Количество теплоты. Удельная теплоёмкость – FIZI4KA

1. Изменение внутренней энергии путём совершения работы характеризуется величиной работы, т.е. работа является мерой изменения внутренней энергии в данном процессе. Изменение внутренней энергии тела при теплопередаче характеризуется величиной, называемой количеством теплоты.
Количеством теплоты называется изменение внутренней энергии тела в процессе теплопередачи без совершения работы.
Количество теплоты обозначают буквой \( Q \). Так как количество теплоты является мерой изменения внутренней энергии, то его единицей является джоуль (1 Дж).
При передаче телу некоторого количества теплоты без совершения работы его внутренняя энергия увеличивается, если тело отдаёт какое-то количество теплоты, то его внутренняя энергия уменьшается.
2. Если в два одинаковых сосуда налить в один 100 г воды, а в другой 400 г при одной и той же температуре и поставить их на одинаковые горелки, то раньше закипит вода в первом сосуде. Таким образом, чем больше масса тела, тем большее количество теплоты требуется ему для нагревания. То же самое и с охлаждением: тело большей массы при охлаждении отдаёт большее количество теплоты. Эти тела сделаны из одного и того же вещества и нагреваются они или охлаждаются на одно и то же число градусов.
\[ Q\sim m \]
3. Если теперь нагревать 100 г воды от 30 до 60 °С, т.е. на 30 °С, а затем до 100 °С, т.е. на 70 °С, то в первом случае на нагревание уйдёт меньше времени, чем во втором, и, соответственно, на нагревание воды на 30 °С, будет затрачено меньшее количество теплоты, чем на нагревание воды на 70 °С. Таким образом, количество теплоты прямо пропорционально разности конечной \( (t_2\,^\circ C) \) и начальной \( (t_1\,^\circ C) \) температур: \( Q\sim(t_2-t_1) \).
4. Если теперь в один сосуд налить 100 г воды, а в другой такой же сосуд налить немного воды и положить в неё такое металлическое тело, чтобы его масса и масса воды составляли 100 г, и нагревать сосуды на одинаковых плитках, то можно заметить, что в сосуде, в котором находится только вода, температура будет ниже, чем в том, в котором находятся вода и металлическое тело. Следовательно, чтобы температура содержимого в обоих сосудах была одинаковой нужно воде передать большее количество теплоты, чем воде и металлическому телу. Таким образом, количество теплоты, необходимое для нагревания тела зависит от рода вещества, из которого это тело сделано.
5. Зависимость количества теплоты, необходимого для нагревания тела, от рода вещества характеризуется физической величиной, называемой удельной теплоёмкостью вещества.
Физическая величина, равная количеству теплоты, которое необходимо сообщить 1 кг вещества для нагревания его на 1 °С (или на 1 К), называется удельной теплоёмкостью вещества.
Такое же количество теплоты 1 кг вещества отдаёт при охлаждении на 1 °С.
Удельная теплоёмкость обозначается буквой \( c \). Единицей удельной теплоёмкости является 1 Дж/кг °С или 1 Дж/кг К.
Значения удельной теплоёмкости веществ определяют экспериментально. Жидкости имеют большую удельную теплоёмкость, чем металлы; самую большую удельную теплоёмкость имеет вода, очень маленькую удельную теплоёмкость имеет золото.
Удельная теплоёмкость свинца 140 Дж/кг °С. Это значит, что для нагревания 1 кг свинца на 1 °С необходимо затратить количество теплоты 140 Дж. Такое же количество теплоты выделится при остывании 1 кг воды на 1 °С.
Поскольку количество теплоты равно изменению внутренней энергии тела, то можно сказать, что удельная теплоёмкость показывает, на сколько изменяется внутренняя энергия 1 кг вещества при изменении его температуры на 1 °С. В частности, внутренняя энергия 1 кг свинца при его нагревании на 1 °С увеличивается на 140 Дж, а при охлаждении уменьшается на 140 Дж.
Количество теплоты \( Q \), необходимое для нагревания тела массой \( m \) от температуры \( (t_1\,^\circ C) \) до температуры \( (t_2\,^\circ C) \), равно произведению удельной теплоёмкости вещества, массы тела и разности конечной и начальной температур, т.е.
\[ Q=cm(t_2{}^\circ-t_1{}^\circ) \]
По этой же формуле вычисляется и количество теплоты, которое тело отдаёт при охлаждении. Только в этом случае от начальной температуры следует отнять конечную, т.е. от большего значения температуры отнять меньшее.
6. Пример решения задачи. В стакан, содержащий 200 г воды при температуре 80 °С, налили 100 г воды при температуре 20 °С. После чего в сосуде установилась температура 60 °С. Какое количество теплоты получила холодная вода и отдала горячая вода?
При решении задачи необходимо выполнять следующую последовательность действий:
- записать кратко условие задачи;
- перевести значения величин в СИ;
- проанализировать задачу, установить, какие тела участвуют в теплообмене, какие тела отдают энергию, а какие получают;
- решить задачу в общем виде;
- выполнить вычисления;
- проанализировать полученный ответ.
1. Условие задачи.
Дано:
\( m_1 \) = 200 г
\( m_2 \) = 100 г
\( t_1 \) = 80 °С
\( t_2 \) = 20 °С
\( t \) = 60 °С
______________
\( Q_1 \) — ? \( Q_2 \) — ?
\( c_1 \) = 4200 Дж/кг · °С
2. СИ: \( m_1 \) = 0,2 кг; \( m_2 \) = 0,1 кг.
3. Анализ задачи. В задаче описан процесс теплообмена между горячей и холодной водой. Горячая вода отдаёт количество теплоты \( Q_1 \) и охлаждается от температуры \( t_1 \) до температуры \( t \). Холодная вода получает количество теплоты \( Q_2 \) и нагревается от температуры \( t_2 \) до температуры \( t \).
4. Решение задачи в общем виде. Количество теплоты, отданное горячей водой, вычисляется по формуле: \( Q_1=c_1m_1(t_1-t) \).
Количество теплоты, полученное холодной водой, вычисляется по формуле: \( Q_2=c_2m_2(t-t_2) \).
5. Вычисления.
\( Q_1 \) = 4200 Дж/кг · °С · 0,2 кг · 20 °С = 16800 Дж
\( Q_2 \) = 4200 Дж/кг · °С · 0,1 кг · 40 °С = 16800 Дж
6. В ответе получено, что количество теплоты, отданное горячей водой, равно количеству теплоты, полученному холодной водой. При этом рассматривалась идеализированная ситуация и не учитывалось, что некоторое количество теплоты пошло на нагревание стакана, в котором находилась вода, и окружающего воздуха. В действительности же количество теплоты, отданное горячей водой, больше, чем количество теплоты, полученное холодной водой.
ПРИМЕРЫ ЗАДАНИЙ
Часть 1
1. Удельная теплоёмкость серебра 250 Дж/(кг · °С). Что это означает?
1) при остывании 1 кг серебра на 250 °С выделяется количество теплоты 1 Дж
2) при остывании 250 кг серебра на 1 °С выделяется количество теплоты 1 Дж
3) при остывании 250 кг серебра на 1 °С поглощается количество теплоты 1 Дж
4) при остывании 1 кг серебра на 1 °С выделяется количество теплоты 250 Дж
2. Удельная теплоёмкость цинка 400 Дж/(кг · °С). Это означает, что
1) при нагревании 1 кг цинка на 400 °С его внутренняя энергия увеличивается на 1 Дж
2) при нагревании 400 кг цинка на 1 °С его внутренняя энергия увеличивается на 1 Дж
3) для нагревания 400 кг цинка на 1 °С его необходимо затратить 1 Дж энергии
4) при нагревании 1 кг цинка на 1 °С его внутренняя энергия увеличивается на 400 Дж
3. При передаче твёрдому телу массой \( m \) количества теплоты \( Q \) температура тела повысилась на \( \Delta t^\circ \). Какое из приведённых ниже выражений определяет удельную теплоёмкость вещества этого тела?
1) \( \frac{m\Delta t^\circ}{Q} \)
2) \( \frac{Q}{m\Delta t^\circ} \)
3) \( \frac{Q}{\Delta t^\circ} \)
4) \( Qm\Delta t^\circ \)
4. На рисунке приведён график зависимости количества теплоты, необходимого для нагревания двух тел (1 и 2) одинаковой массы, от температуры. Сравните значения удельной теплоёмкости (\( c_1 \) и \( c_2 \)) веществ, из которых сделаны эти тела.
1) \( c_1=c_2 \)
2) \( c_1>c_2 \)
3) \( c_1<c_2 \)
4) ответ зависит от значения массы тел
5. На диаграмме представлены значения количества теплоты, переданного двум телам равной массы при изменении их температуры на одно и то же число градусов. Какое соотношение для удельных теплоёмкостей веществ, из которых изготовлены тела, является верным?
1) \( c_1=c_2 \)
2) \( c_1=3c_2 \)
3) \( c_2=3c_1 \)
4) \( c_2=2c_1 \)
6. На рисунке представлен график зависимости температуры твёрдого тела от отданного им количества теплоты. Масса тела 4 кг. Чему равна удельная теплоёмкость вещества этого тела?
1) 500 Дж/(кг · °С)
2) 250 Дж/(кг · °С)
3) 125 Дж/(кг · °С)
4) 100 Дж/(кг · °С)
7. При нагревании кристаллического вещества массой 100 г измеряли температуру вещества и количество теплоты, сообщённое веществу. Данные измерений представили в виде таблицы. Считая, что потерями энергии можно пренебречь, определите удельную теплоёмкость вещества в твёрдом состоянии.
1) 192 Дж/(кг · °С)
2) 240 Дж/(кг · °С)
3) 576 Дж/(кг · °С)
4) 480 Дж/(кг · °С)
8. Чтобы нагреть 192 г молибдена на 1 К, нужно передать ему количество теплоты 48 Дж. Чему равна удельная теплоёмкость этого вещества?
1) 250 Дж/(кг · К)
2) 24 Дж/(кг · К)
3) 4·10-3 Дж/(кг · К)
4) 0,92 Дж/(кг · К)
9. Какое количество теплоты необходимо для нагревания 100 г свинца от 27 до 47 °С?
1) 390 Дж
2) 26 кДж
3) 260 Дж
4) 390 кДж
10. На нагревание кирпича от 20 до 85 °С затрачено такое же количество теплоты, как для нагревания воды такой же массы на 13 °С. Удельная теплоёмкость кирпича равна
1) 840 Дж/(кг · К)
2) 21000 Дж/(кг · К)
3) 2100 Дж/(кг · К)
4) 1680 Дж/(кг · К)
11. Из перечня приведённых ниже высказываний выберите два правильных и запишите их номера в таблицу.
1) Количество теплоты, которое тело получает при повышении его температуры на некоторое число градусов, равно количеству теплоты, которое это тело отдаёт при понижении его температуры на такое же число градусов.
2) При охлаждении вещества его внутренняя энергия увеличивается.
3) Количество теплоты, которое вещество получает при нагревании, идёт главным образом на увеличение кинетической энергии его молекул.
4) Количество теплоты, которое вещество получает при нагревании, идёт главным образом на увеличение потенциальной энергии взаимодействия его молекул
5) Внутреннюю энергию тела можно изменить, только сообщив ему некоторое количество теплоты
12. В таблице представлены результаты измерений массы \( m \), изменения температуры \( \Delta t \) и количества теплоты \( Q \), выделяющегося при охлаждении цилиндров, изготовленных из меди или алюминия.
Какие утверждения соответствуют результатам проведённого эксперимента? Из предложенного перечня выберите два правильных. Укажите их номера. На основании проведенных измерений можно утверждать, что количество теплоты, выделяющееся при охлаждении,
1) зависит от вещества, из которого изготовлен цилиндр.
2) не зависит от вещества, из которого изготовлен цилиндр.
3) увеличивается при увеличении массы цилиндра.
4) увеличивается при увеличении разности температур.
5) удельная теплоёмкость алюминия в 4 раза больше, чем удельная теплоёмкость олова.
Часть 2
C1.Твёрдое тело массой 2 кг помещают в печь мощностью 2 кВт и начинают нагревать. На рисунке изображена зависимость температуры \( t \) этого тела от времени нагревания \( \tau \). Чему равна удельная теплоёмкость вещества?

1) 400 Дж/(кг · °С)
2) 200 Дж/(кг · °С)
3) 40 Дж/(кг · °С)
4) 20 Дж/(кг · °С)
Ответы

Количество теплоты. Удельная теплоёмкость
Оценкаfizi4ka.ru
Количество теплоты. Удельная теплоемкость
2.6 Количество теплоты. Удельная теплоемкость
Теория: Количество теплоты (Q) – это изменение внутренней энергии путем теплопередачи.Единица измерения количества теплоты [Дж]
Q=cm(t2-t1)
t2 – конечная температура, t1 – начальная температура.
с – удельная теплоемкость, физическая величина показывающая сколько необходимо передать количества теплоты телу массой 1 кг, что бы нагреть его на 1 °С
Чем больше теплоемкость, тем медленее нагревается тело.
Порою для решения задач удобнее использовать формулу Q=cmΔt, где Δt разница температур
В замкнутой системе состоящей из n тел выполнимо условие теплового баланса Q1+Q2+…+Qn=0
Задание демонстрационного варианта ОГЭ 2019: На рисунке представлен график зависимости температуры t твёрдого тела от полученного им количества теплоты Q. Масса тела 2 кг. Чему равна удельная теплоёмкость вещества этого тела?
| Дано: | СИ | Решение: |
|---|---|---|
|
t1=150 °С t2=200 °С Q=50 000 Дж m=2кг | из формулы для количества теплоты при нагревании Q=cmΔt, где Δt=t2-t1=200-150=50 °С, выразим с. c=Q/(mΔt)=50000/(2·50)=500 Дж/(кг°С). Ответ: 250 Дж/(кг°С). |
|
| c – ? |
Задание:На рисунке представлен график зависимости температуры от времени для процесса нагревания слитка свинца массой 1 кг. Какое количество теплоты получил свинец за 10 мин нагревания?
| Дано: | СИ | Решение: |
|---|---|---|
|
t1=27 °С t2=227 °С c=130 Дж/(кг°С) m=1кг | по формуле для количества теплоты при нагревании Q=cm(t2-t1) найдем:
Q= 130·1·(227-27)= 26000 Дж = 26 кДж.
Ответ: 26 кДж. |
|
| Q – ? |
Задание огэ по физике (фипи): Какое количество теплоты выделится при охлаждении 0,1 кг спирта от температуры кипения до 28°С?
1) 12 кДж
2) 90 кДж
3) 102 кДж
| Дано: | СИ | Решение: |
|---|---|---|
|
t1 = 78 °С t2 = 28 °С c = 2400 Дж/(кг°С) m = 0,1 кг | Из справочного материала найдем температуру кипения спирта t1 = 78°С, затем удельную теплоемкость спирта c = 2400 Дж/(кг°С), и по формуле для количества теплоты при нагревании Q=cm(t2-t1) найдем: Q= 2400·0,1·(28-78)= -12000 Дж = -12 кДж. знак “-” показывает что тепло выделилось. Ответ: 12 кДж. ( вариант ответов 1 ). | |
| Q – ? |
Задание огэ по физике (фипи):На рисунке представлен график зависимости температуры твёрдого тела от отданного им количества теплоты. Масса тела 4 кг. Чему равна удельная теплоёмкость вещества этого тела?
| Дано: | СИ | Решение: |
|---|---|---|
|
t1=400 °С t2=200 °С Q=200 000 Дж m=4кг | из формулы для количества теплоты при нагревании Q=cmΔt, где Δt=t1-t2=400-200=200 °С, выразим с. Ответ: 250 Дж/(кг°С). ( вариант ответов 2 ) | |
| c – ? |
Задание огэ по физике (фипи): В калориметр, содержащий 200 г воды при температуре 89 °С, опустили стальную чайную ложку массой 25 г, лежавшую до этого на столе в комнате. После установления теплового равновесия вода в калориметре охладилась до 88 °С. Пренебрегая потерями теплоты и теплоёмкостью калориметра, определите, чему была равна температура ложки до её опускания в калориметр.
| Дано: | СИ | Решение: |
|---|---|---|
|
t1 = 89 °С t2 = 88 °С m1 = 200 г m2 = 25 г c1 = 4200 Дж/(кг°С) | 0,2 кг 0,25 кг | Найдем количество теплоты которое выделится при охлаждении воды: Q=c1m1(t2-t1) Q= 4200·0,2·(88-89)= -840 Дж знак “-” показывает что тепло выделилось. Выделившееся тепло пошло на нагревание стальной ложки. Из формулы Q=c2m2Δt выразим изменение температуры Δt=840/(500·0,025) = 67,20C, получается что температура ложки повысилась на 67,2°С что бы найти начальную температуру ложки t3=t2-Δt получим t3=88-67,2= 20,8°С Ответ: 20,8°С. |
| t3 – ? |
Задание огэ по физике (фипи): Стальной брусок массой 9,36 кг, взятый при температуре 0°С, погрузили в сосуд, содержащий 24 кг воды, температура которой 90°С. На сколько градусов охладится вода к моменту установления теплового равновесия в сосуде? Потерями энергии на нагревание сосуда и окружающего воздуха пренебречь. Ответ округлите до целых.
| Дано: | СИ | Решение: |
|---|---|---|
|
t1 = 0°С t2 = 90°С m1 = 9,36 кг m2 = 24 кг c c2 = 4200 Дж/(кг°С) | При погружении стальнго бруска в воду, стальной брусок начнет нагреваться, а вода охлаждаться. Q1=c1m1(t-t1) – количество теплоты которое поглотит стальной брусок при нагревании до температуры t Q2=c2m2(t-t2) – количество теплоты которое выделится при охлаждении воды до температуры t Уравнение теплового баланса : Q1+ Q2=0 c1m1(t-t1)+c2m2 c1m1t-c1m1t1+c2m2t-c2m2t2=0 c1m1t+c2m2t=c1m1t1+c2m2t2 (c1m1+c2m2)t=c1m1t1+c2m2t2 Ответ: 86°С. |
|
| t – ? |
Задание огэ по физике: . Медную и алюминиевую ложки одинаковой массы, имеющие комнатную температуру, опустили в кипяток. Равное ли количество теплоты они получат от воды? Почему?
Задание огэ по физике 2017: Цинковый и свинцовый шары одинаковой массы остыли на 50°С. При этом при остывании цинкового шара выделилось энергии
1) столько же, сколько при остывании свинцового, т.к. шары имеют одинаковую массу
2) больше, чем при остывании свинцового, так как удельная теплоемкость цинка больше
3) меньше, чем при остывании свинцового, так как удельная теплоемкость цинка больше
Решение: чем больше теплоемкость тем, больше энергии необходимо, что бы изменить температуру тела. Теплоемкость цинка больше чем теплоемкость свинца, значит при остывании цинка на 50°С выделится больше энергии.(массы одинаковы).
Ответ: 2
Предыдущая тема Следующая тема
fizikaege.com
Формулы по физике 8 класс Количество теплоты при нагревании Q=c*m* t
Формулы по физике
8 класс
Количество теплоты при нагревании
Q=c*m*(t2-t1)=с*m*∆t
Q – количество теплоты [Дж] (Джоуль)
с – удельная теплоёмкость [Дж/(кг*ºС), Дж/(кг*ºК)] (Джоуль на килограмм-градус Цельсия, Джоуль на килограмм-градус Кельвина)
m – масса [кг] (килограмм)
t2 – конечная температура [ºC, ºK] (градус Цельсия, градус Кельвина)
t1 – начальная температура [ºC, ºK] (градус Цельсия, градус Кельвина)
∆t – изменение температуры [ºC, ºK] (градус Цельсия, градус Кельвина)
Q>0 – выделение, отдача тепла (энергии)
Q
^
Q=q*m
Q – количество теплоты [Дж] (Джоуль)
q – удельная теплота сгорания [Дж/кг] (Джоуль на килограмм)
m – масса [кг] (килограмм)
^
Q=λ*m
Q – количество теплоты [Дж] (Джоуль)
λ – удельная теплота плавления [Дж/кг] (Джоуль на килограмм)
m – масса [кг] (килограмм)
^
Теплота парообразования
Q=L*m
Q – количество теплоты [Дж] (Джоуль)
L – удельная теплота парообразования [Дж/кг] (Джоуль на килограмм)
m – масса [кг] (килограмм)
^
Сила электрического тока
I=
I – сила тока [А] (Ампер)
q – заряд [Кл] (Кулон)
t – время [с] (секунда)
А – Амперметр, прибор для измерения силы тока, подключается последовательно.
^
U=
U – напряжение [В] (Вольт)
А – работа электрического тока [Дж] (Джоуль)
q – заряд [Кл] (Кулон)
V – вольтметр, прибор для измерения напряжения, подключается параллельно
^
R=ρ*
R – сопротивление проводника [Ом] (Ом)
ρ – удельное сопротивление [Ом*мм2/м, Ом*м] (Ом-квадратный миллиметр на метр, Ом-метр)
l – длина проводника [м] (метр)
s – площадь поперечного сечения проводника [мм2,м2] (квадратный миллиметр, квадратный метр)
^
I=
I – сила тока [А] (Ампер)
R – сопротивление проводника [Ом] (Ом)
U – напряжение [В] (Вольт)
Сопротивление проводника не зависит от силы тока или напряжения, зависит только от геометрических параметров (длина, площадь поперечного сечения и удельное сопротивление материала)
^
1)Последовательное
Rобщее=R1+R2
Iобщая=I1=I2
Uобщее=U1+U2
2)Параллельное
=+
Iобщая=I1+I2
Uобщее=U1=U2
Работа электрического тока
A=I*U*t
А – работа электрического тока [Дж] (Джоуль)
I – сила тока [А] (Ампер)
U – напряжение [В] (Вольт)
t – время [с] (секунда)
^
Q=I2*R*t
Q – количество теплоты, выделяющееся на проводнике [Дж] (Джоуль)
I – сила тока [А] (Ампер)
R – сопротивление проводника [Ом] (Ом)
t – время [с] (секунда)
^
P==I*U
P – мощность электрического тока [Вт] (Ватт)
А – работа электрического тока [Дж] (Джоуль)
t – время [с] (секунда)
I – сила тока [А] (Ампер)
U – напряжение [В] (Вольт)
^
| A(Q)=U*I*t | P=U*I |
| A(Q)=I2*R*t | P=I2*R |
| A(Q)= | P= |
| A(Q)=P*t | P= |
Три закона распространения света
В однородной среде свет распространяется равномерно и прямолинейно
При отражении света от поверхности угол падения равен углу отражения (углом падения/отражения называется угол между падающим/отражённым лучом и перпендикуляром к поверхности)
При переходе света из одной среды в другую луч преломляется. При переходе света из менее плотной среды в более плотную луч отклоняется ближе к перпендикуляру к поверхности, и наоборот.
=
α – угол падения
β – преломлённый угол
n1 – показатель преломления более плотной среды (β)
n2 – показатель преломления менее плотной среды (α)
Оптическая сила линзы
D=
D – оптическая сила линзы [дптр] (диоптрия)
F – фокусное расстояние линзы [м] (метр)
Формула тонкой линзы
=+
F – фокусное расстояние линзы [м] (метр)
f – расстояние от линзы до изображения [м] (метр)
d – расстояние от предмета до линзы [м] (метр)0>
www.velikol.ru
Количество теплоты. Примеры решения задач по физике. 8-10 класс
Количество теплоты. Примеры решения задач по физике. 8-10 класс
Задачи по физике – это просто!
Вспомним
1). Формула количества теплоты, необходимого для нагревания или выделяемого при охлаждении тела:
2). Чтобы нагреть жидкость в сосуде, необходио нагреть не только жидкость, но и сосуд до этой же температуры. Поэтому общее количество теплоты , требуемое для нагревания воды в сосуде, будет равно сумме количеств теплоты, необходиых для нагревания воды и для нагревания сосуда.
3). При смешивании горячей и холодной воды горячая вода остывает и выделяет какое-то количество теплоты, а холодная вода получает это количество теплоты и нагревается. В результате теплообмена устанавливается единая температура жидкости равная tсмеси.
Если нет потерь энергии на нагрев сосуда и окружающей среды, то должно выполняться уравнение теплового баланса.
Решать задачи надо всегда в системе СИ!
А теперь к задачам!
Элементарные задачи из курса школьной физики по расчету количества теплоты для 8-10 класса.
Задача 1
Нагревание жидкости в сосуде.
Определить количество теплоты, необходиое для нагревания 3 литров воды в алюминиевой кастрюле массой 400 г от 20оС до кипения.

Задача 2
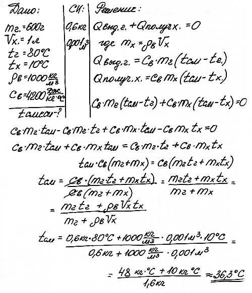
Смешивание жидкостей разной температуры.
В термос с 600 г горячей воды при температуре равной 80оС долили 1 литр холодной воды при температуре 10оС. Определить температуру смеси, считая, что потерь энергии нет.

class-fizika.ru
вопросы по физике, домашнее задание
1). Количество теплоты, необходимое для обращения вещества в пар, или выделяемое при конденсации пара, вычисляется по формуле Q = rm. Q – это количество теплоты. Измеряется в Джоулях (Дж) r – удельная теплота парообразования и конденсации, равная тому количеству теплоты, которое необходимо сообщить 1 кг вещества, чтобы обратить его в пар, или… тому, которое выделится при конденсации 1 кг пара. Измеряется в Дж/кг. m – масса вещества, измеряется в килограммах (кг) . 2). Q = qm. Это формула для расчета количества теплоты, полученного при полном сгорании топлива. Q – количество теплоты, измеряется в джоулях (Дж) ; q – теплота сгорания топлива (удельная) , то есть, то количество теплоты, которое выделяется при полном сгорании 1 кг топлива. Измеряется в Дж/кг. Масса – m, измеряется в кг. 3). На плавление вещества расходуется количество вещества, которое рассчитывается по формуле Q = «лямда» * m. Значение Q и m я уже объяснял. «лямда» – удельная теплота плавления и кристаллизации, то есть, то количество теплоты, которое необходимо сообщить 1 кг вещества, чтобы его расплавить, или то, которое выделится при кристаллизации 1 кг вещества. Измеряется в Дж/кг. 4). Внутренняя энергия тела может измениться вследствие совершения работы телом, или над телом, и вследствие передачи, или получения количества теплоты. Это утверждение формулируется в форме Первого закона термодинамики: « Изменение внутренней энергии системы при переходе ее из одного состояния в другое равно сумме работы внешних сил и количества теплоты, преданного системе. «дельта» U = A + Q; 5) Сравнивая внутреннюю энергию газа в различных сосудах, нужно определить параметры. Внутренняя энергия газа определяется массой газа, его молярной массой и температурой. Если эти параметры одинаковы, то и внутренняя энергия одинакова. Она не зависит от занимаемого объема, если количество молекул и средняя скорость их хаотического (теплового) движения одинакова. Успеха Вам! И «питерки»!
Рекомендую открыть учебник и самой почитать. Для самопроверки <a rel=”nofollow” href=”http://www.fizichka.in.ua” target=”_blank”>www.fizichka.in.ua</a>
Как определить теоретическую несущую способность по наклонному сечению? Q = Qb+Qsv что такое Qb, Qsv , С. УВ. АЙБОЛ
touch.otvet.mail.ru
