Основные формулы для подготовки к ЕГЭ по физике
Разделы физики:
Справочные данные
Десятичные приставки
Константы

Соотношение между различными единицами
Масса частиц
Плотность
Молярные массы

Удельная теплоемкость

Нормальные условия
Давление 105 Па, температура 0°C
Температура плавления некоторых элементов

Удельное сопротивление

Масса атомов
Энергия покоя
Электрона – 0,5 МэВ
Нейтрона – 939,6 МэВ
Протона – 938,3 МэВ

Вернуться в меню выбора предмета
19 обязательных формул для успешной сдачи ЕГЭ по физике
Как правило, именно математику, а не физику принято считать королевой точных наук. Мы полагаем, что это утверждение спорно, ведь технический прогресс невозможен без знания физики и её развития. Из-за своей сложности она вряд ли когда-либо будет включена в список обязательных государственных экзаменов, но, так или иначе, абитуриентам технических специальностей приходится сдавать её в обязательном порядке. Труднее всего запомнить многочисленные законы и формулы по физике для ЕГЭ, именно о них мы расскажем в этой статье.
Секреты подготовки
Возможно, это связано с кажущейся сложностью предмета или популярностью профессий гуманитарного и управленческого профиля, но в 2016 году только 24 % всех абитуриентов приняли решение сдавать физику, в 2017 – лишь 16 %. Такие статистические данные невольно заставляют задуматься, не слишком ли завышены требования или просто уровень интеллекта в стране падает. Почему-то не верится, что так мало школьников 11 класса желают стать:
- инженерами;
- ювелирами;
- авиаконструкторами;
- геологами;
- пиротехниками;
- экологами,
- технологами на производстве и т.д.
Знание формул и законов физики в равной степени необходимо для разработчиков интеллектуальных систем, вычислительной техники, оборудования и вооружения. При этом всё взаимосвязано. Так, например, специалисты, производящие медицинское оборудование, в своё время изучали углубленный курс атомной физики, ведь без разделения изотопов, у нас не будет ни рентгенологической аппаратуры, ни лучевой терапии. Поэтому создатели ЕГЭ постарались учесть все темы школьного курса и, кажется, не пропустили ни одной.
Те ученики, которые исправно посещали все уроки физики вплоть до последнего звонка, знают, что в период с 5 по 11 класс изучается около 450 формул. Выделить из этих четырех с половиной сотен хотя бы 50 крайне сложно, поскольку все они важны. Подобного мнения, очевидно, также придерживаются разработчики Кодификатора. Тем не менее, если вы одарены необыкновенно и не ограничены во времени, вам хватит 19 формул, ведь при желании из них можно вывести все остальные. За основу мы решили взять главные разделы:
- механику;
- физику молекулярную;
- электромагнетизм и электричество;
- оптику;
- физику атомную.
Очевидно, что подготовка к ЕГЭ должна быть ежедневной, но если по каким-то причинам вы приступили к изучению всего материала лишь сейчас, настоящее чудо может совершить экспресс-курс, предлагаемый нашим центром. Надеемся, эти 19 формул также будут вам полезны:
Вы, наверное, заметили, что некоторые формулы по физике для сдачи ЕГЭ остались без пояснений? Мы предоставляем вам самим их изучить и открыть для себя законы, по которым абсолютно всё вершится в этом мире.
ege-merlin.ru
Как сдать ЕГЭ по физике — Учёба.ру
Федор Григорьев,
к.х.н., в.н.с. МГУ им. М.В. Ломоносова, доцент НИЯУ МИФИ,
эксперт в области ЕГЭ по физике, учитель физики Предуниверситария НИЯУ МИФИ
Существует мнение, что физика — самый сложный предмет ЕГЭ. Как сейчас обстоит дело с физикой в общеобразовательных школах? Насколько хорошо школьники ее знают?
Я согласен с тем, что физика — один из самых трудных ЕГЭ. Существует рейтинг сложности предметов, и физика в нем занимает первое место, а дальше уже идут алгебра, геометрия и русский язык. В обычной школе на физику отводится один или два часа в неделю. Чтобы хорошо подготовиться и сдать ЕГЭ, этого недостаточно, даже если ученик обладает определенными способностями к предмету.
В школе ребята сдают два итоговых экзамена по физике — ОГЭ (ГИА) в конце 9 класса и ЕГЭ в конце 11 класса. Между ними есть разница. ГИА устроен таким образом, чтобы его смогли сдать все школьники, это экзамен за среднюю школу, и он довольно простой. Для подготовки к ГИА вполне достаточно двух часов физики в неделю. Что касается ЕГЭ по физике, он рассматривается как заявка на поступление в вуз естественно-научного профиля. Поэтому считается, что здесь выпускник должен продемонстрировать некую базу, необходимую для дальнейшего обучения в вузе. Экзамен сложный и требует соответствующей подготовки. Сейчас школьники имеют массу возможностей для этого. Есть профильные лицеи, при ведущих вузах работают предуниверситарии, во многих обычных школах есть физико-математические классы.
Какие изменения в ЕГЭ по физике произошли в 2017 году? Насколько они усложнили экзамен?
В этом году в экзамене по физике изменена структура первой части работы. Из нее исключены задания с выбором верного ответа и добавлены задания с кратким ответом. Это немного усложнило экзамен. Теперь надо не выбирать ответ, а получить его. Тем не менее эти задачи нельзя назвать сложными, так как они решаются с применением одного из законов. Фактически это задачи «на подстановку». При этом важно записать ответ именно в требуемых единицах измерения.
По вашему опыту преподавания, какие разделы физики самые сложные для школьников? И какие темы самые простые?
Самыми трудными являются атомная и квантовая физика, интерференция, дифракция, фотоэффект, а также элементы ядерной физики. Это специфические темы, слабо связанные с остальными разделами предмета. Там нужно знать специальные законы и правила, что вызывает сложности. Если говорить о наиболее простых темах, то это традиционно кинематика и динамика. Как правило, с этих разделов и начинается изучение физики в школе.
За какие задания на ЕГЭ по физике ставится наибольшее количество баллов?
Самые «весомые» на экзамене — последние пять задач, с № 27 по № 31, раньше это была часть С. Эти задания подразумевают развернутый ответ, где нужно записать полное решение, их проверяет эксперт. За каждую задачу максимально можно получить три балла.
Как эксперт я каждый год проверяю работы на ЕГЭ. И в большинстве случаев листы с этими задачами ребята сдают пустыми. Они за них даже не берутся, потому что не знают, как решить. Но здесь есть нюанс, который я всегда проговариваю со своими учениками. Дело в том, что в критериях оценки этих заданий есть интересный пункт. Если в работе записаны все необходимые законы и с ними произведены некоторые преобразования, считается, что школьник продемонстрировал действия, направленные на получение правильного ответа. А за это уже выставляется один балл из трех. Поэтому даже если вы не знаете, как решить задачу до конца и дойти до ответа, обязательно нужно записать все законы, которые требуются для ее решения.
Два балла набрать за задачу уже существенно сложнее. Такой результат ставится за полное решение с каким-то недочетом, например, вычислительной ошибкой. Зато один балл получить вполне реально для всех школьников, кто знает законы, пусть даже не очень умеет их применять.
Какие есть подводные камни в заданиях части 2? На что нужно обратить внимание при подготовке к заданиям повышенной сложности?
В решении задач № 24-26 нужно применить два закона. Здесь важно обратить внимание, как именно требуется записать ответ, в каких единицах измерения. Например, многие школьники привыкли писать расстояние или путь в метрах, а бывает, что ответ требуется указать в сантиметрах. Даже если решение верно, а ответ записан неправильно, результат будет нулевым.
Задание № 27 вызывает сложности даже у самых сильных выпускников. Здесь нужно не просто решить задачу, а дать анализ явления, то есть написать, какие именно законы применяются. В этом задании следует указать, как правило, три закона. И в объяснении все эти три закона должны быть отражены либо словесно, либо в виде формулы. Если какой-то из законов отсутствует в решении, балл снижается, даже если ответ верный.
Пара слов о рисунке к задаче. Если в условии сказано, что нужен рисунок, то он должен быть в решении. И он оценивается отдельно (один балл). Если по условию рисунок не требуется, за его отсутствие оценка не снижается. Но здесь важно иметь в виду и обратную ситуацию. Если вы сделали рисунок, который не требуется в условии, и показали на нем что-то неправильно, то за это оценка может быть снижена. Поэтому, если рисунок был нужен для решения, но вы в нем сомневаетесь, то лучше его зачеркнуть.
То же относится и к лишним записям. Если записано лишнее, не относящееся к решению задачи, а бывает так, что выпускник начинает писать все подряд, за это могут снять баллы. Записи, не влияющие прямо на ход решения, всегда лучше зачеркнуть — тогда они не проверяются и не влияют на оценку. Это общие рекомендации, которых следует придерживаться при подготовке к заданиям части 2.
Есть ли «формула успеха», которая поможет подготовиться к ЕГЭ по физике наилучшим образом?
Готовиться надо начинать как минимум за год. В первую очередь нужно открыть кодификатор ЕГЭ, в котором указан некий теоретический минимум для экзамена и кратко изложены основные законы. Для начала надо выучить наизусть все из этого минимума. Если самостоятельно можешь воспроизвести законы и формулы из кодификатора, значит, выучил. Теперь нужно отвечать на вопросы из части 1, там только простые задания, на один закон каждое. Это будет главная проверка, как хорошо ты знаешь законы.
Дальше можно приступать к заданиям № 24-26, они сложнее. Если выражаться шахматным языком, это задачи в два хода, для их решения нужно применить два закона. Если они получаются, можно браться за задачи повышенной сложности с развернутым ответом (№ 27-31). Таким образом, здесь требуется постепенно, системно проходить все задания по мере увеличения сложности.
Выпускникам этого года, у которых осталось до экзамена примерно два месяца, я бы посоветовал в первую очередь повторить специфические темы, которые перечислены выше. Дальше нужно решать задачи вразнобой по всем темам. Полезно найти в интернете варианты из досрочной волны ЕГЭ этого года и прорешать их.
Какие источники вы рекомендуете использовать для самостоятельной подготовки к экзамену?
- «Сайт ФИПИ». На нем размещены демоверсии ЕГЭ по физике с 2008 по 2017 год; там же вы найдете и кодификаторы.
- «РешуЕГЭ». Качественный сайт для подготовки по всем предметам ЕГЭ, в том числе по физике.
- Сборники вариантов ЕГЭ прошлых лет. Их можно приобрести в книжных магазинах или найти в интернете.
- Черноуцан А.И., «Физика. Задачи с ответами и решениями». Хороший задачник по всем темам. Единственный его серьезный минус — мало задач на графики, а в ЕГЭ они широко используются.
- Кирик Л.А., Генденштейн Л.Э., Гельфгат И.М., «1001 задача по физике с решениями». Неплохой задачник по разным уровням сложности, с подсказками.
Что нужно делать школьнику, чтобы получить 100 баллов? Реально ли это?
100 баллов получить вполне реально. В прошлом году у меня было два таких ученика, а во всей параллели Предуниверсариума МИФИ (лицей № 1511) было пять стобалльных работ по физике. Для этого не нужно быть гением, но нужны способности и усидчивость. И еще я хочу сказать, что 100 баллов — это в какой-то степени лотерея. На экзамене всегда может попасться экзотический вопрос. Например, кто провел опыты по определению давления света — Лебедев или Столетов? Невозможно ведь знать вообще все. Кроме того, всегда есть вероятность случайной ошибки — каждый год из-за таких ошибок хорошие ученики не добирают один-два балла до 100. Если ты знаешь физику очень хорошо, за 90 баллов ты всегда получишь, а вот для 100 баллов требуется еще и везение. Другое дело, что везет обычно все-таки лучшим.
www.ucheba.ru
Формулы к ЕГЭ по математике
Полный сборник красиво оформленных школьных формул по алгебре и геометрии.
В пособии содержатся все разделы школьной математики, все формулы и даны подробные описания к каждому из них.
Смотреть в PDF: Скачайте pdf файл.
Можете записаться на занятия к репетитору математики, если что-то не понятно.
По разделам:
Степени и корни:

Сокращенное умножение:

Квадратный трехчлен: квадратное уравнение, формулы Виета, разложение на множители:

Логарифмы:

Формулы тригонометрии, тождества:
Тригонометрические уравнения:

Значения тригонометрических функций:

Формулы приведения:

Сумма и разность углов:

Формулы двойного и тройного аргумента:

Формулы половинного аргумента:
Сумма и разность тригонометрических функций:

Произведение тригонометрических функций:

Производная: признаки возрастания, убывания, минимума функции:

Дифференциальное исчисление:

Геометрия: формулы площадей. Прямоугольники, окружности, трапеции:

Стереометрия: объёмы, площади поверхностей:

Обратиться к репетитору по математике.
eduvdom.com
Как готовиться к ЕГЭ по физике правильно

Как готовиться к ЕГЭ по физике? Да и нужна ли старательному ученику какая-то специальная подготовка?
«В школе по физике пятерка. Ходим на курсы. Что еще надо? Ведь физика – не литература, где надо прочитать 100 книг, прежде чем написать сочинение. Здесь всё просто: подставишь числа в формулу – получишь свои баллы».
Так обычно рассуждают недальновидные родители и ученики. «Для порядка» посещают подготовительные курсы при вузе. За месяц до экзамена обращаются к репетитору: «Поднатаскайте нас перед ЕГЭ и покажите, как решать типовые задачи». И вдруг гром среди ясного неба – низкие баллы на ЕГЭ по физике. Почему? Кто виноват? Может быть, репетитор?
Оказывается, что школьная пятерка по физике ничего не стоила! Получить ее несложно – прочитай параграф в учебнике, подними руку на уроке, сделай доклад по теме «Жизнь Ломоносова», – и готово. В школе не учат решать задачи по физике, а ЕГЭ по этому предмету почти полностью состоит из задач.
Оказывается, что в школе практически нет физического эксперимента. Ученик представляет себе конденсатор или рамку с током так, как ему фантазия подскажет. Очевидно, каждому фантазия подсказывает что-то своё.
Оказывается, во многих школах Москвы вообще нет физики. Часто ученики сообщают: «А у нас физику ведет историк. А у нас физичка год болела, а потом эмигрировала».
Физика оказалась где-то на задворках школьного образования! Она давно превратилась во второстепенный предмет, что-то вроде ОБЖ или природоведения.
В школе с физикой – настоящая катастрофа.
Последствия этой катастрофы наше общество ощущает уже сейчас. Острая нехватка специалистов – инженеров, строителей, конструкторов. Техногенные аварии. Неспособность персонала управляться даже с тем оборудованием, которое построено в советское время. И в то же время – переизбыток людей с дипломами экономиста, юриста или «менеджера по маркетингу».
На инженерные специальности многие идут лишь потому, что там низкий конкурс. «В МГИМО не получится, в армию не хотим, значит, пойдем в МАИ, придется готовиться к ЕГЭ по физике». Вот и готовятся со скрипом, прогуливая занятия и удивляясь: почему это задачки не решаются?
К вам это не относится, правда?
Физика – это настоящая наука. Красивая. Парадоксальная. И очень интересная. «Натаскаться» здесь невозможно – надо изучать саму физику как науку.
Нет никаких «типовых» задач ЕГЭ. Нет волшебных «формул», в которые надо что-то подставить. Физика – это понимание на уровне идей. Это стройная система сложных идей о том, как устроен мир.
Если вы решили готовиться к ЕГЭ по физике и поступать в технический вуз – настраивайтесь на серьезную работу.
Вот несколько практических советов:
Совет 1.
Начинайте готовиться к ЕГЭ по физике заблаговременно. Два года, то есть 10 и 11 класс – оптимальный срок подготовки. За один учебный год еще можно успеть что-то сделать. А начнете за два месяца до экзамена – рассчитывайте максимум на 50 баллов.
Сразу предостерегаем от самостоятельной подготовки. Решать задачи по физике – это мастерство. Более того – это искусство, научиться которому можно только под руководством мастера – опытного репетитора.
Совет 2.
Физика невозможна без математики. Если у вас есть пробелы в математической подготовке – ликвидируйте их немедленно. Вы не знаете, есть ли у вас эти пробелы? Легко проверить. Если вы не можете разложить вектор по составляющим, выразить неизвестную величину из формулы или решить уравнение – значит, займитесь математикой.
Совет 3.
Умейте считать. Речь идет и о навыках устного счета, и об умении пользоваться калькулятором.
Ведь решение многих задач ЕГЭ по физике заканчивается получением численного ответа. Вам нужен непрограммируемый калькулятор с синусами и логарифмами. Офисный калькулятор с четырьмя действиями или калькулятор в мобильном телефоне – не годится.
Купите непрограммируемый калькулятор в самом начале подготовки, чтобы освоить его на уровне автоматизма. Каждую задачу, которую решаете, доводите до конца, то есть до правильного численного ответа.
Ты нашел то, что искал? Поделись с друзьями!
По каким книгам лучше всего готовиться к ЕГЭ по физике?
1. Задачник Рымкевича.
Он содержит много простых задач, на которых хорошо набивать руку. После «Рымкевича» формулы запоминаются сами собой, и задачи части А решаются без труда.
2. Еще несколько полезных книг:
• Бендриков Г. А., Буховцев Б. Б., Керженцев В. В., Мякишев Г. Я. Задачи по физике для поступающих в ВУЗы.
• Баканина Л. П., Белонучкин В. Е., Козел С. М. Сборник задач по физике: Для 10–11 классов с углубленным изучением физики.
• Парфентьева Н. А. Сборник задач по физике. 10–11 класс.
Самое главное. Чтобы успешно готовиться к ЕГЭ по физике, надо четко осознавать, для чего вам это нужно. Ведь не только для того, чтобы сдать ЕГЭ, поступить и откосить от армии?
Возможный ответ может быть таким. Готовиться к ЕГЭ по физике надо для того, чтобы стать в будущем высококлассным, востребованным специалистом. Более того – знание физики поможет вам стать по-настоящему образованным человеком.
Подробно: о работе репетитора по физике и о наших курсах ЕГЭ по физике.
Звоните нам: 8 (800) 775-06-82 (бесплатный звонок по России) +7 (495) 984-09-27 (бесплатный звонок по Москве)
Или нажмите на кнопку «Узнать больше», чтобы заполнить контактную форму. Мы обязательно Вам перезвоним.
ege-study.ru
Основные формулы для подготовки к ЕГЭ по математике
Формулы дифференцирования
Правила дифференцирования
Таблица некоторых значений тригонометрических функций
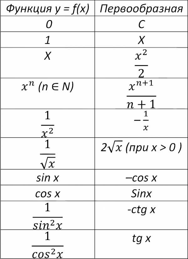
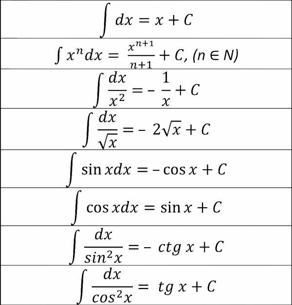
Таблица первообразных и интегралов


Таблица степеней чисел

Законы степеней чисел:
Свойства корня n-ой степени
Координаты точек
Координаты точек

Формулы приведения
Формулы сокращённого умножения:

Применение производной:
Прогрессии:

Вернуться в меню выбора предмета
www.examen.ru
Как можно хорошо сдать ЕГЭ по физике: советы педагогов
Физика является одним из самых сложных предметов в школьной программе. Несмотря на трудности при изучении, перед поступлением в ВУЗ на определенные специальности необходимо сдавать Единый государственный экзамен по физике. Но что делать, если ничего не знаешь? В этом случае школьнику необходимо начать изучение с нуля в короткие сроки, чтобы сдать ЕГЭ на хотя бы пропускной балл.
Трудно ли поступить на бюджет, сдав ЕГЭ по физике
Существует мнение, что если школьник довольно хорошо разбирается в основах физики, то ему можно смело не готовиться к итоговому экзамену. Но это абсолютно не так. ЕГЭ имеет особую структуру и условия решения заданий, которую необходимо учитывать в обязательном порядке. Если вы сможете правильно разобраться в основных аспектах, вероятность сдать экзамен на 100 баллов сильно возрастает. Благодаря высокому результату вам удастся поступить в желаемый институт на бюджет. Поэтому необходимо основательно подготовиться к сдаче экзамена по физике.
Подготовка к ЕГЭ по физике: что нужно знать
Чтобы подготовиться максимально эффективно, рекомендуется тщательно изучить несколько основных аспектов, которые указаны в спецификации. Скачать этот документ можно на сайте Федерального института педагогических измерений. Там же школьникам удастся воспользоваться заданиями открытого банка.
Читайте также: Обязательные ЕГЭ для педагогов
На выполнение всего экзамена школьнику предоставляется всего 235 минут. За отведенный срок необходимо решить две части:
- Часть 1 включает 24 задания с кратким ответом.
- Часть 2 предусматривает 8 заданий, которые включают краткий и развернутый ответ.
Таким образом, школьнику за довольно короткое время придется решить 32 задания, за которые можно получить 100 баллов.
Согласно кодификатору, экзаменационная работа включает следующие разделы физики:
- механика, которая включает статику, законы сохранения в механике, кинематику, механические колебания и динамику;
- квантовая физика и элементы астрофизики, предусматривает изучение физику атомного ядра, корпускулярно-волновой дуализм, физика атома;
- молекулярная физика, которая должна включать изучение термодинамику, молекулярно-кинетическую теорию;
- электродинамика – необходимо повторить основы СТО, электрическое поле, электромагнитную индукцию, постоянный ток, оптика, электромагнитные волны и колебания.
Читайте также: В чем разница между ОГЭ и ЕГЭ
Каждый из вышеперечисленных разделов необходимо тщательно изучить. Также опытные педагоги предлагают следующие рекомендации по подготовке:
- Заведите тетрадь для записи основных терминов и формул. Этот шаг поможет максимально структурировать свои знания. Также в процессе вы сможете быстро находить ответы на вопросы.
- Выполните анализ структуры и разделов. Так вы сможете понять, в каких разделах у вас не хватает знаний.
- Узнайте мнение о вашей готовности у школьного педагога. Опытный учитель поможет обратить внимание на пробелы в знаниях.
- Постарайтесь самостоятельно составить план подготовки. Следует в начале года составить план, который будет включать планомерное изучение всех материалов, также необходимо постоянно решать задания. Конечно, вы можете ходить к репетитору, заниматься на курсах, но ничего не выйдет без самостоятельной подготовки. Это поможет быть более уверенным в своих силах на самом экзамене.
- Подготовка к ЕГЭ должна начинаться заранее. У многих школьников возникает вопрос, как сдать ЕГЭ по физике за несколько недель до самого экзамена. Но в этом случае рассчитывать на 100 баллов не стоит. Начинать подготовку лучше всего в начале 10 класса. Такая заблаговременная, планомерная подготовка является ключом к успеху. Также многие решают воспользоваться готовыми ответами, которые начинают появляться на просторах Всемирной паутины за несколько дней до самой экзаменационной работы. Такие меры способны вам только навредить. За подозрение школьника могут удалить с экзамена, пересдачу могут назначить только на следующий год. Поэтому не нужно пытаться схитрить.
- Подтяните свои знания по математике. Это поможет улучшить свои знания не только в физике, но и хорошо сдать один из обязательных экзаменов. Модульный курс поможет вам справиться с большим количеством подсчетов, которые предусмотрены в экзамене по физике.
Вышеперечисленные аспекты позволят вам максимально успешно и эффективно подготовиться к экзамену.
Этапы подготовки
Существует три основных вида подготовки к экзамену:
- Репетиторство. Вы можете найти человека, который составит план и устранит пробелы в знаниях. Также опытный специалист знает основные сложности, которые обычно возникают у школьников во время подготовки.
- Специальные курсы. Сегодня практически в каждом городе существуют образовательные центры, в которых собирают группы для подготовки.
- Самостоятельная подготовка. Самый важный этап, который является залогом успеха. Уделяйте время на решение задач, повторение теоретических аспектов и формул. Только это поможет усвоить материал правильно.
Читайте также: В какие заведения можно поступить на бюджет, имея по результатам 200 баллов по ЕГЭ
Вы можете выбрать репетитора или курсы. Но пропускать самостоятельную подготовку нельзя. Для этого желательно приобрести специальные сборники, которые включают варианты КИМов. Также ознакомиться с открытым банком заданий. Благодаря освоению вышеперечисленных аспектов, вы сможете подготовиться к сдаче экзамена быстро и максимально эффективно.
В рамках нашего сайта действует специальное предложение: вы можете воспользоваться консультацией нашего корпоративного юриста совершенно бесплатно. Все необходимо сделать – это оставить ваш вопрос в форме ниже.
vuzyinfo.ru
