формулы физика
Средняя скорость движения | |
Уравнение скорости при ПРмД | |
Перемещение при ПРмД | |
Уравнение ПРмД | |
Сложение скоростей | |
Сложение перемещений | |
Определение ускорения | |
Средняя скорость при ПРуД | |
Уравнение скорости при ПРуД | |
Перемещение при ПРуД | |
Уравнение координаты при ПРуД | |
Путь за одну n-ю секунду при ПРуД |
Движение по окружности
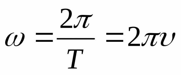
Связь между периодом и частотой | |
Угловая скорость по определению | |
Связь между угловой скоростью и частотой и периодом | |
Ускорение при движении по окружности (центростремительное) | |
Связь между линейной и угловой скоростями | |
Связь между ускорением и периодом |
Динамика
Первый закон Ньютона | |
Второй закон Ньютона | |
Третий закон Ньютона | |
Сила трения скольжения | |
Сила трения покоя | |
Сила трения скольжения на наклонной плоскости | |
Сила трения покоя на наклонной плоскости | |
Закон всемирного тяготения | |
Сила тяжести на поверхности Земли и на высоте Н | |
Ускорение свободного падения на поверхности Земли и на высоте Н | |
Первая космическая скорость | |
Скорость ИСЗ на высоте Н | |
Период обращения ИСЗ |
Работа и мощность. Импульс, энергия. Законы сохранения
Импульс тела (по определению) | |
Cвязь между импульсом силы и изменением импульса тела | |
Закон сохранения импульса тел | |
Механическая работа (по опр.) | A = Fs cosα |
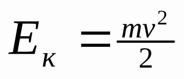
Кинетическая энергия | |
Потенциальная энергия тела, поднятого над Землей | Ep = mgh |
Потенциальная энергия упруго деформированного тела | |
Закон сохранения энергии в отсутствие трения | Ек1 + Ер1 = Ек2 |
Закон сохранения энергии при наличии трения | Ек1 + Ер1 = Ек2 + Ер2 + |
Работа силы трения | Атр = – Fтрs |
Мощность (по определению) | |
Мощность тела при равномерном движении (или мгновенная) | |
КПД |
Статика
Первое условие равновесия | |
Вращающий момент силы | |
Второе условие равновесия |
МКТ идеального газа
Количество вещества в молях | |
Число молекул в массе m | |
Молярная масса (масса моля) | |
Масса вещества | |
Масса одной молекулы | |
Плотность вещества | |
Связь между средней квадратичной скоростью и температурой | |
Связь между температурой Цельсия t и Кельвина T | T = t + 273 |
Связь между средней кинетической энергией и температурой | |
Концентрация молекул | |
Основное уравнение МКТ идеального газа | |
Давление (по определению) | |
Связь между давлением газа и средней кинетической энергией | |
Связь между давлением газа и T | |
Уравнение состояния идеального газа Менделеева-Клапейрона | |
Объединенный газовый закон Клапейрона | |
Закон Бойля-Мариотта (изотермич.) | |
Закон Гей-Люсака (изобарный) | |
Закон Шарля (изохорный) |
Термодинамика
Внутренняя энергия одноатомного идеального газа | |
Работа газа при изобарном процессе | |
Первый закон термодинамики | |
Cвязь работы внешних сил над газом А и работой газа А′ | |
Теплота изохорного процесса | |
Теплота изобарного процесса | A |
Адиабатный процесс Q = 0 | AA |
КПД тепловых двигателей () | |
КПД идеального теплового двигателя Карно | |
Количество теплоты при нагревании (охлаждении) | |
Количество теплоты при плавлении + (отвердевании -) при tпл | |
Количество теплоты при парообразовании + (конденсации -) при tкип | |
Количество теплоты при сгорании топлива | |
Уравнение теплового баланса | |
Абсолютная влажность воздуха | |
Относительная влажность воздуха | |
Способы изменения относительной влажности |
Гидростатика
Вес тела погруженного в жидкость | |
Архимедова сила | |
Гидростатическое давление | |
Свойство сообщающихся сосудов | |
Гидравлический пресс – выигрыш в силе | |
Условие плавания тел |
Электростатика
Электрический заряд | |
Закон сохранения суммы зарядов | |
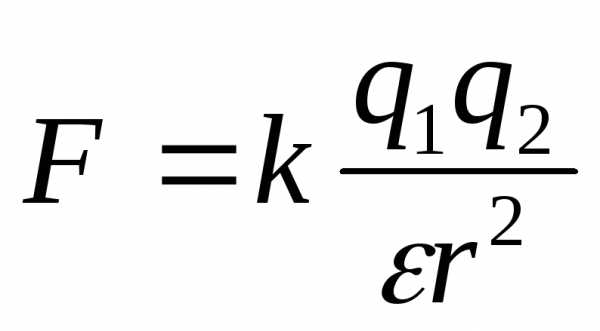
Закон Кулона | |
Напряженность электрического поля (определение) | |
Напряженность поля, созданного точечным зарядом | |
Напряженность поля, созданного заряженным шаром | |
Принцип суперпозиции полей | |
Работа электрического поля по перемещению заряда | |
Потенциальная энергия однородного поля | |
Потенциал электрического поля (определение) | |
Потенциал однородного поля | |
Потенциал поля, созданного точечным зарядом | |
Электроемкость конденсатора | |
Электроемкость плоского конденсатора | |
Энергия заряженного конденсатора | |
Последовательное соединение конденсаторов | |
Параллельное соединение конденсаторов |
Постоянный электрический ток
Сила тока (определение) | |
Зависимость силы тока от скорости движения зар. частиц | |
Закон Ома для участка цепи | |
Зависимость сопротивления проводника от его свойств | |
Зависимость уд. сопротивления проводника от температуры | |
Последовательное соединение проводников | |
Параллельное соединение проводников | |
ЭДС источника тока (определение) | |
Закон Ома для полной цепи | |
Ток короткого замыкания | |
Работа электрического тока | |
Мощность электрического тока | |
Закон Джоуля-Ленца | |
Закон электролиза Фарадея F = 9,6∙104 Кл/моль |
Магнетизм
Сила Ампера | |
Вращающий момент, действующий на рамку с током в магнитном поле | |
Сила Лоренца | |
Радиус окружности при движении заряженной частицы в магнитном поле | |
Период обращения заряженной частицы в магнитном поле | |
Магнитный поток | |
Индуктивность катушки | |
Энергия магнитного поля катушки с током |
Электромагнетизм
ЭДС индукции на концах проводника при движении в магнитном поле | |
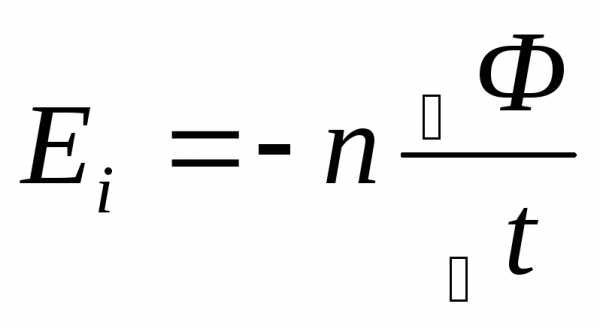
Закон электромагнитной индукции | |
ЭДС самоиндукции | |
Амплитудное значение ЭДС индукции переменного тока | |
Зависимость u(t) и i(t) в цепи переменного тока с активным сопротивлением | |
Средняя мощность в цепи переменного тока с активным сопротивлением | |
Емкостное сопротивление | |
Зависимость u(t) и i(t) в цепи с конденсатором | |
Индуктивное сопротивление | |
Зависимость u(t) и i(t) в цепи с катушкой индуктивности | |
Действующее значение силы тока и напряжения в цепи переменного тока | |
Полное сопротивление цепи переменного тока | |
Условие резонанса | |
Коэффициент трансформации трансформатора | |
Работа трансформатора с нагрузкой | |
КПД трансформатора |
Свободные электромагнитные колебания
Уравнение колебаний заряда q(t) | |
Уравнение колебаний напряжения u(t) на конденсаторе | |
Уравнение колебаний силы тока i(t) на катушке | |
Закон сохранения энергии при свободных электрических колебаниях | |
Циклическая частота колебательного контура | |
Формула Томпсона |
Механические колебания
Уравнение гармонических колебаний x(t) | ; |
Уравнение колебаний скорости | |
Уравнение колебаний ускорения | |
Циклическая частота | |
Циклическая частота колебаний груза на пружине собственная | |
Собственная круговая частота математического маятника | |
Период колебаний груза на пружине | |
Период колебаний математического мятника | |
Период колебаний маятника при движении с ускорениием вверх | |
Период колебаний маятника при движении с ускорением вниз | |
Признак гармонических колебаний | |
Закон сохранения энергии в колебательной системе |
Геометрическая оптика
Закон отражения света | |
Закон преломления света | |
Полное внутреннее отражение | переход в воздух |
Абсолютный показатель преломления света | |
Оптическая сила линзы | |
Увеличение, даваемое линзой | |
Формула тонкой собирающей линзы | |
Формула тонкой рассеивающей линзы | |
Оптическая сила системы линз |
Волновая оптика
Длина волны | |
Условие интерференционного усиления волн (максимума) | |
Условие интерференционного ослабления волн (минимума) | |
Условие дифракционного максимума | |
Наибольший порядок спектра |
studfiles.net
Учим формулы и теорию
Подготовка к ЕГЭ
Допуск к аттестации (терминология)
Механика
Путь перемещение траектория скорость мгновенная скорость ускорение средняя скорость средняя путевая скорость механическое движение сила равнодействующая сила единица измерения скорости единица измерения ускорения единица измерения силы первый закон Ньютона второй закон Ньютона третий закон Ньютона проекция вектора ПРД ПРУД изменение координат формула скорости для ПРУД формула координаты для ПРУД формула координаты для свободного падения свободное падение ускорение свободного падения формула скорости для свободного падения вес сила трения коэффициент трения сила упругости сила тяжести центростремительное ускорение угловая скорость угловое ускорение связь угловой и линейной скорости линейная скорость нормальное ускорение тангенциальное ускорение полное ускорение период частота связь периода и частоты коэффициент упругости соединение пружин эквивалентный коэффициент упругости модуль Юнга деформация виды деформации сила тяжести изменение ускорения свободного падения закон всемирного тяготения направление силы упругости невесомость изменение веса перегрузка первая космическая скорость механическая работа механическая мощность Джоуль Ватт Ньютон энергия кинетическая энергия потенциальная энергия импульс тела импульс силы изменение импульса закон сохранения импульса замкнутая система связь работы и энергии закон сохранения механической энергии закон сохранения энергии КПД сила Архимеда сообщающиеся сосуды условие плавания тел закон Паскаля давление весовое давление сила давления вращающий момент момент импульса плечо силы общее условие равновесия центр масс тела назначение динамометра назначение связок между телами рычаг блок неподвижный блок подвижный наклонная плоскость нормальная сила реакции полная сила реакции
Молекулярная физика. Термодинамика.
Температура жидкостный термометр газовый термометр давление единица измерения давления единица измерения молярной массы углеродная шкала и ее эталоны постоянная Больцмана число Авогадро универсальная газовая постоянная коэффициент поверхностного натяжения единица измерения коэффициента поверхностного натяжения удельная поверхностная энергия поверхностная энергия единица измерения удельной поверхностной энергии капилляр высота жидкости в капилляре молярная масса относительная масса количество вещества основное уравнение МКТ первое положение МКТ второе положение МКТ третье положение МКТ связь относительной и молярной массы средняя квадратичная скорость средняя кинетическая энергия поступательного движения молекул энергетическая температура абсолютная температура абсолютный нуль температуры градус Цельсия градус Кельвина термометр внутренняя энергия изменение внутренней энергии работа газа количество теплоты плавление (процесс) кипение (процесс) испарение (процесс) конденсация (процесс) нагревание (процесс) горение (процесс) отвердевание (процесс) конденсация (процесс) удельная теплоемкость удельная теплота парообразования удельная теплота плавления удельная теплота сгорания плавление (формула) кипение (формула) нагревание (формула) отвердевание (формула) горение (формула) тепловой двигатель КПД (формула) идеальная машина Карно КПД идеальной машины Карно гигрометр относительная влажность насыщенный пар динамическое равновесие пар основное свойство жидкостей основное свойство твердых тел основное свойство газов изотерма изохора изобара адиабата изотермический процесс изобарный процесс изохорный процесс адиабатный процесс закон Бойля-Мариотта закон Гей-Люссака закон Шарля первое начало термодинамики механическое напряжение второе начало термодинамики закон Гука относительное удлинение смачивание несмачивание объединенный газовый закон уравнение Менделеева – Клапейрона
Электростатика
Электризация электрический заряд эталонные заряды виды электризации закон сохранения заряда единица измерения заряда закон Кулона для вакуума закон Кулона для диэлектрической среды электрический коэффициент диэлектрическая проницаемость диэлектрики (+ примеры) проводники (+ примеры) диполь поле вне и внутри проводника поле вне и внутри диэлектрика поляризация диэлектриков виды поляризации электрическая постоянная напряженность (определение) напряженность поля точечного заряда напряженность поля плоскости напряженность поля шара единица измерение напряженности работа однородного электрического поля работа неоднородного электрического поля потенциал (определение) потенциал поля точечного заряда потенциал поля шара однородное поле неоднородное поле теорема Гаусса напряжение разность потенциалов потенциальная энергия заряда в электрическом поле связь напряженности и напряжения поверхностная плотность заряда конденсатор электрическая емкость (определение) батарея конденсаторов емкость плоского конденсатора энергия конденсатора последовательное соединение конденсаторов (формула) параллельное соединение конденсаторов (формула) единица измерения электрической емкости силовые линии электрического поля направление силовых линий электрического поля принцип суперпозиции для напряженности поля принцип суперпозиции для потенциала поля эквипотенциальная поверхность назначение конденсатора формула напряженности поля конденсатора
Колебания и волны
Смещение, амплитуда, период, частота, циклическая частота, уравнение колебаний, зависимость координаты от времени, амплитуда скорости, амплитуда ускорения, зависимость проекции скорости и ускорения от времени, энергия колебаний, классификация колебаний, условие возникновения свободных колебаний, период математического маятника, период пружинного маятника, период кинетической и потенциальной энергии, связь периода и циклической частоты, приведенное ускорение свободного падения, механический резонанс, условие наступления механического резонанса, коэффициент затухания колебаний, колебательный контур, частота колебательного контура, изменение заряда конденсатора в колебательном контуре, превращение энергии в колебательном контуре, добротность контура.
Длина волны, период волны, частота волны, уравнение волны, скорость волны и ее зависимость от внешних факторов, классификация волн, электромагнитные волны, электромагнитное поле, суть уравнений Максвелла, вихревое электрическое поле, особенности вихревого электрического поля, связь магнитного и электрического поля (чертеж) в ЭМВ, связь векторов магнитной индукции и напряженности в ЭМВ, схема ЭМВ, структура ЭМВ, плотность энергии и ее зависимость от частоты, интенсивность потока энергии и ее зависимость от частоты, суть опытов Герца, радио Попова (усовершенствования), скорость ЭМВ в вакууме, радиолокация и определение расстояния.
ЭЛЕКТРОДИНАМИКА
Электромагнетизм
Магнитный поток, магнитная индукция, Вебер, Тесла, Генри, магнитные линии, правило правой руки, сила Ампера, сила Лоренца, правило левой руки, движение заряженной частицы в электрическом поле, использование закона сохранения для описания движения частицы в полях, движение заряженной частицы в магнитном поле, период и радиус траектории заряженной частицы в магнитном поле, взаимодействие параллельных токов, энергия магнитного поля, явление ЭМИ, опыты Фарадея, правило Ленца, ЭДС индукции, индуктивность, соединение катушек последовательно и параллельно (формула), самоиндукция, закон самоиндукции, связь силы тока и магнитного потока.
Постоянный ток
Постоянный ток, Ом, Ампер, Вольт, сила тока, закон Ома для участка цепи, закон Ома для участка цепи в электронном виде, вольт-амперная характеристика, ЭДС, работа сторонних сил, источник тока, условие существования тока в цепи, сопротивление, сверхпроводимость, зависимость сопротивления от температуры, полное сопротивление цепи постоянного тока, внутреннее сопротивление, последовательное соединение резисторов, параллельное соединение резисторов, закон Ома для полной цепи постоянного тока, последовательное соединение источников, параллельное соединение источников, эквивалентная цепь, правила создания эквивалентной цепи, законы для последовательного соединения нагрузок, законы для параллельного соединения нагрузок, закон Джоуля-Ленца, работа постоянного тока в цепи, амперметр, вольтметр, ваттметр, шунт для амперметра, шунт для вольтметра, реостат, потенциометр, мощность постоянного тока, закон Кирхгофа для тока в узле, закон Кирхгофа для распределения напряжений, неоднородный участок цепи, ток в металлах, ток в полупроводниках, ток в жидкостях, ток в вакууме, ток в газе, плазма, закон Фарадея, диссоциация, рекомбинация, электролиз, ток насыщения, диод, триод, р – п переход, транзистор.
Переменный ток
Электрический ток и условие его создания, переменный ток и его преимущества, вращение рамки в магнитном поле и получение переменной ЭДС, мгновенная сила тока, мгновенное напряжение, действующая сила тока, действующее напряжение, напряжение и сила тока в цепи с резистором, напряжение и сила тока в цепи с конденсатором, напряжение и сила тока в цепи с катушкой, активное сопротивления, реактивное емкостное сопротивление, реактивное индуктивное сопротивление, полное сопротивление, правила выполнения векторных диаграмм, закон Ома для участка цепи, закон Ома для полной цепи, резонанс, условие наступления и следствие резонанса, резонансная частота, мощность цепи переменного тока, коэффициент мощности, трансформатор, коэффициент трансформации, КПД трансформатора.
Блоки терминов
1 путь 1 2 единица измерения силы 3 механическая работа 4 коэффициент поверхностного натяжения 5 внутренняя энергия 6 КПД (формула) 7 электризация 8 потенциал поля шара 9 параллельное соединение конденсаторов (формула) 10 принцип суперпозиции для напряженности поля | 1 перемещение 2 2 вес 3 кинетическая энергия 4 коэффициент трения 5 абсолютная температура 6 относительная влажность 7 диполь 8 однородное поле 9 принцип суперпозиции для напряженности поля 10 работа электрического поля (для однородного поля)
| 1 скорость 3 2 сила трения 3 закон сохранения механической энергии 4 молярная масса 5 работа газа в изобарном процессе 6 насыщенный пар 7 работа электрического поля(для неоднородного поля) 8 поверхностная плотность заряда 9 параллельное соединение конденсаторов (формула) 10 принцип суперпозиции для потенциала поля | 1 мгновенная скорость 4 2 перегрузка 3 импульс тела 4 первое положение МКТ 5 графическая интерпретация работы газа 6 насыщенный пар 7 напряженность поля шара 8 разность потенциалов 9 единица измерения электрической емкости 10 энергия конденсатора
| 1 ускорение 5 2 коэффициент упругости 3 механическая мощность 4 основное уравнение МКТ 5 плавление (процесс) 6 изотермический процесс 7 эталонные заряды 8 работа электрического поля 9 принцип суперпозиции для напряженности поля 10 единица измерения электрической емкости |
1 средняя скорость 6 2 энергия 3 вращающий момент 4 относительная масса 5 абсолютный нуль температуры 6 изобарный процесс 7 напряжение 8 батарея конденсаторов 9 напряженность поля шара 10 работа электрического поля (для однородного поля)
| 1 движение 7 2 импульс силы 3 вращающий момент 4 связь относительной и молярной массы 5 испарение (процесс) 6 уравнение Менделеева –Клапейрона 7 электрический заряд 8 параллельное соединение конденсаторов (формула) 9 потенциал поля точечного заряда 10 поляризация диэлектриков | 1 сила 8 2 первая космическая скорость 3 связь периода и частоты 4 третье положение МКТ 5 количество теплоты 6 основное свойство жидкостей 7 напряженность поля шара 8 параллельное соединение конденсаторов (формула) 9 закон Кулона для вакуума 10 единица измерение напряжения и потенциала | 1 равнодействующая сила 9 2 закон Паскаля 3 второй закон Ньютона 4 связь массы и молярной массы 5 нагревание (процесс) 6 относительное удлинение 7 работа электрического поля (для неоднородного поля) 8 единица измерения электрической емкости 9 напряженность поля шара 10 силовая линия | 1 путевая средняя скорость 10 2 изменение импульса 3 сила Архимеда 4 второе положение МКТ 5 кипение (процесс) 6 тепловой двигатель 7 потенциал (определение) 8 принцип суперпозиции для напряженности поля 9 энергия конденсатора 10 закон Кулона для вакуума
|
1 единица измерения скорости 11 2 первый закон Ньютона 3 частота 4 средняя кинетическая энергия поступательного движения молекул 5 конденсация (процесс) 6 уравнение Менделеева –Клапейрона 7 напряженность поля плоскости 8 принцип суперпозиции для потенциала поля 9 закон Кулона для вакуума 10 единица измерения емкости | 1единица измерения ускорения12 2 направление силы упругости 3 закон сохранения механической энергии 4 молярная масса 5 градус Кельвина 6 уравнение Менделеева –Клапейрона 7 проводники (+ примеры) 8 единица измерения электрической емкости 9 принцип суперпозиции для потенциала поля 10 закон Кулона для среды
| 1 единица измерения силы 13 2 потенциальная энергия тела в поле тяготения 3 связь линейной скорости и периода 4 молярная масса 5 горение (процесс) 6 графическая интерпретация работы газа 7 потенциал поля точечного заряда 8 назначение конденсатора 9 закон Кулона для вакуума 10 работа электрического поля (для однородного поля) | 1 угловая скорость 14 2 виды деформации 3 связь работы и потенциальной энергии 4 броуновское движение 5 удельная теплоемкость 6 изобара 7 единица измерение напряженности 8 последовательное соединение конденсаторов (формула) 9 свободный и связанный заряд 10 закон Кулона для вакуума | 1 угловое ускорение 15 2 закон всемирного тяготения 3 связь работы и кинетической энергии 4 энергетическая температура 5 удельная теплота парообразования 6 относительная влажность 7 поле вне и внутри проводника 8 последовательное соединение конденсаторов (формула) 9 закон Кулона для вакуума 10 напряженность поля плоскости |
1 связь угловой и линейной 16 скорости 2 сообщающиеся сосуды 3 закон сохранения импульса 4 связь относительной и молярной массы 5 изохора 6 первое начало термодинамики 7 поляризация диэлектриков 8 принцип суперпозиции для потенциала поля 9 энергия конденсатора 10 поверхностная плотность заряда | 1 линейная скорость 17 2 сила тяжести 3 закон сохранения энергии 4 единица измерения удельной поверхностной энергии 5 пар 6 графическая интерпретация работы газа 7 электризация 8 энергия конденсатора 9 диэлектрическая постоянная 10 теорема Гаусса
| 1 нормальное ускорение 18 2 закон сохранения импульса 3 сила трения 4 удельная поверхностная энергия 5 отвердевание (процесс) 6 изохорный процесс 7 поле вне и внутри диэлектрика 8 емкость плоского конденсатора 9 закон сохранения заряда 10 связь напряженности и напряжения
| 1 тангенциальное ускорение 19 2 назначение динамометра 3 закон сохранения энергии 4 количество вещества 5 конденсация (процесс) 6 изохорный процесс 7 напряженность (определение) 8 последовательное соединение конденсаторов (формула) 9 энергия конденсатора 10 принцип суперпозиции для потенциала поля
| 1 полное ускорение 20 2 сила Архимеда 3 вращающий момент 4 единица измерения коэффициента поверхностного натяжения 5 основное свойство твердых тел 6 первое начало термодинамики 7 напряженность (определение) 8 формула емкости плоского конденсатора 9 связь напряжения и разности потенциалов 10Фарад |
1 период 21 2 третий закон Ньютона 3 кинетическая энергия 4 постоянная Больцмана 5 кипение (процесс) 6 закон Бойля-Мариотта 7 виды электризации 8 связь напряженности и напряжения 9 теорема Гаусса 10 закон Кулона для вакуума | 1 частота 22 2 деформация 3 импульс тела 4 число Авогадро 5 первое начало термодинамики 6 основное уравнение МКТ 7 закон сохранения заряда 8 направление силовых линий электрического поля 9 виды поляризации 10 принцип суперпозиции для потенциала поля | 1 связь периода и частоты 23 2 сила тяжести 3 закон сохранения импульса 4 единица измерения молярной массы 5 удельная теплота сгорания 6 насыщенный пар 7 закон Кулона для вакуума 8 формула напряженности поля конденсатора 9 свободный и связанный заряд 10 закон сохранения заряда
| 1 проекция вектора 24 2 второй закон Ньютона 3 Джоуль 4 средняя квадратичная скорость 5 плавление (формула) 6 закон Шарля 7 виды поляризации 8 теорема Гаусса 9 емкость плоского конденсатора 10 работа электрического поля (для неоднородного поля) | 1 ПРД 25 2 сила упругости 3 закон всемирного тяготения 4 универсальная газовая постоянная 5 кипение (формула) 6 основное свойство газов 7 напряженность поля точечного заряда 8 поляризация диэлектриков 9 направление силовых линий электрического поля 10 последовательное соединение конденсаторов (формула) |
1 ПРУД 26 2 модуль Юнга 3 Ватт 4 поверхностная энергия 5 изотерма 6 первое начало термодинамики 7 закон Кулона для диэлектрической среды 8 силовые линии электрического поля 9 электрическая емкость (определение) 10 энергетическая характеристика электрического поля | 1 изменение координат 27 2 невесомость 3 момент импульса 4 количество вещества 5 градус Цельсия 6 закон Бойля-Мариотта 7 закон Кулона для вакуума 8 неоднородное поле 9 емкость плоского конденсатора 10 напряженность поля точечного заряда
| 1 формула проекции скорости 28 для ПРУД 2 изменение веса 3 общее условие равновесия 4 давление газа 5 нагревание (формула) 6 закон Шарля 7 диэлектрики (+ примеры) 8 емкость плоского конденсатора 9 потенциальная энергия двух взаимодействующих электрических зарядов 10 Кулон | 1 формула координаты тела 29 для ПРУД 2 замкнутая система 3 плечо силы 4 единица измерения давления 5 адиабатный процесс 6 механическое напряжение 7 закон Кулона для вакуума 8 силовая характеристика электрического поля 9 потенциальная энергия заряда в электрическом поле 10 связь напряжения и разности потенциалов
| 1 формула координаты для 30 свободного падения 2 связь работы и энергии 3 вес 4 капилляр 5 адиабата 6 закон Гука 7 единица измерения заряда 8 электрическая емкость (определение) 9 закон Кулона для диэлектрической среды 10 эквипотенциальная поверхность |
1 свободное падение 31 2 Ньютон 3 закон сохранения энергии 4 температура 5 удельная теплота плавления 6 идеальная машина Карно 7 закон Кулона для диэлектрической среды 8 связь напряженности и напряжения 9 поверхностная плотность заряда 10 последовательное соединение конденсаторов (формула)
| 32 1 ускорение свободного падения 2 потенциальная энергия упруго деформированного тела 3 импульс силы 4 жидкостный термометр 5 изменение внутренней энергии 6 второе начало термодинамики 7 напряженность поля точечного заряда 8 конденсатор 9 закон Кулона для диэлектрической среды 10 Фарад | 1 формула скорости для 33 свободного падения 2 потенциальная энергия тела в поле тяготения 3 первый закон Ньютона 4 газовый термометр 5 отвердевание (формула) 6 закон Гей-Люссака 7 электрический коэффициент 8 теорема Гаусса 9 закон сохранения заряда 10 напряженность поля точечного заряда | 1 мгновенная скорость 34 2 изменение импульса 3 условие плавания тел 4 давление (определение) 5 термометр 6 КПД идеальной машины Карно 7 диэлектрическая проницаемость 8 напряжение 9 Фарад 10 напряженность поля плоскости | 1 перемещение 35 2 закон сохранения импульса 3 виды деформации 4 высота жидкости в капилляре 5 горение (формула) 6 гигрометр 7 эталонные заряды 8 потенциальная энергия заряда в электрическом поле 9 параллельное соединение конденсаторов (формула) 10 напряженность поля плоскости |
xn--j1ahfl.xn--p1ai
формулы по физике
4
Площади

l – длинна
b – высота, ширина.
Площадь круга:

Кинематика.
Равномерное движение:
a = 0
V = S/t
Ускоренное движение:
a > 0
a = (V – V0 )/ t
S = S0 + V0t (at2 )/2
a = (V2 – V02 )/ 2S
Последовательный ряд нечетных чисел:
– ую:
просто:

Движение под углом к горизонту.

Скорость по оси ОХ:
Скорость по оси ОУ:
Максимальное время подъема:

tполн = 2t
Расстояние :
S = Vxtполн.

Максимальная высота:


Движение тела, брошенного горизонтально:
;
Динамика.
F = ma
P = mg
Fтр. = -N
F = -F
Момент сил.
M=Fl
M1+M2+…+Mn = 0
Пружина.
x – удлинение.
k – кооф. растяжения.

l = l – l0
l – абсолют. удлинение пружины.

ε -относит. удлинение.
l0 – начальная длинна 


Работа и энергия.
; 
;
Движение по окр-ти.
; 
w – угловая скорость.[рад/с]
v -линейная скорость.
n – частота обращения. [об./мин.]
T – период обращения. [время]
Угловая скорость.
Период обращения.
;
;
;
;
Для случаев, когда n = [обороты]
;
–
частота [1/с = 1 Гц]
–
угол.
l – длинна дуги.
Импульс.
;
Не упругое вз-вие.
до: после:
в проекции на ось х:
Упругое соударение.
до вз-я: после:
в проекции на ось х:
Реактивное движение:
в проекции на ось х: (вверх)
║
0 изначально.
–
импульс газов
Импульс силы.
Механика жидкостей и газов.
Давление. Закон Паскаля.
-//- жидкости на дно сосуда.
;
F
– сила давления
S
– поверхность[1Па = 1Н/1
]
h – высота уровня жидкости.
Сообщающиеся сосуды.
; 
Архимедова сила. Атм. давление
;
; 
/
вытесненной жидкости цилиндром.

Закон Гука. Растягив. сила.
l –первоначальная длинна стержня
Δl –абсолютное удлинение
S –площадь поперечного сеч.
E –кооф. пропорцион., модуль Юнга, модуль упругости.

– напряженность
-закон Гука
КПД машин.


;
[1дж/1с = 1 Вт]
Колебания и волны. Звук.
F – возвращающая сила
k – постоянная возвращающ.
x – смещение
Маятник.
;l
– длинна маятника
Математический маятник – точка, подвешенная на невесомой и нерастяжимой нити.

Пружинный маятник:
; 
–
циклическая частота колебаний
Фаза колебаний.
–
угловая скорость
–
угол поворота

Скорость распространения волн
; 

Электромагнитные колебания.
;
–
собственна частота колебаний в контуре
; 
;
–
фаза
колебаний
–
амплитуда тока

С – скорость в ваакуме
n – абс. показатель преломления среды
Молекулярно-кинетическая
теория
;
–
масса молекулы
–
молярная масса
; N –
число молекул.

Теплоемкость тела.
с – теплоемкость тела
U – внутренняя энергия
А – работа

q – теплота сгорания
!!! Бывает наоборот!
Линейное расширение твердых тел.
–
кооф. линейного расширен.
–
интервал температур.
Объемное расширение твердых тел.
–
кооф. объемного расш. тел.
Свойства газов.
T = const – изотермический
P = const – изобарический
V = const – изохорический
Главный газовый закон:

Закон Менделеева – Клаперона

–
концентрация молекул
=
8.31 Дж/моль*К
–
кол-во в-ва.
; 
; 

k = 1.38*10^-23 Дж/К

–
среднеквадратичная ск-ть
–
средняя кинетич. энергия движ. мол-лы.
КПД тепловой машины.
–
кол-во теплоты, получ. рабочим телом от
нагрев.
–
t
холод.
–
нагреват.
Электричество и магнетизм.
[В/м]
; 

Эквипотенциальные пов-ти.
; 
l – расстояние
–
поверхностная плотность заряда
Закон Кулона
;
[Н]
Ф/м
\ эл. постоянная
Электроемкость. Конденсаторы.

[Дж]
W – Энергия
Электроемкость плоского:

Шара:
Параллельное подключение конденсаторов:
Последовательное подключение:

Постоянный электрический ток.
; 
;
i
– плотность тока

–
Электродвиж. сила
[В]
–
работа, совершенная сторонними силами
–
сила эл. поля

Закон Ома для участка цепи.
;
G – кооф. пропрциональности проводника(его проводимость)

;
–
удельная проводимость.
–
температурный кооф. сопр.
–
удельное сопротивление
[1 град.
^ -1]
постоянная:

Последовательное и парал-ное соединение проводников.
Последовательное:
Параллельное:

Закон Ома для полной цепи:

Последоват. соед. батарей:
; 
n – кол-во батарей
Параллельное соед. батарей:
; 
Работа при перемещении эл. заряда в эл. поле. Потенциал.
; 
– потенциал эл. поля
–
потенциальная энергия заряда в поле.
Работа и мощность эл. тока:
Напряжение.

Магнитное поле
; 


При расположении проводника с током под углом альфа к вектору В.
B – магнитная индукция
I – сила тока
l – длинна проводника
M – макс. момент сил
S – площадь рамки
Сила Лоуренца
;

n – концентр. свободных частиц
v –скорость упор. движ.
S –площадь поперечного сечения проводника
Магнитная прониуаемость.
;
– магнитная
прониц. среды
H- напряженность магнитного поля.
Электромагнитная индукция
[Вб]
; 
Ф – магнитный поток
; 
Самоиндукция.
;
[Гн]
; 
;
W – энергия
Магнитная рамка.
b,a – стороны рамки
S – площадь рамки
Электроны.
; 

Электролиты
Оптика
Закон преломления
;
–
ваакум
;
;
;
–
относит. показатель преломления.
–
скорости света во 2-й и первой средах.
Линзы


d –расстояние предмета от линзы
f –расстояние от изображения до предмета
F – фокус
D –Оптическая сила линзы [диоптрии]
k – увеличение линзы
Квантовая физика
;
; 
; 
–
длинна волны излучения
–
импульс фотона
–
частота излучения
В магнитно-преломляющих средах:

В однородно прозрачной среде:

–
относит. диэликтрич. проницаемость
среды
–
относит. магнитная проницаемость среды.

n – постоянная
Уравнение Эйнштейна.
;
А – работа выхода электрона из в-ва
Фотоэффект.

Для того, чтобы фотоэффект имел место, необходимо что бы энергия кванта света была больше работы выхода. Предльное значение частоты, при которой еще наблюдается фотоэффект, наз. красной границей фотоэффекта.
studfiles.net
