6.А. Метод Гаусса
Исторически первым, наиболее распространенным методом решения систем линейных уравнений является метод Гаусса, или метод последовательного исключения неизвестных. Сущность этого метода состоит в том, что посредством последовательных исключений неизвестных, данная система превращается в ступенчатую (в частности, треугольную) систему, равносильную данной. При практическом решении системы линейных уравнений методом Гаусса удобнее приводить к ступенчатому виду не саму систему уравнений, а расширенную матрицу этой системы, выполняя элементарные преобразования над ее строками. Последовательно получающиеся в ходе преобразования матрицы обычно соединяют знаком эквивалентности.
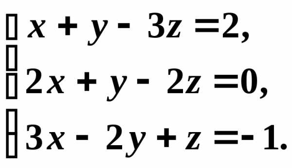
Пример 18. Решить систему уравнений методом Гаусса:

Решение. Выпишем расширенную матрицу данной системы

и произведем следующие элементарные преобразования над ее строками:
а) из ее второй и третьей строк вычтем первую, умноженную соответственно на 3 и 2:
;
б) третью строку умножим на (- 5) и прибавим к ней вторую:
.
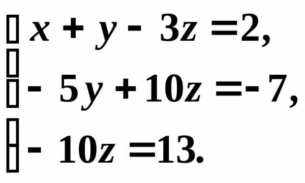
В результате всех этих преобразований данная система приводится к треугольному виду:

Из
последнего уравнения находим
.
Подставляя это значение во второе
уравнение, имеем
.
Далее из первого уравнения получим.
6.Б. Формулы Крамера
Назовем
столбцы матрицы
следующим образом: первый столбец –
,
второй столбец –
,
и т.д., последний столбец –
.
Тогда матрицу
Составим
дополнительных матриц:
, , …,,
и вычислим их определители и определитель исходной матрицы:
, ,, …,.
Тогда значения неизвестных вычисляются по формулам Крамера:
,
,
…,
.
Правило Крамера
Если
главный определитель системы
и все вспомогательные определители
равны нулю, то система имеет бесчисленное
множество решений.
Если
главный определитель системы
,
а хотя бы один вспомогательный определитель
отличен от нуля, то система несовместна.

,
.
Тогда
,
,
.
Вычисляя определители этих
матриц, получаем
,,
,.
,
,
.6.В. Матричный метод
Теперь,
рассмотрим матричное уравнение
.
Если у матрицы
существует обратная матрица
,
то, умножая матричное уравнение на
слева, получим:
.
По определению обратимости матрицы и по свойству единичной, получаем:
.

Имеем:
,
.
Вычислим определитель
матрицы
,
разлагая по первой строке:
Значит, обратная матрица существует. Вычислим алгебраические дополнения элементов матрицы:
,,
,,
,,
,,
Тогда решение системы получается умножением обратной матрицы на столбец свободных членов
7. Системы линейных уравнений общего вида
Если
система уравнений оказалась совместной,
т. е. матрицы
и
имеют один и тот же ранг, то могут
представиться две возможности ‑ a)
,
б)
.
а)
Если
,
то имеем
неизвестными, причем определитель
этой системы отличен от нуля. Такая
система имеет единственное решение,
получаемое, например, по формулам
Крамера. б)
Если
,
то число независимых уравнений меньше
числа неизвестных.
Перенесем лишние неизвестные , которые принято называть свободными, в правые части; наша система линейных уравнений примет вид:
Ее
можно решить относительно
,
так как определитель этой системы (порядка) отличен от нуля. Придавая
свободным неизвестным произвольные
числовые значения, получим по формулам
Крамера соответствующие числовые
значения для.
Таким образом, при
Система
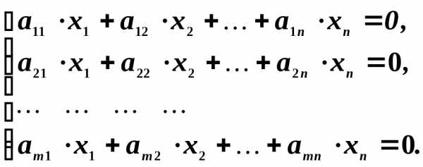
уравнений называется однородной,
если все
,
т. е. она имеет вид:

Из
теоремы Кронекера-Капелли следует, что
она всегда совместна, так как добавление
столбца из нулей не может повысить ранга
матрицы. Это, впрочем, видно и непосредственно
– система заведомо обладает нулевым,
или тривиальным, решением
.
Пусть матрица
. Если
,
то нулевое решение будет единственным
решением системы; при
система обладает решениями, отличными
от нулевого, и для их разыскания применяют
тот же прием, как и в случае произвольной
системы уравнений.
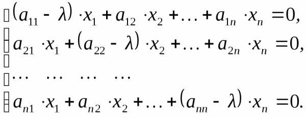
Всякий ненулевой вектор ‑ столбец называетсясобственным вектором линейного преобразования (
), если
найдется такое число
,
что будет выполняться равенство. Число
называетсясобственным
значением линейного преобразования (матрицы
), соответствующим вектору
.
Матрица
имеет порядок
.
является продуктивной тогда и только
тогда, когда все собственные значения
матрицы
по модулю меньше единицы. Для
нахождения собственных значений матрицы
перепишем равенствов виде,
где
–
единичная матрица
порядка или в координатной форме:

Получили систему линейных однородных уравнений, которая имеет ненулевые решения тогда и только тогда, когда определитель этой системы равен нулю, т.е.
.
Получили
уравнение
степени относительно неизвестной
,
которое называетсяхарактеристическим
уравнением матрицы
,
многочлен
называетсяхарактеристическим
многочленом матрицы
,
а его корни –характеристическими
числами, или собственными значениями,
матрицы
.
Для
нахождения собственных векторов матрицы
в векторное уравнениеили в соответствующую систему однородных
уравнений нужно подставить найденные
значения
и решать обычным образом.
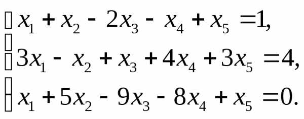
Пример 18. Исследовать систему уравнений и решить ее, если она совместна.

Решение. Будем
находить ранги матриц
и
методом элементарных преобразований,
приводя одновременно систему к
ступенчатому виду:
.
Очевидно, что . Исходная система равносильна следующей системе, приведенной к ступенчатому виду:
Поскольку определитель при неизвестных x1 и x2отличен от нуля, то их можно принять в качестве главных и переписать систему в виде:
откуда
,‑ общее решение системы, имеющей
бесчисленное множество решений. Придавая
свободным неизвестнымx3,
x4,
x5конкретные
числовые значения, будем получать
частные решения. Например, при
,
,
.
Вектор
является частным решением данной
системы.
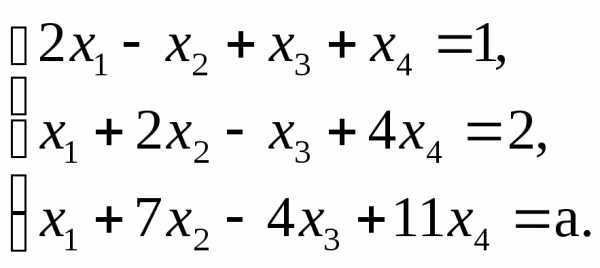
Пример
19. Исследовать систему уравнений и найти
общее решение в зависимости от значения
параметра
.

Решение. Данной системе соответствует матрица
.
Имеем
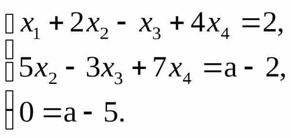
следовательно, исходная система равносильна такой:

Отсюда
видно, что система совместна только при
.
Общее решение в этом случае имеет вид:
, .
Пример 20. Выяснить, будет ли линейно зависимой система векторов:

Решение. Система векторов является линейно зависимой, если найдутся такие числа x1, x2, x3, x4, x5, из которых хотя бы одно отлично от нуля, что выполняется векторное равенство:
.
В координатной записи оно равносильно системе уравнений:

Итак, получили систему линейных однородных уравнений. Решаем ее методом исключения неизвестных:

Система
приведена к ступенчатому виду. Ранг
матрицы равен
,
значит однородная система уравнений
имеет решения, отличные от нулевого
(
).
Определитель при неизвестныхx1,
x2,
x4 отличен от нуля, поэтому их можно выбрать
в качестве главных и переписать систему
в виде:

Имеем:
,
,
.
Система имеет бесчисленное множество решений; если свободные неизвестные x3и x5не равны нулю одновременно, то и главные неизвестные отличны от нуля. Следовательно, векторное уравнение
имеет
коэффициенты, не равные нулю одновременно;
пусть например,
,
.
Тогда
,
,
и мы получим соотношение
,
т.е. данная система векторов линейно независима.
Пример 21. Найти собственные значения и собственные векторы матрицы
.
Решение. Вычислим
определитель матрицы
:
Итак,
.
Корни характеристического уравнения
‑ это числа
и
.
Другими словами, мы нашли собственные
значения матрицы
.
Для нахождения собственных векторов
матрицы
подставим найденные значения
в систему: при
имеем систему линейных однородных
уравнений
Следовательно,
собственному значению
отвечают собственные векторы вида
(8, 8, -3, 15), где
– любое отличное от нуля действительное
число. При
имеем:
,
и поэтому координаты собственных векторов должны удовлетворять системе уравнений

Поэтому
собственному значению
отвечают собственные векторы вида
(0, 0,-1, 1), где
– любое отличное от нуля действительное
число.
FVB
studfiles.net
Матрицы Метод Гаусса – часть 2
Матрицы В и А не согласованы, поэтому В ´ А не имеет смысла.
Отметим, что в результате перемножения двух матриц получается матрица, содержащая столько строк, сколько их имеет матрица–множимое и столько столбцов, сколько их имеет матрица-множитель .
СВОЙСТВА УМНОЖЕНИЯ МАТРИЦ
1. Сочетательное свойство: А ´ ( В ´ С ) = (А ´ В ) ´С
2. Распределительное свойство: (А + В) ´ С = А ´ С + В ´С
Можно показать, что , если А и В – две квадратные матрицы одного порядка с определителями ½ А ½ и ½ В ½, то определитель матрицы С = А ´ В равен произведению определителей перемножаемых матриц, т.е.
½С ½ = ½ А ½ ½ В ½
Отметим следующий любопытный факт. Как известно, произведение двух отличных от нуля чисел не равно нулю. Для матриц подобное обстоятельство может и не иметь места, т.е. произведение двух ненулевых матриц может оказаться равным нуль – матрице .
Действие “деление” для матриц не вводится. Для квадратных невырожденных матриц вводится обратная матрица. С понятием обратной матрицы можно познакомиться в рекомендуемой литературе.
2 – ой учебный вопрос РЕШЕНИЕ СИСТЕМ ЛИНЕЙНЫХ
УРАВНЕНИЙ МЕТОДОМ ГАУССА
Метод Гаусса (или метод последовательного исключения неизвестных) применим для решения систем линейных уравнений, в которых число неизвестных может быть либо равно числу уравнений, либо отлично от него.
Система т линейных уравнений с п неизвестными имеет вид:
x 1 , x 2 , …, xn – неизвестные.
ai j – коэффициенты при неизвестных.
bi – свободные члены (или правые части)
Система линейных уравнений называется совместной , если она имеет решение, и несовместной , если она не имеет решения.
Совместная система называется определенной , если она имеет единственное решение и неопределенной , если она имеет бесчисленное множество решений.
Две совместные системы называются равносильными , если они имеют одно и то же множество решений.
К элементарным преобразованиям системы отнесем следующее:
1. перемена местами двух любых уравнений;
2. умножение обеих частей любого из уравнений на произвольное число, отличное от нуля;
3. прибавление к обеим частям одного из уравнений системы соответствующих частей другого уравнения, умноженных на любое действительное число.
Элементарные преобразования переводят систему уравнений в равносильную ей.
Элементарные преобразования системы используются в методе Гаусса.
Для простоты рассмотрим метод Гаусса для системы трех линейных уравнений с тремя неизвестными в случае, когда существует единственное решение:
Дана система:
( 1 )1-ый шаг метода Гаусса.
На первом шаге исключим неизвестное х1 из всех уравнений системы (1), кроме первого. Пусть коэффициент
. Назовем его ведущим элементом. Разделим первое уравнение системы (1) на а11 . Получим уравнение: ( 2 )где
Исключим х1 из второго и третьего уравнений системы (1). Для этого вычтем из них уравнение (2), умноженное на коэффициент при х1 (соответственно а 21 и а 31 ).
Система примет вид:
( 3 )Верхний индекс (1) указывает, что речь идет о коэффициентах первой преобразованной системы.
2-ой шаг метода Гаусса.
На втором шаге исключим неизвестное х2 из третьего уравнения системы (3). Пусть коэффициент
. Выберем его за ведущий элемент и разделим на него второе уравнение системы (3), получим уравнение: ( 4 )где
Из третьего уравнения системы (3) вычтем уравнение (4), умноженное на
Получим уравнение:Предполагая, что
находимВ результате преобразований система приняла вид:
(5)Система вида (5) называется треугольной .
Процесс приведения системы (1) к треугольному виду (5) (шаги 1 и 2) называют прямым ходом метода Гаусса .
Нахождение неизвестных из треугольной системы называют обратным ходом метода Гаусса.
Для этого найденное значение х3 подставляют во второе уравнение системы (5) и находят х2 . Затем х2 и х3 подставляют в первое уравнение и находят х1 .
В общем случае для системы т линейных уравнений с п неизвестными проводятся аналогичные преобразования. На каждом шаге исключается одно из неизвестных из всех уравнений, расположенных ниже ведущего уравнения.
Отсюда другое называние метода Гаусса – метод последовательного исключения неизвестных.
Если в ходе преобразований системы получается противоречивое уравнение вида 0 = b , где b ¹ 0, то это означает, что система несовместна и решений не имеет.
В случае совместной системы после преобразований по методу Гаусса, составляющих прямой ход метода, система т линейных уравнений с п неизвестными будет приведена или к треугольному или к ступенчатому виду.
Треугольная система имеет вид:
Такая система имеет единственное решение, которое находится в результате проведения обратного хода метода гаусса.
Ступенчатая система имеет вид:
Такая система имеет бесчисленное множество решений. Чтобы найти эти решения, во всех уравнениях системы члены с неизвестными х k +1 , … , xk переносят в правую часть. Эти неизвестные называются свободными и придают им произвольные значения. Из полученной треугольной системы находим х 1 , … , xk , которые будут выражаться через свободные неизвестные. Подробнее об этом можно узнать в рекомендуемой литературе.
Рассмотренный метод Гаусса легко программируется на ЭВМ и является более экономичным (по числу действий), чем другие методы.
ЗАКЛЮЧЕНИЕ
Рассмотренные на лекции матрицы являются удобным инструментом для записи различных математических преобразований и широко используется в научно-технической литературе. Метод Гаусса позволяет решать любые линейные системы, он находит широкое применение и содержится в пакетах стандартных программ для ЭВМ.
доцент Смирнова А.И.
mirznanii.com
Матрицы, Метод Гаусса – конспект лекций
16
КОСТРОМСКОЙ ФИЛИАЛ ВОЕННОГО УНИВЕРСИТЕТА РХБ ЗАЩИТЫ
Кафедра «Автоматизации управления войсками»
Только для преподавателей
“Утверждаю”
Начальник кафедры № 9
полковник ЯКОВЛЕВ А.Б.
«____»______________ 2004 г.
доцент СМИРНОВА А.И.
“МАТРИЦЫ. МЕТОД ГАУССА”
ЛЕКЦИЯ № 2 / 3
Обсуждено на заседании кафедры № 9
«____»___________ 2003г.
Протокол № ___________
Кострома, 2003
Cодержание
Введение
Действия над матрицами.
Решение систем линейных уравнений методом Гаусса.
Заключение
Литература
В.Е. Шнейдер и др., Краткий курс высшей математики,том I, гл.2,§6, 7.
В.С. Щипачев, Высшая математика, гл. 10, § 1, 7.
ВВЕДЕНИЕ
На лекции рассматривается понятие матрицы, действия над над матрицами, а также метод Гаусса для решения систем линейных уравнений. Для частного случая, так называемых квадратных матриц, можно вычислять определители, понятие о которых рассмотрено на предыдущей лекции. Метод Гаусса является более общим, чем рассмотренный ранее метод Крамера решения линейных систем. Разбираемые на лекции вопросы используются в различных разделах математики и в прикладных вопросах.
1-ый учебный вопрос ДЕЙСТВИЯ НАД МАТРИЦАМИ
ОПРЕДЕЛЕНИЕ 1. Прямоугольная таблица из m, n чисел, содержащая m – строк и n – столбцов, вида:
называется матрицей размера m n
Числа, из которых составлена матрица, называются элементами матрицы.
Положение элемента аi j в матрице характеризуются двойным индексом:
первый i – номер строки;
второй j – номер столбца, на пересечении которых стоит элемент.
Сокращенно матрицы обозначают заглавными буквами: А, В, С…
Коротко можно записывать так:
ОПРЕДЕЛЕНИЕ 2. Матрица, у которой число строк равно числу столбцов, т.е. m = n , называется квадратной.
Число строк (столбцов) квадратной матрицы называется порядком матрицы.
ПРИМЕР.
ЗАМЕЧАНИЕ 1. Мы будем рассматривать матрицы, элементами которых являются числа. В математике и ее приложениях встречаются матрицы, элементами которых являются другие объекты, например, функции, векторы.
ЗАМЕЧАНИЕ 2. Матрица – специальное математическое понятие. С помощью матриц удобно записывать различные преобразования, линейные системы и т.д., поэтому матрицы часто встречаются в математической и технической литературе.
ОПРЕДЕЛЕНИЕ 3. Матрица размера 1 n, состоящая из одной строки, называется матрицей – строкой.
Матрица размера т 1, состоящая из одного столбца, называется матрицей – столбцом.
ОПРЕДЕЛЕНИЕ 4. Нулевой матрицей называют матрицу, все элементы которой равны нулю.
Рассмотрим квадратную матрицу порядка n:
побочная диагональ
главная диагональ
Диагональ квадратной матрицы, идущая от верхнего левого элемента таблицы к правому нижнему, называется главной диагональю матрицы (на главной диагонали стоят элементы вида а i i).
Диагональ, идущая от правого верхнего элемента к левому нижнему, называется побочной диагональю матрицы.
Рассмотрим некоторые частные виды квадратных матриц.
Квадратная матрица называется диагональной, если все элементы, не стоящие на главной диагонали, равны нулю.
Диагональная матрица, у которой все элементы главной диагонали равны единице, называется единичной. Обозначается:
Квадратная матрица называется треугольной, если все элементы, расположенные по одну сторону от главной диагонали, равны нулю:
верхняя нижняя
треугольная матрица треугольная матрица
Для квадратной матрицы вводится понятие: определитель матрицы. Это определитель, составленный из элементов матрицы. Обозначается:
Ясно, что определитель единичной матрицы равен 1: Е = 1
ЗАМЕЧАНИЕ. Неквадратная матрица определителя не имеет.
Если определитель квадратичной матрицы отличен от нуля, то матрица называется невырожденной, если определитель равен нулю, то матрица называется вырожденной.
ОПРЕДЕЛЕНИЕ 5. Матрица, полученная из данной заменой ее строк столбцами с теми же номерами, называется транспонированной к данной.
Матрицу, транспонированную к А, обозначают АТ.
ПРИМЕР.
2 3 3 2
ОПРЕДЕЛЕНИЕ. Две матрицы одного и того же размера называются равными, если равны все их соответственные элементы.
Рассмотрим действия над матрицами.
СЛОЖЕНИЕ МАТРИЦ.
Операция сложения вводится только для матриц одинакового размера.
ОПРЕДЕЛЕНИЕ 7. Суммой двух матриц А = (аi j) и В = (bi j) одинакового размера называется матрица С = (сi j) того же размера, элементы которой равны суммам соответствующих элементов слагаемых матриц, т.е. с i j = a i j + b i j
Обозначается сумма матриц А + В.
ПРИМЕР.
УМНОЖЕНИЕ МАТРИЦ НА ДЕЙСТВИТЕЛЬНОЕ ЧИСЛО
ОПРЕДЕЛЕНИЕ 8. Чтобы умножить матрицу на число k, надо умножить на это число каждый элемент матрицы:
если А= (а i j ), то k A= (k a i j )
ПРИМЕР.
СВОЙСТВА СЛОЖЕНИЯ МАТРИЦ И УМНОЖЕНИЯ НА ЧИСЛО
1. Переместительное свойство: А + В = В + А
2. Сочетательное свойство: ( А + В ) + С = А + ( В + С )
3. Распределительное свойство: k ( A + B ) = k A + k B, где k – число
УМНОЖЕНИЕ МАТРИЦ
Матрицу А назовем с о г л а с о в а н н о й с матрицей В , если число столбцов матрицы А равно числу строк матрицы В , т.е. для согласованных матриц матрица А имеет размер m n , матрица В имеет размер n k . Квадратные матрицы согласованы, если они одного порядка.
ОПРЕДЕЛЕНИЕ 9. Произведением матрицы А размера m n на матрицу В размера n k называется матрица С размера m k, элемент которой аi j , расположенный в i -ой строке и j – ом столбце, равен сумме произведений элементов i – ой строки матрицы А на соответствующие элементы j – столбца матрицы В, т.е.
c i j = a i 1 b 1 j + a i 2 b 2 j +……+ a i n b n j
Обозначим: С = А В.
Если то
Произведение В А не имеет смысла, т.к. матрицы не согласованы.
ЗАМЕЧАНИЕ 1. Если А В имеет смысл, то В А может не иметь смысла.
ЗАМЕЧАНИЕ 2. Если имеет смысл А В и В А, то, вообще говоря
А В В А, т.е. умножение матриц не обладает переместительным законом.
ЗАМЕЧАНИЕ 3. Если А – квадратная матрица и Е – единичная матрица того же порядка, то А Е = Е А = А.
Отсюда следует, что единичная матрица при умножении играет роль единицы.
ПРИМЕРЫ. Найти , если можно, А В и В А.
Решение: Квадратные матрицы одного и того же второго порядка согласованы в томи другом порядке, поэтому А В и В А существуют.
2.
Решение: Матрицы А и В согласованы
Матрицы В и А не согласованы, поэтому В А не имеет смысла.
Отметим, что в результате перемножения двух матриц получается матрица, содержащая столько строк, сколько их имеет матрица-множимое и столько столбцов, сколько их имеет матрица-множитель.
СВОЙСТВА УМНОЖЕНИЯ МАТРИЦ
Сочетательное свойство: А ( В С ) = (А В ) С
Распределительное свойство: (А + В) С = А С + В С
Можно показать, что , если А и В – две квадратные матрицы одного порядка с определителями А и В , то определитель матрицы С = А В равен произведению определителей перемножаемых матриц, т.е.
С = А В
Отметим следующий любопытный факт. Как известно, произведение двух отличных от нуля чисел не равно нулю. Для матриц подобное обстоятельство может и не иметь места, т.е. произведение двух ненулевых матриц может оказаться равным нуль – матрице.
Действие “деление” для матриц не вводится. Для квадратных невырожденных матриц вводится обратная матрица. С понятием обратной матрицы можно познакомиться в рекомендуемой литературе.
2 – ой учебный вопрос РЕШЕНИЕ СИСТЕМ ЛИНЕЙНЫХ
УРАВНЕНИЙ МЕТОДОМ ГАУССА
Метод Гаусса (или метод последовательного исключения неизвестных) применим для решения систем линейных уравнений, в которых число неизвестных может быть либо равно числу уравнений, либо отлично от него.
Система т линейных уравнений с п неизвестными имеет вид:
x1 , x2, …, xn – неизвестные.
ai j – коэффициенты при неизвестных.
bi – свободные члены (или правые части)
Система линейных уравнений называется совместной, если она имеет решение, и несовместной, если она не имеет решения.
Совместная система называется определенной, если она имеет единственное решение и неопределенной, если она имеет бесчисленное множество решений.
Две совместные системы называются равносильными, если они имеют одно и то же множество решений.
К элементарным преобразованиям системы отнесем следующее:
перемена местами двух любых уравнений;
умножение обеих частей любого из уравнений на произвольное число, отличное от нуля;
прибавление к обеим частям одного из уравнений системы соответствующих частей другого уравнения, умноженных на любое действительное число.
Элементарные преобразования переводят систему уравнений в равносильную ей.
Элементарные преобразования системы используются в методе Гаусса.
Для простоты рассмотрим метод Гаусса для системы трех линейных уравнений с тремя неизвестными в случае, когда существует единственное решение:
Дана система:
( 1 )
1-ый шаг метода Гаусса.
На первом шаге исключим неизвестное х1 из всех уравнений системы (1), кроме первого. Пусть коэффициент . Назовем его ведущим элементом. Разделим первое уравнение системы (1) на а11. Получим уравнение:
( 2 )
где
Исключим х1 из второго и третьего уравнений системы (1). Для этого вычтем из них уравнение (2), умноженное на коэффициент при х1 (соответственно а21 и а31).
Система примет вид:
( 3 )
Верхний индекс (1) указывает, что речь идет о коэффициентах первой преобразованной системы.
2-ой шаг метода Гаусса.
На втором шаге исключим неизвестное х2 из третьего уравнения системы (3). Пусть коэффициент . Выберем его за ведущий элемент и разделим на него второе уравнение системы (3), получим уравнение:
( 4 )
где
Из третьего уравнения системы (3) вычтем уравнение (4), умноженное на Получим уравнение:
Предполагая, что находим
В результате преобразований система приняла вид:
(5)
Система вида (5) называется треугольной.
Процесс приведения системы (1) к треугольному виду (5) (шаги 1 и 2) называют прямым ходом метода Гаусса.
Нахождение неизвестных из треугольной системы называют обратным ходом метода Гаусса.
Для этого найденное значение х3 подставляют во второе уравнение системы (5) и находят х2. Затем х2 и х3 подставляют в первое уравнение и находят х1.
В общем случае для системы т линейных уравнений с п неизвестными проводятся аналогичные преобразования. На каждом шаге исключается одно из неизвестных из всех уравнений, расположенных ниже ведущего уравнения.
Отсюда другое называние метода Гаусса – метод последовательного исключения неизвестных.
Если в ходе преобразований системы получается противоречивое уравнение вида 0 = b, где b 0, то это означает, что система несовместна и решений не имеет.
В случае совместной системы после преобразований по методу Гаусса, составляющих прямой ход метода, система т линейных уравнений с п неизвестными будет приведена или к треугольному или к ступенчатому виду.
Треугольная система имеет вид:
Такая система имеет единственное решение, которое находится в результате проведения обратного хода метода гаусса.
Ступенчатая система имеет вид:
Такая система имеет бесчисленное множество решений. Чтобы найти эти решения, во всех уравнениях системы члены с неизвестными хk+1, … , xk переносят в правую часть. Эти неизвестные называются свободными и придают им произвольные значения. Из полученной треугольной системы находим х1, … , xk, которые будут выражаться через свободные неизвестные. Подробнее об этом можно узнать в рекомендуемой литературе.
Рассмотренный метод Гаусса легко программируется на ЭВМ и является более экономичным (по числу действий), чем другие методы.
ЗАКЛЮЧЕНИЕ
Рассмотренные на лекции матрицы являются удобным инструментом для записи различных математических преобразований и широко используется в научно-технической литературе. Метод Гаусса позволяет решать любые линейные системы, он находит широкое применение и содержится в пакетах стандартных программ для ЭВМ.
доцент Смирнова А.И.
2dip.su
Матрицы Метод Гаусса
КОСТРОМСКОЙ ФИЛИАЛ ВОЕННОГО УНИВЕРСИТЕТА РХБ ЗАЩИТЫКафедра «Автоматизации управления войсками»
Только для преподавателей
“Утверждаю”
Начальник кафедры № 9
полковник ЯКОВЛЕВ А.Б.
«____»______________ 2004 г.
доцент СМИРНОВА А.И.
“МАТРИЦЫ. МЕТОД ГАУССА”
ЛЕКЦИЯ № 2 / 3
Обсуждено на заседании кафедры № 9
«____»___________ 2003г.
Протокол № ___________
Кострома, 2003
Cодержание
Введение
1. Действия над матрицами.
2. Решение систем линейных уравнений методом Гаусса.
Заключение
Литература
1. В.Е. Шнейдер и др., Краткий курс высшей математики,том I, гл.2,§6, 7.
2. В.С. Щипачев, Высшая математика, гл. 10, § 1, 7.
ВВЕДЕНИЕ
На лекции рассматривается понятие матрицы, действия над над матрицами, а также метод Гаусса для решения систем линейных уравнений. Для частного случая, так называемых квадратных матриц, можно вычислять определители, понятие о которых рассмотрено на предыдущей лекции. Метод Гаусса является более общим, чем рассмотренный ранее метод Крамера решения линейных систем. Разбираемые на лекции вопросы используются в различных разделах математики и в прикладных вопросах.
1-ый учебный вопрос ДЕЙСТВИЯ НАД МАТРИЦАМИ
ОПРЕДЕЛЕНИЕ 1. Прямоугольная таблица из m, n чисел, содержащая m – строк и n – столбцов, вида:
называется матрицей размера m ´ n
Числа, из которых составлена матрица, называются элементами матрицы.
Положение элемента аij в матрице характеризуются двойным индексом:
первый i – номер строки;
второй j – номер столбца, на пересечении которых стоит элемент.
Сокращенно матрицы обозначают заглавными буквами: А, В, С…
Коротко можно записывать так:
ОПРЕДЕЛЕНИЕ 2. Матрица, у которой число строк равно числу столбцов, т.е. m = n , называется квадратной.
Число строк (столбцов) квадратной матрицы называется порядком матрицы.
ПРИМЕР.
ЗАМЕЧАНИЕ 1. Мы будем рассматривать матрицы, элементами которых являются числа. В математике и ее приложениях встречаются матрицы, элементами которых являются другие объекты, например, функции, векторы.
ЗАМЕЧАНИЕ 2. Матрица – специальное математическое понятие. С помощью матриц удобно записывать различные преобразования, линейные системы и т.д., поэтому матрицы часто встречаются в математической и технической литературе.
ОПРЕДЕЛЕНИЕ 3. Матрица размера 1 ´ n, состоящая из одной строки, называется матрицей – строкой.
Матрица размера т ´ 1, состоящая из одного столбца, называется матрицей – столбцом.
ОПРЕДЕЛЕНИЕ 4. Нулевой матрицей называют матрицу, все элементы которой равны нулю.
Рассмотрим квадратную матрицу порядка n:
побочная диагональ
главная диагональ
Диагональ квадратной матрицы, идущая от верхнего левого элемента таблицы к правому нижнему, называется главной диагональю матрицы (на главной диагонали стоят элементы вида а ii).
Диагональ, идущая от правого верхнего элемента к левому нижнему, называется побочной диагональю матрицы.
Рассмотрим некоторые частные виды квадратных матриц.
1) Квадратная матрица называется диагональной, если все элементы, не стоящие на главной диагонали, равны нулю.
2) Диагональная матрица, у которой все элементы главной диагонали равны единице, называется единичной. Обозначается:
3) Квадратная матрица называется треугольной, если все элементы, расположенные по одну сторону от главной диагонали, равны нулю:
верхняя нижняя
треугольная матрица треугольная матрица
Для квадратной матрицы вводится понятие: определитель матрицы. Это определитель, составленный из элементов матрицы. Обозначается:
Ясно, что определитель единичной матрицы равен 1: ½Е½ = 1
ЗАМЕЧАНИЕ. Неквадратная матрица определителя не имеет.
Если определитель квадратичной матрицы отличен от нуля, то матрица называется невырожденной, если определитель равен нулю, то матрица называется вырожденной.
ОПРЕДЕЛЕНИЕ 5. Матрица, полученная из данной заменой ее строк столбцами с теми же номерами, называется транспонированной к данной.
Матрицу, транспонированную к А, обозначают АТ.
ПРИМЕР.
2 3 3 2
ОПРЕДЕЛЕНИЕ. Две матрицы одного и того же размера называются равными, если равны все их соответственные элементы.
Рассмотрим действия над матрицами.
СЛОЖЕНИЕ МАТРИЦ.
Операция сложения вводится только для матриц одинакового размера.
ОПРЕДЕЛЕНИЕ 7. Суммой двух матриц А = (аij) и В = (bij) одинакового размера называется матрица С = (сij) того же размера, элементы которой равны суммам соответствующих элементов слагаемых матриц, т.е. с i j = a i j + b i j
Обозначается сумма матриц А + В.
ПРИМЕР.
УМНОЖЕНИЕ МАТРИЦ НА ДЕЙСТВИТЕЛЬНОЕ ЧИСЛО
ОПРЕДЕЛЕНИЕ 8. Чтобы умножить матрицу на число k, надо умножить на это число каждый элемент матрицы:
если А= (аij), то k · A= (k · aij)
ПРИМЕР.
СВОЙСТВА СЛОЖЕНИЯ МАТРИЦ И УМНОЖЕНИЯ НА ЧИСЛО
1. Переместительное свойство: А + В = В + А
2. Сочетательное свойство: ( А + В ) + С = А + ( В + С )
3. Распределительное свойство: k · ( A + B ) = k A + k B, где k – число
УМНОЖЕНИЕ МАТРИЦ
Матрицу А назовем с о г л а с о в а н н о й с матрицей В , если число столбцов матрицы А равно числу строк матрицы В , т.е. для согласованных матриц матрица А имеет размер m ´ n , матрица В имеет размер n ´ k . Квадратные матрицы согласованы, если они одного порядка.
ОПРЕДЕЛЕНИЕ 9. Произведением матрицы А размера m ´ n на матрицу В размера n ´ k называется матрица С размера m ´ k, элемент которой аij, расположенный в i –ой строке и j – ом столбце, равен сумме произведений элементов i – ой строки матрицы А на соответствующие элементы j – столбца матрицы В, т.е.
cij= a i 1 b 1 j + ai 2 b 2 j +……+ ainbnj
Обозначим: С = А · В.
Если то
Произведение В ´ А не имеет смысла, т.к. матрицы не согласованы.
ЗАМЕЧАНИЕ 1. Если А ´ В имеет смысл, то В ´ А может не иметь смысла.
ЗАМЕЧАНИЕ 2. Если имеет смысл А ´ В и В ´ А, то, вообще говоря
А ´ В ¹ В ´ А, т.е. умножение матриц не обладает переместительным законом.
ЗАМЕЧАНИЕ 3. Если А – квадратная матрица и Е – единичная матрица того же порядка, то А ´ Е = Е ´ А = А.
Отсюда следует, что единичная матрица при умножении играет роль единицы.
ПРИМЕРЫ. Найти , если можно, А ´ В и В ´ А.
1.
Решение: Квадратные матрицы одного и того же второго порядка согласованы в томи другом порядке, поэтому А ´ В и В ´ А существуют.
2.
Решение: Матрицы А и В согласованы
Матрицы В и А не согласованы, поэтому В ´ А не имеет смысла.
Отметим, что в результате перемножения двух матриц получается матрица, содержащая столько строк, сколько их имеет матрица–множимое и столько столбцов, сколько их имеет матрица-множитель.
СВОЙСТВА УМНОЖЕНИЯ МАТРИЦ
1. Сочетательное свойство: А ´ ( В ´ С ) = (А ´ В ) ´С
2. Распределительное свойство: (А + В) ´ С = А ´ С + В ´С
Можно показать, что , если А и В – две квадратные матрицы одного порядка с определителями ½ А ½ и ½ В ½, то определитель матрицы С = А ´ В равен произведению определителей перемножаемых матриц, т.е.
½С½ = ½ А ½ ½ В ½
Отметим следующий любопытный факт. Как известно, произведение двух отличных от нуля чисел не равно нулю. Для матриц подобное обстоятельство может и не иметь места, т.е. произведение двух ненулевых матриц может оказаться равным нуль – матрице.
Действие “деление” для матриц не вводится. Для квадратных невырожденных матриц вводится обратная матрица. С понятием обратной матрицы можно познакомиться в рекомендуемой литературе.
2 – ой учебный вопрос РЕШЕНИЕ СИСТЕМ ЛИНЕЙНЫХ
УРАВНЕНИЙ МЕТОДОМ ГАУССА
Метод Гаусса (или метод последовательного исключения неизвестных) применим для решения систем линейных уравнений, в которых число неизвестных может быть либо равно числу уравнений, либо отлично от него.
Система т линейных уравнений с п неизвестными имеет вид:
x1 , x2, …, xn – неизвестные.
aij– коэффициенты при неизвестных.
bi – свободные члены (или правые части)
Система линейных уравнений называется совместной, если она имеет решение, и несовместной, если она не имеет решения.
Совместная система называется определенной, если она имеет единственное решение и неопределенной, если она имеет бесчисленное множество решений.
Две совместные системы называются равносильными, если они имеют одно и то же множество решений.
К элементарным преобразованиям системы отнесем следующее:
1. перемена местами двух любых уравнений;
2. умножение обеих частей любого из уравнений на произвольное число, отличное от нуля;
3. прибавление к обеим частям одного из уравнений системы соответствующих частей другого уравнения, умноженных на любое действительное число.
Элементарные преобразования переводят систему уравнений в равносильную ей.
Элементарные преобразования системы используются в методе Гаусса.
Для простоты рассмотрим метод Гаусса для системы трех линейных уравнений с тремя неизвестными в случае, когда существует единственное решение:
Дана система:
( 1 )
1-ый шаг метода Гаусса.
На первом шаге исключим неизвестное х1 из всех уравнений системы (1), кроме первого. Пусть коэффициент . Назовем его ведущим элементом. Разделим первое уравнение системы (1) на а11. Получим уравнение:
( 2 )
где
Исключим х1 из второго и третьего уравнений системы (1). Для этого вычтем из них уравнение (2), умноженное на коэффициент при х1 (соответственно а21 и а31).
Система примет вид:
( 3 )
Верхний индекс (1) указывает, что речь идет о коэффициентах первой преобразованной системы.
2-ой шаг метода Гаусса.
На втором шаге исключим неизвестное х2из третьего уравнения системы (3). Пусть коэффициент . Выберем его за ведущий элемент и разделим на него второе уравнение системы (3), получим уравнение:
( 4 )
где
Из третьего уравнения системы (3) вычтем уравнение (4), умноженное на Получим уравнение:
Предполагая, что находим
В результате преобразований система приняла вид:
(5)
Система вида (5) называется треугольной.
Процесс приведения системы (1) к треугольному виду (5) (шаги 1 и 2) называют прямым ходом метода Гаусса.
Нахождение неизвестных из треугольной системы называют обратным ходом метода Гаусса.
Для этого найденное значение х3 подставляют во второе уравнение системы (5) и находят х2. Затем х2 и х3 подставляют в первое уравнение и находят х1.
В общем случае для системы т линейных уравнений с п неизвестными проводятся аналогичные преобразования. На каждом шаге исключается одно из неизвестных из всех уравнений, расположенных ниже ведущего уравнения.
Отсюда другое называние метода Гаусса – метод последовательного исключения неизвестных.
Если в ходе преобразований системы получается противоречивое уравнение вида 0 = b, где b ¹ 0, то это означает, что система несовместна и решений не имеет.
В случае совместной системы после преобразований по методу Гаусса, составляющих прямой ход метода, система т линейных уравнений с п неизвестными будет приведена или к треугольному или к ступенчатому виду.
Треугольная система имеет вид:
Такая система имеет единственное решение, которое находится в результате проведения обратного хода метода гаусса.
Ступенчатая система имеет вид:
Такая система имеет бесчисленное множество решений. Чтобы найти эти решения, во всех уравнениях системы члены с неизвестными хk+1, … , xk переносят в правую часть. Эти неизвестные называются свободными и придают им произвольные значения. Из полученной треугольной системы находим х1, … , xk, которые будут выражаться через свободные неизвестные. Подробнее об этом можно узнать в рекомендуемой литературе.
Рассмотренный метод Гаусса легко программируется на ЭВМ и является более экономичным (по числу действий), чем другие методы.
ЗАКЛЮЧЕНИЕ
Рассмотренные на лекции матрицы являются удобным инструментом для записи различных математических преобразований и широко используется в научно-технической литературе. Метод Гаусса позволяет решать любые линейные системы, он находит широкое применение и содержится в пакетах стандартных программ для ЭВМ.
доцент Смирнова А.И.
coolreferat.com
Матрицы Метод Гаусса
КОСТРОМСКОЙ ФИЛИАЛ ВОЕННОГО УНИВЕРСИТЕТА РХБ ЗАЩИТЫКафедра «Автоматизации управления войсками»
Только для преподавателей
“Утверждаю”
Начальник кафедры № 9
полковник ЯКОВЛЕВ А.Б.
«____»______________ 2004 г.
доцент СМИРНОВА А.И.
“МАТРИЦЫ. МЕТОД ГАУССА”
ЛЕКЦИЯ № 2 / 3
Обсуждено на заседании кафедры № 9
«____»___________ 2003г.
Протокол № ___________
Кострома, 2003
Cодержание
Введение
1. Действия над матрицами.
2. Решение систем линейных уравнений методом Гаусса.
Заключение
Литература
1. В.Е. Шнейдер и др., Краткий курс высшей математики,том I, гл.2,§6, 7.
2. В.С. Щипачев, Высшая математика, гл. 10, § 1, 7.
ВВЕДЕНИЕ
На лекции рассматривается понятие матрицы, действия над над матрицами, а также метод Гаусса для решения систем линейных уравнений. Для частного случая, так называемых квадратных матриц, можно вычислять определители, понятие о которых рассмотрено на предыдущей лекции. Метод Гаусса является более общим, чем рассмотренный ранее метод Крамера решения линейных систем. Разбираемые на лекции вопросы используются в различных разделах математики и в прикладных вопросах.
1-ый учебный вопрос ДЕЙСТВИЯ НАД МАТРИЦАМИ
ОПРЕДЕЛЕНИЕ 1. Прямоугольная таблица из m, n чисел, содержащая m – строк и n – столбцов, вида:
называется матрицей размера m ´ n
Числа, из которых составлена матрица, называются элементами матрицы.
Положение элемента аij в матрице характеризуются двойным индексом:
первый i – номер строки;
второй j – номер столбца, на пересечении которых стоит элемент.
Сокращенно матрицы обозначают заглавными буквами: А, В, С…
Коротко можно записывать так: .zip” v:shapes=”_x0000_i1026″>
ОПРЕДЕЛЕНИЕ 2. Матрица, у которой число строк равно числу столбцов, т.е. m = n , называется квадратной.
Число строк (столбцов) квадратной матрицы называется порядком матрицы.
ПРИМЕР.
ЗАМЕЧАНИЕ 1. Мы будем рассматривать матрицы, элементами которых являются числа. В математике и ее приложениях встречаются матрицы, элементами которых являются другие объекты, например, функции, векторы.
ЗАМЕЧАНИЕ 2. Матрица – специальное математическое понятие. С помощью матриц удобно записывать различные преобразования, линейные системы и т.д., поэтому матрицы часто встречаются в математической и технической литературе.
ОПРЕДЕЛЕНИЕ 3. Матрица размера 1 ´ n, состоящая из одной строки, называется матрицей – строкой.
Матрица размера т ´ 1, состоящая из одного столбца, называется матрицей – столбцом.
ОПРЕДЕЛЕНИЕ 4. Нулевой матрицей называют матрицу, все элементы которой равны нулю.
Рассмотрим квадратную матрицу порядка n:
побочная диагональ
главная диагональ
Диагональ квадратной матрицы, идущая от верхнего левого элемента таблицы к правому нижнему, называется главной диагональю матрицы (на главной диагонали стоят элементы вида а ii).
Диагональ, идущая от правого верхнего элемента к левому нижнему, называется побочной диагональю матрицы.
Рассмотрим некоторые частные виды квадратных матриц.
1) Квадратная матрица называется диагональной, если все элементы, не стоящие на главной диагонали, равны нулю.
2) Диагональная матрица, у которой все элементы главной диагонали равны единице, называется единичной. Обозначается:
3) Квадратная матрица называется треугольной, если все элементы, расположенные по одну сторону от главной диагонали, равны нулю:
верхняя нижняя
треугольная матрица треугольная матрица
Для квадратной матрицы вводится понятие: определитель матрицы. Это определитель, составленный из элементов матрицы. Обозначается:
Ясно, что определитель единичной матрицы равен 1: ½Е½ = 1
ЗАМЕЧАНИЕ. Неквадратная матрица определителя не имеет.
Если определитель квадратичной матрицы отличен от нуля, то матрица называется невырожденной, если определитель равен нулю, то матрица называется вырожденной.
ОПРЕДЕЛЕНИЕ 5. Матрица, полученная из данной заменой ее строк столбцами с теми же номерами, называется транспонированной к данной.
Матрицу, транспонированную к А, обозначают АТ.
ПРИМЕР.
2 3 3 2
ОПРЕДЕЛЕНИЕ. Две матрицы одного и того же размера называются равными, если равны все их соответственные элементы.
Рассмотрим действия над матрицами.
СЛОЖЕНИЕ МАТРИЦ.
Операция сложения вводится только для матриц одинакового размера.
ОПРЕДЕЛЕНИЕ 7. Суммой двух матриц А = (аij) и В = (bij) одинакового размера называется матрица С = (сij) того же размера, элементы которой равны суммам соответствующих элементов слагаемых матриц, т.е. с i j = a i j + b i j
Обозначается сумма матриц А + В.
ПРИМЕР.
УМНОЖЕНИЕ МАТРИЦ НА ДЕЙСТВИТЕЛЬНОЕ ЧИСЛО
ОПРЕДЕЛЕНИЕ 8. Чтобы умножить матрицу на число k, надо умножить на это число каждый элемент матрицы:
если А= (аij), то k · A= (k · aij)
ПРИМЕР.
СВОЙСТВА СЛОЖЕНИЯ МАТРИЦ И УМНОЖЕНИЯ НА ЧИСЛО
1. Переместительное свойство: А + В = В + А
2. Сочетательное свойство: ( А + В ) + С = А + ( В + С )
3. Распределительное свойство: k · ( A + B ) = k A + k B, где k – число
УМНОЖЕНИЕ МАТРИЦ
Матрицу А назовем с о г л а с о в а н н о й с матрицей В , если число столбцов матрицы А равно числу строк матрицы В , т.е. для согласованных матриц матрица А имеет размер m ´ n , матрица В имеет размер n ´ k . Квадратные матрицы согласованы, если они одного порядка.
ОПРЕДЕЛЕНИЕ 9. Произведением матрицы А размера m ´ n на матрицу В размера n ´ k называется матрица С размера m ´ k, элемент которой аij, расположенный в i –ой строке и j – ом столбце, равен сумме произведений элементов i – ой строки матрицы А на соответствующие элементы j – столбца матрицы В, т.е.
cij= a i 1 b 1 j + ai 2 b 2 j +……+ ainbnj
Обозначим: С = А · В.
Если то
Произведение В ´ А не имеет смысла, т.к. матрицы не согласованы.
ЗАМЕЧАНИЕ 1. Если А ´ В имеет смысл, то В ´ А может не иметь смысла.
ЗАМЕЧАНИЕ 2. Если имеет смысл А ´ В и В ´ А, то, вообще говоря
А ´ В ¹ В ´ А, т.е. умножение матриц не обладает переместительным законом.
ЗАМЕЧАНИЕ 3. Если А – квадратная матрица и Е – единичная матрица того же порядка, то А ´ Е = Е ´ А = А.
Отсюда следует, что единичная матрица при умножении играет роль единицы.
ПРИМЕРЫ. Найти , если можно, А ´ В и В ´ А.
1.
Решение: Квадратные матрицы одного и того же второго порядка согласованы в томи другом порядке, поэтому А ´ В и В ´ А существуют.
2.
Решение: Матрицы А и В согласованы
Матрицы В и А не согласованы, поэтому В ´ А не имеет смысла.
Отметим, что в результате перемножения двух матриц получается матрица, содержащая столько строк, сколько их имеет матрица–множимое и столько столбцов, сколько их имеет матрица-множитель.
СВОЙСТВА УМНОЖЕНИЯ МАТРИЦ
1. Сочетательное свойство: А ´ ( В ´ С ) = (А ´ В ) ´С
2. Распределительное свойство: (А + В) ´ С = А ´ С + В ´С
Можно показать, что , если А и В – две квадратные матрицы одного порядка с определителями ½ А ½ и ½ В ½, то определитель матрицы С = А ´ В равен произведению определителей перемножаемых матриц, т.е.
½С½ = ½ А ½ ½ В ½
Отметим следующий любопытный факт. Как известно, произведение двух отличных от нуля чисел не равно нулю. Для матриц подобное обстоятельство может и не иметь места, т.е. произведение двух ненулевых матриц может оказаться равным нуль – матрице.
Действие “деление” для матриц не вводится. Для квадратных невырожденных матриц вводится обратная матрица. С понятием обратной матрицы можно познакомиться в рекомендуемой литературе.
2 – ой учебный вопрос РЕШЕНИЕ СИСТЕМ ЛИНЕЙНЫХ
УРАВНЕНИЙ МЕТОДОМ ГАУССА
Метод Гаусса (или метод последовательного исключения неизвестных) применим для решения систем линейных уравнений, в которых число неизвестных может быть либо равно числу уравнений, либо отлично от него.
Система т линейных уравнений с п неизвестными имеет вид:
x1 , x2, …, xn – неизвестные.
aij– коэффициенты при неизвестных.
bi – свободные члены (или правые части)
Система линейных уравнений называется совместной, если она имеет решение, и несовместной, если она не имеет решения.
Совместная система называется определенной, если она имеет единственное решение и неопределенной, если она имеет бесчисленное множество решений.
Две совместные системы называются равносильными, если они имеют одно и то же множество решений.
К элементарным преобразованиям системы отнесем следующее:
1. перемена местами двух любых уравнений;
2. умножение обеих частей любого из уравнений на произвольное число, отличное от нуля;
3. прибавление к обеим частям одного из уравнений системы соответствующих частей другого уравнения, умноженных на любое действительное число.
Элементарные преобразования переводят систему уравнений в равносильную ей.
Элементарные преобразования системы используются в методе Гаусса.
Для простоты рассмотрим метод Гаусса для системы трех линейных уравнений с тремя неизвестными в случае, когда существует единственное решение:
Дана система:
( 1 )
1-ый шаг метода Гаусса.
На первом шаге исключим неизвестное х1 из всех уравнений системы (1), кроме первого. Пусть коэффициент . Назовем его ведущим элементом. Разделим первое уравнение системы (1) на а11. Получим уравнение:
( 2 )
где
Исключим х1 из второго и третьего уравнений системы (1). Для этого вычтем из них уравнение (2), умноженное на коэффициент при х1 (соответственно а21 и а31).
Система примет вид:
( 3 )
Верхний индекс (1) указывает, что речь идет о коэффициентах первой преобразованной системы.
2-ой шаг метода Гаусса.
На втором шаге исключим неизвестное х2из третьего уравнения системы (3). Пусть коэффициент . Выберем его за ведущий элемент и разделим на него второе уравнение системы (3), получим уравнение:
( 4 )
где
Из третьего уравнения системы (3) вычтем уравнение (4), умноженное на Получим уравнение:
Предполагая, что находим
В результате преобразований система приняла вид:
(5)
Система вида (5) называется треугольной.
Процесс приведения системы (1) к треугольному виду (5) (шаги 1 и 2) называют прямым ходом метода Гаусса.
Нахождение неизвестных из треугольной системы называют обратным ходом метода Гаусса.
Для этого найденное значение х3 подставляют во второе уравнение системы (5) и находят х2. Затем х2 и х3 подставляют в первое уравнение и находят х1.
В общем случае для системы т линейных уравнений с п неизвестными проводятся аналогичные преобразования. На каждом шаге исключается одно из неизвестных из всех уравнений, расположенных ниже ведущего уравнения.
Отсюда другое называние метода Гаусса – метод последовательного исключения неизвестных.
Если в ходе преобразований системы получается противоречивое уравнение вида 0 = b, где b ¹ 0, то это означает, что система несовместна и решений не имеет.
В случае совместной системы после преобразований по методу Гаусса, составляющих прямой ход метода, система т линейных уравнений с п неизвестными будет приведена или к треугольному или к ступенчатому виду.
Треугольная система имеет вид:
Такая система имеет единственное решение, которое находится в результате проведения обратного хода метода гаусса.
Ступенчатая система имеет вид:
Такая система имеет бесчисленное множество решений. Чтобы найти эти решения, во всех уравнениях системы члены с неизвестными хk+1, … , xk переносят в правую часть. Эти неизвестные называются свободными и придают им произвольные значения. Из полученной треугольной системы находим х1, … , xk, которые будут выражаться через свободные неизвестные. Подробнее об этом можно узнать в рекомендуемой литературе.
Рассмотренный метод Гаусса легко программируется на ЭВМ и является более экономичным (по числу действий), чем другие методы.
ЗАКЛЮЧЕНИЕ
Рассмотренные на лекции матрицы являются удобным инструментом для записи различных математических преобразований и широко используется в научно-технической литературе. Метод Гаусса позволяет решать любые линейные системы, он находит широкое применение и содержится в пакетах стандартных программ для ЭВМ.
доцент Смирнова А.И.
www.referatnatemu.com
