Первообразная и интеграл | Формулы с примерами
ФормулаПервообразная формула
Основное свойство первообразной
Неопределенный интеграл, формула
Простейшие правила интегрирования, формулы

Таблица интегралов, формулы

Определенный интеграл функции, формула
Формула Ньютона Лейбница
Свойства определенного интеграла, формулы

Площадь фигуры, ограниченной линиями, формула
Объем тела, площадь поперечного сечения которого задается функцией S (x), формула
Объем тела, образованного вращением вокруг оси OX криволинейной трапеции, ограниченной линиями
Работа переменной силы F (x) при прямолинейном перемещении материальной точки вдоль оси OX из точки a в точку b, формула
formula-xyz.ru
Первообразная и неопределенный интеграл.
Функция $F(x)$ называется первообразной функции $f(x),$ заданной на некотором множестве $X,$ если $F'(x)=f(x)$ для всх $x\in X.$ Если $F(x -)$ первообразная функции $f(x),$ то $\Phi(x)$ является первообразной той же функции в том и только в том случае, когда $\Phi(x)=F(x)+C,$ где $C$ – некоторая постоянная. Совокупность всех первообразных функции $f(x)$ называется неопределенным интегралом от этой функции и обозначается символом $$\int f(x)\,dx.$$ Таким образом, по определению $$\int f(x)\,dx=F(x)+C,$$ где $F(x)$ одна из первообразных функции $f(x)$ а постоянная $C$ принимает действительные значения.
Свойства неопределенного интеграла.
1. $\left(\int f(x)\,dx\right)’=f(x).$
2. $\int f'(x)dx=f(x)+C.$
3. $\int af(x)dx=a\int f(x) dx.\,\,\,\,\,\,a\neq 0.$
4. $\int (f_1(x)+f_2(x))dx=\int f_1(x)\,dx+\int f_2(x)\, dx.$
Таблица основных неопределенных интегралов.
1. $\int dx=x+C$
2. $\int x^{\alpha}dx=\frac{x^{\alpha+1}}{\alpha+1}+C$
3. $\int {dx}{x}=\ln |x|+C$
4. $\int a^x dx=\frac{a^x}{\ln a}+C$
5. $\int e^x dx=e^x+C$
6. $\int \sin x dx=-\cos x+C$
7. $\int \cos x dx=\sin x+C$
8. $\int \frac{dx}{\cos^2 x}=tg x+C$
9. $\int \frac{dx}{sin^2 x}=-ctg x+C$
10. $\int \frac{dx}{\sqrt{a^2-x^2}}=\arcsin\frac{x}{a}+C$
11. $\int \frac{dx}{\sqrt{x^2 \pm a^2}}=\ln\left|x+\sqrt{x^2\pm a^2}\right|+C$
12. $\int \frac{dx}{x^2+a^2}=\frac{1}{a}arctg\frac{x}{a}+C$
13. $\int \frac{dx}{x^2 -a^2}=\frac{1}{2a}\ln\left|\frac{x-a}{x+a}\right|+C$
14. $\int sh x dx = ch x+C$
15. $\int ch x dx = sh x+C$
16. $\int \frac{dx}{ch^2 x} = th x+C$
17. $\int \frac{dx}{sh^2 x} = -cth x+C$
Примеры.
Найти первообразные следующих функций:
6.1. $2x^7.$
Решение.
Из определения первообразной следует, что нам необходимо найти такую функцию $F(x),$ что $F'(x)=2x^7.$
$$(x^8)’=8x^7\Rightarrow (\frac{1}{4}x^8)’=2x^7.$$
Таким образом, $F(x)=0,25 x^8,$ а все первообразные заданной функции имеют вид $0,25x^8+c.$
Ответ: $0,25x^8+c.$
6.4.$\frac{x^3+5x^2-1}{x}.$
Решение.
Из определения первообразной следует, что нам необходимо найти такую функцию $F(x),$ что $F'(x)=\frac{x^3+5x^2-1}{x}=x^2+5x-\frac{1}{x}.$
$$(x^3)’=3x^2\Rightarrow (\frac{1}{3}x^3)’=x^2;$$
$$(x^2)’=2x\Rightarrow (\frac{5}{2}x^2)’=5x;$$
$$(\ln |x|)’=\frac{1}{x}.$$
Отсюда находим, $$F(x)=\frac{1}{3} x^3+\frac{5}{2}x^2-\ln |x|,$$ а все первообразные заданной функции имеют вид $\frac{1}{3} x^3+\frac{5}{2}x^2-\ln |x|+c.$
Ответ: $\frac{1}{3} x^3+\frac{5}{2}x^2-\ln |x|+c.$
6.7.$\frac{1}{\sqrt{a+bx}}.$
Решение.
Из определения первообразной следует, что нам необходимо найти такую функцию $F(x),$ что $F'(x)=\frac{1}{\sqrt{a+bx}}.$
$$(\sqrt{a+bx})’=\frac{1}{2\sqrt{a+bx}}(a+bx)’=\frac{b}{2\sqrt{a+bx}}\Rightarrow$$ $$\Rightarrow (\frac{2}{b}\sqrt{a+bx})’=\frac{1}{\sqrt{a+bx}}.$$
Таким образом, $$F(x)=\frac{2}{b}\sqrt{a+bx},$$ а все первообразные заданной функции имеют вид $\frac{2}{b}\sqrt{a+bx}+c.$
Ответ: $\frac{2}{b}\sqrt{a+bx}+c.$
6.10.$\frac{1}{\cos^2{4x}}.$
Решение.
Из определения первообразной следует, что нам необходимо найти такую функцию $F(x),$ что $F'(x)=\frac{1}{\cos^2{4x}}.$
$$(tg 4x)’=\frac{1}{\cos^2{4x}}(4x)’=\frac{4}{\cos^2{4x}}\Rightarrow (\frac{1}{4}tg 4x)’=\frac{1}{\cos^2 4x}.$$
Таким образом, $$F(x)=\frac{1}{4 }tg 4x,$$ а все первообразные заданной функции имеют вид $0,25 tg 4x+c.$
Ответ: $0,25 tg 4x+c.$
Используя таблицу основных интегралов, найти следующие интегралы:
6.15.$\int\left(3x^2+2x+\frac{1}{x}\right)\, dx.$
Решение.
$$\int\left(3x^2+2x+\frac{1}{x}\right)\, dx=3\int x^2 dx+2\int xdx+\int\frac{1}{x}dx=$$ $$=3\frac{x^3}{3}+2\frac{x^2}{2}+\ln |x|+c=x^3+x^2+\ln|x|+c.$$
Ответ: $x^3+x^2+\ln|x|+c.$
6.17.$\int\sqrt{mx}\,dx.$
Решение.
$$\int\sqrt{mx}\, dx=\sqrt m\int x^{\frac{1}{2}}\,dx=\sqrt m\frac{x^{1/2+1}}{1/2+1}+c=\sqrt m\frac{x^{\frac{3}{2}}}{\frac{3}{2}}+c=$$ $$=\frac{2\sqrt {mx^3}}{3}+c.$$
Ответ: $\frac{2\sqrt{mx^3}}{3}+c.$
6.19.$\int\left(\frac{1}{\sqrt[3]{x^2}}-\frac{x+1}{\sqrt[4]{x^3}}\right)\,dx.$
Решение.
$$\int\left(\frac{1}{\sqrt[3]{x^2}}-\frac{x+1}{\sqrt[4]{x^3}}\right)\,dx=\int x^{-2/3}dx-\int\frac{x}{x^{3/4}}\,dx-\int\frac{1}{x^{3/4}}dx=$$ $$=\int x^{-2/3}dx-\int{x^{1/4}}\,dx-\int{x^{-3/4}}dx=$$ $$=\frac{x^{-2/3+1}}{-2/3+1}-\frac{x^{1/4+1}}{1/4+1}-\frac{x^{-3/4+1}}{-3/4+1}+c=$$ $$=3x^{1/3}-\frac{4x^{5/4}}{5}-4{x^{1/4}}+c=$$
Ответ: $3\sqrt[3]x-\frac{4}{5}x\sqrt[4]{x}-4\sqrt[4]{x}+c.$
6.22.$\int 2^xe^x\, dx.$
Решение.
$$\int 2^xe^x\,dx=\int (2e)^x\,dx=\frac{(2e)^x}{\ln (2e)}+c=\frac{(2e)^x}{\ln2+1}+c$$
Ответ: $\frac{(2e)^x}{\ln 2+1}+c.$
6.24.$\int(2x+3\cos x)\,dx.$
Решение.
$$\int (2x+3\cos x)\,dx=2\int x\,dx+3\int\cos x\,dx=2\frac{x^2}{2}+3\sin x+c=$$ $$=x^2+3\sin x+c$$
Ответ: $x^2+3\sin x+c.$
6.28.$\int\sin^2\frac{x}{2}\,dx.$
Решение.
$$\int \sin^2\frac{x}{2}\,dx=\int \frac{1-\cos x}{2}\,dx=\frac{1}{2}\int\,dx-\frac{1}{2}\int\cos x\,dx=$$ $$=0,5 x-0,5\sin x+c.$$
Ответ: $0,5 x-0,5\sin x+c.$
6.42.$\int\frac{dx}{\sqrt{x^2-7}}.$
Решение.
$$\int \frac{dx}{\sqrt{x^2-7}}=\ln|x+\sqrt{x^2-7}|+c.$$
Ответ: $\ln|x+\sqrt{x^2-7}|+c.$
mathportal.net
Первообразная функция и неопределенный интеграл
СОДЕРЖАНИЕ
1. Первообразная функция и неопределенный интеграл
2. Таблица простейших интегралов
3. Интегрирование методом замены переменной
4. Метод интегрирования по частям
5. Понятие о неберущихся в конечном виде интегралах
6. Интегрирование рациональных функций
7. Интегрирование тригонометрических рациональных выражений
8. Интегрирование простейших иррациональных выражений
Н Е О П Р Е Д Е Л Ё Н Н Ы Й И Н Т Е Г Р А Л
1. Первообразная функция и неопределенный интеграл
Восстановление функции F(x) по известной производной этой функции F’(x)=f (x) (или по известному ее дифференциалу dF(x)=f(x)dx) называется интегрированием, а искомая функция F(x) называется первообразной функцией.
Всякая функция f(x) имеет бесчисленноемножество различных первообразных функций, отличающихся друг от друга на постоянное слагаемое, т. е. если F(x) – первообразная для f(x), то и F(x)+C, где С — произвольная постоянная, есть также первообразная для f(x), действительно
[F(x)+C]’=F‘(x)=f(x). Cовокупность всех первообразных F(x)+C одной и той же функции f(x) называется неопределенным интегралом этой функции и обозначается символом
, (1)
где x — переменная интегрирования, f(x) — подынтегральная функция, f(x)dx — подынтегральное выражение.
Геометрически, графики всех первообразных функций для f(x) представляют в системе координат XOY семейство кривых, которые получаются одна из другой путем параллельного переноса вдоль оси Y на величину С.
Как следует из понятия неопределенного интеграла, интегрирование и нахождение дифференциала являются обратными действиями. Действительно, если первообразная, а значит и неопределенный интеграл для функции f(x) существует, то подынтегральное выражение представляет собой дифференциал любой из этих первообразных
f(x)dx=F'(x)d(x)=dF(x),
тогда
d∫f(x)dx=d[F(x)+C]=F'(x)dx=f(x)dx, (2)
∫dF(x)=∫ f(x)dx=F(x)+C, (3)
т. е. знаки d и ∫ взаимно сокращаются.
Укажем основные свойства неопределенного интеграла, правильность которых можно проверять дифференцированием.
І. Постоянный множитель выносится за знак интеграла.
∫Af(x)dx=A∫ f(x)dx (4)
2. Интеграл от алгебраической суммы (разности) функций равен сумме (разности) интегралов.
∫[f(x)± φ(x)]dx=∫f(x)dx ±∫φ(x)dx . (5)
3. Неопределенный интеграл не зависит от выбора переменной интегрирования.
∫f(u)du= F(u)+C, (6)
где u — независимая переменная или функция x, u=u(x). Этот результат следует непосредственно из правила дифференцирования сложной функции
; , ,
тогда
.
4. Интеграл ∫udv может быть сведен к интегралу ∫vdu.
Из формулы дифференцирования произведения двух функций d(uv)=udv+vdu
интегрированием получается следующее равенство
∫udv = uv – ∫vdu, (7)
которое называется формулой интегрирования по частям.
2. Таблица простейших интегралов
Пользуясь тем, что интегрирование – операция обратная вычислению дифференциала можно записать основные формулы интегрирования
1. α ≠ -1
2.
3.
4.
5.
6.
7.
8.
9.
Для полноты таблицы добавим еще две формулы.
10.
11.
В этих формулах u — независимая переменная или функция от независимой переменной, a – постоянная (в формуле 7 а ).
Приведем простейшие примеры вычисления интегралов:
Пример 1.
Пример 2.
Пример 3.
1.Разлагая интеграл 1 по свойству 2 на три интеграла и вынося постоянный множитель за знак интеграла (свойство 1), приведем интеграл к следующему виду:
далее первый и второй интегралы вычисляются по формуле 1 таблицы, а
в третьем — знаки ∫ и d взаимно сокращаются (интегрирование и взятие дифференциала – обратные действия).
.
2.Интеграл табличный, формула 3.
3.Подынтегральная функция (пр.3) может быть преобразована и сведена к разности двух функций, а значит к двум интегралам, интегрируемых по формуле 1 таблицы.
Для вычисления различных интегралов дополним таблицу определенными приёмами и методами интегрирования.
3. Интегрирование методом замены переменной.
Метод замены переменной или подстановки является одним из самых эффективных приемов интегрирования и вытекает из свойства 3.
Пусть требуется вычислить , во многих случаях удается в качестве новой переменной выбрать такую функцию u=u(x) , чтобы подынтегральное выражение представилось в виде
,
тогда достаточно найти интеграл
чтобы из него подстановкой u=u(x) получить искомый интеграл, т. е.
(9)
Рассмотрим частный случай замены переменной, если ∫ f(x)dx=F(x)+C, то
(8)
Действительно, , тогда
т. е. и функция оказывается первообразной
для f(ax+b).
Пример 4.
Пример 5. .
Пример 6.
Пример 7.
так как , то полагая , получим
При выборе подстановки , упрощающей подынтегральное выражение, нужно помнить, что в его составе должен найтись множитель , дающий дифференциал новой переменной. В примере 7- это множитель
Приведем ряд примеров на вычисление интегралов, которые заменой переменной сводятся к табличным.
Пример 8.
полагаем тогда и
.
Пример 9.
Замена подставляя новую переменную в исходный интеграл, получим
Пример 10.
В состав подынтегрального выражения входит множитель , являющийся
дифференциалом функции lnx , отсюда подстановка u=lnx, du=d(lnx) т. е.
Пример 11.
Подстановка x3 = u, du=3x2dx сводит искомый интеграл к другому интегралу, который является табличным.
ΩΩΩ
Интегрирование дробей, содержащих квадратный трехчлен
(10)
при условии, что квадратный трехчлен x2 +px+q не имеет действительных корней .
Для вычисления интеграла из квадратного трехчлена выделяется полный квадрат двучлена т. к. , то подстановка приводит к следующей замене
Искомый интеграл принимает следующий вид:
Первый интеграл аналогичен интегралу из примера 8, второй табличный
/формула 6/.
Пример 12.
Выделяем полный квадрат x2 +4x+10=(x2+4x+4)+(10-4), делаем замену x+2=
4. Метод интегрирования по частям
Согласно свойству 4 вычисление интеграла может быть сведено к отысканию другого интеграла . Применение формулы целесообразно, если будет проще, чем или подобен ему. Для применения формулы интегрирования по частям к интегралу следует подынтегральное выражение представить в виде произведения двух множителей u и dv . За dv выбирается выражение, которое содержит dx, и из которого v можно получить непосредственным интегрированием, за u , как правило, принимается функция, которая при дифференцировании упрощается, например ln
Пример 13.
Примем за , тогда , подставляя в формулу (7), получим
Второй интеграл вычисляется подстановкой , окончательный результат
Пример 14.
Принимаем за , находим подставляем в (7)
matematiku5.ru
Неопределенный интеграл и первообразная . Свойства и таблица неопределенных интегралов. Правила и методы интегрирования – Математический анализ. Интегральное исчисление
Неопределенный интеграл. Понятие первообразной
Первообразная, основные понятия и определения
Определение
Функция называется первообразной для функции на промежутке , конечном или бесконечном, если функция дифференцируема в каждой точке этого промежутка и ее производная удовлетворяет следующему равенству:
Последнее равенство можно записать через дифференциалы:
или
Пример
Функция является первообразной для функции , так как
Первообразная имеет конечную производную, а, следовательно, является непрерывной функцией.
Теорема
(О бесконечном множестве первообразных для функции)
Если функция является первообразной для функции на некотором промежутке, то и функция , где – произвольная постоянная, также будет первообразной для функции на рассматриваемом промежутке.
Пример
Известно, что для функции первообразной является функция , а, следовательно, и все функции вида также будут первообразными, так как выполняется равенство :
Таким образом, если функция имеет первообразную, то она имеет бесконечное множество первообразных.
Теорема
(Об общем виде первообразной для функции)
Если функции и – две любые первообразные функции , то их разность равна некоторой постоянной, то есть
Последнюю теорему можно сформулировать иначе: каждая функция, которая является первообразной для функции , может быть представлена в виде .
Неопределенный интеграл
Определение
Совокупность всех первообразных функции , определенных на заданном промежутке, называется неопределенным интегралом от функции и обозначается символом . То есть
Знак называется интегралом, – подынтегральным выражением, – подынтегральной функцией, а – переменной интегрирования.
Операция нахождения первообразной или неопределенного интеграла от функции называется интегрированием функции . Интегрирование представляет собой операцию, обратную дифференцированию.
Геометрическая интерпретация неопределенного интеграла
Неопределенный интеграл представляет собой семейство параллельно расположенных кривых , где каждому конкретному числовому значению постоянной соответствует определенная кривая из указанного семейства.
График каждой кривой из семейства называется интегральной кривой.
Теорема
Каждая непрерывная на промежутке функция, имеет на этом интервале первообразную.
Свойства неопределенного интеграла
1. Дифференциал от неопределенного интеграла равен подынтегральному выражению
Пример
2. Производная от неопределенного интеграла равна подынтегральной функции
Пример
3. Неопределенный интеграл от дифференциала некоторой функции равен этой функции плюс произвольная постоянная
Пример
4. Постоянный множитель можно выносить за знак неопределенного интеграла или вносить под знак интеграла
Пример
5. Неопределенный интеграл от суммы/разности двух и больше функций равен сумме/разности неопределенных интегралов от этих функций
Пример
6. Если , то и , где функция – произвольная функция с непрерывной производной.
Пример
Известно, что , а тогда
Таблица интегралов, таблица неопределенных интегралов
В таблице интегралов мы постарались собрать самое полное собрание формул, которое поможет Вам решить любой интеграл. Неизменными спутниками таблицы интегралов являются – таблица производных и формулы производных , которые также в полном виде представлена у нас на сайте.
Основные формулы

1. Метод непосредственного интегрирования
Приведение к табличному виду или метод непосредственного интегрирования. С помощью тождественных преобразований подынтегральной функции интеграл сводится к интегралу, к которому применимы основные правила интегрирования и возможно использование таблицы основных интегралов.
Пример
Задание. Найти интеграл
Решение. Воспользуемся свойствами интеграла и приведем данный интеграл к табличному виду.
Ответ.
Метод непосредственного интегрирования
Определение
Метод интегрирования, при котором интеграл с помощью тождественных преобразований подынтегральной функции и применения свойств интеграла приводится к одному или нескольким табличным интегралам, называется непосредственным интегрированием.
Таким образом, алгоритм действий следующий:
- тождественное преобразование подынтегральной функции;
- применение свойств неопределенного интеграла: вынесение константы за знак интеграла, представление интеграла от суммы функций в вид суммы интегралов;
- использование таблицы интегралов.
В простейших примерах для применения непосредственного интегрирования достаточно разложить подынтегральную функцию на слагаемые и постоянные величины вынести за знак интеграла.
При определенной практике интегрирования обычно эти действия проводят устно, записывая лишь результат интегрирования.
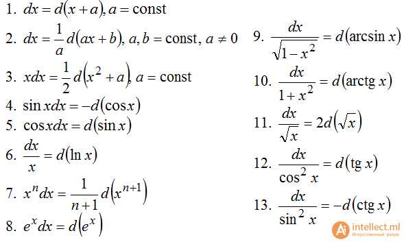
2. Внесение под знак дифференциала
В формуле неопределенного интеграла величина означает, что берется дифференциал от переменной . Можно использовать некоторые свойства дифференциала, чтобы, усложнив выражение под знаком дифференциала, тем самым упростить нахождение самого интеграла. Для этого используется формула
Если нужная функция отсутствует, иногда ее можно образовать путем алгебраических преобразований.
Интегрирование внесением под дифференциал
Пусть требуется найти неопределенный интеграл . Предположим, что существуют дифференцируемые функции и такие, что
Тогда
Указанное преобразование подынтегрального выражения называют подведением под знак дифференциала.
Тогда, если и , то имеет место следующее равенство:
Замечание. При интегрировании методом подведения под знак дифференциала полезны следующие равенства для дифференциалов:

Пример
Задание. Внесением под дифференциал найти неопределенный интеграл
Решение. Внесем под знак дифференциала, тем самым приведя исходный интеграл к табличному.
Ответ.
В общем виде справедливо равенство:
Пример
Задание. Найти интеграл
Решение. Внесем под знак дифференциала, тем самым приведя исходный интеграл к табличному.
Ответ.
3. Интегрирование заменой переменной
Интегрирование заменой переменной или методом подстановки. Пусть , где функция имеет непрерывную производную , а между переменными и существует взаимно однозначное соответствие. Тогда справедливо равенство
Определенный интеграл зависит от переменной интегрирования, поэтому если выполнена замена переменных, то обязательно надо вернуться к первоначальной переменной интегрирования.
Интегрирование заменой переменной
Суть данного метода заключается в том, что в рассмотрение вводится новая переменная интегрирования или, что тоже самое, делается подстановка. После этого заданный в условии интеграл сводится либо к табличному интегралу, либо к нему сводящемуся.
Если в неопределенном интеграле сделать подстановку , где функция – функция с непрерывной первой производной, то тогда и согласно свойству 6 неопределенного интеграла имеем, что:
Эта формула называется формулой замены переменной в неопределенном интеграле.
Замечание
После нахождения интеграла по новой переменной необходимо вернуться к первоначальной переменной .
Замечание
В некоторых случаях целесообразно делать подстановку , тогда
Пример
Задание. Найти интеграл
Решение. Заменим знаменатель на переменную и приведем исходный интеграл к табличному.
Ответ.
4 Интегрированием по частям называют интегрирование по формуле
При нахождении функции по ее дифференциалу можно брать любое значение постоянной интегрирования , так как она в конечный результат не входит. Поэтому для удобства будем брать .
Использование формулы интегрирования по частям целесообразно в тех случаях, когда дифференцирование упрощает один из сомножителей, в то время как интегрирование не усложняет другой.
Метод интегрирования по частям
Рассмотрим функции и , которые имеют непрерывные производные. Согласно свойствам дифференциалов, имеет место следующее равенство:
Проинтегрировав левую и правую части последнего равенства, получим:
Полученное равенство перепишем в виде:
Эта формула называется формулой интегрирования по частям. С ее помощью интеграл можно свести к нахождению интеграла , который может быть более простым.
Пример
Задание. Найти интеграл
Решение. В исходном интеграле выделим функции и , затем выполним интегрирование по частям.
Ответ.
intellect.ml
