Шпаргалки по Физике
90
Механика.
Кинематика материальной точки.
Угловая скорость и угловое ускорение.
Законы Ньютона и законы сохранения
Законы Ньютона
Законы сохранения
Равновесие механической системы
Движение в гравитационном поле.
Движение в поле тяготения Земли.
Космические скорости.
Силы инерции
Упругое и неупругое взаимодействия
Сила упругости
Сила трения
Центр инерции
Момент импульса. Момент силы
Моментом силы называют
Вращательное движение твердого тела
Момент инерции твердого тела
Кинетическая энергия твердого тела при вращении.
Релятивистская механика
Преобразование Лоренца.
Следствия из преобразований Лоренца
Длина тел в разных системах отсчета.
Промежуток времени между событиями.
Интервал
Преобразование и сложение скоростей.
Релятивистский импульс.
Релятивистское выражение для энергии.
Молекулярная физика и термодинамика.
Основные представления кинетической теории
Теплота как форма энергии. Температура.
Давление идеального газа
Уравнение состояния идеального газа
Идеальный газ в поле силы тяжести
Распределение Больцмана и вероятность.
Распределение молекул по скоростям
Аналогичная неравномерность имеет место и в распределении частиц в газе
Распределение Максвелла-Больцмана
Теория теплоты. Термодинамика идеального газа
Внутренняя энергия идеального газа
Теплоемкость идеального газа
Равновесные процессы в идеальном газе
Уравнение состояния неидеального газа
Неравновесные процессы
Теплопроводность.
Диффузия.
Тепловые машины
Энтропия
Энтропия идеального газа
Энтропия и информация
Колебания и волны
Механические колебания
Гармонические колебания. Осциллятор
Комплексные числа
Сложение колебаний
Затухающие колебания.
Волновое движение
Связанные гармонические осцилляторы. Упругие волны
Свойства бегущих волн
Скорость волны в тонком стержне.
Энергия, переносимая волной. Стоячие волны.
Колебания струны (стержня).
Эффект Доплера для звуковых волн
Глава.1 Механика. Введение.
Физика изучает явления, наблюдаемые в реальном мире, и свойства материальных объектов. Эти явления и свойства мы характеризуем с помощью физических величин. Например, движение характеризуется скоростью и ускорением, свойства тел притягивать друг друга характеризуются массой или зарядом. Наблюдаемые нами явления и физические свойства тел возникают вследствие взаимодействия между телами либо между частицами — атомами и молекулами, из которых состоят материальные тела. В результате этих взаимодействий соответствующие физические величины не остаются постоянными, а испытывают всевозможные изменения. Эти изменения могут происходить как непрерывно, так и скачками, как по величине, так и по направлению. При наблюдении изменений физических величин возникает необходимость в их количественной и качественной оценке. Для этой цели физика использует математические методы.
В отличие от математики, которая изучает количественные и пространственные отношения между рассматриваемыми объектами, физика изучает материальные свойства тел и частиц, из которых состоят эти тела. Как показывает опыт, материальные свойства обусловлены взаимодействиями между телами либо между частицами. В природе существуют разные взаимодействия. Каждое из них имеет свои особенности, и поэтому физика разделяется на ряд областей, изучающих отдельные виды взаимодействий. На первый взгляд физика состоит из целого ряда независимых разделов — механики, термодинамики, электродинамики, оптики и других. На самом деле эти области физики настолько связаны друг с другом, что не могут существовать друг без друга и, строго говоря, даже не могут быть разделены. Ведь сама природа не делит всевозможные взаимодействия на различные виды, в природе все происходит сразу и вместе. Возможность рассмотрения каждого вида взаимодействия по отдельности, как это делается в физике, связана с тем, что при изучении конкретного взаимодействия мы считаем, что другие взаимодействия отсутствуют или очень малы. Можно ли это делать или нельзя, в каждом отдельном случае показывает опыт. В этом заключается существо физического подхода к изучению явлений и свойств материальных объектов.
Наши знания о различных видах взаимодействий возникли не сразу, а развивались последовательно и постепенно. Сначала постигались наиболее простые механизмы взаимодействий, при этом все, что не соответствовало опыту, отбрасывалось, а то, что было нужно и полезно, закладывалось в фундамент Нового знания. Так — от простого к сложному — возводилась конструкция огромного и связанного воедино здания современной физики. При изучении физики мы тоже будем следовать этому естественному принципу.
Во многих случаях действие одного тела на другое или каких-либо частиц друг на друга мы, в конечном счете, обнаруживаем, аблюдая перемещение какого-либо макроскопического тела в пространстве. Макроскопическим мы называем тело, состоящее из большого числа микроскопических частиц — атомов и молекул. На опыте мы всегда имеем дело с макроскопическими телами, хотя результаты опыта позволяют нам часто судить о свойствах составляющих тело микрочастиц (именно так мы узнали о существовании атомов и молекул).
Например, при столкновении одного шара с другим шар, который прежде находился в покое, переместился в пространстве. Изменение электрического тока в цепи мы отмечаем по перемещению стрёлки амперметра. Увеличение температуры мы обнаруживаем по перемещению ртутного столбика в термометре. Конечно, не всегда действие одного тела на другое обязательно приводит к перемещению последнего, во нас сейчас будет интересовать именно такой результат действия, поскольку он является наиболее простым из всех, которые встречаются в природе.
Как показывает опыт, никакое следствие не возникает без причины. В частности, причиной указанных выше перемещений макроскопических тел являются действия на них других тел. Таким образом, измеряя перемещение тела вследствие его взаимодействия с другими телами, мы можем судить о характере и величине этого взаимодействия. Поэтому так важно уметь описывать всевозможные перемещения тела в пространстве и характеризовать состояние тела в процессе его перемещения.
Перемещение тела в пространстве с течением времени представляет собой движение. Раздел физики, в котором изучается движение тел и его изменения в результате действия других тел, называется механикой. В свою очередь раздел механики, в котором изучают свойства движения тел, не рассматривая причин, приводящих к этому движению, называют кинематикой, а раздел механики, в котором изучается изменение движения под действием других тел называют динамикой.
Изучая физику, мы будем иметь дело с физическими величинами. Необходимо ясно представлять себе, что такое физическая величина, чем она отличается от математической иди от величин, рассматриваемых в других науках.
Физика — опытная наука. Все, что мы узнали о материальном мире, возникло из опыта. И любые заключения и предположения, которые мы делаем о свойствах материальных объектов, в конечном счете проверяются на опыте. Другими словами, опыт является окончательным критерием правильности наших представлений. В процессе опыта мы определяем те или иные физические величины, например скорость или температуру. Таким образом, определить физическую величину означает указать способ ее измерения. Физические величины являются наблюдаемыми. Напротив, если мы говорим о какой-либо величине и не можем указать способ ее измерения, то она не является наблюдаемой. Такие величины просто не рассматриваются в физике, не являются ее предметом.
Далее, физические величины являются достоверными в том смысле, что физический опыт должен обладать свойством повторяемости. Это значит, что при повторении опыт, проведенный в равных условиях, должен приводить всякий раз к одинаковому результату. В других науках это не всегда так, и чем менее выполняется это требование, тем менее эта наука достоверна.
Физические величины обладают свойством размерности. Под размерностью физической величины понимают совокупность параметров, необходимых для ее определения. Другими словами, указать размерность физической величины означает указать, какие измерения нужно произвести, чтобы ее определить. Самые простые физические величины — это длина, время и масса. Они имеют, как говорят, собственные размерности, обозначаемые соответственно буквами L,T иM, потому что для их определения никаких других измерений производить не нужно. Но уже, например, для определения скорости тела необходимо произвести два независимых измерения — длины
Подчеркнем, что размерность физической величины и единицы ее измерения — это разные понятия. Например, скорость может измеряться в см/с, или в м/с, или в км/ч, а размерность ее при этом не меняется — она всегда есть L/T, потому что независимо от того, в каких единицах мы измеряем скорость, мы всегда производим измерения одних и тех же двух параметров — длины
studfiles.net
шпаргалка физика
Краткий справочник по физике.
Гридасов А.Ю. Новосибирск 1997г.
Файл содержит формулы из курса физики, которые будут полезны учащимся старших классов школ и младших курсов вузов. Все формулы изложены в компактном виде с небольшими комментариями. Файл также содержит полезные константы и прочую информацию.
Данный файл может быть напечатан и распространяться в некоммерческих целях без ограничений.
Фундаментальные константы.
Название константы. | Обозн. | Значение. | Измерение |
Гравитационная постоянная. | G | 6,672*10-11 | Н*м2/кг2 |
Ускорение свободного падения | G | 9,8065 | м/с2 |
Атмосферное давление | p0 | 101325 | Па |
Постоянная Авогадро | Na | 6,022045*1023 | Моль-1 |
Объем 1моль идеального газа | V0 | 22,41383 | м3/моль |
Газовая постоянная | R | 8,31441 |
|
Постоянная Больцмана | K | 1,380662*10-23 | Дж/К |
Скорость света в вакууме | C | 2,99792458*108 | м/с |
Магнитная постоянная | 0 | 4*10-7= 1,25663706*10-6 | Гн/м |
Электрическая постоянная | 0 | 8,8541878*10-12 | Ф/м |
Масса покоя электрона | me | 9,109534*10-31 | кг |
Масса покоя протона | mp | 1,6726485*10-27 | кг |
Масса покоя нейтрона | mn | 1,6749543*10-27 | кг |
Элементарный заряд | E | 1,6021892*10-19 | Кл |
Отношение заряда к массе | e/me | 1,7588047*1011 | Кл/кг |
Постоянная Фарадея | F | 9,648456*104 | Кл/моль |
Постоянная Планка | H
| 6,626176*10-34 1,054887*10-34 | Дж*с Дж*с |
Радиус 1 боровской орбиты | a0 | 0,52917706*10-10 | м |
Энергия покоя электрона | mec2 | 0.511034 | МэВ |
Энергия покоя протона | mpc2 | 938.2796 | МэВ |
.Энергия покоя нейтрона | mnc2 | 939.5731 | МэВ |
Система единиц.
Приставки Си.
пристав. | поряд. | пристав. | поряд. | пристав. | порядок | Пристав. | порядок | ||||
экса | Э | 18 | мега | М | 6 | деци | д | -1 | Нано | н | -9 |
пета | П | 15 | кило | к | 3 | санти | с | -2 | пико | п | -12 |
тера | Т | 12 | гекто | г | 2 | милли | м | -3 | фемто | ф | -15 |
гига | Г | 9 | дека | да | 1 | микро | мк | -6 | атто | а | -18 |
Механика.
Кинематика.
Обозн. | Изм. | Смысл |
S | м | пройденный путь |
v | м/с | скорость |
t | с | время |
x | м | координата |
a | м/с2 | ускорение |
| с-1 | угловая скорость |
T | с | период |
| Гц | частота |
| с-2 | угловое ускорение |
R | м | радиус |
Скорость и ускорение.
,
, 
Равномерное движение:
, ;
Равнопеременное движение:
a=const,
,
;
,
; v=v0+at
, ;
;
Криволинейное движение.

,
Вращательное движение.
,
,
;
;
,
;
,
;
,
,
, ;
Динамика и статика.
Обозн. | Изм. | Смысл |
F | Н | сила |
P | кг*м/с | импульс |
a | м/с2 | ускорение |
m | кг | масса |
v | м/с | скорость |
p | Н | вес тела |
g | м/с2 | ускорение свободного падения |
E | Дж | энергия |
A | Дж | работа |
N | Вт | мощность |
t | с | время |
I | кг*м2 | момент инерции |
L | кг*м2/с | момент импульса |
M | Н*м | момент силы |
| с-1 | угловая скорость |
Первый закон Ньютона:
Второй закон Ньютона.
,
, при m=const 
Третий закон Ньютона.

Основной закон динамики для неинерциальных систем отчета.
ma=ma0+Fинерц ,где а- ускорение в неинерциальной а0– в инерциальной системе отчета.
Силы разной природы.
Скорость центра
масс
;
Закон всемирного тяготения.
,
– ускорение
свободного падения на планете.
– первая космическая
скорость.
Вес тела.
p=mg – вес тела в покое.
p=m(g+a) – опора движется с ускорением вверх.
p=m(g–a) – опора движется с ускорением вниз.
p=m(g–v2/r) – движение по выпуклой траектории.
p=m(g+v2/r) – движение по вогнутой траектории.
Сила трения.
,
Закон Гука.
Fупр=–kx, – сила упругости деформированной пружины.
– механическое
напряжение
– относительное продольное удлинение (сжатие)
– относительное поперечное удлинение (сжатие)
,
где –
коэффициент Пуассона.
Закон Гука:
,
где Е- модуль Юнга.

,
кинетическая энергия упругорастянутого
(сжатого) стержня. (V–
объем тела)
Динамика и статика вращательного движения.
– момент импульса
;
– момент силы
L=const – закон сохранения момента импульса.
M=Fl, где l– плечо
I=I0+mb2 – теорема Штейнера
система | ось | I |
точка по окружности | ось симметрии | mR2 |
стержень | через середину | 1/12 mR2 |
стержень | через конец | 1/3 mR2 |
шар | через центр шара | 2/5 mR2 |
сфера | через центр сферы | 2/3 mR2 |
кольцо или тонкостенный цилиндр | ось симметрии | mR2 |
диск сплошной цилиндр | ось симметрии | 1/2 mR2 |
Условие равновесия
тел 
Законы сохранения.
Закон сохранения импульса.
P=mv; – импульс тела.

Ft=P
Потенциальная и кинетическая энергия. Мощность.
– работа силы F
A=E
– мощность
– кинетическая
энергия
– кинетическая
энергия вращательного движения.
Ep=mgh – потенциальная энергия поднятого над землей тела.
– потенциальная
энергия пружины
Закон сохранения энергии.
Eк1+Eр1=Eк2+Eр2
Молекулярная физика. Свойства газов и жидкостей.
Обозн. | Изм. | Смысл |
p | Па | давление |
V | м3 | объем |
T | К | температура |
N | – | число молекул |
m | кг | масса |
| кг/Моль | молярная масса |
| Моль | кол-во вещества |
U | Дж | вн. энергия газа |
Q | Дж | кол-во теплоты |
| – | КПД |
Уравнение состояния.
pV=NkT – уравнение состояния (уравнение Менделеева- Клайперона)
,
,
;
,
– полная
внутренняя энергия системы.
Число атомов
i

1
3
5/3
2
7
9/7
3
13 (12)
15/13 (7/6)
– основное уравнение молекулярно- кинетической теории.
– закон Дальтона
для давления смеси газов.
, p=nkT
;
при N=const
T=const | изотерма | PV=const | закон Бойля-Мариотта |
p=const | изобара | V/T=const | закон Гей-Люсака |
V=const | изохора | p/T=const | закон Шарля |
Броуновское движение.
среднеквадратичная
скорость молекул.
– наиболее вероятная скорость молекул.
– средняя
арифметическая скорость молекул.
– Закон Максвелла для распределения молекул идеального газа по скоростям.
Среднее число соударений молекулы за 1с:
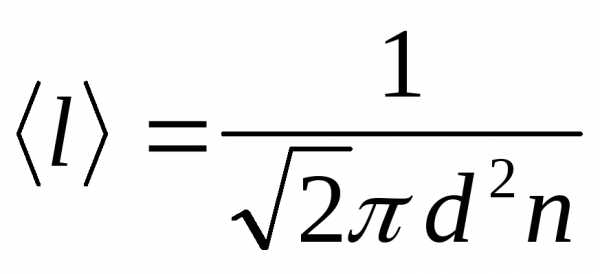
Средняя длинна
свободного пробега молекул 
– средний путь
молекулы за время t.
Распределение в потенциальном поле.
– барометрическая
формула.
– распределение
Больцмана.
Термодинамика.
– первое начало термодинамики.
– работа газа.
– уравнение адиабаты.
Теплоемкость
,
удельная теплоемкость с=С/m.
Название | Опред. | Уравнение | A | Q | C |
Изохора | V=const | Q=U | 0 | NkT/(-1) | Nk/(-1) |
Изобара | p=const | U=Q+pV | pV | pV/(-1) | Nk/(-1) |
Изотерма | T=const | Q=A |
| A | |
Адиабата | Q=const | U=-A | 0 | 0 |
Тепловой баланс.
Qотд=Qполуч
Q=cmT – теплота на нагрев (охлаждение)
Q=rm – Теплота парообразования (конденсации)
Q=m – плавление (кристаллизация)
Q=qm – сгорание.
Тепловое расширение.
l=l0(1+T) V=V0(1+T)
Тепловые машины.
– коэффициент
полезного действия
, 
Гидростатика, гидродинамика.
Обозн. | Изм. | Смысл |
p | Па | давление |
V | м3 | объем |
m | кг | масса |
| Н/м | коэффициент поверхностного натяжения |
v | м/с | скорость жидкости |
S | м2 | площадь |
| кг/м3 | плотность |
h | м | высота столба жидкости. |
,
(давление на глубине h).
–
плотность.
( сила Архимеда ).
– (гидравлический
пресс).
– закон сообщающихся сосудов.
– уравнение неразрывности.
– уравнение
Бернулли (
– динамическое, р – статическое,
– гидростатическое давление.)
– сила и энергия
поверхностного натяжения.
– высота подъема
жидкости в капилляре.
Электрические и электромагнитные явления.
Электростатика.
– закон Кулона.
,
– напряженность электрического поля
– принцип
суперпозиции полей.
– поток через площадку S.
– теорема Гаусса.
– теорема о
циркуляции.
,
– потенциал.
плоскость |
|
|
сфера |
|
|
шар |
|
|
цилиндр (пустой) |
|
,
,
,
– электроемкость
уединенного проводника.
,
, плоский конденсатор.
– электроемкость заряженного шара.
– электроемкость
сферического конденсатора.
– батарея
конденсаторов. p=qd – дипольный момент.
поляризованность
диэлектрика.
P=ж0E где ж– диэлектрическая восприимчивость.
=1+ж
–
диэлектрическая проницаемость.
– теорема Гаусса
для диэлектриков.
Электродинамика. Постоянный ток.
studfiles.net
Шпаргалки по Физике – формулы
Скоро начнётся пора экзаменов! Специально для школьников и студентов представляем небольшую шпаргалку по Физике. Здесь выложены самое основное — полезные формулы по Оптике, Электричеству, Колебаниям и Волнам, а так же по Квантовой физике. Картинки кликабельные. Вы так же можете из скачать себе на телефон или компьютер.










Ещё интересное:
korki.lol
| Кинематика | Модуль 1. Формулы и определения по кинематике Размер архива 14.8 Кb |
| Динамика | Модуль 2. Формулы и определения по динамике Размер архива 6.59 Кb |
| Законы сохранения | Модуль 3. Формулы и определения по законам сохранения импульса и энергии Размер архива 7.48 Кb |
| Динамика сред | Модуль 5. Формулы и определения по динамике сред Размер архива 4.27 Кb |
| МКТ | Модуль 6. Формулы и определения по молекулярно-кинетической теории Размер архива 3.68 Кb |
| Термодинамика | Модуль 7. Формулы и определения по термодинамике Размер архива 5.56 Кb |
| Тепловое расширение | Модуль 8. Формулы и определения по тепловому расширению тел Размер архива 4.03 Кb |
| Электростатика | Модуль 9. Формулы и определения по электростатике Размер архива 4.06 Кb |
| Электрический ток | Модуль 1. Формулы и определения по теме электрический ток Размер архива 7.98 Кb |
| Электромагнетизм | Модуль 2. Формулы и определения по теме электромагнетизм Размер архива 6.88 Кb |
| Колебания | Модуль 3. Формулы и определения по теме механические и электрические колебания Размер архива 7.10 Кb |
| Волны | Модуль 4. Формулы и определения по теме волны Размер архива 3.49 Кb |
| Оптика | Модуль 5. Формулы и определения по теме оптика Размер архива 5.06 Кb.   |
| Квантовая физика | Модуль 7. Формулы и определения по теме квантовая физика Размер архива 3.37 Кb.   |
glavsoft.narod.ru
Мобильная шпаргалка по физике. | Физика
Мобильная шпаргалка по физике.
Темы которые включает в себя данная шпаргалка:1 часть:
Равномерное движение
Уравнение координат равномерного движения
Неравномерное движение
Уравнение координат неравномерного движения
Свободное падение
Тело было брошено с земли вертикально вверх с начальной скоростью
Скорость в произвольный момент времени
Тело брошено горизонтально
Равномерное движение тела по оси OX
Равноускоренное движение тела по оси OY
Угол наклона скорости к горизонту
Уравнение траектории движения тела
Тело брошено под углом к горизонту
Тело брошено с поверхности земли вверх под углом к горизонту
Равномерное движение по окружности
Циклическая частота
Линейная скорость
Центростремительное ускорение
Общее время вращения
Неравномерное движение по окружности
Тангенциальное ускорение
Полное ускорение
Законы Ньютона: 1, 2, 3, Закон всемирного тяготения.
Временное действие силы
Закон Гука
Сила тяжести
Сила трения
Коэффициент трения, при котором тело движется равномерно
Динамика вращательного движения
Угловое ускорение
Угловая скорость
Тело движется по сферообразной поверхности
Тело совершает колебания, описывая окружность
Тело находится на поверхности, которая имеет ось вращения
Тело (m) движется по орбите в гравитационном поле другого тела
Вывод ускорения свободного падения (g) для данной системы
Импульс тела
Взаимодействие двух тел
Связь силы взаимодействия с импульсом тела
Работа по перемещению
Работа силы тяжести
Работа силы упругости
Работа силы трения
Мощность силы тяги
Мгновенная мощность
Средняя мощность
Энергия
Потенциальная энергия
Кинетическая энергия
Закон сохранения механической энергии
Полная механическая энергия
Неупругое взаимодействие
Упругое взаимодействие
Равновесие тела
Вращающий момент
Правило моментов
Центр масс
Центр тяжести тела
Гидростатика и аэростатика
Давление
Гидравлическая машина
Сила Архимеда
Подъемная сила
Колебания
Частота колебаний
Циклическая частота математического маятника
Циклическая частота физического маятника
Математический маятник
Физический маятник
Уравнение колебания
Амплитуда колебания
Механические волны
Длина волны
Основы МКТ
Давление идеального газа
Закон Дальтона для смеси газов
Уравнение Клапейрон
Уравнение Менделеева-Клапейрона
Постоянная Больцмана
Изотермический процесс
Изобарный процесс
Изохорный процесс
Внутренняя энергия газа
Средняя квадратичная скорость молекул газа
Средняя энергия одной молекулы
Средняя энергия всех молекул
Внутренняя энергия
Изменение внутренней энергиии
Влажность воздуха
Относительная влажность
Абсолютная влажность
Количество теплоты
Нагревания
Плавления
Кристаллизации
Кипения
Сгорания
Теплоемкость тела
Уравнения теплового баланса
2 часть:
Закон Кулона
Заряд тела
Закон сохранения заряда
Диэлектрическая проницаемость
Основное тождество электростатики
Напряженность электростатического поля
Сила, действующая на заряд со стороны эл. поля
Поверхностная плотность эл. заряда
Напряженность поля плоской поверхности
Принцип суперпозиции
Потенциал
Разность потенциалов
Работа по перемещению заряда
Электрическая сила
Электроемкость
Емкость шара
Емкость системы проводников
Емкость плоского конденсатора
Энергия заряженного конденсатора
Последовательное соединение конденсаторов
Параллельное соединение конденсаторов
Закон Ома для участка цепи
Сила тока
Плотность тока
Сопротивление
Последовательное соединение
Параллельное соединение
Шунтирование амперметра
Сопротивление амперметра
Работа силы тока
Закон ома для полной цепи
Закон ома для разомкнутой цепи
Ток короткого замыкания
Источники тока
КПД источника тока
Последовательное соединение источников
Параллельное соединение источников
Электромагнетизм
Площадь сектора
Вращающий момент
Магнитный поток
Магнитная индукция
Напряженность магнитного поля
Сила Ампера
Сила Лоренца
Сила Лоренца для окружности
Магнитный поток
ЭДС индукции
ЭДС самоиндукции
Энергия магнитного поля
Электромагнитные колебания
Собственная частота колебательного контура
Формула Томсона
Уравнения контура
Закон сохранения энергии для колебательного контура
Емкостное сопротивление
Индуктивное сопротивление
Скорость э/м волн в изотропной
Трансформатор
Коэффициент трансформации
Повышающий трансформатор
Понижающий трансформатор
КПД трансформатора
Резонанс
Фотоэффект
Запирающее напряжение
Энергия кванта
Длина волны
Уравнение Эйнштейна
Красная граница фотоэффекта
Условие прекращения фотоэффекта
Импульс фотона
Энергия фотона
Геометрическая оптика
Относительный показатель преломления
Абсолютный показатель преломления
Предельный угол падения
Атом и атомное ядро
Условие квантования Бора
Энергия атома водорода в стационарном состояниии
Радиусы боровских орбит
Энергия излучаемая фотоном при переходе Ej->Ek
Массовое число ядра: A=Z+N.
Дефект массы ядра
Энергия связи ядра
Закон радиоактивного распада
Альфа-распад
Бетта-распад
Константы
Универсальная гравитационная постоянная
Масса покоя электрона
Заряд электрона
Масса покоя протона
Масса покоя нейтрона
Электрическая постоянная
Магнитная постоянная
Постоянная в законе Кулона
Скорость света
Атомная единица массы
Число Авогадро
Газовая постоянная
Постоянная Больцмана
Постоянная Планка
Первый боровский радиус
Размерности СИ
Скорость
Ускорение
Сила
Давление
Энергия
Мощность
Частота
Момент импульса
Момент силы
Удельная теплоемкость
Заряд
Напряжение ЭДС
Емкость
Сопротивление
Напряженность эл. поля
Магнитный момент
Магнитная индукция
Магнитный поток
Индуктивность
Порядок вывода комментариев: По умолчаниюСначала новыеСначала старые
testent.ru













