8. Предел функции двух переменных. Связь двойного предела с повторными. (6.1.1)
6.1.1. Предел функции нескольких переменных. Повторные пределы.
f: RnR задана в некоторой окрестности точки M0, кроме, может быть, самой точки M0.
Определение. Число А называется пределом функции
f(x1, x2, …, xn) в точке M0, если
>0 >0 M ( 0 < (М0, М) < | f (M) – A|< ).
Формы записи:
n = 2:
Это
На языке окрестностей точек: >0 >0 M(x, y) (M U(M0)\M0 f (x, y) U(А) ).
(M может приближаться к М0 по любому пути).
Повторные пределы:
и .
(M приближается к М0 соответственно по горизонтали и по вертикали).
Теорема о связи двойного и повторных пределов.
Если
двойной предел
и
пределы
,
,
то повторные пределы ,и равны двойному.
Замечание 1. Обратное утверждение не верно.
Пример. f

,.
Однако
двойной предел
=
не существует, так как в любой окрестности точки (0, 0) функция принимает и «далекие » от нуля значения, например, если x = y, то f (x, y) = 0,5.
Замечание 2. Даже если АR: f (x, y) А
при движении M к M0 по любой прямой, двойной предел
Пример. f (x, y)
=
,M0 (0, 0). M(x, y)
M0 (0, 0)
вдоль осей x = 0 или y = 0 f (x, y) = 0 .
y = kx, k 0
y = x2,

Вывод: предел (двойной) не существует.
Пример нахождения предела.
f (x, y)
=
, M0 (0, 0).
Покажем, что число 0 есть предел функции в точке M0.
= ,
– расстояние
между точками М и M0.(
воспользовались неравенством
,
которое следует из неравенств )
Зададим > 0 и пусть = 2. <
9.Определение частной производной. Частные производные высших порядков. Теорема о смешанных производных. (6.2.3, 6.3.1)
6.2.3. Частные производные.
Определение. Зафиксируем значения всех переменных, кроме одной
n = 2, f(x, y).
Фиксируем y = y0. f(x, y0).
Частная производная по x:
или
В числителе – частное приращение функции f
в т. (x0, y0) по переменной x.
Аналогично
Замечание 1. Символы
,
должны
рассматриваться как целое, числитель
и знаменатель не
имеют отдельного смысла
(в
отличие от символа 
Замечание 2. Могут использоваться другие обозначения частных производных, например,
.
Пример.
,
т.M0(1,1).
1
способ.
Подставим y =1:
,
т.M0(1,1).
.
2 способ. При нахождении частной производной вторую переменную фиксируем на произвольном значении
(с переменной обращаемся как с константой)
и только затем подставим заданные значения.
,
т. M0(1,1).
,
.
6.3.1. Частные производные высших порядков.
Функция
– частные производные первого порядка.
Частные производные второго порядка:
.
Производная 
Другие обозначения: .Частными производными порядка m от функции называются частные производные 1-го порядка от любых ее частных производных порядка m – 1.
Пример. .
,


,
(одно
дифференцирование по y и два по x):.

(одно дифференцирование по x и два по y): 36x2y2.
studfiles.net
Пункт «Повторные и двойные пределы».
⇐ ПредыдущаяСтр 8 из 17Следующая ⇒Пусть задана функция двух переменных . Возьмём точку на плоскости. Можно определить понятие предела функции в данной точке, аналогично тому, как это вводили для обычных функций одной переменной. Число А называется пределом функции в точке , если для всякого существует окрестность точки , так что если , то . Обозначается – двойной предел. Но ведь в плоскости можно приблизиться к этой точке с многих направлений. Ситуаций не две, как на числовой оси (там можно приближаться только слева или справа) а бесконечно много.
Если сначала вычислить предел по (при этом пока будет служить в роли параметра) а затем по , то получим: . А если наоборот, то Это так называемые «повторные» пределы.
Повторные пределы, как правило, совпадают между собой и равны двойному.
. в точке (1,1).
Однако, есть примеры, где это не так.
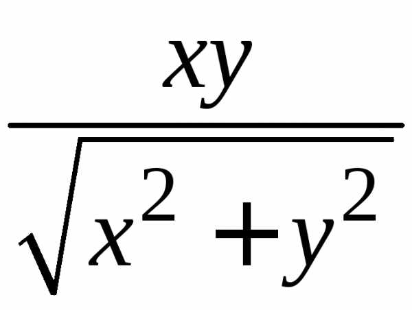
Пример 11. Доказать, что для двойной предел не существует.
Решение. Если сначала устремить то = = 0. А если приближаться к точке (0,0) по произвольной прямой , то можно сначала всё свести к одной переменной, и затем устремить .
Тогда = = . Получается, что результат зависит от того, с какой стороны приближаться к точке (0,0). Это значит, что, двигаясь к началу координат с разных направлений, точка на поверхности стремится к разным высотам, тогда ни в какой малой окрестности не может быть выполнено , т.е. предел не существует. Таким свойством обладает винтовая поверхность, состоящая из прямолинейных образующих, у которых направление зависит от высоты. Чтобы понять, представьте себе винтовую лестницу в узкой башне: разные ступеньки отходят от общей вертикальной прямой, но с ростом высоты меняется угол поворота.
Практика 19 Повторение.
Задача 1. (из Домашнего задания) Найти предел .
Решение. = = = =
= =
= =
= =
= . Ответ. .
№ 2. (Из домашнего задания). Найти предел .
Решение. = = =
= = . Ответ. .
Повторим ещё с помощью нескольких примеров, приведённых в конце пособия в приложении 1.
№ 3.Вычислить предел .
Решение. =
= = сократим на n.
= = =
. Ответ. 3.
№ 4. Вычислить предел .
Решение. = = = .
Ответ. .
№ 5. Вычислить предел .
Решение. = = = . Ответ. 5.
№ 6. Вычислить предел .
Решение. = =
= =
= = = .
Ответ. .
mykonspekts.ru
2 предел и непр-ть
7. Предел функции нескольких переменных
Говорят,
что последовательность
точек
с координатами
стремится к точке
сгущения некоторого множества
,
если

…,
.
При
этом расстояние
между точкамипоследовательности
и точкой
,
когданеограниченно возрастает, стремится
к нулю, т.е.

так как
=
=
.
Верно и обратное: если
то последовательность точекстремится к точке.
Пусть
функция определена в
некоторой окрестности D точки
,
за исключением, быть может, самой точки
.
По
аналогии с определением предела функции
одной переменной, говорят, что функция имеет пределом
число
при стремлении
переменных
,соответственно,
к
,если для каждого
сколь угодно малого наперед заданного
положительного числа
(эпсилон) существует такое число
,
что
(2)
как только
, …,.
При этом точка предполагается взятой изD и отличной от . Итак, неравенство (2) для функции должно выполняться во всех точках множества D, лежащих в достаточно малой окрестности
точки , но исключая саму эту точку (если она принадлежитD). В этом случае обозначают предел функции так:
.
В геометрических терминах можно перефразировать данное определение следующим образом.
Говорят,
что число
являетсяпределом
функции
при стремлении
точки
к точке
(или – пределом функции
в точке
),
если для каждого сколь угодно малого
наперед заданного положительного числа
существует такое число
,
что
(
)
как только расстояние между точками .
Как
и выше, точка
предполагается взятой изD и отличной
от
,
а неравенство для функции должно
выполняться во всех точках множества D,
лежащих в достаточно малой сферической окрестности точки
,
за исключением самой этой точки.
Обозначение предела функции, соответствующее данному определению:
.
Два приведенных выше определения предела функции многих переменных являются равносильными.
Аналогично устанавливается понятие о бесконечном пределе функции: неравенство (2) заменяется на
,
если
,
и
, если,
где
– произвольное наперед заданное сколь
угодно большое положительное число.
Распространим понятие точки сгущения на тот случай, когда все координаты (или некоторые из них) этой точки бесконечны:
Точка является для областиDточкой сгущения, если в этой области найдутся точки со сколь угодно большими (положительными) координатами.
Тогда
говорят, что функция имеет пределом
число
при стремлении
переменных к
,
если для каждого сколь угодно малого
наперед заданного положительного числа
существует такое число
,
что
как только

.
Обозначаем это следующим образом:
.
Условие, необходимое и достаточноедля
существования предела функции
в точке
формулирует следующая теорема.
Теорема. Если
из множестваD извлечь последовательность
отличных от
точек, сходящуюся к
,
то числовая последовательность,
состоящая из соответствующих значений
функции, всегда сходится к.
8. Повторные пределы
Наряду с
рассмотренным пределом функции
приодновременном стремлении всех
ее аргументовк их пределам, определим
несколько иной предел для функции многих
переменных, который получается в
результатеряда последовательных
предельных переходов по каждому
ее аргументу в том или ином порядке.
Будем называть такой пределповторным,
тогда как рассмотренный ранее —
кратным(илидвойным, тройным и т.д. –
при,
соответственно).
Для простоты
ограничимся случаем функции двух
переменных
.
Пусть областьDизменения переменных
и
такова, что
независимо от
может принимать любое значение из
некоторого множества
,
для которого
служит точкой сгущения, но не принадлежит
ему, а переменная
,
тоженезависимо от
,
– любое значение из множества
с не принадлежащей ему точкой сгущения
.
Тогда областьD.
Если при любом фиксированном
для функции
(которая при фиксированном
будет функцией одной переменной
)
существует предел при,
то он, этот предел, вообще говоря, будет
зависеть от зафиксированного
:
.
Если теперь существует предел функции
при
,
,
то он и будет являться одним из повторных
пределов функции
.
Если предельные переходы произвести в другом порядке, то получим другой повторный предел этой же функции:
.
Вообще говоря, повторные пределы не обязательно равны между собой. Может случиться и так, что один из повторных пределов существует, а другой – нет.
Для иллюстрации этого рассмотрим несколько примеров. Пусть в области заданы функции:
1. и. Тогда
,
,
а ,
.
2.
3.
.
Здесь в обоих
случаях существует повторный предел
,
но нет повторного предела.
А в последнем примере нет и простого
предела
.Проверьте!
Связь между двойными и повторными пределами устанавливает следующая теорема.
Теорема.Если
существует двойной предел (конечный или нет)
и
при любом
существуетконечный простой предел
по 
,
то существует повторный предел
и равен двойному:
=
.
Если, наряду с
условиями 1 и 2 теоремы, при любом
существуетконечный простой предел
по 
,
то существует и второй повторный предел, который тоже равен двойному, т.е.
,
тем самым мы определили условия, при которых оба повторных предела равны.
Из этой теоремы становится ясно, что в примерах 1 и 2 двойной предел не существует, а в примере 3 он существует и равен 0, откуда следует, что выполнение условия 1) теоремы не влечет за собой выполнения условия 2).
Замечание. Существование двойного предела не является необходимым условием для равенства повторных пределов.
Рассмотрим еще
один пример. Функция
определена на всей плоскости
за исключением точки
.
Возьмем две
сходящиеся к
последовательности точек из области
:
и
.
Построим две соответствующие последовательности значений функции:
и.
Очевидно, что
эти последовательности «сходятся» к
разным значениям. Отсюда следует, что
у данной функции двойного предела в
точке
не существует.
Рассмотрим повторные пределы этой функции:
и.
, ,
,.
Мы видим, что
оба повторных предела функции в точке
существуют и оба равны 0, хотя двойного
предела данная функция в данной точке
не имеет.
Примеры.
,.
,.
,.
.
9. Непрерывность
Пусть функция
определена в некотором множествеD точек
мерного пространства, и– точка сгущения этого множества,принадлежащая самому множеству,
т.е.
D.
Говорят, что функция непрерывна в точке, если имеет место равенство
, (3)
в противном случае говорят, что функция в данной точке терпит разрыв.
На
языке «ε – δ» (эпсилон – дельта)
определение непрерывности функции в
точке будет звучать так: функция
непрерывна в точке,
если для каждого сколь угодно малого
наперед заданного положительного числа
найдется такое число
,
что
(4)
как только расстояние между точками будет удовлетворять неравенству
,
или
, …,. (5)
При
этом точка
предполагается взятой изD и, в частности,
может совпадать с точкой .
По причине того, что предел функции в
точке должен быть равен значению функции
в этой точке, требование, чтобы
не совпадалаc
становится лишним.
Рассматривая разности в (5) как приращения независимых переменных, а разность в (4) – как приращение функции, можно данное определение перефразировать следующим образом:
Функция непрерывна, если бесконечно малым приращениям независимых переменных соответствует бесконечно малое приращение функции.
Если функция непрерывна в каждой точке множества D, то говорят, что она непрерывна в D.
Все основные теоремы о непрерывных функциях, приводимые для функций одной переменной, распространяются и на случай функций нескольких переменных.
Теорема.Сумма,
разность, произведение и частное
непрерывных в точке
функций есть непрерывная в этой точке
функция, если, конечно, в случае частного,
функция, стоящая в знаменателе, в точке
не обращается в ноль.
Функцию
будем называтьэлементарной функцией
переменных, если она может быть получена
из этих переменных и констант при помощи
конечного числа алгебраических операций.
Как и в случае одной переменной, элементарные функции непрерывны внутри своих естественных областей определения. Суперпозиция (сложная функция) непрерывных функций является непрерывной функцией в своей области определения.
Примерами элементарных функций, непрерывных на всей плоскости, могут служить функции
,
.
Функция
,
являясь суперпозицией элементарных
функций, тоже непрерывна на всей
плоскости. А функция
определена и непрерывна только в тех
точках, в которых дробь
неотрицательна, а знаменатель этой
дроби не равен нулю.
18
studfiles.net


существуетконечный простой предел
по 
,.
,.
,.
.