Как найти производную по определению?
Поиск ЛекцийСоставить отношение и вычислить предел .
Откуда появилась таблица производных и правила дифференцирования? Благодаря единственному пределу . Кажется волшебством, но в действительности – ловкость рук и никакого мошенничества. На уроке Что такое производная? я начал рассматривать конкретные примеры, где с помощью определения нашёл производные линейной и квадратичной функции. В целях познавательной разминки продолжим тревожить таблицу производных, оттачивая алгоритм и технические приёмы решения:
Пример 1
Найти производную функции , пользуясь определением производной
По сути, требуется доказать частный случай производной степенной функции, который обычно фигурирует в таблице: .
Решение
Рассмотрим некоторую (конкретную) точку , принадлежащую области определения функции , в которой существует производная. Зададим в данной точке приращение (разумеется, не выходящее за рамки о/о-я) и составим соответствующее приращение функции:
Вычислим предел:
Неопределённость 0:0 устраняется стандартным приёмом, рассмотренным ещё в первом веке до нашей эры. Домножим числитель и знаменатель на сопряженное выражение :
Техника решения такого предела подробно рассмотрена на вводном уроке
Итак, .
Поскольку в качестве можно выбрать ЛЮБУЮ точку интервала , то, осуществив замену , получаем:
Ответ: по определению производной:
Готово.
В который раз порадуемся логарифмам:
Пример 2
Найти производную функции , пользуясь определением производной
Решение: рассмотрим другой подход к раскрутке той же задачи. Он точно такой же, но более рационален с точки зрения оформления. Идея состоит в том, чтобы в начале решения избавиться от подстрочного индекса и вместо буквы использовать букву .
Тогда соответствующее приращение функции:
Найдём производную:
Простота оформления уравновешивается путаницей, которая может возникнуть у начинающих (да и не только). Ведь мы привыкли, что в пределе изменяется буква «икс»! Но тут всё по-другому: – античная статуя, а – живой посетитель, бодро шагающий по коридору музея. То есть «икс» – это «как бы константа».
Устранение неопределённости закомментирую пошагово:
(1) Используем свойство логарифма .
(2) В скобках почленно делим числитель на знаменатель.
(3) В знаменателе искусственно домножаем и делим на «икс» чтобы воспользоваться замечательным пределом , при этом в качестве бесконечно малой величины выступает .
Ответ: по определению производной:
Или сокращённо:
Предлагаю самостоятельно сконструировать ещё две табличные формулы:
Пример 3
Найти производную по определению
Пример 3:Решение: рассмотрим некоторую точку , принадлежащую области определения функции . Зададим в данной точке приращение и составим соответствующее приращение функции:
Найдём производную в точке :
Так как в качестве можно выбрать любую точку области определения функции , то и
Ответ: по определению производной
Пример 4
Найти производную по определению
А тут всё необходимо свести к замечательному пределу . Решение оформлено вторым способом.
Аналогично выводится ряд других табличных производных. Полный список можно найти в школьном учебнике, или, например, 1-м томе Фихтенгольца. Не вижу особого смысла переписывать из книг и доказательства правил дифференцирования – они тоже порождены формулой .
Пример 4:Решение: рассмотрим произвольную точку , принадлежащую , и зададим в ней приращение . Тогда соответствующее приращение функции:
Найдём производную:
Используем замечательный предел
Ответ: по определению
Пример 5
Найти производную функции , используя определение производной
Решение: используем первый стиль оформления. Рассмотрим некоторую точку , принадлежащую , изададим в ней приращение аргумента . Тогда соответствующее приращение функции:
Возможно, некоторые читатели ещё не до конца поняли принцип, по которому нужно составлять приращение . Берём точку (число) и находим в ней значение функции: , то есть в функцию вместо
Составленное приращение функции бывает выгодно сразу же упростить. Зачем? Облегчить и укоротить решение дальнейшего предела.
Используем формулы , раскрываем скобки и сокращаем всё, что можно сократить:
Индейка выпотрошена, с жаркое никаких проблем:
В итоге:
Поскольку в качестве можно выбрать любое действительное число, то проведём замену и получим .
Ответ: по определению.
В целях проверки найдём производную с помощью правил дифференцирования и таблицы:
Всегда полезно и приятно знать правильный ответ заранее, поэтому лучше мысленно либо на черновике продифференцировать предложенную функцию «быстрым» способом в самом начале решения.
Пример 6
Найти производную функции по определению производной
Это пример для самостоятельного решения. Результат лежит на поверхности:
Пример 6:Решение: рассмотрим некоторую точку , принадлежащую , и зададим в ней приращение аргумента . Тогда соответствующее приращение функции:
Вычислим производную:
Таким образом:
Поскольку в качестве можно выбрать любое действительное число, то и
Ответ: по определению.
Вернёмся к стилю №2:
Пример 7
Пользуясь определением, найти производную функции
Давайте немедленно узнаем, что должно получиться. По правилу дифференцирования сложной функции:
Решение: рассмотрим произвольную точку , принадлежащую , зададим в ней приращение аргумента и составим приращение функции:
Найдём производную:
(1) Используем тригонометрическую формулу .
(2) Под синусом раскрываем скобки, под косинусом приводим подобные слагаемые.
(3) Под синусом сокращаем слагаемые, под косинусом почленно делим числитель на знаменатель.
(4) В силу нечётности синуса выносим «минус». Под косинусом указываем, что слагаемое .
(5) В знаменателе проводим искусственное домножение, чтобы использовать первый замечательный предел . Таким образом, неопределённость устранена, причёсываем результат.
Ответ: по определению
Как видите, основная трудность рассматриваемой задачи упирается в сложность самого предела + небольшое своеобразие упаковки. На практике встречаются и тот и другой способ оформления, поэтому я максимально подробно расписываю оба подхода. Они равноценны, но всё-таки, по моему субъективному впечатлению, чайникам целесообразнее придерживаться 1-го варианта с «икс нулевым».
Пример 8
Пользуясь определением, найти производную функции
Пример 8:Решение: рассмотрим произвольную точку , принадлежащую , зададим в ней приращение и составим приращение функции:
Найдём производную:
Ответ: по определению
Разберём более редкую версию задачи:
Пример 9
Найти производную функции в точке , пользуясь определением производной.
Во-первых, что должно получиться в сухом остатке? Число
Вычислим ответ стандартным способом:
Решение: с точки зрения наглядности это задание значительно проще, так как в формуле вместо рассматривается конкретное значение.
Зададим в точке приращение и составим соответствующее приращение функции:
Вычислим производную в точке:
Используем весьма редкую формулу разности тангенсов и в который раз сведём решение к первому замечательному пределу:
Ответ: по определению производной в точке.
Задачу не так трудно решить и «в общем виде» – достаточно заменить на или просто в зависимости от способа оформления. В этом случае, понятно, получится не число, а производная функция.
Пример 10
Используя определение, найти производную функции в точке
Пример 10:Решение: Зададим приращение в точке . Тогда приращение функции:
Вычислим производную в точке:
Умножим числитель и знаменатель на сопряженное выражение:
Ответ: по определению производной в точкеЗаключительная бонус-задача предназначена, прежде всего, для студентов с углубленным изучением математического анализа, но и всем остальным тоже не помешает:
Пример 11
Будет ли дифференцируема функция в точке ?
Решение: очевидно, что кусочно-заданная функция непрерывна в точке , но будет ли она там дифференцируема?
Алгоритм решения, причём не только для кусочных функций, таков:
1) Находим левостороннюю производную в данной точке: .
2) Находим правостороннюю производную в данной точке: .
3) Если односторонние производные конечны и совпадают: , то функция дифференцируема в точке и геометрически здесь существует общая касательная (см. теоретическую часть урока Определение и смысл производной). Если получены два разных значения: (одно из которых может оказаться и бесконечным), то функция не дифференцируема в точке .
Если же обе односторонние производные равны бесконечности (пусть даже разных знаков), то функция не дифференцируема в точке , но там существует бесконечная производная и общая вертикальная касательная к графику (см. Пример 5 урока Уравнение нормали).
! Примечание: таким образом, между вопросами «Будет ли дифференцируема функция в точке?» и «Существует ли производная в точке?» есть разница!
Всё очень просто!
1) При нахождении левосторонней производной приращение аргумента отрицательно: , а слева от точки расположена парабола , поэтому приращение функции равно:
И соответствующий левосторонний предел численно равен левосторонней производной в рассматриваемой точке:
2) Справа от точки находится график прямой и приращение аргумента положительно: . Таким образом, приращение функции:
Правосторонний предел и правосторонняя производная в точке:
3) Односторонние производные конечны и различны:
Ответ: функция не дифференцируема в точке .
Ещё легче доказывается книжный случай недифференцируемости модуля в точке , о котором я в общих чертах уже рассказал на теоретическом уроке о производной.
Некоторые кусочно-заданные функции дифференцируемы и в точках «стыка» графика, например, котопёс обладает общей производной и общей касательной (ось абсцисс) в точке . Кривой, да дифференцируемый на ! Желающие могут убедиться в этом самостоятельно по образцу только что решённого примера.
poisk-ru.ru
Нахождение производной
Нахождение производной
Если вас интересуют общие вопросы и само понятие производной, вы можете посмотреть цикл демонстрационных видеороликов от автора данного сайта Максима Семенихина на тему «Понятие производной».
- Понятие о скорости возрастания и убывания функции (6:01)
- Вычисление скорости возрастающей функции (2:05)
- Вычисление скорости убывающей функции (2:18)
- На разных промежутках – разная скорость (4:15)
- Средняя и мгновенная скорости (3:38)
- Средняя скорость возрастания функции (1:59)
- Определение производной как скорости (2:50)
- Пример вычисления производной по определению (3:46)
- Обозначение производной (1:41)
а также видеоурок
Вычисление производных сложных функций (14:51)
Для нахождения производной функции в общем случае необходимо знать следующее:
- Таблицу производных элементарных функций.
- Правила дифференцирования.
- Как находить производную сложной функции.
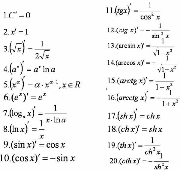
Таблица производных элементарных функций представлена ниже:

Для нахождения производной суммы, произведения и частного функций используются три правила дифференцирования:
Для нахождения производной сложной функции используется формула
f(g(x))’ = f ‘(g(x)) · g‘(x)
Нахождение производной сложной функции – вопрос, заслуживающий отдельного рассмотрения. Вы можете просмотреть видеоурок «Вычисление производных сложных функций».
Онлайн калькулятор
для нахождения производной
любой функции
Для нахождения производной любой функции вы можете воспользоваться калькулятором (виджетом WolframAlpha) вверху страницы. Просто введите функцию в текстовое поле, нажмите кнопку «=» и получите результат.
Для того, чтобы получить пошаговое объяснение нахождению производной, нажмите ссылку «Step-by-step Solution», которая появится после нажатия кнопки «=».
mathonline.um-razum.ru
Определение производной. Общее правило нахождения производной.
Определение производной. Общее правило нахождения производной.
Производная – придел отношения приращения функции к приращению аргумента, когда приращение аргумента стремится к 0
Общее правило: находим , потом и затем обношение
Правила и формулы дифференцирования элементарных функций.
Дифференцирование– это взятие производной от функции.
Правила дифференцирования:
1)производная постоянной равна нулю
(c)ʹ = 0, c – const
2)производная Х равна 1
(x)ʹ = 1
3) постоянный множитель выносится за знак производной
(c*u)ʹ=c*uʹ, c – const
4) производная алгебраической суммы функции равна алгебраической сумме производных от каждого слагаемого
(u+γ-ω) ʹ= uʹ+γʹ-ωʹ
5) производная произведения равна производной первого множителя на второй, плюс производная второго множителя, умноженного на первый
(u*γ) ʹ= uʹγ+ γʹu
6) производная частного равна производной числителя умноженного на знаменатель, минус производная знаменателя, умноженная на числитель и делить на знаменатель в квадрате
Формулы дифференцирования:
Дифференцирование логарифмической функции. Производная показательной функции.
Производная показательной функции.
Дифференцирование тригонометрических функций и обратных тригонометрических функций.
см 2 билет ( косинусы, синусы, тангенсы, катангенсы, арккосинусы, арксинусы, арктангенсы)
Производная второго порядка и её механический смысл. Уравнение касательной.
Производную от функции часто называют производной первого порядка (первой производной). Очевидно, что производная также является функцией и если она дифференцируема, то от нее в свою очередь можно взять производную, которую называют производной второго порядка (второй производной) и обозначают yʹʹ,
Пусть тело движется прямолинейно по закону S=f(t). Как известно, скорость U движения тела в данный момент времени равно производной пути по времени, т.е. U=S
Если тело движется неравномерно, то скорость с течением времени изменяется и за промежуток времени получает приращение
В этом случае величина отношения показывающаяся изменение скорости за единицу времени, называется средним ускорением в промежутке времени от t до t+
Пусть , тогда t+ , а среднее ускорение стремится к величине, которая называется ускорение в данный момент времени t
Таким образом, ускорение прямолинейного движения тела в данный момент равно второй производной пути по времени, вычисленной для данного момента.
Уравнение касательной:
y=f(x)
Понятие дифференциала. Геометрический смысл дифференциала. Вычисление дифференциала.
Дифференциал– главная часть приращения функции, линейная относительно приращения независимой переменной, обозначается знаком d т.е.
Геометрический смысл: дифференциал функции геометрический изображается приращением ординаты касательной, проведенной в точке М(x;y) при данных значениях x и
дифференциал можно вычислить по формуле
Точка перегиба. Алгоритм нахождения точки перегиба. Исследование функции и построение графика.
Точка перегиба – точка на кривой, где меняется направление выпуклости
Алгоритм:
1. находим 2-ую производную
2. приравниваем ее к 0 и решаем уравнение y
3. отмечаем решение на прямой и узнаем знак второй производной на каждом интервале.
Если смена равна производной, то х = с – абсцисса точки перегиба
Чтобы найти ординату для точек надо подставить ее в функцию
Правило:
Если 2-ая производная на интервале положительна, то функция выпукла вверх
Если 2-ая производная на интервале отрицательна, то функция выпукла вниз
(начало 8 билет)
y
6х=0
х=0
х=0 – абсцисса точки перегиба
у(0)=-9*0+0 => (0;0) – точка перегиба
Формулы интегрирования. Вычисление неопределенного интеграла. Пример.
Тут надо придумать. Можно что-то простое
Геометрический смысл определенного интеграла. Формула Ньютона-Лейбица.
Геометрический смысл: определенный интеграл представляет собой площадь криволинейной трапеции, ограниченной линиями y=f(x) прямыми х=а и х=b и отрезками ab на ОХ
Определенный интеграл высчитывается по формуле Ньютона-Лейбица:
Основные понятия стереометрии. Аксиомы стереометрии. Их следствия. Взаимное расположение двух прямых в пространстве.
Стереометрия – это раздел геометрии, в котором фигуры изучаются в пространстве.
Основные фигуры: точка, прямая, плоскость.
Аксиомы:
1. Какова бы ни была плоскость, существуют точки принадлежащие и не принадлежащие ей.
2.Если две плоскости имеют общую точку, то они пересекаются по прямой, проходящую через эту точку.
3.Через две пересекающиеся прямые можно провести плоскость, и притом только одну.
Следствия из них:
1. Через прямую и не лежащую на ней точку можно провести плоскость, и притом только одну.
Доказательство: возьмем точку принадлежащую прямой. Через две точки проведем прямую, назовем b. Имея две пересекающиеся прямые по аксиоме мы может провести плоскость и притом только одну.
2. Если две точки прямой принадлежат плоскости, то и сама прямая принадлежит этой плоскости.
Доказательство: пусть a – данная прямая и α – данная плоскость. Проведем через прямую a и точку A плоскость α`. Если плоскость α` совпадает с α, то плоскость α содержит прямую a, что и утверждается теоремой. Если плоскость α` отлична от α, то эти плоскости пересекаются по прямой a`, содержащей две точки прямой a.
3. Через три точки, не лежащие на одной прямой, можно провести плоскость, и притом только одну.
Взаимное расположение двух прямых в пространстве:
Прямые, лежащие на одной плоскости, имеющих одну общую точку ,называютпересекающимися.
Прямые называютсяпараллельными, если они лежат в одной плоскости и не имеют общих точек.
Прямые называются скрещивающимися, если они лежат в разных плоскостях.
Определение производной. Общее правило нахождения производной.
Производная – придел отношения приращения функции к приращению аргумента, когда приращение аргумента стремится к 0
Общее правило: находим , потом и затем обношение
Рекомендуемые страницы:
lektsia.com
