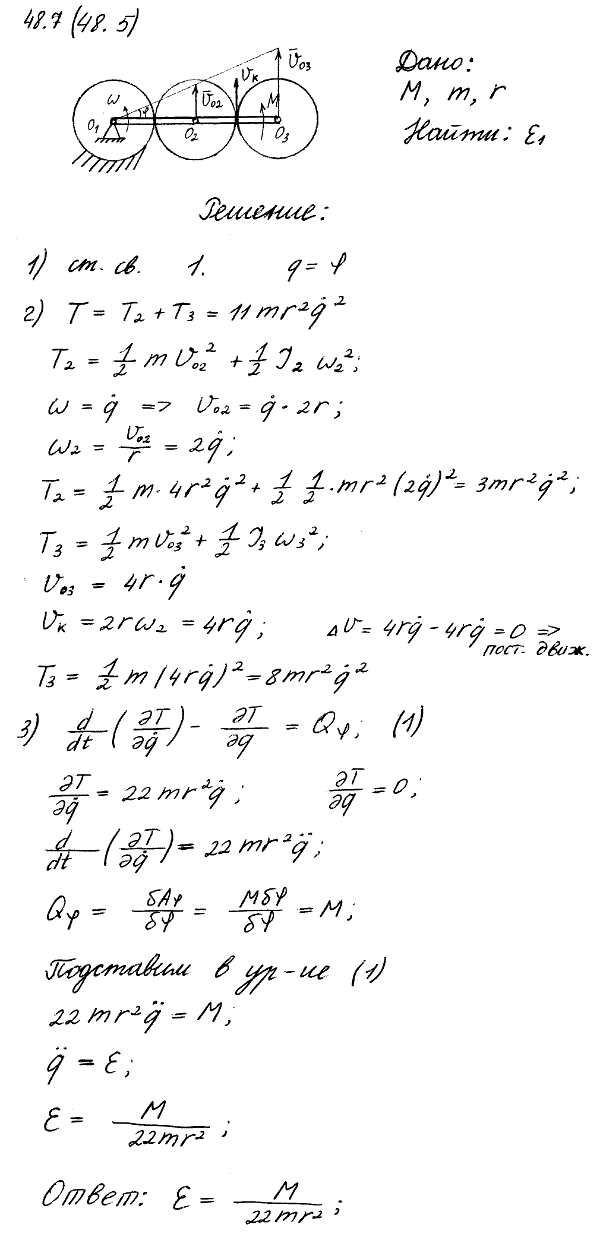
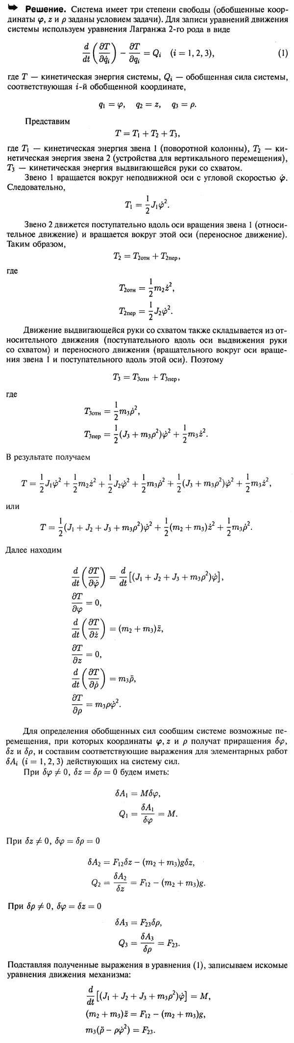
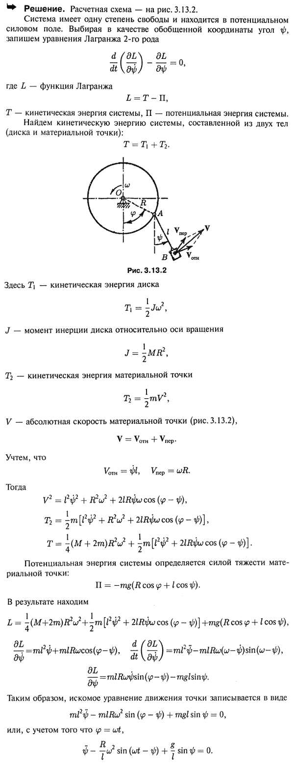
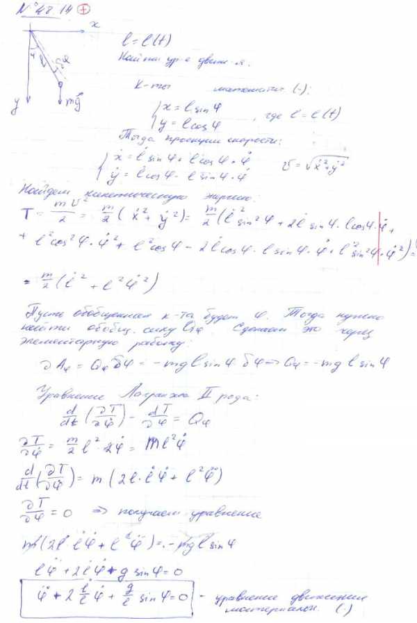
Π’Π΅ΠΎΡΠ΅ΡΠΈΡΠ΅ΡΠΊΠ°Ρ ΠΌΠ΅Ρ Π°Π½ΠΈΠΊΠ° (ΠΠΎΠ½ΡΡΠΎΠ»ΡΠ½ΠΎΠ΅ Π·Π°Π΄Π°Π½ΠΈΠ΅) [ΠΡΡ ΠΈΠ²]
ΠΠ°ΠΊΠΎΠ½ΡΠΈΡΡ ΠΏΠΎΠΏΡΡΠΊΡ…ΠΠΎΠΏΡΠΎΡ 1
ΠΠΎΠΊΠ° Π½Π΅Ρ ΠΎΡΠ²Π΅ΡΠ°
ΠΠ°Π»Π»: 1,00
ΠΠ΅ ΠΎΡΠΌΠ΅ΡΠ΅Π½ΠΎΠΡΠΌΠ΅ΡΠΈΡΡ Π²ΠΎΠΏΡΠΎΡ
Π’Π΅ΠΊΡΡ Π²ΠΎΠΏΡΠΎΡΠ°
Π‘ΡΠ΅ΡΠΈΡΠ΅ΡΠΊΠΈΠ΅ ΠΊΠΎΠΎΡΠ΄ΠΈΠ½Π°ΡΡ ΡΠΎΡΠΊΠΈ M ΡΠ°Π²Π½Ρ
M\left( {8,\dfrac{\pi }{6},\dfrac{{2\pi }}{3}} \right).
Π§Π΅ΠΌΡ ΡΠ°Π²Π½Π° x-ΠΊΠΎΠΎΡΠ΄ΠΈΠ½Π°ΡΠ° ΡΡΠΎΠΉ ΡΠΎΡΠΊΠΈ Π² Π΄Π΅ΠΊΠ°ΡΡΠΎΠ²ΠΎΠΉ ΡΠΈΡΡΠ΅ΠΌΠ΅ ΠΊΠΎΠΎΡΠ΄ΠΈΠ½Π°Ρ?
ΠΡΠ±Π΅ΡΠΈΡΠ΅ ΠΎΠ΄ΠΈΠ½ ΠΎΡΠ²Π΅Ρ:
-2
2
ΠΠΎΠΏΡΠΎΡ 2
ΠΠΎΠΊΠ° Π½Π΅Ρ ΠΎΡΠ²Π΅ΡΠ°
ΠΠ°Π»Π»: 1,00
ΠΠ΅ ΠΎΡΠΌΠ΅ΡΠ΅Π½ΠΎΠΡΠΌΠ΅ΡΠΈΡΡ Π²ΠΎΠΏΡΠΎΡ
Π’Π΅ΠΊΡΡ Π²ΠΎΠΏΡΠΎΡΠ°
ΠΠ΅ΠΊΡΠΎΡ Π·Π°Π΄Π°Π½ ΡΠ²ΠΎΠΈΠΌΠΈ ΠΊΠΎΠΎΡΠ΄ΠΈΠ½Π°ΡΠ°ΠΌΠΈ Π² Π΄Π΅ΠΊΠ°ΡΡΠΎΠ²ΠΎΠΉ ΠΏΡΡΠΌΠΎΡΠ³ΠΎΠ»ΡΠ½ΠΎΠΉ ΡΠΈΡΡΠ΅ΠΌΠ΅ ΠΊΠΎΠΎΡΠ΄ΠΈΠ½Π°Ρ
\vec a = \left( {1,4,8} \right).
Π§Π΅ΠΌΡ ΡΠ°Π²Π΅Π½ ΠΌΠΎΠ΄ΡΠ»Ρ ΡΡΠΎΠ³ΠΎ Π²Π΅ΠΊΡΠΎΡΠ°?
ΠΡΠ±Π΅ΡΠΈΡΠ΅ ΠΎΠ΄ΠΈΠ½ ΠΎΡΠ²Π΅Ρ:
13
9
32
ΠΠΎΠΏΡΠΎΡ 3
ΠΠΎΠΊΠ° Π½Π΅Ρ ΠΎΡΠ²Π΅ΡΠ°
ΠΠ°Π»Π»: 1,00
ΠΠ΅ ΠΎΡΠΌΠ΅ΡΠ΅Π½ΠΎΠΡΠΌΠ΅ΡΠΈΡΡ Π²ΠΎΠΏΡΠΎΡ
Π’Π΅ΠΊΡΡ Π²ΠΎΠΏΡΠΎΡΠ°
ΠΠ΅ΠΊΠ°ΡΡΠΎΠ²Ρ ΠΊΠΎΠΎΡΠ΄ΠΈΠ½Π°ΡΡ ΡΠΎΡΠΊΠΈ M ΡΠ°Π²Π½Ρ: .Π§Π΅ΠΌΡ ΡΠ°Π²Π΅Π½ ΡΡΠ΅ΡΠΈΡΠ΅ΡΠΊΠΈΠΉ ΡΠ°Π΄ΠΈΡΡ r ΡΡΠΎΠΉ ΡΠΎΡΠΊΠΈ Π² ΡΡΠ΅ΡΠΈΡΠ΅ΡΠΊΠΎΠΉ ΡΠΈΡΡΠ΅ΠΌΠ΅ ΠΊΠΎΠΎΡΠ΄ΠΈΠ½Π°Ρ?
ΠΡΠ±Π΅ΡΠΈΡΠ΅ ΠΎΠ΄ΠΈΠ½ ΠΎΡΠ²Π΅Ρ:
7
5
6
ΠΠΎΠΏΡΠΎΡ 4
ΠΠΎΠΊΠ° Π½Π΅Ρ ΠΎΡΠ²Π΅ΡΠ°
ΠΠ°Π»Π»: 1,00
ΠΠ΅ ΠΎΡΠΌΠ΅ΡΠ΅Π½ΠΎΠΡΠΌΠ΅ΡΠΈΡΡ Π²ΠΎΠΏΡΠΎΡ
Π¦ΠΈΠ»ΠΈΠ½Π΄ΡΠΈΡΠ΅ΡΠΊΠΈΠ΅ ΠΊΠΎΠΎΡΠ΄ΠΈΠ½Π°ΡΡ ΡΠΎΡΠΊΠΈ M ΡΠ°Π²Π½Ρ
M\left( {3,\dfrac{\pi }{6},4} \right).
Π§Π΅ΠΌΡ ΡΠ°Π²Π΅Π½ ΡΡΠ΅ΡΠΈΡΠ΅ΡΠΊΠΈΠΉ ΡΠ°Π΄ΠΈΡΡ r ΡΡΠΎΠΉ ΡΠΎΡΠΊΠΈ Π² ΡΡΠ΅ΡΠΈΡΠ΅ΡΠΊΠΎΠΉ ΡΠΈΡΡΠ΅ΠΌΠ΅ ΠΊΠΎΠΎΡΠ΄ΠΈΠ½Π°Ρ?
ΠΡΠ±Π΅ΡΠΈΡΠ΅ ΠΎΠ΄ΠΈΠ½ ΠΎΡΠ²Π΅Ρ:
3
5
4
ΠΠΎΠΏΡΠΎΡ 5
ΠΠΎΠΊΠ° Π½Π΅Ρ ΠΎΡΠ²Π΅ΡΠ°
ΠΠ°Π»Π»: 1,00
ΠΠ΅ ΠΎΡΠΌΠ΅ΡΠ΅Π½ΠΎΠΡΠΌΠ΅ΡΠΈΡΡ Π²ΠΎΠΏΡΠΎΡ
Π’Π΅ΠΊΡΡ Π²ΠΎΠΏΡΠΎΡΠ°
ΠΠ΅ΠΊΡΠΎΡΠ° Π·Π°Π΄Π°Π½Ρ ΡΠ²ΠΎΠΈΠΌΠΈ ΠΊΠΎΠΎΡΠ΄ΠΈΠ½Π°ΡΠ°ΠΌΠΈ Π² Π΄Π΅ΠΊΠ°ΡΡΠΎΠ²ΠΎΠΉ ΠΏΡΡΠΌΠΎΡΠ³ΠΎΠ»ΡΠ½ΠΎΠΉ ΡΠΈΡΡΠ΅ΠΌΠ΅ ΠΊΠΎΠΎΡΠ΄ΠΈΠ½Π°Ρ
\vec a = \left( {-2,1,4} \right),\quad \vec b = \left( {1,2,-1} \right)
Π§Π΅ΠΌΡ ΡΠ°Π²Π½Π° z-ΠΊΠΎΠΎΡΠ΄ΠΈΠ½Π°ΡΠ° Π²Π΅ΠΊΡΠΎΡΠ° \vec a \times \vec b?
ΠΡΠ±Π΅ΡΠΈΡΠ΅ ΠΎΠ΄ΠΈΠ½ ΠΎΡΠ²Π΅Ρ:
-5
1
2
-9
ΠΠΎΠΏΡΠΎΡ 6
ΠΠΎΠΊΠ° Π½Π΅Ρ ΠΎΡΠ²Π΅ΡΠ°
ΠΠ°Π»Π»: 1,00
ΠΠ΅ ΠΎΡΠΌΠ΅ΡΠ΅Π½ΠΎΠΡΠΌΠ΅ΡΠΈΡΡ Π²ΠΎΠΏΡΠΎΡ
Π’Π΅ΠΊΡΡ Π²ΠΎΠΏΡΠΎΡΠ°
Π§Π΅ΠΌΡ ΡΠ°Π²Π΅Π½ ΠΏΠΎΠ»ΡΡΠ½ΡΠΉ ΡΠ³ΠΎΠ» Ο ΡΡΠΎΠΉ ΡΠΎΡΠΊΠΈ Π² ΡΠΈΠ»ΠΈΠ½Π΄ΡΠΈΡΠ΅ΡΠΊΠΎΠΉ ΡΠΈΡΡΠ΅ΠΌΠ΅ ΠΊΠΎΠΎΡΠ΄ΠΈΠ½Π°Ρ?
ΠΡΠ±Π΅ΡΠΈΡΠ΅ ΠΎΠ΄ΠΈΠ½ ΠΎΡΠ²Π΅Ρ:
ΠΠΎΠΏΡΠΎΡ 7
ΠΠΎΠΊΠ° Π½Π΅Ρ ΠΎΡΠ²Π΅ΡΠ°
ΠΠ°Π»Π»: 1,00
ΠΠ΅ ΠΎΡΠΌΠ΅ΡΠ΅Π½ΠΎΠΡΠΌΠ΅ΡΠΈΡΡ Π²ΠΎΠΏΡΠΎΡ
Π’Π΅ΠΊΡΡ Π²ΠΎΠΏΡΠΎΡΠ°
Π¦ΠΈΠ»ΠΈΠ½Π΄ΡΠΈΡΠ΅ΡΠΊΠΈΠ΅ ΠΊΠΎΠΎΡΠ΄ΠΈΠ½Π°ΡΡ ΡΠΎΡΠΊΠΈ M ΡΠ°Π²Π½Ρ
M\left( {2,\dfrac{\pi }{4},3} \right).
Π§Π΅ΠΌΡ ΡΠ°Π²Π½Π° z-ΠΊΠΎΠΎΡΠ΄ΠΈΠ½Π°ΡΠ° ΡΡΠΎΠΉ ΡΠΎΡΠΊΠΈ Π² Π΄Π΅ΠΊΠ°ΡΡΠΎΠ²ΠΎΠΉ ΡΠΈΡΡΠ΅ΠΌΠ΅ ΠΊΠΎΠΎΡΠ΄ΠΈΠ½Π°Ρ?
ΠΡΠ±Π΅ΡΠΈΡΠ΅ ΠΎΠ΄ΠΈΠ½ ΠΎΡΠ²Π΅Ρ:
3
6
2
ΠΠΎΠΏΡΠΎΡ 8
ΠΠΎΠΊΠ° Π½Π΅Ρ ΠΎΡΠ²Π΅ΡΠ°
ΠΠ°Π»Π»: 1,00
ΠΠ΅ ΠΎΡΠΌΠ΅ΡΠ΅Π½ΠΎΠΡΠΌΠ΅ΡΠΈΡΡ Π²ΠΎΠΏΡΠΎΡ
Π’Π΅ΠΊΡΡ Π²ΠΎΠΏΡΠΎΡΠ°
ΠΠ΅ΠΊΡΠΎΡΠ° Π·Π°Π΄Π°Π½Ρ ΡΠ²ΠΎΠΈΠΌΠΈ ΠΊΠΎΠΎΡΠ΄ΠΈΠ½Π°ΡΠ°ΠΌΠΈ Π² Π΄Π΅ΠΊΠ°ΡΡΠΎΠ²ΠΎΠΉ ΠΏΡΡΠΌΠΎΡΠ³ΠΎΠ»ΡΠ½ΠΎΠΉ ΡΠΈΡΡΠ΅ΠΌΠ΅ ΠΊΠΎΠΎΡΠ΄ΠΈΠ½Π°Ρ
\vec a = \left( {1,2,3} \right),\quad \vec b = \left( {1,4,6} \right).
Π§Π΅ΠΌΡ ΡΠ°Π²Π΅Π½ ΠΌΠΎΠ΄ΡΠ»Ρ Π²Π΅ΠΊΡΠΎΡΠ° \vec a + \vec b?
ΠΡΠ±Π΅ΡΠΈΡΠ΅ ΠΎΠ΄ΠΈΠ½ ΠΎΡΠ²Π΅Ρ:
27
11
ΠΠΎΠΏΡΠΎΡ 9
ΠΠΎΠΊΠ° Π½Π΅Ρ ΠΎΡΠ²Π΅ΡΠ°
ΠΠ°Π»Π»: 1,00
ΠΠ΅ ΠΎΡΠΌΠ΅ΡΠ΅Π½ΠΎΠΡΠΌΠ΅ΡΠΈΡΡ Π²ΠΎΠΏΡΠΎΡ
Π’Π΅ΠΊΡΡ Π²ΠΎΠΏΡΠΎΡΠ°
ΠΠ΅ΠΊΡΠΎΡ Π·Π°Π΄Π°Π½ ΡΠ²ΠΎΠΈΠΌΠΈ ΠΊΠΎΠΎΡΠ΄ΠΈΠ½Π°ΡΠ°ΠΌΠΈ Π² Π΄Π΅ΠΊΠ°ΡΡΠΎΠ²ΠΎΠΉ ΠΏΡΡΠΌΠΎΡΠ³ΠΎΠ»ΡΠ½ΠΎΠΉ ΡΠΈΡΡΠ΅ΠΌΠ΅ ΠΊΠΎΠΎΡΠ΄ΠΈΠ½Π°Ρ
\vec a = \left( {2,1,2} \right).
Π§Π΅ΠΌΡ ΡΠ°Π²Π½Π° Π΄Π»ΠΈΠ½Π° Π²Π΅ΠΊΡΠΎΡΠ° 4\vec a?
ΠΡΠ±Π΅ΡΠΈΡΠ΅ ΠΎΠ΄ΠΈΠ½ ΠΎΡΠ²Π΅Ρ:
9
20
12
ΠΠΎΠΏΡΠΎΡ 10
ΠΠΎΠΊΠ° Π½Π΅Ρ ΠΎΡΠ²Π΅ΡΠ°
ΠΠ°Π»Π»: 1,00
ΠΠ΅ ΠΎΡΠΌΠ΅ΡΠ΅Π½ΠΎΠΡΠΌΠ΅ΡΠΈΡΡ Π²ΠΎΠΏΡΠΎΡ
Π’Π΅ΠΊΡΡ Π²ΠΎΠΏΡΠΎΡΠ°
ΠΠ΅ΠΊΡΠΎΡΠ° Π·Π°Π΄Π°Π½Ρ ΡΠ²ΠΎΠΈΠΌΠΈ ΠΊΠΎΠΎΡΠ΄ΠΈΠ½Π°ΡΠ°ΠΌΠΈ Π² Π΄Π΅ΠΊΠ°ΡΡΠΎΠ²ΠΎΠΉ ΠΏΡΡΠΌΠΎΡΠ³ΠΎΠ»ΡΠ½ΠΎΠΉ ΡΠΈΡΡΠ΅ΠΌΠ΅ ΠΊΠΎΠΎΡΠ΄ΠΈΠ½Π°Ρ
\vec a = \left( {2,2,1} \right), \quad \vec b = \left( {2,-1,-2} \right)
Π§Π΅ΠΌΡ ΡΠ°Π²Π΅Π½ ΠΌΠΎΠ΄ΡΠ»Ρ Π²Π΅ΠΊΡΠΎΡΠ° \vec a \times \vec b?
ΠΡΠ±Π΅ΡΠΈΡΠ΅ ΠΎΠ΄ΠΈΠ½ ΠΎΡΠ²Π΅Ρ:
9
1
ΠΠΎΠΏΡΠΎΡ 11
ΠΠΎΠΊΠ° Π½Π΅Ρ ΠΎΡΠ²Π΅ΡΠ°
ΠΠ°Π»Π»: 1,00
ΠΠ΅ ΠΎΡΠΌΠ΅ΡΠ΅Π½ΠΎΠΡΠΌΠ΅ΡΠΈΡΡ Π²ΠΎΠΏΡΠΎΡ
Π’Π΅ΠΊΡΡ Π²ΠΎΠΏΡΠΎΡΠ°
ΠΠ΅ΠΊΡΠΎΡ Π·Π°Π΄Π°Π½ ΡΠ²ΠΎΠΈΠΌΠΈ ΠΊΠΎΠΎΡΠ΄ΠΈΠ½Π°ΡΠ°ΠΌΠΈ Π² Π΄Π΅ΠΊΠ°ΡΡΠΎΠ²ΠΎΠΉ ΠΏΡΡΠΌΠΎΡΠ³ΠΎΠ»ΡΠ½ΠΎΠΉ ΡΠΈΡΡΠ΅ΠΌΠ΅ ΠΊΠΎΠΎΡΠ΄ΠΈΠ½Π°Ρ
\vec a = \left( {2,3,6} \right).
Π§Π΅ΠΌΡ ΡΠ°Π²Π΅Π½ Π½Π°ΠΏΡΠ°Π²Π»ΡΡΡΠΈΠΉ ΠΊΠΎΡΠΈΠ½ΡΡ ΡΠ³Π»Π° Ξ±, ΠΎΠ±ΡΠ°Π·ΠΎΠ²Π°Π½Π½ΠΎΠ³ΠΎ Π΄Π°Π½Π½ΡΠΌ Π²Π΅ΠΊΡΠΎΡΠΎΠΌ ΠΈ ΠΏΠΎΠ»ΠΎΠΆΠΈΡΠ΅Π»ΡΠ½ΡΠΌ Π½Π°ΠΏΡΠ°Π²Π»Π΅Π½ΠΈΠ΅ΠΌ ΠΎΡΠΈ OX?
ΠΡΠ±Π΅ΡΠΈΡΠ΅ ΠΎΠ΄ΠΈΠ½ ΠΎΡΠ²Π΅Ρ:
ΠΠΎΠΏΡΠΎΡ 12
ΠΠΎΠΊΠ° Π½Π΅Ρ ΠΎΡΠ²Π΅ΡΠ°
ΠΠ°Π»Π»: 1,00
ΠΠ΅ ΠΎΡΠΌΠ΅ΡΠ΅Π½ΠΎΠΡΠΌΠ΅ΡΠΈΡΡ Π²ΠΎΠΏΡΠΎΡ
Π’Π΅ΠΊΡΡ Π²ΠΎΠΏΡΠΎΡΠ°
Π¦ΠΈΠ»ΠΈΠ½Π΄ΡΠΈΡΠ΅ΡΠΊΠΈΠ΅ ΠΊΠΎΠΎΡΠ΄ΠΈΠ½Π°ΡΡ ΡΠΎΡΠΊΠΈ M ΡΠ°Π²Π½Ρ
M\left( {4,\dfrac{\pi }{3},3} \right).
Π§Π΅ΠΌΡ ΡΠ°Π²Π½Π° x-ΠΊΠΎΠΎΡΠ΄ΠΈΠ½Π°ΡΠ° ΡΡΠΎΠΉ ΡΠΎΡΠΊΠΈ Π² Π΄Π΅ΠΊΠ°ΡΡΠΎΠ²ΠΎΠΉ ΡΠΈΡΡΠ΅ΠΌΠ΅ ΠΊΠΎΠΎΡΠ΄ΠΈΠ½Π°Ρ?
ΠΡΠ±Π΅ΡΠΈΡΠ΅ ΠΎΠ΄ΠΈΠ½ ΠΎΡΠ²Π΅Ρ:
4
3
2
ΠΠΎΠΏΡΠΎΡ 13
ΠΠΎΠΊΠ° Π½Π΅Ρ ΠΎΡΠ²Π΅ΡΠ°
ΠΠ°Π»Π»: 1,00
ΠΠ΅ ΠΎΡΠΌΠ΅ΡΠ΅Π½ΠΎΠΡΠΌΠ΅ΡΠΈΡΡ Π²ΠΎΠΏΡΠΎΡ
Π’Π΅ΠΊΡΡ Π²ΠΎΠΏΡΠΎΡΠ°
ΠΠ΅ΠΊΡΠΎΡΠ° Π·Π°Π΄Π°Π½Ρ ΡΠ²ΠΎΠΈΠΌΠΈ ΠΊΠΎΠΎΡΠ΄ΠΈΠ½Π°ΡΠ°ΠΌΠΈ Π² Π΄Π΅ΠΊΠ°ΡΡΠΎΠ²ΠΎΠΉ ΠΏΡΡΠΌΠΎΡΠ³ΠΎΠ»ΡΠ½ΠΎΠΉ ΡΠΈΡΡΠ΅ΠΌΠ΅ ΠΊΠΎΠΎΡΠ΄ΠΈΠ½Π°Ρ \vec a = \left( {2,-1,2} \right),\quad \vec b = \left( {3,2,-1} \right).
Π§Π΅ΠΌΡ ΡΠ°Π²Π½Π° x-ΠΊΠΎΠΎΡΠ΄ΠΈΠ½Π°ΡΠ° Π²Π΅ΠΊΡΠΎΡΠ° \vec a \times \vec b?
ΠΡΠ±Π΅ΡΠΈΡΠ΅ ΠΎΠ΄ΠΈΠ½ ΠΎΡΠ²Π΅Ρ:
7
-3
0
8
ΠΠΎΠΏΡΠΎΡ 14
ΠΠΎΠΊΠ° Π½Π΅Ρ ΠΎΡΠ²Π΅ΡΠ°
ΠΠ°Π»Π»: 1,00
ΠΠ΅ ΠΎΡΠΌΠ΅ΡΠ΅Π½ΠΎΠΡΠΌΠ΅ΡΠΈΡΡ Π²ΠΎΠΏΡΠΎΡ
Π’Π΅ΠΊΡΡ Π²ΠΎΠΏΡΠΎΡΠ°
ΠΠ΅ΠΊΡΠΎΡΠ° Π·Π°Π΄Π°Π½Ρ ΡΠ²ΠΎΠΈΠΌΠΈ ΠΊΠΎΠΎΡΠ΄ΠΈΠ½Π°ΡΠ°ΠΌΠΈ Π² Π΄Π΅ΠΊΠ°ΡΡΠΎΠ²ΠΎΠΉ ΠΏΡΡΠΌΠΎΡΠ³ΠΎΠ»ΡΠ½ΠΎΠΉ ΡΠΈΡΡΠ΅ΠΌΠ΅ ΠΊΠΎΠΎΡΠ΄ΠΈΠ½Π°Ρ
\vec a = \left( {1,-2,3} \right), \quad \vec b = \left( {1,2,1} \right).
Π§Π΅ΠΌΡ ΡΠ°Π²Π΅Π½ ΡΠ³ΠΎΠ» ΠΌΠ΅ΠΆΠ΄Ρ Π²Π΅ΠΊΡΠΎΡΠ°ΠΌΠΈ \vec a ΠΈ \vec b?
ΠΡΠ±Π΅ΡΠΈΡΠ΅ ΠΎΠ΄ΠΈΠ½ ΠΎΡΠ²Π΅Ρ:
30Β°
90Β°
45Β°
60Β°
ΠΠΎΠΏΡΠΎΡ 15
ΠΠΎΠΊΠ° Π½Π΅Ρ ΠΎΡΠ²Π΅ΡΠ°
ΠΠ°Π»Π»: 1,00
ΠΠ΅ ΠΎΡΠΌΠ΅ΡΠ΅Π½ΠΎΠΡΠΌΠ΅ΡΠΈΡΡ Π²ΠΎΠΏΡΠΎΡ
Π’Π΅ΠΊΡΡ Π²ΠΎΠΏΡΠΎΡΠ°
Π‘ΡΠ΅ΡΠΈΡΠ΅ΡΠΊΠΈΠ΅ ΠΊΠΎΠΎΡΠ΄ΠΈΠ½Π°ΡΡ ΡΠΎΡΠΊΠΈ M ΡΠ°Π²Π½Ρ .
Π§Π΅ΠΌΡ ΡΠ°Π²Π½Π° z-ΠΊΠΎΠΎΡΠ΄ΠΈΠ½Π°ΡΠ° ΡΡΠΎΠΉ ΡΠΎΡΠΊΠΈ Π² Π΄Π΅ΠΊΠ°ΡΡΠΎΠ²ΠΎΠΉ ΡΠΈΡΡΠ΅ΠΌΠ΅ ΠΊΠΎΠΎΡΠ΄ΠΈΠ½Π°Ρ?
ΠΡΠ±Π΅ΡΠΈΡΠ΅ ΠΎΠ΄ΠΈΠ½ ΠΎΡΠ²Π΅Ρ:
0
8
-8
ΠΠΎΠΏΡΠΎΡ 16
ΠΠΎΠΊΠ° Π½Π΅Ρ ΠΎΡΠ²Π΅ΡΠ°
ΠΠ°Π»Π»: 1,00
ΠΠ΅ ΠΎΡΠΌΠ΅ΡΠ΅Π½ΠΎΠΡΠΌΠ΅ΡΠΈΡΡ Π²ΠΎΠΏΡΠΎΡ
Π’Π΅ΠΊΡΡ Π²ΠΎΠΏΡΠΎΡΠ°
ΠΠ΅ΠΊΡΠΎΡΠ° Π·Π°Π΄Π°Π½Ρ ΡΠ²ΠΎΠΈΠΌΠΈ ΠΊΠΎΠΎΡΠ΄ΠΈΠ½Π°ΡΠ°ΠΌΠΈ Π² Π΄Π΅ΠΊΠ°ΡΡΠΎΠ²ΠΎΠΉ ΠΏΡΡΠΌΠΎΡΠ³ΠΎΠ»ΡΠ½ΠΎΠΉ ΡΠΈΡΡΠ΅ΠΌΠ΅ ΠΊΠΎΠΎΡΠ΄ΠΈΠ½Π°Ρ
\vec a = \left( {1,2,3} \right),\quad \vec b = \left( {1,2,-1} \right).
Π§Π΅ΠΌΡ ΡΠ°Π²Π½ΠΎ ΡΠΊΠ°Π»ΡΡΠ½ΠΎΠ΅ ΠΏΡΠΎΠΈΠ·Π²Π΅Π΄Π΅Π½ΠΈΠ΅ Π²Π΅ΠΊΡΠΎΡΠΎΠ² \vec a \cdot \vec b?
ΠΡΠ±Π΅ΡΠΈΡΠ΅ ΠΎΠ΄ΠΈΠ½ ΠΎΡΠ²Π΅Ρ:
6
-3
2
ΠΠΎΠΏΡΠΎΡ 17
ΠΠΎΠΊΠ° Π½Π΅Ρ ΠΎΡΠ²Π΅ΡΠ°
ΠΠ°Π»Π»: 1,00
ΠΠ΅ ΠΎΡΠΌΠ΅ΡΠ΅Π½ΠΎΠΡΠΌΠ΅ΡΠΈΡΡ Π²ΠΎΠΏΡΠΎΡ
Π’Π΅ΠΊΡΡ Π²ΠΎΠΏΡΠΎΡΠ°
Π‘ΡΠ΅ΡΠΈΡΠ΅ΡΠΊΠΈΠ΅ ΠΊΠΎΠΎΡΠ΄ΠΈΠ½Π°ΡΡ ΡΠΎΡΠΊΠΈ M ΡΠ°Π²Π½Ρ
M\left( {4,\dfrac{\pi }{3},\dfrac{\pi }{6}} \right)
Π§Π΅ΠΌΡ ΡΠ°Π²Π½Π° y-ΠΊΠΎΠΎΡΠ΄ΠΈΠ½Π°ΡΠ° ΡΡΠΎΠΉ ΡΠΎΡΠΊΠΈ Π² Π΄Π΅ΠΊΠ°ΡΡΠΎΠ²ΠΎΠΉ ΡΠΈΡΡΠ΅ΠΌΠ΅ ΠΊΠΎΠΎΡΠ΄ΠΈΠ½Π°Ρ?
ΠΡΠ±Π΅ΡΠΈΡΠ΅ ΠΎΠ΄ΠΈΠ½ ΠΎΡΠ²Π΅Ρ:
1
4
-2
ΠΠΎΠΏΡΠΎΡ 18
ΠΠΎΠΊΠ° Π½Π΅Ρ ΠΎΡΠ²Π΅ΡΠ°
ΠΠ°Π»Π»: 1,00
ΠΠ΅ ΠΎΡΠΌΠ΅ΡΠ΅Π½ΠΎΠΡΠΌΠ΅ΡΠΈΡΡ Π²ΠΎΠΏΡΠΎΡ
Π’Π΅ΠΊΡΡ Π²ΠΎΠΏΡΠΎΡΠ°
ΠΠ΅ΠΊΠ°ΡΡΠΎΠ²Ρ ΠΊΠΎΠΎΡΠ΄ΠΈΠ½Π°ΡΡ ΡΠΎΡΠΊΠΈ M ΡΠ°Π²Π½Ρ: . Π§Π΅ΠΌΡ ΡΠ°Π²Π΅Π½ ΠΏΠΎΠ»ΡΡΠ½ΡΠΉ ΡΠ°Π΄ΠΈΡΡ Ο ΡΡΠΎΠΉ ΡΠΎΡΠΊΠΈ Π² ΡΠΈΠ»ΠΈΠ½Π΄ΡΠΈΡΠ΅ΡΠΊΠΎΠΉ ΡΠΈΡΡΠ΅ΠΌΠ΅ ΠΊΠΎΠΎΡΠ΄ΠΈΠ½Π°Ρ?
ΠΡΠ±Π΅ΡΠΈΡΠ΅ ΠΎΠ΄ΠΈΠ½ ΠΎΡΠ²Π΅Ρ:
10
6
ΠΠΎΠΏΡΠΎΡ 19
ΠΠΎΠΊΠ° Π½Π΅Ρ ΠΎΡΠ²Π΅ΡΠ°
ΠΠ°Π»Π»: 1,00
ΠΠ΅ ΠΎΡΠΌΠ΅ΡΠ΅Π½ΠΎΠΡΠΌΠ΅ΡΠΈΡΡ Π²ΠΎΠΏΡΠΎΡ
Π’Π΅ΠΊΡΡ Π²ΠΎΠΏΡΠΎΡΠ°
M\left( {6,\dfrac{\pi }{6},4} \right).
Π§Π΅ΠΌΡ ΡΠ°Π²Π½Π° y-ΠΊΠΎΠΎΡΠ΄ΠΈΠ½Π°ΡΠ° ΡΡΠΎΠΉ ΡΠΎΡΠΊΠΈ Π² Π΄Π΅ΠΊΠ°ΡΡΠΎΠ²ΠΎΠΉ ΡΠΈΡΡΠ΅ΠΌΠ΅ ΠΊΠΎΠΎΡΠ΄ΠΈΠ½Π°Ρ?
ΠΡΠ±Π΅ΡΠΈΡΠ΅ ΠΎΠ΄ΠΈΠ½ ΠΎΡΠ²Π΅Ρ:
6
4
3
ΠΠΎΠΏΡΠΎΡ 20
ΠΠΎΠΊΠ° Π½Π΅Ρ ΠΎΡΠ²Π΅ΡΠ°
ΠΠ°Π»Π»: 1,00
ΠΠ΅ ΠΎΡΠΌΠ΅ΡΠ΅Π½ΠΎΠΡΠΌΠ΅ΡΠΈΡΡ Π²ΠΎΠΏΡΠΎΡ
Π’Π΅ΠΊΡΡ Π²ΠΎΠΏΡΠΎΡΠ°
ΠΠ΅ΠΊΡΠΎΡΠ° Π·Π°Π΄Π°Π½Ρ ΡΠ²ΠΎΠΈΠΌΠΈ ΠΊΠΎΠΎΡΠ΄ΠΈΠ½Π°ΡΠ°ΠΌΠΈ Π² Π΄Π΅ΠΊΠ°ΡΡΠΎΠ²ΠΎΠΉ ΠΏΡΡΠΌΠΎΡΠ³ΠΎΠ»ΡΠ½ΠΎΠΉ ΡΠΈΡΡΠ΅ΠΌΠ΅ ΠΊΠΎΠΎΡΠ΄ΠΈΠ½Π°Ρ
\vec a = \left( {3,5,2} \right), \quad \vec b = \left( {1,2,1} \right).
Π§Π΅ΠΌΡ ΡΠ°Π²Π΅Π½ ΠΌΠΎΠ΄ΡΠ»Ρ Π²Π΅ΠΊΡΠΎΡΠ° \vec a – \vec b?
ΠΡΠ±Π΅ΡΠΈΡΠ΅ ΠΎΠ΄ΠΈΠ½ ΠΎΡΠ²Π΅Ρ:
14
6
ΠΠΎΠΏΡΠΎΡ 21
ΠΠΎΠΊΠ° Π½Π΅Ρ ΠΎΡΠ²Π΅ΡΠ°
ΠΠ°Π»Π»: 1,00
ΠΠ΅ ΠΎΡΠΌΠ΅ΡΠ΅Π½ΠΎΠΡΠΌΠ΅ΡΠΈΡΡ Π²ΠΎΠΏΡΠΎΡ
Π’Π΅ΠΊΡΡ Π²ΠΎΠΏΡΠΎΡΠ°
ΠΠ΅ΠΊΡΠΎΡ Π·Π°Π΄Π°Π½ ΡΠ²ΠΎΠΈΠΌΠΈ ΠΊΠΎΠΎΡΠ΄ΠΈΠ½Π°ΡΠ°ΠΌΠΈ Π² Π΄Π΅ΠΊΠ°ΡΡΠΎΠ²ΠΎΠΉ ΠΏΡΡΠΌΠΎΡΠ³ΠΎΠ»ΡΠ½ΠΎΠΉ ΡΠΈΡΡΠ΅ΠΌΠ΅ ΠΊΠΎΠΎΡΠ΄ΠΈΠ½Π°Ρ
\vec a = \left( {2,3,1} \right).
Π§Π΅ΠΌΡ ΡΠ°Π²Π΅Π½ Π½Π°ΠΏΡΠ°Π²Π»ΡΡΡΠΈΠΉ ΠΊΠΎΡΠΈΠ½ΡΡ ΡΠ³Π»Π° Ξ³, ΠΎΠ±ΡΠ°Π·ΠΎΠ²Π°Π½Π½ΠΎΠ³ΠΎ Π΄Π°Π½Π½ΡΠΌ Π²Π΅ΠΊΡΠΎΡΠΎΠΌ ΠΈ ΠΏΠΎΠ»ΠΎΠΆΠΈΡΠ΅Π»ΡΠ½ΡΠΌ Π½Π°ΠΏΡΠ°Π²Π»Π΅Π½ΠΈΠ΅ΠΌ ΠΎΡΠΈ OZ?
ΠΡΠ±Π΅ΡΠΈΡΠ΅ ΠΎΠ΄ΠΈΠ½ ΠΎΡΠ²Π΅Ρ:
ΠΠΎΠΏΡΠΎΡ 22
ΠΠΎΠΊΠ° Π½Π΅Ρ ΠΎΡΠ²Π΅ΡΠ°
ΠΠ°Π»Π»: 1,00
ΠΠ΅ ΠΎΡΠΌΠ΅ΡΠ΅Π½ΠΎΠΡΠΌΠ΅ΡΠΈΡΡ Π²ΠΎΠΏΡΠΎΡ
Π’Π΅ΠΊΡΡ Π²ΠΎΠΏΡΠΎΡΠ°
ΠΠ΅ΠΊΡΠΎΡΠ° Π·Π°Π΄Π°Π½Ρ ΡΠ²ΠΎΠΈΠΌΠΈ ΠΊΠΎΠΎΡΠ΄ΠΈΠ½Π°ΡΠ°ΠΌΠΈ Π² Π΄Π΅ΠΊΠ°ΡΡΠΎΠ²ΠΎΠΉ ΠΏΡΡΠΌΠΎΡΠ³ΠΎΠ»ΡΠ½ΠΎΠΉ ΡΠΈΡΡΠ΅ΠΌΠ΅ ΠΊΠΎΠΎΡΠ΄ΠΈΠ½Π°Ρ.
\vec a = \left( {1,1,1} \right), \quad \vec b = \left( {1,-2,-1} \right).
Π§Π΅ΠΌΡ ΡΠ°Π²Π΅Π½ ΠΌΠΎΠ΄ΡΠ»Ρ Π²Π΅ΠΊΡΠΎΡΠ° \vec a \times \vec b?
ΠΡΠ±Π΅ΡΠΈΡΠ΅ ΠΎΠ΄ΠΈΠ½ ΠΎΡΠ²Π΅Ρ:
7
11
ΠΠΎΠΏΡΠΎΡ 23
ΠΠΎΠΊΠ° Π½Π΅Ρ ΠΎΡΠ²Π΅ΡΠ°
ΠΠ°Π»Π»: 1,00
ΠΠ΅ ΠΎΡΠΌΠ΅ΡΠ΅Π½ΠΎΠΡΠΌΠ΅ΡΠΈΡΡ Π²ΠΎΠΏΡΠΎΡ
Π’Π΅ΠΊΡΡ Π²ΠΎΠΏΡΠΎΡΠ°
M\left( {4,\dfrac{\pi }{6},\dfrac{\pi }{2}} \right).
Π§Π΅ΠΌΡ ΡΠ°Π²Π΅Π½ ΠΏΠΎΠ»ΡΡΠ½ΡΠΉ ΡΠ°Π΄ΠΈΡΡ Ο ΡΡΠΎΠΉ ΡΠΎΡΠΊΠΈ Π² ΡΠΈΠ»ΠΈΠ½Π΄ΡΠΈΡΠ΅ΡΠΊΠΎΠΉ ΡΠΈΡΡΠ΅ΠΌΠ΅ ΠΊΠΎΠΎΡΠ΄ΠΈΠ½Π°Ρ?
ΠΡΠ±Π΅ΡΠΈΡΠ΅ ΠΎΠ΄ΠΈΠ½ ΠΎΡΠ²Π΅Ρ:
2
4
ΠΠΎΠΏΡΠΎΡ 24
ΠΠΎΠΊΠ° Π½Π΅Ρ ΠΎΡΠ²Π΅ΡΠ°
ΠΠ°Π»Π»: 1,00
ΠΠ΅ ΠΎΡΠΌΠ΅ΡΠ΅Π½ΠΎΠΡΠΌΠ΅ΡΠΈΡΡ Π²ΠΎΠΏΡΠΎΡ
Π’Π΅ΠΊΡΡ Π²ΠΎΠΏΡΠΎΡΠ°
ΠΠ΅ΠΊΡΠΎΡ Π·Π°Π΄Π°Π½ ΡΠ²ΠΎΠΈΠΌΠΈ ΠΊΠΎΠΎΡΠ΄ΠΈΠ½Π°ΡΠ°ΠΌΠΈ Π² Π΄Π΅ΠΊΠ°ΡΡΠΎΠ²ΠΎΠΉ ΠΏΡΡΠΌΠΎΡΠ³ΠΎΠ»ΡΠ½ΠΎΠΉ ΡΠΈΡΡΠ΅ΠΌΠ΅ ΠΊΠΎΠΎΡΠ΄ΠΈΠ½Π°Ρ
\vec a = \left( {4,7,4} \right).
Π§Π΅ΠΌΡ ΡΠ°Π²Π΅Π½ Π½Π°ΠΏΡΠ°Π²Π»ΡΡΡΠΈΠΉ ΠΊΠΎΡΠΈΠ½ΡΡ ΡΠ³Π»Π° Ξ², ΠΎΠ±ΡΠ°Π·ΠΎΠ²Π°Π½Π½ΠΎΠ³ΠΎ Π΄Π°Π½Π½ΡΠΌ Π²Π΅ΠΊΡΠΎΡΠΎΠΌ ΠΈ ΠΏΠΎΠ»ΠΎΠΆΠΈΡΠ΅Π»ΡΠ½ΡΠΌ Π½Π°ΠΏΡΠ°Π²Π»Π΅Π½ΠΈΠ΅ΠΌ ΠΎΡΠΈ OY?
ΠΡΠ±Π΅ΡΠΈΡΠ΅ ΠΎΠ΄ΠΈΠ½ ΠΎΡΠ²Π΅Ρ:
ΠΠΎΠΏΡΠΎΡ 25
ΠΠΎΠΊΠ° Π½Π΅Ρ ΠΎΡΠ²Π΅ΡΠ°
ΠΠ°Π»Π»: 1,00
ΠΠ΅ ΠΎΡΠΌΠ΅ΡΠ΅Π½ΠΎΠΡΠΌΠ΅ΡΠΈΡΡ Π²ΠΎΠΏΡΠΎΡ
Π’Π΅ΠΊΡΡ Π²ΠΎΠΏΡΠΎΡΠ°
ΠΠ΅ΠΊΡΠΎΡΠ° Π·Π°Π΄Π°Π½Ρ ΡΠ²ΠΎΠΈΠΌΠΈ ΠΊΠΎΠΎΡΠ΄ΠΈΠ½Π°ΡΠ°ΠΌΠΈ Π² Π΄Π΅ΠΊΠ°ΡΡΠΎΠ²ΠΎΠΉ ΠΏΡΡΠΌΠΎΡΠ³ΠΎΠ»ΡΠ½ΠΎΠΉ ΡΠΈΡΡΠ΅ΠΌΠ΅ ΠΊΠΎΠΎΡΠ΄ΠΈΠ½Π°Ρ
\vec a = \left( {1,-1,1} \right),\quad \vec b = \left( {2,3,-1} \right).
Π§Π΅ΠΌΡ ΡΠ°Π²Π½Π° y-ΠΊΠΎΠΎΡΠ΄ΠΈΠ½Π°ΡΠ° Π²Π΅ΠΊΡΠΎΡΠ° \vec a \times \vec b?
ΠΡΠ±Π΅ΡΠΈΡΠ΅ ΠΎΠ΄ΠΈΠ½ ΠΎΡΠ²Π΅Ρ:
3
-2
4
5
Ρ ΠΊΠΎΠ³ΠΎ Π½ΠΈΠ±ΡΠ΄Ρ Π΅ΡΡΡ ΡΠ΅ΡΠ΅Π½ΠΈΠ΅ Π½Π° ΡΡΠΎΡ ΡΠ΅ΡΡ???
mti.prioz.ru
ΠΡΠΈΠΊΠ»Π°Π΄Π½ΡΠ΅ Π·Π°Π΄Π°ΡΠΈ ΡΠ΅ΠΎΡΠ΅ΡΠΈΡΠ΅ΡΠΊΠΎΠΉ ΠΌΠ΅Ρ Π°Π½ΠΈΠΊΠΈ [ΠΡΡ ΠΈΠ²]
Π ΠΊΠΎΠ³Π΄Π° Π±ΡΠ΄ΡΡ ΠΎΡΠ²Π΅ΡΡ Π½Π° ΠΏΠΎΡΠ»Π΅Π΄ΡΡΡΠΈΠ΅ ΠΌΠΎΠ΄ΡΠ»ΠΈ?ΠΠ΄Π½Π°ΠΊΠΎ, ΠΊΠ°ΠΊΠΎΠΉ Ρ ΠΠ°Ρ ΠΏΠΎΠ΄Ρ ΠΎΠ΄ΡΡΠΈΠΉ Π½ΠΈΠΊ)
2-ΠΉ Π±Π»ΠΎΠΊ “Π‘ΠΎΠΏΡΠΎΠΌΠ°Ρ”. Π‘Π΄Π°Π»Π° Π½Π° “4”. ΠΠΎ Π² ΠΎΡΠ½ΠΎΡΠ΅Π½ΠΈΠΈ Π΄Π°Π½Π½ΠΎΠ³ΠΎ ΠΏΡΠ΅Π΄ΠΌΠ΅ΡΠ° ΡΡΠΎ Π»ΡΡΡΠ΅, ΡΠ΅ΠΌ Ρ ΠΎΡΠΎΡΠΎ. Π‘ΠΊΠΈΠ΄ΡΠ²Π°Ρ Π·Π°Π΄Π°ΡΠΈ. ΠΠΎΠΊΠ° Π½Π΅ Π·Π½Π°Ρ, Π²ΡΠ΅ Π»ΠΈ. Π Π½Π΅ΠΊΠΎΡΠΎΡΡΡ Π΅ΡΡΡ ΠΎΡΠΈΠ±ΠΊΠΈ, Π½ΠΎ Π³Π΄Π΅ ΠΈΠΌΠ΅Π½Π½ΠΎ, ΠΏΠΎΠΊΠ° Π½Π΅ ΠΏΡΠΎΠ²Π΅ΡΡΠ»Π°, ΠΈ Π½Π΅ Π²ΡΠ΅ Π·Π°Π΄Π°ΡΠΈ ΡΠ΅ΡΠ΅Π½Ρ (ΠΎΡΠ²Π΅Ρ Π½Π΅ Π²ΡΠ΄Π΅Π»Π΅Π½ ΠΆΠΈΡΠ½ΡΠΌ ΡΡΠΈΡΡΠΎΠΌ). ΠΠΎ ΠΏΠΎ ΡΡΠΈΠΌ ΠΎΡΠ²Π΅ΡΠ°ΠΌ Π½Π° “4” Π±Π»ΠΎΠΊ ΡΠ΄Π°ΡΡ ΡΠΎΡΠ½ΠΎ ΠΌΠΎΠΆΠ½ΠΎ.
Π‘ΠΌΠΈΠ½Π°ΡΡΠ΅Π΅ Π½Π°ΠΏΡΡΠΆΠ΅Π½ΠΈΠ΅ ΠΏΠΎΠ΄ Π·Π°ΠΏΠ»Π΅ΡΠΈΠΊΠΎΠΌ Π±ΠΎΠ»ΡΠ°, ΠΈΠ·ΠΎΠ±ΡΠ°ΠΆΠ΅Π½Π½ΠΎΠ³ΠΎ Π½Π° ΡΠΈΡΡΠ½ΠΊΠ΅, ΡΠ°Π²Π½ΠΎ 400 ΠΊΠ³/ΡΠΌ2, Π° ΡΠΆΠΈΠΌΠ°ΡΡΠ΅Π΅ Π½Π°ΠΏΡΡΠΆΠ΅Π½ΠΈΠ΅ Π² Π±ΠΎΠ»ΡΠ΅ Π΄ΠΈΠ°ΠΌΠ΅ΡΡΠΎΠΌ 10 ΡΠΌ ΡΠ°Π²Π½ΠΎ 1000 ΠΊΠ³/ΡΠΌ2. ΠΠΏΡΠ΅Π΄Π΅Π»ΠΈΡΡ ΠΊΠ°ΡΠ°ΡΠ΅Π»ΡΠ½ΠΎΠ΅ Π½Π°ΠΏΡΡΠΆΠ΅Π½ΠΈΠ΅ Π² Π·Π°ΠΏΠ»Π΅ΡΠΈΠΊΠ΅, Π΅ΡΠ»ΠΈ ΡΠΎΠ»ΡΠΈΠ½Π° Π΅Π³ΠΎ t = 5 ΡΠΌ.
ΠΡΠ±Π΅ΡΠΈΡΠ΅ ΠΎΠ΄ΠΈΠ½ ΠΎΡΠ²Π΅Ρ:
400 ΠΊΠ³/ΡΠΌ2
200 ΠΊΠ³/ΡΠΌ2
300 ΠΊΠ³/ΡΠΌ2
500 ΠΊΠ³/ΡΠΌ2
ΠΠΎΡΡΡΠΎΠΈΡΡ ΡΠΏΡΡΡ ΠΈΠ·Π³ΠΈΠ±Π°ΡΡΠΈΡ ΠΌΠΎΠΌΠ΅Π½ΡΠΎΠ² ΠΈ ΠΏΠΎΠΏΠ΅ΡΠ΅ΡΠ½ΡΡ ΡΠΈΠ» Π΄Π»Ρ Π±Π°Π»ΠΊΠΈ, ΠΏΠΎΠΊΠ°Π·Π°Π½Π½ΠΎΠΉ Π½Π° ΡΠΈΡΡΠ½ΠΊΠ΅. Π§Π΅ΠΌΡ ΡΠ°Π²Π΅Π½ Π΄ΠΈΠ°ΠΌΠ΅ΡΡ ΠΊΡΡΠ³Π»ΠΎΠ³ΠΎ ΠΏΠΎΠΏΠ΅ΡΠ΅ΡΠ½ΠΎΠ³ΠΎ ΡΠ΅ΡΠ΅Π½ΠΈΡ Π±Π°Π»ΠΊΠΈ ΠΏΡΠΈ Ο = 1100 ΠΊΠ³/ΡΠΌ2.
ΠΡΠ±Π΅ΡΠΈΡΠ΅ ΠΎΠ΄ΠΈΠ½ ΠΎΡΠ²Π΅Ρ:
23,5 ΡΠΌ
18,4 ΡΠΌ
8,9 ΡΠΌ
11,3 ΡΠΌ
ΠΠ΅ΡΡΠΊΠΈΠΉ Π±ΡΡΡ ΠΠ, Π΄Π΅ΡΠΎΡΠΌΠ°ΡΠΈΠ΅ΠΉ ΠΊΠΎΡΠΎΡΠΎΠ³ΠΎ ΠΌΠΎΠΆΠ½ΠΎ ΠΏΡΠ΅Π½Π΅Π±ΡΠ΅ΡΡ, Π³ΠΎΡΠΈΠ·ΠΎΠ½ΡΠ°Π»ΡΠ½ΠΎ ΠΏΠΎΠ΄Π²Π΅ΡΠ΅Π½ Π½Π° ΡΡΠ³Π°Ρ 1 ΠΈ 2. Π’ΡΠ³Π° 1 – ΡΡΠ°Π»ΡΠ½Π°Ρ, ΠΊΡΡΠ³Π»ΠΎΠ³ΠΎ ΡΠ΅ΡΠ΅Π½ΠΈΡ, Π΄ΠΈΠ°ΠΌΠ΅ΡΡΠΎΠΌ 20 ΠΌΠΌ, ΡΡΠ³Π° 2 – ΠΌΠ΅Π΄Π½Π°Ρ, ΡΠΎΠΆΠ΅ ΠΊΡΡΠ³Π»ΠΎΠ³ΠΎ ΡΠ΅ΡΠ΅Π½ΠΈΡ, Π΄ΠΈΠ°ΠΌΠ΅ΡΡΠΎΠΌ 25 ΠΌΠΌ. ΠΡΡΠ· Π = 3 Ρ ΠΏΠΎΠΌΠ΅ΡΠ΅Π½ Π½Π° ΡΠ°ΠΊΠΎΠΌ ΡΠ°ΡΡΡΠΎΡΠ½ΠΈΠΈ Π° ΠΎΡ ΡΠ·Π»Π° Π (ΡΠΌ. ΡΠΈΡΡΠ½ΠΎΠΊ), ΡΡΠΎ ΠΏΠΎΡΠ»Π΅ Π΄Π΅ΡΠΎΡΠΌΠ°ΡΠΈΠΈ Π±ΡΡΡ ΠΠ ΠΎΡΡΠ°Π΅ΡΡΡ Π³ΠΎΡΠΈΠ·ΠΎΠ½ΡΠ°Π»ΡΠ½ΡΠΌ? Π§Π΅ΠΌΡ Π² ΡΡΠΎΠΌ ΡΠ»ΡΡΠ°Π΅ ΡΠ°Π²Π½ΠΎ Π½Π°ΠΏΡΡΠΆΠ΅Π½ΠΈΠ΅ Π² ΡΡΠ³Π΅ -1?
ΠΡΠ±Π΅ΡΠΈΡΠ΅ ΠΎΠ΄ΠΈΠ½ ΠΎΡΠ²Π΅Ρ:
440 ΠΊΠ³/ΡΠΌ2
220 ΠΊΠ³/ΡΠΌ2
550 ΠΊΠ³/ΡΠΌ2
330 ΠΊΠ³/ΡΠΌ2
Π§ΡΠ³ΡΠ½Π½Π°Ρ ΠΊΠΎΠ»ΠΎΠ½Π½Π° ΠΊΠΎΠ»ΡΡΠ΅Π²ΠΎΠ³ΠΎ ΠΏΠΎΠΏΠ΅ΡΠ΅ΡΠ½ΠΎΠ³ΠΎ ΡΠ΅ΡΠ΅Π½ΠΈΡ ΠΈΠΌΠ΅Π΅Ρ Π½Π°ΡΡΠΆΠ½ΡΠΉ Π΄ΠΈΠ°ΠΌΠ΅ΡΡ 30 ΡΠΌ ΠΈ Π½Π°Π³ΡΡΠΆΠ΅Π½Π° ΡΠΈΠ»ΠΎΠΉ 200 ΡΠΎΠ½Π½. ΠΠΏΡΠ΅Π΄Π΅Π»ΠΈΡΡ Π½Π΅ΠΎΠ±Ρ
ΠΎΠ΄ΠΈΠΌΡΡ ΡΠΎΠ»ΡΠΈΠ½Ρ ΡΡΠ΅Π½ΠΊΠΈ ΠΏΡΠΈ Π΄ΠΎΠΏΡΡΠΊΠ°Π΅ΠΌΠΎΠΌ Π½Π°ΠΏΡΡΠΆΠ΅Π½ΠΈΠΈ Π½Π° ΡΠΆΠ°ΡΠΈΠ΅, ΡΠ°Π²Π½ΠΎΠΌ 800 ΠΊΠ³/ΡΠΌ2.
ΠΡΠ±Π΅ΡΠΈΡΠ΅ ΠΎΠ΄ΠΈΠ½ ΠΎΡΠ²Π΅Ρ:
62,5 ΠΌΠΌ
18,2 ΡΠΌ
2,9 ΡΠΌ
1,9 ΠΌΠΌ
ΠΠΏΡΠ΅Π΄Π΅Π»ΠΈΡΡ Π½Π΅ΠΎΠ±Ρ ΠΎΠ΄ΠΈΠΌΡΡ Π΄Π»ΠΈΠ½Ρ l ΡΠ»Π°Π½Π³ΠΎΠ²ΡΡ ΡΠ²ΠΎΠ² Π΄Π»Ρ ΡΠΎΠ΅Π΄ΠΈΠ½Π΅Π½ΠΈΡ Π²Π½Π°Ρ Π»Π΅ΡΡΠΊΡ Π΄Π²ΡΡ Π»ΠΈΡΡΠΎΠ² ΡΠ°Π·Π½ΠΎΠΉ ΡΠΈΡΠΈΠ½Ρ (ΡΠΌ. ΡΠΈΡΡΠ½ΠΎΠΊ). Π£ΡΠΈΠ»ΠΈΠ΅, ΠΈΡΠΏΡΡΡΠ²Π°Π΅ΠΌΠΎΠ΅ ΡΠΎΠ΅Π΄ΠΈΠ½Π΅Π½ΠΈΠ΅ΠΌ, Π = 15 Ρ. ΠΠΎΠΏΡΡΠΊΠ°Π΅ΠΌΠΎΠ΅ Π½Π°ΠΏΡΡΠΆΠ΅Π½ΠΈΠ΅ Π½Π° ΡΡΠ΅Π· Π΄Π»Ρ ΡΠ²Π°ΡΠΊΠΈ ΡΠ°Π²Π½ΠΎ 1100 ΠΊΠ³/ΡΠΌ2. Π’ΠΎΠ»ΡΠΈΠ½Π° ΡΠ·ΠΊΠΎΠ³ΠΎ Π»ΠΈΡΡΠ° 10 ΠΌΠΌ, Π° ΡΠΈΡΠΎΠΊΠΎΠ³ΠΎ 8 ΠΌΠΌ.
ΠΡΠ±Π΅ΡΠΈΡΠ΅ ΠΎΠ΄ΠΈΠ½ ΠΎΡΠ²Π΅Ρ:
20 ΡΠΌ
5 ΡΠΌ
10 ΡΠΌ
15 ΡΠΌ
Π Π°Π·ΡΡΠ²Π°ΡΡΠ΅Π΅ ΡΡΠΈΠ»ΠΈΠ΅ P ΠΏΡΠΈΠ»ΠΎΠΆΠ΅Π½ΠΎ ΠΊ ΠΏΠ»ΠΎΡΠΊΠΎΠΌΡ Π΄Π΅ΡΠ΅Π²ΡΠ½Π½ΠΎΠΌΡ ΠΎΠ±ΡΠ°Π·ΡΡ ΡΠ΅ΡΠ΅Π½ΠΈΠ΅ΠΌ 2×4 ΡΠΌ2 (ΡΠΌ. ΡΠΈΡΡΠ½ΠΎΠΊ). ΠΡΠ΅Π΄Π΅Π» ΠΏΡΠΎΡΠ½ΠΎΡΡΠΈ Π½Π° ΡΠ°ΡΡΡΠΆΠ΅Π½ΠΈΠ΅ Π΄Π»Ρ Π΄Π΅ΡΠ΅Π²Π° ΡΠ°Π²Π΅Π½ 560 ΠΊΠ³/ΡΠΌ2? Π§Π΅ΠΌΡ ΠΏΡΠΈ ΡΡΠΎΠΌ ΡΠ°Π²Π½ΠΎ ΡΠΊΠ°Π»ΡΠ²Π°ΡΡΠ΅Π΅ Π½Π°ΠΏΡΡΠΆΠ΅Π½ΠΈΠ΅ Π² Π³ΠΎΠ»ΠΎΠ²ΠΊΠ°Ρ ΡΡΠΎΠ³ΠΎ ΠΎΠ±ΡΠ°Π·ΡΠ°?
ΠΡΠ±Π΅ΡΠΈΡΠ΅ ΠΎΠ΄ΠΈΠ½ ΠΎΡΠ²Π΅Ρ:
72 ΠΊΠ³/ΡΠΌ2
48 ΠΊΠ³/ΡΠΌ2
22 ΠΊΠ³/ΡΠΌ2
56 ΠΊΠ³/ΡΠΌ2
ΠΠΏΡΠ΅Π΄Π΅Π»ΠΈΡΡ Π½Π°ΡΡΠΆΠ½ΡΠΉ Π΄ΠΈΠ°ΠΌΠ΅ΡΡ ΠΏΠΎΠ»ΠΎΠ³ΠΎ ΡΡΠ°Π»ΡΠ½ΠΎΠ³ΠΎ Π²Π°Π»Π°, ΠΏΠ΅ΡΠ΅Π΄Π°ΡΡΠ΅Π³ΠΎ ΠΌΠΎΡΠ½ΠΎΡΡΡ 9600 Π».Ρ. ΠΏΡΠΈ ΡΠ°ΡΡΠΎΡΠ΅ Π²ΡΠ°ΡΠ΅Π½ΠΈΡ 110 ΠΎΠ±/ΠΌΠΈΠ½, Π΅ΡΠ»ΠΈ Π΄ΠΎΠΏΡΡΠΊΠ°Π΅ΠΌΠΎΠ΅ ΠΊΠ°ΡΠ°ΡΠ΅Π»ΡΠ½ΠΎΠ΅ Π½Π°ΠΏΡΡΠΆΠ΅Π½ΠΈΠ΅ ΡΠ°Π²Π½ΠΎ 560 ΠΊΠ³/ΡΠΌ2, Π° Π²Π½ΡΡΡΠ΅Π½Π½ΠΈΠΉ Π΄ΠΈΠ°ΠΌΠ΅ΡΡ ΡΠΎΡΡΠ°Π²Π»ΡΠ΅Ρ 0,6 ΠΎΡ Π²Π½Π΅ΡΠ½Π΅Π³ΠΎ.
ΠΡΠ±Π΅ΡΠΈΡΠ΅ ΠΎΠ΄ΠΈΠ½ ΠΎΡΠ²Π΅Ρ:
16,4 ΡΠΌ
40,2 ΡΠΌ
53,2 ΡΠΌ
21,3 ΡΠΌ
ΠΠ· ΡΡΠ»ΠΎΠ²ΠΈΡ ΠΏΡΠΎΡΠ½ΠΎΡΡΠΈ ΠΏΠΎ Π½ΠΎΡΠΌΠ°Π»ΡΠ½ΡΠΌ Π½Π°ΠΏΡΡΠΆΠ΅Π½ΠΈΡΠΌ ΠΎΠΏΡΠ΅Π΄Π΅Π»ΠΈΡΡ Π³ΡΡΠ·ΠΎΠΏΠΎΠ΄ΡΠ΅ΠΌΠ½ΠΎΡΡΡ ΡΠΈΡΠΎΠΊΠΎΠΏΠΎΠ»ΠΎΡΠ½ΠΎΠ³ΠΎ Π΄Π²ΡΡΠ°Π²ΡΠ° ΠΏΡΠΎΠ»Π΅ΡΠΎΠΌ l = 3 ΠΌ, ΡΠ²ΠΎΠ±ΠΎΠ΄Π½ΠΎ Π»Π΅ΠΆΠ°ΡΠ΅Π³ΠΎ Π½Π° Π΄Π²ΡΡ ΠΎΠΏΠΎΡΠ°Ρ ΠΈ Π·Π°Π³ΡΡΠΆΠ΅Π½Π½ΠΎΠ³ΠΎ ΡΠΎΡΡΠ΅Π΄ΠΎΡΠΎΡΠ΅Π½Π½ΠΎΠΉ ΡΠΈΠ»ΠΎΠΉ Π , ΠΏΡΠΈΠ»ΠΎΠΆΠ΅Π½Π½ΠΎΠΉ ΠΏΠΎΡΡΠ΅Π΄ΠΈΠ½Π΅ ΠΏΡΠΎΠ»Π΅ΡΠ°. ΠΠΎΠ΄ΡΡΠΈΡΠ°ΡΡ Π²Π΅Π»ΠΈΡΠΈΠ½Ρ Π½Π°ΠΈΠ±ΠΎΠ»ΡΡΠΈΡ ΠΊΠ°ΡΠ°ΡΠ΅Π»ΡΠ½ΡΡ Π½Π°ΠΏΡΡΠΆΠ΅Π½ΠΈΠΉ. ΠΠΎΠΏΡΡΠΊΠ°Π΅ΠΌΡΠ΅ Π½Π°ΠΏΡΡΠΆΠ΅Π½ΠΈΡ ΠΏΡΠΈΠ½ΡΡΡ: Ο = 1600 ΠΊΠ³/ΡΠΌ2, Ο = 1000 ΠΊΠ³/ΡΠΌ2. Π Π°Π·ΠΌΠ΅ΡΡ ΡΠ΅ΡΠ΅Π½ΠΈΡ ΠΏΠΎΠΊΠ°Π·Π°Π½Ρ Π½Π° ΡΠΈΡΡΠ½ΠΊΠ΅ Π² ΠΌΠΌ.
ΠΡΠ±Π΅ΡΠΈΡΠ΅ ΠΎΠ΄ΠΈΠ½ ΠΎΡΠ²Π΅Ρ:
850 ΠΊΠ³/ΡΠΌ2
700 ΠΊΠ³/ΡΠΌ2
900 ΠΊΠ³/ΡΠΌ2
980 ΠΊΠ³/ΡΠΌ2
ΠΡΠΎΠ²ΠΎΠ»ΠΎΠΊΠ° Π΄ΠΈΠ°ΠΌΠ΅ΡΡΠΎΠΌ 5 ΠΌΠΌ ΠΈ Π΄Π»ΠΈΠ½ΠΎΠΉ 600 ΠΌ, ΠΏΡΠΈΠ²ΠΎΠ΄ΡΡΠ°Ρ Π² Π΄Π²ΠΈΠΆΠ΅Π½ΠΈΠ΅ ΠΆΠ΅Π»Π΅Π·Π½ΠΎΠ΄ΠΎΡΠΎΠΆΠ½ΡΠΉ ΡΠΈΠ³Π½Π°Π», ΡΠ°ΡΠΏΠΎΠ»ΠΎΠΆΠ΅Π½Π° Π½Π° ΡΠΎΠ»ΠΈΠΊΠ°Ρ , ΠΊΠ°ΠΊ ΡΠΊΠ°Π·Π°Π½ΠΎ Π½Π° ΡΠΈΡΡΠ½ΠΊΠ΅.
ΠΠΏΡΠ΅Π΄Π΅Π»ΠΈΡΡ, ΠΊΠ°ΠΊΠΎΠ΅ ΠΏΠ΅ΡΠ΅ΠΌΠ΅ΡΠ΅Π½ΠΈΠ΅ Ξ ΠΏΡΠΈ ΡΡΠΈΠ»ΠΈΠΈ Π² 200 ΠΊΠ³ Π½Π°Π΄ΠΎ Π΄Π°ΡΡ ΠΊΠΎΠ½ΡΡ ΠΏΡΠΎΠ²ΠΎΠ»ΠΎΠΊΠΈ Π² ΡΠΈΠ³Π½Π°Π»ΡΠ½ΠΎΠΉ Π±ΡΠ΄ΠΊΠ΅, Π΅ΡΠ»ΠΈ ΠΏΠ΅ΡΠ΅ΠΌΠ΅ΡΠ΅Π½ΠΈΠ΅ Π΄ΡΡΠ³ΠΎΠ³ΠΎ Π΅Π΅ ΠΊΠΎΠ½ΡΠ° Ρ ΡΠΈΠ³Π½Π°Π»Π° Π΄ΠΎΠ»ΠΆΠ½ΠΎ Π±ΡΡΡ ΡΠ°Π²Π½ΠΎ a = 17,5 ΡΠΌ. ΠΡΠΎΠ²Π΅ΡΠΎΠΌ ΠΏΡΠΎΠ²ΠΎΠ»ΠΎΠΊΠΈ ΠΌΠ΅ΠΆΠ΄Ρ ΡΠΎΠ»ΠΈΠΊΠ°ΠΌΠΈ ΠΈ ΡΠΈΠ»ΠΎΠΉ ΡΡΠ΅Π½ΠΈΡ ΠΌΠ΅ΠΆΠ΄Ρ ΠΏΡΠΎΠ²ΠΎΠ»ΠΎΠΊΠΎΠΉ ΠΈ ΡΠΎΠ»ΠΈΠΊΠ°ΠΌΠΈ ΠΏΡΠ΅Π½Π΅Π±ΡΠ΅ΡΡ.
ΠΡΠ±Π΅ΡΠΈΡΠ΅ ΠΎΠ΄ΠΈΠ½ ΠΎΡΠ²Π΅Ρ:
64 cΠΌ
0,93 ΠΌ
2,1 ΠΌ
48 ΡΠΌ
ΠΠ°ΠΉΡΠΈ Π²Π΅Π»ΠΈΡΠΈΠ½Ρ Π½Π°ΠΈΠ±ΠΎΠ»ΡΡΠΈΡ Π½ΠΎΡΠΌΠ°Π»ΡΠ½ΡΡ Π½Π°ΠΏΡΡΠΆΠ΅Π½ΠΈΠΉ Π² Π±Π°Π»ΠΊΠ΅ ΠΊΠΎΡΡΡΠ½ΠΎΠ³ΠΎ ΡΠ΅ΡΠ΅Π½ΠΈΡ (ΡΠΌ. ΡΠΈΡΡΠ½ΠΎΠΊ), ΡΠ²ΠΎΠ±ΠΎΠ΄Π½ΠΎ Π»Π΅ΠΆΠ°ΡΠ΅ΠΉ Π½Π° Π΄Π²ΡΡ ΠΎΠΏΠΎΡΠ°Ρ ΠΈ Π½Π°Π³ΡΡΠΆΠ΅Π½Π½ΠΎΠΉ Π΄Π²ΡΠΌΡ ΡΠΎΡΡΠ΅Π΄ΠΎΡΠΎΡΠ΅Π½Π½ΡΠΌΠΈ ΡΠΈΠ»Π°ΠΌΠΈ ΠΏΠΎ 15 Ρ ΠΊΠ°ΠΆΠ΄Π°Ρ. ΠΡΠΎΠ»Π΅Ρ Π±Π°Π»ΠΊΠΈ 3 ΠΌ. Π‘ΠΈΠ»Ρ ΠΏΡΠΈΠ»ΠΎΠΆΠ΅Π½Ρ Π½Π° ΡΠ°Π²Π½ΡΡ ΡΠ°ΡΡΡΠΎΡΠ½ΠΈΡΡ 0,3 ΠΌ ΠΎΡ ΠΎΠΏΠΎΡ.
ΠΡΠ±Π΅ΡΠΈΡΠ΅ ΠΎΠ΄ΠΈΠ½ ΠΎΡΠ²Π΅Ρ:
1380 ΠΊΠ³/ΡΠΌ2
750 ΠΊΠ³/ΡΠΌ2
890 ΠΊΠ³/ΡΠΌ2
970 ΠΊΠ³/ΡΠΌ2
ΠΠ²Π° Π»ΠΈΡΡΠ° ΡΠΎΠ΅Π΄ΠΈΠ½Π΅Π½Ρ ΠΏΡΠΈ ΠΏΠΎΠΌΠΎΡΠΈ ΠΎΠ΄Π½ΠΎΠΉ Π½Π°ΠΊΠ»Π°Π΄ΠΊΠΈ, ΠΊΠ°ΠΊ ΠΏΠΎΠΊΠ°Π·Π°Π½ΠΎ Π½Π° ΡΠΈΡΡΠ½ΠΊΠ΅. Π’ΠΎΠ»ΡΠΈΠ½Π° Π»ΠΈΡΡΠΎΠ² ΠΈ Π½Π°ΠΊΠ»Π°Π΄ΠΊΠΈ ΠΏΠΎ 10 ΠΌΠΌ. ΠΠΏΡΠ΅Π΄Π΅Π»ΠΈΡΡ Π½Π΅ΠΎΠ±Ρ
ΠΎΠ΄ΠΈΠΌΠΎΠ΅ ΠΊΠΎΠ»ΠΈΡΠ΅ΡΡΠ²ΠΎ Π·Π°ΠΊΠ»Π΅ΠΏΠΎΠΊ Π΄ΠΈΠ°ΠΌΠ΅ΡΡΠΎΠΌ 17 ΠΌΠΌ, Π΅ΡΠ»ΠΈ Π΄ΠΎΠΏΡΡΠΊΠ°Π΅ΠΌΡΠ΅ Π½Π°ΠΏΡΡΠΆΠ΅Π½ΠΈΡ: Π½Π° ΡΡΠ΅Π· Ο=1400 ΠΊΠ³/ΡΠΌ2, Π½Π° ΡΠΌΡΡΠΈΠ΅ Ο=3200 ΠΊΠ³/ΡΠΌ2. Π‘ΠΈΠ»Π° Π , ΡΠ°ΡΡΡΠ³ΠΈΠ²Π°ΡΡΠ°Ρ ΡΠΎΠ΅Π΄ΠΈΠ½Π΅Π½ΠΈΠ΅, ΡΠ°Π²Π½Π° 24 Ρ.
ΠΡΠ±Π΅ΡΠΈΡΠ΅ ΠΎΠ΄ΠΈΠ½ ΠΎΡΠ²Π΅Ρ:
6
8
4
2
ΠΠ΅ΠΆΠ΄Ρ Π½Π΅ΠΏΠΎΠ΄Π²ΠΈΠΆΠ½ΡΠΌΠΈ ΡΠΎΡΠΊΠ°ΠΌΠΈ A ΠΈ B (ΡΠΌ. ΡΠΈΡΡΠ½ΠΎΠΊ) Π³ΠΎΡΠΈΠ·ΠΎΠ½ΡΠ°Π»ΡΠ½ΠΎ Π½Π°ΡΡΠ½ΡΡΠ° ΡΡΠ°Π»ΡΠ½Π°Ρ ΠΏΡΠΎΠ²ΠΎΠ»ΠΎΠΊΠ° Π΄ΠΈΠ°ΠΌΠ΅ΡΡΠΎΠΌ 1 ΠΌΠΌ. Π ΡΠΎΡΠΊΠ΅ C ΠΏΠΎΡΡΠ΅Π΄ΠΈΠ½Π΅ Π΄Π»ΠΈΠ½Ρ ΠΏΡΠΎΠ²ΠΎΠ»ΠΎΠΊΠΈ ΠΏΠΎΠ΄Π²Π΅ΡΠΈΠ²Π°Π΅ΡΡΡ ΠΏΠΎΡΡΠ΅ΠΏΠ΅Π½Π½ΠΎ ΡΠ²Π΅Π»ΠΈΡΠΈΠ²Π°ΡΡΠ°ΡΡΡ Π½Π°Π³ΡΡΠ·ΠΊΠ° P. ΠΠΎΠ³Π΄Π° ΡΠ΄Π»ΠΈΠ½Π΅Π½ΠΈΠ΅ ΠΏΡΠΎΠ²ΠΎΠ»ΠΎΠΊΠΈ Π΄ΠΎΡΡΠΈΠ³Π»ΠΎ 0,5%, ΠΎΠ½Π° ΠΏΠΎΡΠ²Π°Π»Π°ΡΡ. Π§Π΅ΠΌΡ Π² ΡΡΠΎΡ ΠΌΠΎΠΌΠ΅Π½Ρ ΡΠ°Π²Π½Π° Π²Π΅Π»ΠΈΡΠΈΠ½Π° ΠΎΠΏΡΡΠΊΠ°Π½ΠΈΡ ΡΠΎΡΠΊΠΈ C. Π‘ΠΎΠ±ΡΡΠ²Π΅Π½Π½ΡΠΌ Π²Π΅ΡΠΎΠΌ ΠΏΡΠΎΠ²ΠΎΠ»ΠΎΠΊΠΈ ΠΏΡΠ΅Π½Π΅Π±ΡΠ΅ΡΡ. Π‘ΡΠΈΡΠ°ΡΡ, ΡΡΠΎ ΠΏΡΠΎΠ²ΠΎΠ»ΠΎΠΊΠ° Π½Π°ΠΊΠ»Π΅ΠΏΠ°Π½Π° ΠΈ Π΄ΠΎ ΠΌΠΎΠΌΠ΅Π½ΡΠ° ΡΠ°Π·ΡΡΠ²Π° ΠΎΠ½Π° ΠΈΠΌΠ΅Π΅Ρ Π»ΠΈΡΡ ΡΠΏΡΡΠ³ΠΈΠ΅ Π΄Π΅ΡΠΎΡΠΌΠ°ΡΠΈΠΈ.
ΠΡΠ±Π΅ΡΠΈΡΠ΅ ΠΎΠ΄ΠΈΠ½ ΠΎΡΠ²Π΅Ρ:
7 ΡΠΌ
4 ΡΠΌ
10 ΡΠΌ
2 ΡΠΌ
Π‘ΡΠ°Π»ΡΠ½ΠΎΠΉ ΡΡΠ΅ΡΠΆΠ΅Π½Ρ ΠΊΡΡΠ³Π»ΠΎΠ³ΠΎ ΠΏΠΎΠΏΠ΅ΡΠ΅ΡΠ½ΠΎΠ³ΠΎ ΡΠ΅ΡΠ΅Π½ΠΈΡ (d = 32 ΠΌΠΌ ΠΈ Π΄Π»ΠΈΠ½Ρ l = 35 ΡΠΌ) Π±ΡΠ» ΡΠ°ΡΡΡΠ½ΡΡ Π½Π° ΠΈΡΠΏΡΡΠ°ΡΠ΅Π»ΡΠ½ΠΎΠΉ ΠΌΠ°ΡΠΈΠ½Π΅ ΡΡΠΈΠ»ΠΈΠ΅ΠΌ 13,5 Ρ. ΠΡΠ»ΠΎ Π·Π°ΠΌΠ΅ΡΠ΅Π½ΠΎ ΡΠΌΠ΅Π½ΡΡΠ΅Π½ΠΈΠ΅ Π΄ΠΈΠ°ΠΌΠ΅ΡΡΠ°, ΡΠ°Π²Π½ΠΎΠ΅ 0,0062 ΠΌΠΌ, ΠΈ Π½Π° Π΄Π»ΠΈΠ½Π΅ 5 ΡΠΌ ΡΠ΄Π»ΠΈΠ½Π΅Π½ΠΈΠ΅, ΡΠ°Π²Π½ΠΎΠ΅ 0,040 ΠΌΠΌ. Π§Π΅ΠΌΡ ΡΠ°Π²Π΅Π½ ΠΊΠΎΡΡΡΠΈΡΠΈΠ΅Π½Ρ ΠΏΠΎΠΏΠ΅ΡΠ΅ΡΠ½ΠΎΠΉ Π΄Π΅ΡΠΎΡΠΌΠ°ΡΠΈΠΈ.
ΠΡΠ±Π΅ΡΠΈΡΠ΅ ΠΎΠ΄ΠΈΠ½ ΠΎΡΠ²Π΅Ρ:
0,354
0,242
0,523
0,121
Π‘ΠΏΠ»ΠΎΡΠ½ΠΎΠΉ Π²Π°Π» Π΄ΠΈΠ°ΠΌΠ΅ΡΡΠΎΠΌ 90 ΠΌΠΌ ΠΏΡΠΈ ΡΠΊΠΎΡΠΎΡΡΠΈ Π²ΡΠ°ΡΠ΅Π½ΠΈΡ 150 ΠΎΠ±/ΠΌΠΈΠ½ ΠΏΠ΅ΡΠ΅Π΄Π°Π΅Ρ ΠΌΠΎΡΠ½ΠΎΡΡΡ 50 Π».Ρ. ΠΠ»ΠΈΠ½Π° Π²Π°Π»Π° ΠΌΠ΅ΠΆΠ΄Ρ ΡΠΊΠΈΠ²Π°ΠΌΠΈ 4 ΠΌ. ΠΠΎΠ΄ΡΠ»Ρ G = 8 Β· 105 ΠΊΠ³/ΡΠΌ2. ΠΠΏΡΠ΅Π΄Π΅Π»ΠΈΡΡ Π½Π°ΠΈΠ±ΠΎΠ»ΡΡΠ΅Π΅ ΠΊΠ°ΡΠ°ΡΠ΅Π»ΡΠ½ΠΎΠ΅ Π½Π°ΠΏΡΡΠΆΠ΅Π½ΠΈΠ΅ Π² Π²Π°Π»Π΅.
ΠΡΠ±Π΅ΡΠΈΡΠ΅ ΠΎΠ΄ΠΈΠ½ ΠΎΡΠ²Π΅Ρ:
55 ΠΊΠ³/ΡΠΌ2
167 ΠΊΠ³/ΡΠΌ2
234 ΠΊΠ³/ΡΠΌ2
382 ΠΊΠ³/ΡΠΌ2
ΠΠΏΡΠ΅Π΄Π΅Π»ΠΈΡΡ ΠΌΠΈΠ½ΠΈΠΌΠ°Π»ΡΠ½ΡΡ Π΄Π»ΠΈΠ½Ρ Ρ , Π½Π΅ΠΎΠ±Ρ ΠΎΠ΄ΠΈΠΌΡΡ Π΄Π»Ρ ΠΏΡΠΈΠ²Π°ΡΠΊΠΈ Π»ΠΈΡΡΠ° Π² ΡΠΎΠ΅Π΄ΠΈΠ½Π΅Π½ΠΈΠΈ, ΠΈΠ·ΠΎΠ±ΡΠ°ΠΆΠ΅Π½Π½ΠΎΠΌ Π½Π° ΡΠΈΡΡΠ½ΠΊΠ΅, Π΅ΡΠ»ΠΈ ΡΠ°ΡΡΡΠ³ΠΈΠ²Π°ΡΡΠ΅Π΅ Π½Π°ΠΏΡΡΠΆΠ΅Π½ΠΈΠ΅ Π² Π»ΠΈΡΡΠ΅ ΡΠ°Π²Π½ΠΎ 1400 ΠΊΠ³/ΡΠΌ2, Π° Π΄ΠΎΠΏΡΡΠΊΠ°Π΅ΠΌΠΎΠ΅ Π½Π°ΠΏΡΡΠΆΠ΅Π½ΠΈΠ΅ Π½Π° ΡΡΠ΅Π· Π΄Π»Ρ ΡΠ²Π°ΡΠΊΠΈ 800 ΠΊΠ³/ΡΠΌ2.
ΠΡΠ±Π΅ΡΠΈΡΠ΅ ΠΎΠ΄ΠΈΠ½ ΠΎΡΠ²Π΅Ρ:
9,3 ΡΠΌ
7,5 ΡΠΌ
15,2 ΡΠΌ
12,1 ΡΠΌ
ΠΠΎΠ»ΡΠΉ Π²Π°Π», ΡΠΎΠ΅Π΄ΠΈΠ½ΡΡΡΠΈΠΉ ΡΡΡΠ±ΠΈΠ½Ρ ΠΈ Π³Π΅Π½Π΅ΡΠ°ΡΠΎΡ Π² Π³ΠΈΠ΄ΡΠΎΡΠ΅Ρ
Π½ΠΈΡΠ΅ΡΠΊΠΎΠΉ ΡΡΡΠ°Π½ΠΎΠ²ΠΊΠ΅, ΠΈΠΌΠ΅Π΅Ρ Π½Π°ΡΡΠΆΠ½ΡΠΉ Π΄ΠΈΠ°ΠΌΠ΅ΡΡ 40 ΡΠΌ ΠΈ Π²Π½ΡΡΡΠ΅Π½Π½ΠΈΠΉ Π΄ΠΈΠ°ΠΌΠ΅ΡΡ 22,5 ΡΠΌ. Π‘ΠΊΠΎΡΠΎΡΡΡ Π²ΡΠ°ΡΠ΅Π½ΠΈΡ 120 ΠΎΠ±/ΠΌΠΈΠ½. Π§Π΅ΠΌΡ ΡΠ°Π²Π½Ρ Π½Π°ΠΈΠ±ΠΎΠ»ΡΡΠΈΠ΅ ΠΊΠ°ΡΠ°ΡΠ΅Π»ΡΠ½ΡΠ΅ Π½Π°ΠΏΡΡΠΆΠ΅Π½ΠΈΡ ΠΏΡΠΈ ΠΏΠ΅ΡΠ΅Π΄Π°ΡΠ΅ Π²Π°Π»ΠΎΠΌ 10000 Π».Ρ.?
ΠΡΠ±Π΅ΡΠΈΡΠ΅ ΠΎΠ΄ΠΈΠ½ ΠΎΡΠ²Π΅Ρ:
530 ΠΊΠ³/ΡΠΌ2
270 ΠΊΠ³/ΡΠΌ2
480 ΠΊΠ³/ΡΠΌ2
750 ΠΊΠ³/ΡΠΌ2
Π ΡΡΠΎΡΡ Π΄ΠΈΠ°ΠΌΠ΅ΡΡΠΎΠΌ d = 10 ΠΌΠΌ ΠΏΠΎΠ΄Π²Π΅ΡΠ΅Π½Π° ΠΊΠ»Π΅ΡΡ ΡΠ°Ρ
ΡΠ½ΠΎΠ³ΠΎ ΠΏΠΎΠ΄ΡΠ΅ΠΌΠ½ΠΈΠΊΠ° Π²Π΅ΡΠΎΠΌ 100 ΠΊΠ³. ΠΠ»ΠΈΠ½Π° ΡΡΠΎΡΠ°, Π½Π°Π³ΡΡΠΆΠ΅Π½Π½ΠΎΠ³ΠΎ Π»ΠΈΡΡ Π²Π΅ΡΠΎΠΌ ΡΠ°ΠΌΠΎΠΉ ΠΊΠ»Π΅ΡΠΈ, ΡΠ°Π²Π½Π° 100 ΠΌ; Π΅Π³ΠΎ Π΄Π»ΠΈΠ½Π°, ΠΊΠΎΠ³Π΄Π° ΠΊΠ»Π΅ΡΡ Π·Π°Π³ΡΡΠΆΠ΅Π½Π° Π΅ΡΠ΅ 400 ΠΊΠ³ ΡΡΠ΄Ρ, Π½Π° 3 ΡΠΌ Π±ΠΎΠ»ΡΡΠ΅. ΠΠΏΡΠ΅Π΄Π΅Π»ΠΈΡΡ ΠΌΠΎΠ΄ΡΠ»Ρ ΡΠΏΡΡΠ³ΠΎΡΡΠΈ ΡΡΠΎΡΠ°.
ΠΡΠ±Π΅ΡΠΈΡΠ΅ ΠΎΠ΄ΠΈΠ½ ΠΎΡΠ²Π΅Ρ:
2,5 Β· 107 ΠΊΠ³/ΡΠΌ2
3,2 Β· 105 ΠΊΠ³/ΡΠΌ2
1,7 Β· 106 ΠΊΠ³/ΡΠΌ2
4,4 Β· 106 ΠΊΠ³/ΡΠΌ2
Π§ΡΠ³ΡΠ½Π½Π°Ρ ΡΡΡΠ±Π° Ρ Π½Π°ΡΡΠΆΠ½ΡΠΌ Π΄ΠΈΠ°ΠΌΠ΅ΡΡΠΎΠΌ 25 ΡΠΌ ΠΈ ΡΠΎΠ»ΡΠΈΠ½ΠΎΠΉ ΡΡΠ΅Π½ΠΊΠΈ 1 ΡΠΌ Π»Π΅ΠΆΠΈΡ Π½Π° Π΄Π²ΡΡ
ΠΎΠΏΠΎΡΠ°Ρ
, ΡΠ°ΡΠΏΠΎΠ»ΠΎΠΆΠ΅Π½Π½ΡΡ
Π½Π° Π²Π·Π°ΠΈΠΌΠ½ΠΎΠΌ ΡΠ°ΡΡΡΠΎΡΠ½ΠΈΠΈ 12 ΠΌ, ΠΈ Π½Π°ΠΏΠΎΠ»Π½Π΅Π½Π° Π²ΠΎΠ΄ΠΎΠΉ. ΠΠ°ΠΊΠΎΠ²Ρ Π½Π°ΠΈΠ±ΠΎΠ»ΡΡΠΈΠ΅ Π½ΠΎΡΠΌΠ°Π»ΡΠ½ΡΠ΅ Π½Π°ΠΏΡΡΠΆΠ΅Π½ΠΈΡ Π² ΡΡΡΠ±Π΅, Π΅ΡΠ»ΠΈ ΡΠ΄Π΅Π»ΡΠ½ΡΠΉ Π²Π΅Ρ ΡΡΠ³ΡΠ½Π° 7,8 Π³/ΡΠΌ3 ?
ΠΡΠ±Π΅ΡΠΈΡΠ΅ ΠΎΠ΄ΠΈΠ½ ΠΎΡΠ²Π΅Ρ:
412 ΠΊΠ³/ΡΠΌ2
354 ΠΊΠ³/ΡΠΌ2
132 ΠΊΠ³/ΡΠΌ2
653 ΠΊΠ³/ΡΠΌ2
Π‘ΡΠ°Π»ΡΠ½Π°Ρ ΠΏΠΎΠ»ΠΎΡΠ° (ΡΠΌ. ΡΠΈΡΡΠ½ΠΎΠΊ) ΡΠ°ΡΡΡΠ½ΡΡΠ° ΠΏΡΠΎΠ΄ΠΎΠ»ΡΠ½ΡΠΌΠΈ ΡΠΈΠ»Π°ΠΌΠΈ. ΠΠ½Π° ΠΎΡΠ»Π°Π±Π»Π΅Π½Π° ΠΊΡΡΠ³Π»ΡΠΌΠΈ Π·Π°ΠΊΠ»Π΅ΠΏΠΎΡΠ½ΡΠΌΠΈ ΠΎΡΠ²Π΅ΡΡΡΠΈΡΠΌΠΈ, ΠΊΠ°ΠΊ ΠΏΠΎΠΊΠ°Π·Π°Π½ΠΎ Π½Π° ΡΠΈΡΡΠ½ΠΊΠ΅.
ΠΠΏΡΠ΅Π΄Π΅Π»ΠΈΡΡ ΡΡΠ΅Π΄Π½ΡΡ Π²Π΅Π»ΠΈΡΠΈΠ½Ρ Π½Π°ΠΏΡΡΠΆΠ΅Π½ΠΈΠΉ Π² ΠΎΠΏΠ°ΡΠ½ΠΎΠΌ ΡΠ΅ΡΠ΅Π½ΠΈΠΈ.
ΠΡΠ±Π΅ΡΠΈΡΠ΅ ΠΎΠ΄ΠΈΠ½ ΠΎΡΠ²Π΅Ρ:
1000 ΠΊΠ³/ΡΠΌ2
37 ΠΊΠ³/ΡΠΌ2
3400 ΠΊΠ³/ΡΠΌ2
420 ΠΊΠ³/ΡΠΌ2
ΠΡΡΡΠΊΠΈ ΠΊΠΎΡΠ»Π° ΠΏΡΠΈΡΠΎΠ΅Π΄ΠΈΠ½Π΅Π½Ρ ΠΊ ΡΡΠ΅Π½ΠΊΠ°ΠΌ Π·Π°ΠΊΠ»Π΅ΠΏΠΊΠ°ΠΌΠΈ ΠΏΡΠΈ ΠΏΠΎΠΌΠΎΡΠΈ ΡΠ³ΠΎΠ»ΠΊΠΎΠ², ΠΊΠ°ΠΊ ΠΏΠΎΠΊΠ°Π·Π°Π½ΠΎ Π½Π° ΡΠΈΡΡΠ½ΠΊΠ΅. ΠΠΈΠ°ΠΌΠ΅ΡΡ ΠΊΠΎΡΠ»Π° 100 ΡΠΌ; Π΄Π°Π²Π»Π΅Π½ΠΈΠ΅ Π² ΠΊΠΎΡΠ»Π΅ ΡΠ°Π²Π½ΠΎ 10 am. Π’ΠΎΠ»ΡΠΈΠ½Π° ΡΡΠ΅Π½ΠΎΠΊ ΠΊΠΎΡΠ»Π° ΠΈ ΠΏΠΎΠ»ΠΎΠΊ ΡΠ³ΠΎΠ»ΠΊΠ° ΠΏΠΎ 10 ΠΌΠΌ. ΠΠΏΡΠ΅Π΄Π΅Π»ΠΈΡΡ ΠΊΠΎΠ»ΠΈΡΠ΅ΡΡΠ²ΠΎ Π·Π°ΠΊΠ»Π΅ΠΏΠΎΠΊ, Π½Π΅ΠΎΠ±Ρ
ΠΎΠ΄ΠΈΠΌΠΎΠ΅ Π΄Π»Ρ ΡΠΎΠ΅Π΄ΠΈΠ½Π΅Π½ΠΈΡ ΡΡΠ΅Π½ΠΊΠΈ ΠΊΠΎΡΠ»Π° Ρ ΡΠ³ΠΎΠ»ΠΊΠΎΠΌ, Π΅ΡΠ»ΠΈ Π΄ΠΈΠ°ΠΌΠ΅ΡΡ Π·Π°ΠΊΠ»Π΅ΠΏΠΎΠΊ 20 ΠΌΠΌ. ΠΠΎΠΏΡΡΠΊΠ°Π΅ΠΌΡΠ΅ Π½Π°ΠΏΡΡΠΆΠ΅Π½ΠΈΡ: Π½Π° ΡΡΠ΅Π· 700 ΠΊΠ³/ΡΠΌ2, Π½Π° ΡΠΌΡΡΠΈΠ΅ 1600 ΠΊΠ³/ΡΠΌ2.
ΠΡΠ±Π΅ΡΠΈΡΠ΅ ΠΎΠ΄ΠΈΠ½ ΠΎΡΠ²Π΅Ρ:
36
12
24
48
ΠΠ΅ΡΡΠΊΠΈΠΉ Π±ΡΡΡ ΠΠ, Π΄Π΅ΡΠΎΡΠΌΠ°ΡΠΈΠ΅ΠΉ ΠΊΠΎΡΠΎΡΠΎΠ³ΠΎ ΠΌΠΎΠΆΠ½ΠΎ ΠΏΡΠ΅Π½Π΅Π±ΡΠ΅ΡΡ, Π³ΠΎΡΠΈΠ·ΠΎΠ½ΡΠ°Π»ΡΠ½ΠΎ ΠΏΠΎΠ΄Π²Π΅ΡΠ΅Π½ Π½Π° ΡΡΠ³Π°Ρ 1 ΠΈ 2. Π’ΡΠ³Π° 1 – ΡΡΠ°Π»ΡΠ½Π°Ρ, ΠΊΡΡΠ³Π»ΠΎΠ³ΠΎ ΡΠ΅ΡΠ΅Π½ΠΈΡ, Π΄ΠΈΠ°ΠΌΠ΅ΡΡΠΎΠΌ 20 ΠΌΠΌ, ΡΡΠ³Π° 2 -ΠΌΠ΅Π΄Π½Π°Ρ, ΡΠΎΠΆΠ΅ ΠΊΡΡΠ³Π»ΠΎΠ³ΠΎ ΡΠ΅ΡΠ΅Π½ΠΈΡ, Π΄ΠΈΠ°ΠΌΠ΅ΡΡΠΎΠΌ 25 ΠΌΠΌ. ΠΠ° ΠΊΠ°ΠΊΠΎΠΌ ΡΠ°ΡΡΡΠΎΡΠ½ΠΈΠΈ Π° ΠΎΡ ΡΠ·Π»Π° Π (ΡΠΌ. ΡΠΈΡΡΠ½ΠΎΠΊ) Π½ΡΠΆΠ½ΠΎ ΠΏΠΎΠΌΠ΅ΡΡΠΈΡΡ Π³ΡΡΠ· Π = 3 Ρ, ΡΡΠΎΠ±Ρ ΠΈ ΠΏΠΎΡΠ»Π΅ Π΄Π΅ΡΠΎΡΠΌΠ°ΡΠΈΠΈ Π±ΡΡΡ ΠΠ ΠΎΡΡΠ°Π»ΡΡ Π³ΠΎΡΠΈΠ·ΠΎΠ½ΡΠ°Π»ΡΠ½ΡΠΌ?
ΠΡΠ±Π΅ΡΠΈΡΠ΅ ΠΎΠ΄ΠΈΠ½ ΠΎΡΠ²Π΅Ρ:
0,87 ΠΌ
1,56 ΠΌ
0,23 ΠΌ
1,08 ΠΌ
Π‘ΡΠ΅ΡΠΆΠ΅Π½Ρ ΠΈΠ· ΠΌΠ°Π»ΠΎΡΠ³Π»Π΅ΡΠΎΠ΄ΠΈΡΡΠΎΠΉ ΡΡΠ°Π»ΠΈ ΡΠΈΡΠΈΠ½ΠΎΠΉ 30 ΡΠΌ ΠΈ ΡΠΎΠ»ΡΠΈΠ½ΠΎΠΉ 15 ΠΌΠΌ ΠΎΡΠ»Π°Π±Π»Π΅Π½ Π·Π°ΠΊΠ»Π΅ΠΏΠΎΡΠ½ΡΠΌ ΠΎΡΠ²Π΅ΡΡΡΠΈΠ΅ΠΌ Π΄ΠΈΠ°ΠΌΠ΅ΡΡΠΎΠΌ 23 ΠΌΠΌ, ΡΠ°ΡΠΏΠΎΠ»ΠΎΠΆΠ΅Π½Π½ΡΠΌ Π½Π° ΠΎΡΠΈ ΡΡΠ΅ΡΠΆΠ½Ρ. ΠΠ°ΠΊΠΎΠ΅ ΡΠ°ΡΡΡΠ³ΠΈΠ²Π°ΡΡΠ΅Π΅ ΡΡΠΈΠ»ΠΈΠ΅ ΡΡΠΎΡ ΡΡΠ΅ΡΠΆΠ΅Π½Ρ ΠΌΠΎΠΆΠ΅Ρ Π²ΡΠ΄Π΅ΡΠΆΠ°ΡΡ, Π΅ΡΠ»ΠΈ Π΄ΠΎΠΏΡΡΠΊΠ°Π΅ΠΌΠΎΠ΅ Π½Π°ΠΏΡΡΠΆΠ΅Π½ΠΈΠ΅ ΡΠ°Π²Π½ΠΎ 900 ΠΊΠ³/ΡΠΌ2.
ΠΡΠ±Π΅ΡΠΈΡΠ΅ ΠΎΠ΄ΠΈΠ½ ΠΎΡΠ²Π΅Ρ:
37,4 Ρ
250 ΠΊΠ³
2,5 Ρ
560 ΠΊΠ³
Π‘ΠΏΠ»ΠΎΡΠ½ΠΎΠΉ Π²Π°Π» Π΄ΠΈΠ°ΠΌΠ΅ΡΡΠΎΠΌ 40 ΡΠΌ Π·Π°ΠΌΠ΅Π½ΡΠ΅ΡΡΡ ΠΏΠΎΠ»ΡΠΌ Π²Π°Π»ΠΎΠΌ, Ρ ΠΊΠΎΡΠΎΡΠΎΠ³ΠΎ Π²Π½ΡΡΡΠ΅Π½Π½ΠΈΠΉ Π΄ΠΈΠ°ΠΌΠ΅ΡΡ ΡΠΎΡΡΠ°Π²Π»ΡΠ΅Ρ 60% ΠΎΡ Π½Π°ΡΡΠΆΠ½ΠΎΠ³ΠΎ. ΠΠΏΡΠ΅Π΄Π΅Π»ΠΈΡΡ Π½Π°ΡΡΠΆΠ½ΡΠΉ Π΄ΠΈΠ°ΠΌΠ΅ΡΡ ΠΏΠΎΠ»ΠΎΠ³ΠΎ Π²Π°Π»Π° ΠΏΡΠΈ ΡΡΠ»ΠΎΠ²ΠΈΠΈ, ΡΡΠΎ Π΄ΠΎΠΏΡΡΠΊΠ°Π΅ΠΌΡΠ΅ ΠΊΠ°ΡΠ°ΡΠ΅Π»ΡΠ½ΡΠ΅ Π½Π°ΠΏΡΡΠΆΠ΅Π½ΠΈΡ Ρ Π½ΠΈΡ
ΠΎΠ΄ΠΈΠ½Π°ΠΊΠΎΠ²ΡΠ΅.
ΠΡΠ±Π΅ΡΠΈΡΠ΅ ΠΎΠ΄ΠΈΠ½ ΠΎΡΠ²Π΅Ρ:
18 ΡΠΌ
23 ΡΠΌ
61 ΡΠΌ
42 ΡΠΌ
ΠΠΏΡΠ΅Π΄Π΅Π»ΠΈΡΡ Π΄ΠΈΠ°ΠΌΠ΅ΡΡ ΡΠΏΠ»ΠΎΡΠ½ΠΎΠ³ΠΎ Π²Π°Π»Π°, ΠΏΠ΅ΡΠ΅Π΄Π°ΡΡΠ΅Π³ΠΎ 450 Π».Ρ. ΠΏΡΠΈ 300 ΠΎΠ±/ΠΌΠΈΠ½. Π£Π³ΠΎΠ» Π·Π°ΠΊΡΡΡΠΈΠ²Π°Π½ΠΈΡ Π½Π΅ Π΄ΠΎΠ»ΠΆΠ΅Π½ ΠΏΡΠ΅Π²ΡΡΠ°ΡΡ 1Β° Π½Π° 2 ΠΌ Π΄Π»ΠΈΠ½Ρ Π²Π°Π»Π°, Π° Π½Π°ΠΈΠ±ΠΎΠ»ΡΡΠ΅Π΅ ΠΊΠ°ΡΠ°ΡΠ΅Π»ΡΠ½ΠΎΠ΅ Π½Π°ΠΏΡΡΠΆΠ΅Π½ΠΈΠ΅ ΡΠ°Π²Π½ΠΎ 400 ΠΊΠ³/ΡΠΌ2; G=8ο105 ΠΊΠ³/ΡΠΌ2.
ΠΡΠ±Π΅ΡΠΈΡΠ΅ ΠΎΠ΄ΠΈΠ½ ΠΎΡΠ²Π΅Ρ:
11,2 ΡΠΌ
18,4 ΡΠΌ
6,9 ΡΠΌ
9,8 ΡΠΌ
Π Π½ΠΈΠΆΠ½Π΅ΠΌΡ ΠΊΠΎΠ½ΡΡ ΡΡΠΎΡΠ°, Π·Π°ΠΊΡΠ΅ΠΏΠ»Π΅Π½Π½ΠΎΠ³ΠΎ Π²Π΅ΡΡ
Π½ΠΈΠΌ ΠΊΠΎΠ½ΡΠΎΠΌ, ΠΏΠΎΠ΄Π²Π΅ΡΠ΅Π½ Π³ΡΡΠ· Π = 7,5 Ρ. Π’ΡΠΎΡ ΡΠΎΡΡΠ°Π²Π»Π΅Π½ ΠΈΠ· ΠΏΡΠΎΠ²ΠΎΠ»ΠΎΠΊ Π΄ΠΈΠ°ΠΌΠ΅ΡΡΠΎΠΌ d = 1 ΠΌΠΌ. ΠΠΎΠΏΡΡΠΊΠ°Π΅ΠΌΠΎΠ΅ Π½Π°ΠΏΡΡΠΆΠ΅Π½ΠΈΠ΅ Π΄Π»Ρ ΠΌΠ°ΡΠ΅ΡΠΈΠ°Π»Π° ΡΡΠΎΡΠ° ΡΠ°Π²Π½ΠΎ 3000 ΠΊΠ³/ΡΠΌ2. ΠΠ· ΠΊΠ°ΠΊΠΎΠ³ΠΎ ΠΊΠΎΠ»ΠΈΡΠ΅ΡΡΠ²Π° ΠΏΡΠΎΠ²ΠΎΠ»ΠΎΠΊ Π΄ΠΎΠ»ΠΆΠ΅Π½ Π±ΡΡΡ ΡΠΎΡΡΠ°Π²Π»Π΅Π½ ΡΡΠΎΡ?
ΠΡΠ±Π΅ΡΠΈΡΠ΅ ΠΎΠ΄ΠΈΠ½ ΠΎΡΠ²Π΅Ρ:
40
80
150
100
ΠΠ΅ΡΡΠΊΠ°Ρ Π±Π°Π»ΠΊΠ° ΠΠ, Π΄Π΅ΡΠΎΡΠΌΠ°ΡΠΈΠ΅ΠΉ ΠΊΠΎΡΠΎΡΠΎΠΉ ΠΏΡΠ΅Π½Π΅Π±ΡΠ΅Π³Π°Π΅ΠΌ, ΠΎΠΏΠΈΡΠ°Π΅ΡΡΡ Π½Π° ΡΡΠΎΠΉΠΊΠΈ ΠΈ Π½Π°Π³ΡΡΠΆΠ΅Π½Π°, ΠΊΠ°ΠΊ ΡΠΊΠ°Π·Π°Π½ΠΎ Π½Π° ΡΠΈΡΡΠ½ΠΊΠ΅. Π‘ΡΠΎΠΉΠΊΠ° Π β ΡΡΠ°Π»ΡΠ½Π°Ρ, ΡΠ΅ΡΠ΅Π½ΠΈΠ΅ΠΌ 10 ΡΠΌ2,ΡΡΠΎΠΉΠΊΠ° Π βΠ΄Π΅ΡΠ΅Π²ΡΠ½Π½Π°Ρ, ΡΠ΅ΡΠ΅Π½ΠΈΠ΅ΠΌ 100 ΡΠΌ2, ΡΡΠ΅ΡΠΆΠ΅Π½Ρ Π‘ β ΠΌΠ΅Π΄Π½ΡΠΉ, ΡΠ΅ΡΠ΅Π½ΠΈΠ΅ΠΌ 30 ΡΠΌ2. Π§Π΅ΠΌΡ ΡΠ°Π²Π½ΠΎ ΠΎΠΏΡΡΠΊΠ°Π½ΠΈΠ΅ ΡΠΎΡΠΊΠΈ ΠΏΠΎΠ΄Π²Π΅ΡΠ° Π³ΡΡΠ·Π°?
ΠΡΠ±Π΅ΡΠΈΡΠ΅ ΠΎΠ΄ΠΈΠ½ ΠΎΡΠ²Π΅Ρ:
0,41 ΡΠΌ
0,6 ΠΌΠΌ
1,2 ΠΌΠΌ
2,3 ΠΌΠΌ
ΠΠ²Π° Π²Π°Π»Π°, ΠΎΠ΄ΠΈΠ½ ΠΈΠ· ΠΊΠΎΡΠΎΡΡΡ
ΡΠΏΠ»ΠΎΡΠ½ΠΎΠΉ, Π° Π΄ΡΡΠ³ΠΎΠΉ β ΠΏΠΎΠ»ΡΠΉ, ΠΈΠΌΠ΅ΡΡ ΠΎΠ΄ΠΈΠ½Π°ΠΊΠΎΠ²ΡΠΉ Π²Π΅Ρ ΠΈ ΠΏΠ΅ΡΠ΅Π΄Π°ΡΡ ΠΎΠ΄ΠΈΠ½Π°ΠΊΠΎΠ²ΡΠΉ ΠΊΡΡΡΡΡΠΈΠΉ ΠΌΠΎΠΌΠ΅Π½Ρ. ΠΠΎ ΡΠΊΠΎΠ»ΡΠΊΠΎ ΡΠ°Π· Π½Π°ΠΈΠ±ΠΎΠ»ΡΡΠΈΠ΅ ΠΊΠ°ΡΠ°ΡΠ΅Π»ΡΠ½ΡΠ΅ Π½Π°ΠΏΡΡΠΆΠ΅Π½ΠΈΡ Π² ΡΠΏΠ»ΠΎΡΠ½ΠΎΠΌ Π²Π°Π»Ρ Π±ΡΠ΄ΡΡ Π±ΠΎΠ»ΡΡΠ΅ ΡΠ΅ΠΌ Π² ΠΏΠΎΠ»ΠΎΠΌ, Π΅ΡΠ»ΠΈ Π²Π½ΡΡΡΠ΅Π½Π½ΠΈΠΉ Π΄ΠΈΠ°ΠΌΠ΅ΡΡ ΠΏΠΎΠ»ΠΎΠ³ΠΎ Π²Π°Π»Π° ΡΠΎΡΡΠ°Π²Π»ΡΠ΅Ρ 0,6 Π΅Π³ΠΎ Π½Π°ΡΡΠΆΠ½ΠΎΠ³ΠΎ Π΄ΠΈΠ°ΠΌΠ΅ΡΡΠ°?
ΠΡΠ±Π΅ΡΠΈΡΠ΅ ΠΎΠ΄ΠΈΠ½ ΠΎΡΠ²Π΅Ρ:
1,8
1,2
1,7
2,4
ΠΠ΅Π΄Π½Π°Ρ ΠΏΡΠΎΠ²ΠΎΠ»ΠΎΠΊΠ° Π΄ΠΈΠ°ΠΌΠ΅ΡΡΠΎΠΌ 1,2 ΠΌΠΌ ΡΠ΄Π»ΠΈΠ½ΡΠ΅ΡΡΡ Π½Π° 0,25 ΠΌΠΌ ΠΏΠΎΠ΄ Π½Π°Π³ΡΡΠ·ΠΊΠΎΠΉ 9 ΠΊΠ³. ΠΠΏΡΠ΅Π΄Π΅Π»ΠΈΡΡ Π΄Π»ΠΈΠ½Ρ ΠΏΡΠΎΠ²ΠΎΠ»ΠΎΠΊΠΈ.
ΠΡΠ±Π΅ΡΠΈΡΠ΅ ΠΎΠ΄ΠΈΠ½ ΠΎΡΠ²Π΅Ρ:
64,2 ΡΠΌ
157,3 ΡΠΌ
31,4 ΡΠΌ
6,5 ΡΠΌ
Π‘ΡΠ°Π»ΡΠ½ΠΎΠΉ ΡΡΠ΅ΡΠΆΠ΅Π½Ρ Π΄Π»ΠΈΠ½ΠΎΠΉ 6 ΠΌ ΡΠ°ΡΡΡΠ½ΡΡ ΡΠΈΠ»ΠΎΠΉ 20 Ρ; ΠΌΠΎΠ΄ΡΠ»Ρ ΡΠΏΡΡΠ³ΠΎΡΡΠΈ ΠΌΠ°ΡΠ΅ΡΠΈΠ°Π»Π° Π = 2ο106ΠΊΠ³/ΡΠΌ2, ΠΊΠΎΡΡΡΠΈΡΠΈΠ΅Π½Ρ ΠΏΠΎΠΏΠ΅ΡΠ΅ΡΠ½ΠΎΠΉ Π΄Π΅ΡΠΎΡΠΌΠ°ΡΠΈΠΈ ΞΌ=0,25. ΠΠΏΡΠ΅Π΄Π΅Π»ΠΈΡΡ ΡΠ²Π΅Π»ΠΈΡΠ΅Π½ΠΈΠ΅ ΠΎΠ±ΡΠ΅ΠΌΠ° ΡΡΠ΅ΡΠΆΠ½Ρ.
ΠΡΠ±Π΅ΡΠΈΡΠ΅ ΠΎΠ΄ΠΈΠ½ ΠΎΡΠ²Π΅Ρ:
2 ΡΠΌ3
3 ΡΠΌ3
4 ΡΠΌ3
1 ΡΠΌ3
mti.prioz.ru
Π’Π΅ΡΡΡ ΠΏΠΎ ΠΊΡΡΡΡ Π’Π΅ΠΎΡΠ΅ΡΠΈΡΠ΅ΡΠΊΠ°Ρ ΠΈ ΠΏΡΠΈΠΊΠ»Π°Π΄Π½Π°Ρ ΠΌΠ΅Ρ Π°Π½ΠΈΠΊΠ°
ΠΡΠ΅ Π²ΠΎΠΏΡΠΎΡΡ ΠΏΠΎ 2 Π±Π°Π»Π°. ΠΠ° ΡΠΊΠ·Π°ΠΌΠ΅Π½ Π²ΡΠ±ΠΈΡΠ°ΡΡΡΡ 50 Π²ΠΎΠΏΡΠΎΡΠΎΠ².
Β
Β
1. Π§ΡΠΎ Π½Π°Π·ΡΠ²Π°Π΅ΡΡΡ ΡΠΈΠ»ΠΎΠΉ?
Π°) ΠΠ°Π²Π»Π΅Π½ΠΈΠ΅ ΠΎΠ΄Π½ΠΎΠ³ΠΎ ΡΠ΅Π»Π° Π½Π° Π΄ΡΡΠ³ΠΎΠ΅
Π±) ΠΠ΅ΡΠ° Π²ΠΎΠ·Π΄Π΅ΠΉΡΡΠ²ΠΈΡ ΠΎΠ΄Π½ΠΎΠ³ΠΎ ΡΠ΅Π»Π° Π½Π° Π΄ΡΡΠ³ΠΎΠ΅
Π²) ΠΠ΅Π»ΠΈΡΠΈΠ½Π° Π²Π·Π°ΠΈΠΌΠΎΠ΄Π΅ΠΉΡΡΠ²ΠΈΡ ΠΌΠ΅ΠΆΠ΄Ρ ΡΠ΅Π»Π°ΠΌΠΈ
Π³) ΠΠ΅ΡΠ° Π²Π·Π°ΠΈΠΌΠΎΡΠ²ΡΠ·ΠΈ ΠΌΠ΅ΠΆΠ΄Ρ ΡΠ΅Π»Π°ΠΌΠΈ (ΠΎΠ±ΡΠ΅ΠΊΡΠ°ΠΌΠΈ)
Β
2. ΠΠ°Π·ΠΎΠ²ΠΈΡΠ΅ Π΅Π΄ΠΈΠ½ΠΈΡΡ ΠΈΠ·ΠΌΠ΅ΡΠ΅Π½ΠΈΡ ΡΠΈΠ»Ρ?
Π°) ΠΠ°ΡΠΊΠ°Π»Ρ
Π±) ΠΡΡΡΠΎΠ½
Π²) ΠΠ΅ΡΡ
Π³) ΠΠΆΠΎΡΠ»Ρ
Β
3. Π§Π΅ΠΌ Π½Π΅Π»ΡΠ·Ρ ΠΎΠΏΡΠ΅Π΄Π΅Π»ΠΈΡΡ Π΄Π΅ΠΉΡΡΠ²ΠΈΠ΅ ΡΠΈΠ»Ρ Π½Π° ΡΠ΅Π»ΠΎ?
Π°) ΡΠΈΡΠ»ΠΎΠ²ΡΠΌ Π·Π½Π°ΡΠ΅Π½ΠΈΠ΅ΠΌ (ΠΌΠΎΠ΄ΡΠ»Π΅ΠΌ)
Π±) Π½Π°ΠΏΡΠ°Π²Π»Π΅Π½ΠΈΠ΅ΠΌ
Π²) ΡΠΎΡΠΊΠΎΠΉ ΠΏΡΠΈΠ»ΠΎΠΆΠ΅Π½ΠΈΡ
Π³) Π³Π΅ΠΎΠΌΠ΅ΡΡΠΈΡΠ΅ΡΠΊΠΈΠΌ ΡΠ°Π·ΠΌΠ΅ΡΠΎΠΌ
Β
4. ΠΠ°ΠΊΠΎΠΉ ΠΏΡΠΈΠ±ΠΎΡ ΡΠ»ΡΠΆΠΈΡ Π΄Π»Ρ ΡΡΠ°ΡΠΈΡΠ΅ΡΠΊΠΎΠ³ΠΎ ΠΈΠ·ΠΌΠ΅ΡΠ΅Π½ΠΈΡ ΡΠΈΠ»Ρ?
Π°) Π°ΠΌΠΏΠ΅ΡΠΌΠ΅ΡΡ
Π±) Π³ΠΈΡΠΎΡΠΊΠΎΠΏ
Π²) Π΄ΠΈΠ½Π°ΠΌΠΎΠΌΠ΅ΡΡ
Π³) ΡΠΈΠ»ΠΎΠΌΠ΅Ρ
Β
5. ΠΠ°ΠΊΠ°Ρ ΡΠΈΡΡΠ΅ΠΌΠ° ΡΠΈΠ» Π½Π°Π·ΡΠ²Π°Π΅ΡΡΡ ΡΡΠ°Π²Π½ΠΎΠ²Π΅ΡΠ΅Π½Π½ΠΎΠΉ?
Π°) ΠΠ²Π΅ ΡΠΈΠ»Ρ, Π½Π°ΠΏΡΠ°Π²Π»Π΅Π½Π½ΡΠ΅ ΠΏΠΎ ΠΎΠ΄Π½ΠΎΠΉ ΠΏΡΡΠΌΠΎΠΉ Π² ΡΠ°Π·Π½ΡΠ΅ ΡΡΠΎΡΠΎΠ½Ρ
Π±) ΠΠ²Π΅ ΡΠΈΠ»Ρ, Π½Π°ΠΏΡΠ°Π²Π»Π΅Π½Π½ΡΠ΅ ΠΏΠΎΠ΄ ΡΠ³Π»ΠΎΠΌ 90ΠΎ Π΄ΡΡΠ³ ΠΊ Π΄ΡΡΠ³Ρ
Π²) ΠΠ΅ΡΠΊΠΎΠ»ΡΠΊΠΎ ΡΠΈΠ», ΡΡΠΌΠΌΠ° ΠΊΠΎΡΠΎΡΡΡ ΡΠ°Π²Π½Π° Π½ΡΠ»Ρ
Π³) Π‘ΠΈΡΡΠ΅ΠΌΠ° ΡΠΈΠ», ΠΏΠΎΠ΄ Π΄Π΅ΠΉΡΡΠ²ΠΈΠ΅ΠΌ ΠΊΠΎΡΠΎΡΡΡ ΡΠ²ΠΎΠ±ΠΎΠ΄Π½ΠΎΠ΅ ΡΠ΅Π»ΠΎ ΠΌΠΎΠΆΠ΅Ρ Π½Π°Ρ ΠΎΠ΄ΠΈΡΡΡ Π² ΠΏΠΎΠΊΠΎΠ΅
Β
6. Π§Π΅ΠΌΡ ΡΠ°Π²Π½Π° ΡΠ°Π²Π½ΠΎΠ΄Π΅ΠΉΡΡΠ²ΡΡΡΠ°Ρ ΡΡΡΡ ΠΏΡΠΈΠ»ΠΎΠΆΠ΅Π½Π½ΡΡ ΠΊ ΡΠ΅Π»Ρ ΡΠΈΠ», Π΅ΡΠ»ΠΈ F1=F2=F3=10ΠΊΠ? ΠΡΠ΄Π° ΠΎΠ½Π° Π½Π°ΠΏΡΠ°Π²Π»Π΅Π½Π°?
Π°) 30 ΠΊΠ, Π²ΠΏΡΠ°Π²ΠΎ
Π±) 30 ΠΊΠ, Π²Π»Π΅Π²ΠΎ
Π²) 10 ΠΊΠ, Π²ΠΏΡΠ°Π²ΠΎ
Π³) 20 ΠΊΠ, Π²Π½ΠΈΠ·
Β
7. ΠΠ°ΠΊΠΎΠ³ΠΎ ΡΠΏΠΎΡΠΎΠ±Π° Π½Π΅ ΡΡΡΠ΅ΡΡΠ²ΡΠ΅Ρ ΠΏΡΠΈ ΡΠ»ΠΎΠΆΠ΅Π½ΠΈΠΈ ΡΠΈΠ», Π΄Π΅ΠΉΡΡΠ²ΡΡΡΠΈΡ Π½Π° ΡΠ΅Π»ΠΎ?
Π°) Π³Π΅ΠΎΠΌΠ΅ΡΡΠΈΡΠ΅ΡΠΊΠΎΠ³ΠΎ
Π±) Π³ΡΠ°ΡΠΈΡΠ΅ΡΠΊΠΎΠ³ΠΎ
Π²) ΡΠ΅Π½Π·ΠΎΡΠ½ΠΎΠ³ΠΎ
Π³) Π°Π½Π°Π»ΠΈΡΠΈΡΠ΅ΡΠΊΠΎΠ³ΠΎ
Β
8 . ΠΠ²Π΅ ΡΠΈΠ»Ρ F1=30Π ΠΈ F2=40Π ΠΏΡΠΈΠ»ΠΎΠΆΠ΅Π½Ρ ΠΊ ΡΠ΅Π»Ρ ΠΏΠΎΠ΄ ΡΠ³Π»ΠΎΠΌ 900 Π΄ΡΡΠ³ Π΄ΡΡΠ³Ρ. Π§Π΅ΠΌΡ ΡΠ°Π²Π½Π° ΠΈΡ ΡΠ°Π²Π½ΠΎΠ΄Π΅ΠΉΡΡΠ²ΡΡΡΠ°Ρ?
Π°) 70Π
Π±)10Π
Π²) 50Π
Π³) 1200Π
Β
9. Π§Π΅ΠΌΡ ΡΠ°Π²Π½Π° ΡΠ°Π²Π½ΠΎΠ΄Π΅ΠΉΡΡΠ²ΡΡΡΠ°Ρ ΡΡΡΡ ΡΠΈΠ», Π΅ΡΠ»ΠΈ F1=F2=F3=10 ΠΊΠ?
Β
Π°) 0 ΠΊΠ
Π±) 10 ΠΊΠ
Π²) 20 ΠΊΠ
Π³) 30 ΠΊΠ
Β
10. Π§ΡΠΎ Π½Π°Π·ΡΠ²Π°Π΅ΡΡΡ ΠΌΠΎΠΌΠ΅Π½ΡΠΎΠΌ ΡΠΈΠ»Ρ ΠΎΡΠ½ΠΎΡΠΈΡΠ΅Π»ΡΠ½ΠΎ ΡΠΎΡΠΊΠΈ (ΡΠ΅Π½ΡΡΠ°)?
Π°) ΠΡΠΎΠΈΠ·Π²Π΅Π΄Π΅Π½ΠΈΠ΅ ΠΌΠΎΠ΄ΡΠ»Ρ ΡΡΠΎΠΉ ΡΠΈΠ»Ρ Π½Π° Π²ΡΠ΅ΠΌΡ Π΅Ρ Π΄Π΅ΠΉΡΡΠ²ΠΈΡ
Π±) ΠΡΠ½ΠΎΡΠ΅Π½ΠΈΠ΅ ΡΠΈΠ»Ρ, Π΄Π΅ΠΉΡΡΠ²ΡΡΡΠ΅ΠΉ Π½Π° ΡΠ΅Π»ΠΎ, ΠΊ ΠΏΡΠΎΠΌΠ΅ΠΆΡΡΠΊΡ Π²ΡΠ΅ΠΌΠ΅Π½ΠΈ, Π² ΡΠ΅ΡΠ΅Π½ΠΈΠ΅ ΠΊΠΎΡΠΎΡΠΎΠ³ΠΎ ΡΡΠ° ΡΠΈΠ»Π° Π΄Π΅ΠΉΡΡΠ²ΡΠ΅Ρ
Π²) ΠΡΠΎΠΈΠ·Π²Π΅Π΄Π΅Π½ΠΈΠ΅ ΡΠΈΠ»Ρ Π½Π° ΠΊΠ²Π°Π΄ΡΠ°Ρ ΡΠ°ΡΡΡΠΎΡΠ½ΠΈΡ Π΄ΠΎ ΡΠΎΡΠΊΠΈ (ΡΠ΅Π½ΡΡΠ°)
Π³)ΠΡΠΎΠΈΠ·Π²Π΅Π΄Π΅Π½ΠΈΠ΅ ΡΠΈΠ»Ρ Π½Π° ΠΊΡΠ°ΡΡΠ°ΠΉΡΠ΅Π΅ ΡΠ°ΡΡΡΠΎΡΠ½ΠΈΠ΅ Π΄ΠΎ ΡΡΠΎΠΉ ΡΠΎΡΠΊΠΈ (ΡΠ΅Π½ΡΡΠ°)
Β
11. ΠΠΎΠ³Π΄Π° ΠΌΠΎΠΌΠ΅Π½Ρ ΡΠΈΠ»Ρ ΡΡΠΈΡΠ°Π΅ΡΡΡ ΠΏΠΎΠ»ΠΎΠΆΠΈΡΠ΅Π»ΡΠ½ΡΠΌ?
Π°) ΠΠΎΠ³Π΄Π° ΠΏΠΎΠ΄ Π΄Π΅ΠΉΡΡΠ²ΠΈΠ΅ΠΌ ΡΠΈΠ»Ρ ΡΠ΅Π»ΠΎ Π΄Π²ΠΈΠΆΠ΅ΡΡΡ Π²ΠΏΠ΅ΡΡΠ΄
Π±) ΠΠΎΠ³Π΄Π° ΠΏΠΎΠ΄ Π΄Π΅ΠΉΡΡΠ²ΠΈΠ΅ΠΌ ΡΠΈΠ»Ρ ΡΠ΅Π»ΠΎ Π²ΡΠ°ΡΠ°Π΅ΡΡΡ ΠΏΠΎ Ρ ΠΎΠ΄Ρ ΡΠ°ΡΠΎΠ²ΠΎΠΉ ΡΡΡΠ΅Π»ΠΊΠΈ
Π²) ΠΠΎΠ³Π΄Π° ΠΏΠΎΠ΄ Π΄Π΅ΠΉΡΡΠ²ΠΈΠ΅ΠΌ ΡΠΈΠ»Ρ ΡΠ΅Π»ΠΎ Π΄Π²ΠΈΠΆΠ΅ΡΡΡ Π½Π°Π·Π°Π΄
Π³) ΠΠΎΠ³Π΄Π° ΠΏΠΎΠ΄ Π΄Π΅ΠΉΡΡΠ²ΠΈΠ΅ΠΌ ΡΠΈΠ»Ρ ΡΠ΅Π»ΠΎ Π²ΡΠ°ΡΠ°Π΅ΡΡΡ ΠΏΡΠΎΡΠΈΠ² Ρ ΠΎΠ΄Π° ΡΠ°ΡΠΎΠ²ΠΎΠΉ ΡΡΡΠ΅Π»ΠΊΠΈ
Β
12. Π§ΡΠΎ Π½Π°Π·ΡΠ²Π°Π΅ΡΡΡ ΠΏΠ°ΡΠΎΠΉ ΡΠΈΠ»?
Β
Π°) ΠΠ²Π΅ ΡΠΈΠ»Ρ, ΡΠ΅Π·ΡΠ»ΡΡΠ°Ρ Π΄Π΅ΠΉΡΡΠ²ΠΈΡ ΠΊΠΎΡΠΎΡΡΡ ΡΠ°Π²Π΅Π½ Π½ΡΠ»Ρ
Π±) ΠΡΠ±ΡΠ΅ Π΄Π²Π΅ ΡΠΈΠ»Ρ, Π»Π΅ΠΆΠ°ΡΠΈΡ Π½Π° ΠΏΠ°ΡΠ°Π»Π»Π΅Π»ΡΠ½ΡΡ ΠΏΡΡΠΌΡΡ
Π²) ΠΠ²Π΅ ΡΠΈΠ»Ρ, Π»Π΅ΠΆΠ°ΡΠΈΠ΅ Π½Π° ΠΎΠ΄Π½ΠΎΠΉ ΠΏΡΡΠΌΠΎΠΉ, ΡΠ°Π²Π½ΡΠ΅ ΠΌΠ΅ΠΆΠ΄Ρ ΡΠΎΠ±ΠΎΠΉ, Π½ΠΎ ΠΏΡΠΎΡΠΈΠ²ΠΎΠΏΠΎΠ»ΠΎΠΆΠ½ΡΠ΅ ΠΏΠΎ Π½Π°ΠΏΡΠ°Π²Π»Π΅Π½ΠΈΡ
Π³) ΠΠ²Π΅ ΡΠΈΠ»Ρ, Π»Π΅ΠΆΠ°ΡΠΈΠ΅ Π½Π° ΠΏΠ°ΡΠ°Π»Π»Π΅Π»ΡΠ½ΡΡ ΠΏΡΡΠΌΡΡ , ΡΠ°Π²Π½ΡΠ΅ ΠΏΠΎ ΠΌΠΎΠ΄ΡΠ»Ρ, Π½ΠΎ ΠΏΡΠΎΡΠΈΠ²ΠΎΠΏΠΎΠ»ΠΎΠΆΠ½ΡΠ΅ ΠΏΠΎ Π½Π°ΠΏΡΠ°Π²Π»Π΅Π½ΠΈΡ
Β
13. Π§ΡΠΎ Π½Π°Π·ΡΠ²Π°Π΅ΡΡΡ ΡΠ΅Π½ΡΡΠΎΠΌ ΡΡΠΆΠ΅ΡΡΠΈ?
Π°) ΠΡΠΎ ΡΠΎΡΠΊΠ°, Π² ΠΊΠΎΡΠΎΡΠΎΠΉ ΠΌΠΎΠΆΠ΅Ρ ΡΠ°ΡΠΏΠΎΠ»Π°Π³Π°ΡΡΡΡ ΠΌΠ°ΡΡΠ° ΡΠ΅Π»Π°
Π±) ΠΡΠΎ ΡΠΎΡΠΊΠ°, ΡΠ΅ΡΠ΅Π· ΠΊΠΎΡΠΎΡΡΡ ΠΏΡΠΎΡ ΠΎΠ΄ΠΈΡ ΡΠ°Π²Π½ΠΎΠ΄Π΅ΠΉΡΡΠ²ΡΡΡΠ°Ρ ΡΠΈΠ» ΡΡΠΆΠ΅ΡΡΠΈ, Π΄Π΅ΠΉΡΡΠ²ΡΡΡΠΈΡ Π½Π° ΡΠ°ΡΡΠΈΡΡ Π΄Π°Π½Π½ΠΎΠ³ΠΎ ΡΠ΅Π»Π°
Π²) ΠΡΠΎ ΡΠΎΡΠΊΠ° ΠΏΡΠΈΠ»ΠΎΠΆΠ΅Π½ΠΈΡ ΡΠΈΠ»Ρ ΡΡΠΆΠ΅ΡΡΠΈ
Π³) ΠΡΠΎ ΡΠΎΡΠΊΠ°, Π² ΠΊΠΎΡΠΎΡΠΎΠΉ ΡΠΎΠ²ΠΏΠ°Π΄Π°ΡΡ ΡΠ΅Π½ΡΡ ΡΠΈΠΌΠΌΠ΅ΡΡΠΈΠΈ ΡΠ΅Π»Π° ΠΈ ΡΠ΅Π½ΡΡΠ° ΡΡΠΆΠ΅ΡΡΠΈ ΡΠ΅Π»Π°
Β
14. ΠΠ°ΠΊΠΎΠΉ ΡΠΎΡΠΌΡΠ»ΠΎΠΉ Π½ΡΠΆΠ½ΠΎ Π²ΠΎΡΠΏΠΎΠ»ΡΠ·ΠΎΠ²Π°ΡΡΡΡ, ΡΡΠΎΠ±Ρ Π½Π°ΠΉΡΠΈ ΠΊΠΎΠΎΡΠ΄ΠΈΠ½Π°ΡΡ Ρ ΡΠ΅Π½ΡΡΠ° ΡΡΠΆΠ΅ΡΡΠΈ ΡΠΈΠ³ΡΡΡ, Π²ΡΠΏΠΎΠ»Π½Π΅Π½Π½ΠΎΠΉ ΠΈΠ· ΡΠΎΠ½ΠΊΠΎΠΉ ΠΏΡΠΎΠ²ΠΎΠ»ΠΎΠΊΠΈ?
Π±)
Π²)
Π³)
Β
15. Π§ΡΠΎ Π½Π°Π·ΡΠ²Π°Π΅ΡΡΡ ΠΌΠΎΠΌΠ΅Π½ΡΠΎΠΌ ΡΠΈΠ»Ρ ΠΎΡΠ½ΠΎΡΠΈΡΠ΅Π»ΡΠ½ΠΎ ΡΠΎΡΠΊΠΈ (ΡΠ΅Π½ΡΡΠ°)?
Π°) ΠΡΠΎΠΈΠ·Π²Π΅Π΄Π΅Π½ΠΈΠ΅ ΠΌΠΎΠ΄ΡΠ»Ρ ΡΡΠΎΠΉ ΡΠΈΠ»Ρ Π½Π° Π²ΡΠ΅ΠΌΡ Π΅Ρ Π΄Π΅ΠΉΡΡΠ²ΠΈΡ
Π±) ΠΡΠ½ΠΎΡΠ΅Π½ΠΈΠ΅ ΡΠΈΠ»Ρ, Π΄Π΅ΠΉΡΡΠ²ΡΡΡΠ΅ΠΉ Π½Π° ΡΠ΅Π»ΠΎ, ΠΊ ΠΏΡΠΎΠΌΠ΅ΠΆΡΡΠΊΡ Π²ΡΠ΅ΠΌΠ΅Π½ΠΈ, Π² ΡΠ΅ΡΠ΅Π½ΠΈΠ΅ ΠΊΠΎΡΠΎΡΠΎΠ³ΠΎ ΡΡΠ° ΡΠΈΠ»Π° Π΄Π΅ΠΉΡΡΠ²ΡΠ΅Ρ
Π²) ΠΡΠΎΠΈΠ·Π²Π΅Π΄Π΅Π½ΠΈΠ΅ ΡΠΈΠ»Ρ Π½Π° ΠΊΠ²Π°Π΄ΡΠ°Ρ ΡΠ°ΡΡΡΠΎΡΠ½ΠΈΡ Π΄ΠΎ ΡΠΎΡΠΊΠΈ (ΡΠ΅Π½ΡΡΠ°)
Π³) ΠΡΠΎΠΈΠ·Π²Π΅Π΄Π΅Π½ΠΈΠ΅ ΡΠΈΠ»Ρ Π½Π° ΠΊΡΠ°ΡΡΠ°ΠΉΡΠ΅Π΅ ΡΠ°ΡΡΡΠΎΡΠ½ΠΈΠ΅ Π΄ΠΎ ΡΡΠΎΠΉ ΡΠΎΡΠΊΠΈ (ΡΠ΅Π½ΡΡΠ°)
Β
16. ΠΠΎΠ³Π΄Π° ΠΌΠΎΠΌΠ΅Π½Ρ ΡΠΈΠ»Ρ ΡΡΠΈΡΠ°Π΅ΡΡΡ ΠΏΠΎΠ»ΠΎΠΆΠΈΡΠ΅Π»ΡΠ½ΡΠΌ?
Π°) ΠΠΎΠ³Π΄Π° ΠΏΠΎΠ΄ Π΄Π΅ΠΉΡΡΠ²ΠΈΠ΅ΠΌ ΡΠΈΠ»Ρ ΡΠ΅Π»ΠΎ Π΄Π²ΠΈΠΆΠ΅ΡΡΡ Π²ΠΏΠ΅ΡΡΠ΄
Π±) ΠΠΎΠ³Π΄Π° ΠΏΠΎΠ΄ Π΄Π΅ΠΉΡΡΠ²ΠΈΠ΅ΠΌ ΡΠΈΠ»Ρ ΡΠ΅Π»ΠΎ Π²ΡΠ°ΡΠ°Π΅ΡΡΡ ΠΏΠΎ Ρ ΠΎΠ΄Ρ ΡΠ°ΡΠΎΠ²ΠΎΠΉ ΡΡΡΠ΅Π»ΠΊΠΈ
Π²) ΠΠΎΠ³Π΄Π° ΠΏΠΎΠ΄ Π΄Π΅ΠΉΡΡΠ²ΠΈΠ΅ΠΌ ΡΠΈΠ»Ρ ΡΠ΅Π»ΠΎ Π΄Π²ΠΈΠΆΠ΅ΡΡΡ Π½Π°Π·Π°Π΄
Π³) ΠΠΎΠ³Π΄Π° ΠΏΠΎΠ΄ Π΄Π΅ΠΉΡΡΠ²ΠΈΠ΅ΠΌ ΡΠΈΠ»Ρ ΡΠ΅Π»ΠΎ Π²ΡΠ°ΡΠ°Π΅ΡΡΡ ΠΏΡΠΎΡΠΈΠ² Ρ ΠΎΠ΄Π° ΡΠ°ΡΠΎΠ²ΠΎΠΉ ΡΡΡΠ΅Π»ΠΊΠΈ
Β
17. Π§ΡΠΎ Π½Π°Π·ΡΠ²Π°Π΅ΡΡΡ ΠΏΠ°ΡΠΎΠΉ ΡΠΈΠ»?
Β
Π°) ΠΠ²Π΅ ΡΠΈΠ»Ρ, ΡΠ΅Π·ΡΠ»ΡΡΠ°Ρ Π΄Π΅ΠΉΡΡΠ²ΠΈΡ ΠΊΠΎΡΠΎΡΡΡ ΡΠ°Π²Π΅Π½ Π½ΡΠ»Ρ
Π±) ΠΡΠ±ΡΠ΅ Π΄Π²Π΅ ΡΠΈΠ»Ρ, Π»Π΅ΠΆΠ°ΡΠΈΡ Π½Π° ΠΏΠ°ΡΠ°Π»Π»Π΅Π»ΡΠ½ΡΡ ΠΏΡΡΠΌΡΡ
Π²) ΠΠ²Π΅ ΡΠΈΠ»Ρ, Π»Π΅ΠΆΠ°ΡΠΈΠ΅ Π½Π° ΠΎΠ΄Π½ΠΎΠΉ ΠΏΡΡΠΌΠΎΠΉ, ΡΠ°Π²Π½ΡΠ΅ ΠΌΠ΅ΠΆΠ΄Ρ ΡΠΎΠ±ΠΎΠΉ, Π½ΠΎ ΠΏΡΠΎΡΠΈΠ²ΠΎΠΏΠΎΠ»ΠΎΠΆΠ½ΡΠ΅ ΠΏΠΎ Π½Π°ΠΏΡΠ°Π²Π»Π΅Π½ΠΈΡ
Π³) ΠΠ²Π΅ ΡΠΈΠ»Ρ, Π»Π΅ΠΆΠ°ΡΠΈΠ΅ Π½Π° ΠΏΠ°ΡΠ°Π»Π»Π΅Π»ΡΠ½ΡΡ ΠΏΡΡΠΌΡΡ , ΡΠ°Π²Π½ΡΠ΅ ΠΏΠΎ ΠΌΠΎΠ΄ΡΠ»Ρ, Π½ΠΎ ΠΏΡΠΎΡΠΈΠ²ΠΎΠΏΠΎΠ»ΠΎΠΆΠ½ΡΠ΅ ΠΏΠΎ Π½Π°ΠΏΡΠ°Π²Π»Π΅Π½ΠΈΡ
Β
18. Π§ΡΠΎ Π½Π°Π·ΡΠ²Π°Π΅ΡΡΡ ΡΠ΅Π½ΡΡΠΎΠΌ ΡΡΠΆΠ΅ΡΡΠΈ?
Π°) ΠΡΠΎ ΡΠΎΡΠΊΠ°, Π² ΠΊΠΎΡΠΎΡΠΎΠΉ ΠΌΠΎΠΆΠ΅Ρ ΡΠ°ΡΠΏΠΎΠ»Π°Π³Π°ΡΡΡΡ ΠΌΠ°ΡΡΠ° ΡΠ΅Π»Π°
Π±) ΠΡΠΎ ΡΠΎΡΠΊΠ°, ΡΠ΅ΡΠ΅Π· ΠΊΠΎΡΠΎΡΡΡ ΠΏΡΠΎΡ ΠΎΠ΄ΠΈΡ ΡΠ°Π²Π½ΠΎΠ΄Π΅ΠΉΡΡΠ²ΡΡΡΠ°Ρ ΡΠΈΠ» ΡΡΠΆΠ΅ΡΡΠΈ, Π΄Π΅ΠΉΡΡΠ²ΡΡΡΠΈΡ Π½Π° ΡΠ°ΡΡΠΈΡΡ Π΄Π°Π½Π½ΠΎΠ³ΠΎ ΡΠ΅Π»Π°
Π²) ΠΡΠΎ ΡΠΎΡΠΊΠ° ΠΏΡΠΈΠ»ΠΎΠΆΠ΅Π½ΠΈΡ ΡΠΈΠ»Ρ ΡΡΠΆΠ΅ΡΡΠΈ
Π³) ΠΡΠΎ ΡΠΎΡΠΊΠ°, Π² ΠΊΠΎΡΠΎΡΠΎΠΉ ΡΠΎΠ²ΠΏΠ°Π΄Π°ΡΡ ΡΠ΅Π½ΡΡ ΡΠΈΠΌΠΌΠ΅ΡΡΠΈΠΈ ΡΠ΅Π»Π° ΠΈ ΡΠ΅Π½ΡΡΠ° ΡΡΠΆΠ΅ΡΡΠΈ ΡΠ΅Π»Π°
Β
19. Π‘ΠΎΡΡΠΎΡΠ½ΠΈΠ΅ ΡΠ²Π΅ΡΠ΄ΠΎΠ³ΠΎ ΡΠ΅Π»Π° Π½Π΅ ΠΈΠ·ΠΌΠ΅Π½ΠΈΡΡΡ, Π΅ΡΠ»ΠΈ:
Π°) ΠΠΎΠ±Π°Π²ΠΈΡΡ ΠΏΠ°ΡΡ ΡΠΈΠ»
Π±) ΠΠΎΠ±Π°Π²ΠΈΡΡ ΡΡΠ°Π²Π½ΠΎΠ²Π΅ΡΠΈΠ²Π°ΡΡΡΡ ΡΠΈΠ»Ρ
Π²) ΠΠ΄Π½Ρ ΠΈΠ· ΡΠΈΠ» ΠΏΠ°ΡΠ°Π»Π»Π΅Π»ΡΠ½ΠΎ ΠΏΠ΅ΡΠ΅Π½Π΅ΡΡΠΈ Π² Π΄ΡΡΠ³ΡΡ ΡΠΎΡΠΊΡ ΡΠ΅Π»Π°
Π³) ΠΠΎΠ±Π°Π²ΠΈΡΡ ΡΡΠ°Π²Π½ΠΎΠ²Π΅ΡΠ΅Π½Π½ΡΡ ΡΠΈΡΡΠ΅ΠΌΡ ΡΠΈΠ»
Π΄) ΠΠΎΠ±Π°Π²ΠΈΡΡ Π»ΡΠ±ΡΡ ΡΠΈΡΡΠ΅ΠΌΡ ΡΠΈΠ»
Β
20. ΠΠ°ΠΊΠΎΠ΅ ΡΠ΅Π»ΠΎ ΡΡΠΈΡΠ°Π΅ΡΡΡ ΡΠ²ΠΎΠ±ΠΎΠ΄Π½ΡΠΌ?
Π°) ΠΠΌΠ΅ΡΡΠ΅Π΅ ΠΎΠ΄Π½Ρ ΡΠΎΡΠΊΡ ΠΎΠΏΠΎΡΡ
Π±)ΠΠ°Ρ ΠΎΠ΄ΡΡΠ΅Π΅ΡΡ Π² ΡΠ°Π²Π½ΠΎΠ²Π΅ΡΠΈΠΈ
Π²) ΠΠ° ΠΊΠΎΡΠΎΡΠΎΠ΅ Π½Π΅ Π½Π°Π»ΠΎΠΆΠ΅Π½Ρ ΡΠ²ΡΠ·ΠΈ
Π³) ΠΡΠ»ΠΈ ΡΠ°Π²Π½ΠΎΠ΄Π΅ΠΉΡΡΠ²ΡΡΡΠ°ΡΡΡ Π²ΡΠ΅Ρ ΡΠΈΠ» ΡΠ°Π²Π½Π° Π½ΡΠ»Ρ
Β
21. Π§ΡΠΎ Π½Π°Π·ΡΠ²Π°Π΅ΡΡΡ ΡΠ²ΡΠ·ΡΡ?
Π°) Π’Π΅Π»ΠΎ, ΠΊΠΎΡΠΎΡΠΎΠ΅ Π½Π΅ ΠΌΠΎΠΆΠ΅Ρ ΠΏΠ΅ΡΠ΅ΠΌΠ΅ΡΠ°ΡΡΡΡ
Π±) Π’Π΅Π»ΠΎ, ΠΊΠΎΡΠΎΡΠΎΠ΅ ΠΌΠΎΠΆΠ΅Ρ ΡΠ²ΠΎΠ±ΠΎΠ΄Π½ΠΎ ΠΏΠ΅ΡΠ΅ΠΌΠ΅ΡΠ°ΡΡΡΡ
Π²) Π‘ΠΈΠ»Π°, Π΄Π΅ΠΉΡΡΠ²ΡΡΡΠ°Ρ Π½Π° ΡΠ΅Π»ΠΎ, ΠΊΠΎΡΠΎΡΠΎΠ΅ Π½Π΅ ΠΌΠΎΠΆΠ΅Ρ ΠΏΠ΅ΡΠ΅ΠΌΠ΅ΡΠ°ΡΡΡΡ
Π³) Π‘ΠΈΠ»Π°, Π΄Π΅ΠΉΡΡΠ²ΡΡΡΠ°Ρ Π½Π° ΡΠ΅Π»ΠΎ, ΠΊΠΎΡΠΎΡΠΎΠ΅ ΠΌΠΎΠΆΠ΅Ρ ΠΏΠ΅ΡΠ΅ΠΌΠ΅ΡΠ°ΡΡΡΡ
Π΄) Π’Π΅Π»ΠΎ, ΠΎΠ³ΡΠ°Π½ΠΈΡΠΈΠ²Π°ΡΡΠ΅Π΅ ΠΏΠ΅ΡΠ΅ΠΌΠ΅ΡΠ΅Π½ΠΈΠ΅ Π΄Π°Π½Π½ΠΎΠ³ΠΎ ΡΠ΅Π»Π°
Β
22. Π§ΡΠΎ Π½Π°Π·ΡΠ²Π°Π΅ΡΡΡ ΡΠ΅Π°ΠΊΡΠΈΠ΅ΠΉ ΡΠ²ΡΠ·ΠΈ?
Π°) Π‘ΠΈΠ»Π°, Ρ ΠΊΠΎΡΠΎΡΠΎΠΉ ΡΠ°ΡΡΠΌΠ°ΡΡΠΈΠ²Π°Π΅ΠΌΠΎΠ΅ ΡΠ΅Π»ΠΎ Π΄Π΅ΠΉΡΡΠ²ΡΠ΅Ρ Π½Π° ΡΠ²ΡΠ·Ρ
Π±) Π’Π΅Π»ΠΎ, ΠΎΠ³ΡΠ°Π½ΠΈΡΠΈΠ²Π°ΡΡΠ΅Π΅ ΡΠ²ΠΎΠ±ΠΎΠ΄Π½ΠΎΠ΅ Π΄Π²ΠΈΠΆΠ΅Π½ΠΈΠ΅ Π΄ΡΡΠ³ΠΎΠ³ΠΎ ΡΠ΅Π»Π°
Π²) Π‘ΠΈΠ»Π°, Ρ ΠΊΠΎΡΠΎΡΠΎΠΉ ΡΠ²ΡΠ·Ρ Π΄Π΅ΠΉΡΡΠ²ΡΠ΅Ρ Π½Π° ΡΠ΅Π»ΠΎ
Π³) ΠΠ·Π°ΠΈΠΌΠΎΠ΄Π΅ΠΉΡΡΠ²ΠΈΠ΅ ΠΌΠ΅ΠΆΠ΄Ρ ΡΠ΅Π»ΠΎΠΌ ΠΈ ΡΠ²ΡΠ·ΡΡ
Π΄) ΠΡΠ±Π°Ρ Π½Π΅ΠΈΠ·Π²Π΅ΡΡΠ½Π°Ρ ΡΠΈΠ»Π°
Β
23. ΠΠ°ΠΊ Π½Π°ΠΏΡΠ°Π²Π»Π΅Π½Π° ΡΠ΅Π°ΠΊΡΠΈΡ Π½ΠΈΡΠΈ, ΡΠ½ΡΡΠ°, ΡΡΠΎΡΠ°:
Π°) Π Π΅Π°ΠΊΡΠΈΡ ΠΎΠ±ΡΠ°Π·ΡΠ΅Ρ ΠΏΡΠΎΠΈΠ·Π²ΠΎΠ»ΡΠ½ΡΠΉ ΡΠ³ΠΎΠ» Ρ Π½Π°ΠΏΡΠ°Π²Π»Π΅Π½ΠΈΠ΅ΠΌ ΡΠ²ΡΠ·ΠΈ;
Π±) ΠΠ΄ΠΎΠ»Ρ Π½ΠΈΡΠΈ, ΡΠ½ΡΡΠ°, ΡΡΠΎΡΠ° ΠΎΡ ΡΠ°ΡΡΠΌΠ°ΡΡΠΈΠ²Π°Π΅ΠΌΠΎΠ³ΠΎ ΡΠ΅Π»Π°;
Π²) ΠΠ΄ΠΎΠ»Ρ Π½ΠΈΡΠΈ, ΡΠ½ΡΡΠ°, ΡΡΠΎΡΠ° ΠΊ ΡΠ°ΡΡΠΌΠ°ΡΡΠΈΠ²Π°Π΅ΠΌΠΎΠΌΡ ΡΠ΅Π»Ρ;
Π³) ΠΠ΅ΡΠΏΠ΅Π½Π΄ΠΈΠΊΡΠ»ΡΡΠ½ΠΎ Π½ΠΈΡΠΈ, ΡΠ½ΡΡΡ, ΡΡΠΎΡΡ.
Π΄) ΠΠΎΠ΄ ΡΠ³Π»ΠΎΠΌ 45o ΠΊ Π½ΠΈΡΠΈ, ΡΠ½ΡΡΡ, ΡΡΠΎΡΡ.
Β
24. Π£ΠΊΠ°ΠΆΠΈΡΠ΅ Π½Π°ΠΏΡΠ°Π²Π»Π΅Π½ΠΈΡ ΡΠ΅Π°ΠΊΡΠΈΠΉ ΡΠ²ΡΠ·Π΅ΠΉ Π½Π΅Π²Π΅ΡΠΎΠΌΡΡ ΡΡΠ΅ΡΠΆΠ½Π΅ΠΉ AB ΠΈ BC?

Π°) Π
Π±) Π
Π²) Π‘
Π³) D
Β
25. Π£ΠΊΠ°ΠΆΠΈΡΠ΅ Π½Π°ΠΏΡΠ°Π²Π»Π΅Π½ΠΈΠ΅ ΡΠ΅Π°ΠΊΡΠΈΠΉ ΡΠ²ΡΠ·ΠΈ, Π΅ΡΠ»ΠΈ ΡΠ²ΡΠ·Ρ – ΠΏΠΎΠ΄Π²ΠΈΠΆΠ½ΡΠΉ ΡΠΈΠ»ΠΈΠ½Π΄ΡΠΈΡΠ΅ΡΠΊΠΈΠΉ ΡΠ°ΡΠ½ΠΈΡ.

Π°)Π
Π±) Π
Π²) Π‘
Π³) D
Β
26. Π£ΠΊΠ°ΠΆΠΈΡΠ΅ ΡΠ΅Π°ΠΊΡΠΈΡ ΡΠ²ΡΠ·ΠΈ Π½Π΅ΠΏΠΎΠ΄Π²ΠΈΠΆΠ½ΠΎΠ³ΠΎ ΡΠ°ΡΠ½ΡΡΠ°

Β
Β
Π°) Π
Π±) Π
Π²) Π‘
Π³) D
Β
27. ΠΠ°ΠΊ Π½Π°ΠΏΡΠ°Π²Π»Π΅Π½Ρ ΡΠ΅Π°ΠΊΡΠΈΠΈ ΡΠ²ΡΠ·Π΅ΠΉ Π±Π°Π»ΠΊΠΈ AB, Π΅ΡΠ»ΠΈ Π²Π΅Ρ Π±Π°Π»ΠΊΠΈ Π½Π΅ ΡΡΠΈΡΡΠ²Π°Π΅ΡΡΡ:

Β
Β
Π°) ΠΠ΄ΠΎΠ»Ρ Π±Π°Π»ΠΊΠΈ ΠΠ
Π±) ΠΠ°ΡΠ°Π»Π»Π΅Π»ΡΠ½ΠΎ ΠΏΠΎΠ»Ρ Π² Ρ. Π ΠΈ ΠΏΠ΅ΡΠΏΠ΅Π½Π΄ΠΈΠΊΡΠ»ΡΡΠ½ΠΎ Π±Π°Π»ΠΊΠ΅ Π² Ρ. Π
Π²) ΠΠ΅ΡΠΏΠ΅Π½Π΄ΠΈΠΊΡΠ»ΡΡΠ½ΠΎ ΠΏΠΎΠ»Ρ Π² Ρ. Π ΠΈ ΠΏΠ°ΡΠ°Π»Π»Π΅Π»ΡΠ½ΠΎ ΠΏΠΎΠ»Ρ Π² Ρ. Π
Π³) ΠΠ΅ΡΠΏΠ΅Π½Π΄ΠΈΠΊΡΠ»ΡΡΠ½ΠΎ ΠΏΠΎΠ»Ρ Π² Ρ. Π ΠΈ ΠΏΠ΅ΡΠΏΠ΅Π½Π΄ΠΈΠΊΡΠ»ΡΡΠ½ΠΎ Π±Π°Π»ΠΊΠ΅ Π² Ρ. Π
Β
28. Π£ΠΊΠ°ΠΆΠΈΡΠ΅ ΠΏΡΠ°Π²ΠΈΠ»ΡΠ½ΡΡ ΡΡ Π΅ΠΌΡ Ρ ΡΠΊΠ°Π·Π°Π½ΠΈΠ΅ΠΌ Π½Π°ΠΏΡΠ°Π²Π»Π΅Π½ΠΈΡ ΡΠ΅Π°ΠΊΡΠΈΠΉ ΡΠ²ΡΠ·ΠΈ Π² ΠΎΠΏΠΎΡΠ°Ρ A ΠΈ B

Π°) Π
Π±) Π
Π²) Π‘
Π³) D
Β
29. Π£ΠΊΠ°ΠΆΠΈΡΠ΅ Π½Π°ΠΏΡΠ°Π²Π»Π΅Π½ΠΈΡ ΡΠ΅Π°ΠΊΡΠΈΠΉ Π½Π΅Π²Π΅ΡΠΎΠΌΡΡ ΡΡΠ΅ΡΠΆΠ½Π΅ΠΉ 1, 2, 3.

Π°) Π
Π±) Π
Π²) Π‘
Π³) D
Β
30. Π£ΠΊΠ°ΠΆΠΈΡΠ΅ Π½Π°ΠΏΡΠ°Π²Π»Π΅Π½ΠΈΠ΅ ΡΠ΅Π°ΠΊΡΠΈΠΉ ΡΠ²ΡΠ·Π΅ΠΉ Π² ΠΎΠΏΠΎΡΠ°Ρ Π, Π, Π‘.

Π°) Π
Π±) Π
Π²) Π‘
Π³) D
Β
31. Π¨Π°Ρ Π²Π΅ΡΠΎΠΌ P ΡΠ΄Π΅ΡΠΆΠΈΠ²Π°Π΅ΡΡΡ Π½Π° Π³Π»Π°Π΄ΠΊΠΎΠΉ Π½Π°ΠΊΠ»ΠΎΠ½Π½ΠΎΠΉ ΠΏΠ»ΠΎΡΠΊΠΎΡΡΠΈ ΠΏΡΠΈ ΠΏΠΎΠΌΠΎΡΠΈ ΠΊΠ°Π½Π°ΡΠ° DE. ΠΠΏΡΠ΅Π΄Π΅Π»ΠΈΡΠ΅ Π½Π°ΠΏΡΠ°Π²Π»Π΅Π½ΠΈΠ΅ ΡΠ΅Π°ΠΊΡΠΈΠΉ Π² ΡΠΎΡΠΊΠ°Ρ A ΠΈ D
Β

Π°) Π
Π±) Π
Π²) Π‘
Π³) D
Β
32. Π’ΠΎΡΠΊΠ° A ΠΊΡΠΈΠ²ΠΎΠ»ΠΈΠ½Π΅ΠΉΠ½ΠΎΠ³ΠΎ Π±ΡΡΡΠ° AB – ΡΠΈΠ»ΠΈΠ½Π΄ΡΠΈΡΠ΅ΡΠΊΠΈΠΉ ΡΠ°ΡΠ½ΠΈΡ. Π ΠΊΠΎΠ½ΡΡ B ΠΏΡΠΈΠ²ΡΠ·Π°Π½Π° Π½ΠΈΡΡ BC. Π£ΠΊΠ°ΠΆΠΈΡΠ΅ Π½Π°ΠΏΡΠ°Π²Π»Π΅Π½ΠΈΠ΅ ΡΠ΅Π°ΠΊΡΠΈΠΉ ΠΎΠΏΠΎΡ A ΠΈ B, Π΅ΡΠ»ΠΈ Π²Π΅Ρ Π±ΡΡΡΠ° P

Π°) Π
Π±) Π
Π²) Π‘
Π³) D
Β
33. ΠΠ°ΠΊ Π½Π°ΠΏΡΠ°Π²Π»Π΅Π½Ρ ΡΠ΅Π°ΠΊΡΠΈΠΈ ΡΠ²ΡΠ·Π΅ΠΉ Π² ΡΠ°ΡΠ½ΠΈΡΠ°Ρ Π ΠΈ Π Π»ΠΎΠΌΠ°Π½ΠΎΠΉ Π±Π°Π»ΠΊΠΈ ΠΠ?

Β
Π°) Π
Π±) Π
Π²) Π‘
Π³) D
Β
Β
34. Π£ΠΊΠ°ΠΆΠΈΡΠ΅ Π½Π°ΠΏΡΠ°Π²Π»Π΅Π½ΠΈΡ ΡΠ΅Π°ΠΊΡΠΈΠΉ ΡΠ²ΡΠ·ΠΈ Π² ΠΎΠΏΠΎΡΠ΅ Π ΠΈ Π½Π΅Π²Π΅ΡΠΎΠΌΠΎΠΌ ΡΡΠ΅ΡΠΆΠ½Π΅ ΠΠ‘.

Π°) Π
Π±) Π
Π²) Π‘
Π³) D
Β
35. Π£ΠΊΠ°ΠΆΠΈΡΠ΅ ΠΏΡΠ°Π²ΠΈΠ»ΡΠ½ΠΎΠ΅ Π½Π°ΠΏΡΠ°Π²Π»Π΅Π½ΠΈΠ΅ ΡΠ΅Π°ΠΊΡΠΈΠΉ ΡΠ²ΡΠ·Π΅ΠΉ – Π½ΠΈΡΠ΅ΠΉ 1 ΠΈ 2, ΡΠ΄Π΅ΡΠΆΠΈΠ²Π°ΡΡΠΈΡ ΡΠ°Ρ.

Π°) Π
Π±) Π
Π²) Π‘
Π³) D
36. Π£ΠΊΠ°ΠΆΠΈΡΠ΅ ΠΏΡΠ°Π²ΠΈΠ»ΡΠ½ΠΎΠ΅ Π½Π°ΠΏΡΠ°Π²Π»Π΅Π½ΠΈΠ΅ ΡΠ΅Π°ΠΊΡΠΈΠΉ Π² ΠΆΠ΅ΡΡΠΊΠΎΠΉ Π·Π°Π΄Π΅Π»ΠΊΠ΅ Π.

Π°) Π
Π±) Π
Π²) Π‘
Π³) D
Β
37. Π£ΠΊΠ°ΠΆΠΈΡΠ΅ ΠΏΡΠ°Π²ΠΈΠ»ΡΠ½ΠΎΠ΅ Π½Π°ΠΏΡΠ°Π²Π»Π΅Π½ΠΈΠ΅ ΡΠ΅Π°ΠΊΡΠΈΠΉ ΡΠ²ΡΠ·Π΅ΠΉ Π² ΡΠΎΡΠΊΠ΅ A ΠΈ ΡΡΠΎΡΠ΅ BD ΡΠ΄Π΅ΡΠΆΠΈΠ²Π°ΡΡΠ΅ΠΌ Π±Π°Π»ΠΊΡ Π²Π΅ΡΠΎΠΌ P

Π°) Π
Π±) Π
Π²) Π‘
Π³) D
Β
38. Π£ΠΊΠ°ΠΆΠΈΡΠ΅ ΠΏΡΠ°Π²ΠΈΠ»ΡΠ½ΠΎΠ΅ Π½Π°ΠΏΡΠ°Π²Π»Π΅Π½ΠΈΠ΅ ΡΠ΅Π°ΠΊΡΠΈΠΉ ΡΠ²ΡΠ·Π΅ΠΉ Π² ΠΎΠΏΠΎΡΠ°Ρ A, B ΠΈ Π²Π΅ΡΠ΅Π²ΠΊΠ΅ CD.

Π°) Π
Π±) Π
Π²) Π‘
Π³) D
Β
39. Π£ΠΊΠ°ΠΆΠΈΡΠ΅ ΠΏΡΠ°Π²ΠΈΠ»ΡΠ½ΠΎΠ΅ Π½Π°ΠΏΡΠ°Π²Π»Π΅Π½ΠΈΠ΅ ΡΠ΅Π°ΠΊΡΠΈΠΉ Π² ΡΠΎΡΠΊΠ΅ Π.

Π°) Π
Π±) Π
Π²) Π‘
Π³) D
40. Π‘Ρ ΠΎΠ΄ΡΡΠ΅ΠΉΡΡ ΡΠΈΡΡΠ΅ΠΌΠΎΠΉ ΡΠΈΠ» Π½Π°Π·ΡΠ²Π°Π΅ΡΡΡ ΡΠΎΠ²ΠΎΠΊΡΠΏΠ½ΠΎΡΡΡ ΡΠΈΠ»:
Π°) ΠΠΈΠ½ΠΈΠΈ Π΄Π΅ΠΉΡΡΠ²ΠΈΡ ΠΊΠΎΡΠΎΡΡΡ ΠΏΠ΅ΡΠ΅ΡΠ΅ΠΊΠ°ΡΡΡΡ Π² ΠΎΠ΄Π½ΠΎΠΉ ΡΠΎΡΠΊΠ΅
Π±) ΠΠ΅ΠΆΠ°ΡΠΈΡ Π² ΠΎΠ΄Π½ΠΎΠΉ ΠΏΠ»ΠΎΡΠΊΠΎΡΡΠΈ
Π²) ΠΡΠΎΠΈΠ·Π²ΠΎΠ»ΡΠ½ΠΎ ΡΠ°ΡΠΏΠΎΠ»ΠΎΠΆΠ΅Π½Π½ΡΡ Π² ΠΏΡΠΎΡΡΡΠ°Π½ΡΡΠ²Π΅
Π³) ΠΠ°ΡΠ°Π»Π»Π΅Π»ΡΠ½ΡΡ ΠΌΠ΅ΠΆΠ΄Ρ ΡΠΎΠ±ΠΎΠΉ
Β
41. ΠΠ° Π½Π΅ΡΠ²ΠΎΠ±ΠΎΠ΄Π½ΠΎΠ΅ ΡΠ΅Π»ΠΎ Π΄Π΅ΠΉΡΡΠ²ΡΠ΅Ρ ΠΏΠ»ΠΎΡΠΊΠ°Ρ ΡΠΈΡΡΠ΅ΠΌΠ° ΡΡ ΠΎΠ΄ΡΡΠΈΡ ΡΡ ΡΠΈΠ». Π‘ΠΊΠΎΠ»ΡΠΊΠΎ Π½Π΅Π·Π°Π²ΠΈΡΠΈΠΌΡΡ ΡΡΠ°Π²Π½Π΅Π½ΠΈΠΉ ΡΠ°Π²Π½ΠΎΠ²Π΅ΡΠΈΡ ΡΠ΅Π»Π° ΠΌΠΎΠΆΠ½ΠΎ ΡΠΎΡΡΠ°Π²ΠΈΡΡ:
Π°) 1
Π±) 2
Π²) 3
Π³) 4
Β
42. Π§ΡΠΎ ΠΈΠ·ΡΡΠ°Π΅Ρ ΠΊΠΈΠ½Π΅ΠΌΠ°ΡΠΈΠΊΠ°?
Π°) ΠΠ²ΠΈΠΆΠ΅Π½ΠΈΠ΅ ΡΠ΅Π»Π° ΠΏΠΎΠ΄ Π΄Π΅ΠΉΡΡΠ²ΠΈΠ΅ΠΌ ΠΏΡΠΈΠ»ΠΎΠΆΠ΅Π½Π½ΡΡ ΠΊ Π½Π΅ΠΌΡ ΡΠΈΠ»
Π±) ΠΠΈΠ΄Ρ ΡΠ°Π²Π½ΠΎΠ²Π΅ΡΠΈΡ ΡΠ΅Π»Π°
Π²) ΠΠ²ΠΈΠΆΠ΅Π½ΠΈΠ΅ ΡΠ΅Π»Π° Π±Π΅Π· ΡΡΠ΅ΡΠ° Π΄Π΅ΠΉΡΡΠ²ΡΡΡΠΈΡ Π½Π° Π½Π΅Π³ΠΎ ΡΠΈΠ»
Π³) Π‘ΠΏΠΎΡΠΎΠ±Ρ Π²Π·Π°ΠΈΠΌΠΎΠ΄Π΅ΠΉΡΡΠ²ΠΈΡ ΡΠ΅Π» ΠΌΠ΅ΠΆΠ΄Ρ ΡΠΎΠ±ΠΎΠΉ
Β
Β
43. Π§ΡΠΎ ΠΈΠ· Π½ΠΈΠΆΠ΅ ΠΏΠ΅ΡΠ΅ΡΠΈΡΠ»Π΅Π½Π½ΠΎΠ³ΠΎ Π½Π΅ Π²Ρ ΠΎΠ΄ΠΈΡ Π² ΡΠΈΡΡΠ΅ΠΌΡ ΠΎΡΡΡΡΡΠ°?
Π°) Π‘ΠΏΠΎΡΠΎΠ± ΠΈΠ·ΠΌΠ΅ΡΠ΅Π½ΠΈΡ Π²ΡΠ΅ΠΌΠ΅Π½ΠΈ
Π±) ΠΡΠΎΡΡΡΠ°Π½ΡΡΠ²ΠΎ
Π²) Π’Π΅Π»ΠΎ ΠΎΡΡΡΡΡΠ°
Π³) Π‘ΠΈΡΡΠ΅ΠΌΠ° ΠΊΠΎΠΎΡΠ΄ΠΈΠ½Π°Ρ, ΡΠ²ΡΠ·Π°Π½Π½Π°Ρ Ρ ΡΠ΅Π»ΠΎΠΌ ΠΎΡΡΡΡΡΠ°
Β
44. ΠΠ²ΠΈΠΆΠ΅Π½ΠΈΠ΅ ΡΠ΅Π»Π° ΠΎΠΏΠΈΡΡΠ²Π°Π΅ΡΡΡ ΡΡΠ°Π²Π½Π΅Π½ΠΈΠ΅ΠΌ 2 . ΠΠΏΡΠ΅Π΄Π΅Π»ΠΈΡΠ΅ ΡΠΊΠΎΡΠΎΡΡΡ ΡΠ΅Π»Π° ΡΠ΅ΡΠ΅Π· 2Ρ ΠΏΠΎΡΠ»Π΅ Π½Π°ΡΠ°Π»Π° Π΄Π²ΠΈΠΆΠ΅Π½ΠΈΡ.
Π°) 21,4 ΠΌ/c
Π±) 3,2 ΠΌ/c
Π²) 12 ΠΌ/c
Π³) 6,2 ΠΌ/c
Β
45. ΠΠ²ΠΈΠΆΠ΅Π½ΠΈΠ΅ ΡΠ΅Π»Π° ΠΎΠΏΠΈΡΡΠ²Π°Π΅ΡΡΡ ΡΡΠ°Π²Π½Π΅Π½ΠΈΠ΅ΠΌ . ΠΠ΅ Π΄Π΅Π»Π°Ρ Π²ΡΡΠΈΡΠ»Π΅Π½ΠΈΠΉ, Π½Π°Π·ΠΎΠ²ΠΈΡΠ΅ Π½Π°ΡΠ°Π»ΡΠ½ΡΡ ΠΊΠΎΠΎΡΠ΄ΠΈΠ½Π°ΡΡ ΡΠ΅Π»Π° ΠΈ Π΅Π³ΠΎ Π½Π°ΡΠ°Π»ΡΠ½ΡΡ ΡΠΊΠΎΡΠΎΡΡΡ.
Π°) 12ΠΌ; 7ΠΌ/c
Π±) 3ΠΌ; 7ΠΌ/c
Π²) 7ΠΌ; 3ΠΌ/c
Π³) 3ΠΌ; -5ΠΌ/c
Β
46. Π‘ΡΠ΄Π½ΠΎ, Π΄Π²ΠΈΠΆΡΡΠ΅Π΅ΡΡ Ρ Π½Π΅Π±ΠΎΠ»ΡΡΠΎΠΉ ΡΠΊΠΎΡΠΎΡΡΡΡ, ΡΡΠ°Π»ΠΊΠΈΠ²Π°Π΅ΡΡΡ Ρ ΠΏΠΈΡΡΠΎΠΌ ΠΈ ΠΎΡΡΠ°Π½Π°Π²Π»ΠΈΠ²Π°Π΅ΡΡΡ. ΠΠ°ΠΊΠΈΠ΅ ΠΏΡΠ΅ΠΎΠ±ΡΠ°Π·ΠΎΠ²Π°Π½ΠΈΡ ΡΠ½Π΅ΡΠ³ΠΈΠΈ ΠΏΡΠΎΠΈΡΡ ΠΎΠ΄ΡΡ Π² Π΄Π°Π½Π½ΠΎΠΌ ΠΏΡΠΎΡΠ΅ΡΡΠ΅?
Π°) ΠΠΈΠ½Π΅ΡΠΈΡΠ΅ΡΠΊΠ°Ρ ΡΠ½Π΅ΡΠ³ΠΈΡ ΡΡΠ΄Π½Π° ΠΏΡΠ΅ΠΎΠ±ΡΠ°Π·ΡΠ΅ΡΡΡ Π² ΠΏΠΎΡΠ΅Π½ΡΠΈΠ°Π»ΡΠ½ΡΡ ΡΠ½Π΅ΡΠ³ΠΈΡ Π°ΠΌΠΎΡΡΠΈΠ·ΠΈΡΡΡΡΠΈΡ ΡΡΡΡΠΎΠΉΡΡΠ².
Π±) ΠΠΈΠ½Π΅ΡΠΈΡΠ΅ΡΠΊΠ°Ρ ΡΠ½Π΅ΡΠ³ΠΈΡ ΡΡΠ΄Π½Π° ΠΏΡΠ΅ΠΎΠ±ΡΠ°Π·ΡΠ΅ΡΡΡ Π² Π΅Π³ΠΎ ΠΏΠΎΡΠ΅Π½ΡΠΈΠ°Π»ΡΠ½ΡΡ ΡΠ½Π΅ΡΠ³ΠΈΡ.
Π²) ΠΠΎΡΠ΅Π½ΡΠΈΠ°Π»ΡΠ½Π°Ρ ΡΠ½Π΅ΡΠ³ΠΈΡ Π°ΠΌΠΎΡΡΠΈΠ·ΠΈΡΡΡΡΠΈΡ ΡΡΡΡΠΎΠΉΡΡΠ² ΠΏΡΠ΅ΠΎΠ±ΡΠ°Π·ΡΠ΅ΡΡΡ Π² Π΅Ρ ΠΊΠΈΠ½Π΅ΡΠΈΡΠ΅ΡΠΊΡΡ ΡΠ½Π΅ΡΠ³ΠΈΡ.
Π³) ΠΠ½ΡΡΡΠ΅Π½Π½ΡΡ ΡΠ½Π΅ΡΠ³ΠΈΡ Π°ΠΌΠΎΡΡΠΈΠ·ΠΈΡΡΡΡΠΈΡ ΡΡΡΡΠΎΠΉΡΡΠ² ΠΏΡΠ΅ΠΎΠ±ΡΠ°Π·ΡΠ΅ΡΡΡ Π² ΠΊΠΈΠ½Π΅ΡΠΈΡΠ΅ΡΠΊΡΡ ΡΠ½Π΅ΡΠ³ΠΈΡ ΡΡΠ΄Π½Π°.
Β
47. ΠΠ°ΠΊ ΡΠ²ΡΠ·Π°Π½Ρ ΠΌΠ΅ΠΆΠ΄Ρ ΡΠΎΠ±ΠΎΠΉ ΡΠ΅Π»Π° (Π΄Π΅ΡΠ°Π»ΠΈ), ΠΎΠ±ΡΠ°Π·ΡΡΡΠΈΠ΅ ΠΎΠ΄Π½ΠΎ Π·Π²Π΅Π½ΠΎ?
Π°) ΠΏΠΎΠ΄Π²ΠΈΠΆΠ½ΠΎ
Π±) Π½Π΅ΠΏΠΎΠ΄Π²ΠΈΠΆΠ½ΠΎ
Π²) ΡΠ°ΡΠ½ΠΈΡΠ½ΠΎ
Π³) ΡΠΊΠΎΠ»ΡΠ·ΡΡΠ΅ΠΉ ΠΏΠΎΡΠ°Π΄ΠΊΠΎΠΉ
Β
48. ΠΠ°ΠΊΠΈΠ΅ ΠΊΠΈΠ½Π΅ΠΌΠ°ΡΠΈΡΠ΅ΡΠΊΠΈΠ΅ ΠΏΠ°ΡΡ ΠΏΠΎΠ΄Π²Π΅ΡΠ³Π°ΡΡΡΡ Π±ΠΎΠ»ΡΡΠ΅ΠΌΡ ΠΈΠ·Π½ΠΎΡΡ:
Π°) Π½ΠΈΠ·ΡΠΈΠ΅
Π±) Π²ΡΡΡΠΈΠ΅
Π²) ΠΈΠ·Π½Π°ΡΠΈΠ²Π°ΡΡΡΡ ΠΎΠ΄ΠΈΠ½Π°ΠΊΠΎΠ²ΠΎ
Π³) Π½Π΅ ΠΈΠ·Π½Π°ΡΠΈΠ²Π°ΡΡΡΡ
Β
49. ΠΠ°ΠΊΠΈΠ΅ ΠΊΠΈΠ½Π΅ΠΌΠ°ΡΠΈΡΠ΅ΡΠΊΠΈΠ΅ ΠΏΠ°ΡΡ ΡΠ²Π»ΡΡΡΡΡ Π²ΡΡΡΠΈΠΌΠΈ:
Π°) ΡΠΎΠ΅Π΄ΠΈΠ½Π΅Π½ΠΈΠ΅ Π²Π°Π»Π° Ρ ΠΏΠΎΠ΄ΡΠΈΠΏΠ½ΠΈΠΊΠΎΠΌ ΡΠΊΠΎΠ»ΡΠΆΠ΅Π½ΠΈΡ
Π±) ΡΡΠ΅ΠΏΠ»Π΅Π½ΠΈΠ΅ Π·ΡΠ±ΡΠ΅Π² Π² Π·ΡΠ±ΡΠ°ΡΡΡ ΠΏΠ΅ΡΠ΅Π΄Π°ΡΠ°Ρ
Π²) ΡΠΎΠ΅Π΄ΠΈΠ½Π΅Π½ΠΈΠ΅ ΠΏΠΎΠ»Π·ΡΠ½Π° ΠΈ Π½Π°ΠΏΡΠ°Π²Π»ΡΡΡΠ΅ΠΉ
Π³) ΡΠΎΠ΅Π΄ΠΈΠ½Π΅Π½ΠΈΠ΅ ΡΠ°ΡΠΈΠΊΠΎΠ² Ρ Π΄ΠΎΡΠΎΠΆΠΊΠΎΠΉ ΠΊΠ°ΡΠ΅Π½ΠΈΡ Π² ΠΏΠΎΠ΄ΡΠΈΠΏΠ½ΠΈΠΊΠ΅ ΠΊΠ°ΡΠ΅Π½ΠΈΡ
Β
50. ΠΠ°ΠΊΠΎΠ΅ Π·Π²Π΅Π½ΠΎ ΡΠ²Π»ΡΠ΅ΡΡΡ Π²Π΅Π΄ΡΡΠΈΠΌ Π² ΠΊΡΠΈΠ²ΠΎΡΠΈΠΏΠ½ΠΎ-ΠΏΠΎΠ»Π·ΡΠ½Π½ΠΎΠΌ ΠΌΠ΅Ρ Π°Π½ΠΈΠ·ΠΌΠ΅ ΠΏΠΎΡΡΠ½Π΅Π²ΠΎΠ³ΠΎ ΠΊΠΎΠΌΠΏΡΠ΅ΡΡΠΎΡΠ°:
Π°) ΠΊΡΠΈΠ²ΠΎΡΠΈΠΏ
Π±) ΡΠ°ΡΡΠ½
Π²) ΠΊΡΠ»ΠΈΡΠ°
Π³) ΠΏΠΎΠ»Π·ΡΠ½
Β
51. ΠΠ°ΠΊΠΎΠ΅ Π·Π²Π΅Π½ΠΎ ΡΠ²Π»ΡΠ΅ΡΡΡ Π²Π΅Π΄ΡΡΠΈΠΌ Π² ΠΊΡΠΈΠ²ΠΎΡΠΈΠΏΠ½ΠΎ-ΠΏΠΎΠ»Π·ΡΠ½Π½ΠΎΠΌ ΠΌΠ΅Ρ Π°Π½ΠΈΠ·ΠΌΠ΅ Π΄Π²ΠΈΠ³Π°ΡΠ΅Π»Ρ Π²Π½ΡΡΡΠ΅Π½Π½Π΅Π³ΠΎ ΡΠ³ΠΎΡΠ°Π½ΠΈΡ:
Π°) ΠΊΡΠΈΠ²ΠΎΡΠΈΠΏ
Π±) ΡΠ°ΡΡΠ½
Π²) ΠΊΡΠ»ΠΈΡΠ°
Π³) ΠΏΠΎΠ»Π·ΡΠ½
Β
52. ΠΡΠΈ Π΄Π΅ΠΉΡΡΠ²ΠΈΠΈ Π½Π° Π²Π΅Π΄ΡΡΠ΅Π΅ Π·Π²Π΅Π½ΠΎ ΠΌΠ΅Ρ Π°Π½ΠΈΠ·ΠΌΠ° ΡΡΠ°Π²Π½ΠΎΠ²Π΅ΡΠΈΠ²Π°ΡΡΠ΅ΠΉ ΡΠΈΠ»Ρ ΠΈΠ»ΠΈ ΡΡΠ°Π²Π½ΠΎΠ²Π΅ΡΠΈΠ²Π°ΡΡΠ΅Π³ΠΎ ΠΌΠΎΠΌΠ΅Π½ΡΠ°:
Π°) ΠΏΠΎΠ΄Π΄Π΅ΡΠΆΠΈΠ²Π°Π΅ΡΡΡ Π΄Π²ΠΈΠΆΠ΅Π½ΠΈΠ΅ ΠΌΠ΅Ρ Π°Π½ΠΈΠ·ΠΌΠ°
Π±) ΠΌΠ΅Ρ Π°Π½ΠΈΠ·ΠΌ ΠΏΡΠΈΠ²ΠΎΠ΄ΠΈΡΡΡ Π² ΡΠΎΡΡΠΎΡΠ½ΠΈΠ΅ ΡΠ°Π²Π½ΠΎΠ²Π΅ΡΠΈΡ
Π²) ΠΌΠ΅Ρ Π°Π½ΠΈΠ·ΠΌ Π·Π°ΠΌΠ΅Π΄Π»ΡΠ΅Ρ Π΄Π²ΠΈΠΆΠ΅Π½ΠΈΠ΅
Π³) ΠΌΠ΅Ρ Π°Π½ΠΈΠ·ΠΌ ΡΡΠΊΠΎΡΡΠ΅ΡΡΡ
Β
53. ΠΠ°ΠΊΠΎΠΉ Π²ΠΈΠ΄ ΡΠ²Π°ΡΠΊΠΈ Π»ΡΡΡΠ΅ ΠΏΡΠΈΠΌΠ΅Π½ΠΈΡΡ Π΄Π»Ρ ΡΠΎΠ΅Π΄ΠΈΠ½Π΅Π½ΠΈΡ ΡΠΎΠ½ΠΊΠΈΡ ΡΡΠ°Π»ΡΠ½ΡΡ Π»ΠΈΡΡΠΎΠ² Π²Π½Π°Ρ Π»Π΅ΡΡΠΊΡ:
Π°) Π³Π°Π·ΠΎΠ²ΡΡ ΡΠ²Π°ΡΠΊΡ
Π±) ΡΠ»Π΅ΠΊΡΡΠΎΠ΄ΡΠ³ΠΎΠ²ΡΡ ΡΠ²Π°ΡΠΊΡ
Π²) ΠΊΠΎΠ½ΡΠ°ΠΊΡΠ½ΡΡ ΡΠ²Π°ΡΠΊΡ
Π³) Π²ΡΠ΅ ΡΠ°Π²Π½ΠΎ
54. ΠΠ°ΠΊΠΈΠ΅ ΡΠΏΠΎΠ½ΠΊΠΈ ΠΎΠ±Π΅ΡΠΏΠ΅ΡΠΈΠ²Π°ΡΡ Π»ΡΡΡΠ΅Π΅ ΡΠ΅Π½ΡΡΠΈΡΠΎΠ²Π°Π½ΠΈΠ΅ Π΄Π΅ΡΠ°Π»Π΅ΠΉ Π½Π° Π²Π°Π»Ρ:
Π°) ΠΊΠ»ΠΈΠ½ΠΎΠ²ΡΠ΅ ΡΠΏΠΎΠ½ΠΊΠΈ
Π±) ΠΏΡΠΈΠ·ΠΌΠ°ΡΠΈΡΠ΅ΡΠΊΠΈΠ΅ ΡΠΏΠΎΠ½ΠΊΠΈ
Π²) ΠΎΠ±Π΅ΡΠΏΠ΅ΡΠΈΠ²Π°ΡΡ ΠΎΠ΄ΠΈΠ½Π°ΠΊΠΎΠ²ΠΎ
Β
55. ΠΠ°ΠΊΠΎΠΉ Π²ΠΈΠ΄ ΡΠΎΠ΅Π΄ΠΈΠ½Π΅Π½ΠΈΠΉ ΠΎΠ±Π΅ΡΠΏΠ΅ΡΠΈΠ²Π°Π΅Ρ Π±ΠΎΠ»ΡΡΡΡ ΡΠΎΡΠ½ΠΎΡΡΡ Π²Π·Π°ΠΈΠΌΠ½ΠΎΠ³ΠΎ ΡΠ°ΡΠΏΠΎΠ»ΠΎΠΆΠ΅Π½ΠΈΡ Π΄Π΅ΡΠ°Π»Π΅ΠΉ:
Π°) ΡΠΎΠ΅Π΄ΠΈΠ½Π΅Π½ΠΈΠ΅ ΠΊΠ»ΠΈΠ½ΠΎΠ²ΡΠΌΠΈ ΡΠΏΠΎΠ½ΠΊΠ°ΠΌΠΈ
Π±) ΡΠΎΠ΅Π΄ΠΈΠ½Π΅Π½ΠΈΠ΅ ΠΏΡΠΈΠ·ΠΌΠ°ΡΠΈΡΠ΅ΡΠΊΠΈΠΌΠΈ ΡΠΏΠΎΠ½ΠΊΠ°ΠΌΠΈ
Π²) ΡΠ»ΠΈΡΠ΅Π²ΠΎΠ΅ ΡΠΎΠ΅Π΄ΠΈΠ½Π΅Π½ΠΈΠ΅
Π³) ΠΎΠ±Π΅ΡΠΏΠ΅ΡΠΈΠ²Π°ΡΡ ΠΎΠ΄ΠΈΠ½Π°ΠΊΠΎΠ²ΠΎ
Β
56. ΠΠ°ΠΊΡΡ ΡΠ΅Π·ΡΠ±Ρ ΠΏΡΠΈΠΌΠ΅Π½ΡΡΡ Π΄Π»Ρ ΠΊΡΠ΅ΠΏΠ΅ΠΆΠ½ΡΡ ΡΠΎΠ΅Π΄ΠΈΠ½Π΅Π½ΠΈΠΉ:
Π°) ΡΡΠ΅ΡΠ³ΠΎΠ»ΡΠ½ΡΡ;
Π±) ΡΡΠ°ΠΏΠ΅ΡΠ΅ΠΈΠ΄Π°Π»ΡΠ½ΡΡ;
Π²) ΠΏΡΡΠΌΠΎΡΠ³ΠΎΠ»ΡΠ½ΡΡ.
Β
57. ΠΠ°ΠΊΡΡ ΡΠ΅Π·ΡΠ±Ρ ΠΏΡΠΈΠΌΠ΅Π½ΡΡΡ Π² Π²ΠΈΠ½ΡΠΎΠ²ΡΡ ΠΏΠ°ΡΠ°Ρ Π΄Π»Ρ ΠΏΠ΅ΡΠ΅Π΄Π°ΡΠΈ Π΄Π²ΠΈΠΆΠ΅Π½ΠΈΡ:
Π°) ΡΡΠ΅ΡΠ³ΠΎΠ»ΡΠ½ΡΡ
Π±) ΡΡΠ°ΠΏΠ΅ΡΠ΅ΠΈΠ΄Π°Π»ΡΠ½ΡΡ
Β
58. ΠΠΈΠ½ΡΠΎΠ²ΡΠ΅ ΠΌΠ΅Ρ Π°Π½ΠΈΠ·ΠΌΡ ΠΏΡΠΈΠΌΠ΅Π½ΡΡΡ:
Π°) Π΄Π»Ρ ΠΏΡΠ΅ΠΎΠ±ΡΠ°Π·ΠΎΠ²Π°Π½ΠΈΡ Π²ΡΠ°ΡΠ°ΡΠ΅Π»ΡΠ½ΠΎΠ³ΠΎ Π΄Π²ΠΈΠΆΠ΅Π½ΠΈΡ Π² ΠΏΠΎΡΡΡΠΏΠ°ΡΠ΅Π»ΡΠ½ΠΎΠ΅
Π±) ΠΏΡΠ΅ΠΎΠ±ΡΠ°Π·ΠΎΠ²Π°Π½ΠΈΡ ΠΏΠΎΡΡΡΠΏΠ°ΡΠ΅Π»ΡΠ½ΠΎΠ³ΠΎ Π΄Π²ΠΈΠΆΠ΅Π½ΠΈΡ Π²ΠΎ Π²ΡΠ°ΡΠ°ΡΠ΅Π»ΡΠ½ΠΎΠ΅
Π²) ΠΏΡΠ΅ΠΎΠ±ΡΠ°Π·ΠΎΠ²Π°Π½ΠΈΡ Π²ΡΠ°ΡΠ°ΡΠ΅Π»ΡΠ½ΠΎΠ³ΠΎ Π΄Π²ΠΈΠΆΠ΅Π½ΠΈΡ ΠΎΡΠ½ΠΎΡΠΈΡΠ΅Π»ΡΠ½ΠΎ ΠΎΠ΄Π½ΠΎΠΉ ΠΎΡΠΈ Π²ΠΎ Π²ΡΠ°ΡΠ°ΡΠ΅Π»ΡΠ½ΠΎΠ΅ ΠΎΡΠ½ΠΎΡΠΈΡΠ΅Π»ΡΠ½ΠΎ Π΄ΡΡΠ³ΠΎΠΉ.
Β
59. ΠΠ°ΠΊ ΠΈΠ·ΠΌΠ΅Π½ΠΈΡΡΡ ΠΠΠ Π²ΠΈΠ½ΡΠΎΠ²ΠΎΠΉ ΠΏΠ°ΡΡ ΠΏΡΠΈ ΡΠ²Π΅Π»ΠΈΡΠ΅Π½ΠΈΠΈ ΡΠ³Π»Π° ΠΏΠΎΠ΄ΡΠ΅ΠΌΠ° Π²ΠΈΠ½ΡΠΎΠ²ΠΎΠΉ Π»ΠΈΠ½ΠΈΠΈ ΠΏΡΠΈ ΠΎΠ΄ΠΈΠ½Π°ΠΊΠΎΠ²ΠΎΠΌ Π·Π½Π°ΡΠ΅Π½ΠΈΠΈ ΡΠ³Π»Π° ΡΡΠ΅Π½ΠΈΡ:
Π°) ΠΠΠ ΡΠ²Π΅Π»ΠΈΡΠΈΡΡΡ
Π±) ΠΠΠ ΡΠΌΠ΅Π½ΡΡΠΈΡΡΡ
Π²) ΠΠΠ Π½Π΅ ΠΈΠ·ΠΌΠ΅Π½ΠΈΡΡΡ
Β
60. ΠΠ΅ΡΠ΅Π΄Π°ΡΠΎΡΠ½ΠΎΠ΅ ΡΠΈΡΠ»ΠΎ u Π±ΠΎΠ»ΡΡΠ΅ Π΅Π΄ΠΈΠ½ΠΈΡΡ. ΠΠ°ΠΊΠ°Ρ ΡΡΠΎ ΠΏΠ΅ΡΠ΅Π΄Π°ΡΠ°:
Π°) ΠΏΠΎΠ½ΠΈΠΆΠ°ΡΡΠ°Ρ
Π±) ΠΏΠΎΠ²ΡΡΠ°ΡΡΠ°Ρ
Β
Β
61. ΠΠ°ΠΊ ΡΠ»Π΅Π΄ΡΠ΅Ρ ΠΈΠ·ΠΌΠ΅Π½ΠΈΡΡ Π΄ΠΈΠ°ΠΌΠ΅ΡΡ Π²Π΅Π΄ΡΡΠ΅Π³ΠΎ ΠΊΠ°ΡΠΊΠ° ΡΡΠΈΠΊΡΠΈΠΎΠ½Π½ΠΎΠΉ ΠΏΠ΅ΡΠ΅Π΄Π°ΡΠΈ, ΡΡΠΎΠ±Ρ ΡΠ²Π΅Π»ΠΈΡΠΈΡΡ ΡΠ³Π»ΠΎΠ²ΡΡ ΡΠΊΠΎΡΠΎΡΡΡ Π²Π΅Π΄ΠΎΠΌΠΎΠ³ΠΎ Π²Π°Π»Π° Π² Π΄Π²Π° ΡΠ°Π·Π°:
Π°) ΡΠΌΠ΅Π½ΡΡΠΈΡΡ Π² Π΄Π²Π° ΡΠ°Π·Π°
Π±) ΡΠ²Π΅Π»ΠΈΡΠΈΡΡ Π² Π΄Π²Π° ΡΠ°Π·Π°
Π²) ΡΠ²Π΅Π»ΠΈΡΠΈΡΡ ΡΠ³Π»ΠΎΠ²ΡΡ ΡΠΊΠΎΡΠΎΡΡΡ Π½Π΅Π²ΠΎΠ·ΠΌΠΎΠΆΠ½ΠΎ
Β
62. ΠΠ°ΠΊ ΡΠ»Π΅Π΄ΡΠ΅Ρ ΠΈΠ·ΠΌΠ΅Π½ΠΈΡΡ ΡΠΈΠ»Ρ Π½Π°ΠΆΠ°ΡΠΈΡ ΡΡΠΈΠΊΡΠΈΠΎΠ½Π½ΡΡ ΡΠΈΠ»ΠΈΠ½Π΄ΡΠΈΡΠ΅ΡΠΊΠΈΡ ΠΊΠ°ΡΠΊΠΎΠ², Π΅ΡΠ»ΠΈ ΠΏΡΠΈ ΠΏΠ΅ΡΠ΅Π΄Π°ΡΠ΅ ΠΎΠ΄Π½ΠΎΠ³ΠΎ ΠΈ ΡΠΎΠ³ΠΎ ΠΆΠ΅ Π²ΡΠ°ΡΠ°ΡΡΠ΅Π³ΠΎ ΠΌΠΎΠΌΠ΅Π½ΡΠ° ΠΊΠ°ΡΠΊΠΈ Π·Π°ΠΌΠ΅Π½ΠΈΡΡ Π΄ΡΡΠ³ΠΈΠΌΠΈ, Ρ Π΄ΠΈΠ°ΠΌΠ΅ΡΡΠ°ΠΌΠΈ Π² Π΄Π²Π° ΡΠ°Π·Π° Π±ΠΎΠ»ΡΡΠ΅ ΠΏΠ΅ΡΠ²ΠΎΠ½Π°ΡΠ°Π»ΡΠ½ΡΡ :
Π°) ΡΠΈΠ»Ρ Π½Π°ΠΆΠ°ΡΠΈΡ ΡΠ»Π΅Π΄ΡΠ΅Ρ ΡΠ²Π΅Π»ΠΈΡΠΈΡΡ Π² Π΄Π²Π° ΡΠ°Π·Π°
Π±) ΡΠΈΠ»Ρ Π½Π°ΠΆΠ°ΡΠΈΡ ΡΠ»Π΅Π΄ΡΠ΅Ρ ΡΠ²Π΅Π»ΠΈΡΠΈΡΡ Π² ΡΠ΅ΡΡΡΠ΅ ΡΠ°Π·Π°
Π²) ΡΠΈΠ»Ρ Π½Π°ΠΆΠ°ΡΠΈΡ ΡΠ»Π΅Π΄ΡΠ΅Ρ ΡΠΌΠ΅Π½ΡΡΠΈΡΡ Π² Π΄Π²Π° ΡΠ°Π·Π°
Π³) ΡΠΈΠ»Ρ Π½Π°ΠΆΠ°ΡΠΈΡ ΡΠ»Π΅Π΄ΡΠ΅Ρ ΡΠΌΠ΅Π½ΡΡΠΈΡΡ Π² ΡΠ΅ΡΡΡΠ΅ ΡΠ°Π·Π°
Β
63. ΠΠ°ΠΊ ΠΈΠ·ΠΌΠ΅Π½ΠΈΡΡΡ ΡΠ³Π»ΠΎΠ²Π°Ρ ΡΠΊΠΎΡΠΎΡΡΡ Π²Π΅Π΄ΠΎΠΌΠΎΠ³ΠΎ ΠΊΠΎΠ»Π΅ΡΠ°, Π΅ΡΠ»ΠΈ ΡΠ²Π΅Π»ΠΈΡΠΈΡΡΡ ΡΠΈΡΠ»ΠΎ Π΅Π³ΠΎ Π·ΡΠ±ΡΠ΅Π² ΠΏΡΠΈ Π½Π΅ΠΈΠ·ΠΌΠ΅Π½Π½ΠΎΠΌ ΡΠΈΡΠ»Π΅ Π·ΡΠ±ΡΠ΅Π² Π½Π° Π²Π΅Π΄ΡΡΠ΅ΠΉ ΡΠ΅ΡΡΠ΅ΡΠ½Π΅:
Β
Π°) ΡΠ³Π»ΠΎΠ²Π°Ρ ΡΠΊΠΎΡΠΎΡΡΡ ΡΠ²Π΅Π»ΠΈΡΠΈΡΡΡ
Π±) ΡΠ³Π»ΠΎΠ²Π°Ρ ΡΠΊΠΎΡΠΎΡΡΡ ΡΠΌΠ΅Π½ΡΡΠΈΡΡΡ
Π²) ΡΠ³Π»ΠΎΠ²Π°Ρ ΡΠΊΠΎΡΠΎΡΡΡ Π½Π΅ ΠΈΠ·ΠΌΠ΅Π½ΠΈΡΡΡ
Β
64. ΠΠ°ΠΊΠΎΠ΅ Π·Π²Π΅Π½ΠΎ Π² ΡΠ΅ΡΠ²ΡΡΠ½ΠΎΠΉ ΠΏΠ΅ΡΠ΅Π΄Π°ΡΠ΅ ΡΠ²Π»ΡΠ΅ΡΡΡ Π²Π΅Π΄ΡΡΠΈΠΌ:
Π°) ΡΠ΅ΡΠ²ΡΠΊ
Π±) ΡΠ΅ΡΠ²ΡΡΠ½ΠΎΠ΅ ΠΊΠΎΠ»Π΅ΡΠΎ
Π²) ΡΠ΅ΡΡΠ΅ΡΠ½Ρ
Β
65. ΠΠ°ΠΊΠ°Ρ Π²Π΅ΡΠ²Ρ ΠΎΡΠΊΡΡΡΠΎΠΉ ΡΠ΅ΠΌΠ΅Π½Π½ΠΎΠΉ ΠΏΠ΅ΡΠ΅Π΄Π°ΡΠΈ ΠΈΡΠΏΡΡΡΠ²Π°Π΅Ρ ΠΏΡΠΈ ΡΠ°Π±ΠΎΡΠ΅ Π±ΠΎΠ»ΡΡΠ΅Π΅ Π½Π°ΡΡΠΆΠ΅Π½ΠΈΠ΅:
Π°) Π²Π΅Π΄ΡΡΠ°Ρ Π²Π΅ΡΠ²Ρ
Π±) Π²Π΅Π΄ΠΎΠΌΠ°Ρ Π²Π΅ΡΠ²Ρ
Π²) Π½Π°ΡΡΠΆΠ΅Π½ΠΈΠ΅ ΠΎΠ΄ΠΈΠ½Π°ΠΊΠΎΠ²ΠΎ
Β
66. ΠΠ°ΠΊΠΎΠΉ ΡΠ°Π·ΠΌΠ΅Ρ ΡΠ²Π»ΡΠ΅ΡΡΡ ΠΎΡΠ½ΠΎΠ²Π½ΡΠΌ Π΄Π»Ρ Π²ΡΠ±ΠΎΡΠ° ΠΏΡΠΈΠ²ΠΎΠ΄Π½ΠΎΠΉ ΡΠ΅ΠΏΠΈ ΡΠ΅ΠΏ Π½ΠΎΠΉ ΠΏΠ΅ΡΠ΅Π΄Π°ΡΠΈ:
Π°) Π΄ΠΈΠ°ΠΌΠ΅ΡΡ ΡΠΎΠ»ΠΈΠΊΠ°
Π±) ΡΠ°Π³ ΡΠ΅ΠΏΠΈ
Π²) ΡΠΎΠ»ΡΠΈΠ½Π° Π·Π²Π΅Π½ΡΠ΅Π² ΡΠ΅ΠΏΠΈ
Β
67. ΠΠ΅ΡΠ°Π»Ρ, ΡΠΎΠ΅Π΄ΠΈΠ½ΡΡΡΠ°Ρ ΡΠ»Π΅ΠΊΡΡΠΎΠ΄Π²ΠΈΠ³Π°ΡΠ΅Π»Ρ Ρ ΠΌΠ°ΡΠΈΠ½ΠΎΠΉ, ΡΠ°Π±ΠΎΡΠ°Π΅Ρ ΡΠΎΠ»ΡΠΊΠΎ Π½Π° ΠΊΡΡΡΠ΅Π½ΠΈΠ΅. ΠΠ°ΠΊ ΠΏΡΠ°Π²ΠΈΠ»ΡΠ½ΠΎ Π½Π°Π·ΡΠ²Π°Π΅ΡΡΡ ΡΡΠ° Π΄Π΅ΡΠ°Π»Ρ:
Β
Π°) Π²Π°Π»
Π±) ΠΎΡΡ
Π²) ΡΡΠ΅ΡΠΆΠ΅Π½Ρ
Β
68. ΠΠΎ ΠΊΠ°ΠΊΠΎΠΌΡ ΡΡΠ»ΠΎΠ²ΠΈΡ ΠΏΡΠΎΡΠ½ΠΎΡΡΠΈ ΡΠ»Π΅Π΄ΡΠ΅Ρ ΡΠ°ΡΡΡΠΈΡΡΠ²Π°ΡΡ ΠΎΡΠΈ:
Π°) ΠΏΠΎ ΡΡΠ»ΠΎΠ²ΠΈΡ ΠΏΡΠΎΡΠ½ΠΎΡΡΠΈ Π½Π° ΠΊΡΡΡΠ΅Π½ΠΈΠ΅
Π±) ΡΡΠ»ΠΎΠ²ΠΈΡ ΠΏΡΠΎΡΠ½ΠΎΡΡΠΈ Π½Π° ΠΈΠ·Π³ΠΈΠ±
Π²) ΡΡΠ»ΠΎΠ²ΠΈΡ ΠΏΡΠΎΡΠ½ΠΎΡΡΠΈ Π½Π° ΡΠΎΠ²ΠΌΠ΅ΡΡΠ½ΠΎΠ΅ Π΄Π΅ΠΉΡΡΠ²ΠΈΠ΅ ΠΈΠ·Π³ΠΈΠ±Π° ΠΈ ΠΊΡΡΡΠ΅Π½ΠΈΡ
Β
69. ΠΠ²Π΅ ΠΎΡΠΈ, Π½Π΅ΡΡΡΠΈΠ΅ ΠΎΠ΄ΠΈΠ½Π°ΠΊΠΎΠ²ΡΠ΅ Π½Π°Π³ΡΡΠ·ΠΊΠΈ, ΠΈΠ·Π³ΠΎΡΠΎΠ²Π»Π΅Π½Ρ ΠΈΠ· ΡΡΠ°Π»ΠΈ ΠΎΠ΄Π½ΠΎΠΉ ΠΈ ΡΠΎΠΉ ΠΆΠ΅ ΠΌΠ°ΡΠΊΠΈ. ΠΠ΄Π½Π° ΠΈΠ· ΡΡΠΈΡ ΠΎΡΠ΅ΠΉ Π½Π΅ΠΏΠΎΠ΄Π²ΠΈΠΆΠ½Π°Ρ, Π΄ΡΡΠ³Π°Ρ β Π²ΡΠ°ΡΠ°ΡΡΠ°ΡΡΡ. ΠΡΠΈ ΡΠ°Π²Π½ΠΎΠΉ ΠΏΡΠΎΡΠ½ΠΎΡΡΠΈ ΠΎΡΠ΅ΠΉ ΠΊΠ°ΠΊΠ°Ρ ΠΈΠ· Π½ΠΈΡ Π΄ΠΎΠ»ΠΆΠ½Π° ΠΈΠΌΠ΅ΡΡ Π±ΠΎΠ»ΡΡΠΈΠΉ Π΄ΠΈΠ°ΠΌΠ΅ΡΡ:
Π°) Π²ΡΠ°ΡΠ°ΡΡΠ°ΡΡΡ
Π±) Π½Π΅ΠΏΠΎΠ΄Π²ΠΈΠΆΠ½Π°Ρ
Π²) Π΄ΠΎΠ»ΠΆΠ½Ρ ΠΈΠΌΠ΅ΡΡ ΠΎΠ΄ΠΈΠ½Π°ΠΊΠΎΠ²ΡΡ ΠΏΡΠΎΡΠ½ΠΎΡΡΡ
Β
70. ΠΡΠΈ ΠΊΠ°ΠΊΠΎΠΌ Π²ΠΈΠ΄Π΅ ΡΡΠ΅Π½ΠΈΡ ΡΠΊΠΎΠ»ΡΠΆΠ΅Π½ΠΈΡ ΠΏΠΎΡΡΠΈ ΠΏΠΎΠ»Π½ΠΎΡΡΡΡ ΠΎΡΡΡΡΡΡΠ²ΡΠ΅Ρ ΠΈΠ·Π½ΠΎΡ ΡΡΡΡΠΈΡ ΡΡ ΠΏΠΎΠ²Π΅ΡΡ Π½ΠΎΡΡΠ΅ΠΉ:
Π°) ΠΏΡΠΈ ΠΏΠΎΠ»ΡΡΡΡ ΠΎΠΌ ΡΡΠ΅Π½ΠΈΠΈ
Π±) ΡΡΡ ΠΎΠΌ ΡΡΠ΅Π½ΠΈΠΈ
Π²) ΠΆΠΈΠ΄ΠΊΠΎΡΡΠ½ΠΎΠΌ ΡΡΠ΅Π½ΠΈΠΈ
Β
71. ΠΡΠΈ ΠΏΠΎΠΌΠΎΡΠΈ ΠΊΠ°ΠΊΠΎΠΉ ΠΌΡΡΡΡ ΠΌΠΎΠΆΠ½ΠΎ ΠΊΠΎΠΌΠΏΠ΅Π½ΡΠΈΡΠΎΠ²Π°ΡΡ Π½Π΅ΡΠΎΡΠ½ΠΎΡΡΡ Π² ΡΠ°ΡΠΏΠΎΠ»ΠΎΠΆΠ΅Π½ΠΈΠΈ Π³Π΅ΠΎΠΌΠ΅ΡΡΠΈΡΠ΅ΡΠΊΠΈΡ ΠΎΡΠ΅ΠΉ Π²Π°Π»ΠΎΠ²:
Π°) ΠΏΡΠΈ ΠΏΠΎΠΌΠΎΡΠΈ ΡΠΏΡΡΠ³ΠΎΠΉ Π²ΡΡΠ»ΠΎΡΠ½ΠΎ-ΠΏΠ°Π»ΡΡΠ΅Π²ΠΎΠΉ ΠΌΡΡΡΡ
Π±) ΠΏΠΎΠΌΠΎΡΠΈ ΠΏΠΎΠΏΠ΅ΡΠ΅ΡΠ½ΠΎ-ΡΠ²Π΅ΡΡΠ½ΠΎΠΉ ΠΌΡΡΡΡ
Π²) ΠΏΠΎΠΌΠΎΡΠΈ Π²ΡΡΠ»ΠΎΡΠ½ΠΎΠΉ ΠΌΡΡΡΡ
Π³) ΠΏΠΎΠΌΠΎΡΠΈ ΠΊΡΠ»Π°ΡΠΊΠΎΠ²ΠΎΠΉ ΡΠ°ΡΡΠΈΡΠΈΡΠ΅Π»ΡΠ½ΠΎΠΉ ΠΌΡΡΡΡ
Β
Β
ΠΠ»ΡΡΠΈ ΠΊ ΡΠ΅ΡΡΠ°ΠΌ
| β ΠΠΎΠΏΡΠΎΡΠ° | ΠΡΠ°Π²ΠΈΠ»ΡΠ½ΡΠΉ ΠΎΡΠ²Π΅Ρ | β ΠΠΎΠΏΡΠΎΡΠ° | ΠΡΠ°Π²ΠΈΠ»ΡΠ½ΡΠΉ ΠΎΡΠ²Π΅Ρ | β ΠΠΎΠΏΡΠΎΡΠ° | ΠΡΠ°Π²ΠΈΠ»ΡΠ½ΡΠΉ ΠΎΡΠ²Π΅Ρ |
| Π± | Π² | Π± | |||
| Π± | Π± | Π² | |||
| Π³ | Π² | Π± | |||
| Π² | Π± | Π° | |||
| Π³ | Π± | Π° | |||
| Π² | Π± | Π± | |||
| Π² | Π³ | Π° | |||
| Π² | Π± | Π± | |||
| Π° | Π° | Π° | |||
| Π³ | Π° | Π² | |||
| Π³ | Π± | Π° | |||
| Π³ | Π² | Β | Β | ||
| Π± | Π² | Β | Β | ||
| Π± | Π± | Β | Β | ||
| Π³ | Π³ | Β | Β | ||
| Π³ | Π° | Β | Β | ||
| Π³ | Π± | Β | Β | ||
| Π± | Π± | Β | Β | ||
| Π³ | Π±, Π³ | Β | Β | ||
| Π² | Π° | Β | Β | ||
| Π΄ | Π³ | Β | Β | ||
| Π² | Π° | Β | Β | ||
| Π± | Π² | Β | Β | ||
| Π± | Π± | Β | Β | ||
| Π³ | Π² | Β | Β | ||
| Π± | Π° | Β | Β | ||
| Π³ | Π± | Β | Β | ||
| Π² | Π° | Β | Β | ||
| Π³ | Π° | Β | Β | ||
| Π± | Π° | Β | Β |
Β
Β
4. Π Π΅ΠΉΡΠΈΠ½Π³ΠΎΠ²Π°Ρ ΡΠΈΡΡΠ΅ΠΌΠ° Π΄Π»Ρ ΠΎΡΠ΅Π½ΠΈΠ²Π°Π½ΠΈΡ ΡΡΠΏΠ΅Π²Π°Π΅ΠΌΠΎΡΡΠΈ ΠΊΡΡΡΠ°Π½ΡΠΎΠ² / ΡΡΡΠ΄Π΅Π½ΡΠΎΠ²
Π’Π°Π±Π»ΠΈΡΠ° 4.1 -ΠΠ°Π»ΡΠ½ΡΠ΅ ΠΎΡΠ΅Π½ΠΊΠΈ Π΄Π»Ρ ΡΠ»Π΅ΠΌΠ΅Π½ΡΠΎΠ² ΠΊΠΎΠ½ΡΡΠΎΠ»Ρ
| ΠΠ»Π΅ΠΌΠ΅Π½ΡΡ ΡΡΠ΅Π±Π½ΠΎΠΉ Π΄Π΅ΡΡΠ΅Π»ΡΠ½ΠΎΡΡΠΈ | ΠΠ°ΠΊΡΠΈΠΌΠ°Π»ΡΠ½ΡΠΉ Π±Π°Π»Π» Π½Π° 1-ΠΉ ΠΠ Ρ Π½Π°ΡΠ°Π»Π° ΡΠ΅ΠΌΠ΅ΡΡΡΠ° | ΠΠ°ΠΊΡΠΈΠΌΠ°Π»ΡΠ½ΡΠΉ Π±Π°Π»Π» Π·Π° ΠΏΠ΅ΡΠΈΠΎΠ΄ ΠΌΠ΅ΠΆΠ΄Ρ 1 ΠΠ ΠΈ 2 ΠΠ | ΠΡΠ΅Π³ΠΎ Π·Π° ΡΠ΅ΠΌΠ΅ΡΡΡ |
| ΠΠΎΡΠ΅ΡΠ΅Π½ΠΈΠ΅ Π·Π°Π½ΡΡΠΈΠΉ | |||
| ΠΡΠΏΠΎΠ»Π½Π΅Π½ΠΈΡ Π»Π°Π±ΠΎΡΠ°ΡΠΎΡΠ½ΡΡ ΡΠ°Π±ΠΎΡ | |||
| ΠΡΠΏΠΎΠ»Π½Π΅Π½ΠΈΡ ΡΠ°ΠΌΠΎΡΡΠΎΡΡΠ΅Π»ΡΠ½ΡΡ ΡΠ°Π±ΠΎΡ Π½Π° ΠΏΡΠ°ΠΊΡΠΈΡΠ΅ΡΠΊΠΈΡ Π·Π°Π½ΡΡΠΈΡΡ | |||
| ΠΠΎΠΎΡΡΠΈΡΠ΅Π»ΡΠ½ΡΠ΅ Π±Π°Π»Π»Ρ | |||
| ΠΡΠ΅Π³ΠΎ ΠΌΠ°ΠΊΡΠΈΠΌΡΠΌ Π·Π° ΠΏΠ΅ΡΠΈΠΎΠ΄: |
Π’Π°Π±Π»ΠΈΡΠ° 4.2 β ΠΠ΅ΡΠ΅Π²ΠΎΠ΄ Π±Π°Π»Π»ΠΎΠ² Π² ΠΎΡΠ΅Π½ΠΊΠΈ Π·Π° Π°ΡΡΠ΅ΡΡΠ°ΡΠΈΠΎΠ½Π½ΡΡ Π½Π΅Π΄Π΅Π»Ρ
| ΠΠ°Π»Ρ Π½Π° Π΄Π°ΡΡ ΠΊΠΎΠ½ΡΡΠΎΠ»ΡΠ½ΠΎΠΉ ΡΠΎΡΠΊΠΈ | ΠΡΠ΅Π½ΠΊΠ° |
| > 90 % ΠΎΡ ΠΌΠ°ΠΊΡΠΈΠΌΠ°Π»ΡΠ½ΠΎΠΉ ΡΡΠΌΠΌΡ Π±Π°Π»ΠΎΠ² Π½Π° Π΄Π°ΡΡ ΠΠ’ | |
| 70% – 89% ΠΎΡ ΠΌΠ°ΠΊΡΠΈΠΌΠ°Π»ΡΠ½ΠΎΠΉ ΡΡΠΌΠΌΡ Π±Π°Π»ΠΎΠ² Π½Π° Π΄Π°ΡΡ ΠΠ’ | |
| 60% – 69% ΠΎΡ ΠΌΠ°ΠΊΡΠΈΠΌΠ°Π»ΡΠ½ΠΎΠΉ ΡΡΠΌΠΌΡ Π±Π°Π»ΠΎΠ² Π½Π° Π΄Π°ΡΡ ΠΠ’ | |
| < 60 % ΠΎΡ ΠΌΠ°ΠΊΡΠΈΠΌΠ°Π»ΡΠ½ΠΎΠΉ ΡΡΠΌΠΌΡ Π±Π°Π»ΠΎΠ² Π½Π° Π΄Π°ΡΡ ΠΠ’ |
Π’Π°Π±Π»ΠΈΡΠ° 4.3 – Π¨ΠΊΠ°Π»Π° Π½Π°ΡΠΈΠΎΠ½Π°Π»ΡΠ½ΠΎΠΉ ΡΠΈΡΡΠ΅ΠΌΡ ΠΎΡΠ΅Π½ΠΈΠ²Π°Π½ΠΈΡ Π·Π½Π°Π½ΠΈΠΉ ΡΡΡΠ΄Π΅Π½ΡΠΎΠ² ΠΈ ΠΠΠ’Π‘ (ECTS)
| ΠΡΠ΅Π½ΠΊΠ° Π² Π±Π°Π»Π»Π°Ρ | ΠΡΠ΅Π½ΠΊΠ° ΠΏΠΎ Π½Π°ΡΠΈΠΎΠ½Π°Π»ΡΠ½ΠΎΠΉ ΡΠΊΠ°Π»Π΅ | ΠΡΠ΅Π½ΠΊΠ° ΠΏΠΎ ΡΠΊΠ°Π»Π΅ ECTS | |
| ΠΡΠ΅Π½ΠΊΠ° | ΠΠ±ΡΡΡΠ½Π΅Π½ΠΈΠ΅ | ||
| 90-100 | ΠΡΠ»ΠΈΡΠ½ΠΎ | Π | ΠΡΠ»ΠΈΡΠ½ΠΎ (ΠΎΡΠ»ΠΈΡΠ½ΠΎΠ΅ Π²ΡΠΏΠΎΠ»Π½Π΅Π½ΠΈΠ΅ Π»ΠΈΡΡ Ρ Π½Π΅Π·Π½Π°ΡΠΈΡΠ΅Π»ΡΠ½ΡΠΌ ΠΊΠΎΠ»ΠΈΡΠ΅ΡΡΠ²ΠΎΠΌ ΠΎΡΠΈΠ±ΠΎΠΊ) |
| 82-89 | Π₯ΠΎΡΠΎΡΠΎ | B | ΠΡΠ΅Π½Ρ Ρ ΠΎΡΠΎΡΠΎ (Π²ΡΡΠ΅ ΡΡΠ΅Π΄Π½Π΅Π³ΠΎ ΡΡΠΎΠ²Π½Ρ Ρ Π½Π΅ΡΠΊΠΎΠ»ΡΠΊΠΈΠΌΠΈ ΠΎΡΠΈΠ±ΠΊΠ°ΠΌΠΈ) |
| 75-81 | Π‘ | Π₯ΠΎΡΠΎΡΠΎ (Π² ΡΠ΅Π»ΠΎΠΌ ΠΏΡΠ°Π²ΠΈΠ»ΡΠ½ΠΎΠ΅ Π²ΡΠΏΠΎΠ»Π½Π΅Π½ΠΈΠ΅ Ρ ΠΎΠΏΡΠ΅Π΄Π΅Π»Π΅Π½Π½ΡΠΌ ΠΊΠΎΠ»ΠΈΡΠ΅ΡΡΠ²ΠΎΠΌ ΡΡΡΠ΅ΡΡΠ²Π΅Π½Π½ΡΡ ΠΎΡΠΈΠ±ΠΎΠΊ) | |
| 67-74 | Π£Π΄ΠΎΠ²Π»Π΅ΡΠ²ΠΎΡΠΈΡΠ΅Π»ΡΠ½ΠΎ | D | Π£Π΄ΠΎΠ²Π»Π΅ΡΠ²ΠΎΡΠΈΡΠ΅Π»ΡΠ½ΠΎ (Π½Π΅ΠΏΠ»ΠΎΡ ΠΎ, Π½ΠΎ ΡΠΎ Π·Π½Π°ΡΠΈΡΠ΅Π»ΡΠ½ΡΠΌ ΠΊΠΎΠ»ΠΈΡΠ΅ΡΡΠ²ΠΎΠΌ Π½Π΅Π΄ΠΎΡΡΠ°ΡΠΊΠΎΠ²) |
| 60-66 | E | ΠΠΎΡΡΠ°ΡΠΎΡΠ½ΠΎ (Π²ΡΠΏΠΎΠ»Π½Π΅Π½ΠΈΠ΅ ΡΠ΄ΠΎΠ²Π»Π΅ΡΠ²ΠΎΡΡΠ΅Ρ ΠΌΠΈΠ½ΠΈΠΌΠ°Π»ΡΠ½ΡΠΌ ΠΊΡΠΈΡΠ΅ΡΠΈΡΠΌ) | |
| 35-59 | ΠΠ΅ΡΠ΄ΠΎΠ²Π»Π΅ΡΠ²ΠΎΡΠΈΡΠ΅Π»ΡΠ½ΠΎ | FX | ΠΠ΅ΡΠ΄ΠΎΠ²Π»Π΅ΡΠ²ΠΎΡΠΈΡΠ΅Π»ΡΠ½ΠΎ (Ρ Π²ΠΎΠ·ΠΌΠΎΠΆΠ½ΠΎΡΡΡΡ ΠΏΠΎΠ²ΡΠΎΡΠ½ΠΎΠ³ΠΎ ΡΠΎΡΡΠ°Π²Π»Π΅Π½ΠΈΡ) |
| 1-34 | F | ΠΠ΅ΡΠ΄ΠΎΠ²Π»Π΅ΡΠ²ΠΎΡΠΈΡΠ΅Π»ΡΠ½ΠΎ (Ρ ΠΎΠ±ΡΠ·Π°ΡΠ΅Π»ΡΠ½ΡΠΌ ΠΏΠΎΠ²ΡΠΎΡΠ½ΡΠΌ ΠΊΡΡΡΠΎΠΌ) |
Β
Π’Π°Π±Π»ΠΈΡΠ° 4.4 – ΠΡΠΈΡΠ΅ΡΠΈΠΈ ΠΎΡΠ΅Π½ΠΈΠ²Π°Π½ΠΈΡ ΡΡΠ΅Π±Π½ΡΡ Π΄ΠΎΡΡΠΈΠΆΠ΅Π½ΠΈΠΉ ΠΊΡΡΡΠ°Π½ΡΠΎΠ² ΡΡΡΠ΄Π΅Π½ΡΠΎΠ² Π² ΠΊΡΠ΅Π΄ΠΈΡΠ½ΠΎ-ΠΌΠΎΠ΄ΡΠ»ΡΠ½ΠΎΠΉ ΡΠΈΡΡΠ΅ΠΌΠ΅ ΠΎΡΠ³Π°Π½ΠΈΠ·Π°ΡΠΈΠΈ ΡΡΠ΅Π±Π½ΠΎΠ³ΠΎ ΠΏΡΠΎΡΠ΅ΡΡΠ° ΠΈ ΠΠΠ’Π‘ (ECTS)
ο»Ώinfopedia.su
ΠΠ½Π»Π°ΠΉΠ½-ΡΠ΅ΡΡΡ Π½Π° oltest.ru: Π’Π΅ΠΎΡΠ΅ΡΠΈΡΠ΅ΡΠΊΠ°Ρ ΠΌΠ΅Ρ Π°Π½ΠΈΠΊΠ°
ΠΠ½Π»Π°ΠΉΠ½-ΡΠ΅ΡΡΡΠ’Π΅ΡΡΡΠΠ½ΠΆΠ΅Π½Π΅ΡΠ½ΡΠ΅ Π΄ΠΈΡΡΠΈΠΏΠ»ΠΈΠ½ΡΠ’Π΅ΠΎΡΠ΅ΡΠΈΡΠ΅ΡΠΊΠ°Ρ ΠΌΠ΅Ρ Π°Π½ΠΈΠΊΠ°Π²ΠΎΠΏΡΠΎΡΡ16-3016. ΠΠ΅ΡΠΊΠΎΠ½Π΅ΡΠ½ΠΎ ΠΌΠ°Π»ΡΠ΅ ΠΏΠ΅ΡΠ΅ΠΌΠ΅ΡΠ΅Π½ΠΈΡ ΡΠΎΡΠ΅ΠΊ ΠΌΠ΅Ρ Π°Π½ΠΈΡΠ΅ΡΠΊΠΎΠΉ ΡΠΈΡΡΠ΅ΠΌΡ, ΠΏΡΠΎΡΠ΅ΠΊΠ°ΡΡΠΈΠ΅ Π² ΡΠΎΠΎΡΠ²Π΅ΡΡΡΠ²ΠΈΠΈ Ρ Π½Π°Π»ΠΎΠΆΠ΅Π½Π½ΡΠΌΠΈ ΡΠ²ΡΠ·ΡΠΌΠΈ ΠΏΠΎΠ΄ Π΄Π΅ΠΉΡΡΠ²ΠΈΠ΅ΠΌ Π²ΡΠ΅Ρ ΠΏΡΠΈΠ»ΠΎΠΆΠ΅Π½Π½ΡΡ ΡΠΈΠ» Π·Π° Π±Π΅ΡΠΊΠΎΠ½Π΅ΡΠ½ΠΎ ΠΌΠ°Π»ΡΠΉ ΠΈΠ½ΡΠ΅ΡΠ²Π°Π» ΡΠ΅Π°Π»ΡΠ½ΠΎΠ³ΠΎ Π²ΡΠ΅ΠΌΠ΅Π½ΠΈ, Π½Π°Π·ΡΠ²Π°ΡΡΡΡ:
β’ Π΄Π΅ΠΉΡΡΠ²ΠΈΡΠ΅Π»ΡΠ½ΡΠΌΠΈ
17. Π ΠΊΠ°ΠΆΠ΄ΡΠΉ ΠΌΠΎΠΌΠ΅Π½Ρ Π΄Π²ΠΈΠΆΠ΅Π½ΠΈΡ ΠΌΠ°ΡΠ΅ΡΠΈΠ°Π»ΡΠ½ΠΎΠΉ ΡΠΎΡΠΊΠΈ, Π΄Π΅ΠΉΡΡΠ²ΡΡΡΠΈΠ΅ Π½Π° Π½Π΅Π΅ Π°ΠΊΡΠΈΠ²Π½ΡΠ΅ ΡΠΈΠ»Ρ ΠΈ ΡΠΈΠ»Ρ ΡΠ΅Π°ΠΊΡΠΈΠΈ ΡΠ²ΡΠ·Π΅ΠΉ, ΡΡΠ°Π²Π½ΠΎΠ²Π΅ΡΠΈΠ²Π°ΡΡΡΡ ΡΡΠ»ΠΎΠ²Π½ΠΎ ΠΏΡΠΈΠ»ΠΎΠΆΠ΅Π½Π½ΠΎΠΉ ΡΠΈΠ»ΠΎΠΉ ΠΈΠ½Π΅ΡΡΠΈΠΈ. ΠΠ°Π½Π½ΠΎΠ΅ ΡΡΠ²Π΅ΡΠΆΠ΄Π΅Π½ΠΈΠ΅ ΠΏΡΠ΅Π΄ΡΡΠ°Π²Π»ΡΠ΅Ρ ΡΠΎΠ±ΠΎΠΉ …
β’ ΠΏΡΠΈΠ½ΡΠΈΠΏ ΠΠ°Π»Π°ΠΌΠ±Π΅ΡΠ°
18. Π ΠΊΠ°ΠΆΠ΄ΡΠΉ ΠΌΠΎΠΌΠ΅Π½Ρ Π΄Π²ΠΈΠΆΠ΅Π½ΠΈΡ ΠΌΠ΅Ρ
Π°Π½ΠΈΡΠ΅ΡΠΊΠΎΠΉ ΡΠΈΡΡΠ΅ΠΌΡ Ρ ΠΈΠ΄Π΅Π°Π»ΡΠ½ΡΠΌΠΈ ΡΠ²ΡΠ·ΡΠΌΠΈ ΡΡΠΌΠΌΠ° ΡΠ°Π±ΠΎΡ Π²ΡΠ΅Ρ
Π°ΠΊΡΠΈΠ²Π½ΡΡ
ΡΠΈΠ» ΠΈ ΡΠΈΠ» ΠΈΠ½Π΅ΡΡΠΈΠΈ, ΡΡΠ»ΠΎΠ²Π½ΠΎ ΠΏΡΠΈΠ»ΠΎΠΆΠ΅Π½Π½ΡΡ
ΠΊΠΎ Π²ΡΠ΅ΠΌ ΡΠΎΡΠΊΠ°ΠΌ, Π½Π° ΡΠΎΠΎΡΠ²Π΅ΡΡΡΠ²ΡΡΡΠΈΡ
Π²ΠΎΠ·ΠΌΠΎΠΆΠ½ΡΡ
ΠΏΠ΅ΡΠ΅ΠΌΠ΅ΡΠ΅Π½ΠΈΡΡ
ΡΠ°Π²Π½Π° Π½ΡΠ»Ρ. Π’Π°ΠΊΠΎΠ²ΠΎ ΡΠΎΠ΄Π΅ΡΠΆΠ°Π½ΠΈΠ΅ ΠΏΡΠΈΠ½ΡΠΈΠΏΠ°:
β’ ΠΠ°Π³ΡΠ°Π½ΠΆΠ°-ΠΠ°Π»Π°ΠΌΠ±Π΅ΡΠ°
19. Π ΠΊΡΡΠ³Π»ΠΎΠΉ ΠΏΠ»Π°ΡΡΠΈΠ½Π΅ ΠΏΠ»ΠΎΡΠ°Π΄ΡΡ S1 = 1 ΠΌ2 ΡΠ΄Π΅Π»Π°Π½ ΠΊΡΡΠ³Π»ΡΠΉ Π²ΡΡΠ΅Π· ΠΏΠ»ΠΎΡΠ°Π΄ΡΡ S2 = 0,2 ΠΌ2. Π Π°ΡΡΡΠΎΡΠ½ΠΈΠ΅ ΠΠ1 ΡΠ°Π²Π½ΠΎ h=0,2 ΠΌ. Π¦Π΅Π½ΡΡ ΡΡΠΆΠ΅ΡΡΠΈ ΠΏΠ»Π°ΡΡΠΈΠ½Ρ ΡΠ°ΡΠΏΠΎΠ»ΠΎΠΆΠ΅Π½ Π² ΡΠΎΡΠΊΠ΅ Ρ ΠΊΠΎΠΎΡΠ΄ΠΈΠ½Π°ΡΠ°ΠΌΠΈ
:
β’ (-0,05; 0)
20. Π ΠΊΡΡΠ³Π»ΠΎΠΉ ΠΏΠ»Π°ΡΡΠΈΠ½Π΅ ΠΏΠ»ΠΎΡΠ°Π΄ΡΡ S1 = 1 ΠΌ2 ΡΠ΄Π΅Π»Π°Π½ ΠΊΡΡΠ³Π»ΡΠΉ Π²ΡΡΠ΅Π· ΠΏΠ»ΠΎΡΠ°Π΄ΡΡ S2 = 0,2 ΠΌ2. Π Π°ΡΡΡΠΎΡΠ½ΠΈΠ΅ ΠΠ1 ΡΠ°Π²Π½ΠΎ h=0,2 ΠΌ. Π¦Π΅Π½ΡΡ ΡΡΠΆΠ΅ΡΡΠΈ ΠΏΠ»Π°ΡΡΠΈΠ½Ρ ΡΠ°ΡΠΏΠΎΠ»ΠΎΠΆΠ΅Π½ Π² ΡΠΎΡΠΊΠ΅ Ρ ΠΊΠΎΠΎΡΠ΄ΠΈΠ½Π°ΡΠ°ΠΌΠΈ
:
β’ (0; -0,05)
21. Π ΠΊΡΡΠ³Π»ΠΎΠΉ ΠΏΠ»Π°ΡΡΠΈΠ½Π΅ ΠΏΠ»ΠΎΡΠ°Π΄ΡΡ S1 = 2 ΠΌ2 ΡΠ΄Π΅Π»Π°Π½ ΠΊΡΡΠ³Π»ΡΠΉ Π²ΡΡΠ΅Π· ΠΏΠ»ΠΎΡΠ°Π΄ΡΡ S2 = 0,5 ΠΌ2. Π Π°ΡΡΡΠΎΡΠ½ΠΈΠ΅ ΠΠ1 ΡΠ°Π²Π½ΠΎ h=0,4 ΠΌ. Π¦Π΅Π½ΡΡ ΡΡΠΆΠ΅ΡΡΠΈ ΠΏΠ»Π°ΡΡΠΈΠ½Ρ ΡΠ°ΡΠΏΠΎΠ»ΠΎΠΆΠ΅Π½ Π² ΡΠΎΡΠΊΠ΅ Ρ ΠΊΠΎΠΎΡΠ΄ΠΈΠ½Π°ΡΠ°ΠΌΠΈ :
β’ (-0,13; 0)
22. Π ΠΊΡΡΠ³Π»ΠΎΠΉ ΠΏΠ»Π°ΡΡΠΈΠ½Π΅ ΠΏΠ»ΠΎΡΠ°Π΄ΡΡ S1 = 2 ΠΌ2 ΡΠ΄Π΅Π»Π°Π½ ΠΊΡΡΠ³Π»ΡΠΉ Π²ΡΡΠ΅Π· ΠΏΠ»ΠΎΡΠ°Π΄ΡΡ S2 = 0,5 ΠΌ2. Π Π°ΡΡΡΠΎΡΠ½ΠΈΠ΅ ΠΠ1 ΡΠ°Π²Π½ΠΎ h=0,4 ΠΌ. Π¦Π΅Π½ΡΡ ΡΡΠΆΠ΅ΡΡΠΈ ΠΏΠ»Π°ΡΡΠΈΠ½Ρ ΡΠ°ΡΠΏΠΎΠ»ΠΎΠΆΠ΅Π½ Π² ΡΠΎΡΠΊΠ΅ Ρ ΠΊΠΎΠΎΡΠ΄ΠΈΠ½Π°ΡΠ°ΠΌΠΈ
:
β’ (0; -0,133)
β’ ΡΠ°Π΄/Ρ2
24. Π ΠΏΠΎΠ»ΠΎΠΆΠ΅Π½ΠΈΠΈ ΠΌΠ΅Ρ
Π°Π½ΠΈΠ·ΠΌΠ°, Π·Π°Π΄Π°Π½Π½ΠΎΠΌ ΡΠ³Π»ΠΎΠΌ Ο (ΠΎΠ±ΠΎΠ±ΡΠ΅Π½Π½Π°Ρ ΠΊΠΎΠΎΡΠ΄ΠΈΠ½Π°ΡΠ°), Π΅Π³ΠΎ ΠΊΠΈΠ½Π΅ΡΠΈΡΠ΅ΡΠΊΠ°Ρ ΡΠ½Π΅ΡΠ³ΠΈΡ ΡΠ°Π²Π½Π° Π’ = 200Ο2, Π³Π΄Π΅ β ΡΠ³Π»ΠΎΠ²Π°Ρ ΡΠΊΠΎΡΠΎΡΡΡ. Π ΠΊΡΠΈΠ²ΠΎΡΠΈΠΏΡ ΠΠ ΠΏΡΠΈΠ»ΠΎΠΆΠ΅Π½ ΠΊΡΡΡΡΡΠΈΠΉ ΠΌΠΎΠΌΠ΅Π½Ρ Π = 1200 ΠβΠΌ. Π£Π³Π»ΠΎΠ²ΠΎΠ΅ ΡΡΠΊΠΎΡΠ΅Π½ΠΈΠ΅ ΠΊΡΠΈΠ²ΠΎΡΠΈΠΏΠ° ΡΠ°Π²Π½ΠΎ :
β’ 3 ΡΠ°Π΄/Ρ2
25. Π ΠΏΠΎΠ»ΠΎΠΆΠ΅Π½ΠΈΠΈ ΠΌΠ΅Ρ
Π°Π½ΠΈΠ·ΠΌΠ°, Π·Π°Π΄Π°Π½Π½ΠΎΠΌ ΡΠ³Π»ΠΎΠΌ Ο (ΠΎΠ±ΠΎΠ±ΡΠ΅Π½Π½Π°Ρ ΠΊΠΎΠΎΡΠ΄ΠΈΠ½Π°ΡΠ°), Π΅Π³ΠΎ ΠΊΠΈΠ½Π΅ΡΠΈΡΠ΅ΡΠΊΠ°Ρ ΡΠ½Π΅ΡΠ³ΠΈΡ ΡΠ°Π²Π½Π° Π’ = 200Ο2, Π³Π΄Π΅ β ΡΠ³Π»ΠΎΠ²Π°Ρ ΡΠΊΠΎΡΠΎΡΡΡ. Π ΠΊΡΠΈΠ²ΠΎΡΠΈΠΏΡ ΠΠ ΠΏΡΠΈΠ»ΠΎΠΆΠ΅Π½ ΠΊΡΡΡΡΡΠΈΠΉ ΠΌΠΎΠΌΠ΅Π½Ρ Π = 400 ΠβΠΌ. Π£Π³Π»ΠΎΠ²ΠΎΠ΅ ΡΡΠΊΠΎΡΠ΅Π½ΠΈΠ΅ ΠΊΡΠΈΠ²ΠΎΡΠΈΠΏΠ° ΡΠ°Π²Π½ΠΎ :
β’ 1 ΡΠ°Π΄/Ρ2
26. Π ΠΏΠΎΠ»ΠΎΠΆΠ΅Π½ΠΈΠΈ ΠΌΠ΅Ρ
Π°Π½ΠΈΠ·ΠΌΠ°, Π·Π°Π΄Π°Π½Π½ΠΎΠΌ ΡΠ³Π»ΠΎΠΌ Ο (ΠΎΠ±ΠΎΠ±ΡΠ΅Π½Π½Π°Ρ ΠΊΠΎΠΎΡΠ΄ΠΈΠ½Π°ΡΠ°), Π΅Π³ΠΎ ΠΊΠΈΠ½Π΅ΡΠΈΡΠ΅ΡΠΊΠ°Ρ ΡΠ½Π΅ΡΠ³ΠΈΡ ΡΠ°Π²Π½Π° Π’= 200Ο2, Π³Π΄Π΅ β ΡΠ³Π»ΠΎΠ²Π°Ρ ΡΠΊΠΎΡΠΎΡΡΡ. Π ΠΊΡΠΈΠ²ΠΎΡΠΈΠΏΡ ΠΠ ΠΏΡΠΈΠ»ΠΎΠΆΠ΅Π½ ΠΊΡΡΡΡΡΠΈΠΉ ΠΌΠΎΠΌΠ΅Π½Ρ Π = 800 ΠβΠΌ. Π£Π³Π»ΠΎΠ²ΠΎΠ΅ ΡΡΠΊΠΎΡΠ΅Π½ΠΈΠ΅ ΠΊΡΠΈΠ²ΠΎΡΠΈΠΏΠ° ΡΠ°Π²Π½ΠΎ :
β’ 2 ΡΠ°Π΄/Ρ2
27. Π ΡΡΠ°ΡΠΈΡΠ΅ΡΠΊΠΈ ΠΎΠΏΡΠ΅Π΄Π΅Π»ΠΈΠΌΠΎΠΉ ΠΏΠ»ΠΎΡΠΊΠΎΠΉ ΡΠ΅ΡΠΌΠ΅ ΡΠΈΡΠ»ΠΎ ΡΠ·Π»ΠΎΠ² ΡΠ°Π²Π½ΠΎ: S=15. Π§ΠΈΡΠ»ΠΎ ΡΡΠ΅ΡΠΆΠ½Π΅ΠΉ ΡΠ΅ΡΠΌΡ ΡΠ°Π²Π½ΠΎ:
β’ n=27
28. Π ΡΡΠ°ΡΠΈΡΠ΅ΡΠΊΠΈ ΠΎΠΏΡΠ΅Π΄Π΅Π»ΠΈΠΌΠΎΠΉ ΠΏΠ»ΠΎΡΠΊΠΎΠΉ ΡΠ΅ΡΠΌΠ΅ ΡΠΈΡΠ»ΠΎ ΡΠ·Π»ΠΎΠ² ΡΠ°Π²Π½ΠΎ: S=20. Π§ΠΈΡΠ»ΠΎ ΡΡΠ΅ΡΠΆΠ½Π΅ΠΉ ΡΠ΅ΡΠΌΡ ΡΠ°Π²Π½ΠΎ:
β’ n=37
29. Π ΡΡΠ°ΡΠΈΡΠ΅ΡΠΊΠΈ ΠΎΠΏΡΠ΅Π΄Π΅Π»ΠΈΠΌΠΎΠΉ ΠΏΠ»ΠΎΡΠΊΠΎΠΉ ΡΠ΅ΡΠΌΠ΅ ΡΠΈΡΠ»ΠΎ ΡΠ·Π»ΠΎΠ² ΡΠ°Π²Π½ΠΎ: S=25. Π§ΠΈΡΠ»ΠΎ ΡΡΠ΅ΡΠΆΠ½Π΅ΠΉ ΡΠ΅ΡΠΌΡ ΡΠ°Π²Π½ΠΎ:
β’ n=47
30. Π ΡΡΠ°ΡΠΈΡΠ΅ΡΠΊΠΈ ΠΎΠΏΡΠ΅Π΄Π΅Π»ΠΈΠΌΠΎΠΉ ΠΏΠ»ΠΎΡΠΊΠΎΠΉ ΡΠ΅ΡΠΌΠ΅ ΡΠΈΡΠ»ΠΎ ΡΠ·Π»ΠΎΠ² ΡΠ°Π²Π½ΠΎ: S=30. Π§ΠΈΡΠ»ΠΎ ΡΡΠ΅ΡΠΆΠ½Π΅ΠΉ ΡΠ΅ΡΠΌΡ ΡΠ°Π²Π½ΠΎ:
β’ n=57
oltest.ru
Π’Π΅ΡΡ Π΄ΠΈΡΡΠ°Π½ΡΠΈΠΎΠ½Π½ΠΎ Π‘Π΄Π°ΡΡ ΡΠ΅ΡΡ ΠΠ’Π ΠΏΠΎ ΡΠ΅ΠΎΡΠ΅ΡΠΈΡΠ΅ΡΠΊΠΎΠΉ ΠΌΠ΅Ρ Π°Π½ΠΈΠΊΠ΅ Π’Π΅ΠΎΡΠ΅ΡΠΈΡΠ΅ΡΠΊ
ID (Π½ΠΎΠΌΠ΅Ρ) Π·Π°ΠΊΠ°Π·Π°
520216
Π’ΠΈΠΏ
Π’Π΅ΡΡ Π΄ΠΈΡΡΠ°Π½ΡΠΈΠΎΠ½Π½ΠΎ
ΠΡΠ΅Π΄ΠΌΠ΅Ρ
Π’Π΅ΠΎΡΠ΅ΡΠΈΡΠ΅ΡΠΊΠ°Ρ ΠΌΠ΅Ρ Π°Π½ΠΈΠΊΠ°
Π‘ΡΠ°ΡΡΡ
ΠΠ°ΠΊΠ°Π· Π²ΡΠΏΠΎΠ»Π½Π΅Π½
Π‘Π΄Π°ΡΡ ΡΠ΅ΡΡ ΠΠ’Π ΠΏΠΎ ΡΠ΅ΠΎΡΠ΅ΡΠΈΡΠ΅ΡΠΊΠΎΠΉ ΠΌΠ΅Ρ Π°Π½ΠΈΠΊΠ΅
Π Π°Π±ΠΎΡΠ°Ρ ΡΠ΅ΡΡΠ°Π΄Ρ Π Π°Π·Π΄Π΅Π» 1. ΠΠ»Π΅ΠΌΠ΅Π½ΡΡ Π²Π΅ΠΊΡΠΎΡΠ½ΠΎΠΉ Π°Π»Π³Π΅Π±ΡΡ ΠΈ ΠΌΠ°ΡΠ΅ΠΌΠ°ΡΠΈΡΠ΅ΡΠΊΠΈΠΉ Π°ΠΏΠΏΠ°ΡΠ°Ρ ΡΠ΅ΠΎΡΠ΅ΡΠΈΡΠ΅ΡΠΊΠΎΠΉ ΠΌΠ΅Ρ Π°Π½ΠΈΠΊΠΈ Π’ΡΠ΅Π½ΠΈΠ½Π³ ΠΠΎΠ½ΡΡΠΎΠ»Ρ 4 4 ΠΠ»Π΅ΠΌΠ΅Π½ΡΡ Π²Π΅ΠΊΡΠΎΡΠ½ΠΎΠΉ Π°Π»Π³Π΅Π±ΡΡ, Ρ ΡΠ΄Π°Π». Π Π°Π·Π΄Π΅Π» 2. ΠΠΈΠ½Π΅ΠΌΠ°ΡΠΈΠΊΠ° Π’ΡΠ΅Π½ΠΈΠ½Π³ ΠΠΎΠ½ΡΡΠΎΠ»Ρ 3 Π Π°Π·Π΄Π΅Π» 3. ΠΠΈΠ½Π΅ΠΌΠ°ΡΠΈΠΊΠ° ΡΠ²Π΅ΡΠ΄ΠΎΠ³ΠΎ ΡΠ΅Π»Π° Π’ΡΠ΅Π½ΠΈΠ½Π³ ΠΠΎΠ½ΡΡΠΎΠ»Ρ Π Π°Π·Π΄Π΅Π» 4. ΠΠΈΠ½Π°ΠΌΠΈΠΊΠ° Π’ΡΠ΅Π½ΠΈΠ½Π³ ΠΠΎΠ½ΡΡΠΎΠ»Ρ Π Π°Π·Π΄Π΅Π» 5. ΠΠΈΠ½Π°ΠΌΠΈΠΊΠ° ΡΠΈΡΡΠ΅ΠΌΡ ΠΌΠ°ΡΠ΅ΡΠΈΠ°Π»ΡΠ½ΡΡ ΡΠΎΡΠ΅ΠΊ Π’ΡΠ΅Π½ΠΈΠ½Π³ ΠΠΎΠ½ΡΡΠΎΠ»Ρ Π Π°Π·Π΄Π΅Π» 6. ΠΠΈΠ½Π°ΠΌΠΈΠΊΠ° ΠΈ ΡΡΠ°ΡΠΈΠΊΠ° Π°Π±ΡΠΎΠ»ΡΡΠ½ΠΎ ΡΠ²Π΅ΡΠ΄ΠΎΠ³ΠΎ ΡΠ΅Π»Π° Π’ΡΠ΅Π½ΠΈΠ½Π³ ΠΠΎΠ½ΡΡΠΎΠ»Ρ Π Π°Π·Π΄Π΅Π» 7. ΠΠ½Π΅ΡΠ³ΠΈΡ Π² ΠΌΠ΅Ρ Π°Π½ΠΈΠΊΠ΅. Π Π°Π±ΠΎΡΠ° ΡΠΈΠ»Ρ. Π‘ΠΈΠ»ΠΎΠ²ΡΠ΅ ΠΏΠΎΠ»Ρ Π’ΡΠ΅Π½ΠΈΠ½Π³ ΠΠΎΠ½ΡΡΠΎΠ»Ρ Π Π°Π·Π΄Π΅Π» 8. ΠΠ΅Ρ Π°Π½ΠΈΠΊΠ° ΠΠ°Π³ΡΠ°Π½ΠΆΠ° Π’ΡΠ΅Π½ΠΈΠ½Π³ ΠΠΎΠ½ΡΡΠΎΠ»Ρ Π Π°Π·Π΄Π΅Π» 9. ΠΠ΅Ρ Π°Π½ΠΈΠΊΠ° ΠΠ°ΠΌΠΈΠ»ΡΡΠΎΠ½Π° Π’ΡΠ΅Π½ΠΈΠ½Π³ ΠΠΎΠ½ΡΡΠΎΠ»Ρ Π Π°Π·Π΄Π΅Π» 10. ΠΠ»Π°ΡΡΠΈΡΠ΅ΡΠΊΠΈΠ΅ Π·Π°Π΄Π°ΡΠΈ ΡΠ΅ΠΎΡΠ΅ΡΠΈΡΠ΅ΡΠΊΠΎΠΉ ΠΌΠ΅Ρ Π°Π½ΠΈΠΊΠΈ Π’ΡΠ΅Π½ΠΈΠ½Π³ ΠΠΎΠ½ΡΡΠΎΠ»Ρ ΠΡΠΎΠ³ΠΎΠ²ΠΎΠ΅ ΡΠ΅ΡΡΠΈΡΠΎΠ²Π°Π½ΠΈΠ΅ ΠΠΎΠ½ΡΡΠΎΠ»Ρ -/100 ΠΠ½ΡΠ΅Π³ΡΠ°Π»ΡΠ½Π°Ρ ΠΎΡΠ΅Π½ΠΊΠ°
vsesdal.com
Π Π΄Π°Π½Π½ΠΎΠΌ ΡΠ°Π·Π΄Π΅Π»Π΅ ΠΏΡΠ΅Π΄ΡΡΠ°Π²Π»Π΅Π½Ρ ΡΠ°Π·Π»ΠΈΡΠ½ΡΠ΅ Π·Π°Π΄Π°ΡΠΈ ΠΏΠΎ ΡΠ΅ΠΎΡΠ΅ΡΠΈΡΠ΅ΡΠΊΠΎΠΉ ΠΌΠ΅Ρ Π°Π½ΠΈΠΊΠ΅ (ΡΠ΅ΡΠΌΠ΅Ρ ) Ρ ΠΎΡΠ²Π΅ΡΠ°ΠΌΠΈ. ΠΠ°Π΄Π°ΡΠΈ Π΄Π»Ρ ΡΡΡΠ΄Π΅Π½ΡΠΎΠ² ΠΈ ΡΡΠ°ΡΠΈΡ ΡΡ ΡΠΎΠ±ΡΠ°Π½Ρ ΠΈΠ· ΡΠ°Π·Π»ΠΈΡΠ½ΡΡ Π·Π°Π΄Π°ΡΠ½ΠΈΠΊΠΎΠ² ΠΈ ΡΡΠ΅Π±Π½ΠΈΠΊΠΎΠ², ΠΈ Π΄Π»Ρ ΠΊΠ°ΠΆΠ΄ΠΎΠΉ ΠΈΠ· Π½ΠΈΡ Π΅ΡΡΡ ΠΏΠΎΠ΄ΡΠΎΠ±Π½ΠΎΠ΅ ΡΠ΅ΡΠ΅Π½ΠΈΠ΅, Π° Π΅ΡΠ»ΠΈ ΡΡΠΎ ΡΠΎ Π½Π΅ΡΡΠ½ΠΎ, ΠΌΠΎΠΆΠ½ΠΎ Π·Π°Π΄Π°ΡΡ Π²ΠΎΠΏΡΠΎΡ Π² ΠΊΠΎΠΌΠΌΠ΅Π½ΡΠ°ΡΠΈΡΡ Π‘ΠΏΠΈΡΠΎΠΊ ΡΡΠ΅Π±Π½ΡΡ ΠΌΠ°ΡΠ΅ΡΠΈΠ°Π»ΠΎΠ², Π΄ΠΎΡΡΡΠΏΠ½ΡΡ ΠΎΠ½Π»Π°ΠΉΠ½ Π² Π΄Π°Π½Π½ΠΎΠΉ ΠΊΠ°ΡΠ΅Π³ΠΎΡΠΈΠΈ: 4086. 48.31 ΠΡΡΠ·Ρ M1 ΠΈ M2 ΠΎΠ΄ΠΈΠ½Π°ΠΊΠΎΠ²ΠΎΠΉ ΠΌΠ°ΡΡΡ m Π΄Π²ΠΈΠΆΡΡΡΡ ΠΏΠΎ Π΄Π²ΡΠΌ Π½Π°ΠΊΠ»ΠΎΠ½Π½ΡΠΌ Π½Π°ΠΏΡΠ°Π²Π»ΡΡΡΠΈΠΌ OA ΠΈ OB, ΡΠ°ΡΠΏΠΎΠ»ΠΎΠΆΠ΅Π½Π½ΡΠΌ Π² Π²Π΅ΡΡΠΈΠΊΠ°Π»ΡΠ½ΠΎΠΉ ΠΏΠ»ΠΎΡΠΊΠΎΡΡΠΈ ΠΏΠΎΠ΄ ΡΠ³Π»Π°ΠΌΠΈ Ξ± ΠΈ Ξ² ΠΊ Π³ΠΎΡΠΈΠ·ΠΎΠ½ΡΡ; Π½ΠΈΡΡ, ΡΠΎΠ΅Π΄ΠΈΠ½ΡΡΡΠ°Ρ ΡΡΠΈ Π³ΡΡΠ·Ρ, ΠΈΠ΄Π΅Ρ ΠΎΡ Π³ΡΡΠ·Π° M1 ΡΠ΅ΡΠ΅Π· Π±Π»ΠΎΠΊ O, Π²ΡΠ°ΡΠ°ΡΡΠΈΠΉΡΡ ΠΎΠΊΠΎΠ»ΠΎ Π³ΠΎΡΠΈΠ·ΠΎΠ½ΡΠ°Π»ΡΠ½ΠΎΠΉ ΠΎΡΠΈ, ΠΎΡ
Π²Π°ΡΡΠ²Π°Π΅Ρ ΠΏΠΎΠ΄Π²ΠΈΠΆΠ½ΡΠΉ ΡΠΊΠΈΠ² Q, Π½Π΅ΡΡΡΠΈΠΉ Π³ΡΡΠ· M ΠΌΠ°ΡΡΡ m1, ΠΈ Π·Π°ΡΠ΅ΠΌ ΡΠ΅ΡΠ΅Π· Π±Π»ΠΎΠΊ O1, Π½Π°Π΄Π΅ΡΡΠΉ Π½Π° ΡΡ ΠΆΠ΅ ΠΎΡΡ, ΡΡΠΎ ΠΈ Π±Π»ΠΎΠΊ O, ΠΈΠ΄Π΅Ρ ΠΊ Π³ΡΡΠ·Ρ M2. ΠΠ»ΠΎΠΊΠΈ O1 ΠΈ O ΡΠΎΠΎΡΠ½ΡΠ΅. ΠΠΏΡΠ΅Π΄Π΅Π»ΠΈΡΡ ΡΡΠΊΠΎΡΠ΅Π½ΠΈΠ΅ w Π³ΡΡΠ·Π° M, ΠΏΡΠ΅Π½Π΅Π±ΡΠ΅Π³Π°Ρ ΡΡΠ΅Π½ΠΈΠ΅ΠΌ, Π° ΡΠ°ΠΊΠΆΠ΅ ΠΌΠ°ΡΡΠ°ΠΌΠΈ Π±Π»ΠΎΠΊΠ°, ΡΠΊΠΈΠ²Π° ΠΈ Π½ΠΈΡΠΈ. (ΡΠ΅ΡΠ΅Π½ΠΈΠ΅) 4087. 48.33 ΠΠ°Π½Π° ΡΠΈΡΡΠ΅ΠΌΠ° ΠΈΠ· Π΄Π²ΡΡ
Π±Π»ΠΎΠΊΠΎΠ², Π½Π΅ΠΏΠΎΠ΄Π²ΠΈΠΆΠ½ΠΎΠ³ΠΎ A ΠΈ ΠΏΠΎΠ΄Π²ΠΈΠΆΠ½ΠΎΠ³ΠΎ B, ΠΈ ΡΡΠ΅Ρ
Π³ΡΡΠ·ΠΎΠ² M1, M2 ΠΈ M3, ΠΏΠΎΠ΄Π²Π΅ΡΠ΅Π½Π½ΡΡ
Ρ ΠΏΠΎΠΌΠΎΡΡΡ Π½Π΅ΡΠ°ΡΡΡΠΆΠΈΠΌΡΡ
Π½ΠΈΡΠ΅ΠΉ, ΠΊΠ°ΠΊ ΡΠΊΠ°Π·Π°Π½ΠΎ Π½Π° ΡΠΈΡΡΠ½ΠΊΠ΅. ΠΠ°ΡΡΡ Π³ΡΡΠ·ΠΎΠ² ΡΠΎΠΎΡΠ²Π΅ΡΡΡΠ²Π΅Π½Π½ΠΎ ΡΠ°Π²Π½Ρ m1, m2 ΠΈ m3, ΠΏΡΠΈ ΡΡΠΎΠΌ m1<m2+m3 ΠΈ m2β m3. ΠΠ°ΡΡΠ°ΠΌΠΈ Π±Π»ΠΎΠΊΠΎΠ² ΠΏΡΠ΅Π½Π΅Π±ΡΠ΅ΡΡ. ΠΠ°ΠΉΡΠΈ, ΠΏΡΠΈ ΠΊΠ°ΠΊΠΎΠΌ ΡΠΎΠΎΡΠ½ΠΎΡΠ΅Π½ΠΈΠΈ ΠΌΠ°ΡΡ m1, m2 ΠΈ m3 Π³ΡΡΠ· M1 Π±ΡΠ΄Π΅Ρ ΠΎΠΏΡΡΠΊΠ°ΡΡΡΡ Π² ΡΠΎΠΌ ΡΠ»ΡΡΠ°Π΅, ΠΊΠΎΠ³Π΄Π° Π½Π°ΡΠ°Π»ΡΠ½ΡΠ΅ ΡΠΊΠΎΡΠΎΡΡΠΈ Π³ΡΡΠ·ΠΎΠ² ΡΠ°Π²Π½Ρ Π½ΡΠ»Ρ. (ΡΠ΅ΡΠ΅Π½ΠΈΠ΅) ![]() |
bambookes.ru
Π’Π΅ΡΡ ΠΏΠΎ ΡΠ°Π·Π΄Π΅Π»Ρ Β«Π’ΠΠΠ ΠΠ’ΠΠ§ΠΠ‘ΠΠΠ― ΠΠΠ₯ΠΠΠΠΠΒ»
ΠΠΎΠΈΡΠΊ ΠΠ΅ΠΊΡΠΈΠΉΒ
Π’Π΅ΠΌΠ°1.Β«Π‘ΡΠ°ΡΠΈΠΊΠ°Β»
1. ΠΠ»Π΅ΡΠΎ ΡΠΈΠ»Ρ ΠΏΡΠΈ ΠΎΠΏΡΠ΅Π΄Π΅Π»Π΅Π½ΠΈΠΈ ΠΌΠΎΠΌΠ΅Π½ΡΠ° ΡΠΈΠ»Ρ ΠΎΡΠ½ΠΎΡΠΈΡΠ΅Π»ΡΠ½ΠΎ ΡΠΎΡΠΊΠΈ
1. ΠΠ»ΠΈΠ½Π° Π²Π΅ΠΊΡΠΎΡΠ° ΡΠΈΠ»Ρ
2. ΠΡΠ°ΡΡΠ°ΠΉΡΠ΅Π΅ ΡΠ°ΡΡΡΠΎΡΠ½ΠΈΠ΅ ΠΎΡ ΡΠΎΡΠΊΠΈ, ΠΎΡΠ½ΠΎΡΠΈΡΠ΅Π»ΡΠ½ΠΎ ΠΊΠΎΡΠΎΡΠΎΠΉ ΠΎΠΏΡΠ΅Π΄Π΅Π»ΡΠ΅ΡΡΡ ΠΌΠΎΠΌΠ΅Π½Ρ, Π΄ΠΎ ΡΠΎΡΠΊΠΈ ΠΏΡΠΈΠ»ΠΎΠΆΠ΅Π½ΠΈΡ Π²Π΅ΠΊΡΠΎΡΠ° ΡΠΈΠ»Ρ
3. Π Π°ΡΡΡΠΎΡΠ½ΠΈΠ΅ ΠΎΡ Π½Π°ΡΠ°Π»Π° Π²ΡΠ±ΡΠ°Π½Π½ΠΎΠΉ ΡΠΈΡΡΠ΅ΠΌΡ ΠΊΠΎΠΎΡΠ΄ΠΈΠ½Π°Ρ Π΄ΠΎ ΡΠΎΡΠΊΠΈ ΠΏΡΠΈΠ»ΠΎΠΆΠ΅Π½ΠΈΡ ΡΠΈΠ»Ρ
4. ΠΠ»ΠΈΠ½Π° ΠΏΠ΅ΡΠΏΠ΅Π½Π΄ΠΈΠΊΡΠ»ΡΡΠ°, ΠΎΠΏΡΡΠ΅Π½Π½ΠΎΠ³ΠΎ ΠΈΠ· ΡΠΎΡΠΊΠΈ, ΠΎΡΠ½ΠΎΡΠΈΡΠ΅Π»ΡΠ½ΠΎ ΠΊΠΎΡΠΎΡΠΎΠΉ ΠΎΠΏΡΠ΅Π΄Π΅Π»ΡΠ΅ΡΡΡ ΠΌΠΎΠΌΠ΅Π½Ρ ΡΠΈΠ»Ρ, Π½Π° Π»ΠΈΠ½ΠΈΡ Π΄Π΅ΠΉΡΡΠ²ΠΈΡ ΡΠΈΠ»Ρ
5. Π Π°ΡΡΡΠΎΡΠ½ΠΈΠ΅ ΠΎΡ Π½Π°ΡΠ°Π»Π° Π²ΡΠ±ΡΠ°Π½Π½ΠΎΠΉ ΡΠΈΡΡΠ΅ΠΌΡ ΠΊΠΎΠΎΡΠ΄ΠΈΠ½Π°Ρ Π΄ΠΎ ΡΠΎΡΠΊΠΈ, ΠΎΡΠ½ΠΎΡΠΈΡΠ΅Π»ΡΠ½ΠΎ ΠΊΠΎΡΠΎΡΠΎΠΉ ΠΎΠΏΡΠ΅Π΄Π΅Π»ΡΠ΅ΡΡΡ ΠΌΠΎΠΌΠ΅Π½Ρ ΡΠΈΠ»Ρ
2. ΠΠ°Π½Ρ Π΄Π²Π΅ ΡΠΈΠ»Ρ β ΠΎΠ΄Π½Π° ΡΠ°Π²Π½ΠΎΠ΄Π΅ΠΉΡΡΠ²ΡΡΡΠ°Ρ Π΄Π°Π½Π½ΠΎΠΉ ΡΠΈΡΡΠ΅ΠΌΡ ΡΠΈΠ», Π° Π΄ΡΡΠ³Π°Ρ ΡΡΠ°Π²Π½ΠΎΠ²Π΅ΡΠΈΠ²Π°ΡΡΠ°Ρ ΡΡΠΎΠΉ ΠΆΠ΅ ΡΠΈΡΡΠ΅ΠΌΡ. ΠΠ°ΠΏΡΠ°Π²Π»Π΅Π½ΠΈΠ΅ ΡΡΠΈ ΡΠΈΠ»Ρ ΠΎΡΠ½ΠΎΡΠΈΡΠ΅Π»ΡΠ½ΠΎ Π΄ΡΡΠ³ Π΄ΡΡΠ³Π°
1. ΠΠ½ΠΈ Π½Π°ΠΏΡΠ°Π²Π»Π΅Π½Ρ Π² ΠΎΠ΄Π½Ρ ΡΡΠΎΡΠΎΠ½Ρ
2. ΠΠ½ΠΈ Π½Π°ΠΏΡΠ°Π²Π»Π΅Π½Ρ ΠΏΠΎ ΠΎΠ΄Π½ΠΎΠΉ ΠΏΡΡΠΌΠΎΠΉ Π² ΠΏΡΠΎΡΠΈΠ²ΠΎΠΏΠΎΠ»ΠΎΠΆΠ½ΡΠ΅ ΡΡΠΎΡΠΎΠ½Ρ
3. ΠΡ Π²Π·Π°ΠΈΠΌΠ½ΠΎΠ΅ ΡΠ°ΡΠΏΠΎΠ»ΠΎΠΆΠ΅Π½ΠΈΠ΅ ΠΌΠΎΠΆΠ΅Ρ Π±ΡΡΡ ΠΏΡΠΎΠΈΠ·Π²ΠΎΠ»ΡΠ½ΡΠΌ
3. ΠΠ½Π°ΡΠ΅Π½ΠΈΠ΅ ΡΠ³Π»Π°, ΠΏΡΠΈ ΠΊΠΎΡΠΎΡΠΎΠΌ ΠΌΠ΅ΠΆΠ΄Ρ Π»ΠΈΠ½ΠΈΡΠΌΠΈ Π΄Π΅ΠΉΡΡΠ²ΠΈΡ Π΄Π²ΡΡ ΡΠΈΠ» F1 ΠΈ F2 Π²Π΅Π»ΠΈΡΠΈΠ½Π° ΠΈΡ ΠΎΠΏΡΠ΅Π΄Π΅Π»ΡΠ΅ΡΡΡ ΠΏΠΎ ΡΠΎΡΠΌΡΠ»Π΅
1. 0ΒΊ
2. 90ΒΊ
3. 180ΒΊ
4. ΠΠ½Π°ΡΠ΅Π½ΠΈΠ΅ ΡΠ³Π»Π°, ΠΏΡΠΈ ΠΊΠΎΡΠΎΡΠΎΠΌ ΠΌΠ΅ΠΆΠ΄Ρ Π»ΠΈΠ½ΠΈΡΠΌΠΈ Π΄Π΅ΠΉΡΡΠ²ΠΈΡ Π΄Π²ΡΡ ΡΠΈΠ» F1 ΠΈ F2Π²Π΅Π»ΠΈΡΠΈΠ½Π° ΠΈΡ ΡΠ°Π²Π½ΠΎΠ΄Π΅ΠΉΡΡΠ²ΡΡΡΠ΅ΠΉ ΠΎΠΏΡΠ΅Π΄Π΅Π»ΡΠ΅ΡΡΡ ΠΏΠΎ ΡΠΎΡΠΌΡΠ»Π΅ R= F1 – F2
1. 0ΒΊ
2. 90ΒΊ
3. 180ΒΊ
5. Π Π΅Π°ΠΊΡΠΈΡ ΠΎΠΏΠΎΡΡ ΠΏΡΠΈΠ»ΠΎΠΆΠ΅Π½Π°
1. Π ΡΠ°ΠΌΠΎΠΉ ΠΎΠΏΠΎΡΠ΅
2. Π ΠΎΠΏΠΈΡΠ°ΡΡΠ΅ΠΌΡΡΡ ΡΠ΅Π»Ρ
6. ΠΠ° ΡΠ΅ΡΠΎΡ ΠΎΠ²Π°ΡΡΡ ΠΏΠΎΠ²Π΅ΡΡ Π½ΠΎΡΡΡ ΠΎΠΏΠΈΡΠ°Π΅ΡΡΡ ΡΠ΅Π»ΠΎ. Π Π΅Π°ΠΊΡΠΈΡ ΡΡΠΎΠΉ ΠΏΠΎΠ²Π΅ΡΡ Π½ΠΎΡΡΠΈ Π½Π°ΠΏΡΠ°Π²Π»Π΅Π½Π°
1. ΠΠ΅ΡΠΏΠ΅Π½Π΄ΠΈΠΊΡΠ»ΡΡΠ½ΠΎ ΠΊ ΠΏΠΎΠ²Π΅ΡΡ Π½ΠΎΡΡΠΈ
2. ΠΠ°ΡΠ°Π»Π»Π΅Π»ΡΠ½ΠΎ ΠΏΠΎΠ²Π΅ΡΡ Π½ΠΎΡΡΠΈ
3. ΠΠΎΠ΄ ΡΠ³Π»ΠΎΠΌ ΠΊ ΠΏΠΎΠ²Π΅ΡΡ Π½ΠΎΡΡΠΈ
7.
ΠΠ΅ΠΊΡΠΎΡ ΡΠΈΠ»ΠΎΠ²ΠΎΠ³ΠΎ ΠΌΠ½ΠΎΠ³ΠΎΡΠ³ΠΎΠ»ΡΠ½ΠΈΠΊΠ°, ΠΊΠΎΡΠΎΡΡΠΉ ΡΠ²Π»ΡΠ΅ΡΡΡ ΡΠ°Π²Π½ΠΎΠ΄Π΅ΠΉΡΡΠ²ΡΡΡΠ΅ΠΉ ΡΠΈΠ»ΠΎΠΉΒ
1. ΠΠ
2. ΠΠ
3. ΠΠ‘
4. CD
5. OD
8. ΠΠ½ΠΎΠ³ΠΎΡΠ³ΠΎΠ»ΡΠ½ΠΈΠΊ ΡΠΈΠ», ΡΠΎΠΎΡΠ²Π΅ΡΡΡΠ²ΡΡΡΠΈΠΉ ΡΡΠ°Π²Π½ΠΎΠ²Π΅ΡΠ΅Π½Π½ΠΎΠΉ ΡΠΈΡΡΠ΅ΠΌΠ΅ ΡΡ ΠΎΠ΄ΡΡΠΈΡ ΡΡ ΡΠΈΠ»
1 2 3Β
Β
9. ΠΠ½Π°ΡΠ΅Π½ΠΈΠ΅ ΡΠ³Π»Π° Ξ², ΠΌΠ΅ΠΆΠ΄Ρ ΡΠΈΠ»ΠΎΠΉ ΠΈ ΠΎΡΡΡ ΠΏΡΠΎΠ΅ΠΊΡΠΈΠΈ, ΠΏΡΠΈ ΠΊΠΎΡΠΎΡΠΎΠΌ ΡΠΈΠ»Π° ΡΠ°Π²Π½Π° Π½ΡΠ»Ρ
1. Ξ²=0ΒΊ
2. Ξ²=90ΒΊ
3. Ξ² =180ΒΊ
10. ΠΡΡΠ΅ΠΊΡ Π΄Π΅ΠΉΡΡΠ²ΠΈΡ ΠΏΠ°ΡΡ ΡΠΈΠ» Π½Π° ΡΠ΅Π»ΠΎ β¦
1. Π·Π°Π²ΠΈΡΠΈΡ ΠΎΡ Π΅Π΅ ΠΏΠΎΠ»ΠΎΠΆΠ΅Π½ΠΈΡ Π² ΠΏΠ»ΠΎΡΠΊΠΎΡΡΠΈ.
2. Π½Π΅ Π·Π°Π²ΠΈΡΠΈΡ ΠΎΡ Π΅Π΅ ΠΏΠΎΠ»ΠΎΠΆΠ΅Π½ΠΈΡ Π² ΠΏΠ»ΠΎΡΠΊΠΎΡΡΠΈ
11. Π£ΡΠ°Π²Π½Π΅Π½ΠΈΠ΅, ΠΏΡΠΈ ΠΊΠΎΡΠΎΡΠΎΠΌ ΠΏΠ»ΠΎΡΠΊΠ°Ρ ΡΠΈΡΡΠ΅ΠΌΠ° ΡΡ ΠΎΠ΄ΡΡΠΈΡ ΡΡ ΡΠΈΠ» ΡΡΠ°Π²Π½ΠΎΠ²Π΅ΡΠ΅Π½Π°
1. Rx=0 H; Ry=40 H
2. Rx=30 H; Ry=0 H
3. Rx=0 H; Ry=0 H
12. Π Π°ΡΠΏΠΎΠ»ΠΎΠΆΠ΅Π½ΠΈΠ΅ ΡΠ΅Π½ΡΡΠ° ΡΡΠΆΠ΅ΡΡΠΈ, Π΅ΡΠ»ΠΈ ΡΠ΅Π»ΠΎ ΠΈΠΌΠ΅Π΅Ρ ΠΎΡΡ ΡΠΈΠΌΠΌΠ΅ΡΡΠΈΠΈ.
1. ΠΠ° ΠΎΡΠΈ ΡΠΈΠΌΠΌΠ΅ΡΡΠΈΠΈ
2. ΠΠΎΠ»ΠΎΠΆΠ΅Π½ΠΈΠ΅ ΡΠ΅Π½ΡΡΠ° ΡΡΠΆΠ΅ΡΡΠΈ Π½Π΅Π»ΡΠ·Ρ ΠΎΠΏΡΠ΅Π΄Π΅Π»ΠΈΡΡ
13. ΠΠ°ΡΠ° ΡΠΈΠ» ΠΈΠ·ΠΎΠ±ΡΠ°ΠΆΠ΅Π½Π° Π½Π° ΡΠΈΡΡΠ½ΠΊΠ΅
Β
Β
1 2 3 4
14. ΠΠΎΠ»ΠΈΡΠ΅ΡΡΠ²ΠΎ ΡΡΠ°Π²Π½Π΅Π½ΠΈΠΉ ΡΠ°Π²Π½ΠΎΠ²Π΅ΡΠΈΡ Π΄Π»Ρ ΠΏΠ»ΠΎΡΠΊΠΎΠΉ ΡΠΈΡΡΠ΅ΠΌΡ ΡΡ ΠΎΠ΄ΡΡΠΈΡ ΡΡ ΡΠΈΠ»
1. ΠΠ΄Π½ΠΎ
2. ΠΠ²Π°
3. Π’ΡΠΈ
15. ΠΠΎΠ»ΠΈΡΠ΅ΡΡΠ²ΠΎ ΡΡΠ°Π²Π½Π΅Π½ΠΈΠΉ ΡΠ°Π²Π½ΠΎΠ²Π΅ΡΠΈΡ Π΄Π»Ρ ΠΏΡΠΎΡΡΡΠ°Π½ΡΡΠ²Π΅Π½Π½ΠΎΠΉ ΡΠΈΡΡΠ΅ΠΌΡ ΡΡ ΠΎΠ΄ΡΡΠΈΡ ΡΡ ΡΠΈΠ»
1. ΠΠ²Π°
2. Π’ΡΠΈ
3. Π¨Π΅ΡΡΡ
16. ΠΠΎΠ»ΠΈΡΠ΅ΡΡΠ²ΠΎ ΡΡΠ°Π²Π½Π΅Π½ΠΈΠΉ ΡΠ°Π²Π½ΠΎΠ²Π΅ΡΠΈΡ Π΄Π»Ρ ΠΏΡΠΎΡΡΡΠ°Π½ΡΡΠ²Π΅Π½Π½ΠΎΠΉ ΡΠΈΡΡΠ΅ΠΌΡ ΠΏΡΠΎΠΈΠ·Π²ΠΎΠ»ΡΠ½ΠΎ ΡΠ°ΡΠΏΠΎΠ»ΠΎΠΆΠ΅Π½Π½ΡΡ ΡΠΈΠ»
1. Π’ΡΠΈ
2. ΠΡΡΡ
3. Π¨Π΅ΡΡΡ
17.
ΠΡΡΠ΅Π·ΠΎΠΊ ΠΎΠΏΡΠ΅Π΄Π΅Π»ΡΡΡΠΈΠΉ ΠΏΠ»Π΅ΡΠΎ ΡΠΈΠ»Ρ Π ΠΎΡΠ½ΠΎΡΠΈΡΠ΅Π»ΡΠ½ΠΎ ΡΠΎΡΠΊΠΈ Π
Β
1. ΠΡΡΠ΅Π·ΠΎΠΊ ΠΠ
2. ΠΡΡΠ΅Π·ΠΎΠΊ ΠΠ
3. ΠΡΡΠ΅Π·ΠΎΠΊ ΠΠ
Β
18. Π£ΡΠ°Π²Π½Π΅Π½ΠΈΠ΅ ΠΌΠΎΠΌΠ΅Π½ΡΠ° ΡΠΈΠ»Ρ ΠΎΡΠ½ΠΎΡΠΈΡΠ΅Π»ΡΠ½ΠΎ ΡΠΎΡΠΊΠΈ Π

1. ΠΠ=Π Β·ΠΠ
2. ΠΠ=Π Β·ΠΠ
3. ΠΠ=0
Β
Β
19. Π£ΡΠ°Π²Π½Π΅Π½ΠΈΠ΅ ΠΌΠΎΠΌΠ΅Π½ΡΠ° ΡΠΈΠ»Ρ Q ΠΎΡΠ½ΠΎΡΠΈΡΠ΅Π»ΡΠ½ΠΎ ΠΎΡΠΈ Π₯ 
1. Mx= – QΒ·D/2
2. Mx= QΒ·D
3. Mx= QΒ·D/2
4. Mx= – QΒ·D
20. ΠΠΎΠΌΠ΅Π½Ρ ΡΠΈΠ»Ρ ΠΎΡΠ½ΠΎΡΠΈΡΠ΅Π»ΡΠ½ΠΎ ΠΎΡΠΈ Π½Π΅ ΡΠ°Π²Π΅Π½ Π½ΡΠ»Ρ
1. ΠΠΎΠ³Π΄Π° Π²Π΅ΠΊΡΠΎΡ ΡΠΈΠ»Ρ Π»Π΅ΠΆΠΈΡ Π½Π° ΠΎΡΠΈ
2. ΠΠΎΠ³Π΄Π° Π²Π΅ΠΊΡΠΎΡ ΡΠΈΠ»Ρ ΠΏΠ°ΡΠ°Π»Π»Π΅Π»Π΅Π½ ΠΎΡΠΈ
3. ΠΠΎΠ³Π΄Π° Π»ΠΈΠ½ΠΈΡ Π΄Π΅ΠΉΡΡΠ²ΠΈΡ Π²Π΅ΠΊΡΠΎΡΠ° ΡΠΈΠ»Ρ ΠΈ ΠΎΡΡ ΠΎΠ±ΡΠ°Π·ΡΡΡ ΡΠΊΡΠ΅ΡΠΈΠ²Π°ΡΡΠΈΠ΅ΡΡ ΠΏΡΡΠΌΡΠ΅
4. ΠΠΎΠ³Π΄Π° Π»ΠΈΠ½ΠΈΡ Π΄Π΅ΠΉΡΡΠ²ΠΈΡ ΡΠΈΠ»Ρ ΠΏΠ΅ΡΠ΅ΡΠ΅ΠΊΠ°Π΅Ρ ΠΎΡΡ
5. ΠΠΎΠ³Π΄Π° ΠΏΠ»Π΅ΡΠΎ ΡΠΈΠ»Ρ ΡΠ°Π²Π½ΠΎ Π½ΡΠ»Ρ
21. ΠΠ΄ΠΈΠ½ΠΈΡΠ° ΠΈΠ·ΠΌΠ΅ΡΠ΅Π½ΠΈΡ ΠΌΠΎΠΌΠ΅Π½ΡΠ° ΡΠΈΠ»Ρ ΠΎΡΠ½ΠΎΡΠΈΡΠ΅Π»ΡΠ½ΠΎ ΡΠ΅Π½ΡΡΠ° (ΡΠΎΡΠΊΠΈ)
1. ΠΌ
2. ΠΠ΅Π»ΠΈΡΠΈΠ½Π° Π±Π΅Π·ΡΠ°Π·ΠΌΠ΅ΡΠ½Π°Ρ
3. Π /ΠΌ
4. ΠΌ2
5. Π Β· ΠΌ
22. ΠΠ»Π΅ΡΠΎΠΌ ΡΠΈΠ»Ρ ΠΏΡΠΈ ΠΎΠΏΡΠ΅Π΄Π΅Π»Π΅Π½ΠΈΠΈ ΠΌΠΎΠΌΠ΅Π½ΡΠ° ΡΠΈΠ»Ρ ΠΎΡΠ½ΠΎΡΠΈΡΠ΅Π»ΡΠ½ΠΎ ΡΠΎΡΠΊΠΈ ΡΠ²Π»ΡΠ΅ΡΡΡ
1. ΠΠ»ΠΈΠ½Π° Π²Π΅ΠΊΡΠΎΡΠ° ΡΠΈΠ»Ρ
2. ΠΡΠ°ΡΡΠ°ΠΉΡΠ΅Π΅ ΡΠ°ΡΡΡΠΎΡΠ½ΠΈΠ΅ ΠΎΡ ΡΠΎΡΠΊΠΈ, ΠΎΡΠ½ΠΎΡΠΈΡΠ΅Π»ΡΠ½ΠΎ ΠΊΠΎΡΠΎΡΠΎΠΉ ΠΎΠΏΡΠ΅Π΄Π΅Π»ΡΠ΅ΡΡΡ ΠΌΠΎΠΌΠ΅Π½Ρ, Π΄ΠΎ ΡΠΎΡΠΊΠΈ ΠΏΡΠΈΠ»ΠΎΠΆΠ΅Π½ΠΈΡ Π²Π΅ΠΊΡΠΎΡΠ° ΡΠΈΠ»Ρ
3. Π Π°ΡΡΡΠΎΡΠ½ΠΈΠ΅ ΠΎΡ Π½Π°ΡΠ°Π»Π° Π²ΡΠ±ΡΠ°Π½Π½ΠΎΠΉ ΡΠΈΡΡΠ΅ΠΌΡ ΠΊΠΎΠΎΡΠ΄ΠΈΠ½Π°Ρ Π΄ΠΎ ΡΠΎΡΠΊΠΈ ΠΏΡΠΈΠ»ΠΎΠΆΠ΅Π½ΠΈΡ ΡΠΈΠ»Ρ
4. ΠΠ»ΠΈΠ½Π° ΠΏΠ΅ΡΠΏΠ΅Π½Π΄ΠΈΠΊΡΠ»ΡΡΠ°, ΠΎΠΏΡΡΠ΅Π½Π½ΠΎΠ³ΠΎ ΠΈΠ· ΡΠΎΡΠΊΠΈ, ΠΎΡΠ½ΠΎΡΠΈΡΠ΅Π»ΡΠ½ΠΎ ΠΊΠΎΡΠΎΡΠΎΠΉ ΠΎΠΏΡΠ΅Π΄Π΅Π»ΡΠ΅ΡΡΡ ΠΌΠΎΠΌΠ΅Π½Ρ ΡΠΈΠ»Ρ, Π½Π° Π»ΠΈΠ½ΠΈΡ Π΄Π΅ΠΉΡΡΠ²ΠΈΡ ΡΠΈΠ»Ρ
5. Π Π°ΡΡΡΠΎΡΠ½ΠΈΠ΅ ΠΎΡ Π½Π°ΡΠ°Π»Π° Π²ΡΠ±ΡΠ°Π½Π½ΠΎΠΉ ΡΠΈΡΡΠ΅ΠΌΡ ΠΊΠΎΠΎΡΠ΄ΠΈΠ½Π°Ρ Π΄ΠΎ ΡΠΎΡΠΊΠΈ, ΠΎΡΠ½ΠΎΡΠΈΡΠ΅Π»ΡΠ½ΠΎ ΠΊΠΎΡΠΎΡΠΎΠΉ ΠΎΠΏΡΠ΅Π΄Π΅Π»ΡΠ΅ΡΡΡ ΠΌΠΎΠΌΠ΅Π½Ρ ΡΠΈΠ»Ρ
23. ΠΠ΄ΠΈΠ½ΠΈΡΠ°ΠΈΠ·ΠΌΠ΅ΡΠ΅Π½ΠΈΡ Π²Π΅Π»ΠΈΡΠΈΠ½Ρ ΠΈΠ½ΡΠ΅Π½ΡΠΈΠ²Π½ΠΎΡΡΠ΅ΠΉ Π½Π°Π³ΡΡΠ·ΠΎΠΊ, ΡΠ°ΡΠΏΡΠ΅Π΄Π΅Π»Π΅Π½Π½ΡΡ ΡΠ°Π²Π½ΠΎΠΌΠ΅ΡΠ½ΠΎ ΠΈΠ»ΠΈ ΠΏΠΎ Π»ΠΈΠ½Π΅ΠΉΠ½ΠΎΠΌΡ Π·Π°ΠΊΠΎΠ½Ρ
1. ΠΌ
2. ΠΠ΅Π»ΠΈΡΠΈΠ½Π° Π±Π΅Π·ΡΠ°Π·ΠΌΠ΅ΡΠ½Π°Ρ
3. Π /ΠΌ
4. ΠΌ2
5. Π Β· ΠΌ
24. ΠΠΎΠ»ΠΈΡΠ΅ΡΡΠ²ΠΎ ΠΏΠ°ΡΠ°ΠΌΠ΅ΡΡΠΎΠ² Ρ Π°ΡΠ°ΠΊΡΠ΅ΡΠΈΠ·ΡΡΡΠΈΡ Π²Π΅ΠΊΡΠΎΡΠ½ΡΡ Π²Π΅Π»ΠΈΡΠΈΠ½Ρ ΡΠΈΠ»Ρ
1. ΠΠ΄ΠΈΠ½
2. ΠΠ²Π°
3. Π’ΡΠΈ
4. ΠΡΡΡ
5. Π¨Π΅ΡΡΡ
25. ΠΠ° ΡΠ΅ΡΠΎΡ ΠΎΠ²Π°ΡΡΡ ΠΏΠΎΠ²Π΅ΡΡ Π½ΠΎΡΡΡ ΠΎΠΏΠΈΡΠ°Π΅ΡΡΡ ΡΠ΅Π»ΠΎ. Π Π΅Π°ΠΊΡΠΈΡ ΡΡΠΎΠΉ ΠΏΠΎΠ²Π΅ΡΡ Π½ΠΎΡΡΠΈ Π½Π°ΠΏΡΠ°Π²Π»Π΅Π½Π°
1. ΠΠ΅ΡΠΏΠ΅Π½Π΄ΠΈΠΊΡΠ»ΡΡΠ½ΠΎ ΠΊ ΠΏΠΎΠ²Π΅ΡΡ Π½ΠΎΡΡΠΈ
2. ΠΠ°ΡΠ°Π»Π»Π΅Π»ΡΠ½ΠΎ ΠΏΠΎΠ²Π΅ΡΡ Π½ΠΎΡΡΠΈ
3. ΠΠΎΠ΄ ΡΠ³Π»ΠΎΠΌ ΠΊ ΠΏΠΎΠ²Π΅ΡΡ Π½ΠΎΡΡΠΈ
4. ΠΠΎΠΆΠ΅Ρ Π±ΡΡΡ Π½Π°ΠΏΡΠ°Π²Π»Π΅Π½Π° ΠΊΠ°ΠΊ ΡΠ³ΠΎΠ΄Π½ΠΎ
26. ΠΠ΅ΠΊΡΠΎΡ ΡΠΈΠ»ΠΎΠ²ΠΎΠ³ΠΎ ΠΌΠ½ΠΎΠ³ΠΎΡΠ³ΠΎΠ»ΡΠ½ΠΈΠΊΠ°,ΠΊΠΎΡΠΎΡΡΠΉ ΡΠ²Π»ΡΠ΅ΡΡΡ ΡΠ°Π²Π½ΠΎΠ΄Π΅ΠΉΡΡΠ²ΡΡΡΠ΅ΠΉ ΡΠΈΠ»ΠΎΠΉ
1. F3
2. F4
3. F5
4. ΠΠ°Π½Π½Π°Ρ ΡΠΈΠ»Π° Π½Π΅ ΡΠΊΠ°Π·Π°Π½Π°
Β
27. ΠΠ΅ΠΉΡΡΠ²ΠΈΠ΅ ΡΠΈΠ»Ρ Π½Π° ΡΠ΅Π»ΠΎ Π½Π΅ ΠΎΠΏΡΠ΅Π΄Π΅Π»ΡΠ΅ΡΡΡ
1. Π§ΠΈΡΠ»ΠΎΠ²ΡΠΌ Π·Π½Π°ΡΠ΅Π½ΠΈΠ΅ΠΌ (ΠΌΠΎΠ΄ΡΠ»Π΅ΠΌ)
2. ΠΠ°ΠΏΡΠ°Π²Π»Π΅Π½ΠΈΠ΅ΠΌ
3. Π’ΠΎΡΠΊΠΎΠΉ ΠΏΡΠΈΠ»ΠΎΠΆΠ΅Π½ΠΈΡ
4. ΠΠ΅ΠΎΠΌΠ΅ΡΡΠΈΡΠ΅ΡΠΊΠΈΠΌ ΡΠ°Π·ΠΌΠ΅ΡΠΎΠΌ
28. ΠΠ°Π΄Π°Π½Π½ΡΠ΅ ΡΠΈΡΡΠ΅ΠΌΡ ΡΠΈΠ»Ρ ΠΎΠ±ΡΠ°Π·ΡΡΡ ΠΏΠ°ΡΡ ΡΠΈΠ»
1. F1F4 ΠΈ F5F6
2. F2F3 ΠΈ F4F5
3. F1F4 ΠΈ F2F3
4. F2F3 ΠΈ F5F6
Β
Β
29. ΠΡΠΈ ΠΎΠΏΡΠ΅Π΄Π΅Π»Π΅Π½ΠΈΠΈ ΡΠ΅Π½ΡΡΠ° ΡΡΠΆΠ΅ΡΡΠΈ ΠΏΠ»ΠΎΡΠΊΠΎΠΉ ΡΠΈΠ³ΡΡΡ ΡΡΡ ΡΠΈΠ³ΡΡΡ Π½Π΅Π»ΡΠ·Ρ ΡΠ°Π·Π±ΠΈΡΡ Π½Π° Π΄Π²Π΅ ΡΠ°ΡΡΠΈ Ρ ΠΈΠ·Π²Π΅ΡΡΠ½ΡΠΌΠΈ ΠΏΠΎΠ»ΠΎΠΆΠ΅Π½ΠΈΡΠΌΠΈ ΡΠ΅Π½ΡΡΠ° ΡΡΠΆΠ΅ΡΡΠΈ
1. 1
2. 2
3. 3
4. 4
Β
Β
30. ΠΠ΄ΠΈΠ½ΠΈΡΡ ΠΈΠ·ΠΌΠ΅ΡΠ΅Π½ΠΈΡ ΡΠΈΠ»Ρ Π² ΡΠΈΡΡΠ΅ΠΌΠ΅ Π‘Π
1. ΠΠ°ΡΠΊΠ°Π»Ρ
2. ΠΡΡΡΠΎΠ½
3. ΠΠ΅ΡΡ
31. ΠΠ°ΡΠΎΠΉ ΡΠΈΠ» Π½Π°Π·ΡΠ²Π°Π΅ΡΡΡ
1. ΠΠ²Π΅ ΡΠΈΠ»Ρ, ΠΊΠΎΡΠΎΡΡΠ΅ ΡΡ ΠΎΠ΄ΡΡΡΡ Π² ΠΎΠ΄Π½ΠΎΠΉ ΡΠΎΡΠΊΠ΅
2. ΠΡΠ±ΡΠ΅ Π΄Π²Π΅ ΡΠΈΠ»Ρ, Π»Π΅ΠΆΠ°ΡΠΈΡ Π½Π° ΠΏΠ°ΡΠ°Π»Π»Π΅Π»ΡΠ½ΡΡ ΠΏΡΡΠΌΡΡ
3. ΠΠ²Π΅ ΡΠΈΠ»Ρ, Π»Π΅ΠΆΠ°ΡΠΈΠ΅ Π½Π° ΠΎΠ΄Π½ΠΎΠΉ ΠΏΡΡΠΌΠΎΠΉ, ΡΠ°Π²Π½ΡΠ΅ ΠΌΠ΅ΠΆΠ΄Ρ ΡΠΎΠ±ΠΎΠΉ, Π½ΠΎ ΠΏΡΠΎΡΠΈΠ²ΠΎΠΏΠΎΠ»ΠΎΠΆΠ½ΡΠ΅ ΠΏΠΎ Π½Π°ΠΏΡΠ°Π²Π»Π΅Π½ΠΈΡ
4. ΠΠ²Π΅ ΡΠΈΠ»Ρ, Π»Π΅ΠΆΠ°ΡΠΈΠ΅ Π½Π° ΠΏΠ°ΡΠ°Π»Π»Π΅Π»ΡΠ½ΡΡ ΠΏΡΡΠΌΡΡ , ΡΠ°Π²Π½ΡΠ΅ ΠΏΠΎ ΠΌΠΎΠ΄ΡΠ»Ρ, Π½ΠΎ ΠΏΡΠΎΡΠΈΠ²ΠΎΠΏΠΎΠ»ΠΎΠΆΠ½ΡΠ΅ ΠΏΠΎ Π½Π°ΠΏΡΠ°Π²Π»Π΅Π½ΠΈΡ
32. ΠΡΠΎΠ΅ΠΊΡΠΈΡ ΡΠΈΠ»Ρ Π½Π° ΠΎΡΡ Π₯ ΡΠ°Π²Π½Π°
1. FX= FcosΞ±
2. FX= FsinΞ±
3. FX= – FcosΞ±
4. FX= – FsinΞ±
5.
33. ΠΠ°Π΄Π°Π½Π½ΡΠ΅ ΡΠΈΡΡΠ΅ΠΌΡ ΡΠΈΠ»Ρ ΠΎΠ±ΡΠ°Π·ΡΡΡ ΠΏΠ°ΡΡ ΡΠΈΠ»
1. F6F4 ΠΈ F8F2
2. F6F8 ΠΈ F4F2
3. F5F8 ΠΈ F1F3
4. F8F4 ΠΈ F5F8
Β
Β
34.
Π£ΡΠ°Π²Π½Π΅Π½ΠΈΠ΅ ΡΠ°Π²Π½ΠΎΠ²Π΅ΡΠΈΡ, ΠΊΠΎΡΠΎΡΡΡ Π½ΡΠΆΠ½ΠΎ ΠΈΡΠΏΠΎΠ»ΡΠ·ΠΎΠ²Π°ΡΡ, ΡΡΠΎΠ±Ρ
Π½Π°ΠΉΡΠΈ XA
1. Ξ£FΞ§=0
2. Ξ£FY=0
3. Ξ£MΞ§=0
4. Ξ£MY=0
Β
Β
35. Π ΠΎΠ΄Π½ΠΎΠΌ ΠΈΠ· ΡΠΈΡΡΠ½ΠΊΠΎΠ² Π΄Π»Ρ ΠΎΠΏΡΠ΅Π΄Π΅Π»Π΅Π½ΠΈΡ ΠΏΠΎΠ»ΠΎΠΆΠ΅Π½ΠΈΡ ΡΠ΅Π½ΡΡΠ° ΡΡΠΆΠ΅ΡΡΠΈ Π½Π΅ΠΎΠ±Ρ ΠΎΠ΄ΠΈΠΌΠΎ ΠΎΠΏΡΠ΅Π΄Π΅Π»ΠΈΡΡ Π΄Π²Π΅ ΠΊΠΎΠΎΡΠ΄ΠΈΠ½Π°ΡΡ ΡΠ°ΡΡΠ΅ΡΠ½ΡΠΌ ΠΏΡΡΠ΅ΠΌ
1. 1
2. 2
3. 3
4. 4
36. Π‘ΡΠ°ΡΠΈΠΊΠ° ΠΈΠ·ΡΡΠ°Π΅Ρ
1. ΠΠ²ΠΈΠΆΠ΅Π½ΠΈΠ΅ ΡΠ΅Π»Π° ΠΏΠΎΠ΄ Π΄Π΅ΠΉΡΡΠ²ΠΈΠ΅ΠΌ ΠΏΡΠΈΠ»ΠΎΠΆΠ΅Π½Π½ΡΡ ΠΊ Π½Π΅ΠΌΡ ΡΠΈΠ»
2. Π£ΡΠ»ΠΎΠ²ΠΈΡ ΡΠ°Π²Π½ΠΎΠ²Π΅ΡΠΈΡ ΡΠ΅Π»
3. ΠΠ²ΠΈΠΆΠ΅Π½ΠΈΠ΅ ΡΠ΅Π»Π° Π±Π΅Π· ΡΡΠ΅ΡΠ° Π΄Π΅ΠΉΡΡΠ²ΡΡΡΠΈΡ Π½Π° Π½Π΅Π³ΠΎ ΡΠΈΠ»
4. Π‘ΠΏΠΎΡΠΎΠ±Ρ Π²Π·Π°ΠΈΠΌΠΎΠ΄Π΅ΠΉΡΡΠ²ΠΈΡ ΡΠ΅Π» ΠΌΠ΅ΠΆΠ΄Ρ ΡΠΎΠ±ΠΎΠΉ
37. ΠΠ°ΠΈΠ±ΠΎΠ»Π΅Π΅ ΠΏΠΎΠ΄Ρ ΠΎΠ΄ΡΡΠ°Ρ ΡΠΈΡΡΠ΅ΠΌΠ° ΡΡΠ°Π²Π½Π΅Π½ΠΈΠΉ ΡΠ°Π²Π½ΠΎΠ²Π΅ΡΠΈΡ Π΄Π»Ρ ΠΎΠΏΡΠ΅Π΄Π΅Π»Π΅Π½ΠΈΡ ΡΠ΅Π°ΠΊΡΠΈΠΉ Π² ΠΎΠΏΠΎΡΠ°Ρ ΠΈΠ·ΠΎΠ±ΡΠ°ΠΆΠ΅Π½Π½ΠΎΠΉ Π±Π°Π»ΠΊΠΈ
1. Ξ£FΞ§=0; Ξ£FY=0; Ξ£MB=0;
2. Ξ£FΞ§=0; Ξ£FY=0; Ξ£MA=0;
3. Ξ£FΞ§=0; Ξ£MA=0; Ξ£MB=0;
4. Ξ£FY=0; Ξ£MA=0; Ξ£MC=0.
38. ΠΠΎΡΠ»Π΅ ΠΏΡΠΈΠ²Π΅Π΄Π΅Π½ΠΈΡ ΠΊ Π½Π΅ΠΊΠΎΡΠΎΡΠΎΠΌΡ ΡΠ΅Π½ΡΡΡ ΡΠΈΡΡΠ΅ΠΌΡ ΡΠΈΠ», Π΄Π΅ΠΉΡΡΠ²ΡΡΡΠΈΡ Π½Π° Π½Π΅Π³ΠΎ, Π³Π»Π°Π²Π½ΡΠΉ Π²Π΅ΠΊΡΠΎΡ ΠΈ Π³Π»Π°Π²Π½ΡΠΉ ΠΌΠΎΠΌΠ΅Π½Ρ ΠΎΠΊΠ°Π·Π°Π»ΠΈΡΡ ΡΠ°Π²Π½ΡΠΌΠΈ Π½ΡΠ»Ρ. Π’Π΅Π»ΠΎ Π΄Π²ΠΈΠΆΠ΅ΡΡΡ
1. ΠΡΡΠΌΠΎΠ»ΠΈΠ½Π΅ΠΉΠ½ΠΎ
2. ΠΡΠ°ΡΠ°Π΅ΡΡΡ
3. Π£ΡΠ°ΡΡΠ²ΡΠ΅Ρ Π² ΡΠ»ΠΎΠΆΠ½ΠΎΠΌ Π΄Π²ΠΈΠΆΠ΅Π½ΠΈΠΈ
4. ΠΠ°Ρ ΠΎΠ΄ΠΈΡΡΡ Π² ΡΠ°Π²Π½ΠΎΠ²Π΅ΡΠΈΠΈ
39. Π Π΅Π°ΠΊΡΠΈΡ ΡΠ°ΡΠ½ΠΈΡΠ½ΠΎ-Π½Π΅ΠΏΠΎΠ΄Π²ΠΈΠΆΠ½ΠΎΠΉ ΠΎΠΏΠΎΡΡ Π±Π΅Π· ΡΡΠ΅Π½ΠΈΡ ΠΏΡΠΎΡ ΠΎΠ΄ΠΈΡ
1. ΠΠΎ ΠΊΠ°ΡΠ°ΡΠ΅Π»ΡΠ½ΠΎΠΉ ΠΊ ΡΠ°ΡΠ½ΠΈΡΡ
2. Π§Π΅ΡΠ΅Π· ΡΠ΅Π½ΡΡ ΡΠ°ΡΠ½ΠΈΡΠ°
3. ΠΠ½Π΅ ΡΠ°ΡΠ½ΠΈΡΠ°
4. Π§Π΅ΡΠ΅Π· Ρ ΠΎΡΠ΄Ρ ΡΠ°ΡΠ½ΠΈΡΠ°
Π’Π΅ΠΌΠ° 2. Β«ΠΠΈΠ½Π΅ΠΌΠ°ΡΠΈΠΊΠ°Β»
40. Π’ΠΎΡΠΊΠ° Π΄Π²ΠΈΠΆΠ΅ΡΡΡ ΡΠΎΠ³Π»Π°ΡΠ½ΠΎ ΡΡΠ°Π²Π½Π΅Π½ΠΈΡ S = 2 + 0,1t3. ΠΠΏΡΠ΅Π΄Π΅Π»ΠΈΡΡ Π²ΠΈΠ΄ Π΄Π²ΠΈΠΆΠ΅Π½ΠΈΡ ΡΠΎΡΠΊΠΈ
1. Π Π°Π²Π½ΠΎΠΌΠ΅ΡΠ½ΠΎΠ΅
2. Π Π°Π²Π½ΠΎΡΡΠΊΠΎΡΠ΅Π½Π½ΠΎΠ΅
3. Π Π°Π²Π½ΠΎΠ·Π°ΠΌΠ΅Π΄Π»Π΅Π½Π½ΠΎΠ΅
4. ΠΠ΅ΡΠ°Π²Π½ΠΎΠΌΠ΅ΡΠ½ΠΎΠ΅
41. Π’ΠΎΡΠΊΠ° Π΄Π²ΠΈΠΆΠ΅ΡΡΡ ΡΠΎΠ³Π»Π°ΡΠ½ΠΎ ΡΡΠ°Π²Π½Π΅Π½ΠΈΡ S = 2 + 0,6t. ΠΠΏΡΠ΅Π΄Π΅Π»ΠΈΡΡ Π²ΠΈΠ΄ Π΄Π²ΠΈΠΆΠ΅Π½ΠΈΡ
ΡΠΎΡΠΊΠΈ
1. Π Π°Π²Π½ΠΎΠΌΠ΅ΡΠ½ΠΎΠ΅
2. Π Π°Π²Π½ΠΎΡΡΠΊΠΎΡΠ΅Π½Π½ΠΎΠ΅
3. Π Π°Π²Π½ΠΎΠ·Π°ΠΌΠ΅Π΄Π»Π΅Π½Π½ΠΎΠ΅
4. ΠΠ΅ΡΠ°Π²Π½ΠΎΠΌΠ΅ΡΠ½ΠΎΠ΅
42. ΠΠΎ Π³ΡΠ°ΡΠΈΠΊΡ ΡΠΊΠΎΡΠΎΡΡΠ΅ΠΉ ΠΎΠΏΡΠ΅Π΄Π΅Π»ΠΈΡΡ Π²ΠΈΠ΄ Π΄Π²ΠΈΠΆΠ΅Π½ΠΈΡ Π½Π° ΡΡΠ°ΡΡΠΊΠ΅ 3
Β
1. Π Π°Π²Π½ΠΎΠΌΠ΅ΡΠ½ΠΎΠ΅
2. Π Π°Π²Π½ΠΎΡΡΠΊΠΎΡΠ΅Π½Π½ΠΎΠ΅
3. Π Π°Π²Π½ΠΎΠ·Π°ΠΌΠ΅Π΄Π»Π΅Π½Π½ΠΎΠ΅
4. ΠΠ΅ΡΠ°Π²Π½ΠΎΠΌΠ΅ΡΠ½ΠΎΠ΅
43. ΠΡΠΈ ΡΠΊΠ°Π·Π°Π½Π½ΡΡ ΠΊΠΈΠ½Π΅ΠΌΠ°ΡΠΈΡΠ΅ΡΠΊΠΈΡ ΠΏΠ°ΡΠ°ΠΌΠ΅ΡΡΠΎΠ² ΡΠΎΡΠΊΠ° Π΄Π²ΠΈΠΆΠ΅ΡΡΡ ΡΠ°Π²Π½ΠΎΠΌΠ΅ΡΠ½ΠΎ
1. V β const
2. aΟ = const
3. aΟ = 0
4. aΟ> 0
5. an = 0
44. ΠΠ·ΠΌΠ΅Π½Π΅Π½ΠΈΠ΅ Π΄Π°Π½Π½ΠΎΠ³ΠΎ ΠΏΠ°ΡΠ°ΠΌΠ΅ΡΡΠ° ΠΏΠΎ Π²ΡΠ΅ΠΌΠ΅Π½ΠΈ Ρ Π°ΡΠ°ΠΊΡΠ΅ΡΠΈΠ·ΡΠ΅Ρ ΡΠ³Π»ΠΎΠ²ΠΎΠ΅ ΡΡΠΊΠΎΡΠ΅Π½ΠΈΠ΅
1. Π£Π³Π»ΠΎΠ²Π°Ρ ΡΠΊΠΎΡΠΎΡΡΡ
2. Π£Π³ΠΎΠ» ΠΏΠΎΠ²ΠΎΡΠΎΡΠ°
3. ΠΠ»ΠΈΠ½Π° Π΄ΡΠ³ΠΈ
4. ΠΠΊΡΡΠΆΠ½Π°Ρ ΡΠΊΠΎΡΠΎΡΡΡ ΡΠΎΡΠΊΠΈ
5. Π£ΡΠΊΠΎΡΠ΅Π½ΠΈΠ΅ ΡΠΎΡΠΊΠΈ
45. Π₯Π°ΡΠ°ΠΊΡΠ΅ΡΠΈΡΡΠΈΠΊΠΎΠΉ Π±ΡΡΡΡΠΎΡΡ ΠΈ Π½Π°ΠΏΡΠ°Π²Π»Π΅Π½ΠΈΡ Π΄Π²ΠΈΠΆΠ΅Π½ΠΈΡ ΡΠΎΡΠΊΠΈ ΡΠ²Π»ΡΠ΅ΡΡΡ
1. Π‘ΠΊΠΎΡΠΎΡΡΡ
2. Π£ΡΠΊΠΎΡΠ΅Π½ΠΈΠ΅
3. ΠΠ΅ΡΠ΅ΠΌΠ΅ΡΠ΅Π½ΠΈΠ΅
4. ΠΡΠ°ΡΠ΅Π½ΠΈΠ΅
46. Π‘ΠΎΡΡΠ°Π²Π»ΡΡΡΠ°Ρ ΡΡΠΊΠΎΡΠ΅Π½ΠΈΡ ΡΠΎΡΠΊΠΈ, Ρ Π°ΡΠ°ΠΊΡΠ΅ΡΠΈΠ·ΡΡΡΠ°Ρ ΠΈΠ·ΠΌΠ΅Π½Π΅Π½ΠΈΠ΅ Π²Π΅Π»ΠΈΡΠΈΠ½Ρ ΡΠΊΠΎΡΠΎΡΡΠΈ
1. ΠΠΎΡΠΌΠ°Π»ΡΠ½ΠΎΠ΅ ΡΡΠΊΠΎΡΠ΅Π½ΠΈΠ΅
2. ΠΠ°ΡΠ°ΡΠ΅Π»ΡΠ½ΠΎΠ΅ ΡΡΠΊΠΎΡΠ΅Π½ΠΈΠ΅
47. ΠΠ΅ΠΎΠΌΠ΅ΡΡΠΈΡΠ΅ΡΠΊΠ°Ρ ΡΠΎΡΠΊΠ°, ΠΊΠΎΡΠΎΡΠ°Ρ ΡΠ²Π»ΡΠ΅ΡΡΡ ΠΌΠ³Π½ΠΎΠ²Π΅Π½Π½ΡΠΌ ΡΠ΅Π½ΡΡΠΎΠΌ ΡΡΠΊΠΎΡΠ΅Π½ΠΈΠΉ ΠΏΠ»ΠΎΡΠΊΠΎΠΉ ΡΠΈΠ³ΡΡΡ
1. ΠΠ΅ΠΎΠΌΠ΅ΡΡΠΈΡΠ΅ΡΠΊΠ°Ρ ΡΠΎΡΠΊΠ° ΠΏΠ»ΠΎΡΠΊΠΎΠΉ ΡΠΈΠ³ΡΡΡ, ΡΠΊΠΎΡΠΎΡΡΡ ΠΊΠΎΡΠΎΡΠΎΠΉ ΡΠ°Π²Π½Π° Π½ΡΠ»Ρ
2. ΠΠ΅ΠΎΠΌΠ΅ΡΡΠΈΡΠ΅ΡΠΊΠΈΠΉ ΡΠ΅Π½ΡΡ ΠΏΠ»ΠΎΡΠΊΠΎΠΉ ΡΠΈΠ³ΡΡΡ
3. Π¦Π΅Π½ΡΡ ΡΡΠΆΠ΅ΡΡΠΈ ΠΏΠ»ΠΎΡΠΊΠΎΠΉ ΡΠΈΠ³ΡΡΡ
4. Π¦Π΅Π½ΡΡ ΠΌΠ°ΡΡ ΠΏΠ»ΠΎΡΠΊΠΎΠΉ ΡΠΈΠ³ΡΡΡ
5. Π’ΠΎΡΠΊΠ°, ΠΎΡΠ½ΠΎΡΠΈΡΠ΅Π»ΡΠ½ΠΎ ΠΊΠΎΡΠΎΡΠΎΠΉ ΠΎΠΏΡΠ΅Π΄Π΅Π»ΡΠ΅ΡΡΡ ΡΡΠΌΠΌΠ° ΠΌΠΎΠΌΠ΅Π½ΡΠΎΠ² ΡΠΈΠ»
48. ΠΠΎΡΠ»Π΅ ΠΏΡΠΈΠ²Π΅Π΄Π΅Π½ΠΈΡ ΡΠΈΡΡΠ΅ΠΌΡ ΡΠΈΠ» ΠΊ Π½Π΅ΠΊΠΎΡΠΎΡΠΎΠΌΡ ΡΠ΅Π½ΡΡΡ, Π΄Π΅ΠΉΡΡΠ²ΡΡΡΠΈΡ Π½Π° Π½Π΅Π³ΠΎ, Π³Π»Π°Π²Π½ΡΠΉ Π²Π΅ΠΊΡΠΎΡ ΡΠ°Π²Π΅Π½ Π½ΡΠ»Ρ, Π° Π³Π»Π°Π²Π½ΡΠΉ ΠΌΠΎΠΌΠ΅Π½Ρ Π½Π΅ ΡΠ°Π²Π½ΡΠΉ Π½ΡΠ»Ρ. Π’Π΅Π»ΠΎ Π΄Π²ΠΈΠΆΠ΅ΡΡΡ
1. ΠΡΡΠΌΠΎΠ»ΠΈΠ½Π΅ΠΉΠ½ΠΎ
2. ΠΡΠ°ΡΠ°Π΅ΡΡΡ
3. Π£ΡΠ°ΡΡΠ²ΡΠ΅Ρ Π² ΡΠ»ΠΎΠΆΠ½ΠΎΠΌ Π΄Π²ΠΈΠΆΠ΅Π½ΠΈΠΈ
4. ΠΠ°Ρ ΠΎΠ΄ΠΈΡΡΡ Π² ΡΠ°Π²Π½ΠΎΠ²Π΅ΡΠΈΠΈ
49. Π£ΡΠ°Π²Π½Π΅Π½ΠΈΠ΅, ΠΊΠΎΡΠΎΡΠΎΠ΅ ΠΎΠΏΠΈΡΡΠ²Π°Π΅Ρ Π²Π΅ΠΊΡΠΎΡΠ½ΡΠΉ ΡΠΏΠΎΡΠΎΠ± Π·Π°Π΄Π°Π½ΠΈΡ Π΄Π²ΠΈΠΆΠ΅Π½ΠΈΡ ΡΠΎΡΠΊΠΈ
1. y = f (x)
2. r = f (t)
3. Ο = f (t)
4. mVt β mV0 = S
5. F = ma
50. ΠΠ°ΡΠ°ΠΌΠ΅ΡΡ, ΡΠΈΡΠ»ΠΎΠ²ΠΎΠ΅ Π·Π½Π°ΡΠ΅Π½ΠΈΠ΅ ΠΊΠΎΡΠΎΡΠΎΠ³ΠΎ Π½Π΅ ΠΌΠΎΠΆΠ΅Ρ Π±ΡΡΡ ΠΎΡΡΠΈΡΠ°ΡΠ΅Π»ΡΠ½ΡΠΌ
1. ΠΡΠΎΠ΅ΠΊΡΠΈΡ Π²Π΅ΠΊΡΠΎΡΠ° ΡΠΈΠ»Ρ Π½Π° ΠΎΡΡ
2. ΠΠΎΠΌΠ΅Π½Ρ ΡΠΈΠ»Ρ ΠΎΡΠ½ΠΎΡΠΈΡΠ΅Π»ΡΠ½ΠΎ ΠΎΡΠΈ
3. ΠΠΎΡΠΌΠ°Π»ΡΠ½ΠΎΠ΅ ΡΡΠΊΠΎΡΠ΅Π½ΠΈΠ΅
4. ΠΠ°ΡΠ°ΡΠ΅Π»ΡΠ½ΠΎΠ΅ ΡΡΠΊΠΎΡΠ΅Π½ΠΈΠ΅
5. ΠΠΎΠΌΠ΅Π½Ρ ΡΠΈΠ»Ρ ΠΎΡΠ½ΠΎΡΠΈΡΠ΅Π»ΡΠ½ΠΎ ΡΠΎΡΠΊΠΈ
51. ΠΡΠΈ ΡΠΊΠ°Π·Π°Π½Π½ΡΡ ΠΊΠΈΠ½Π΅ΠΌΠ°ΡΠΈΡΠ΅ΡΠΊΠΈΡ ΠΏΠ°ΡΠ°ΠΌΠ΅ΡΡΠ°Ρ ΡΠΎΡΠΊΠ° Π΄Π²ΠΈΠΆΠ΅ΡΡΡ ΠΏΡΡΠΌΠΎΠ»ΠΈΠ½Π΅ΠΉΠ½ΠΎ
1. aΟ = 0
2. aΟ β const
3. V = const
4. aΟ> 0
5. an = 0
52. ΠΡΠΈ ΡΠΊΠ°Π·Π°Π½Π½ΡΡ ΠΊΠΈΠ½Π΅ΠΌΠ°ΡΠΈΡΠ΅ΡΠΊΠΈΡ ΠΏΠ°ΡΠ°ΠΌΠ΅ΡΡΠ°Ρ ΡΠΎΡΠΊΠ° Π΄Π²ΠΈΠΆΠ΅ΡΡΡ ΡΡΠΊΠΎΡΠ΅Π½Π½ΠΎ
1. aΟ = 0
2. an β const
3. V = const
4. aΟ> 0
5. an = 0
53. ΠΡΠΈ ΡΠΊΠ°Π·Π°Π½Π½ΡΡ ΠΊΠΈΠ½Π΅ΠΌΠ°ΡΠΈΡΠ΅ΡΠΊΠΈΡ ΠΏΠ°ΡΠ°ΠΌΠ΅ΡΡΠ°Ρ ΡΠΎΡΠΊΠ° Π΄Π²ΠΈΠΆΠ΅ΡΡΡ ΠΊΡΠΈΠ²ΠΎΠ»ΠΈΠ½Π΅ΠΉΠ½ΠΎ
1. aΟ β const
2. V = const
3. aΟ> 0
4. an = 0
5. an β 0
54. ΠΡΠΈ ΡΠΊΠ°Π·Π°Π½Π½ΡΡ ΠΊΠΈΠ½Π΅ΠΌΠ°ΡΠΈΡΠ΅ΡΠΊΠΈΡ ΠΏΠ°ΡΠ°ΠΌΠ΅ΡΡΠ°Ρ ΡΠΎΡΠΊΠ° Π΄Π²ΠΈΠΆΠ΅ΡΡΡ Π·Π°ΠΌΠ΅Π΄Π»Π΅Π½Π½ΠΎ
1. aΟ = 0
2. an> 0
3. V = const
4. aΟ< 0
5. an = 0
55. ΠΠ·ΠΌΠ΅Π½Π΅Π½ΠΈΠ΅ ΡΡΠΎΠ³ΠΎ ΠΏΠ°ΡΠ°ΠΌΠ΅ΡΡΠ° ΠΏΠΎ Π²ΡΠ΅ΠΌΠ΅Π½ΠΈ Ρ Π°ΡΠ°ΠΊΡΠ΅ΡΠΈΠ·ΡΠ΅Ρ ΡΠ³Π»ΠΎΠ²ΡΡ ΡΠΊΠΎΡΠΎΡΡΡ
1. Π£Π³Π»ΠΎΠ²ΠΎΠ΅ ΡΡΠΊΠΎΡΠ΅Π½ΠΈΠ΅
2. Π£Π³ΠΎΠ» ΠΏΠΎΠ²ΠΎΡΠΎΡΠ°
3. ΠΠ»ΠΈΠ½Π° Π΄ΡΠ³ΠΈ
4. ΠΠΊΡΡΠΆΠ½Π°Ρ ΡΠΊΠΎΡΠΎΡΡΡ ΡΠΎΡΠΊΠΈ
5. Π£ΡΠΊΠΎΡΠ΅Π½ΠΈΠ΅ ΡΠΎΡΠΊΠΈ
56. ΠΠ³Π½ΠΎΠ²Π΅Π½Π½ΡΠΌ ΡΠ΅Π½ΡΡΠΎΠΌ ΡΠΊΠΎΡΠΎΡΡΠ΅ΠΉ ΠΏΠ»ΠΎΡΠΊΠΎΠΉ ΡΠΈΠ³ΡΡΡ ΡΠ²Π»ΡΠ΅ΡΡΡ
1. ΠΠ΅ΠΎΠΌΠ΅ΡΡΠΈΡΠ΅ΡΠΊΠ°Ρ ΡΠΎΡΠΊΠ° ΠΏΠ»ΠΎΡΠΊΠΎΠΉ ΡΠΈΠ³ΡΡΡ, ΡΠΊΠΎΡΠΎΡΡΡ ΠΊΠΎΡΠΎΡΠΎΠΉ ΡΠ°Π²Π½Π° Π½ΡΠ»Ρ
2. ΠΠ΅ΠΎΠΌΠ΅ΡΡΠΈΡΠ΅ΡΠΊΠΈΠΉ ΡΠ΅Π½ΡΡ ΠΏΠ»ΠΎΡΠΊΠΎΠΉ ΡΠΈΠ³ΡΡΡ
3. Π¦Π΅Π½ΡΡ ΡΡΠΆΠ΅ΡΡΠΈ ΠΏΠ»ΠΎΡΠΊΠΎΠΉ ΡΠΈΠ³ΡΡΡ
4. Π¦Π΅Π½ΡΡ ΠΌΠ°ΡΡ ΠΏΠ»ΠΎΡΠΊΠΎΠΉ ΡΠΈΠ³ΡΡΡ
5. Π’ΠΎΡΠΊΠ°, ΠΎΡΠ½ΠΎΡΠΈΡΠ΅Π»ΡΠ½ΠΎ ΠΊΠΎΡΠΎΡΠΎΠΉ ΠΎΠΏΡΠ΅Π΄Π΅Π»ΡΠ΅ΡΡΡ ΡΡΠΌΠΌΠ° ΠΌΠΎΠΌΠ΅Π½ΡΠΎΠ² ΡΠΈΠ»
57. ΠΠ°ΡΠ°ΠΌΠ΅ΡΡ, ΠΈΠΌΠ΅ΡΡΠΈΠΉ ΡΠΎΠ»ΡΠΊΠΎ ΠΏΠΎΠ»ΠΎΠΆΠΈΡΠ΅Π»ΡΠ½ΠΎΠ΅ Π·Π½Π°ΡΠ΅Π½ΠΈΠ΅
1. Π Π°Π±ΠΎΡΠ° ΡΠΈΠ»Ρ
2. ΠΠΎΠΌΠ΅Π½Ρ ΡΠΈΠ»Ρ ΠΎΡΠ½ΠΎΡΠΈΡΠ΅Π»ΡΠ½ΠΎ ΠΎΡΠΈ
3. ΠΠΎΡΠΌΠ°Π»ΡΠ½ΠΎΠ΅ ΡΡΠΊΠΎΡΠ΅Π½ΠΈΠ΅
4. ΠΠ°ΡΠ°ΡΠ΅Π»ΡΠ½ΠΎΠ΅ ΡΡΠΊΠΎΡΠ΅Π½ΠΈΠ΅
5. ΠΠΌΠΏΡΠ»ΡΡ ΡΠΈΠ»Ρ
58. Π£ΡΠΊΠΎΡΠ΅Π½Π½ΠΎΠ΅ Π²ΡΠ°ΡΠ°ΡΠ΅Π»ΡΠ½ΠΎΠ΅ Π΄Π²ΠΈΠΆΠ΅Π½ΠΈΠ΅ ΡΠ²Π΅ΡΠ΄ΠΎΠ³ΠΎ ΡΠ΅Π»Π°
Β
p lK6sySi3sB1x8E62N8oh3VdS9+oSyk0rkyhaSaMaDgu16mhXU/lZnA3Cc7Jcnh7j/WH78prs9fDR fBfFDvFmNm4fQHga/X8YfvEDOuSB6WjPrJ1oEW7Xq/DFI8zXIIL/p48Id3EMMs/k9YH8BwAA//8D AFBLAQItABQABgAIAAAAIQC2gziS/gAAAOEBAAATAAAAAAAAAAAAAAAAAAAAAABbQ29udGVudF9U eXBlc10ueG1sUEsBAi0AFAAGAAgAAAAhADj9If/WAAAAlAEAAAsAAAAAAAAAAAAAAAAALwEAAF9y ZWxzLy5yZWxzUEsBAi0AFAAGAAgAAAAhALCGO8RmAgAAhwQAAA4AAAAAAAAAAAAAAAAALgIAAGRy cy9lMm9Eb2MueG1sUEsBAi0AFAAGAAgAAAAhAJ2WigbeAAAACAEAAA8AAAAAAAAAAAAAAAAAwAQA AGRycy9kb3ducmV2LnhtbFBLBQYAAAAABAAEAPMAAADLBQAAAAA= ” strokeweight=”1.25pt”> y o6GNccilDHWLzoSFH5DYO/jRmcjn2Eg7mhOXu16qJLmVznTEh2oz4LrF+qM6Og3PKssOj+lmt3rZ qo2d3ruvqlprfXkxrx5ARJzjXxh+8BkdSmba+yPZIHoN6vqGt0Q27lIQHPgV9iyoLAVZFvL/hPIb AAD//wMAUEsBAi0AFAAGAAgAAAAhALaDOJL+AAAA4QEAABMAAAAAAAAAAAAAAAAAAAAAAFtDb250 ZW50X1R5cGVzXS54bWxQSwECLQAUAAYACAAAACEAOP0h/9YAAACUAQAACwAAAAAAAAAAAAAAAAAv AQAAX3JlbHMvLnJlbHNQSwECLQAUAAYACAAAACEAS22Nw2sCAACHBAAADgAAAAAAAAAAAAAAAAAu AgAAZHJzL2Uyb0RvYy54bWxQSwECLQAUAAYACAAAACEA0DO1z94AAAAKAQAADwAAAAAAAAAAAAAA AADFBAAAZHJzL2Rvd25yZXYueG1sUEsFBgAAAAAEAAQA8wAAANAFAAAAAA== ” strokeweight=”1.25pt”> Ο ΟΟΟΟ Ξ΅
h3 JvE599LO5szl3slcqTvpzUj8YTATPgzYfR1OXsP+8+Xx9nVpfXD2vm8+rG/Uc6719dW634JIuKa/ MPziMzrUzNSGE9konIYiU7wlsaEyEBwo8oKFVkNeZCDrSv5fUP8AAAD//wMAUEsBAi0AFAAGAAgA AAAhALaDOJL+AAAA4QEAABMAAAAAAAAAAAAAAAAAAAAAAFtDb250ZW50X1R5cGVzXS54bWxQSwEC LQAUAAYACAAAACEAOP0h/9YAAACUAQAACwAAAAAAAAAAAAAAAAAvAQAAX3JlbHMvLnJlbHNQSwEC LQAUAAYACAAAACEAwNReAVsCAABqBAAADgAAAAAAAAAAAAAAAAAuAgAAZHJzL2Uyb0RvYy54bWxQ SwECLQAUAAYACAAAACEAkHt3OdwAAAAJAQAADwAAAAAAAAAAAAAAAAC1BAAAZHJzL2Rvd25yZXYu eG1sUEsFBgAAAAAEAAQA8wAAAL4FAAAAAA== “/>
Β
Β
Ξ΅ Ξ΅
Β
Β
Π°) Π±) Π²) Π³) Π΄)
1. Π°)
2. Π±)
3. Π²)
4. Π³)
5. Π΄)
59. Π Π°Π΄ΠΈΡΡ ΠΊΡΠΈΠ²ΠΈΠ·Π½Ρ ΠΏΡΡΠΌΠΎΠ»ΠΈΠ½Π΅ΠΉΠ½ΠΎΠ³ΠΎ ΠΎΡΡΠ΅Π·ΠΊΠ°
1. ΠΠ»ΠΈΠ½Π° ΡΠ°ΠΌΠΎΠ³ΠΎ ΠΎΡΡΠ΅Π·ΠΊΠ°
2. ΠΠΎΠ»ΠΎΠ²ΠΈΠ½Π° Π΄Π»ΠΈΠ½Ρ ΠΎΡΡΠ΅Π·ΠΊΠ°.
3. ΠΡΠ»Ρ
4. ΠΠ΅ΡΠΊΠΎΠ½Π΅ΡΠ½ΠΎΡΡΡ
5. Π§ΠΈΡΠ»ΠΎ Ο
60. ΠΠ°ΠΌΠ΅Π΄Π»Π΅Π½Π½ΠΎΠ΅ Π²ΡΠ°ΡΠ°ΡΠ΅Π»ΡΠ½ΠΎΠ΅ Π΄Π²ΠΈΠΆΠ΅Π½ΠΈΠ΅ ΡΠ²Π΅ΡΠ΄ΠΎΠ³ΠΎ ΡΠ΅Π»Π°
Β
p lK6sySi3sB1x8E62N8oh3VdS9+oSyk0rkyhaSaMaDgu16mhXU/lZnA3Cc7Jcnh7j/WH78prs9fDR fBfFDvFmNm4fQHga/X8YfvEDOuSB6WjPrJ1oEW7Xq/DFI8zXIIL/p48Id3EMMs/k9YH8BwAA//8D AFBLAQItABQABgAIAAAAIQC2gziS/gAAAOEBAAATAAAAAAAAAAAAAAAAAAAAAABbQ29udGVudF9U eXBlc10ueG1sUEsBAi0AFAAGAAgAAAAhADj9If/WAAAAlAEAAAsAAAAAAAAAAAAAAAAALwEAAF9y ZWxzLy5yZWxzUEsBAi0AFAAGAAgAAAAhAEzDxKtmAgAAhwQAAA4AAAAAAAAAAAAAAAAALgIAAGRy cy9lMm9Eb2MueG1sUEsBAi0AFAAGAAgAAAAhAJ2WigbeAAAACAEAAA8AAAAAAAAAAAAAAAAAwAQA AGRycy9kb3ducmV2LnhtbFBLBQYAAAAABAAEAPMAAADLBQAAAAA= ” strokeweight=”1.25pt”> Ο ΟΟ Ξ΅ Ο
Ο
Β
Β
Ξ΅ Ξ΅
Β
Β
Π°) Π±) Π²) Π³) Π΄)
1. Π°)
2. Π±)
3. Π²)
4. Π³)
5. Π΄)
61. Π§ΠΈΡΠ»ΠΎ ΡΡΠ΅ΠΏΠ΅Π½Π΅ΠΉ ΡΠ²ΠΎΠ±ΠΎΠ΄Ρ ΡΠ΅Π»Π° Π² ΠΏΡΠΎΡΡΡΠ°Π½ΡΡΠ²Π΅
1. ΠΠ΄Π½Π°
2. ΠΠ²Π°
3. Π’ΡΠΈ
4. Π¨Π΅ΡΡΡ
5. ΠΠ΅Π²ΡΡΡ
62. Π Π°Π²Π½ΠΎΠΌΠ΅ΡΠ½ΠΎΠ΅ Π²ΡΠ°ΡΠ°ΡΠ΅Π»ΡΠ½ΠΎΠ΅ Π΄Π²ΠΈΠΆΠ΅Π½ΠΈΠ΅ ΡΠ²Π΅ΡΠ΄ΠΎΠ³ΠΎ ΡΠ΅Π»Π°
Β
Ο Ο Ξ΅ Ο Ξ΅ Ο
Ο
Β
Β
Ξ΅ Ξ΅
Β
Π°) Π±) Π²) Π³) Π΄)
1. Π°)
2. Π±)
3. Π²)
4. Π³)
5. Π΄)
63. ΠΠ΅ΡΠ΅ΠΌΠ΅Π½Π½ΡΠΉ ΠΏΠ°ΡΠ°ΠΌΠ΅ΡΡ, Π΄ΠΈΡΡΠ΅ΡΠ΅Π½ΡΠΈΡΠΎΠ²Π°Π½ΠΈΠ΅ ΠΊΠΎΡΠΎΡΠΎΠ³ΠΎ ΠΏΠΎ Π²ΡΠ΅ΠΌΠ΅Π½ΠΈ ΠΏΠΎΠ·Π²ΠΎΠ»ΡΠ΅Ρ ΠΎΠΏΡΠ΅Π΄Π΅Π»ΠΈΡΡ Π·Π°ΠΊΠΎΠ½ ΠΈΠ·ΠΌΠ΅Π½Π΅Π½ΠΈΡ ΡΠ³Π»ΠΎΠ²ΠΎΠΉ ΡΠΊΠΎΡΠΎΡΡΠΈ Π²ΡΠ°ΡΠ΅Π½ΠΈΡ ΡΠ΅Π»Π°
1. Π£Π³Π»ΠΎΠ²ΠΎΠ΅ ΡΡΠΊΠΎΡΠ΅Π½ΠΈΠ΅
2. Π£Π³ΠΎΠ» ΠΏΠΎΠ²ΠΎΡΠΎΡΠ°
3. ΠΠ»ΠΈΠ½Π° Π΄ΡΠ³ΠΈ
4. ΠΠΊΡΡΠΆΠ½Π°Ρ ΡΠΊΠΎΡΠΎΡΡΡ ΡΠΎΡΠΊΠΈ
5. Π£ΡΠΊΠΎΡΠ΅Π½ΠΈΠ΅ ΡΠΎΡΠΊΠΈ
64. ΠΡΡΡΡΠΎΡΠ° ΠΈΠ·ΠΌΠ΅Π½Π΅Π½ΠΈΡ ΡΠΊΠΎΡΠΎΡΡΠΈ Ρ Π°ΡΠ°ΠΊΡΠ΅ΡΠΈΠ·ΡΠ΅ΡΡΡ
1. Π‘ΠΊΠΎΡΠΎΡΡΡΡ
2. ΠΠ΅ΡΠ΅ΠΌΠ΅ΡΠ΅Π½ΠΈΠ΅ΠΌ
3. ΠΡΠ°ΡΠ΅Π½ΠΈΠ΅ΠΌ
4. Π£ΡΠΊΠΎΡΠ΅Π½ΠΈΠ΅ΠΌ
65. Π§ΡΠΎ ΠΈΠ·ΡΡΠ°Π΅Ρ ΠΊΠΈΠ½Π΅ΠΌΠ°ΡΠΈΠΊΠ°?
1. ΠΠ²ΠΈΠΆΠ΅Π½ΠΈΠ΅ ΡΠ΅Π»Π° ΠΏΠΎΠ΄ Π΄Π΅ΠΉΡΡΠ²ΠΈΠ΅ΠΌ ΠΏΡΠΈΠ»ΠΎΠΆΠ΅Π½Π½ΡΡ ΠΊ Π½Π΅ΠΌΡ ΡΠΈΠ»
2. ΠΠΈΠ΄Ρ ΡΠ°Π²Π½ΠΎΠ²Π΅ΡΠΈΡ ΡΠ΅Π»
3. ΠΠ²ΠΈΠΆΠ΅Π½ΠΈΠ΅ ΡΠ΅Π»Π° Π±Π΅Π· ΡΡΠ΅ΡΠ° Π΄Π΅ΠΉΡΡΠ²ΡΡΡΠΈΡ Π½Π° Π½Π΅Π³ΠΎ ΡΠΈΠ»
4. Π‘ΠΏΠΎΡΠΎΠ±Ρ Π²Π·Π°ΠΈΠΌΠΎΠ΄Π΅ΠΉΡΡΠ²ΠΈΡ ΡΠ΅Π» ΠΌΠ΅ΠΆΠ΄Ρ ΡΠΎΠ±ΠΎΠΉ
Π’Π΅ΠΌΠ° 3.Β«ΠΠΈΠ½Π°ΠΌΠΈΠΊΠ°Β»
66. ΠΠ°ΡΠ΅ΡΠΈΠ°Π»ΡΠ½Π°Ρ ΡΠΎΡΠΊΠ° ΡΠΎΡ ΡΠ°Π½ΡΠ΅Ρ ΡΠΎΡΡΠΎΡΠ½ΠΈΠ΅ ΠΏΠΎΠΊΠΎΡ ΠΈΠ»ΠΈ ΡΠ°Π²Π½ΠΎΠΌΠ΅ΡΠ½ΠΎΠ³ΠΎ
ΠΏΡΡΠΌΠΎΠ»ΠΈΠ½Π΅ΠΉΠ½ΠΎΠ³ΠΎ Π΄Π²ΠΈΠΆΠ΅Π½ΠΈΡ Π΄ΠΎ ΡΠ΅Ρ ΠΏΠΎΡ, ΠΏΠΎΠΊΠ° Π΄Π΅ΠΉΡΡΠ²ΠΈΠ΅ Π΄ΡΡΠ³ΠΈΡ ΡΠ΅Π» Π½Π΅
ΠΈΠ·ΠΌΠ΅Π½ΠΈΡ ΡΡΠΎ ΡΠΎΡΡΠΎΡΠ½ΠΈΠ΅
1. ΠΡΠ½ΠΎΠ²Π½ΠΎΠΉ Π·Π°ΠΊΠΎΠ½ Π΄ΠΈΠ½Π°ΠΌΠΈΠΊΠΈ ( 2-ΠΉ Π·Π°ΠΊΠΎΠ½ ΠΡΡΡΠΎΠ½Π°)
2. ΠΠ°ΠΊΠΎΠ½ ΠΈΠ½Π΅ΡΡΠΈΠΈ (1-ΠΉ Π·Π°ΠΊΠΎΠ½ ΠΡΡΡΠΎΠ½Π°)
3. ΠΠ°ΠΊΠΎΠ½ ΡΠ°Π²Π΅Π½ΡΡΠ²Π° Π΄Π΅ΠΉΡΡΠ²ΠΈΡ ΠΈ ΠΏΡΠΎΡΠΈΠ²ΠΎΠ΄Π΅ΠΉΡΡΠ²ΠΈΡ (3-ΠΉ Π·Π°ΠΊΠΎΠ½ ΠΡΡΡΠΎΠ½Π°)
4. ΠΠ°ΠΊΠΎΠ½ Π½Π΅Π·Π°Π²ΠΈΡΠΈΠΌΠΎΡΡΠΈ ΡΠΈΠ»
67. ΠΠ²ΠΈΠΆΠ΅Π½ΠΈΠ΅ ΡΠΎΡΠΊΠΈ ΠΏΠΎ ΠΎΡΠ½ΠΎΡΠ΅Π½ΠΈΡ ΠΊ ΠΏΠΎΠ΄Π²ΠΈΠΆΠ½ΠΎΠΉ ΡΠΈΡΡΠ΅ΠΌΠ΅ ΠΊΠΎΠΎΡΠ΄ΠΈΠ½Π°Ρ
1. ΠΡΠ½ΠΎΡΠΈΡΠ΅Π»ΡΠ½ΠΎΠ΅ Π΄Π²ΠΈΠΆΠ΅Π½ΠΈΠ΅
2. ΠΠ±ΡΠΎΠ»ΡΡΠ½ΠΎΠ΅ Π΄Π²ΠΈΠΆΠ΅Π½ΠΈΠ΅
3. ΠΠ΅ΡΠ΅Π½ΠΎΡΠ½ΠΎΠ΅ Π΄Π²ΠΈΠΆΠ΅Π½ΠΈΠ΅
4. ΠΡΠ°ΡΠ°ΡΠ΅Π»ΡΠ½ΠΎΠ΅ Π΄Π²ΠΈΠΆΠ΅Π½ΠΈΠ΅
68. ΠΠ½Π°ΡΠ΅Π½ΠΈΠ΅ ΡΠ³Π»Π° Π½Π°ΠΊΠ»ΠΎΠ½Π° Π²Π΅ΠΊΡΠΎΡΠ° ΡΠΈΠ»Ρ ΠΊ Π½Π°ΠΏΡΠ°Π²Π»Π΅Π½ΠΈΡ ΠΏΠ΅ΡΠ΅ΠΌΠ΅ΡΠ΅Π½ΠΈΡ ΡΠΎΡΠΊΠΈ ΠΏΡΠΈΠ»ΠΎΠΆΠ΅Π½ΠΈΡ ΡΠΈΠ»Ρ, ΠΏΡΠΈ ΠΊΠΎΡΠΎΡΠΎΠΉ ΡΠ°Π±ΠΎΡΠ° ΡΠΈΠ»Ρ Π±ΡΠ΄Π΅Ρ ΠΎΡΡΠΈΡΠ°ΡΠ΅Π»ΡΠ½ΠΎΠΉ
1. 00
2. 450
3. 900
4. 1800
69. ΠΠ°Π²ΠΈΡΠΈΠΌΠΎΡΡΡ, ΠΊΠΎΡΠΎΡΠ°Ρ Ρ Π°ΡΠ°ΠΊΡΠ΅ΡΠΈΠ·ΡΠ΅Ρ ΠΊΠΎΠ»ΠΈΡΠ΅ΡΡΠ²ΠΎ Π΄Π²ΠΈΠΆΠ΅Π½ΠΈΡ ΠΌΠ°ΡΠ΅ΡΠΈΠ°Π»ΡΠ½ΠΎΠΉ ΡΠΎΡΠΊΠΈ
1. mΒ· V2 /2
2. mΒ· V
3. FΒ· t
4. A /t
5. FΒ· d
70. Π Π°Π±ΠΎΡΠ° ΡΠΈΠ»Ρ ΡΡΠΆΠ΅ΡΡΠΈ ΡΠ΅Π»Π° Π±ΡΠ΄Π΅Ρ ΡΠ°Π²Π½Π° Π½ΡΠ»Ρ
1. ΠΡΠΈ ΠΏΠ΅ΡΠ΅ΠΌΠ΅ΡΠ΅Π½ΠΈΠΈ ΡΠ΅Π»Π° ΠΏΠΎ Π½Π°ΠΊΠ»ΠΎΠ½Π½ΠΎΠΉ ΠΏΠ»ΠΎΡΠΊΠΎΡΡΠΈ ΡΠ½ΠΈΠ·Ρ Π²Π²Π΅ΡΡ
2. ΠΡΠΈ ΠΏΠ΅ΡΠ΅ΠΌΠ΅ΡΠ΅Π½ΠΈΠΈ ΡΠ΅Π»Π° ΠΏΠΎ Π½Π°ΠΊΠ»ΠΎΠ½Π½ΠΎΠΉ ΠΏΠ»ΠΎΡΠΊΠΎΡΡΠΈ ΡΠ²Π΅ΡΡ Ρ Π²Π½ΠΈΠ·
3. ΠΡΠΈ ΠΏΠ΅ΡΠ΅ΠΌΠ΅ΡΠ΅Π½ΠΈΠΈ ΡΠ΅Π»Π° ΠΏΠΎ Π³ΠΎΡΠΈΠ·ΠΎΠ½ΡΠ°Π»ΡΠ½ΠΎΠΉ ΠΏΠ»ΠΎΡΠΊΠΎΡΡΠΈ
4. ΠΡΠΈ Π²Π΅ΡΡΠΈΠΊΠ°Π»ΡΠ½ΠΎΠΌ ΠΏΠ΅ΡΠ΅ΠΌΠ΅ΡΠ΅Π½ΠΈΠΈ ΡΠ΅Π»Π°
5. ΠΡΠΈ ΠΎΡΡΡΡΡΡΠ²ΠΈΠΈ ΡΠΈΠ» ΡΠΎΠΏΡΠΎΡΠΈΠ²Π»Π΅Π½ΠΈΡ
71. ΠΠ°Π²ΠΈΡΠΈΠΌΠΎΡΡΡ, ΠΊΠΎΡΠΎΡΠ°Ρ Ρ Π°ΡΠ°ΠΊΡΠ΅ΡΠΈΠ·ΡΠ΅Ρ ΠΊΠΈΠ½Π΅ΡΠΈΡΠ΅ΡΠΊΡΡ ΡΠ½Π΅ΡΠ³ΠΈΡ ΠΌΠ°ΡΠ΅ΡΠΈΠ°Π»ΡΠ½ΠΎΠΉ ΡΠΎΡΠΊΠΈ
1. m Β·V2/2
2. mΒ· V
3. FΒ· t
4. A /t
5. FΒ· d
72. ΠΠ°Π²ΠΈΡΠΈΠΌΠΎΡΡΡ, ΠΊΠΎΡΠΎΡΠ°Ρ Ρ Π°ΡΠ°ΠΊΡΠ΅ΡΠΈΠ·ΡΠ΅Ρ ΠΈΠΌΠΏΡΠ»ΡΡ ΡΠΈΠ»Ρ
1. mΒ·V2 /2
2. mΒ·V
3. FΒ· t
4. A /t
5. FΒ·d
73. Π£Π³ΠΎΠ» Π½Π°ΠΊΠ»ΠΎΠ½Π° Π²Π΅ΠΊΡΠΎΡΠ° ΡΠΈΠ»Ρ ΠΊ Π½Π°ΠΏΡΠ°Π²Π»Π΅Π½ΠΈΡ ΠΏΠ΅ΡΠ΅ΠΌΠ΅ΡΠ΅Π½ΠΈΡ ΡΠΎΡΠΊΠΈ ΠΏΡΠΈΠ»ΠΎΠΆΠ΅Π½ΠΈΡ ΡΠΈΠ»Ρ, ΠΏΡΠΈ ΠΊΠΎΡΠΎΡΠΎΠΌ ΡΠ°Π±ΠΎΡΠ° ΡΡΠΎΠΉ ΡΠΈΠ»Ρ Π±ΡΠ΄Π΅Ρ ΡΠ°Π²Π½Π° Π½ΡΠ»Ρ
1. 00
2. 450
3. 900
4. 1800
74. Π Π°Π·Π΄Π΅Π» ΡΠ΅ΠΎΡΠ΅ΡΠΈΡΠ΅ΡΠΊΠΎΠΉ ΠΌΠ΅Ρ Π°Π½ΠΈΠΊΠΈ, ΡΠ°ΡΡΠΌΠ°ΡΡΠΈΠ²Π°ΡΡΠ΅Π΅ Π΄Π²ΠΈΠΆΠ΅Π½ΠΈΠ΅ ΠΌΠ°ΡΠ΅ΡΠΈΠ°Π»ΡΠ½ΡΡ ΡΠΎΡΠ΅ΠΊ ΠΈΠ»ΠΈ ΡΠ΅Π» ΠΏΠΎΠ΄ Π΄Π΅ΠΉΡΡΠ²ΠΈΠ΅ΠΌ ΠΏΡΠΈΠ»ΠΎΠΆΠ΅Π½Π½ΡΡ ΡΠΈΠ»; ΡΡΡΠ°Π½Π°Π²Π»ΠΈΠ²Π°Π΅ΡΡΡ ΡΠ²ΡΠ·Ρ ΠΌΠ΅ΠΆΠ΄Ρ ΠΏΡΠΈΠ»ΠΎΠΆΠ΅Π½Π½ΡΠΌΠΈ ΡΠΈΠ»Π°ΠΌΠΈ ΠΈ Π²ΡΠ·ΡΠ²Π°Π΅ΠΌΡΠΌ ΠΈΠΌΠΈ Π΄Π²ΠΈΠΆΠ΅Π½ΠΈΠ΅ΠΌ
1. Π‘ΡΠ°ΡΠΈΠΊΠ°
2. ΠΠΈΠ½Π΅ΠΌΠ°ΡΠΈΠΊΠ°
3. ΠΠΈΠ½Π°ΠΌΠΈΠΊΠ°
75. ΠΡΠ½ΠΎΠ²Π½ΠΎΠΉ Π·Π°ΠΊΠΎΠ½ Π΄ΠΈΠ½Π°ΠΌΠΈΠΊΠΈ
1. F=mΒ·a
2. m Β·V2/2
3. mΒ· V
4. FΒ· t
76. Π ΠΊΠ°ΠΆΠ΄ΡΠΉ ΠΌΠΎΠΌΠ΅Π½Ρ Π΄Π²ΠΈΠΆΠ΅Π½ΠΈΡ ΡΡΠΌΠΌΠ° Π°ΠΊΡΠΈΠ²Π½ΡΡ ΡΠΈΠ», ΡΠ΅Π°ΠΊΡΠΈΠΉ ΡΠ²ΡΠ·Π΅ΠΉ
ΠΈ ΡΠΈΠ» ΠΈΠ½Π΅ΡΡΠΈΠΈ ΡΠ°Π²Π½Π° Π½ΡΠ»Ρ β ΡΡΠΎ ΠΏΡΠΈΠ½ΡΠΈΠΏ
1. ΠΠ°Π»Π°ΠΌΠ±Π΅ΡΠ°
2. ΠΡΠ°ΡΡΠΎΠ½Π°
3. ΠΡΡΡΠΎΠ½Π°
4. ΠΡΠΊΠ°
77. ΠΠ΄ΠΈΠ½ΠΈΡΠ° ΠΈΠ·ΠΌΠ΅ΡΠ΅Π½ΠΈΡ ΠΊΠΎΡΡΡΠΈΡΠΈΠ΅Π½ΡΠ° ΡΡΠ΅Π½ΠΈΡ ΠΊΠ°ΡΠ΅Π½ΠΈΡ
1. ΠΌ
2. ΠΠ΅Π»ΠΈΡΠΈΠ½Π° Π±Π΅Π·ΡΠ°Π·ΠΌΠ΅ΡΠ½Π°Ρ
3. Π /ΠΌ
4. ΠΌ2
5. Π Β· ΠΌ
78. ΠΠ΄ΠΈΠ½ΠΈΡΠ° ΠΈΠ·ΠΌΠ΅ΡΠ΅Π½ΠΈΡ ΠΊΠΎΡΡΡΠΈΡΠΈΠ΅Π½ΡΠ° ΡΡΠ΅Π½ΠΈΡ ΡΠΊΠΎΠ»ΡΠΆΠ΅Π½ΠΈΡ
1. ΠΌ
2. ΠΠ΅Π»ΠΈΡΠΈΠ½Π° Π±Π΅Π·ΡΠ°Π·ΠΌΠ΅ΡΠ½Π°Ρ
3. Π /ΠΌ
4. ΠΌ2
5. Π β ΠΌ
79. ΠΠ²ΠΈΠΆΠ΅Π½ΠΈΠ΅ ΠΏΠΎΠ΄Π²ΠΈΠΆΠ½ΠΎΠΉ ΡΠΈΡΡΠ΅ΠΌΡ ΠΎΡΡΠ΅ΡΠ° ΠΎΡΠ½ΠΎΡΠΈΡΠ΅Π»ΡΠ½ΠΎ Π½Π΅ΠΏΠΎΠ΄Π²ΠΈΠΆΠ½ΠΎΠΉ ΡΠΈΡΡΠ΅ΠΌΡ
1. ΠΡΠ½ΠΎΡΠΈΡΠ΅Π»ΡΠ½ΠΎΠ΅ Π΄Π²ΠΈΠΆΠ΅Π½ΠΈΠ΅
2. ΠΠ±ΡΠΎΠ»ΡΡΠ½ΠΎΠ΅ Π΄Π²ΠΈΠΆΠ΅Π½ΠΈΠ΅
3. ΠΠ΅ΡΠ΅Π½ΠΎΡΠ½ΠΎΠ΅ Π΄Π²ΠΈΠΆΠ΅Π½ΠΈΠ΅
4. ΠΡΠ°ΡΠ°ΡΠ΅Π»ΡΠ½ΠΎΠ΅ Π΄Π²ΠΈΠΆΠ΅Π½ΠΈΠ΅
Π Π΅ΠΊΠΎΠΌΠ΅Π½Π΄ΡΠ΅ΠΌΡΠ΅ ΡΡΡΠ°Π½ΠΈΡΡ:
poisk-ru.ru

4086. 48.31 ΠΡΡΠ·Ρ M1 ΠΈ M2 ΠΎΠ΄ΠΈΠ½Π°ΠΊΠΎΠ²ΠΎΠΉ ΠΌΠ°ΡΡΡ m Π΄Π²ΠΈΠΆΡΡΡΡ ΠΏΠΎ Π΄Π²ΡΠΌ Π½Π°ΠΊΠ»ΠΎΠ½Π½ΡΠΌ Π½Π°ΠΏΡΠ°Π²Π»ΡΡΡΠΈΠΌ OA ΠΈ OB, ΡΠ°ΡΠΏΠΎΠ»ΠΎΠΆΠ΅Π½Π½ΡΠΌ Π² Π²Π΅ΡΡΠΈΠΊΠ°Π»ΡΠ½ΠΎΠΉ ΠΏΠ»ΠΎΡΠΊΠΎΡΡΠΈ ΠΏΠΎΠ΄ ΡΠ³Π»Π°ΠΌΠΈ Ξ± ΠΈ Ξ² ΠΊ Π³ΠΎΡΠΈΠ·ΠΎΠ½ΡΡ; Π½ΠΈΡΡ, ΡΠΎΠ΅Π΄ΠΈΠ½ΡΡΡΠ°Ρ ΡΡΠΈ Π³ΡΡΠ·Ρ, ΠΈΠ΄Π΅Ρ ΠΎΡ Π³ΡΡΠ·Π° M1 ΡΠ΅ΡΠ΅Π· Π±Π»ΠΎΠΊ O, Π²ΡΠ°ΡΠ°ΡΡΠΈΠΉΡΡ ΠΎΠΊΠΎΠ»ΠΎ Π³ΠΎΡΠΈΠ·ΠΎΠ½ΡΠ°Π»ΡΠ½ΠΎΠΉ ΠΎΡΠΈ, ΠΎΡ
Π²Π°ΡΡΠ²Π°Π΅Ρ ΠΏΠΎΠ΄Π²ΠΈΠΆΠ½ΡΠΉ ΡΠΊΠΈΠ² Q, Π½Π΅ΡΡΡΠΈΠΉ Π³ΡΡΠ· M ΠΌΠ°ΡΡΡ m1, ΠΈ Π·Π°ΡΠ΅ΠΌ ΡΠ΅ΡΠ΅Π· Π±Π»ΠΎΠΊ O1, Π½Π°Π΄Π΅ΡΡΠΉ Π½Π° ΡΡ ΠΆΠ΅ ΠΎΡΡ, ΡΡΠΎ ΠΈ Π±Π»ΠΎΠΊ O, ΠΈΠ΄Π΅Ρ ΠΊ Π³ΡΡΠ·Ρ M2. ΠΠ»ΠΎΠΊΠΈ O1 ΠΈ O ΡΠΎΠΎΡΠ½ΡΠ΅. ΠΠΏΡΠ΅Π΄Π΅Π»ΠΈΡΡ ΡΡΠΊΠΎΡΠ΅Π½ΠΈΠ΅ w Π³ΡΡΠ·Π° M, ΠΏΡΠ΅Π½Π΅Π±ΡΠ΅Π³Π°Ρ ΡΡΠ΅Π½ΠΈΠ΅ΠΌ, Π° ΡΠ°ΠΊΠΆΠ΅ ΠΌΠ°ΡΡΠ°ΠΌΠΈ Π±Π»ΠΎΠΊΠ°, ΡΠΊΠΈΠ²Π° ΠΈ Π½ΠΈΡΠΈ. (ΡΠ΅ΡΠ΅Π½ΠΈΠ΅)
4087. 48.33 ΠΠ°Π½Π° ΡΠΈΡΡΠ΅ΠΌΠ° ΠΈΠ· Π΄Π²ΡΡ
Π±Π»ΠΎΠΊΠΎΠ², Π½Π΅ΠΏΠΎΠ΄Π²ΠΈΠΆΠ½ΠΎΠ³ΠΎ A ΠΈ ΠΏΠΎΠ΄Π²ΠΈΠΆΠ½ΠΎΠ³ΠΎ B, ΠΈ ΡΡΠ΅Ρ
Π³ΡΡΠ·ΠΎΠ² M1, M2 ΠΈ M3, ΠΏΠΎΠ΄Π²Π΅ΡΠ΅Π½Π½ΡΡ
Ρ ΠΏΠΎΠΌΠΎΡΡΡ Π½Π΅ΡΠ°ΡΡΡΠΆΠΈΠΌΡΡ
Π½ΠΈΡΠ΅ΠΉ, ΠΊΠ°ΠΊ ΡΠΊΠ°Π·Π°Π½ΠΎ Π½Π° ΡΠΈΡΡΠ½ΠΊΠ΅. ΠΠ°ΡΡΡ Π³ΡΡΠ·ΠΎΠ² ΡΠΎΠΎΡΠ²Π΅ΡΡΡΠ²Π΅Π½Π½ΠΎ ΡΠ°Π²Π½Ρ m1, m2 ΠΈ m3, ΠΏΡΠΈ ΡΡΠΎΠΌ m1<m2+m3 ΠΈ m2β m3. ΠΠ°ΡΡΠ°ΠΌΠΈ Π±Π»ΠΎΠΊΠΎΠ² ΠΏΡΠ΅Π½Π΅Π±ΡΠ΅ΡΡ. ΠΠ°ΠΉΡΠΈ, ΠΏΡΠΈ ΠΊΠ°ΠΊΠΎΠΌ ΡΠΎΠΎΡΠ½ΠΎΡΠ΅Π½ΠΈΠΈ ΠΌΠ°ΡΡ m1, m2 ΠΈ m3 Π³ΡΡΠ· M1 Π±ΡΠ΄Π΅Ρ ΠΎΠΏΡΡΠΊΠ°ΡΡΡΡ Π² ΡΠΎΠΌ ΡΠ»ΡΡΠ°Π΅, ΠΊΠΎΠ³Π΄Π° Π½Π°ΡΠ°Π»ΡΠ½ΡΠ΅ ΡΠΊΠΎΡΠΎΡΡΠΈ Π³ΡΡΠ·ΠΎΠ² ΡΠ°Π²Π½Ρ Π½ΡΠ»Ρ. (ΡΠ΅ΡΠ΅Π½ΠΈΠ΅)
