :
где k = 0,1,2,3…
Если укладывается нечетное число полуволн , то наблюдается интерференционный минимум :
где k = 0,1,2,3…
Указанные точки образуют два семейства гипербол , причем между каждой парой гипербол, соответствующих точкам с максимальной амплитудой колебаний, находится гипербола из другого семейства, во всех точках которой колебания отсутствуют .

Интерференция и закон сохранения энергии
Куда исчезает энергия двух волн в местах интерференционных минимумов?
Если рассматривать только одно место встречи двух волн, то на такой вопрос нельзя дать правильный ответ. Распространение волн не является совокупностью независимых процессов колебаний в отдельных точках пространства. Сущность волнового процесса заключается в передаче энергии колебаний от одной точки пространства к другой и т. д.
При интерференции волн в местах интерференционных минимумов энергия результирующих колебаний действительно меньше суммы энергий двух интерферирующих волн. Зато в местах интерференционных максимумов энергия результирующих колебаний превышает сумму энергий интерферирующих волн ровно на столько, на сколько уменьшилась энергия в местах интерференционных минимумов.
При интерференции волн энергия колебаний перераспределяется в пространстве, но при этом закон сохранения энергии строго выполняется.

5.2 . Сложение гармонических колебаний одного направления с близкими частотами. Биения
Биения – это колебания с периодически уменьшающейся и увеличивающейся амплитудой, возникающие при сложении двух колебаний одного направления с близкими, но не кратными частотами .
Частота изменения амплитуды суммарного сигнала равна разности частот двух исходных сигналов.
Сложим два гармонических колебания с равными амплитудами и начальными фазами равными нулю, учитывая, что Δω
Получившееся выражение, является произведением двух колебаний и описывает гармоническое колебание с частотой ω и амплитудой x б , изменяющейся по периодическому закону

Частота биений равна разности частот складываемых колебаний ω б =Δω. Период биений :
Биения возникают потому, что один из двух сигналов постоянно отстаёт от другого по фазе и в те моменты, когда колебания происходят синфазно, суммарный сигнал оказывается усиленным, а в те моменты, когда два сигнала оказываются в противофазе, они взаимно гасят друг друга.
Эти моменты периодически сменяют друг друга, по мере того как нарастает отставание.
http://www.kettering.edu/physics/drussell/Demos/superposition/ superposition.html

Возьмем два одинаковых камертона с одинаковыми собственными частотами. Вызовем колебания первого и второго камертонов одновременно. При сложении таких гармонических волн также получится гармоническая волна, при этом уровень громкости звука не меняется (амплитуда постоянна) – камертоны звучат в унисон .

На конце ветви одного из камертонов прикрепим перегрузок, тем самым уменьшим частоту свободных колебаний (теперь частоты камертонов отличаются). Заставим звучать оба камертона одновременно.
Звуковые волны, исходящие из двух источников, интерферируют между собой, и уровень громкости звука поочередно то возрастает, то уменьшается . Это и есть биения.
При увеличении массы перегрузка, еще сильнее уменьшим собственную частоту камертона – частота биений увеличиться.

Подобное явление будем наблюдать и в том случае, когда камертоны заменим двумя электронными генераторами гармонических колебаний. Сигналы одновременно подадим на два различных громкоговорителя.
При “ смешивании ” электрических сигналов и подачи их в один громкоговоритель также услышим биения.
Это указывает на то, что при сложении тонов электрически и акустически – результат один и тот же.

Биения звука можно услышать при настройке струнного музыкального инструмента по камертону (стандартный камертон издает ноту «ля» 1 – ой октавы с частотой 440 Гц). Если частота струны незначительно отличается от частоты камертона, то слышно, что звук пульсирует. Струну подтягивают или ослабляют так, чтобы частота биений уменьшалась. При совпадении высоты звука с эталонным биения полностью исчезают.
Наличием биений также объясняется дребезжащий звук расстроенного фортепиано .
Высокие звуки в этом инструменте излучаются не одной струной, а несколькими, одновременно звучащими в унисон. Если какая-то струна колеблется не с той частотой, что остальные, то появляются биения, которые слушатели воспринимают как дребезжание.

5 . 3. Дифракция волн
Если на пути распространения волны встречается какое-либо тело, то это приводит к появлению эффекта огибания волнами препятствия. Такое явление в физике называется дифракцией . Дифракция волн происходит при их встрече с преградой любой формы.
Степень огибания зависит от соотношения между длиной волны и размерами препятствия или отверстия.
Пусть на поверхности воды распространяется плоская волна, созданная пластиной, закрепленной на электромагнитном вибраторе. На пути этой волны находится преграда с щелью, размер которой a сравним с длиной волны λ (т.е. a = λ ).

Волна, дошедшая до преграды, отразится от нее, а отверстие в преграде будет служить источником колебаний, которые распространяются по другую сторону преграды.
Дифракция круговой волны на узкой щели в стенке
За отверстием независимо от формы исходной волны будут распространяться полукольцевые волны (щель как будто сама является источником колебаний).
Увеличение размера отверстия в преграде на пути волны
Чем больше размеры отверстия в преграде на пути волны, тем меньшие отклонения от прямолинейного направления распространения будут испытывать волны .

Дифракция звуковых волн
Для наблюдения дифракции звуковых волн подключим громкоговоритель к выходу звукового генератора и поставим на пути распространения звуковых волн экран из материала, поглощающего звуковые волны. Передвигая за экраном микрофон, можно обнаружить, что звуковые волны регистрируются и за краем экрана. Изменяя частоту звуковых колебаний и тем самым длину звуковых волн, можно установить, что явление дифракции становится более заметным при увеличении длины волны.
Если размеры препятствия намного больше длины волны, то звук отражается, а позади препятствия формируется зона акустической тени .
Однако п ри достаточно больших расстояниях между источником волн, преградой и местом наблюдения волн дифракционные явления могут иметь место и при больших размерах отверстия или преграды.

Почему при распространении звуки низкой частоты преодолевают большие расстояния, нежели высокие ?
Объясняется дифракцией волн
Как известно, человеческое ухо воспринимает упругие волны в интервале частот от 20 Гц до 20 кГц. Этот интервал в воздухе соответствует следующим длинам волн .
Длина волны на частоте 20 кГц :
м.
м.
Длина волны на частоте 20 Гц :

Принцип Гюйгенса
Явление дифракции объясняется с помощью принципа Гюйгенса , согласно которому каждая точка, до которой доходит волна, служит центром вторичных волн, а огибающая этих волн задает положение волнового фронта в следующий момент времени.
Принцип Гюйгенса решает лишь задачу о направлении распространения волнового фронта, но не затрагивает вопроса об амплитуде, а, следовательно, и об интенсивности волн, распространяющихся по разным направлениям .
Френель вложил в принцип Гюйгенса физический смысл, дополнив его идеей интерференции вторичных волн .

Демонстрация принципа Гюйгенса-Френеля
Волновая ванна наполняется водой и делится поперечной стенкой на две части. В стенке делается несколько узких отверстий.
При ритмичном колебании пластинки, расположенной параллельно стенке, создается плоский волновой фронт. Каждую щель можно рассматривать как отдельный источник когерентных колебаний.
Во вторую часть сосуда проходят через отверстия круговые волны (элементарные волны Гюйгенса), интерферирующие от всех источников.

Поверхность компакт-диска представляет собой рельефную спиральную дорожку на поверхности полимера, шаг которой соизмерим с длиной волны видимого света. На такой упорядоченной и мелкоструктурной поверхности должны проявляться дифракционные и интерференционные явления. Это и является причиной радужной окраски бликов компакт-диска, наблюдаемых в белом свете.
Как объяснить тот факт, что звуки, представляющие собой суперпозицию волн разной частоты, резкие вблизи источника излучения, по мере удаления от него становятся более глухими и низкими?
Источники
- Воронкин А.С. Линейные колебания и волны: Введение в акустику : уч. пособ. А. С. Воронкин. – Луганск : СПД Рєзніков В.С., 2012. – 224 с. Арабаджи В. Дифракционная окраска насекомых / В. Арабаджи // Научно-популярный физико-математический журнал «Квант», 1991. – №2. – С.18–19. Духовнер А. Об интерференции, дельфинах и летучих мышах / А. Духовнер, А. Решетов, Л. Решетов // Научно-популярный физико-математический журнал «Квант», 1991. – №5. – С. 18–22. Мякишев Г. Я. Физика: Колебания и волны. 11 кл. / Г. Я. Мякишев, А. 3. Синяков. – М. : Дрофа, 2002. – 288 с. Стрелков С. П. Общий курс физики: Механика / С. П. Стрелков. – М. : Наука, 1975, 560 с. Физика. Оптика и волны / под ред. А. С. Ахматова. – М. : Наука, 1973. – Ч. II . – 400 c . Интернет-ресурсы
- Воронкин А.С. Линейные колебания и волны: Введение в акустику : уч. пособ. А. С. Воронкин. – Луганск : СПД Рєзніков В.С., 2012. – 224 с.
- Арабаджи В. Дифракционная окраска насекомых / В. Арабаджи // Научно-популярный физико-математический журнал «Квант», 1991. – №2. – С.18–19.
- Духовнер А. Об интерференции, дельфинах и летучих мышах / А. Духовнер, А. Решетов, Л. Решетов // Научно-популярный физико-математический журнал «Квант», 1991. – №5. – С. 18–22.
- Мякишев Г. Я. Физика: Колебания и волны. 11 кл. / Г. Я. Мякишев, А. 3. Синяков. – М. : Дрофа, 2002. – 288 с.
- Стрелков С. П. Общий курс физики: Механика / С. П. Стрелков. – М. : Наука, 1975, 560 с.
- Физика. Оптика и волны / под ред. А. С. Ахматова. – М. : Наука, 1973. – Ч. II . – 400 c .
- Интернет-ресурсы
videouroki.net
Физическая оптика. Элементы квантовой фзики — § 1. Интерференция и дифракция волн — Phystech.Academy
А. Наложение двух или нескольких волн, при котором образуется устойчивое перераспределение в пространстве энергии результирующих колебаний, называют интерференцией.
Наблюдать такую устойчивую картину можно только тогда, когда разность фаз складывающихся колебаний в каждой точке пространства не зависит от времени. О таких волнах говорят, что они когерентны. Когерентные волны должны иметь одинаковую частоту (длину волны).
Если вдоль оси `X` распространяются две волны одинаковой природы (две волны на поверхности воды, две звуковые волны, две световые волны) `y_1(x,t)=A_1cos(omegat-kx)` и `y_2(x,t)=A_2cos(omegat-kx+delta)`, то в результирующей волне имеем `y(x,t)=y_1(x,t)+y_2(x,t)`. Это не есть просто определение результирующей волны. Последняя формула выражает собой экспериментальный факт и называется принципом суперпозиции. Величину называют циклической частотой; она связана с обычной частотой `nu` (другое часто встречаемое обозначение `f`) и периодом колебаний `T` соотношением
`omega=2pinu=2pif=2pi//T`. (1.1)
Величина `k`, называемая волновым числом, связана с длиной волны в среде `lambda` аналогичным соотношением
`k=2pi//lambda`. (1.2)
В свою очередь, частота `nu` и длина волны `lambda` связаны друг с другом и со скоростью `v` волн в среде соотношением
`v*T=v//nu=lambda`. (1.3)
При переходе волны из одной среды в другую частота остаётся неизменной – изменяются скорость распространения волны и длина волны. В случае электромагнитных волн (в частности, света) при переходе волны из вакуума в среду с показателем преломления `n` имеем:
`v=c//n`, (1.4)
где `c` – скорость света в вакууме (примерно `300 000` км/с),
`lambda=(c//n)/nu=(c//nu)/n=(lambda_0)/n`, (1.5)
где `lambda_0` – длина электромагнитной волны в вакууме. К сожалению, индекс `«0»` часто опускают, и бывает непонятно, о какой длине волны говорят – в вакууме или в среде. В случае воздуха показатель преломления для электромагнитных волн в широком диапазоне частот близок к единице, поэтому величины `lambda_0` и `lambda` также близки друг к другу. Впрочем, для радиоволн в ионосфере это уже не так.
Для расчёта фазы волны при прохождении в среде с показателем преломления `n` расстояния `l` вводят понятие оптической длины пути
`l_”опт”=nl`, (1.6)
`y(l,t)=Acos(omegat-kl)=Acos(omegat-(2pi)/lambda l)=`
`=Acos(omegat-(2pi)/lambda_0 nl)=Acos(omegat-(2pi)/lambda_0 l_”опт”)`.
Если две волны одинаковой частоты двигались в разных средах, то частота `omega` и длина волны `lambda_0` в вакууме у них будут одинаковыми; разность фаз `Deltavarphi` для волн может «набежать», однако, за счёт разных оптических длин:
`Deltavarphi=omegat-(2pi)/lambda_0 l_(“опт”1)-(omegat-(2pi)/lambda_0 l_(“опт”2))=(2pi)/lambda_0(l_(“опт”1)-l_(“опт”2))`. (1.7)
Обычные длины при этом могут быть равны друг другу.
В случае, например, звуковых волн или электромагнитных волн большой длины волны (радиодиапазон) построить разные источники волн, дающие когерентные друг с другом волны, сравнительно несложно. Ситуация не такая простая для электромагнитных волн видимого диапазона (длины волн порядка микрометра). Только с появлением лазеров ситуация упростилась. До этого чаще всего с помощью линз и зеркал делали два (или больше) мнимых источника света, каждый из которых был изображением некоего (одного и того же!) действительного источника света. (Редкое исключение – опыт Юнга с двумя щелями.) Именно то, что мнимые источники были изображениями одного и того же действительного источника, делало их когерентными почти автоматически. (К сожалению, даже в этом случае при большой разности оптических длин для мнимых источников когерентность разрушается.)
Интерференция света – одно из проявлений того, что свет представляет собой волновой процесс, в котором колеблются векторы напряжённости электрического и магнитного полей. Поскольку эти две величины в волне не независимы, но связаны друг с другом (неким соотношением), можно рассуждать о колебаниях, например, только напряжённости электрического поля: `vecE(x,t)=vecE_0cos(omegat-kx-varphi_0)`. Интерференцию (и дифракцию) света учёные считают прямым доказательством того, что свет – это волна (или суперпозиция волн). Рассмотрение света в виде потока частиц (Ньютон) не смогло объяснить названных явлений.
Интерференция света наблюдается при наложении двух или нескольких световых пучков при условии когерентности волн. При этом интенсивность света в области перекрытия пучков имеет характер чередующихся светлых и тёмных полос, причём в максимумах интенсивность больше, а в минимумах – меньше суммы интенсивностей пучков. При использовании белого света интерференционные полосы оказываются окрашенными в различные цвета спектра. С интерференционными явлениями мы сталкиваемся довольно часто: цвета масляных пятен на асфальте, окраска замерзающих оконных стёкол, рисунки на крыльях некоторых бабочек и жуков – всё это проявление интерференции света.
При сложении двух когерентных волн амплитуда в данной точке пространства будет максимальной, если колебания происходят синфазно (в точку одновременно приходят горбы двух волн или одновременно две впадины), и будет в данной точке минимальной, когда волны приходят в неё в противофазе (от одной из волн приходит горб, а от другой – впадина).
В световой волне видимого диапазона (от `0,4` до `0,8` мкм) напряжённость электрического поля колеблется с частотами порядка `(4-:8)xx10^(14)` `1//`сек. Ни человеческий глаз, ни самые совершенные приборы не способны уследить за такими быстрыми изменениями поля световой волны. Все они реагируют на некие средние величины поля – средние за достаточно большой промежуток времени `tau` (много больший периода колебаний, `tau> >T`).
Скажем об этом чуть подробней. В математике под средним значением переменной величины `y(t)` за время `tau` понимают величину
`bary=1/tauint_0^tau y(t)dt`. (1.8)
При этом среднее от константы равно самой этой константе: `1/tauint_0^tau “const”*dt=”const”*1/tauint_0^taudt=”const”*1/tau*tau=”const”`. Для нас наибольший интерес представляют периодические функции. Среднее значение, например, косинуса (или синуса) будет близко к нулю. В самом деле, `bar(cosomegat)=1/tauint_0^taucosomegat*dt=(sinomegatau)/(omegatau)=T/tau*(sinomegatau)/(2pi)`, что при малом отношении `T//tau` есть малая величина. Однако среднее от квадрата косинуса уже не есть малая величина:
`bar(cos^2omegat)=1/tauint_0^taucos^2omegat*dt=1/(2tau)int_0^tau(1+cos2omegat)*dt=`
`=1/(2tau)*tau+1/(2tau)*(sin2omegatau)/(2omega)=1/2+T/tau*(sin2omegatau)/(4pi)~~1/2`
(вторым слагаемым пренебрегаем). В 1-м случае косинус одинаково часто принимает то положительные, то отрицательные значения, а в среднем – нуль. Квадрат же косинуса всегда не отрицателен, а площадь под кривой `y(t)=cos^2omegat` при `T> >tau` равна примерно половине площади прямоугольника под прямой `y= 1`.
Счастливым образом наш глаз (и современные приборы) реагируют не на среднее поле в световой волне (оно равно нулю), а на среднее от квадрата поля, которое называют интенсивностью волны:
`I=bar(E^2)`. (1.9)
Среднему же от квадрата поля пропорциональны плотность энергии в волне и поток энергии в ней.
В случае интерференции двух волн `y_1(t)=A_1cos(omegat+varphi_1)` и `y_2(t)=A_2cos(omegat+varphi_2)` имеем:
`bar(y_1^2)=(A_1^2)/2-=I_1`, `bar(y_2^2)=(A_2^2)/2-= I_2`;
`y(x,t)=y_1(x,t)+y_2(x,t)`.
Для интенсивности в суммарной волне тогда получаем формулу:
`I=bar(y^2(x,t))=(A_1^2)/2+(A_2^2)/2+2A_1A_2*bar(cos(omegat+varphi_1)*cos(omegat+varphi_2))=`
`=I_1+I_2+sqrt(2I_1)*sqrt(2I_2)*bar((cos(varphi_1-varphi_2)+cos(2omegat+varphi_1+varphi_2)))=`
`=I_1+I_2+2sqrt(I_1I_2)*cos(varphi_1-varphi_2)`.
Если `varphi_1=-kx_1` и `varphi_2=-kx_2` то
`I=I_1+I_2+2sqrt(I_1I_2)*coskDelta`, (1.10)
где `Delta=|x_1-x_2|` – так называемая разность хода. В более общем случае, когда две волны приходят в точку, пройдя по средам с разными показателями преломления, волновые числа `k` будут разными, – и требуется рассчитывать разность оптических длин.
Две антенны `A` и `B` излучают радиоволны на частоте `f=3` МГц в фазе друг с другом. Расстояние между ними `|AB|=L=200` м. На каком минимальном расстоянии `l=|BC|` интенсивность сигнала минимальна, если `BC_|_AB`. Ослаблением сигналов при удалении от станций пренебречь.
`lambda=c//f=100` м. Чтобы в точке `C` наблюдался интерференционный минимум:, нужно, чтобы сигналы от антенн в эту точку приходили в противофазе (от одной антенны приходил «горб», а от другой «впадина»), т. е. разность расстояний от антенн до т. `C` должно равняться полуцелому числу длин волн излучения: `sqrt(L^2+l^2)-l=(m+1/2)lambda(m>=0)`. С учётом равенства `L = 2lambda` получаем `l=(4/(2m+1)-(2m+1)/4)lambda`. В силу положительности длины `l > 0` имеем `4 > 2m+1`, или `m<3//2`, т. е. возможные значения `m:` `0` и `1`. В первом случае `l = 3,74lambda= 375` м, при `m = 1` получаем меньшее значение `l=7/12lambda~~58` м.
Во многих оптических приборах для уменьшения потерь на отражение поверхности линз покрывают тон-кой пленкой фторида магния `(“MgF”_2)`, показатель преломления которого `n_2=1,38` (показатель преломления стекла `n_3=1,50`). Пусть на стекло перпендикулярно поверхности падает видимый свет с длиной волны `lambda=0,550` мкм. При какой минимальной толщине `L` покрытия отражение света вследствие интерференции волн резко ослабнет?
Отражённый свет ослабляется вследствие интерференции волн – волны, отражённой от наружной поверхности пленки (1), и волны, отражённой от поверхности стекла и затем вышедшей из плёнки (2) (рис. 1).
(Наклонное падение изображено для того, чтобы избежать наложения друг на друга разных линий.)
Разность оптических длин в этом случае равна `2L n_2` (множитель `«2»` появился из-за того, что свету, прежде чем выйти из плёнки, нужно дойти до стекла и обратно). Для ослабления волн необходимо, чтобы на выходе из плёнки разность фаз равнялась `pi` плюс число, кратное `2pi`/ На языке длин волн это означает:
`2L n_2=lambda//2+mlambda`.
В данном примере длина волны `lambda=0,550` мкм – это длина волны в вакууме или в воздухе (то, что раньше обозначалось как `lambda_0`: длина волны в стекле при этом буде равна `lambda//(1,5)`, а в плёнке фторида магния – `lambda//(1,38)`). Отсюда получаем `L_min=lambda/(4n_2)~~99,6` нм (для сравнения: характерный размер большинства атомов порядка `0,1` нм).

Нами не было доказано, что амплитуда волны, вышедшей из плёнки (но дошедшей сначала до стекла и отразившейся), равна амплитуде волны, сразу отраженной от плёнки. Для того чтобы две волны погасили друг друга, необходимо, чтобы они были в противофазе (это мы учли), но нужно ещё, чтобы их амплитуды были равны друг другу. Последнее, однако, не было доказано (это выходит за рамки школьной физики).
Оказывается, что при отражении от оптически более плотной среды происходит скачкообразное изменение фазы волны на `pi`. Доказательство этого также выходит за рамки школьной программы. К счастью, в данном примере обе волны отражались от оптически более плотной среды, и каждая из них получила сдвиг по фазе на одно и то же значение `pi`.
Корректный расчёт требует рассмотрения многократных отражений волны, прошедшей в плёнку. Эта волна, дойдя до стекла, частично отразится, но частично пройдёт в него (для целей просветления оптики нужно, конечно, чтобы проходило как можно больше света). Отразившаяся от стекла волна лишь частично выйдет наружу: частично она отразится от внутренней поверхности плёнки и направится снова к стеклу и т. д.*
Б. Явление дифракции волн (не обязательно – только световых) есть проявление интерференции вторичных волн от воображаемых источников, расположенных на волновых фронтах в любые предыдущие моменты времени (принцип Гюйгенса –Френеля). Гюйгенс впервые стал рассуждать о вторичных источниках волн, Френель же впервые применил к ним соображения интерференции волн. Разумеется, интерференция волн от бесконечного числа воображаемых источников – совсем не простая вещь, а теория этого явления есть сложная математическая теория – сложнее, чем теория интерференции волн всего от двух источников! Тем более удивительно, что для практически важного оптического прибора, дифракционной решётки, можно написать простую формулу для положения главных максимумов.
![]() |
Пусть на дифракционную решётку в виде плоскости с многочисленными регулярно изготовленными параллельными друг другу щелями перпендикулярно решётке падает свет с длиной волны `lambda`. За решёткой параллельно решётке ставят линзу, в фокальной плоскости которой помещают экран, параллельный плоскости решётки (рис. 2). Каждая щель представляет собой источник вторичных волн. На экране видят сложную картину, состоящую из очень узких полос (тем уже, чем больше штрихов `N` у решётки). Некоторые из полос будут очень яркими (главные максимумы), некоторые слабо заметными, будут и тёмные полосы. Направления на главные максимумы определяются формулой
`dsinvarphi=mlambda`, (1.11)
где `m = 0,+-1,+-2, …` – так называемый порядок дифракции, `d` – период решётки (не ширина щелей!). Зная период решётки `d`, и измеряя угол `varphi` на `m`-й главный максимум, можно определить длину волны. Бывает и наоборот: зная длину волны света, находят период решётки.
Чем больше щелей содержит решётка, тем более узкими будут главные максимумы. Угловое расстояние между соседними тёмными полосами (эта величина совпадает с шириной главных максимумов) равна
`deltavarphi=lambda/(Ndcosvarphi)`, (1.12)
где `varphi` даёт направление на соответствующий максимум в дифракционной картине. Узость дифракционных максимумов от дифракционной решётки поз-воляет использовать её в качестве спектрального прибора. Пусть на решётку последовательно падал свет, например, жёлтого цвета, но с двумя слегка разными длинами волн. На глаз мы можем порой и не сказать, отличаются эти два жёлтых цвета друг от друга или нет. Но положения их дифракционных максимумов будут существенно разными, а вследствие узости полос – легко отличимыми друг от друга.
Для излучения некоторой длины волны дифракционный максимум первого порядка наблюдается под углом `varphi_1=8,5^@`. Какой угол дифракции соответствует последнему максимуму для той же длины волны?
Пусть `m` – последний порядок дифракции. Согласно (1.11) имеем систему двух уравнений `dsinvarphi_m=mlambda` (*) и `dsinvarphi_1=lambda` (**). Деля одно уравнение на другое (при этом сокращаются неизвестные величины – период решётки `d` и длина волны `lambda`), получаем `sinvarphi_m=msinvarphi_1` (***). Последний порядок дифракции `m` определятся из условия `|sinvarphi_m|<=1` отсюда находим `|m|<=1/(sinvarphi_1)~~6,8` или с учётом целочисленности `m`: `|m|<=6`. Тогда в силу (***): `sinvarphi_6=6sin8,5^@~~0,887`, а сам угол `varphi_6~~62,5^@`.
Линии в спектре водорода имеют длину волны `lambda_1=656,45` нм, а дейтерия – `lambda_2=656,72` нм. Какое число штрихов должна иметь дифрак-ционная решётка, чтобы эти линии в спектре 3-го порядка были различимы?
Из условия (1.11) `dsinvarphi=mlambda` при `m=3` находим угловое расстояние между главными максимумами `Deltavarphi` для разных длин волн: `d*cosvarphi*Deltavarphi=3(lambda_2-lambda_1)`, или `Deltavarphi=(3(lambda_2-lambda_1))/(d*cosvarphi)`. Для того чтобы линии были различимы, угловое расстояние между полосами одного и того же порядка, но для разных длин волн, должно быть, очевидно, не меньше ширины самих полос `deltavarphi=lambda/(Ndcosvarphi)` (1.12), то есть `(3(lambda_2-lambda_1))/(d*cosvarphi)>=lambda/(Ndcosvarphi)`. Отсюда получим `N>=lambda/(3(lambda_2-lambda_1))`. В качестве `lambda` здесь возьмём среднее арифметическое для двух близких длин волн. В итоге получаем: `N>=810,60`, то есть `N_min=811`.
Заметим, что в ответ не вошёл период решётки (не заданный в условии задачи). Неопределённым оказался и угол `varphi`, соответствующий 3-му порядку в дифракционной картине. Эти величины просто сократились в процессе вычислений.*
phystech.academy
Интерференция и дифракция звуковых волн — Мегаобучалка
Наложение в данной точке пространства звуковых волн вызывает явление интерференции (рис.1.7). Результат зависит от соотношения фаз колебанийчастиц среды во встречающихся волнах. В случае совпадения фаз наблюдается усиление колебаний. При движении частиц в противофазе – ослабление. Пер-вый случай характерен для стоячих волн изгиба в конструкциях, стоячих волн в звукопроводах (столб воздуха, труба, стержень). Второй тип явления интер-ференции используют для локального гашения акустических колебаний (в от-дельных точках помещений или транспортных средств). При этом частицы должны колебаться не только в противофазе, но и с одинаковой амплитудой.

Рис. 1.7. Отражение от поверхности и интерференция волн
В случае, когда интерферирующие волны имеют различную частоту, воз-никают биения, частота которых равна разности частот этих колебаний. Биения отчетливо различаются на слух и весьма неприятны для восприятия.
При падении звуковых волн на препятствие они огибают препятствие, т.е. наблюдается явление дифракции. При этом за препятствие образуется зона аку-стической тени, размеры которой зависят от соотношения длины волны λ и размеров препятствия. Если дифракция происходит в параллельных лучах (рис.1.8, а), то протяженность этой тени lт , за препятствием, имеющем попе-речный размер D, можно определить по формуле
| Lт = D2 / 4λ = D2f / 4с | (1.57) |
Эффект дифракции проявляется и при прохождении волн через щели и отверстия (рис.1.8, б, г). При этом будет наблюдаться картина, обратная выше-описанной, т.е. за отверстием вместо звуковой тени будет располагаться зона излучения отверстия. Чем меньше размеры отверстия по сравнению с длиной падающей волны, тем менее направленным будет излучение. Так, малое отвер-стие можно считать источником сферических волн. Если же размеры отверстия сравнимы с длиной волны или больше его, то его излучение за экраном локали-зуется в относительно узком пучке (рис.1.8, б).

Рис. 1.8. Дифракция звуковых волн на препятствиях, отверстиях и щелях
Размеры звуковой тени увеличиваются, если волны исходят из одной точки перед экраном. Очевидно, что в зоне звуковой тени будет наблюдаться ослабление звука. В зависимости от соотношения длины волны λ с высотой эк-рана Н и его расстоянием от источника r и до расчетной точки R, величина ос-лабление уровня звука колеблется от 2 – 3 до 20 дБ. На рис.1.9 приведен гра-фик, по которому снижение уровня звука за экраном можно найти с помощью вспомогательной величины N, определяемой по формуле
| H | H | ||||||||||||||
| r | + R | ||||||||||||||
| N = | 1 + | − 1 | 1 + | − 1 | (1.58) | ||||||||||
| λ | r | ||||||||||||||
| R | |||||||||||||||

Рис.1.9 Влияние параметра N на ослабление звука за экраном
В общем случае, любое тело, размеры которого соизмеримы с длиной волны, вследствие дифракции вносит искажение в звуковое поле. Этот факт следует учитывать при проведении акустических измерений, поскольку на вы-соких частотах, когда длина волны сопоставима с размерами микрофона, по-правки за дифракцию могут достигать 3 – 5 дБ.
megaobuchalka.ru
Дифракция и интерференция волн – стр. 5
Дифракция и интерференция волн.
ЦЕЛЬ РАБОТЫ: Дать представление студентам о специфических явлениях, характерных для всех видов волн. С использованием модели дифракции волн на двух щелях наглядно продемонстрировать конструктивную и деструктивную суперпозицию волн, имеющих, в зависимости от выбранного пути распространения, различные фазы. В качестве модели, в данной работе используется уравнение, описывающее распределение интенсивности потока света попадающего на экран от двух щелей.
Если на пути потока света поставить непрозрачный предмет, то за ним возникает область тени. А вот от звука отгородиться не так-то просто – слышать можно и из-за угла.
Дифракция света – это совокупность явлений, наблюдаемых при распространении волн в среде с резкими неоднородностями и связанных с отклонениями от законов геометрической оптики. Дифракция, в частности, приводит к огибанию световыми волнами препятствий и проникновению света в область геометрической тени.
Чем меньше ширина преграды и чем больше длина волны, тем сильнее проявляется дифракция. Звук, имеющий длину волны порядка метра, легко огибает края препятствий. Оптическую дифракцию в обычных условиях заметить трудно, т.к. длина волны видимого света меньше микрометра.
На рисунках 1.1 и 1.2 приведены примеры дифракции волн, возникающих на поверхности жидкости. Распространяясь от источника, волны не взаимодействуют с препятствием B, размеры которого меньше длины волны, а отверстие, в преграде стало источником волн, т. к. размеры отверстия также меньше длины волны. Обратите внимание, что от преграды А волна отразилась и движется в обратном направлении.
Дифракция волн

Рисунок 1.1.
Для наблюдения дифракции на щели, ширина щели должна быть достаточно малой (но не менее половины длины волны).

Рисунок 1.2
Условия возникновения интерференции волн

Рисунок 1.3.
В различных точках пространства при распространении волны частицы могут колебаться синхронно (в фазе) и в противоположных направлениях (в противофазе). Из этого следует, что при наличии двух одинаковых по частоте и амплитуде источников волн, находящихся на некотором расстоянии друг от друга, суммарная амплитуда колебаний частиц среды в определенных точках пространства может, как увеличиваться (конструктивная суперпозиция волн), так и быть равной нулю (деструктивная суперпозиция волн).
Интерференция света
При дифракции волн от двух щелей (Рис. 1.4.), в соответствии с правилом Гюйгенса, каждая щель при попадании на нее световых волн определенной длины становится источником вторичных волн, когерентных между собой. Когерентными называются волны, если их разность фаз не зависит от времени. На этом рисунке: A — источник света, B – преграда с двумя отверстиями, C — экран с наблюдаемой интерференционной картиной.

Рисунок 1.4
Фаза волны достигшей определенной точки экрана, расположенного на расстоянии L от щелей будет зависеть от пройденного пути. Условием, что обе волны в данной точке будут иметь одинаковую фазу, является то, что разность хода между двумя волнами составит целое число длин волн: ΔL = L2 – L1 = nλ, где n = 0, 1, 2, 3 … В этом случае произойдет конструктивная суперпозиция волн с усилением интенсивности света падающего на экран. На экране это будет соответствовать светлым участкам.
При ΔL = L2 – L1 = λ(2n+1)/2, где n = 0, 1, 2, 3 …, волны будут находиться в противофазе, и на экране эти области окажутся неосвещенными.
Лабораторная работа № 5. Порядок выполнения работы.
Задание 1. Условия возникновения дифракции и интерференции.
Ознакомьтесь с теоретической частью работы.
На анимированных иллюстрациях (теоретическая часть, рис. 1.1. и 1.2.) пронаблюдайте дифракцию волн. В чем проявляется в данном случае отличие волнового движения от движения материальных тел? Свет – это электромагнитные волны, и для него, так же характерно явление дифракции. Используя иллюстрацию 1.2., ответьте: почему уменьшая отверстие, через которое проходит свет нельзя сделать пучок света очень узким? Используя анимированные иллюстрации 1.3. и 1.4., ознакомьтесь с условиями возникновения интерференции волн. Почему для возникновения интерференции необходимо два источника когерентных волн. Почему, когда свет проходит только через одну из щелей, на экране не возникает темных и светлых полос (иллюстрация 1.4. теоретической части)?
Задание 2. Зависимость интерференционной картины от длины волны и условий наблюдения.
Откройте рабочее окно.
А) Используя левый движок, проследите, как меняется расстояние между максимумами интерференционной картины при изменении длины волны. Задавая различную величину длины волны (3-4 значения) найдите для каждого значения расстояние между максимумами интерференционной картины. По расстоянию между максимумами интерференции, используя формулу в теоретической части, рассчитайте длину волны. Составьте таблицу:
№
λ (заданное)
h (мм)
λ (рассчитанное)
1
2
3
4
Сделайте вывод.
Для определения расстояния h между максимумами интерференционной картины используйте перемещаемую линейку. Поместите линейку над максимумами интерференционной картины и увеличьте изображение правой кнопкой мыши. Определите расстояние между серединой центрального максимума и серединой крайнего бокового максимума, рассчитайте значение h.
Б) Меняя расстояние между экраном и щелями, а также ширину щелей, проследите, как меняется интерференционная картина. Сделайте вывод.
В) Уменьшите расстояние между щелями до минимального значения. Так как это расстояние меньше ширины щелей, они сольются в одну щель. Почему наблюдается только один максимум? Какое это явление – интерференция или дифракция? Меняя длину волны и ширину щелей пронаблюдайте, как меняется наблюдаемая картина. Сделайте вывод.
Задание 3. Тест.
Закройте рабочее окно и откройте окно теста. Нажмите кнопку Тест. Используя перемещаемую линейку определите расстояние h между максимумами интерференционной картины. Рассчитайте длину волны в нанометрах, и подставьте найденное значение в левое окно. Нажмите кнопку Проверить. Если значение длины волны рассчитано правильно, то появиться надпись Правильно!!! Покажите ее преподавателю. Если значение длины волны рассчитано не верно, повторите измерения и рассчитайте ее заново. После трех попыток Вам придется снова нажать кнопку Тест и проводить измерения и расчеты для другого заданного значения длины волны.
Лабораторная работа № 5. Форма отчета.
Общие требования к оформлению.
Работа выполняется на листах бумаги формата A4, или на двойных тетрадных листах.
В заголовке указываются:
Фамилия и инициалы студента, № группы
НАЗВАНИЕ ЛАБОРАТОРНОЙ РАБОТЫ
Каждое задание лабораторной работы оформляется как ее раздел и должно иметь заголовок. В отчете по каждому заданию, должны быть даны ответы на все вопросы и, если это указано, сделаны выводы и приведены необходимые рисунки. Результаты тестовых заданий обязательно должны быть показаны преподавателю. В заданиях, включающих в себя измерения и расчеты, должны быть приведены данные измерений и данные проведенных расчетов.
Задание 1. Условия возникновения дифракции и интерференции.
Ответы на вопросы.
Задание 2. Зависимость интерференционной картины от длины волны и условий наблюдения.
А) Таблица:
№
λ (заданное)
h (мм)
λ (рассчитанное)
1
2
3
4
Расчеты длины волны по расстоянию между максимумами интерференционной картины. Выводы.
Б) Зависимость интерференционной картины от расстояния между экраном и щелями и от размера щелей. Выводы.
В) Ответы на вопросы. Выводы.
Задание 3. Тест.
Результаты измерений. Расчет длины волны.
Контрольные вопросы для проверки усвоения темы лабораторной работы:
1. Дайте определение дифракции и интерференции и приведите примеры.
2. Являются ли эти явления специфическими характеристиками волнового движения?
3. Почему главный (центральный) максимум для всех длин волн совпадает, а расположение боковых максимумов зависит от длины волны?
4. Белый свет состоит из волн разной длинны, каждой из которых соответствует свой цвет. Появятся ли при интерференции белого света на экране цветные полосы, и какого цвета будет главный максимум?
5. Явление интерференции было открыто у электронных, атомных и молекулярных пучков. Означает ли это, что микрочастицам присущи волновые свойства?
6. Можно ли по интерференционной картине пучка электронов определить их длину волны?
7. Можно ли в этом случае рассматривать электрон как частицу, находящуюся в определенной точке пространства?
Лабораторная работа № 6. ОПИСАНИЕ
Фотоэффект.
Рабочее окно
Вид рабочего окна приведен на Рис. 3.1. В рабочем окне приведена модель фотоэффекта. В нижней части окна расположены кнопки теста. В левом окне над кнопками фиксируется число попыток, а в правом вводятся рассчитанные параметры. В верхнем положении переключателя это работа выхода, а в нижнем – масса фотона. Справа вверху расположен переключатель интенсивности света, а под ним движок для изменения длины волны. Под движком – окно, в котором выводится значения дины волны. При нажатии на кнопку Тест случайным образом задается длина волны, при которой будет наблюдаться фотоэффект.

Рисунок 3.1.
Передвижением движка подбирают длину волны, при которой наблюдается фотоэффект. Проведя соответствующие расчеты, находят работу выхода и массу фотона. При нажатии на кнопку Проверить проверяется правильность рассчитанных величин. Если число попыток превышает 3, проверка становится недоступной и снова надо нажать кнопку Тест.
Для открытия рабочего окна нажмите на его изображение.
Лабораторная работа № 6. Теория
Фотоэффект.
ЦЕЛЬ РАБОТЫ: На примере фотоэффекта дать представление студентам о корпускулярных свойствах света. Используя модель явления, наглядно продемонстрировать, что проявляемые в фотоэффекте свойства, не могут быть объяснены на основе волновых представлений.
Свет – электромагнитная волна, т.е. распространение в пространстве колебаний электромагнитного поля, вызванных ускоренным движением заряженных частиц. Излучение характеризуется длиной волны λ, частотой ν и скоростью распространения c (c=3*108 м/с), причем λ = c/ν. Явления интерференции, дифракции, поляризации и дисперсии света, хорошо объясняются на основе волновой теории. Но ее использование при создании теории теплового излучения нагретых тел, фотоэффекта и ряда других явлений вело к противоречиям. Для теплового излучения, теоретические спектры излучения нагретых тел не совпадали с полученными в экспериментах. По теоретическим расчетам получалось, что любое нагретое тело должно излучать бесконечную энергию в ультрафиолетовой и рентгеновской области спектра. В теории теплового излучения эта проблема получила название “Ультрафиолетовой катастрофы”. Проблему разрешил Макс Планк, сумев дать теоретическое объяснение спектрам излучения и поглощения нагретых тел на основании предположения о дискретном, скачкообразном характере излучения и поглощения электромагнитных волн.
Электромагнитные волны при взаимодействии с атомами и молекулами излучаются и поглощаются порциями – квантами, энергия каждого кванта пропорциональна частоте волны: Е = hν, где h – постоянная Планка (h = 6,626*10-34 Дж/Гц).
Эйнштейн развил идею Планка и стал рассматривать световой поток как поток частиц (фотонов) не только при испускании, но и при распространении и поглощении света. Фотон – материальная, электрически нейтральная частица с энергией Е = hν. Поскольку E = mc2 , то m = hν/c2, где m – масса фотона, эквивалентная его энергии. Фотон, как квант электромагнитного поля, движется в вакууме со скоростью с, остановить его невозможно, он существует только в движении, его масса покоя равна нулю. Импульс фотона p = mc = E/c = h/λ, так как c = λν.
Фотоэффект – испускание с поверхности некоторых металлов электронов под воздействием света. Проявляется фотоэффект, начиная только с определенной частоты света, зависящей от конкретного металла. Кинетическая энергия (скорость фотоэлектронов) зависит только от частоты света, но не зависит от его интенсивности, тогда как число электронов пропорционально интенсивности света. На основе закона сохранения энергии Эйнштейн записал уравнение фотоэффекта: hν = mv2/2 + A, где A – работа выхода, необходимая для преодоления силы, удерживающей электроны в металле. Т.е. энергия кванта света hv, поглощенная электроном на поверхности металла, расходуется на работу выхода А электрона из металла и на сообщение ему кинетической энергии mv2/2. Значит, энергия электрона равна энергии фотона за вычетом работы выхода, а количество электронов зависит от количества падающих фотонов. Если энергия кванта hν0 = А, фотоэффект возникает, если меньше – нет. Частота ν0 называется красной границей фотоэффекта. Т.е., свет взаимодействует с электронами металла как частица.
Наличие импульса у фотона, предсказанное еще Дж. Максвеллом (1873), было подтверждено экспериментально П.Н. Лебедевым (1900) измерением светового давления. При этом его величина совпала с предсказанной с хорошей точностью. Эффект Комптона (1923) подтверждает квантовую природу света во взаимодействии фотона со связанным в атоме электроном. При исследовании рассеяния рентгеновского или γ – излучения А. Комптон установил, что при прохождении его через вещество регистрируются излучение с большей длиной волны. Это можно объяснить, если только представить пучок лучей фотонами – частицами, упруго сталкивающимися со слабо связанными электронами и передающими им импульс.
Лабораторная работа № 6. Порядок выполнения работы.
Задание. Свойства света в фотоэффекте.
Ознакомьтесь с теоретической частью работы.
Откройте рабочее окно.
А). Нажмите кнопку Тест. Используя движок, уменьшайте длину волны, пока не возникнет ток в регистрирующем приборе, и вы не увидите поток электронов. Медленно увеличивая длину волны, определите максимальное ее значение λ0 (длина волны красной границы фотоэффекта) при котором наблюдается фотоэффект. Запишите это значение. Рассчитайте энергию фотона и найдите работу выхода A в электрон-вольтах. Подставьте это значение в окно теста и нажмите кнопку Проверить. Если расчеты сделаны правильно, появиться надпись Правильно!!! и переключатель теста переключится в положение масса фотона.
Б). Увеличивая и уменьшая интенсивность света переключателем над движком, проследите, как меняется поток электронов в зависимости от интенсивности света. Сделайте вывод. При минимальной интенсивности света, немного увеличьте длину волны, так чтобы фотоэффект перестал наблюдаться. Рассчитайте для этой длины волны энергию фотона. Увеличьте интенсивность в 2 раза, а затем в 4 раза. При увеличении интенсивности пропорционально увеличивается количество фотонов и, соответственно, их суммарная энергия: E = nh; = nc/, где n- число фотонов. Пронаблюдайте, возникнет ли при увеличении интенсивности света фотоэффект или нет. Будет ли в этих 2-х случаях суммарная энергия потока фотонов больше, чем суммарная энергия потока фотонов для λ0 при минимальной интенсивности света? От чего зависит проявление фотоэффекта: от энергии каждого фотона в световом потоке или от суммарной энергии всех фотонов? Какой вывод можно сделать на основании проведенных наблюдений?
В). Используя найденное для λ0 значение энергии фотона, рассчитайте его массу. Подставьте это значение в окно теста и нажмите кнопку Проверить. Если расчеты сделаны правильно, появиться надпись Правильно!!! Покажите результат преподавателю. Внимание! Вам в первой части теста и во второй дается 3 попытки. Если появится надпись «Попробуйте еще раз!!!», надо будет снова нажать кнопку тест, и передвигая движок, заново определить длину волны λ0.
Лабораторная работа № 6. Форма отчета.
Общие требования к оформлению.
Работа выполняется на листах бумаги формата A4, или на двойных тетрадных листах.
В заголовке указываются:
Фамилия и инициалы студента, № группы
НАЗВАНИЕ ЛАБОРАТОРНОЙ РАБОТЫ
Каждое задание лабораторной работы оформляется как ее раздел и должно иметь заголовок. В отчете по каждому заданию, должны быть даны ответы на все вопросы и, если это указано, сделаны выводы и приведены необходимые рисунки. Результаты тестовых заданий обязательно должны быть показаны преподавателю. В заданиях, включающих в себя измерения и расчеты, должны быть приведены данные измерений и данные проведенных расчетов.
Задание. Свойства света в фотоэффекте
А). Найденное значение длины волны красной границы фотоэффекта λ0. Расчеты энергии фотона и работы выхода A в электрон-вольтах.
Б). Вывод о влиянии изменения интенсивности света на наблюдаемый поток электронов в фотоэффекте.
Расчет энергии фотона для длины волны большей, чем λ0. Ответы на вопросы.
Заключительный вывод, почему из полученных данных следует, что в фотоэффекте свет проявляет не волновые свойства, а корпускулярные?
В). Расчет массы фотона для длины волны λ0 красной границы фотоэффекта.
Контрольные вопросы для проверки усвоения темы лабораторной работы:
1. Какое противоречие в теории электромагнитного излучения привело к представлению, что свет может проявлять дискретные свойства?
2. В каких явлениях свет проявляет корпускулярные свойства?
3. Почему в формуле Эйнштейна только часть энергии фотона передается электрону в виде кинетической энергии?
4. Почему энергию кванта Е = hν можно приравнять к энергии, определяемой через формулу Эйнштейна E = mc2?
5. Какие особенности проявления фотоэффекта указывают на то, что в этом явлении свет проявляет корпускулярные, а не волевые свойства?
6. Какой концептуально важный вывод о свойствах материи (поля и вещества) можно сделать на основании того, что свет можно представлять как распространение электромагнитного поля, так и как поток частиц – фотонов?
7. Если на пути распространения звуковых волн поставить вертушку или расположить флюгер, вам вряд ли удастся заставить ее вертеться, а флюгер повернуться вдоль направления движения звука. Однако даже под действием слабого ветра это происходит? Используя эту аналогию, объясните, почему под действием света (электромагнитных волн) в опытах Лебедева вертушка крутилась и почему хвост кометы направлен в противоположную сторону от Солнца? Какие свойства проявляет в данных случаях свет?
Лабораторная работа № 7. ОПИСАНИЕ
Дифракция электронов.
Рабочее окно
Вид рабочего окна приведен на Рис. 1.1. В рабочем окне приведена модель дифракции электронов. В нижней правой части окна расположены кнопки управления и кнопки теста. Кнопка Пуск запускает модель, кнопка Стоп останавливает. В окнах рядом с кнопками теста фиксируется число правильных ответов и число попыток. В окно под кнопками теста вводятся рассчитанные параметры. В верхнем положении переключателя это длина волны электрона, а в нижнем – его скорость. Перемещением движка можно изменять напряжение электрического поля, в котором разгоняются электроны.

Рисунок 1.1.
Длина волны определяется измерением расстояния между максимумами интерференционной картины. Для этого используется перемещаемая линейка. Скорость электрона определяется по величине ускоряющего напряжения. Измерения проводятся для нескольких значений напряжения. Тестовая система фиксирует количество правильно данных ответов и общее число попыток.
Для открытия рабочего окна нажмите на его изображение.
Лабораторная работа № 7. Теория.
Дифракция электронов.
ЦЕЛЬ РАБОТЫ: На примере дифракции электронов дать представление студентам о корпускулярно-волновых свойствах материи. Используя модель дифракции электронов на металлической фольге, наглядно продемонстрировать, проявление волновых свойств у микрочастиц.
refdb.ru

