Β§1. ΠΠΏΡΠ΅Π΄Π΅Π»Π΅Π½ΠΈΠ΅ ΠΏΡΠΎΠΈΠ·Π²ΠΎΠ΄Π½ΠΎΠΉ.
ΠΡΠΎΠΈΠ·Π²ΠΎΠ΄Π½Π°Ρ ΡΡΠ½ΠΊΡΠΈΠΈ ΠΎΠ΄Π½ΠΎΠΉ ΠΏΠ΅ΡΠ΅ΠΌΠ΅Π½Π½ΠΎΠΉ.
ΠΠ²Π΅Π΄Π΅Π½ΠΈΠ΅.
ΠΠ°ΡΡΠΎΡΡΠΈΠ΅ ΠΌΠ΅ΡΠΎΠ΄ΠΈΡΠ΅ΡΠΊΠΈΠ΅ ΡΠ°Π·ΡΠ°Π±ΠΎΡΠΊΠΈ ΠΏΡΠ΅Π΄Π½Π°Π·Π½Π°ΡΠ΅Π½Ρ Π΄Π»Ρ ΡΡΡΠ΄Π΅Π½ΡΠΎΠ² ΡΠ°ΠΊΡΠ»ΡΡΠ΅ΡΠ° ΠΏΡΠΎΠΌΡΡΠ»Π΅Π½Π½ΠΎΠ΅ ΠΈ Π³ΡΠ°ΠΆΠ΄Π°Π½ΡΠΊΠΎΠ΅ ΡΡΡΠΎΠΈΡΠ΅Π»ΡΡΡΠ²ΠΎ. ΠΠ½ΠΈ ΡΠΎΡΡΠ°Π²Π»Π΅Π½Ρ ΠΏΡΠΈΠΌΠ΅Π½ΠΈΡΠ΅Π»ΡΠ½ΠΎ ΠΊ ΠΏΡΠΎΠ³ΡΠ°ΠΌΠΌΠ΅ ΠΊΡΡΡΠ° ΠΌΠ°ΡΠ΅ΠΌΠ°ΡΠΈΠΊΠΈ ΠΏΠΎ ΡΠ°Π·Π΄Π΅Π»Ρ Β«ΠΠΈΡΡΠ΅ΡΠ΅Π½ΡΠΈΠ°Π»ΡΠ½ΠΎΠ΅ ΠΈΡΡΠΈΡΠ»Π΅Π½ΠΈΠ΅ ΡΡΠ½ΠΊΡΠΈΠΉ ΠΎΠ΄Π½ΠΎΠ³ΠΎ ΠΏΠ΅ΡΠ΅ΠΌΠ΅Π½Π½ΠΎΠ³ΠΎΒ».
Π Π°Π·ΡΠ°Π±ΠΎΡΠΊΠΈ ΠΏΡΠ΅Π΄ΡΡΠ°Π²Π»ΡΡΡ ΡΠΎΠ±ΠΎΠΉ Π΅Π΄ΠΈΠ½ΠΎΠ΅ ΠΌΠ΅ΡΠΎΠ΄ΠΈΡΠ΅ΡΠΊΠΎΠ΅ ΡΡΠΊΠΎΠ²ΠΎΠ΄ΡΡΠ²ΠΎ, Π²ΠΊΠ»ΡΡΠ°ΡΡΠ΅Π΅ Π² ΡΠ΅Π±Ρ: ΠΊΡΠ°ΡΠΊΠΈΠ΅ ΡΠ΅ΠΎΡΠ΅ΡΠΈΡΠ΅ΡΠΊΠΈΠ΅ ΡΠ²Π΅Π΄Π΅Π½ΠΈΡ; Β«ΡΠΈΠΏΠΎΠ²ΡΠ΅Β» Π·Π°Π΄Π°ΡΠΈ ΠΈ ΡΠΏΡΠ°ΠΆΠ½Π΅Π½ΠΈΡ Ρ ΠΏΠΎΠ΄ΡΠΎΠ±Π½ΡΠΌΠΈ ΡΠ΅ΡΠ΅Π½ΠΈΡΠΌΠΈ ΠΈ ΠΏΠΎΡΡΠ½Π΅Π½ΠΈΡΠΌΠΈ ΠΊ ΡΡΠΈΠΌ ΡΠ΅ΡΠ΅Π½ΠΈΡΠΌ; Π²Π°ΡΠΈΠ°Π½ΡΡ ΠΊΠΎΠ½ΡΡΠΎΠ»ΡΠ½ΠΎΠΉ ΡΠ°Π±ΠΎΡΡ.
Π ΠΊΠΎΠ½ΡΠ΅ ΠΊΠ°ΠΆΠ΄ΠΎΠ³ΠΎ ΠΏΠ°ΡΠ°Π³ΡΠ°ΡΠ° Π΄ΠΎΠΏΠΎΠ»Π½ΠΈΡΠ΅Π»ΡΠ½ΡΠ΅ ΡΠΏΡΠ°ΠΆΠ½Π΅Π½ΠΈΡ. Π’Π°ΠΊΠ°Ρ ΡΡΡΡΠΊΡΡΡΠ° ΡΠ°Π·ΡΠ°Π±ΠΎΡΠΎΠΊ Π΄Π΅Π»Π°Π΅Ρ ΠΈΡ ΠΏΡΠΈΠ³ΠΎΠ΄Π½ΡΠΌΠΈ Π΄Π»Ρ ΡΠ°ΠΌΠΎΡΡΠΎΡΡΠ΅Π»ΡΠ½ΠΎΠ³ΠΎ ΠΎΠ²Π»Π°Π΄Π΅Π½ΠΈΡ ΡΠ°Π·Π΄Π΅Π»ΠΎΠΌ ΠΏΡΠΈ ΡΠ°ΠΌΠΎΠΉ ΠΌΠΈΠ½ΠΈΠΌΠ°Π»ΡΠ½ΠΎΠΉ ΠΏΠΎΠΌΠΎΡΠΈ ΡΠΎ ΡΡΠΎΡΠΎΠ½Ρ ΠΏΡΠ΅ΠΏΠΎΠ΄Π°Π²Π°ΡΠ΅Π»Ρ.
ΠΠ΅Ρ Π°Π½ΠΈΡΠ΅ΡΠΊΠΈΠΉ ΠΈ Π³Π΅ΠΎΠΌΠ΅ΡΡΠΈΡΠ΅ΡΠΊΠΈΠΉ ΡΠΌΡΡΠ»
ΠΏΡΠΎΠΈΠ·Π²ΠΎΠ΄Π½ΠΎΠΉ.
ΠΠΎΠ½ΡΡΠΈΠ΅ ΠΏΡΠΎΠΈΠ·Π²ΠΎΠ΄Π½ΠΎΠΉ ΡΠ²Π»ΡΠ΅ΡΡΡ ΠΎΠ΄Π½ΠΈΠΌ ΠΈΠ· ΡΠ°ΠΌΡΡ Π²Π°ΠΆΠ½ΡΡ ΠΏΠΎΠ½ΡΡΠΈΠΉ ΠΌΠ°ΡΠ΅ΠΌΠ°ΡΠΈΡΠ΅ΡΠΊΠΎΠ³ΠΎ Π°Π½Π°Π»ΠΈΠ·Π°.ΠΠ½ΠΎ Π²ΠΎΠ·Π½ΠΈΠΊΠ»ΠΎ Π΅ΡΠ΅ Π² 17 Π²Π΅ΠΊΠ΅. Π€ΠΎΡΠΌΠΈΡΠΎΠ²Π°Π½ΠΈΠ΅ ΠΏΠΎΠ½ΡΡΠΈΡ ΠΏΡΠΎΠΈΠ·Π²ΠΎΠ΄Π½ΠΎΠΉ ΠΈΡΡΠΎΡΠΈΡΠ΅ΡΠΊΠΈ ΡΠ²ΡΠ·Π°Π½ΠΎ Ρ Π΄Π²ΡΠΌΡ Π·Π°Π΄Π°ΡΠ°ΠΌΠΈ: Π·Π°Π΄Π°ΡΠ΅ΠΉ ΠΎ ΡΠΊΠΎΡΠΎΡΡΠΈ ΠΏΠ΅ΡΠ΅ΠΌΠ΅Π½Π½ΠΎΠ³ΠΎ Π΄Π²ΠΈΠΆΠ΅Π½ΠΈΡ ΠΈ Π·Π°Π΄Π°ΡΠ΅ΠΉ ΠΎ ΠΊΠ°ΡΠ°ΡΠ΅Π»ΡΠ½ΠΎΠΉ ΠΊ ΠΊΡΠΈΠ²ΠΎΠΉ.
ΠΡΠΈ Π·Π°Π΄Π°ΡΠΈ, Π½Π΅ΡΠΌΠΎΡΡΡ Π½Π° ΠΈΡ ΡΠ°Π·Π»ΠΈΡΠ½ΠΎΠ΅ ΡΠΎΠ΄Π΅ΡΠΆΠ°Π½ΠΈΠ΅, ΠΏΡΠΈΠ²ΠΎΠ΄ΡΡ ΠΊ ΠΎΠ΄Π½ΠΎΠΉ ΠΈ ΡΠΎΠΉ ΠΆΠ΅ ΠΌΠ°ΡΠ΅ΠΌΠ°ΡΠΈΡΠ΅ΡΠΊΠΎΠΉ ΠΎΠΏΠ΅ΡΠ°ΡΠΈΠΈ, ΠΊΠΎΡΠΎΡΡΡ Π½ΡΠΆΠ½ΠΎ ΠΏΡΠΎΠ²Π΅ΡΡΠΈ Π½Π°Π΄ ΡΡΠ½ΠΊΡΠΈΠ΅ΠΉ.ΠΡΠ° ΠΎΠΏΠ΅ΡΠ°ΡΠΈΡ ΠΏΠΎΠ»ΡΡΠΈΠ»Π° Π² ΠΌΠ°ΡΠ΅ΠΌΠ°ΡΠΈΠΊΠ΅ ΡΠΏΠ΅ΡΠΈΠ°Π»ΡΠ½ΠΎΠ΅ Π½Π°Π·Π²Π°Π½ΠΈΠ΅. ΠΠ½Π° Π½Π°Π·ΡΠ²Π°Π΅ΡΡΡ ΠΎΠΏΠ΅ΡΠ°ΡΠΈΠ΅ΠΉ Π΄ΠΈΡΡΠ΅ΡΠ΅Π½ΡΠΈΡΠΎΠ²Π°Π½ΠΈΡ ΡΡΠ½ΠΊΡΠΈΠΈ. Π Π΅Π·ΡΠ»ΡΡΠ°Ρ ΠΎΠΏΠ΅ΡΠ°ΡΠΈΠΈ Π΄ΠΈΡΡΠ΅ΡΠ΅Π½ΡΠΈΡΠΎΠ²Π°Π½ΠΈΡ Π½Π°Π·ΡΠ²Π°Π΅ΡΡΡ ΠΏΡΠΎΠΈΠ·Π²ΠΎΠ΄Π½ΠΎΠΉ.
ΠΡΠ°ΠΊ, ΠΏΡΠΎΠΈΠ·Π²ΠΎΠ΄Π½ΠΎΠΉ ΡΡΠ½ΠΊΡΠΈΠΈy=f(x)
Π² ΡΠΎΡΠΊΠ΅x0 Π½Π°Π·ΡΠ²Π°Π΅ΡΡΡ
ΠΏΡΠ΅Π΄Π΅Π» (Π΅ΡΠ»ΠΈ ΠΎΠ½ ΡΡΡΠ΅ΡΡΠ²ΡΠ΅Ρ) ΠΎΡΠ½ΠΎΡΠ΅Π½ΠΈΡ
ΠΏΡΠΈΡΠ°ΡΠ΅Π½ΠΈΡ ΡΡΠ½ΠΊΡΠΈΠΈ
ΠΊ ΠΏΡΠΈΡΠ°ΡΠ΅Π½ΠΈΡ Π°ΡΠ³ΡΠΌΠ΅Π½ΡΠ°
ΠΏΡΠΈ
.
ΠΡΠΎΠΈΠ·Π²ΠΎΠ΄Π½ΡΡ ΠΏΡΠΈΠ½ΡΡΠΎ ΠΎΠ±ΠΎΠ·Π½Π°ΡΠ°ΡΡ
ΡΠ°ΠΊ:
.
Π’Π°ΠΊΠΈΠΌ ΠΎΠ±ΡΠ°Π·ΠΎΠΌ, ΠΏΠΎ ΠΎΠΏΡΠ΅Π΄Π΅Π»Π΅Π½ΠΈΡ
.
ΠΠ»Ρ ΠΎΠ±ΠΎΠ·Π½Π°ΡΠ΅Π½ΠΈΡ ΠΏΡΠΎΠΈΠ·Π²ΠΎΠ΄Π½ΠΎΠΉ ΡΠΏΠΎΡΡΠ΅Π±Π»ΡΡΡΡΡ
ΡΠ°ΠΊΠΆΠ΅ ΡΠΈΠΌΠ²ΠΎΠ»Ρ
.
ΠΡΠ»ΠΈ s=s(t)
β Π·Π°ΠΊΠΎΠ½ ΠΏΡΡΠΌΠΎΠ»ΠΈΠ½Π΅ΠΉΠ½ΠΎΠ³ΠΎ Π΄Π²ΠΈΠΆΠ΅Π½ΠΈΡ
ΠΌΠ°ΡΠ΅ΡΠΈΠ°Π»ΡΠ½ΠΎΠΉ ΡΠΎΡΠΊΠΈ, ΡΠΎ
Π΅ΡΡΡ ΡΠΊΠΎΡΠΎΡΡΡ ΡΡΠΎΠΉ ΡΠΎΡΠΊΠΈ Π² ΠΌΠΎΠΌΠ΅Π½Ρ Π²ΡΠ΅ΠΌΠ΅Π½ΠΈt.
ΠΠ΅ΠΎΠΌΠ΅ΡΡΠΈΡΠ΅ΡΠΊΠΈΠΉ ΡΠΌΡΡΠ» ΠΏΡΠΎΠΈΠ·Π²ΠΎΠ΄Π½ΠΎΠΉ.
ΠΡΠ»ΠΈ ΡΡΠ½ΠΊΡΠΈΡ y=f(x)
ΠΈΠΌΠ΅Π΅Ρ ΠΏΡΠΎΠΈΠ·Π²ΠΎΠ΄Π½ΡΡ Π² ΡΠΎΡΠΊΠ΅
,
ΡΠΎ ΡΠ³Π»ΠΎΠ²ΠΎΠΉ ΠΊΠΎΡΡΡΠΈΡΠΈΠ΅Π½Ρ ΠΊΠ°ΡΠ°ΡΠ΅Π»ΡΠ½ΠΎΠΉ ΠΊ
Π³ΡΠ°ΡΠΈΠΊΡ ΡΡΠ½ΠΊΡΠΈΠΈ Π² ΡΠΎΡΠΊΠ΅ΡΠ°Π²Π΅Π½
.
ΠΡΠΈΠΌΠ΅Ρ.
ΠΠ°ΠΉΠ΄ΠΈΡΠ΅ ΠΏΡΠΎΠΈΠ·Π²ΠΎΠ΄Π½ΡΡ ΡΡΠ½ΠΊΡΠΈΠΈ 
=2: 1) ΠΠ°Π΄ΠΈΠΌ ΡΠΎΡΠΊΠ΅
=2
ΠΏΡΠΈΡΠ°ΡΠ΅Π½ΠΈΠ΅
.
ΠΠ°ΠΌΠ΅ΡΠΈΠΌ, ΡΡΠΎ.
2) ΠΠ°ΠΉΠ΄Π΅ΠΌ ΠΏΡΠΈΡΠ°ΡΠ΅Π½ΠΈΠ΅ ΡΡΠ½ΠΊΡΠΈΠΈ Π² ΡΠΎΡΠΊΠ΅
=2:
3) Π‘ΠΎΡΡΠ°Π²ΠΈΠΌ ΠΎΡΠ½ΠΎΡΠ΅Π½ΠΈΠ΅ ΠΏΡΠΈΡΠ°ΡΠ΅Π½ΠΈΡ ΡΡΠ½ΠΊΡΠΈΠΈ ΠΊ ΠΏΡΠΈΡΠ°ΡΠ΅Π½ΠΈΡ Π°ΡΠ³ΡΠΌΠ΅Π½ΡΠ°:
.
ΠΠ°ΠΉΠ΄Π΅ΠΌ ΠΏΡΠ΅Π΄Π΅Π» ΠΎΡΠ½ΠΎΡΠ΅Π½ΠΈΡ ΠΏΡΠΈ
:
.
Β§ 2. ΠΡΠΎΠΈΠ·Π²ΠΎΠ΄Π½ΡΠ΅ ΠΎΡ Π½Π΅ΠΊΠΎΡΠΎΡΡΡ
ΠΏΡΠΎΡΡΠ΅ΠΉΡΠΈΡ ΡΡΠ½ΠΊΡΠΈΠΉ.
Π‘ΡΡΠ΄Π΅Π½ΡΡ Π½Π΅ΠΎΠ±Ρ
ΠΎΠ΄ΠΈΠΌΠΎ Π½Π°ΡΡΠΈΡΡΡΡ Π²ΡΡΠΈΡΠ»ΡΡΡ
ΠΏΡΠΎΠΈΠ·Π²ΠΎΠ΄Π½ΡΠ΅ ΠΊΠΎΠ½ΠΊΡΠ΅ΡΠ½ΡΡ
ΡΡΠ½ΠΊΡΠΈΠΉ: y=x,y=
ΠΈ Π²ΠΎΠΎΠ±ΡΠ΅y=
.
ΠΠ°ΠΉΠ΄Π΅ΠΌ ΠΏΡΠΎΠΈΠ·Π²ΠΎΠ΄Π½ΡΡ ΡΡΠ½ΠΊΡΠΈΠΈ Ρ=Ρ .
ΠΠΌΠ΅Π΅ΠΌ:
Ρ.Π΅. (x)β²=1.
ΠΠ°ΠΉΠ΄Π΅ΠΌ ΠΏΡΠΎΠΈΠ·Π²ΠΎΠ΄Π½ΡΡ ΡΡΠ½ΠΊΡΠΈΠΈ

ΠΡΠΎΠΈΠ·Π²ΠΎΠ΄Π½Π°Ρ
ΠΡΡΡΡ 
ΠΠ΅Π³ΠΊΠΎ Π·Π°ΠΌΠ΅ΡΠΈΡΡ Π·Π°ΠΊΠΎΠ½ΠΎΠΌΠ΅ΡΠ½ΠΎΡΡΡ Π²
Π²ΡΡΠ°ΠΆΠ΅Π½ΠΈΡΡ
ΠΏΡΠΎΠΈΠ·Π²ΠΎΠ΄Π½ΡΡ
ΠΎΡ ΡΡΠ΅ΠΏΠ΅Π½Π½ΠΎΠΉ
ΡΡΠ½ΠΊΡΠΈΠΈ
ΠΏΡΠΈn=1,2,3.
Π‘Π»Π΅Π΄ΠΎΠ²Π°ΡΠ΅Π»ΡΠ½ΠΎ,
. (1)
ΠΡΠ° ΡΠΎΡΠΌΡΠ»Π° ΡΠΏΡΠ°Π²Π΅Π΄Π»ΠΈΠ²Π° Π΄Π»Ρ Π»ΡΠ±ΡΡ Π΄Π΅ΠΉΡΡΠ²ΠΈΡΠ΅Π»ΡΠ½ΡΡ n.
Π ΡΠ°ΡΡΠ½ΠΎΡΡΠΈ, ΠΈΡΠΏΠΎΠ»ΡΠ·ΡΡ ΡΠΎΡΠΌΡΠ»Ρ (1), ΠΈΠΌΠ΅Π΅ΠΌ:
;
.
ΠΡΠΈΠΌΠ΅Ρ.
ΠΠ°ΠΉΠ΄ΠΈΡΠ΅ ΠΏΡΠΎΠΈΠ·Π²ΠΎΠ΄Π½ΡΡ ΡΡΠ½ΠΊΡΠΈΠΈ
.
Π Π΅ΡΠ΅Π½ΠΈΠ΅:

ΠΠ°Π½Π½Π°Ρ ΡΡΠ½ΠΊΡΠΈΡ ΡΠ²Π»ΡΠ΅ΡΡΡ ΡΠ°ΡΡΠ½ΡΠΌ ΡΠ»ΡΡΠ°Π΅ΠΌ ΡΡΠ½ΠΊΡΠΈΠΈ Π²ΠΈΠ΄Π°
ΠΏΡΠΈ
.
ΠΡΠΏΠΎΠ»ΡΠ·ΡΡ ΡΠΎΡΠΌΡΠ»Ρ (1), ΠΈΠΌΠ΅Π΅ΠΌ
.
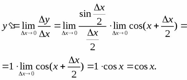
ΠΡΠΎΠΈΠ·Π²ΠΎΠ΄Π½ΡΠ΅ ΡΡΠ½ΠΊΡΠΈΠΉ y=sin x ΠΈ y=cos x.
ΠΡΡΡΡ y=sinx.
Π Π°Π·Π΄Π΅Π»ΠΈΠΌ Π½Π° βx, ΠΏΠΎΠ»ΡΡΠΈΠΌ
ΠΠ΅ΡΠ΅Ρ ΠΎΠ΄Ρ ΠΊ ΠΏΡΠ΅Π΄Π΅Π»Ρ ΠΏΡΠΈ βxβ0, ΠΈΠΌΠ΅Π΅ΠΌ

ΠΡΡΡΡ y=cosx .
Π’ΠΎΠ³Π΄Π°
ΠΡΡΡΠ΄Π°

ΠΠ΅ΡΠ΅Ρ ΠΎΠ΄Ρ ΠΊ ΠΏΡΠ΅Π΄Π΅Π»Ρ ΠΏΡΠΈ βxβ0, ΠΏΠΎΠ»ΡΡΠΈΠΌ
;. (2)
Β§3. ΠΡΠ½ΠΎΠ²Π½ΡΠ΅ ΠΏΡΠ°Π²ΠΈΠ»Π° Π΄ΠΈΡΡΠ΅ΡΠ΅Π½ΡΠΈΡΠΎΠ²Π°Π½ΠΈΡ.
Π Π°ΡΡΠΌΠΎΡΡΠΈΠΌ ΠΏΡΠ°Π²ΠΈΠ»Π° Π΄ΠΈΡΡΠ΅ΡΠ΅Π½ΡΠΈΡΠΎΠ²Π°Π½ΠΈΡ.
Π’Π΅ΠΎΡΠ΅ΠΌΠ° 1. ΠΡΠ»ΠΈ ΡΡΠ½ΠΊΡΠΈΠΈu=u(x) ΠΈv=v(x) Π΄ΠΈΡΡΠ΅ΡΠ΅Π½ΡΠΈΡΡΠ΅ΠΌΡ Π² Π΄Π°Π½Π½ΠΎΠΉ ΡΠΎΡΠΊΠ΅x,ΡΠΎ Π² ΡΡΠΎΠΉ ΡΠΎΡΠΊΠ΅ Π΄ΠΈΡΡΠ΅ΡΠ΅Π½ΡΠΈΡΡΠ΅ΠΌΠ° ΠΈ ΠΈΡ ΡΡΠΌΠΌΠ°, ΠΏΡΠΈΡΠ΅ΠΌ ΠΏΡΠΎΠΈΠ·Π²ΠΎΠ΄Π½Π°Ρ ΡΡΠΌΠΌΡ ΡΠ°Π²Π½Π° ΡΡΠΌΠΌΠ΅ ΠΏΡΠΎΠΈΠ·Π²ΠΎΠ΄Π½ΡΡ ΡΠ»Π°Π³Π°Π΅ΠΌΡΡ : (u+v)’=u’+v’.(3)
ΠΠΎΠΊΠ°Π·Π°ΡΠ΅Π»ΡΡΡΠ²ΠΎ: ΡΠ°ΡΡΠΌΠΎΡΡΠΈΠΌ ΡΡΠ½ΠΊΡΠΈΡ y=f(x)=u(x)+v(x).
ΠΡΠΈΡΠ°ΡΠ΅Π½ΠΈΡ βx Π°ΡΠ³ΡΠΌΠ΅Π½ΡΠ° x ΡΠΎΠΎΡΠ²Π΅ΡΡΡΠ²ΡΡΡ ΠΏΡΠΈΡΠ°ΡΠ΅Π½ΠΈΡ βu=u(x+βx)-u(x), βv=v(x+βx)-v(x) ΡΡΠ½ΠΊΡΠΈΠΉ u ΠΈ v. Π’ΠΎΠ³Π΄Π° ΡΡΠ½ΠΊΡΠΈΡ y ΠΏΠΎΠ»ΡΡΠΈΡ ΠΏΡΠΈΡΠ°ΡΠ΅Π½ΠΈΠ΅
βy=f(x+βx)-f(x)=
=[u(x+βx)+v(x+βx)]–[u(x)+v(x)]=βu+βv.
Π‘Π»Π΅Π΄ΠΎΠ²Π°ΡΠ΅Π»ΡΠ½ΠΎ,
ΠΡΠ°ΠΊ, (u+v)’=u’+v’.
Π’Π΅ΠΎΡΠ΅ΠΌΠ° 2.ΠΡΠ»ΠΈ ΡΡΠ½ΠΊΡΠΈΠΈu=u(x) ΠΈv=v(x) Π΄ΠΈΡΡΠ΅ΡΠ΅Π½ΡΠΈΡΡΠ΅ΠΌΡ Π² Π΄Π°Π½Π½ΠΎΠΉ ΡΠΎΡΠΊΠ΅x, ΡΠΎ Π² ΡΠΎΠΉ ΠΆΠ΅ ΡΠΎΡΠΊΠ΅ Π΄ΠΈΡΡΠ΅ΡΠ΅Π½ΡΠΈΡΡΠ΅ΠΌΠΎ ΠΈ ΠΈΡ ΠΏΡΠΎΠΈΠ·Π²Π΅Π΄Π΅Π½ΠΈΠ΅.ΠΡΠΈ ΡΡΠΎΠΌ ΠΏΡΠΎΠΈΠ·Π²ΠΎΠ΄Π½Π°Ρ ΠΏΡΠΎΠΈΠ·Π²Π΅Π΄Π΅Π½ΠΈΡ Π½Π°Ρ ΠΎΠ΄ΠΈΡΡΡ ΠΏΠΎ ΡΠ»Π΅Π΄ΡΡΡΠ΅ΠΉ ΡΠΎΡΠΌΡΠ»Π΅: (uv)’=u’v+uv’. (4)
ΠΠΎΠΊΠ°Π·Π°ΡΠ΅Π»ΡΡΡΠ²ΠΎ: ΠΡΡΡΡ y=uv, Π³Π΄Π΅ u ΠΈ v β Π½Π΅ΠΊΠΎΡΠΎΡΡΠ΅ Π΄ΠΈΡΡΠ΅ΡΠ΅Π½ΡΠΈΡΡΠ΅ΠΌΡΠ΅ ΡΡΠ½ΠΊΡΠΈΠΈ ΠΎΡ x. ΠΠ°Π΄ΠΈΠΌ x ΠΏΡΠΈΡΠ°ΡΠ΅Π½ΠΈΠ΅ βx;ΡΠΎΠ³Π΄Π° u ΠΏΠΎΠ»ΡΡΠΈΡ ΠΏΡΠΈΡΠ°ΡΠ΅Π½ΠΈΠ΅ βu, v ΠΏΠΎΠ»ΡΡΠΈΡ ΠΏΡΠΈΡΠ°ΡΠ΅Π½ΠΈΠ΅ βv ΠΈ y ΠΏΠΎΠ»ΡΡΠΈΡ ΠΏΡΠΈΡΠ°ΡΠ΅Π½ΠΈΠ΅ βy.
ΠΠΌΠ΅Π΅ΠΌ y+βy=(u+βu)(v+βv), ΠΈΠ»ΠΈ
y+βy=uv+uβv+vβu+βuβv.
Π‘Π»Π΅Π΄ΠΎΠ²Π°ΡΠ΅Π»ΡΠ½ΠΎ, βy=uβv+vβu+βuβv.
ΠΡΡΡΠ΄Π°
ΠΠ΅ΡΠ΅Ρ ΠΎΠ΄Ρ ΠΊ ΠΏΡΠ΅Π΄Π΅Π»Ρ ΠΏΡΠΈ βxβ0 ΠΈ ΡΡΠΈΡΡΠ²Π°Ρ, ΡΡΠΎuΠΈvΠ½Π΅ Π·Π°Π²ΠΈΡΡΡ ΠΎΡ βx, Π±ΡΠ΄Π΅ΠΌ ΠΈΠΌΠ΅ΡΡ

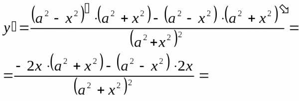
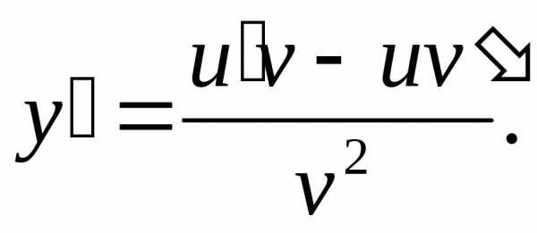
Π’Π΅ΠΎΡΠ΅ΠΌΠ° 3. ΠΡΠΎΠΈΠ·Π²ΠΎΠ΄Π½Π°Ρ ΡΠ°ΡΡΠ½ΠΎΠ³ΠΎ Π΄Π²ΡΡ ΡΡΠ½ΠΊΡΠΈΠΉ ΡΠ°Π²Π½Π° Π΄ΡΠΎΠ±ΠΈ, Π·Π½Π°ΠΌΠ΅Π½Π°ΡΠ΅Π»Ρ ΠΊΠΎΡΠΎΡΠΎΠΉ ΡΠ°Π²Π΅Π½ ΠΊΠ²Π°Π΄ΡΠ°ΡΡ Π΄Π΅Π»ΠΈΡΠ΅Π»Ρ, Π° ΡΠΈΡΠ»ΠΈΡΠ΅Π»Ρ- ΡΠ°Π·Π½ΠΎΡΡΠΈ ΠΌΠ΅ΠΆΠ΄Ρ ΠΏΡΠΎΠΈΠ·Π²Π΅Π΄Π΅Π½ΠΈΠ΅ΠΌ ΠΏΡΠΎΠΈΠ·Π²ΠΎΠ΄Π½ΠΎΠΉ Π΄Π΅Π»ΠΈΠΌΠΎΠ³ΠΎ Π½Π° Π΄Π΅Π»ΠΈΡΠ΅Π»Ρ ΠΈ ΠΏΡΠΎΠΈΠ·Π²Π΅Π΄Π΅Π½ΠΈΠ΅ΠΌ Π΄Π΅Π»ΠΈΠΌΠΎΠ³ΠΎ Π½Π° ΠΏΡΠΎΠΈΠ·Π²ΠΎΠ΄Π½ΡΡ Π΄Π΅Π»ΠΈΡΠ΅Π»Ρ, Ρ.Π΅.
ΠΡΠ»ΠΈ
ΡΠΎ
(5)
Π’Π΅ΠΎΡΠ΅ΠΌΠ° 4.ΠΡΠΎΠΈΠ·Π²ΠΎΠ΄Π½Π°Ρ ΠΏΠΎΡΡΠΎΡΠ½Π½ΠΎΠΉ ΡΠ°Π²Π½Π° Π½ΡΠ»Ρ, Ρ.Π΅. Π΅ΡΠ»ΠΈ y=C, Π³Π΄Π΅ Π‘=const, ΡΠΎ y’=0.
Π’Π΅ΠΎΡΠ΅ΠΌΠ° 5.ΠΠΎΡΡΠΎΡΠ½Π½ΡΠΉ ΠΌΠ½ΠΎΠΆΠΈΡΠ΅Π»Ρ ΠΌΠΎΠΆΠ½ΠΎ Π²ΡΠ½ΠΎΡΠΈΡΡ Π·Π° Π·Π½Π°ΠΊ ΠΏΡΠΎΠΈΠ·Π²ΠΎΠ΄Π½ΠΎΠΉ, Ρ.Π΅. Π΅ΡΠ»ΠΈ y=Cu(x), Π³Π΄Π΅ Π‘=const, ΡΠΎ y’=Cu'(x).
ΠΡΠΈΠΌΠ΅Ρ 1.
ΠΠ°ΠΉΠ΄ΠΈΡΠ΅ ΠΏΡΠΎΠΈΠ·Π²ΠΎΠ΄Π½ΡΡ ΡΡΠ½ΠΊΡΠΈΠΈ
.
Π Π΅ΡΠ΅Π½ΠΈΠ΅.
ΠΠ°Π½Π½Π°Ρ ΡΡΠ½ΠΊΡΠΈΡ ΠΈΠΌΠ΅Π΅Ρ Π²ΠΈΠ΄ , Π³Π΄Π΅u=x,v=cosx. ΠΡΠΈΠΌΠ΅Π½ΡΡ ΠΏΡΠ°Π²ΠΈΠ»ΠΎ Π΄ΠΈΡΡΠ΅ΡΠ΅Π½ΡΠΈΡΠΎΠ²Π°Π½ΠΈΡ (4), Π½Π°Ρ ΠΎΠ΄ΠΈΠΌ
.
ΠΡΠΈΠΌΠ΅Ρ 2.
ΠΠ°ΠΉΠ΄ΠΈΡΠ΅ ΠΏΡΠΎΠΈΠ·Π²ΠΎΠ΄Π½ΡΡ ΡΡΠ½ΠΊΡΠΈΠΈ
.
Π Π΅ΡΠ΅Π½ΠΈΠ΅.
ΠΡΠΈΠΌΠ΅Π½ΠΈΠΌ ΡΠΎΡΠΌΡΠ»Ρ (5).
ΠΠ΄Π΅ΡΡ ;.

.
ΠΠ°Π΄Π°ΡΠΈ.
ΠΠ°ΠΉΠ΄ΠΈΡΠ΅ ΠΏΡΠΎΠΈΠ·Π²ΠΎΠ΄Π½ΡΠ΅ ΡΠ»Π΅Π΄ΡΡΡΠΈΡ ΡΡΠ½ΠΊΡΠΈΠΉ:
;
11)
2)
;
12)
;
3)
13)
4)
14)
5)
15)
6)16)
7)17)
8)18)
9)
19)
10)
20)
studfiles.net
ΠΡΠΎΠΈΠ·Π²ΠΎΠ΄Π½Π°Ρ
ΠΡΠ°ΡΠΈΠΊ ΡΡΠ½ΠΊΡΠΈΠΈ, ΠΎΠ±ΠΎΠ·Π½Π°ΡΠ΅Π½Ρ ΡΠ΅ΡΠ½ΡΠΌ ΡΠ²Π΅ΡΠΎΠΌ, ΠΈ ΠΊΠ°ΡΠ°ΡΠ΅Π»ΡΠ½Π°Ρ ΠΊ Π½Π΅ΠΌΡ (ΠΊΡΠ°ΡΠ½ΡΠΉ ΡΠ²Π΅Ρ). ΠΠ½Π°ΡΠ΅Π½ΠΈΠ΅ ΡΠ°Π½Π³Π΅Π½ΡΠ° ΡΠ³Π»Π° Π½Π°ΠΊΠ»ΠΎΠ½Π° ΠΊΠ°ΡΠ°ΡΠ΅Π»ΡΠ½ΠΎΠΉ ΡΠ²Π»ΡΠ΅ΡΡΡ Π·Π½Π°ΡΠ΅Π½ΠΈΠ΅ΠΌ ΠΏΡΠΎΠΈΠ·Π²ΠΎΠ΄Π½ΠΎΠΉ Π² ΡΠΊΠ°Π·Π°Π½Π½ΠΎΠΉ ΡΠΎΡΠΊΠ΅.ΠΡΠΎΠΈΠ·Π²ΠΎΠ΄Π½Π°Ρ – ΠΎΡΠ½ΠΎΠ²Π½ΠΎΠ΅ ΠΏΠΎΠ½ΡΡΠΈΠ΅ Π΄ΠΈΡΡΠ΅ΡΠ΅Π½ΡΠΈΠ°Π»ΡΠ½ΠΎΠ³ΠΎ ΠΈΡΡΠΈΡΠ»Π΅Π½ΠΈΡ, Ρ Π°ΡΠ°ΠΊΡΠ΅ΡΠΈΠ·ΡΡΡΠ΅Π΅ ΡΠΊΠΎΡΠΎΡΡΡ ΠΈΠ·ΠΌΠ΅Π½Π΅Π½ΠΈΡ ΡΡΠ½ΠΊΡΠΈΠΈ. ΠΠΏΡΠ΅Π΄Π΅Π»ΡΠ΅ΡΡΡ ΠΊΠ°ΠΊ Π³ΡΠ°Π½ΠΈΡΠ° ΠΎΡΠ½ΠΎΡΠ΅Π½ΠΈΡ ΠΏΡΠΈΡΠ°ΡΠ΅Π½ΠΈΡ ΡΡΠ½ΠΊΡΠΈΠΈ ΠΊ ΠΏΡΠΈΡΠ°ΡΠ΅Π½ΠΈΡ Π΅Π΅ Π°ΡΠ³ΡΠΌΠ΅Π½ΡΠ° ΠΊΠΎΠ³Π΄Π° ΠΏΡΠΈΡΠΎΡΡ Π°ΡΠ³ΡΠΌΠ΅Π½ΡΠ° Π½Π°ΠΏΡΠ°Π²Π»ΡΠ΅ΡΡΡ ΠΊ Π½ΡΠ»Ρ (Π΅ΡΠ»ΠΈ ΡΠ°ΠΊΠ°Ρ Π³ΡΠ°Π½ΠΈΡΠ° ΡΡΡΠ΅ΡΡΠ²ΡΠ΅Ρ). Π€ΡΠ½ΠΊΡΠΈΡ, ΠΈΠΌΠ΅Π΅Ρ ΠΊΠΎΠ½Π΅ΡΠ½ΡΡ ΠΏΡΠΎΠΈΠ·Π²ΠΎΠ΄Π½ΡΡ, Π½Π°Π·ΡΠ²Π°ΡΡ Π΄ΠΈΡΡΠ΅ΡΠ΅Π½ΡΠΈΡΡΠ΅ΠΌΠΎΠΉ.
1. ΠΠΏΡΠ΅Π΄Π΅Π»Π΅Π½ΠΈΠ΅
ΠΡΡΡΡ Π² Π½Π΅ΠΊΠΎΡΠΎΡΠΎΠΌ ΠΎΠΊΡΠ΅ΡΡΠ½ΠΎΡΡΠΈ ΡΠΎΡΠΊΠΈ x 0 ΠΎΠΏΡΠ΅Π΄Π΅Π»Π΅Π½Π° ΡΡΠ½ΠΊΡΠΈΡ f. ΠΡΠ»ΠΈ ΠΌΡ Π²ΠΎΠ·ΡΠΌΠ΅ΠΌ ΠΏΡΠΎΠΈΠ·Π²ΠΎΠ»ΡΠ½ΠΎΠ΅ ΡΠΈΡΠ»ΠΎ x Π² ΡΡΠΎΠΌ ΠΎΠΊΡΡΠ³Π΅, ΡΠΎ ΠΏΡΠΈΡΠΎΡΡ Π°ΡΠ³ΡΠΌΠ΅Π½ΡΠ° (ΠΎΠ±ΠΎΠ·Π½Π°ΡΠ°Π΅ΡΡΡ Ξx) Π² ΡΡΠΎΠΌ ΡΠ»ΡΡΠ°Π΅ ΠΎΠΏΡΠ΅Π΄Π΅Π»ΡΠ΅ΡΡΡ ΠΊΠ°ΠΊ x-x 0, Π° ΠΏΡΠΈΡΠΎΡΡ ΡΡΠ½ΠΊΡΠΈΠΈ (Ξy) – ΠΊΠ°ΠΊ f (x)-f (x 0). Π’ΠΎΠ³Π΄Π°, Π΅ΡΠ»ΠΈ ΡΡΡΠ΅ΡΡΠ²ΡΠ΅Ρ ΠΏΡΠ΅Π΄Π΅Π» , Π’ΠΎ ΠΎΠ½Π° Π½Π°Π·ΡΠ²Π°Π΅ΡΡΡ ΠΏΡΠΎΠΈΠ·Π²ΠΎΠ΄Π½ΠΎΠΉ ΡΡΠ½ΠΊΡΠΈΠΈ f Π² ΡΠΎΡΠΊΠ΅ x 0.
ΠΡΠΎΠΈΠ·Π²ΠΎΠ΄Π½ΠΎΠΉ ΡΡΠ½ΠΊΡΠΈΠ΅ΠΉ Π΄Π°Π½Π½ΠΎΠΉ ΡΡΠ½ΠΊΡΠΈΠΈ Π½Π°Π·ΡΠ²Π°Π΅ΡΡΡ ΡΡΠ½ΠΊΡΠΈΡ, Π² Π»ΡΠ±ΠΎΠΉ ΡΠΎΡΠΊΠ΅ ΠΎΠ±Π»Π°ΡΡΠΈ ΠΎΠΏΡΠ΅Π΄Π΅Π»Π΅Π½ΠΈΡ ΡΠ°Π²Π½Π° ΠΏΡΠΎΠΈΠ·Π²ΠΎΠ΄Π½ΠΎΠΉ Π΄Π°Π½Π½ΠΎΠΉ ΡΡΠ½ΠΊΡΠΈΠΈ Π² ΡΡΠΎΠΉ ΡΠΎΡΠΊΠ΅.
2. ΠΠΈΡΡΠ΅ΡΠ΅Π½ΡΠΈΡΠΎΠ²ΠΊΠΈ ΠΈ ΠΏΡΠΎΠΈΠ·Π²ΠΎΠ΄Π½Π°Ρ

ΠΠΈΡΡΠ΅ΡΠ΅Π½ΡΠΈΡΠΎΠ²Π°Π½ΠΈΠ΅ – ΡΡΠΎ ΠΌΠ΅ΡΠΎΠ΄ Π²ΡΡΠΈΡΠ»Π΅Π½ΠΈΡ ΡΠΎΠΎΡΠ½ΠΎΡΠ΅Π½ΠΈΡ ΠΏΡΠΈΡΠΎΡΡΠ° Π·Π°Π²ΠΈΡΠΈΠΌΠΎΠΉ ΠΏΠ΅ΡΠ΅ΠΌΠ΅Π½Π½ΠΎΠΉ y ΠΏΠΎ ΠΎΡΠ½ΠΎΡΠ΅Π½ΠΈΡ ΠΊ ΠΏΡΠΈΡΠΎΡΡΡ Π½Π΅Π·Π°Π²ΠΈΡΠΈΠΌΠΎΠΉ ΠΏΠ΅ΡΠ΅ΠΌΠ΅Π½Π½ΠΎΠΉ x. ΠΡΠΎ ΡΠΎΠΎΡΠ½ΠΎΡΠ΅Π½ΠΈΠ΅ ΠΏΡΠΈΡΠΎΡΡΠΎΠ² Π½Π°Π·ΡΠ²Π°Π΅ΡΡΡ ΠΏΡΠΎΠΈΠ·Π²ΠΎΠ΄Π½ΠΎΠΉ ΡΡΠ½ΠΊΡΠΈΠΈ y ΠΏΠΎ ΠΏΠ΅ΡΠ΅ΠΌΠ΅Π½Π½ΠΎΠΉ x. ΠΡΠ»ΠΈ Π³ΠΎΠ²ΠΎΡΠΈΡΡ Π±ΠΎΠ»Π΅Π΅ ΡΠΎΡΠ½ΠΎ, Π·Π°Π²ΠΈΡΠΈΠΌΠΎΡΡΡ y ΠΎΡ x ΠΎΠ·Π½Π°ΡΠ°Π΅Ρ, ΡΡΠΎ y ΡΡΠ½ΠΊΡΠΈΡ ΠΎΡ x. ΠΡΠ° ΡΡΠ½ΠΊΡΠΈΠΎΠ½Π°Π»ΡΠ½Π°Ρ Π·Π°Π²ΠΈΡΠΈΠΌΠΎΡΡΡ ΡΠ°ΡΡΠΎ ΠΎΠ±ΠΎΠ·Π½Π°ΡΠ°Π΅ΡΡΡ y = ? (x), Π³Π΄Π΅ ? ΠΎΠ±ΠΎΠ·Π½Π°ΡΠ°Π΅Ρ ΡΡΠ½ΠΊΡΠΈΡ. ΠΡΠ»ΠΈ x ΠΈ y Π΄Π΅ΠΉΡΡΠ²ΠΈΡΠ΅Π»ΡΠ½ΡΠ΅ ΡΠΈΡΠ»Π°, ΠΈ Π΅ΡΠ»ΠΈ Π³ΡΠ°ΡΠΈΠΊ ΡΡΠ½ΠΊΡΠΈΠΈ y ΠΈΠ·ΠΎΠ±ΡΠ°ΠΆΠ΅Π½ ΠΎΡΠ½ΠΎΡΠΈΡΠ΅Π»ΡΠ½ΠΎ x, ΠΏΡΠΎΠΈΠ·Π²ΠΎΠ΄Π½Π°Ρ ΡΠ°Π²Π½Π° Π½Π°ΠΊΠ»ΠΎΠ½Π° ΠΊΠ°ΡΠ°ΡΠ΅Π»ΡΠ½ΠΎΠΉ ΠΊ ΡΡΠΎΠΌΡ Π³ΡΠ°ΡΠΈΠΊΡ Π² ΠΊΠ°ΠΆΠ΄ΠΎΠΉ ΡΠΎΡΠΊΠ΅.
ΠΡΠΎΡΡΠ΅ΠΉΡΠΈΠΉ ΡΠ»ΡΡΠ°ΠΉ ΠΊΠΎΠ³Π΄Π° y – Π»ΠΈΠ½Π΅ΠΉΠ½Π°Ρ ΡΡΠ½ΠΊΡΠΈΡ ΠΎΡ x, Π·Π½Π°ΡΠΈΡ Π³ΡΠ°ΡΠΈΠΊ ΡΡΠ½ΠΊΡΠΈΠΈ y ΠΎΡΠ½ΠΎΡΠΈΡΠ΅Π»ΡΠ½ΠΎ x ΠΏΡΡΠΌΠ°Ρ Π»ΠΈΠ½ΠΈΡ. Π ΡΠ°ΠΊΠΎΠΌ ΡΠ»ΡΡΠ°Π΅, y = ? (x) = m x + b, Π΄Π»Ρ Π²Π΅ΡΠ΅ΡΡΠ²Π΅Π½Π½ΡΡ ΡΠΈΡΠ΅Π» m ΠΈ b, ΠΈ Π½Π°ΠΊΠ»ΠΎΠ½ m ΠΎΠΏΡΠ΅Π΄Π΅Π»ΡΠ΅ΡΡΡ ΡΠ°ΠΊ
Π³Π΄Π΅ ΡΠΈΠΌΠ²ΠΎΠ» Ξ (Π³ΡΠ΅ΡΠ΅ΡΠΊΠ°Ρ Π±ΡΠΊΠ²Π° Π² Π²Π΅ΡΡ Π½Π΅ΠΌ ΡΠ΅Π³ΠΈΡΡΡΠ΅ Π΄Π΅Π»ΡΡΠ°) – ΡΡΠΎ ΡΠΎΠΊΡΠ°ΡΠ΅Π½ΠΈΠ΅ Π΄Π»Ρ “ΠΈΠ·ΠΌΠ΅Π½Π΅Π½ΠΈΡ Π²”. ΠΡΠ° ΡΠΎΡΠΌΡΠ»Π° ΡΠΏΡΠ°Π²Π΅Π΄Π»ΠΈΠ²Π° ΡΠΎΠΌ, ΡΡΠΎ
- y + Ξ y = ? (x + Ξ x) = m (x + Ξ x) + b = m x + b + m Ξ x = y + m Ξ x.
ΠΠ· ΡΡΠΎΠ³ΠΎ ΡΠ»Π΅Π΄ΡΠ΅Ρ, ΡΡΠΎ Ξ y = m Ξ x.
ΠΠΎΠ»ΡΡΠΈΠ»ΠΈ ΡΠΎΡΠ½ΠΎΠ΅ Π·Π½Π°ΡΠ΅Π½ΠΈΠ΅ Π½Π°ΠΊΠ»ΠΎΠ½Π° ΠΏΡΡΠΌΠΎΠΉ Π»ΠΈΠ½ΠΈΠΈ. ΠΡΠ»ΠΈ ΡΡΠ½ΠΊΡΠΈΡ ? Π½Π΅ Π»ΠΈΠ½Π΅ΠΉΠ½Π°Ρ (Ρ.Π΅. Π³ΡΠ°ΡΠΈΠΊ ΡΡΠ½ΠΊΡΠΈΠΈ Π½Π΅ ΠΏΡΡΠΌΠ°Ρ Π»ΠΈΠ½ΠΈΡ), ΡΠΎΠ³Π΄Π° ΠΏΡΠΈΡΠΎΡΡ y ΡΠ°Π·Π΄Π΅Π»Π΅Π½ Π½Π° ΠΏΡΠΈΡΠΎΡΡ x ΠΌΠ΅Π½ΡΠ΅ΡΡΡ: Π΄ΠΈΡΡΠ΅ΡΠ΅Π½ΡΠΈΡΠΎΠ²Π°Π½ΠΈΠ΅ ΡΡΠΎ ΡΠΏΠΎΡΠΎΠ± Π²ΡΡΠΈΡΠ»Π΅Π½ΠΈΡ ΡΠΎΡΠ½ΠΎΠ³ΠΎ Π·Π½Π°ΡΠ΅Π½ΠΈΡ Π²ΠΈΠ΄Π½ΠΎΡΠ΅Π½Π½Π½Ρ ΠΏΡΠΈΡΠΎΡΡΠΎΠ² Π΄Π»Ρ Π»ΡΠ±ΠΎΠ³ΠΎ Π·Π½Π°ΡΠ΅Π½ΠΈΡ x.
Π‘ΠΎΠΎΡΠ½ΠΎΡΠ΅Π½ΠΈΠ΅ ΠΏΡΠΈΡΠΎΡΡΠΎΠ² ΠΊΠ°ΠΊ ΠΏΡΠ΅Π΄Π΅Π»ΡΠ½Π°Ρ Π²Π΅Π»ΠΈΡΠΈΠ½Π°
Π ΠΈΡΡΠ½ΠΎΠΊ 2. Π‘Π΅ΠΊΡΡΠ°Ρ Π»ΠΈΠ½ΠΈΡ ΠΊ ΠΊΡΠΈΠ²ΠΎΠΉ y = ? (x) Π·Π°Π΄Π°Π΅ΡΡΡ ΡΠΎΡΠΊΠ°ΠΌΠΈ (x, ? (x)) and (x + h, ? (x + h))Π ΠΈΡΡΠ½ΠΎΠΊ 3. ΠΠ°ΡΠ°ΡΠ΅Π»ΡΠ½Π°Ρ ΠΊΠ°ΠΊ ΠΏΡΠ΅Π΄Π΅Π» ΡΠ΅ΠΊΡΡΠΈΡ Π»ΠΈΠ½ΠΈΠΉ
ΠΠ΄Π΅Ρ ΡΠΎΡΡΠΎΠΈΡ Π² ΡΠΎΠΌ, ΡΠΌ.. ΡΠΈΡΡΠ½ΠΊΠΈ 1-3, ΡΡΠΎΠ±Ρ Π²ΡΡΠΈΡΠ»ΠΈΡΡ ΠΎΡΠ½ΠΎΡΠ΅Π½ΠΈΠ΅ ΠΏΡΠΈΡΠ°ΡΠ΅Π½ΠΈΠΉ ΠΊΠ°ΠΊ ΠΏΡΠ΅Π΄Π΅Π»ΡΠ½ΡΡ Π²Π΅Π»ΠΈΡΠΈΠ½Ρ Ξ y / Ξ x ΠΊΠΎΠ³Π΄Π° Ξ x ΡΡΠ°Π½ΠΎΠ²ΠΈΡΡΡ Π±Π΅ΡΠΊΠΎΠ½Π΅ΡΠ½ΠΎ ΠΌΠ°Π»ΡΠΌ.
ΠΡΠ»ΠΈ ΠΈΡΠΏΠΎΠ»ΡΠ·ΠΎΠ²Π°ΡΡ ΠΎΠ±ΠΎΠ·Π½Π°ΡΠ΅Π½ΠΈΡ ΠΠ΅ΠΉΠ±Π½ΠΈΡΠ°, ΡΠΎΠ³Π΄Π° Π±Π΅ΡΠΊΠΎΠ½Π΅ΡΠ½ΠΎ ΠΌΠ°Π»ΡΠΉ ΠΏΡΠΈΡΠΎΡΡ x ΠΎΠ±ΠΎΠ·Π½Π°ΡΠ°Π΅ΡΡΡ ΠΊΠ°ΠΊ dx, Π° ΠΏΡΠΎΠΈΠ·Π²ΠΎΠ΄Π½Π°Ρ ΡΡΠ½ΠΊΡΠΈΠΈ y ΠΏΠΎ ΠΏΠ΅ΡΠ΅ΠΌΠ΅Π½Π½ΠΎΠΉ x Π·Π°ΠΏΠΈΡΡΠ²Π°Π΅ΡΡΡ:
Π²ΡΠ³Π»ΡΠ΄ΠΈΡ ΠΊΠ°ΠΊ ΠΎΡΠ½ΠΎΡΠ΅Π½ΠΈΠ΅ Π΄Π²ΡΡ Π±Π΅ΡΠΊΠΎΠ½Π΅ΡΠ½ΠΎ ΠΌΠ°Π»ΡΡ Π²Π΅Π»ΠΈΡΠΈΠ½. (ΠΡΠΎ Π²ΡΡΠ°ΠΆΠ΅Π½ΠΈΠ΅ ΡΠΈΡΠ°Π΅ΡΡΡ ΡΠ°ΠΊ: “ΠΏΡΠΎΠΈΠ·Π²ΠΎΠ΄Π½Π°Ρ ΡΡΠ½ΠΊΡΠΈΠΈ y ΠΏΠΎ ΠΏΠ΅ΡΠ΅ΠΌΠ΅Π½Π½ΠΎΠΉ x” ΠΈΠ»ΠΈ “dy ΠΏΠΎ dx”)
2.1. ΠΠ±ΡΡΡΠ½Π΅Π½ΠΈΠ΅ ΠΎΠΏΡΠ΅Π΄Π΅Π»Π΅Π½ΠΈΡ
ΠΡΡΡΡ ? – ΡΡΠ½ΠΊΡΠΈΡ Π΄Π΅ΠΉΡΡΠ²ΠΈΡΠ΅Π»ΡΠ½ΡΡ ΡΠΈΡΠ΅Π». Π ΠΊΠ»Π°ΡΡΠΈΡΠ΅ΡΠΊΠΎΠΉ Π³Π΅ΠΎΠΌΠ΅ΡΡΠΈΠΈ, ΠΊΠ°ΡΠ°ΡΠ΅Π»ΡΠ½Π°Ρ ΠΊ Π³ΡΠ°ΡΠΈΠΊΡ ΡΡΠ½ΠΊΡΠΈΠΈ ? Π΄Π»Ρ Π΄Π΅ΠΉΡΡΠ²ΠΈΡΠ΅Π»ΡΠ½ΠΎΠ³ΠΎ ΡΠΈΡΠ»Π° a Π±ΡΠ»Π° Π΅Π΄ΠΈΠ½ΡΡΠ²Π΅Π½Π½Π°Ρ Π»ΠΈΠ½ΠΈΡ ΡΠ΅ΡΠ΅Π· ΡΠΎΡΠΊΡ (a, ? (a)), Π½Π΅ ΠΏΠ΅ΡΠ΅ΡΠ΅ΠΊΠ°ΡΡΠΈΠΉΡΡ Ρ Π³ΡΠ°ΡΠΈΠΊΠΎΠΌ ΡΡΠ½ΠΊΡΠΈΠΈ ? ΡΡΠ°Π½ΡΠ²Π΅ΡΡΠ°Π»ΡΠ½ΠΎ, Π·Π½Π°ΡΠΈΡ ΡΡΠ° Π»ΠΈΠ½ΠΈΡ Π½Π΅ ΠΏΡΠΎΡ ΠΎΠ΄ΠΈΡ ΡΠ΅ΡΠ΅Π· Π³ΡΠ°ΡΠΈΠΊ. ΠΡΠΎΠΈΠ·Π²ΠΎΠ΄Π½Π°Ρ ΡΡΠ½ΠΊΡΠΈΠΈ y ΠΏΠΎ ΠΏΠ΅ΡΠ΅ΠΌΠ΅Π½Π½ΠΎΠΉ x Π² ΡΠΎΡΠΊΠ΅ a, Ρ Π³Π΅ΠΎΠΌΠ΅ΡΡΠΈΡΠ΅ΡΠΊΠΎΠΉ ΡΠΎΡΠΊΠΈ Π·ΡΠ΅Π½ΠΈΡ, ΡΡΠΎ Π½Π°ΠΊΠ»ΠΎΠ½ ΠΊΠ°ΡΠ°ΡΠ΅Π»ΡΠ½ΠΎΠΉ Π»ΠΈΠ½ΠΈΠΈ ΠΊ Π³ΡΠ°ΡΠΈΠΊΡ ΡΡΠ½ΠΊΡΠΈΠΈ ? Π² ΡΠΎΡΠΊΠ΅ a. ΠΠ°ΠΊΠ»ΠΎΠ½ ΠΊΠ°ΡΠ°ΡΠ΅Π»ΡΠ½ΠΎΠΉ ΠΎΡΠ΅Π½Ρ Π±Π»ΠΈΠ·ΠΎΠΊ ΠΊ Π½Π°ΠΊΠ»ΠΎΠ½Ρ Π»ΠΈΠ½ΠΈΠΈ, ΠΏΡΠΎΡ ΠΎΠ΄ΡΡΠ΅ΠΉ ΡΠ΅ΡΠ΅Π· ΡΠΎΡΠΊΡ (a, ? (a)) ΠΈ Π΄ΡΡΠ³ΡΡ Π±Π»ΠΈΠ·ΠΊΡΡ ΡΠΎΡΠΊΡ Π½Π° Π³ΡΠ°ΡΠΈΠΊΠ΅, Π½Π°ΠΏΡΠΈΠΌΠ΅Ρ (A + h, ? (a + h)) . Π’Π°ΠΊΠΈΠ΅ Π»ΠΈΠ½ΠΈΠΈ Π½Π°Π·ΡΠ²Π°ΡΡΡΡ ΡΠ΅ΠΊΡΡΠΈΠΌΠΈ. ΠΠ½Π°ΡΠ΅Π½ΠΈΠ΅ h Π±Π»ΠΈΠ·ΠΊΠΎΠ΅ ΠΊ Π½ΡΠ»Ρ Π΄Π°Π΅Ρ Ρ ΠΎΡΠΎΡΠ΅Π΅ ΠΏΡΠΈΠ±Π»ΠΈΠΆΠ΅Π½ΠΈΠ΅ Π΄Π»Ρ Π½Π°ΠΊΠ»ΠΎΠ½Π° ΠΊΠ°ΡΠ°ΡΠ΅Π»ΡΠ½ΠΎΠΉ, Π° ΡΠ΅ΠΌ ΠΌΠ΅Π½ΡΡΠ΅ Π·Π½Π°ΡΠ΅Π½ΠΈΠ΅ h, Π² ΠΎΠ±ΡΠ΅ΠΌ ΡΠ»ΡΡΠ°Π΅, ΡΠ΅ΠΌ Π»ΡΡΡΠ΅ Π±ΡΠ΄Π΅Ρ ΠΏΡΠΈΠ±Π»ΠΈΠΆΠ΅Π½ΠΈΠ΅. ΠΠ°ΠΊΠ»ΠΎΠ½ m ΡΠ΅ΠΊΡΡΠ΅ΠΉ Π»ΠΈΠ½ΠΈΠΈ ΡΠ°Π²Π½Π° ΡΠ°Π·Π½ΠΎΡΡΠΈ Π·Π½Π°ΡΠ΅Π½ΠΈΠΉ y Π΄Π»Ρ ΡΡΠΈΡ ΡΠΎΡΠ΅ΠΊ ΡΠ°Π·Π΄Π΅Π»ΠΈΡΡ Π½Π° ΡΠ°Π·Π½ΠΎΡΡΡ Π·Π½Π°ΡΠ΅Π½ΠΈΠΉ x, Ρ.Π΅.
ΠΡΠΎ Π²ΡΡΠ°ΠΆΠ΅Π½ΠΈΠ΅ – ΡΡΠΎ ΠΎΡΠ½ΠΎΡΠ΅Π½ΠΈΠ΅ ΠΏΡΠΈΡΠΎΡΡΠΎΠ² ΠΡΠ°Π°ΠΊΠ° ΠΡΡΡΠΎΠ½Π°. ΠΡΠΎΠΈΠ·Π²ΠΎΠ΄Π½Π°Ρ – ΡΡΠΎ Π·Π½Π°ΡΠ΅Π½ΠΈΠ΅ ΠΎΡΠ½ΠΎΡΠ΅Π½ΠΈΡ ΠΏΡΠΈΡΠΎΡΡΠΎΠ² Π² ΡΠ»ΡΡΠ°Π΅ ΠΊΠΎΠ³Π΄Π° ΡΠ½Π²Π°ΡΠ΅ Π»ΠΈΠ½ΠΈΠΈ ΠΏΡΠΈΠ±Π»ΠΈΠΆΠ°ΡΡΡΡ ΠΊ ΠΊΠ°ΡΠ°ΡΠ΅Π»ΡΠ½ΠΎΠΉ. Π‘ΡΡΠΎΠ³ΠΎ Π³ΠΎΠ²ΠΎΡΡ, ΠΏΡΠΎΠΈΠ·Π²ΠΎΠ΄Π½Π°Ρ ΡΡΠ½ΠΊΡΠΈΠΈ ? Π² ΡΠΎΡΠΊΠ΅ a ΡΡΠΎ Π³ΡΠ°Π½ΠΈΡΠ° :
ΠΎΡΠ½ΠΎΡΠ΅Π½ΠΈΠ΅ ΠΏΡΠΈΡΠΎΡΡΠΎΠ² ΠΊΠΎΠ³Π΄Π° h ΡΡΡΠ΅ΠΌΠΈΡΡΡ ΠΊ Π½ΡΠ»Ρ, Π΅ΡΠ»ΠΈ ΡΠ°ΠΊΠ°Ρ Π³ΡΠ°Π½ΠΈΡΠ° ΡΡΡΠ΅ΡΡΠ²ΡΠ΅Ρ. ΠΡΠ»ΠΈ Π³ΡΠ°Π½ΠΈΡΠ° ΡΡΡΠ΅ΡΡΠ²ΡΠ΅Ρ ΡΠΎΠ³Π΄Π° ? – Π΄ΠΈΡΡΠ΅ΡΠ΅Π½ΡΠΈΡΠΎΠ²Π°Π½Π½Π°Ρ Π² ΡΠΎΡΠΊΠ΅ a. ΠΠ΄Π΅ΡΡ ? ‘(a) ΠΎΠ΄Π½ΠΎ ΠΈΠ· Π½Π΅ΡΠΊΠΎΠ»ΡΠΊΠΈΡ Π²ΠΎΠ·ΠΌΠΎΠΆΠ½ΡΡ ΠΎΠ±ΠΎΠ·Π½Π°ΡΠ΅Π½ΠΈΠΉ ΠΏΡΠΎΠΈΠ·Π²ΠΎΠ΄Π½ΠΎΠΉ ( ΡΠΌ..Π½ΠΈΠΆΠ΅)
ΠΠ°ΠΏΠΈΡΠ΅ΠΌ ΡΠΊΠ²ΠΈΠ²Π°Π»Π΅Π½ΡΠ½ΡΠΉ Π²ΡΡΠ°ΠΆΠ΅Π½ΠΈΠ΅, Π΄Π»Ρ ΠΏΡΠΎΠΈΠ·Π²ΠΎΠ΄Π½ΠΎΠΉ ΡΠΏΡΠ°Π²Π΅Π΄Π»ΠΈΠ²ΠΎ ΡΠ°Π²Π΅Π½ΡΡΠ²ΠΎ
ΡΠ°ΠΊΠΆΠ΅ ΠΏΠΎΠ΄Π²Π΅ΡΠ³Π°Π΅ΡΡΡ ΠΈΠ½ΡΡΠΈΡΠΈΠ²Π½ΠΎΠΌ ΠΏΠΎΠ½ΠΈΠΌΠ°Π½ΠΈΡ (ΡΠΌ. ΡΠΈΡ.1), Π³Π΄Π΅ ΠΊΠ°ΡΠ°ΡΠ΅Π»ΡΠ½Π°Ρ Π»ΠΈΠ½ΠΈΡ ? Π² ΡΠΎΡΠΊΠ΅ a Π΄Π°Π΅Ρ Π½Π°ΠΈΠ»ΡΡΡΠ΅Π΅ Π»ΠΈΠ½Π΅ΠΉΠ½ΠΎΠ΅ ΠΏΡΠΈΠ±Π»ΠΈΠΆΠ΅Π½ΠΈΠ΅
Π΄Π»Ρ ? Ρ ΡΠΎΡΠΊΠΈ a (Π½Π°ΠΏΡΠΈΠΌΠ΅Ρ, Π΄Π»Ρ ΠΌΠ°Π»ΡΡ h). ΠΡΠ»ΠΈ ΠΏΠΎΠ΄ΡΡΠ°Π²ΠΈΡΡ 0 Π²ΠΌΠ΅ΡΡΠΎ h Π² ΠΎΡΠ½ΠΎΡΠ΅Π½ΠΈΠΉ ΠΏΡΠΈΡΠΎΡΡΠΎΠ² ΡΠΎ ΠΏΠΎΠ»ΡΡΠΈΠΌ Π΄Π΅Π»Π΅Π½ΠΈΠ΅ Π½Π° Π½ΠΎΠ»Ρ, Π·Π½Π°ΡΠΈΡ Π½Π°ΠΊΠ»ΠΎΠ½ ΠΊΠ°ΡΠ°ΡΠ΅Π»ΡΠ½ΠΎΠΉ Π»ΠΈΠ½ΠΈΠΈ Π½Π΅Π»ΡΠ·Ρ Π²ΡΡΠΈΡΠ»ΠΈΡΡ ΡΠ°ΠΊΠΈΠΌ ΡΠΏΠΎΡΠΎΠ±ΠΎΠΌ. ΠΠ°ΡΠΎ Π·Π°ΠΏΠΈΡΠ΅ΠΌ Q (h), ΠΎΡΠ½ΠΎΡΠ΅Π½ΠΈΠ΅ ΠΏΡΠΈΡΠΎΡΡΠΎΠ² ΠΊΠ°ΠΊ ΡΡΠ½ΠΊΡΠΈΡ ΠΎΡ h:
Q (h) – ΡΡΠΎ Π½Π°ΠΊΠ»ΠΎΠ½ ΡΠ΅ΠΊΡΡΠ΅ΠΉ Π»ΠΈΠ½ΠΈΠΈ ΠΌΠ΅ΠΆΠ΄Ρ ΡΠΎΡΠΊΠ°ΠΌΠΈ (a, ? (a)) and (a + h, ? (a + h)). ΠΡΠ»ΠΈ ? – Π½Π΅ΠΏΡΠ΅ΡΡΠ²Π½Π°Ρ ΡΡΠ½ΠΊΡΠΈΡ, Ρ.Π΅. Π΅ΡΠ»ΠΈ Π³ΡΠ°ΡΠΈΠΊ ΡΡΠ½ΠΊΡΠΈΠΈ Π½Π΅Ρ ΡΠ°Π·ΡΡΠ²ΠΎΠ², ΡΠΎΠ³Π΄Π° Q ΡΠ°ΠΊΠΆΠ΅ Π½Π΅ΠΏΠ΅ΡΠ²Π½Π° ΡΡΠ½ΠΊΡΠΈΡ Π½Π°ΡΠΈΠ½Π°Ρ Ρ ΡΠΎΡΠΊΠΈ h = 0. ΠΡΠ»ΠΈ ΡΡΡΠ΅ΡΡΠ²ΡΠ΅Ρ ΠΏΡΠ΅Π΄Π΅Π» , Π’.Π΅. Π΅ΡΠ»ΠΈ ΡΡΡΠ΅ΡΡΠ²ΡΠ΅Ρ ΡΠΏΠΎΡΠΎΠ± Π²ΡΡΠΈΡΠ»ΠΈΡΡ Π·Π½Π°ΡΠ΅Π½ΠΈΠ΅ Π΄Π»Ρ Q (0), Π·Π½Π°ΡΠΈΡ Π³ΡΠ°ΡΠΈΠΊ ΡΡΠ½ΠΊΡΠΈΠΈ Q Π½Π΅ΠΏΡΠ΅ΡΡΠ²Π½ΡΠΉ, ΡΠΎΠ³Π΄Π° ΡΡΠ½ΠΊΡΠΈΡ ? Π΄ΠΈΡΡΠ΅ΡΠ΅Π½ΡΠΈΡΠΎΠ²Π°Π½Π° Π² ΡΠΎΡΠΊΠ΅ a, ΠΈ Π΅Π΅ ΠΏΡΠΎΠΈΠ·Π²ΠΎΠ΄Π½Π°Ρ Π² ΡΠΎΡΠΊΠ΅ a ΡΠ°Π²Π½Π° Q (0).
ΠΠ° ΠΏΡΠ°ΠΊΡΠΈΠΊΠ΅, ΡΡΡΠ΅ΡΡΠ²ΠΎΠ²Π°Π½ΠΈΠ΅ Π½Π΅ΠΏΠ΅ΡΠ²Π½ΠΎΠ³ΠΎ ΠΏΡΠΎΠ΄ΠΎΠ»ΠΆΠ΅Π½ΠΈΠ΅ ΠΎΡΠ½ΠΎΡΠ΅Π½ΠΈΡ ΠΏΡΠΈΡΠΎΡΡΠΎΠ² Q (h) Π² ΡΠΎΡΠΊΠ΅ h = 0 ΠΏΠΎΠΊΠ°Π·ΡΠ²Π°ΡΡ ΠΏΠΎ-Π΄ΡΡΠ³ΠΎΠΌΡ: ΠΌΠ΅Π½ΡΡΡ ΡΠΈΡΠ»ΠΈΡΠ΅Π»Ρ ΡΠ°ΠΊΠΈΠΌ ΠΎΠ±ΡΠ°Π·ΠΎΠΌ, ΡΡΠΎΠ±Ρ ΡΠΎΠΊΡΠ°ΡΠΈΡΡ h Π² Π·Π½Π°ΠΌΠ΅Π½Π°ΡΠ΅Π»Π΅. ΠΡΠΎΡ ΠΏΡΡΠΎΡΠ΅Ρ ΠΌΠΎΠΆΠ΅Ρ Π±ΡΡΡ Π΄Π»ΠΈΠ½Π½ΡΠΌ ΠΈ ΡΠΊΡΡΠ½ΡΠΌ Π΄Π»Ρ ΡΠ»ΠΎΠΆΠ½ΡΡ ΡΡΠ½ΠΊΡΠΈΠΉ, ΠΏΠΎΡΡΠΎΠΌΡ Π² ΡΠ°ΠΊΠΈΡ ΡΠ»ΡΡΠ°ΡΡ ΠΈΡΠΏΠΎΠ»ΡΠ·ΡΡΡ ΠΌΠ½ΠΎΠ³ΠΎ ΡΠΏΡΠΎΡΠ΅Π½ΠΈΠΉ.
2.2. ΠΡΠΈΠΌΠ΅Ρ
ΠΠ²Π°Π΄ΡΠ°ΡΠ½Π°Ρ ΡΡΠ½ΠΊΡΠΈΡ ? (x) = x ? – Π΄ΠΈΡΡΠ΅ΡΠ΅Π½ΡΠΈΡΠΎΠ²Π°Π½Π½Π°Ρ Π² ΡΠΎΡΠΊΠ΅ x = 3 ΠΈ Π΅Π΅ ΠΏΡΠΎΠΈΠ·Π²ΠΎΠ΄Π½Π°Ρ Π² ΡΡΠΎΠΉ ΡΠΎΡΠΊΠ΅ ΡΠ°Π²Π½Π° 6. ΠΡΠΎΠ³ΠΎ ΡΠ΅Π·ΡΠ»ΡΡΠ°ΡΠ° ΠΌΠΎΠΆΠ½ΠΎ Π΄ΠΎΡΡΠΈΡΡ, Π΅ΡΠ»ΠΈ Π²ΡΡΠΈΡΠ»ΠΈΡΡ Π³ΡΠ°Π½ΠΈΡΡ ΠΎΡΠ½ΠΎΡΠ΅Π½ΠΈΡ ΠΏΡΠΈΡΠΎΡΡΠΎΠ² ? (3) ΠΏΡΠΈ h ΡΡΡΠ΅ΠΌΠΈΡΡΡ ΠΊ Π½ΡΠ»Ρ:
Π’Π΅ΠΏΠ΅ΡΡ ΠΌΠΎΠΆΠ΅ΠΌ Π²ΡΡΠΈΡΠ»ΠΈΡΡ Π³ΡΠ°Π½ΠΈΡΡ, Π΅ΡΠ»ΠΈ ΠΏΠΎΠ΄ΡΡΠ°Π²ΠΈΠΌ Π²ΠΌΠ΅ΡΡΠΎ h Π½ΠΎΠ»Ρ:
Π‘Π»Π΅Π΄ΠΎΠ²Π°ΡΠ΅Π»ΡΠ½ΠΎ, Π½Π°ΠΊΠ»ΠΎΠ½ Π³ΡΠ°ΡΠΈΠΊΠ° ΠΊΠ²Π°Π΄ΡΠ°ΡΠ½ΠΎΠΉ ΡΡΠ½ΠΊΡΠΈΠΈ Π² ΡΠΎΡΠΊΠ΅ (3, 9) ΡΠ°Π²Π΅Π½ 6, Π° Π΅Π΅ ΠΏΡΠΎΠΈΠ·Π²ΠΎΠ΄Π½Π°Ρ Π² ΡΠΎΡΠΊΠ΅ x = 3 ΡΠ°Π²Π½Π° ? ‘(3) = 6. ΠΠ±ΠΎΠ±ΡΠ°Ρ, Π΅ΡΠ»ΠΈ ΠΏΡΠΎΠ²Π΅ΡΡΠΈ ΠΏΠΎΡ ΠΎΠΆΠΈΠ΅ Π²ΡΡΠΈΡΠ»Π΅Π½ΠΈΡ ΡΠΎ ΠΏΠΎΠ»ΡΡΠΈΠΌ, ΡΡΠΎ ΠΊΠ²Π°Π΄ΡΠ°ΡΠ½Π°Ρ ΡΡΠ½ΠΊΡΠΈΡ Π² ΡΠΎΡΠΊΠ΅ x = a ΡΠ°Π²Π½ΠΎ ? ‘(a) = 2 a.
2.3. ΠΠ΅ΠΏΡΠ΅ΡΡΠ²Π½ΠΎΡΡΡ ΠΈ Π΄ΠΈΡΡΠ΅ΡΠ΅Π½ΡΠΈΡΡΠ΅ΠΌΠΎΡΡΡ
ΠΡΠ° ΡΡΠ½ΠΊΡΠΈΡ Π½Π΅ ΠΈΠΌΠ΅Π΅Ρ ΠΏΡΠΎΠΈΠ·Π²ΠΎΠ΄Π½ΠΎΠΉ Π² ΡΠΊΠ°Π·Π°Π½Π½ΠΎΠΉ ΡΠΎΡΠΊΠ΅, ΠΏΠΎΡΠΊΠΎΠ»ΡΠΊΡ ΡΡΠ½ΠΊΡΠΈΡ Π½Π΅ ΡΠ²Π»ΡΠ΅ΡΡΡ Π½Π΅ΠΏΡΠ΅ΡΡΠ²Π½ΠΎΠΉ Π² ΡΡΠΎΠΉ ΡΠΎΡΠΊΠ΅.
ΠΡΠ»ΠΈ y = ? (x) – Π΄ΠΈΡΡΠ΅ΡΠ΅Π½ΡΠΈΡΠΎΠ²Π°Π½Π½Π°Ρ Π² ΡΠΎΡΠΊΠ΅ a, ΡΠΎΠ³Π΄Π° ? ΡΠ°ΠΊΠΆΠ΅ Π±ΡΡΡ Π½Π΅ΠΏΡΠ΅ΡΡΠ²Π½Π°Ρ Π² ΡΠΎΡΠΊΠ΅ a. ΠΠ°ΠΏΡΠΈΠΌΠ΅Ρ, Π²ΡΠ±Π΅ΡΠ΅ΠΌ ΡΠΎΡΠΊΡ a ΠΈ ΠΏΡΡΡΡ ? Π±ΡΠ΄Π΅Ρ ΡΠ°Π³ΠΎΠ²ΠΎΠΉ ΡΡΠ½ΠΊΡΠΈΠ΅ΠΉ, ΡΠ°Π²Π½ΠΎΠΉ 1, Π΄Π»Ρ Π²ΡΠ΅Ρ x ΠΌΠ΅Π½ΡΡΠΈΡ ΡΠ΅ΠΌ a ΠΈ ΡΠ°Π²Π΅Π½ Π΄ΡΡΠ³ΠΎΠΌΡ Π·Π½Π°ΡΠ΅Π½ΠΈΡ, ΡΠΊΠ°ΠΆΠ΅ΠΌ 10, Π΄Π»Ρ Π²ΡΠ΅Ρ x, ΠΊΠΎΡΠΎΡΡΠ΅ Π±ΠΎΠ»ΡΡΠ΅ ΠΈΠ»ΠΈ ΡΠ°Π²Π½Ρ a. Ζ Π½Π΅ ΠΈΠΌΠ΅Π΅Ρ ΠΏΡΠΎΠΈΠ·Π²ΠΎΠ΄Π½ΠΎΠΉ Π² ΡΠΎΡΠΊΠ΅ a. ΠΡΠ»ΠΈ h – ΠΎΡΡΠΈΡΠ°ΡΠ΅Π»ΡΠ½ΠΎΠ΅, ΡΠΎΠ³Π΄Π° a + h Π½Π°Ρ ΠΎΠ΄ΠΈΡΡΡ Π½Π° Π½ΠΈΠΆΠ½Π΅ΠΉ ΡΡΡΠΏΠ΅Π½ΡΠΊΠ΅ ΡΡΠ½ΠΊΡΠΈΠΈ, ΡΠΎΠ³Π΄Π° ΡΠ΅ΠΊΡΡΠ°Ρ Π»ΠΈΠ½ΠΈΡ ΠΎΡ a Π΄ΠΎ a + h ΠΎΡΠ΅Π½Ρ ΠΊΡΡΡΠΎ ΠΏΠΎΠ΄Π½ΠΈΠΌΠ°Π΅ΡΡΡ Π²Π²Π΅ΡΡ ΠΈ Π΅ΡΠ»ΠΈ h ΡΡΡΠ΅ΠΌΠΈΡΡΡ ΠΊ Π½ΡΠ»Ρ ΡΠΎΠ³Π΄Π° Π½Π°ΠΊΠ»ΠΎΠ½ Π»ΠΈΠ½ΠΈΠΈ ΡΡΡΠ΅ΠΌΠΈΡΡΡ ΠΊ Π±Π΅ΡΠΊΠΎΠ½Π΅ΡΠ½ΠΎΡΡΠΈ. ΠΡΠ»ΠΈ h ΠΏΠΎΠ»ΠΎΠΆΠΈΡΠ΅Π»ΡΠ½ΠΎΠ΅, ΡΠΎΠ³Π΄Π° a + h Π½Π° Π²Π΅ΡΡ Π½Π΅ΠΉ ΡΡΡΠΏΠ΅Π½ΡΠΊΠ΅ ΠΈ ΡΠ΅ΠΊΡΡΠ°Ρ Π»ΠΈΠ½ΠΈΡ ΠΎΡ a Π΄ΠΎ a + h ΠΈΠΌΠ΅Π΅Ρ Π½Π°ΠΊΠ»ΠΎΠ½, ΡΠ°Π²Π½ΡΠΉ Π½ΡΠ»Ρ. Π‘ΠΎΠ³Π»Π°ΡΠ½ΠΎ ΡΠ½Π²Π°ΡΠ΅ Π»ΠΈΠ½ΠΈΠΈ Π½Π΅ ΠΎΠ±ΡΠ°Π·ΡΡΡ Π΅Π΄ΠΈΠ½ΡΠΉ Π½Π°ΠΊΠ»ΠΎΠ½, ΡΠ»Π΅Π΄ΠΎΠ²Π°ΡΠ΅Π»ΡΠ½ΠΎ ΠΏΡΠ΅Π΄Π΅Π»ΠΎΠΌ ΠΎΡΠ½ΠΎΡΠ΅Π½ΠΈΡ ΠΏΡΠΈΡΠΎΡΡΠΎΠ² Π½Π΅ ΡΡΡΠ΅ΡΡΠ²ΡΠ΅Ρ.
Π€ΡΠ½ΠΊΡΠΈΡ Π°Π±ΡΠΎΠ»ΡΡΠ½ΠΎΠΉ Π²Π΅Π»ΠΈΡΠΈΠ½Ρ ΡΠ²Π»ΡΠ΅ΡΡΡ Π½Π΅ΠΏΡΠ΅ΡΡΠ²Π½Π°Ρ, Π½ΠΎ ΠΎΡ Π½Π΅Π΅ Π½Π΅Π»ΡΠ·Ρ ΠΏΠΎΠ»ΡΡΠΈΡΡ ΠΏΡΠΎΠΈΠ·Π²ΠΎΠ΄Π½ΡΡ Π² ΡΠΎΡΠΊΠ΅ x = 0, ΡΠ°ΠΊ Π½Π°ΠΊΠ»ΠΎΠ½ ΠΊΠ°ΡΠ°ΡΠ΅Π»ΡΠ½ΠΎΠΉ ΠΏΡΠΈΠ±Π»ΠΈΠΆΠ°Π΅ΡΡΡ ΠΊ ΡΠ°Π·Π»ΠΈΡΠ½ΡΠΌ Π·Π½Π°ΡΠ΅Π½ΠΈΡΠΌ ΠΏΠΎ ΡΠ°Π·Π½ΡΠ΅ ΡΡΠΎΡΠΎΠ½Ρ ΠΎΡ Π΄Π°Π½Π½ΠΎΠΉ ΡΠΎΡΠΊΠΈ.
ΠΠ΄Π½Π°ΠΊΠΎ ΡΡΠ½ΠΊΡΠΈΡ Π½Π΅ΠΏΡΠ΅ΡΡΠ²Π½Π° Π² ΡΠΎΡΠΊΠ΅, ΠΎΠ½Π° Π½Π΅ ΠΎΠ±ΡΠ·Π°ΡΠ΅Π»ΡΠ½ΠΎ Π΄ΠΈΡΡΠ΅ΡΠ΅Π½ΡΠΈΡΠΎΠ²Π°Π½Π° Π² ΡΡΠΎΠΉ ΡΠΎΡΠΊΠ΅. ΠΠ°ΠΏΡΠΈΠΌΠ΅Ρ, ΡΡΠ½ΠΊΡΠΈΡ Π°Π±ΡΠΎΠ»ΡΡΠ½ΠΎΠΉ Π²Π΅Π»ΠΈΡΠΈΠ½Ρ y = | x | ΡΠ²Π»ΡΠ΅ΡΡΡ Π½Π΅ΠΏΠ΅ΡΡΠ΅ΡΠ²Π½ΠΎΡ Π² ΡΠΎΡΠΊΠ΅ x = 0, Π½ΠΎ Π½Π΅ Π΄ΠΈΡΡΠ΅ΡΠ΅Π½ΡΠΈΡΡΠ΅ΠΌΠ° Π² ΡΡΠΎΠΉ ΡΠΎΡΠΊΠ΅. ΠΡΠ»ΠΈ h ΠΏΠΎΠ»ΠΎΠΆΠΈΡΠ΅Π»ΡΠ½ΠΎΠ΅, ΡΠΎΠ³Π΄Π° Π½Π°ΠΊΠ»ΠΎΠ½ ΡΠ΅ΠΊΡΡΠ΅ΠΉ Π»ΠΈΠ½ΠΈΠΈ ΠΎΡ 0 Π΄ΠΎ h ΡΠ°Π²Π΅Π½ Π΅Π΄ΠΈΠ½ΠΈΡΠ΅, Π΅ΡΠ»ΠΈ h ΠΎΡΡΠΈΡΠ°ΡΠ΅Π»ΡΠ½ΠΎΠ΅, ΡΠΎΠ³Π΄Π° Π½Π°ΠΊΠ»ΠΎΠ½ ΡΠ΅ΠΊΡΡΠ΅ΠΉ Π»ΠΈΠ½ΠΈΠΈ ΠΎΡ 0 Π΄ΠΎ h ΡΠ°Π²Π½Π° -1. ΠΠ° Π³ΡΠ°ΡΠΈΠΊΠ΅ ΡΡΡ ΡΠΎΡΠΊΡ Π²ΠΈΠ΄Π½ΠΎ ΠΊΠ°ΠΊ “Π·ΡΠ±Π΅Ρ” Π² ΡΠΎΡΠΊΠ΅ x = 0. Π’Π°ΠΊΠΆΠ΅ ΡΡΠ½ΠΊΡΠΈΠΈ Π³ΡΠ°ΡΠΈΠΊΡ Π±Π΅Π· “Π·ΡΠ±ΡΠΎΠ²” Π½Π΅ ΡΠ²Π»ΡΠ΅ΡΡΡ Π΄ΠΈΡΡΠ΅ΡΠ΅Π½ΡΠΈΡΠΎΠ²Π°Π½Ρ Π² ΡΠΎΡΠΊΠ΅ Π³Π΄Π΅ ΠΊΠ°ΡΠ°ΡΠ΅Π»ΡΠ½Π°Ρ Π»ΠΈΠ½ΠΈΡ ΡΠ²Π»ΡΠ΅ΡΡΡ Π²Π΅ΡΡΠΈΠΊΠ°Π»ΡΠ½Π°Ρ: Π½Π°ΠΏΡΠΈΠΌΠ΅Ρ ΡΡΠ½ΠΊΡΠΈΡ y = 3 β x Π½Π΅ ΡΠ²Π»ΡΠ΅ΡΡΡ Π΄ΠΈΡΡΠ΅ΡΠ΅Π½ΡΠΈΡΠΎΠ²Π°Π½Π½Π°Ρ Π² ΡΠΎΡΠΊΠ΅ x = 0.
ΠΠΎΠ΄Π²Π΅Π΄Π΅ΠΌ ΠΈΡΠΎΠ³ΠΈ: ΡΡΠΎΠ±Ρ ΠΏΠΎΠ»ΡΡΠΈΡΡ ΠΏΡΠΎΠΈΠ·Π²ΠΎΠ΄Π½ΡΡ ΠΎΡ ΡΡΠ½ΠΊΡΠΈΠΈ ? Π½Π΅ΠΎΠ±Ρ ΠΎΠ΄ΠΈΠΌΠΎΠ΅ ΡΡΠ»ΠΎΠ²ΠΈΠ΅ ΡΡΠΎΠ±Ρ ΡΡΠ½ΠΊΡΠΈΡ ? Π±ΡΠ»Π° Π½Π΅ΠΏΡΠ΅ΡΡΠ²Π½ΠΎΠΉ, Π½ΠΎ ΡΠΎΠ»ΡΠΊΠΎ ΡΡΠΎΠ³ΠΎ Π½Π΅Π΄ΠΎΡΡΠ°ΡΠΎΡΠ½ΠΎ.
ΠΠΎΠ»ΡΡΠΈΠ½ΡΡΠ²ΠΎ ΡΡΠ½ΠΊΡΠΈΠΉ, Π²ΡΡΡΠ΅ΡΠ°ΡΡΠΈΡ ΡΡ Π½Π° ΠΏΡΠ°ΠΊΡΠΈΠΊΠ΅ ΠΈΠΌΠ΅ΡΡ ΠΏΡΠΎΠΈΠ·Π²ΠΎΠ΄Π½ΡΠ΅ Π²ΠΎ Π²ΡΠ΅Ρ ΡΠΎΡΠΊΠ°Ρ , ΠΈΠ»ΠΈ ΠΏΠΎΡΡΠΈ Π²ΠΎ Π²ΡΠ΅Ρ ΡΠΎΡΠΊΠ°Ρ . Π Π°Π½Π΅Π΅ Π² Π½Π°ΡΠ°Π»Π΅ ΠΈΠ·ΡΡΠ΅Π½ΠΈΡ ΠΌΠ°ΡΠ΅ΠΌΠ°ΡΠΈΡΠ΅ΡΠΊΠΎΠ³ΠΎ Π°Π½Π°Π»ΠΈΠ·Π°, ΠΌΠ½ΠΎΠ³ΠΈΠ΅ ΠΌΠ°ΡΠ΅ΠΌΠ°ΡΠΈΠΊΠΈ ΠΏΡΠ΅Π΄ΠΏΠΎΠ»Π°Π³Π°Π»ΠΈ, ΡΡΠΎ Π½Π΅ΠΏΡΠ΅ΡΡΠ²Π½Π°Ρ ΡΡΠ½ΠΊΡΠΈΡ Π΄ΠΈΡΡΠ΅ΡΠ΅Π½ΡΠΈΡΡΠ΅ΠΌΠ° Π² Π±ΠΎΠ»ΡΡΠΈΠ½ΡΡΠ²Π΅ ΡΠΎΡΠ΅ΠΊ. ΠΠ»Ρ ΠΌΡΠ³ΠΊΠΈΡ ΡΡΠ»ΠΎΠ²ΠΈΡΡ , Π½Π°ΠΏΡΠΈΠΌΠ΅Ρ Π΅ΡΠ»ΠΈ Π΅ΡΡΡ ΠΌΠΎΠ½ΠΎΡΠΎΠ½Π½ΡΡ ΡΡΠ½ΠΊΡΠΈΡ ΠΈΠ»ΠΈ ΠΠΈΠΏΡΠΈΡΠΎΠ²Ρ ΡΡΠ½ΠΊΡΠΈΡ ΡΡΠ° ΡΠΎΡΠΌΡΠ»ΠΈΡΠΎΠ²ΠΊΠ° ΡΠΏΡΠ°Π²Π΅Π΄Π»ΠΈΠ²ΠΎ. ΠΠ΄Π½Π°ΠΊΠΎ Π² 1872 ΠΠ΅ΠΉΠ΅ΡΡΡΡΠ°ΡΡ Π½Π°ΡΠ΅Π» ΠΏΠ΅ΡΠ²ΡΠΉ ΠΏΡΠΈΠΌΠ΅Ρ ΡΡΠ½ΠΊΡΠΈΠΈ, Π½Π΅ΠΏΡΠ΅ΡΡΠ²Π½ΠΎΠΉ Π²ΡΡΠ΄Ρ, Π½ΠΎ Π½Π΅ Π΄ΠΈΡΡΠ΅ΡΠ΅Π½ΡΠΈΡΠΎΠ²Π°Π½Π½ΠΎΠΉ Π² ΠΎΠ΄Π½ΠΎΠΉ ΡΠΎΡΠΊΠ΅. ΠΡΠ° ΡΡΠ½ΠΊΡΠΈΡ ΠΈΠ·Π²Π΅ΡΡΠ½Π° ΠΊΠ°ΠΊ ΠΠ΅ΠΉΠ΅ΡΡΡΡΠ°ΡΠΎΠ²Π°. Π 1931 Π³ΠΎΠ΄Ρ Π‘ΡΠ΅ΡΠ°Π½ ΠΠ°Π½Π°Ρ Π΄ΠΎΠΊΠ°Π·Π°Π», ΡΡΠΎ ΠΌΠ½ΠΎΠΆΠ΅ΡΡΠ²ΠΎ ΡΡΠ½ΠΊΡΠΈΠΉ, ΠΈΠΌΠ΅ΡΡΠΈΡ ΠΏΡΠΎΠΈΠ·Π²ΠΎΠ΄Π½ΡΡ Ρ ΠΎΡΡ Π±Ρ Π² ΠΊΠ°ΠΊΠΎΠΉ-ΡΠΎ ΡΠΎΡΠΊΠ΅ Π΅ΡΡΡ ΠΌΠ½ΠΎΠΆΠ΅ΡΡΠ²ΠΎ ΠΏΠ΅ΡΠ²ΠΎΠΉ ΠΊΠ°ΡΠ΅Π³ΠΎΡΠΈΠΈ Π² ΠΏΡΠΎΡΡΡΠ°Π½ΡΡΠ²Π΅ Π²ΡΠ΅Ρ Π½Π΅ΠΏΡΠ΅ΡΡΠ²Π½ΡΡ ΡΡΠ½ΠΊΡΠΈΠΉ. [1]
3. ΠΠ±ΠΎΠ·Π½Π°ΡΠ΅Π½ΠΈΠ΅
ΠΡΠΎΠΈΠ·Π²ΠΎΠ΄Π½Π°Ρ ΠΎΠ±ΠΎΠ·Π½Π°ΡΠ°Π΅ΡΡΡ ΠΊΠ°ΠΊ , Π§ΡΠΎ ΠΏΡΠΎΠΈΠ·Π½ΠΎΡΠΈΡΡΡ “ΡΡ-ΡΡΡΠΈΡ ΠΎΡ ΠΈΠΊΡ”.
Π€ΡΠ½ΠΊΡΠΈΡ, ΠΈΠΌΠ΅ΡΡΠ°Ρ ΠΊΠΎΠ½Π΅ΡΠ½ΠΎΠ΅ ΠΏΡΠΎΠΈΠ·Π²ΠΎΠ΄Π½ΡΡ Π² ΡΠΎΡΠΊΠ΅ x, Π½Π°Π·ΡΠ²Π°Π΅ΡΡΡ Π΄ΠΈΡΡΠ΅ΡΠ΅Π½ΡΠΈΡΠΎΠ²Π°Π½Π½ΠΎΠΉ Π² ΡΠΎΡΠΊΠ΅ x.
ΠΡΠΎΠΈΠ·Π²ΠΎΠ΄Π½Π°Ρ ΡΠ°ΠΊΠΆΠ΅ ΡΠΊΠ°Π·ΡΠ²Π°Π΅ΡΡΡ, ΠΊΠ°ΠΊ ΠΎΡΠ½ΠΎΡΠ΅Π½ΠΈΠ΅ Π΄ΠΈΡΡΠ΅ΡΠ΅Π½ΡΠΈΠ°Π»ΠΎΠ² . Π ΡΠΈΠ·ΠΈΠΊΠ΅ Π΄Π»Ρ ΠΎΠ±ΠΎΠ·Π½Π°ΡΠ΅Π½ΠΈΡ ΠΏΡΠΎΠΈΠ·Π²ΠΎΠ΄Π½ΡΡ ΠΏΠΎ Π²ΡΠ΅ΠΌΠ΅Π½ΠΈ ΠΈΡΠΏΠΎΠ»ΡΠ·ΡΡΡ ΡΠΎΡΠΊΡ Π½Π°Π΄ ΠΏΠ΅ΡΠ΅ΠΌΠ΅Π½Π½ΠΎΠΉ, Π½Π°ΠΏΡΠΈΠΌΠ΅Ρ .
3.1. ΠΠ±ΠΎΠ·Π½Π°ΡΠ΅Π½ΠΈΠ΅ ΠΠ΅ΠΉΠ±Π½ΠΈΡΠ°
ΠΠ±ΠΎΠ·Π½Π°ΡΠ΅Π½ΠΈΠ΅ ΠΏΡΠΎΠΈΠ·Π²ΠΎΠ΄Π½ΠΎΠΉ ΠΏΡΠ΅Π΄Π»ΠΎΠΆΠ΅Π½Π½ΠΎΠ΅ ΠΠ΅ΠΉΠ±Π½ΠΈΡΠ΅ΠΌ Π±ΡΠ»ΠΎ ΠΎΠ΄Π½ΠΈΠΌ ΠΈΠ· ΠΏΠ΅ΡΠ²ΡΡ . ΠΠ½ΠΎ ΡΠΈΡΠΎΠΊΠΎ ΠΈΡΠΏΠΎΠ»ΡΠ·ΡΠ΅ΡΡΡ Π΄ΠΎ ΡΠΈΡ ΠΏΠΎΡ. ΠΡΠ»ΠΈ Π²ΡΡΠ°ΠΆΠ΅Π½ΠΈΠ΅ y = ? (x) ΡΠ°ΡΡΠΌΠ°ΡΡΠΈΠ²Π°Π΅ΡΡΡ ΠΊΠ°ΠΊ ΡΡΠ½ΠΊΡΠΈΠΎΠ½Π°Π»ΡΠ½Π°Ρ Π·Π°Π²ΠΈΡΠΈΠΌΠΎΡΡΡ ΠΌΠ΅ΠΆΠ΄Ρ Π·Π°Π²ΠΈΡΠΈΠΌΠΎΠΉ ΠΈ Π½Π΅Π·Π°Π²ΠΈΡΠΈΠΌΠΎΠΉ ΠΏΠ΅ΡΠ΅ΠΌΠ΅Π½Π½ΡΠΌΠΈ. Π’ΠΎΠ³Π΄Π° ΠΏΠ΅ΡΠ²Π°Ρ ΠΏΡΠΎΠΈΠ·Π²ΠΎΠ΄Π½Π°Ρ ΠΎΠ±ΠΎΠ·Π½Π°ΡΠ°Π΅ΡΡΡ ΠΊΠ°ΠΊ:
ΠΏΡΠΎΠΈΠ·Π²ΠΎΠ΄Π½ΡΠ΅ Π²ΡΡΡΠ΅Π³ΠΎ ΠΏΠΎΡΡΠ΄ΠΊΠ° ΠΎΠ±ΠΎΠ·Π½Π°ΡΠ°ΡΡΡΡ ΡΠ»Π΅Π΄ΡΡΡΠΈΠΌ ΠΎΠ±ΡΠ°Π·ΠΎΠΌ
Π΄Π»Ρ ΠΏΡΠΎΠΈΠ·Π²ΠΎΠ΄Π½ΠΎΠΉ n-Π³ΠΎ ΠΏΠΎΡΡΠ΄ΠΊΠ° y = ? (x) (ΠΏΠΎ ΠΏΠ΅ΡΠ΅ΠΌΠ΅Π½Π½ΠΎΠΉ x). Π¦Π΅ ΡΠ²Π»ΡΠ΅ΡΡΡ ΡΠΎΠΊΡΠ°ΡΠ΅Π½ΠΈΠ΅ Π΄Π»Ρ ΠΌΠ½ΠΎΠ³ΠΎΠΊΡΠ°ΡΠ½ΠΎΠ³ΠΎ ΠΏΡΠΈΠΌΠ΅Π½Π΅Π½ΠΈΡ ΠΎΠΏΠ΅ΡΠ°ΡΠΎΡΠ° ΠΏΡΠΎΠΈΠ·Π²ΠΎΠ΄Π½ΠΎΠΉ. ΠΠ°ΠΏΡΠΈΠΌΠ΅Ρ,
Π§Π΅ΡΠ΅Π· ΠΎΠ±ΠΎΠ·Π½Π°ΡΠ΅Π½ΠΈΠ΅ ΠΠ΅ΠΉΠ±Π½ΠΈΡΠ° ΠΌΡ ΠΌΠΎΠΆΠ΅ΠΌ Π·Π°ΠΏΠΈΡΠ°ΡΡ ΠΏΡΠΎΠΈΠ·Π²ΠΎΠ΄Π½ΡΡ ΡΡΠ½ΠΊΡΠΈΠΈ y Π² ΡΠΎΡΠΊΠ΅ x = a Π΄Π²ΡΠΌΡ ΡΠ°Π·Π»ΠΈΡΠ½ΡΠΌΠΈ ΡΠΏΠΎΡΠΎΠ±Π°ΠΌΠΈ:
ΠΠ±ΠΎΠ·Π½Π°ΡΠ΅Π½ΠΈΠ΅ ΠΠ΅ΠΉΠ±Π½ΠΈΡΠ° ΠΏΠΎΠ·Π²ΠΎΠ»ΡΠ΅Ρ ΡΠΊΠ°Π·ΡΠ²Π°ΡΡ ΠΏΠ΅ΡΠ΅ΠΌΠ΅Π½Π½ΡΡ Π΄ΠΈΡΡΠ΅ΡΠ΅Π½ΡΠΈΡΠΎΠ²Π°Π½ΠΈΡ (Π² Π·Π½Π°ΠΌΠ΅Π½ΠΈΠΊΡ). ΠΡΠΎ ΠΎΡΠΎΠ±Π΅Π½Π½ΠΎ Π²Π°ΠΆΠ½ΠΎ Π΄Π»Ρ ΡΠ°ΡΡΠΈΡΠ½ΠΎΠ³ΠΎ Π΄ΠΈΡΡΠ΅ΡΠ΅Π½ΡΠΈΡΠΎΠ²ΠΊΠΈ. Π ΡΠ°ΠΊΠΎΠΌ ΠΎΠ±ΠΎΠ·Π½Π°ΡΠ΅Π½ΠΈΠΈ ΡΠ°ΠΊΠΆΠ΅ Π»Π΅Π³ΡΠ΅ Π·Π°ΠΏΠΎΠΌΠ½ΠΈΡΡ ΡΠ΅ΠΏΠ½ΠΎΠ΅ ΠΏΡΠ°Π²ΠΈΠ»ΠΎ :
3.2. ΠΠ±ΠΎΠ·Π½Π°ΡΠ΅Π½ΠΈΠ΅ ΠΠ°Π³ΡΠ°Π½ΠΆΠ°
ΠΠ±ΠΎΠ·Π½Π°ΡΠ΅Π½ΠΈΠ΅ ΠΠ°Π³ΡΠ°Π½ΠΆΠ° ΠΎΠ΄Π½ΠΎ ΠΈΠ· ΡΠ°ΠΌΡΡ ΡΠ°ΡΠΏΡΠΎΡΡΡΠ°Π½Π΅Π½Π½ΡΡ ΡΠΎΠ²ΡΠ΅ΠΌΠ΅Π½Π½ΡΡ ΠΎΠ±ΠΎΠ·Π½Π°ΡΠ΅Π½ΠΈΠΉ Π΄Π»Ρ Π΄ΠΈΡΡΠ΅ΡΠ΅Π½ΡΠΈΡΠΎΠ²ΠΊΠΈ, Π²ΠΏΠ΅ΡΠ²ΡΠ΅ ΠΈΡΠΏΠΎΠ»ΡΠ·ΠΎΠ²Π°Π» ΠΠΎΠ·Π΅Ρ-ΠΡΠΈ ΠΠ°Π³ΡΠ°Π½ΠΆ. ΠΠ»Ρ ΠΎΠ±ΠΎΠ·Π½Π°ΡΠ΅Π½ΠΈΡ ΠΏΡΠΎΠΈΠ·Π²ΠΎΠ΄Π½ΠΎΠΉ ΠΈΡΠΏΠΎΠ»ΡΠ·ΡΡΡ Π·Π½Π°ΠΊ ΡΡΡΠΈΡ , ΡΠ°ΠΊΠΈΠΌ ΠΎΠ±ΡΠ°Π·ΠΎΠΌ ΠΏΡΠΎΠΈΠ·Π²ΠΎΠ΄Π½Π°Ρ ΡΡΠ½ΠΊΡΠΈΠΈ ? (x) ΠΎΠ±ΠΎΠ·Π½Π°ΡΠ°Π΅ΡΡΡ ? ‘(x) ΠΈΠ»ΠΈ ΠΏΡΠΎΡΡΠΎ ?’ ΠΏΠΎΠ΄ΠΎΠ±Π½ΡΠΌ ΠΎΠ±ΡΠ°Π·ΠΎΠΌ Π²ΡΠΎΡΠ°Ρ ΠΈ ΡΡΠ΅ΡΡΡ ΠΏΡΠΎΠΈΠ·Π²ΠΎΠ΄Π½Π°Ρ ΠΎΠ±ΠΎΠ·Π½Π°ΡΠ°ΡΡΡΡ
- and
ΠΠ°ΡΠΈΠ½Π°Ρ ΠΎΡΡΡΠ΄Π° Π½Π΅ΠΊΠΎΡΠΎΡΡΠ΅ Π°Π²ΡΠΎΡΡ ΠΏΡΠΈΠΌΠ΅Π½ΡΡΡ ΡΠΈΠΌΡΠΊΠΈΠ΅ ΡΠΈΡΡΡ:
Π΄Π»Ρ ΡΠ΅ΡΠ²Π΅ΡΡΠΎΠΉ ΠΏΡΠΎΠΈΠ·Π²ΠΎΠ΄Π½ΠΎΠΉ, ΡΠΎΠ³Π΄Π° ΠΊΠ°ΠΊ Π΄ΡΡΠ³ΠΈΠ΅ Π°Π²ΡΠΎΡΡ ΡΡΠ°Π²ΡΡ ΡΠΈΡΡΡ ΠΏΠΎΡΡΠ΄ΠΊΠ° ΠΏΡΠΎΠΈΠ·Π²ΠΎΠ΄Π½ΠΎΠΉ Π² ΡΠΊΠΎΠ±ΠΊΠΈ:
ΠΠΎΡΠ»Π΅Π΄Π½ΡΡ Π·Π°ΠΏΠΈΡΡ ΠΎΠ±ΠΎΠ±ΡΠ°Π΅Ρ ΠΎΠ±ΠΎΠ·Π½Π°ΡΠ΅Π½ΠΈΡ ? (n) Π΄Π»Ρ ΠΏΡΠΎΠΈΠ·Π²ΠΎΠ΄Π½ΠΎΠΉ ΡΡΠ½ΠΊΡΠΈΠΈ ? n-Π³ΠΎ ΠΏΠΎΡΡΠ΄ΠΊΠ° – ΡΠ°ΠΊΠΎΠ΅ ΠΎΠ±ΠΎΠ·Π½Π°ΡΠ΅Π½ΠΈΠ΅ ΠΎΡΠΎΠ±Π΅Π½Π½ΠΎ ΡΠ΄ΠΎΠ±Π½ΠΎ ΠΊΠΎΠ³Π΄Π° ΠΌΡ Π³ΠΎΠ²ΠΎΡΠΈΠΌ ΠΎ ΠΏΡΠΎΠΈΠ·Π²ΠΎΠ΄Π½ΡΡ ΠΊΠ°ΠΊ ΠΎ ΡΡΠ½ΠΊΡΠΈΠΈ, Π² ΡΡΠΎΠΌ ΡΠ»ΡΡΠ°Π΅ ΠΏΡΠΈΠΌΠ΅Π½Π΅Π½ΠΈΠ΅ ΠΎΠ±ΠΎΠ·Π½Π°ΡΠ΅Π½ΠΈΡ ΠΠ΅ΠΉΠ±Π½ΠΈΡΠ° ΠΌΠΎΠΆΠ΅Ρ Π±ΡΡΡ ΡΠ»ΠΈΡΠΊΠΎΠΌ Π³ΡΠΎΠΌΠΎΠ·Π΄ΠΊΠΈΠΌ.
3.3. ΠΠ±ΠΎΠ·Π½Π°ΡΠ΅Π½ΠΈΠ΅ ΠΡΡΡΠΎΠ½Π°
ΠΠ±ΠΎΠ·Π½Π°ΡΠ΅Π½ΠΈΠ΅ ΠΡΡΡΠΎΠ½Π° Π΄Π»Ρ Π΄ΠΈΡΡΠ΅ΡΠ΅Π½ΡΠΈΡΠΎΠ²ΠΊΠΈ, ΡΠ°ΠΊΠΆΠ΅ Π½Π°Π·ΡΠ²Π°Π΅ΡΡΡ ΡΠΎΡΠ΅ΡΠ½ΠΎΠ΅ ΠΎΠ±ΠΎΠ·Π½Π°ΡΠ΅Π½ΠΈΠ΅, ΡΡΠ°Π²ΡΡ ΡΠΎΡΠΊΡ Π½Π°Π΄ Π½Π°Π·Π²Π°Π½ΠΈΠ΅ΠΌ ΡΡΠ½ΠΊΡΠΈΠΈ Π΄Π»Ρ ΠΎΠ±ΠΎΠ·Π½Π°ΡΠ΅Π½ΠΈΡ ΠΏΡΠΎΠΈΠ·Π²ΠΎΠ΄Π½ΠΎΠΉ. ΠΡΠ»ΠΈ y = ? (t), ΡΠΎΠ³Π΄Π°
- ΠΈ
ΠΎΠ·Π½Π°ΡΠ°Π΅Ρ ΡΠΎΠΎΡΠ²Π΅ΡΡΡΠ²Π΅Π½Π½ΠΎ ΠΏΠ΅ΡΠ²ΡΡ ΠΈ Π²ΡΠΎΡΡΡ ΠΏΡΠΎΠΈΠ·Π²ΠΎΠ΄Π½ΡΡ ΡΡΠ½ΠΊΡΠΈΠΈ y ΠΏΠΎ ΠΏΠ΅ΡΠ΅ΠΌΠ΅Π½Π½ΠΎΠΉ t. Π’Π°ΠΊΠΎΠ΅ ΠΎΠ±ΠΎΠ·Π½Π°ΡΠ΅Π½ΠΈΠ΅ ΠΏΡΠΈΠΌΠ΅Π½ΡΠ΅ΡΡΡ ΠΏΠΎΡΡΠΈ ΠΈΡΠΊΠ»ΡΡΠΈΡΠ΅Π»ΡΠ½ΠΎ Π΄Π»Ρ ΠΏΡΠΎΠΈΠ·Π²ΠΎΠ΄Π½ΡΡ ΠΏΠΎ Π²ΡΠ΅ΠΌΠ΅Π½ΠΈ, Ρ.Π΅. Π½Π΅Π·Π°Π²ΠΈΡΠΈΠΌΠ°Ρ ΠΏΠ΅ΡΠ΅ΠΌΠ΅Π½Π½Π°Ρ ΡΡΠ½ΠΊΡΠΈΠΈ ΡΠ²Π»ΡΠ΅ΡΡΡ Π²ΡΠ΅ΠΌΡ. ΠΠ½ΠΎ ΠΎΡΠ΅Π½Ρ ΡΠ°ΡΠΏΡΠΎΡΡΡΠ°Π½Π΅Π½ΠΎ Π² ΡΠΈΠ·ΠΈΠΊΠ΅ ΠΈ ΠΌΠ°ΡΠ΅ΠΌΠ°ΡΠΈΡΠ΅ΡΠΊΠΈΠΌ Π΄ΠΈΡΡΠΈΠΏΠ»ΠΈΠ½Π°ΠΌ ΡΠ²ΡΠ·Π°Π½Π½ΡΡ Ρ ΡΠΈΠ·ΠΈΠΊΠΎΠΉ, Π½Π°ΠΏΡΠΈΠΌΠ΅Ρ Π΄ΠΈΡΡΠ΅ΡΠ΅Π½ΡΠΈΠ°Π»ΡΠ½ΡΠ΅ ΡΡΠ°Π²Π½Π΅Π½ΠΈΡ. Π₯ΠΎΡΡ ΡΠ°ΠΊΠΎΠ΅ ΠΎΠ±ΠΎΠ·Π½Π°ΡΠ΅Π½ΠΈΠ΅ ΡΡΠ°Π½ΠΎΠ²ΠΈΡΡΡ ΠΏΡΠΎΠ±Π»Π΅ΠΌΠ°ΡΠΈΡΠ½ΡΠΌ Π² ΠΈΡΠΏΠΎΠ»ΡΠ·ΠΎΠ²Π°Π½ΠΈΠΈ Π΄Π»Ρ ΠΏΡΠΎΠΈΠ·Π²ΠΎΠ΄Π½ΡΡ Π²ΡΡΠΎΠΊΠΎΠ³ΠΎ ΠΏΠΎΡΡΠ΄ΠΊΠ°, Π½Π° ΠΏΡΠ°ΠΊΡΠΈΠΊΠ΅ Π½ΡΠΆΠ½Ρ ΡΠΎΠ»ΡΠΊΠΎ Π½Π΅ΡΠΊΠΎΠ»ΡΠΊΠΎ ΠΏΠ΅ΡΠ²ΡΡ ΠΏΡΠΎΠΈΠ·Π²ΠΎΠ΄Π½ΡΡ .
4. ΠΡΡΠΈΡΠ»Π΅Π½ΠΈΠ΅ ΠΏΡΠΎΠΈΠ·Π²ΠΎΠ΄Π½ΠΎΠΉ
ΠΡΠΎΠΈΠ·Π²ΠΎΠ΄Π½ΡΡ ΡΡΠ½ΠΊΡΠΈΠΈ ΠΌΠΎΠΆΠ½ΠΎ, ΡΠ΅ΠΎΡΠ΅ΡΠΈΡΠ΅ΡΠΊΠΈ, Π²ΡΡΠΈΡΠ»ΡΡΡ ΠΈΡΠΏΠΎΠ»ΡΠ·ΡΡ Π³ΡΠ°Π½ΠΈΡΡ ΠΎΡΠ½ΠΎΡΠ΅Π½ΠΈΡ ΠΏΡΠΈΡΠΎΡΡΠΎΠ². ΠΠ° ΠΏΡΠ°ΠΊΡΠΈΠΊΠ΅, Π΄ΠΎΡΡΠ°ΡΠΎΡΠ½ΠΎ Π·Π½Π°ΡΡ ΠΏΡΠΎΠΈΠ·Π²ΠΎΠ΄Π½ΡΠ΅ ΠΎΠ³ΡΠ°Π½ΠΈΡΠ΅Π½Π½ΠΎΠ³ΠΎ ΠΊΠΎΠ»ΠΈΡΠ΅ΡΡΠ²Π° ΠΏΡΠΎΡΡΡΡ ΡΡΠ½ΠΊΡΠΈΠΉ, ΡΠΎΠ³Π΄Π° ΠΌΠΎΠΆΠ½ΠΎ Π²ΡΡΠΈΡΠ»ΠΈΡΡ ΡΠ»ΠΎΠΆΠ½ΡΠ΅ ΡΠ»ΡΡΠ°ΠΈ Ρ ΠΏΠΎΠΌΠΎΡΡΡ ΠΏΡΠ°Π²ΠΈΠ» Π΄ΠΈΡΠ΅ΡΠ½Π΅ΡΠΈΡΠ²Π°Π½Π½Ρ.
4.1. ΠΡΠΎΠΈΠ·Π²ΠΎΠ΄Π½ΡΠ΅ ΠΏΡΠΎΡΡΡΡ ΡΡΠ½ΠΊΡΠΈΠΉ
Π Π±ΠΎΠ»ΡΡΠΈΠ½ΡΡΠ²Π΅ ΡΠ»ΡΡΠ°Π΅Π² Π΄Π»Ρ ΡΠΎΠ³ΠΎ ΡΡΠΎΠ±Ρ Π²ΡΡΠΈΡΠ»ΠΈΡΡ ΠΏΡΠΎΠΈΠ·Π²ΠΎΠ΄Π½ΡΡ Π½ΡΠΆΠ½ΠΎ Π·Π½Π°ΡΡ ΠΏΡΠΎΠΈΠ·Π²ΠΎΠ΄Π½ΡΠ΅ ΠΎΠΏΡΠ΅Π΄Π΅Π»Π΅Π½Π½ΡΡ ΡΠ°ΡΠΏΡΠΎΡΡΡΠ°Π½Π΅Π½Π½ΡΡ ΡΡΠ½ΠΊΡΠΈΠΉ. ΠΠΈΠΆΠ΅ ΠΏΡΠΈΠ²Π΅Π΄Π΅Π½ Π½Π΅ΠΏΠΎΠ»Π½ΡΠΉ ΠΏΠ΅ΡΠ΅ΡΠ΅Π½Ρ ΠΈΠ· ΠΏΡΠΎΠΈΠ·Π²ΠΎΠ΄Π½ΡΡ Π½Π΅ΠΊΠΎΡΠΎΡΡΡ Π²Π°ΠΆΠ½Π΅ΠΉΡΠΈΡ ΡΡΠ½ΠΊΡΠΈΠΉ ΠΎΠ΄Π½ΠΎΠΉ Π΄Π΅ΠΉΡΡΠ²ΠΈΡΠ΅Π»ΡΠ½ΠΎΠΉ ΠΏΠ΅ΡΠ΅ΠΌΠ΅Π½Π½ΠΎΠΉ.
- ,
Π³Π΄Π΅ r – Π»ΡΠ±ΠΎΠ΅ Π΄Π΅ΠΉΡΡΠ²ΠΈΡΠ΅Π»ΡΠ½ΠΎΠ΅ ΡΠΈΡΠ»ΠΎ, ΡΠΎΠ³Π΄Π°
- ,
Π΄Π»Ρ Π»ΡΠ±ΡΡ ΡΠ»ΡΡΠ°Π΅Π², ΠΊΠΎΠ³Π΄Π° ΠΎΠΏΡΠ΅Π΄Π΅Π»Π΅Π½Π½Π°Ρ ΡΡΠ½ΠΊΡΠΈΡ. ΠΠ°ΠΏΡΠΈΠΌΠ΅Ρ, Π΅ΡΠ»ΠΈ r = 1/2, ΡΠΎΠ³Π΄Π°
- .
Π·Π΄Π΅ΡΡ ΡΡΠ½ΠΊΡΠΈΡ ΠΎΠΏΡΠ΅Π΄Π΅Π»Π΅Π½Π° ΡΠΎΠ»ΡΠΊΠΎ Π΄Π»Ρ ΠΏΠΎΠ»ΠΎΠΆΠΈΡΠ΅Π»ΡΠ½ΡΡ x. ΠΡΠ»ΠΈ r = 0, ΡΡΠΎ ΠΏΡΠ°Π²ΠΈΠ»ΠΎ ΠΏΠΎΠ²ΡΠΎΡΡΠ΅Ρ ΠΏΡΠ°Π²ΠΈΠ»ΠΎ ΠΊΠΎΠ½ΡΡΠ°Π½ΡΡ.
5. ΠΡΠΈΠΌΠ΅Ρ Π½Π°Ρ ΠΎΠΆΠ΄Π΅Π½ΠΈΡ ΠΏΡΠΎΠΈΠ·Π²ΠΎΠ΄Π½ΠΎΠΉ ΠΏΠΎ ΠΎΠΏΡΠ΅Π΄Π΅Π»Π΅Π½ΠΈΡ
ΠΡΡΡΡ ΠΈΠΌΠ΅Π΅ΡΡΡ ΡΡΠ½ΠΊΡΠΈΡ y = c, Π³Π΄Π΅ c – Π½Π΅ΠΊΠΎΡΠΎΡΠ°Ρ ΠΊΠΎΠ½ΡΡΠ°Π½ΡΠ°. Π’ΠΎΠ³Π΄Π° ΠΏΡΠΈ Π»ΡΠ±ΠΎΠΌ x 0 ΠΈ ΠΏΡΠΈ Π»ΡΠ±ΠΎΠΌ Ξx ΠΈΠ·ΠΌΠ΅Π½Π΅Π½ΠΈΠ΅ (ΠΏΡΠΈΡΠΎΡΡ) ΡΡΠ½ΠΊΡΠΈΠΈ ΡΠ°Π²Π½Π° Π½ΡΠ»Ρ, ΡΠ»Π΅Π΄ΠΎΠ²Π°ΡΠ΅Π»ΡΠ½ΠΎ ΠΈ ΠΏΡΠΎΠΈΠ·Π²ΠΎΠ΄Π½Π°Ρ ΡΠ°ΠΊΠΎΠΉ ΡΡΠ½ΠΊΡΠΈΠΈ ΡΠ°Π²Π΅Π½ Π½ΡΠ»Ρ.
6. ΠΡΠΎΠΈΠ·Π²ΠΎΠ΄Π½ΡΠ΅ Π²ΡΡΡΠΈΡ (ΡΡΠ°ΡΡΠΈΡ ) ΠΏΠΎΡΡΠ΄ΠΊΠΎΠ²
ΠΠΎΠ½ΡΡΠΈΠ΅ ΠΏΡΠΎΠΈΠ·Π²ΠΎΠ΄Π½ΠΎΠΉ ΠΏΡΠΎΠΈΠ·Π²ΠΎΠ»ΡΠ½ΠΎΠ³ΠΎ ΠΏΠΎΡΡΠ΄ΠΊΠ° Π·Π°Π΄Π°Π΅ΡΡΡ ΡΠ΅ΠΊΡΡΡΠ΅Π½ΡΠ½ΡΠΌ:
- ΠΏΡΠΎΠΈΠ·Π²ΠΎΠ΄Π½Π°Ρ Π½ΡΠ»Π΅Π²ΠΎΠ³ΠΎ ΠΏΠΎΡΡΠ΄ΠΊΠ° – ΡΠ°ΠΌΠ° ΡΡΠ½ΠΊΡΠΈΡ
- ΠΏΡΠΎΠΈΠ·Π²ΠΎΠ΄Π½Π°Ρ n-Π³ΠΎ ΠΏΠΎΡΡΠ΄ΠΊΠ° Π΄Π»Ρ Π½Π°ΡΡΡΠ°Π»ΡΠ½ΠΎΠ³ΠΎ n, ΡΡΠΎ Π±ΠΎΠ»ΡΡΠ΅ 0, – ΠΏΡΠΎΠΈΠ·Π²ΠΎΠ΄Π½Π°Ρ ΠΏΡΠΎΠΈΠ·Π²ΠΎΠ΄Π½ΠΎΠΉ (n-1)-Π³ΠΎ ΠΏΠΎΡΡΠ΄ΠΊΠ°
ΠΠ½ΠΎΠ³Π΄Π° Π²ΠΌΠ΅ΡΡΠΎ “ΠΏΡΠΎΠΈΠ·Π²ΠΎΠ΄Π½Π°Ρ n-Π³ΠΎ ΠΏΠΎΡΡΠ΄ΠΊΠ°” Π³ΠΎΠ²ΠΎΡΡΡ “n-Ρ ΠΏΡΠΎΠΈΠ·Π²ΠΎΠ΄Π½Π°Ρ”.
ΠΡΠΎΠΈΠ·Π²ΠΎΠ΄Π½Π°Ρ n-Π³ΠΎ ΠΏΠΎΡΡΠ΄ΠΊΠ° ΡΡΠ½ΠΊΡΠΈΠΈ f ΠΎΠ±ΡΡΠ½ΠΎ ΠΎΠ±ΠΎΠ·Π½Π°ΡΠ°Π΅ΡΡΡ ΠΊΠ°ΠΊ f (n) (x)
- Π΅ΡΠ»ΠΈ n ΠΌΠ°Π»ΠΎΠ΅ (1, 2, 3) – ΡΠΎ ΠΈΡΠΏΠΎΠ»ΡΠ·ΡΠ΅ΡΡΡ ΡΠΎΠΎΡΠ²Π΅ΡΡΡΠ²ΡΡΡΠ΅Π΅ ΡΠΈΡΠΊΠΎΠ², f ‘(x), f” (x), f”’ (x), ΠΏΡΠΎΠΈΠ·Π½ΠΎΡΠΈΡΡΡ ΠΊΠ°ΠΊ “ΡΡ-ΡΡΡΠΈΡ ΠΎΡ ΠΈΠΊΡ”; ΠΎ Π²ΡΠΎΡΠΎΠΉ – “ΡΡ-Π΄Π²Π°-ΡΡΡΠΈΡ ΠΈ ΠΎΡ ΠΈΠΊΡ”.
- ΠΠΎΠΆΠ½ΠΎ Π²ΡΡΡΠ΅ΡΠΈΡΡ ΠΈΡΡΠΎΡΠΈΡΠ΅ΡΠΊΠΎΠ΅ ΠΎΠ±ΠΎΠ·Π½Π°ΡΠ΅Π½ΠΈΠ΅ ΠΏΡΠΎΠΈΠ·Π²ΠΎΠ΄Π½ΠΎΠΉ Ρ ΠΏΠΎΠΌΠΎΡΡΡ ΡΠΈΠΌΡΠΊΠΎΠΉ ΡΠΈΡΡΠ΅ΠΌΡ ΡΡΠΈΡΠ»Π΅Π½ΠΈΡ (ΠΏΠ΅ΡΠ²Π°Ρ ΠΏΡΠΎΠΈΠ·Π²ΠΎΠ΄Π½Π°Ρ: f ‘(x), Π²ΡΠΎΡΠ°Ρ: f II (x), ΡΠ΅ΡΡΠ½Π°Π΄ΡΠ°ΡΠ°Ρ: f XVI (x)).
- Π ΡΠΈΠ·ΠΈΠΊΠ΅ ΡΠ°ΠΊΠΆΠ΅ Π²ΡΡΡΠ΅ΡΠ°Π΅ΡΡΡ ΠΎΠ±ΠΎΠ·Π½Π°ΡΠ΅Π½ΠΈΠ΅ ΠΏΡΠΎΠΈΠ·Π²ΠΎΠ΄Π½ΠΎΠΉ Π²ΡΠΎΡΠΎΠ³ΠΎ ΠΏΠΎΡΡΠ΄ΠΊΠ° ΠΏΠΎ Π²ΡΠ΅ΠΌΠ΅Π½ΠΈ Π² Π²ΠΈΠ΄Π΅ Π΄Π²ΡΡ ΡΠΎΡΠ΅ΠΊ Π½Π°Π΄ ΠΏΠ΅ΡΠ΅ΠΌΠ΅Π½Π½ΠΎΠΉ: .
7. ΠΠ΅ΠΎΠΌΠ΅ΡΡΠΈΡΠ΅ΡΠΊΠΈΠΉ ΡΠΌΡΡΠ» ΠΏΡΠΎΠΈΠ·Π²ΠΎΠ΄Π½ΠΎΠΉ
ΠΠ½Π°ΡΠ΅Π½ΠΈΠ΅ ΠΏΡΠΎΠΈΠ·Π²ΠΎΠ΄Π½ΠΎΠΉ ΡΡΠ½ΠΊΡΠΈΠΈ Π² ΡΠΎΡΠΊΠ΅ ΡΠ°Π²Π½ΠΎ Π·Π½Π°ΡΠ΅Π½ΠΈΡ ΡΠ³Π»ΠΎΠ²ΠΎΠ³ΠΎ ΠΊΠΎΡΠΈΡΠΈΠ΅Π½ΡΠ° ΠΊΠ°ΡΠ°ΡΠ΅Π»ΡΠ½ΠΎΠΉ ΠΊ ΠΊΡΠΈΠ²ΠΎΠΉ Π² ΡΠΎΡΠΊΠ΅ Ρ Π°Π±ΡΡΠΈΡΡΠΎΠΉ .
Π£ΡΠ°Π²Π½Π΅Π½ΠΈΠ΅ ΠΊΠ°ΡΠ°ΡΠ΅Π»ΡΠ½ΠΎΠΉ ΠΊ ΠΊΡΠΈΠ²ΠΎΠΉ Π² ΡΠΎΡΠΊΠ΅ M ( ) ΠΠΌΠ΅Π΅Ρ Π²ΠΈΠ΄:
y = f (x) = tga
8. Π€ΠΈΠ·ΠΈΡΠ΅ΡΠΊΠΈΠΉ ΡΠΌΡΡΠ» ΠΏΡΠΎΠΈΠ·Π²ΠΎΠ΄Π½ΠΎΠΉ
ΠΡΠΎΠΈΠ·Π²ΠΎΠ΄Π½Π°Ρ ΠΎΡ ΠΏΡΡΠΈ ΠΏΠΎ Π²ΡΠ΅ΠΌΠ΅Π½ΠΈ ΡΠ°Π²Π½Π° ΠΌΠ³Π½ΠΎΠ²Π΅Π½Π½ΠΎΠΉ ΡΠΊΠΎΡΠΎΡΡΠΈ Π΄Π²ΠΈΠΆΠ΅Π½ΠΈΡ ΠΌΠ°ΡΠ΅ΡΠΈΠ°Π»ΡΠ½ΠΎΠΉ ΡΠΎΡΠΊΠΈ.
Π‘ΠΌ.. ΡΠ°ΠΊΠΆΠ΅
ΠΡΠΈΠΌΠ΅ΡΠ°Π½ΠΈΡ
- Banach, S. (1931), “Uber die Baire’sche Kategorie gewisser Funktionenmengen”, Studia. Math. (3): 174-179. . Cited by Hewitt, E and Stromberg, K (1963), Real and abstract analysis, Springer-Verlag, Theorem 17.8
nado.znate.ru
ΠΠΏΡΠ΅Π΄Π΅Π»Π΅Π½ΠΈΠ΅ ΠΏΡΠΎΠΈΠ·Π²ΠΎΠ΄Π½ΠΎΠΉ
ΠΡΠ° ΠΏΡΠΎΠΈΠ·Π²ΠΎΠ΄Π½Π°Ρ Π²ΡΡΡΠ΅ΡΠ°Π΅ΡΡΡ ΠΎΡΠ΅Π½Ρ ΡΠ°ΡΡΠΎ, ΠΈ Π΅Ρ ΠΈΠΌΠ΅Π΅Ρ ΡΠΌΡΡΠ» Π²ΡΡΡΠΈΡΡ. ΠΠ°ΠΏΠΎΠΌΠ½ΠΈΡΡ ΠΌΠΎΠΆΠ½ΠΎ ΡΠ°ΠΊ: ΒΎΠΏΡΠΎΠΈΠ·Π²ΠΎΠ΄Π½Π°Ρ ΠΊΠΎΡΠ½Ρ Π΅ΡΡΡ ΠΎΠ΄ΠΈΠ½ Π΄Π΅Π»ΠΈΡΡ Π½Π° Π΄Π²Π° ΠΊΠΎΡΠ½ΡΒΏ.
ΠΠ΅ΡΠ΅ΠΉΠ΄ΡΠΌ ΠΊ ΡΡΠΈΠ³ΠΎΠ½ΠΎΠΌΠ΅ΡΡΠΈΡΠ΅ΡΠΊΠΈΠΌ ΡΡΠ½ΠΊΡΠΈΡΠΌ: ΡΠΈΠ½ΡΡΡ ΠΈ ΠΊΠΎΡΠΈΠ½ΡΡΡ. ΠΡΡΠΈΡΠ»Π΅Π½ΠΈΡ Ρ ΠΏΠΎΠΌΠΎΡΡΡ ΡΠΎΡΠΌΡΠ»Ρ (1.11) ΠΈ ΠΏΠ΅ΡΠ²ΠΎΠ³ΠΎ Π·Π°ΠΌΠ΅ΡΠ°ΡΠ΅Π»ΡΠ½ΠΎΠ³ΠΎ ΠΏΡΠ΅Π΄Π΅Π»Π° ΠΏΡΠΈΠ²ΠΎΠ΄ΡΡ ΠΊ ΡΠ»Π΅Π΄ΡΡΡΠ΅ΠΌΡ ΡΠ΅Π·ΡΠ»ΡΡΠ°ΡΡ:
(sin x)0 = cos x; (cos x)0 = sin x:
Π§Π΅ΡΡΡΠ΅ ΠΏΡΠΎΠΈΠ·Π²ΠΎΠ΄Π½ΡΡ Π² ΡΠ°ΠΌΠΎΡΠΊΠ΅ (ΠΊΠΎΠ½ΡΡΠ°Π½ΡΠ°, ΡΡΠ΅ΠΏΠ΅Π½Π½Π°Ρ ΡΡΠ½ΠΊΡΠΈΡ, ΡΠΈΠ½ΡΡ ΠΈ ΠΊΠΎΡΠΈΠ½ΡΡ), ΠΊΠ°ΠΊ ΠΌΡ ΡΠΊΠ°Π·Π°Π»ΠΈ Π²ΡΡΠ΅, Π½Π°Π·ΡΠ²Π°ΡΡΡΡ ΡΠ°Π±Π»ΠΈΡΠ½ΡΠΌΠΈ. ΠΡΠΈ ΠΏΡΠΎΠΈΠ·Π²ΠΎΠ΄Π½ΡΠ΅ Π½ΡΠΆΠ½ΠΎ ΡΠ²ΡΡΠ΄ΠΎ Π·Π½Π°ΡΡ.
ΠΡΡΠΈΡΠ»Π΅Π½ΠΈΡ ΠΏΡΠΎΠΈΠ·Π²ΠΎΠ΄Π½ΠΎΠΉ ΠΏΠΎ ΠΎΠΏΡΠ΅Π΄Π΅Π»Π΅Π½ΠΈΡ (ΡΠΎ Π΅ΡΡΡ ΠΊΠ°ΠΊ ΠΏΡΠ΅Π΄Π΅Π»Π°) Π»Π΅Π³ΠΊΠΎ ΠΏΡΠΎΡ ΠΎΠ΄ΡΡ Π΄Π»Ρ ΡΡΠ½ΠΊ-
ΡΠΈΠΉ, ΡΡΡΡΠΎΠ΅Π½Π½ΡΡ Π½Π°ΠΈΠ±ΠΎΠ»Π΅Π΅ ΠΏΡΠΎΡΡΠΎ. Π ΠΊΠ°ΠΊ Π±ΡΡΡ, Π΅ΡΠ»ΠΈ Π½ΡΠΆΠ½ΠΎ ΠΏΡΠΎΠ΄ΠΈΡΡΠ΅ΡΠ΅Π½ΡΠΈΡΠΎΠ²Π°ΡΡ ΡΡΠ½ΠΊΡΠΈΡ p
Π½Π°ΠΏΠΎΠ΄ΠΎΠ±ΠΈΠ΅ ΡΠ°ΠΊΠΎΠΉ: f(x) = x7 sin3 4×2 5x? ΠΠ΄Π΅ΡΡ Π²ΡΡΠΈΡΠ»ΡΡΡ ΠΏΡΠ΅Π΄Π΅Π» (1.11) Π·Π°Π½ΡΡΠΈΠ΅ Π½Π΅ ΠΈΠ· ΠΏΡΠΈΡΡΠ½ΡΡ . Π ΠΏΠΎΠ΄ΠΎΠ±Π½ΡΡ ΡΠ»ΡΡΠ°ΡΡ Π½Π° ΠΏΠΎΠΌΠΎΡΡ ΠΏΡΠΈΡ ΠΎΠ΄ΡΡ ΠΏΡΠ°Π²ΠΈΠ»Π° Π΄ΠΈΡΡΠ΅ΡΠ΅Π½ΡΠΈΡΠΎΠ²Π°Π½ΠΈΡ, ΠΊΠΎΡΠΎΡΡΠ΅ ΠΏΠΎΠ·Π²ΠΎΠ»ΡΡΡ ΡΠΊΠΎΠ½ΡΡΡΡΠΈΡΠΎΠ²Π°ΡΡ ΠΏΡΠΎΠΈΠ·Π²ΠΎΠ΄Π½ΡΡ Π΄Π°Π½Π½ΠΎΠΉ ΡΡΠ½ΠΊΡΠΈΠΈ ΠΈΠ· ΠΏΡΠΎΠΈΠ·Π²ΠΎΠ΄Π½ΡΡ Π±ΠΎΠ»Π΅Π΅ ΠΏΡΠΎΡΡΡΡ ΡΡΠ½ΠΊΡΠΈΠΉ.
1.1.5ΠΡΠ°Π²ΠΈΠ»Π° Π΄ΠΈΡΡΠ΅ΡΠ΅Π½ΡΠΈΡΠΎΠ²Π°Π½ΠΈΡ
ΠΠ°ΠΊ ΠΌΡ ΡΠΆΠ΅ ΡΠΊΠ°Π·Π°Π»ΠΈ, ΠΏΡΠ°Π²ΠΈΠ»Π° Π΄ΠΈΡΡΠ΅ΡΠ΅Π½ΡΠΈΡΠΎΠ²Π°Π½ΠΈΡ ΠΏΠΎΠ·Π²ΠΎΠ»ΡΡΡ Π½Π°Ρ ΠΎΠ΄ΠΈΡΡ ΠΏΡΠΎΠΈΠ·Π²ΠΎΠ΄Π½ΡΠ΅ ΡΡΠ½ΠΊΡΠΈΠΉ Π΄ΠΎΡΡΠ°ΡΠΎΡΠ½ΠΎ ΡΠ»ΠΎΠΆΠ½ΠΎΠ³ΠΎ Π²ΠΈΠ΄Π°. ΠΠ΄Π΅Ρ ΡΠΎΡΡΠΎΠΈΡ Π² ΒΎΡΠ°ΡΡΠ΅ΠΏΠ»Π΅Π½ΠΈΠΈΒΏ ΠΈΡΡ ΠΎΠ΄Π½ΠΎΠΉ ΡΡΠ½ΠΊΡΠΈΠΈ Π½Π° Π±ΠΎΠ»Π΅Π΅ ΠΏΡΠΎΡΡΡΠ΅ ΡΡΠ½ΠΊΡΠΈΠΈ, ΠΏΡΠΎΠΈΠ·Π²ΠΎΠ΄Π½ΡΠ΅ ΠΊΠΎΡΠΎΡΡΡ ΠΈΠ·Π²Π΅ΡΡΠ½Ρ ΠΈ ΠΈΠ³ΡΠ°ΡΡ ΡΠΎΠ»Ρ ΒΎΠΊΠΈΡΠΏΠΈΡΠΈΠΊΠΎΠ²ΒΏ ΠΏΡΠΈ ΠΊΠΎΠ½ΡΡΡΡΠΈΡΠΎΠ²Π°Π½ΠΈΠΈ ΠΈΡΠΊΠΎΠΌΠΎΠΉ ΠΏΡΠΎΠΈΠ·Π²ΠΎΠ΄Π½ΠΎΠΉ. ΠΠ½Π°Ρ Π½Π΅Π±ΠΎΠ»ΡΡΠΎΠ΅ ΡΠΈΡΠ»ΠΎ ΡΠ°Π±Π»ΠΈΡΠ½ΡΡ ΠΏΡΠΎΠΈΠ·Π²ΠΎΠ΄Π½ΡΡ ΠΈ ΡΠ°ΡΠΏΠΎΠ»Π°Π³Π°Ρ ΠΏΡΠ°Π²ΠΈΠ»Π°ΠΌΠΈ Π΄ΠΈΡΡΠ΅ΡΠ΅Π½ΡΠΈΡΠΎΠ²Π°Π½ΠΈΡ, ΠΌΡ ΠΌΠΎΠΆΠ΅ΠΌ Π²ΡΡΠΈΡΠ»ΡΡΡ ΠΏΡΠΎΠΈΠ·Π²ΠΎΠ΄Π½ΡΠ΅ ΠΎΠ³ΡΠΎΠΌΠ½ΠΎΠ³ΠΎ ΠΊΠΎΠ»ΠΈΡΠ΅ΡΡΠ²Π° ΡΡΠ½ΠΊΡΠΈΠΉ, Π½Π΅ ΠΏΡΠΈΠ±Π΅Π³Π°Ρ ΠΊ ΠΎΠΏΡΠ΅Π΄Π΅Π»Π΅Π½ΠΈΡ ΠΏΡΠΎΠΈΠ·Π²ΠΎΠ΄Π½ΠΎΠΉ ΠΈ Π½Π΅ Π²ΡΡΠΈΡΠ»ΡΡ ΡΠΎΠΎΡΠ²Π΅ΡΡΡΠ²ΡΡΡΠΈΠΉ ΠΏΡΠ΅Π΄Π΅Π» (1.11).
ΠΡΠ΅Π³ΠΎ ΠΈΠΌΠ΅Π΅ΡΡΡ ΠΏΡΡΡ ΠΏΡΠ°Π²ΠΈΠ» Π΄ΠΈΡΡΠ΅ΡΠ΅Π½ΡΠΈΡΠΎΠ²Π°Π½ΠΈΡ. ΠΡ ΠΏΡΠΈΠ²ΠΎΠ΄ΠΈΠΌ ΠΈΡ Π·Π΄Π΅ΡΡ Π±Π΅Π· Π΄ΠΎΠΊΠ°Π·Π°ΡΠ΅Π»ΡΡΡΠ²Π°. Π€ΡΠ½ΠΊΡΠΈΠΈ u(x) ΠΈ v(x) ΡΠ²Π»ΡΡΡΡΡ ΡΠ΅ΠΌΠΈ ΡΠ°ΠΌΡΠΌΠΈ ΒΎΠΊΠΈΡΠΏΠΈΡΠΈΠΊΠ°ΠΌΠΈΒΏ, ΠΈΠ· ΠΊΠΎΡΠΎΡΡΡ ΡΡΡΠΎΡΡΡΡ ΡΡΠ½ΠΊΡΠΈΠΈ Π±ΠΎΠ»Π΅Π΅ ΡΠ»ΠΎΠΆΠ½ΠΎΠ³ΠΎ Π²ΠΈΠ΄Π°.
0. ΠΠΎΠ½ΡΡΠ°Π½ΡΠ° Π²ΡΠ½ΠΎΡΠΈΡΡΡ Π·Π° Π·Π½Π°ΠΊ ΠΏΡΠΎΠΈΠ·Π²ΠΎΠ΄Π½ΠΎΠΉ. ΠΡΠ»ΠΈ c ΡΠΈΡΠ»ΠΎ, ΡΠΎ (cu)0 = cu0.
ΠΠ°Π½Π½ΠΎΠ΅ ΠΏΡΠ°Π²ΠΈΠ»ΠΎ Π»Π΅Π³ΠΊΠΎ ΠΏΠΎΠ»ΡΡΠ°Π΅ΡΡΡ Π² ΠΊΠ°ΡΠ΅ΡΡΠ²Π΅ ΡΠ»Π΅Π΄ΡΡΠ²ΠΈΡ ΠΏΡΠ°Π²ΠΈΠ»Π° 2 ΠΎ Π΄ΠΈΡΡΠ΅ΡΠ΅Π½ΡΠΈΡΠΎΠ²Π°Π½ΠΈΠΈ ΠΏΡΠΎΠΈΠ·Π²Π΅Π΄Π΅Π½ΠΈΡ. ΠΠΎ ΠΏΡΠΈΠΌΠ΅Π½ΡΠ΅ΡΡΡ ΠΎΠ½ΠΎ Π½Π°ΡΡΠΎΠ»ΡΠΊΠΎ ΡΠ°ΡΡΠΎ, ΡΡΠΎ ΠΌΡ ΡΠ΄Π΅Π»Π°Π»ΠΈ Π΅Π³ΠΎ ΒΎΠ½ΡΠ»Π΅Π²ΡΠΌΒΏ ΠΏΡΠ°Π²ΠΈΠ»ΠΎΠΌ, ΠΎΠ±ΠΎΡΠΎΠ±Π»Π΅Π½Π½ΡΠΌ ΠΎΡ ΠΎΡΡΠ°Π»ΡΠ½ΡΡ .
Π‘ΠΎΠ³Π»Π°ΡΠ½ΠΎ ΡΡΠΎΠΌΡ ΠΏΡΠ°Π²ΠΈΠ»Ρ ΠΈΠΌΠ΅Π΅ΠΌ, Π½Π°ΠΏΡΠΈΠΌΠ΅Ρ:
(5×2)0 = 5(x2)0 = 10x;
( 3 sin x)0 = 3(sin x)0 = 3 cos x:
1. ΠΠΈΡΡΠ΅ΡΠ΅Π½ΡΠΈΡΠΎΠ²Π°Π½ΠΈΠ΅ ΡΡΠΌΠΌΡ. (u + v)0 = u0 + v0 (ΠΏΡΠΎΠΈΠ·Π²ΠΎΠ΄Π½Π°Ρ ΡΡΠΌΠΌΡ ΡΠ°Π²Π½Π° ΡΡΠΌΠΌΠ΅ ΠΏΡΠΎΠΈΠ·Π²ΠΎΠ΄Π½ΡΡ ).
Π’Π°ΠΊ, ΠΏΡΠΈΠΌΠ΅Π½ΡΡ ΠΏΡΠ°Π²ΠΈΠ»Π° 0 ΠΈ 1, Π½Π°Ρ ΠΎΠ΄ΠΈΠΌ:
(sin x + cos x)0 = (sin x)0 + (cos x)0 = cos x sin x;
(x3 + 4 cos x 10)0 = (x3)0 + (4 cos x)0 + ( 10)0 = 3×2 4 sin x
(ΠΏΡΠΎΠΈΠ·Π²ΠΎΠ΄Π½Π°Ρ ΠΊΠΎΠ½ΡΡΠ°Π½ΡΡ 10 ΡΠ°Π²Π½Π° Π½ΡΠ»Ρ!).
2.ΠΠΈΡΡΠ΅ΡΠ΅Π½ΡΠΈΡΠΎΠ²Π°Π½ΠΈΠ΅ ΠΏΡΠΎΠΈΠ·Π²Π΅Π΄Π΅Π½ΠΈΡ. (uv)0 = u0v + uv0. ΠΠΎΡ ΠΏΡΠΈΠΌΠ΅Ρ Π΄ΠΈΡΡΠ΅ΡΠ΅Π½ΡΠΈΡΠΎΠ²Π°Π½ΠΈΡ ΠΏΡΠΎΠΈΠ·Π²Π΅Π΄Π΅Π½ΠΈΡ:
(x2 sin x)0 = (x2)0 sin x + x2(sin x)0 = 2x sin x + x2 cos x:
studfiles.net
Π§ΡΠΎ ΡΠ°ΠΊΠΎΠ΅ ΠΏΡΠΎΠΈΠ·Π²ΠΎΠ΄Π½Π°Ρ?
ΠΡΠΎΠΈΠ·Π²ΠΎΠ΄Π½ΠΎΠΉ ΡΡΠ½ΠΊΡΠΈΠΈ Π½Π°Π·ΡΠ²Π°Π΅ΡΡΡ Π±Π°Π·ΠΎΠ²ΡΠΉ ΡΠ»Π΅ΠΌΠ΅Π½Ρ Π² Π΄ΠΈΡΡΠ΅ΡΠ΅Π½ΡΠΈΠ°Π»ΡΠ½ΠΎΠΌ ΠΈΡΡΠΈΡΠ»Π΅Π½ΠΈΠΈ. ΠΡΠΎΡ ΡΠ»Π΅ΠΌΠ΅Π½Ρ ΠΈ ΡΠ²Π»ΡΠ΅ΡΡΡ ΠΎΠΏΡΠ΅Π΄Π΅Π»Π΅Π½Π½ΡΠΌ ΡΠ΅Π·ΡΠ»ΡΡΠ°ΡΠΎΠΌ ΠΏΡΠΈΠΌΠ΅Π½Π΅Π½ΠΈΡ ΠΊΠ°ΠΊΠΎΠΉ-ΡΠΎ ΠΎΠΏΡΠ΅Π΄Π΅Π»Π΅Π½Π½ΠΎΠΉ ΠΎΠΏΠ΅ΡΠ°ΡΠΈΠΈ Π΄ΠΈΡΡΠ΅ΡΠ΅Π½ΡΠΈΡΠΎΠ²Π°Π½ΠΈΡ ΠΏΠΎ ΠΎΡΠ½ΠΎΡΠ΅Π½ΠΈΡ ΠΊ ΠΈΡΡ ΠΎΠ΄Π½ΠΎΠΉ ΡΡΠ½ΠΊΡΠΈΠΈ.
ΠΠΏΡΠ΅Π΄Π΅Π»Π΅Π½ΠΈΠ΅ ΠΏΡΠΎΠΈΠ·Π²ΠΎΠ΄Π½ΠΎΠΉ
ΠΠ»Ρ ΡΠΎΠ³ΠΎ, ΡΡΠΎΠ±Ρ ΠΏΠΎΠ½ΡΡΡ, ΡΡΠΎ ΡΠ°ΠΊΠΎΠ΅ ΠΏΡΠΎΠΈΠ·Π²ΠΎΠ΄Π½Π°Ρ, Π½Π΅ΠΎΠ±Ρ ΠΎΠ΄ΠΈΠΌΠΎ Π·Π½Π°ΡΡ, ΡΡΠΎ Π½Π°Π·Π²Π°Π½ΠΈΠ΅ ΡΡΠ½ΠΊΡΠΈΠΈ ΠΏΡΠΎΠΈΡΡ ΠΎΠ΄ΠΈΡ Π½Π΅ΠΏΠΎΡΡΠ΅Π΄ΡΡΠ²Π΅Π½Π½ΠΎ ΠΎΡ ΡΠ»ΠΎΠ²Π° Β«ΠΏΡΠΎΠΈΠ·Π²Π΅Π΄Π΅Π½Π½Π°ΡΒ», ΡΠΎ Π΅ΡΡΡ ΠΎΠ±ΡΠ°Π·ΠΎΠ²Π°Π²ΡΠ°ΡΡΡ ΠΎΡ Π΄ΡΡΠ³ΠΎΠΉ ΠΊΠ°ΠΊΠΎΠΉ-Π»ΠΈΠ±ΠΎ Π²Π΅Π»ΠΈΡΠΈΠ½Ρ. ΠΡΠΈ ΡΡΠΎΠΌ ΡΠ°ΠΌ ΠΏΡΠΎΡΠ΅ΡΡ ΠΎΠΏΡΠ΅Π΄Π΅Π»Π΅Π½ΠΈΡ ΠΏΡΠΎΠΈΠ·Π²ΠΎΠ΄Π½ΠΎΠΉ ΠΊΠ°ΠΊΠΎΠΉ-ΡΠΎ ΠΎΠΏΡΠ΅Π΄Π΅Π»Π΅Π½Π½ΠΎΠΉ ΡΡΠ½ΠΊΡΠΈΠΈ ΠΈΠΌΠ΅Π΅Ρ Π½Π°Π·Π²Π°Π½ΠΈΠ΅ – Β«Π΄ΠΈΡΡΠ΅ΡΠ΅Π½ΡΠΈΡΠΎΠ²Π°Π½ΠΈΠ΅Β».Β
ΠΠ°ΠΈΠ±ΠΎΠ»Π΅Π΅ ΡΠ°ΡΠΏΡΠΎΡΡΡΠ°Π½Π΅Π½Π½ΡΠΉ ΠΌΠ΅ΡΠΎΠ΄ ΠΏΡΠ΅Π΄ΡΡΠ°Π²Π»Π΅Π½ΠΈΡ ΠΈ ΠΎΠΏΡΠ΅Π΄Π΅Π»Π΅Π½ΠΈΡ, ΠΏΡΠΈ ΠΈΡΠΏΠΎΠ»ΡΠ·ΠΎΠ²Π°Π½ΠΈΠΈ ΡΠ΅ΠΎΡΠΈΠΈ ΠΏΡΠ΅Π΄Π΅Π»ΠΎΠ², Π½Π΅ΡΠΌΠΎΡΡΡ Π½Π° ΡΠΎ, ΡΡΠΎ ΠΎΠ½Π° ΠΏΠΎΡΠ²ΠΈΠ»Π°ΡΡ Π³ΠΎΡΠ°Π·Π΄ΠΎ ΠΏΠΎΠ·ΠΆΠ΅ Π΄ΠΈΡΡΠ΅ΡΠ΅Π½ΡΠΈΠ°Π»ΡΠ½ΡΡ ΠΈΡΡΠΈΡΠ»Π΅Π½ΠΈΠΉ. ΠΠΎ ΠΎΠΏΡΠ΅Π΄Π΅Π»Π΅Π½ΠΈΡ Π΄Π°Π½Π½ΠΎΠΉ ΡΠ΅ΠΎΡΠΈΠΈ, ΠΏΡΠΎΠΈΠ·Π²ΠΎΠ΄Π½ΠΎΠΉ Π½Π°Π·ΡΠ²Π°Π΅ΡΡΡ ΠΏΡΠ΅Π΄Π΅Π» Π² ΠΎΡΠ½ΠΎΡΠ΅Π½ΠΈΠΈ ΠΏΡΠΈΡΠ°ΡΠ΅Π½ΠΈΡ ΡΡΠ½ΠΊΡΠΈΠΉ ΠΊ ΠΏΡΠΈΡΠ°ΡΠ΅Π½ΠΈΡ Π°ΡΠ³ΡΠΌΠ΅Π½ΡΠ°, Π² ΡΠ»ΡΡΠ°Π΅ Π΅ΡΠ»ΠΈ ΡΠ°ΠΊΠΎΠ²ΠΎΠΉ ΠΏΡΠ΅Π΄Π΅Π» ΠΈΠΌΠ΅Π΅ΡΡΡ, ΠΈ ΠΏΡΠΈ ΡΡΠ»ΠΎΠ²ΠΈΠΈ, ΡΡΠΎ Π΄Π°Π½Π½ΡΠΉ Π°ΡΠ³ΡΠΌΠ΅Π½Ρ ΡΡΡΠ΅ΠΌΠΈΡΡΡ ΠΊ Π½ΡΠ»Π΅Π²ΠΎΠΌΡ Π·Π½Π°ΡΠ΅Π½ΠΈΡ.Β
ΠΡΠΈΠ½ΡΡΠΎ ΡΡΠΈΡΠ°ΡΡ, ΡΡΠΎ, Π²ΠΏΠ΅ΡΠ²ΡΠ΅, ΡΠ΅ΡΠΌΠΈΠ½ ΠΈ ΠΏΠΎΠ½ΡΡΠΈΠ΅ Β«ΠΏΡΠΎΠΈΠ·Π²ΠΎΠ΄Π½Π°ΡΒ» ΡΠΏΠΎΡΡΠ΅Π±ΠΈΠ» Π² ΡΠ²ΠΎΠΈΡ ΡΡΡΠ΄Π°Ρ ΠΈΠ·Π²Π΅ΡΡΠ½ΡΠΉ ΡΡΡΡΠΊΠΈΠΉ ΠΌΠ°ΡΠ΅ΠΌΠ°ΡΠΈΠΊ ΠΏΠΎ ΠΈΠΌΠ΅Π½ΠΈ Π.Π.ΠΠΈΡΠΊΠΎΠ²Π°ΡΠΎΠ².
Π Π°ΡΡΠΌΠΎΡΡΠ΅Π½Π½ΡΠΉ Π½ΠΈΠΆΠ΅ Π½Π΅Π±ΠΎΠ»ΡΡΠΎΠΉ ΠΏΡΠΈΠΌΠ΅Ρ ΠΏΠΎΠΌΠΎΠΆΠ΅Ρ Π½Π°Π³Π»ΡΠ΄Π½ΠΎ ΠΏΠΎΠ½ΡΡΡ, ΡΡΠΎ ΡΠ°ΠΊΠΎΠ΅ ΠΏΡΠΎΠΈΠ·Π²ΠΎΠ΄Π½Π°Ρ.
- ΠΠ»Ρ ΠΏΠΎΠΈΡΠΊΠ° ΠΏΡΠΎΠΈΠ·Π²ΠΎΠ΄Π½ΠΎΠΉ ΡΡΠ½ΠΊΡΠΈΠΈ f Π² ΡΠΎΡΠΊΠ΅ Ρ , Π½Π°ΠΌ Π½ΡΠΆΠ½ΠΎ ΠΎΠΏΡΠ΅Π΄Π΅Π»ΠΈΡΡ Π·Π½Π°ΡΠ΅Π½ΠΈΡ Π΄Π°Π½Π½ΠΎΠΉ ΡΡΠ½ΠΊΡΠΈΠΈ Π½Π΅ΠΏΠΎΡΡΠ΅Π΄ΡΡΠ²Π΅Π½Π½ΠΎ Π² ΡΠΎΡΠΊΠ΅ Ρ , Π° ΡΠ°ΠΊ ΠΆΠ΅ Π² ΡΠΎΡΠΊΠ΅ Ρ +ΞΡ . ΠΡΠΈΡΠ΅ΠΌ Ξx β ΡΡΠΎ ΠΏΡΠΈΡΠ°ΡΠ΅Π½ΠΈΡ Π°ΡΠ³ΡΠΌΠ΅Π½ΡΠ° Ρ .
- ΠΠ°ΠΉΡΠΈ ΠΏΡΠΈΡΠ°ΡΠ΅Π½ΠΈΠ΅ Π΄Π»Ρ ΡΡΠ½ΠΊΡΠΈΠΈ Ρ ΠΏΡΠΈΡΠ°Π²Π½Π΅Π½Π½ΠΎΠ΅ ΠΊ f(Ρ +ΞΡ ) β f(Ρ ).
- ΠΠ°ΠΏΠΈΡΠ°ΡΡ ΠΏΡΠΎΠΈΠ·Π²ΠΎΠ΄Π½ΡΡ ΠΏΡΠΈ ΠΏΠΎΠΌΠΎΡΠΈ ΠΏΡΠ΅Π΄Π΅Π»Π° ΠΎΡΠ½ΠΎΡΠ΅Π½ΠΈΡ fβ = lim(f(x+ΞΡ ) β f(x))/ΞΡ , ΠΈΡΡΠΈΡΠ»ΠΈΡΡ ΠΏΡΠΈ ΞΡ β 0.
ΠΠ±ΡΡΠ½ΠΎ ΠΏΡΠΎΠΈΠ·Π²ΠΎΠ΄Π½Π°Ρ ΠΎΠ±ΠΎΠ·Π½Π°ΡΠ°Π΅ΡΡΡ Π·Π½Π°ΠΊΠΎΠΌ Π°ΠΏΠΎΡΡΡΠΎΡΠ° – Β«βΒ» Π½Π΅ΠΏΠΎΡΡΠ΅Π΄ΡΡΠ²Π΅Π½Π½ΠΎ Π½Π°Π΄ Π΄ΠΈΡΡΠ΅ΡΠ΅Π½ΡΠΈΡΡΠ΅ΠΌΠΎΠΉ ΡΡΠ½ΠΊΡΠΈΠ΅ΠΉ. ΠΠ±ΠΎΠ·Π½Π°ΡΠ΅Π½ΠΈΠ΅ Π² Π²ΠΈΠ΄Π΅ ΠΎΠ΄Π½ΠΎΠ³ΠΎ Π°ΠΏΠΎΡΡΡΠΎΡΠ° ΠΎΠ±ΠΎΠ·Π½Π°ΡΠ°Π΅Ρ ΠΏΠ΅ΡΠ²ΡΡ ΠΏΡΠΎΠΈΠ·Π²ΠΎΠ΄Π½ΡΡ, Π² Π²ΠΈΠ΄Π΅ Π΄Π²ΡΡ β Π²ΡΠΎΡΡΡ. ΠΡΠΎΠΈΠ·Π²ΠΎΠ΄Π½ΡΡ Π½Π°ΠΈΠ²ΡΡΡΠ΅Π³ΠΎ ΠΏΠΎΡΡΠ΄ΠΊΠ° ΠΏΡΠΈΠ½ΡΡΠΎ Π·Π°Π΄Π°Π²Π°ΡΡ ΡΠΎΠΎΡΠ²Π΅ΡΡΡΠ²ΡΡΡΠ΅ΠΉ ΡΠΈΡΡΠΎΠΉ, ΠΊ ΠΏΡΠΈΠΌΠ΅ΡΡ f^(n) β ΡΡΠΎ ΠΎΠ·Π½Π°ΡΠ°Π΅Ρ ΠΏΡΠΎΠΈΠ·Π²ΠΎΠ΄Π½ΡΡ n-Π³ΠΎ ΠΏΠΎΡΡΠ΄ΠΊΠ°, Π³Π΄Π΅ Π±ΡΠΊΠ²Π° Β«nΒ» β ΡΠ΅Π»ΠΎΠ΅ ΡΠΈΡΠ»ΠΎ , ΠΊΠΎΡΠΎΡΠΎΠ΅ ? 0. ΠΡΠΎΠΈΠ·Π²ΠΎΠ΄Π½Π°Ρ Π½ΡΠ»Π΅Π²ΠΎΠ³ΠΎ ΠΏΠΎΡΡΠ΄ΠΊΠ° – ΡΡΠΎ ΠΈ Π΅ΡΡΡ ΡΠ°ΠΌΠ° Π΄ΠΈΡΡΠ΅ΡΠ΅Π½ΡΠΈΡΡΠ΅ΠΌΠ°Ρ ΡΡΠ½ΠΊΡΠΈΡ.
Π‘ ΡΠ΅Π»ΡΡ ΠΎΠ±Π»Π΅Π³ΡΠ΅Π½ΠΈΡ Π΄ΠΈΡΡΠ΅ΡΠ΅Π½ΡΠΈΡΠΎΠ²Π°Π½ΠΈΡ ΡΡΠ»ΠΎΠΆΠ½Π΅Π½Π½ΡΡ ΡΡΠ½ΠΊΡΠΈΠΉ, Π±ΡΠ»ΠΈ ΡΠ°Π·ΡΠ°Π±ΠΎΡΠ°Π½Ρ ΠΈ ΠΏΡΠΈΠ½ΡΡΡ ΠΎΠΏΡΠ΅Π΄Π΅Π»Π΅Π½Π½ΡΠ΅ ΠΏΡΠ°Π²ΠΈΠ»Π° Π΄ΠΈΡΡΠ΅ΡΠ΅Π½ΡΠΈΡΠΎΠ²Π°Π½ΠΈΡ ΡΡΠ½ΠΊΡΠΈΠΉ:
elhow.ru
ΠΎΠΏΡΠ΅Π΄Π΅Π»Π΅Π½ΠΈΠ΅ ΠΏΡΠΎΠΈΠ·Π²ΠΎΠ΄Π½ΠΎΠΉ | ΠΌΠ°ΡΠ΅ΠΌΠ°ΡΠΈΠΊΠ°-ΠΏΠΎΠ²ΡΠΎΡΠ΅Π½ΠΈΠ΅
Π ΠΊΠΎΠΎΡΠ΄ΠΈΠ½Π°ΡΠ½ΠΎΠΉ ΠΏΠ»ΠΎΡΠΊΠΎΡΡΠΈ Ρ
ΠΡ ΡΠ°ΡΡΠΌΠΎΡΡΠΈΠΌ Π³ΡΠ°ΡΠΈΠΊ ΡΡΠ½ΠΊΡΠΈΠΈ y=f (x). ΠΠ°ΡΠΈΠΊΡΠΈΡΡΠ΅ΠΌ ΡΠΎΡΠΊΡ Π(Ρ
0; f (x0)). ΠΡΠΈΠ΄Π°Π΄ΠΈΠΌ Π°Π±ΡΡΠΈΡΡΠ΅ Ρ
0 ΠΏΡΠΈΡΠ°ΡΠ΅Π½ΠΈΠ΅Β ΞΡ
. ΠΡ ΠΏΠΎΠ»ΡΡΠΈΠΌ Π½ΠΎΠ²ΡΡ Π°Π±ΡΡΠΈΡΡΡΒ Ρ
0+ΞΡ
. ΠΡΠΎ Π°Π±ΡΡΠΈΡΡΠ° ΡΠΎΡΠΊΠΈ N, Π° ΠΎΡΠ΄ΠΈΠ½Π°ΡΠ° Π±ΡΠ΄Π΅Ρ ΡΠ°Π²Π½Π° f (Ρ
0+ΞΡ
). ΠΠ·ΠΌΠ΅Π½Π΅Π½ΠΈΠ΅ Π°Π±ΡΡΠΈΡΡΡ ΠΏΠΎΠ²Π»Π΅ΠΊΠ»ΠΎ Π·Π° ΡΠΎΠ±ΠΎΠΉ ΠΈΠ·ΠΌΠ΅Π½Π΅Π½ΠΈΠ΅ ΠΎΡΠ΄ΠΈΠ½Π°ΡΡ. ΠΡΠΎ ΠΈΠ·ΠΌΠ΅Π½Π΅Π½ΠΈΠ΅ Π½Π°Π·ΡΠ²Π°ΡΡ ΠΏΡΠΈΡΠ°ΡΠ΅Π½ΠΈΠ΅ ΡΡΠ½ΠΊΡΠΈΠΈ ΠΈ ΠΎΠ±ΠΎΠ·Π½Π°ΡΠ°ΡΡΒ Ξy.
Ξy=f (Ρ 0+ΞΡ )Β β f (x0). Β Π§Π΅ΡΠ΅Π· ΡΠΎΡΠΊΠΈ M ΠΈ N ΠΏΡΠΎΠ²Π΅Π΄Π΅ΠΌ ΡΠ΅ΠΊΡΡΡΡ MN, ΠΊΠΎΡΠΎΡΠ°Ρ ΠΎΠ±ΡΠ°Π·ΡΠ΅Ρ ΡΠ³ΠΎΠ»Β Ο Ρ ΠΏΠΎΠ»ΠΎΠΆΠΈΡΠ΅Π»ΡΠ½ΡΠΌ Π½Π°ΠΏΡΠ°Π²Π»Π΅Π½ΠΈΠ΅ΠΌ ΠΎΡΠΈ ΠΡ . ΠΠΏΡΠ΅Π΄Π΅Π»ΠΈΠΌ ΡΠ°Π½Π³Π΅Π½Ρ ΡΠ³Π»Π°Β Ο ΠΈΠ· ΠΏΡΡΠΌΠΎΡΠ³ΠΎΠ»ΡΠ½ΠΎΠ³ΠΎ ΡΡΠ΅ΡΠ³ΠΎΠ»ΡΠ½ΠΈΠΊΠ° MPN.
ΠΡΡΡΡΒ ΞΡ ΡΡΡΠ΅ΠΌΠΈΡΡΡ ΠΊ Π½ΡΠ»Ρ. Π’ΠΎΠ³Π΄Π° ΡΠ΅ΠΊΡΡΠ°Ρ MN Π±ΡΠ΄Π΅Ρ ΡΡΡΠ΅ΠΌΠΈΡΡΡΡ Π·Π°Π½ΡΡΡ ΠΏΠΎΠ»ΠΎΠΆΠ΅Π½ΠΈΠ΅ ΠΊΠ°ΡΠ°ΡΠ΅Π»ΡΠ½ΠΎΠΉ ΠΠ’, Π° ΡΠ³ΠΎΠ»Β Ο ΡΡΠ°Π½Π΅Ρ ΡΠ³Π»ΠΎΠΌΒ Ξ±. ΠΠ½Π°ΡΠΈΡ, ΡΠ°Π½Π³Π΅Π½Ρ ΡΠ³Π»Π°Β Ξ± Π΅ΡΡΡ ΠΏΡΠ΅Π΄Π΅Π»ΡΠ½ΠΎΠ΅ Π·Π½Π°ΡΠ΅Π½ΠΈΠ΅ ΡΠ°Π½Π³Π΅Π½ΡΠ° ΡΠ³Π»Π°Β Ο:
ΠΠΏΡΠ΅Π΄Π΅Π»Π΅Π½ΠΈΠ΅ ΠΏΡΠΎΠΈΠ·Π²ΠΎΠ΄Π½ΠΎΠΉ. ΠΡΠ΅Π΄Π΅Π» ΠΎΡΠ½ΠΎΡΠ΅Π½ΠΈΡ ΠΏΡΠΈΡΠ°ΡΠ΅Π½ΠΈΡ ΡΡΠ½ΠΊΡΠΈΠΈ ΠΊ ΠΏΡΠΈΡΠ°ΡΠ΅Π½ΠΈΡ Π°ΡΠ³ΡΠΌΠ΅Π½ΡΠ°, ΠΏΡΠΈ ΡΡΡΠ΅ΠΌΠ»Π΅Π½ΠΈΠΈ ΠΏΠΎΡΠ»Π΅Π΄Π½Π΅Π³ΠΎ ΠΊ Π½ΡΠ»Ρ, Π½Π°Π·ΡΠ²Π°ΡΡ ΠΏΡΠΎΠΈΠ·Π²ΠΎΠ΄Π½ΠΎΠΉ ΡΡΠ½ΠΊΡΠΈΠΈ Π² Π΄Π°Π½Π½ΠΎΠΉ ΡΠΎΡΠΊΠ΅:
ΠΠ΅ΠΎΠΌΠ΅ΡΡΠΈΡΠ΅ΡΠΊΠΈΠΉ ΡΠΌΡΡΠ» ΠΏΡΠΎΠΈΠ·Π²ΠΎΠ΄Π½ΠΎΠΉ Π·Π°ΠΊΠ»ΡΡΠ°Π΅ΡΡΡ Π² ΡΠΎΠΌ, ΡΡΠΎ ΡΠΈΡΠ»Π΅Π½Π½ΠΎ ΠΏΡΠΎΠΈΠ·Π²ΠΎΠ΄Π½Π°Ρ ΡΡΠ½ΠΊΡΠΈΠΈ Π² Π΄Π°Π½Π½ΠΎΠΉ ΡΠΎΡΠΊΠ΅ ΡΠ°Π²Π½Π° ΡΠ°Π½Π³Π΅Π½ΡΡ ΡΠ³Π»Π°, ΠΎΠ±ΡΠ°Π·ΠΎΠ²Π°Π½Π½ΠΎΠ³ΠΎ ΠΊΠ°ΡΠ°ΡΠ΅Π»ΡΠ½ΠΎΠΉ, ΠΏΡΠΎΠ²Π΅Π΄Π΅Π½Π½ΠΎΠΉ ΡΠ΅ΡΠ΅Π· ΡΡΡ ΡΠΎΡΠΊΡ ΠΊ Π΄Π°Π½Π½ΠΎΠΉ ΠΊΡΠΈΠ²ΠΎΠΉ, ΠΈ ΠΏΠΎΠ»ΠΎΠΆΠΈΡΠ΅Π»ΡΠ½ΡΠΌ Π½Π°ΠΏΡΠ°Π²Π»Π΅Π½ΠΈΠ΅ΠΌ ΠΎΡΠΈ ΠΡ :
Π‘ΠΌΠΎΡΡΠΈΡΠ΅ Π²ΠΈΠ΄Π΅ΠΎ 10.3. ΠΠΏΡΠ΅Π΄Π΅Π»Π΅Π½ΠΈΠ΅ ΠΏΡΠΎΠΈΠ·Π²ΠΎΠ΄Π½ΠΎΠΉ. ΠΠ΅ΠΎΠΌΠ΅ΡΡΠΈΡΠ΅ΡΠΊΠΈΠΉ ΡΠΌΡΡΠ» ΠΏΡΠΎΠΈΠ·Π²ΠΎΠ΄Π½ΠΎΠΉ.
ΠΡΠΈΠΌΠ΅ΡΡ.
1. ΠΠ°ΠΉΡΠΈ ΠΏΡΠΈΡΠ°ΡΠ΅Π½ΠΈΠ΅ Π°ΡΠ³ΡΠΌΠ΅Π½ΡΠ° ΠΈ ΠΏΡΠΈΡΠ°ΡΠ΅Π½ΠΈΠ΅ ΡΡΠ½ΠΊΡΠΈΠΈ y=x2, Π΅ΡΠ»ΠΈ Π½Π°ΡΠ°Π»ΡΠ½ΠΎΠ΅ Π·Π½Π°ΡΠ΅Π½ΠΈΠ΅ Π°ΡΠ³ΡΠΌΠ΅Π½ΡΠ° Π±ΡΠ»ΠΎ ΡΠ°Π²Π½ΠΎ 4, Π° Π½ΠΎΠ²ΠΎΠ΅ Β –4,01.
Π Π΅ΡΠ΅Π½ΠΈΠ΅.
ΠΠΎΠ²ΠΎΠ΅ Π·Π½Π°ΡΠ΅Π½ΠΈΠ΅ Π°ΡΠ³ΡΠΌΠ΅Π½ΡΠ° Ρ =Ρ 0+Ξx. ΠΠΎΠ΄ΡΡΠ°Π²ΠΈΠΌ Π΄Π°Π½Π½ΡΠ΅: 4,01=4+ΞΡ , ΠΎΡΡΡΠ΄Π° ΠΏΡΠΈΡΠ°ΡΠ΅Π½ΠΈΠ΅ Π°ΡΠ³ΡΠΌΠ΅Π½ΡΠ°Β ΞΡ =4,01-4=0,01. ΠΡΠΈΡΠ°ΡΠ΅Π½ΠΈΠ΅ ΡΡΠ½ΠΊΡΠΈΠΈ, ΠΏΠΎ ΠΎΠΏΡΠ΅Π΄Π΅Π»Π΅Π½ΠΈΡ, ΡΠ°Π²Π½ΠΎ ΡΠ°Π·Π½ΠΎΡΡΠΈ ΠΌΠ΅ΠΆΠ΄Ρ Π½ΠΎΠ²ΡΠΌ ΠΈ ΠΏΡΠ΅ΠΆΠ½ΠΈΠΌ Π·Π½Π°ΡΠ΅Π½ΠΈΡΠΌΠΈ ΡΡΠ½ΠΊΡΠΈΠΈ, Ρ.Π΅.Β Ξy=f (Ρ 0+ΞΡ ) – f (x0).Β Β Π’Π°ΠΊ ΠΊΠ°ΠΊ Ρ Π½Π°Ρ ΡΡΠ½ΠΊΡΠΈΡ y=x2,Β ΡΠΎΒ ΞΡ=(Ρ 0+Ξx)2β (Ρ 0)2=(Ρ 0)2+2x0Β Β·Β Ξx+(Ξx)2β (Ρ 0)2=2x0Β Β·Β Ξx+(Ξx)2=
=2 Β·Β 4Β Β·Β 0,01+(0,01)2=0,08+0,0001=0,0801.
ΠΡΠ²Π΅Ρ: ΠΏΡΠΈΡΠ°ΡΠ΅Π½ΠΈΠ΅ Π°ΡΠ³ΡΠΌΠ΅Π½ΡΠ°Β ΞΡ =0,01; ΠΏΡΠΈΡΠ°ΡΠ΅Π½ΠΈΠ΅ ΡΡΠ½ΠΊΡΠΈΠΈΒ ΞΡ=0,0801.
ΠΠΎΠΆΠ½ΠΎ Π±ΡΠ»ΠΎ ΠΏΡΠΈΡΠ°ΡΠ΅Π½ΠΈΠ΅ ΡΡΠ½ΠΊΡΠΈΠΈ Π½Π°ΠΉΡΠΈ ΠΏΠΎ-Π΄ΡΡΠ³ΠΎΠΌΡ:Β Ξy=y (Ρ 0+Ξx) -y (Ρ 0)=Ρ(4,01) -Ρ(4)=4,012-42=16,0801-16=0,0801.
2. ΠΠ°ΠΉΡΠΈ ΡΠ³ΠΎΠ» Π½Π°ΠΊΠ»ΠΎΠ½Π° ΠΊΠ°ΡΠ°ΡΠ΅Π»ΡΠ½ΠΎΠΉ ΠΊ Π³ΡΠ°ΡΠΈΠΊΡ ΡΡΠ½ΠΊΡΠΈΠΈ y=f (x) Π² ΡΠΎΡΠΊΠ΅ Ρ 0, Π΅ΡΠ»ΠΈ f ‘(Ρ 0) = 1.
Π Π΅ΡΠ΅Π½ΠΈΠ΅.
ΠΠ½Π°ΡΠ΅Π½ΠΈΠ΅ ΠΏΡΠΎΠΈΠ·Π²ΠΎΠ΄Π½ΠΎΠΉ Π² ΡΠΎΡΠΊΠ΅ ΠΊΠ°ΡΠ°Π½ΠΈΡ Ρ 0Β ΠΈ Π΅ΡΡΡ Π·Π½Π°ΡΠ΅Π½ΠΈΠ΅ ΡΠ°Π½Π³Π΅Π½ΡΠ° ΡΠ³Π»Π° Π½Π°ΠΊΠ»ΠΎΠ½Π° ΠΊΠ°ΡΠ°ΡΠ΅Π»ΡΠ½ΠΎΠΉ (Π³Π΅ΠΎΠΌΠ΅ΡΡΠΈΡΠ΅ΡΠΊΠΈΠΉ ΡΠΌΡΡΠ» ΠΏΡΠΎΠΈΠ·Π²ΠΎΠ΄Π½ΠΎΠΉ). ΠΠΌΠ΅Π΅ΠΌ:Β f ‘(Ρ 0) = tgΞ± = 1 Β βΒ Ξ± = 45Β°, Β ΡΠ°ΠΊ ΠΊΠ°ΠΊ Β tg45Β°=1.
ΠΡΠ²Π΅Ρ: ΠΊΠ°ΡΠ°ΡΠ΅Π»ΡΠ½Π°Ρ ΠΊ Π³ΡΠ°ΡΠΈΠΊΡ Π΄Π°Π½Π½ΠΎΠΉ ΡΡΠ½ΠΊΡΠΈΠΈ ΠΎΠ±ΡΠ°Π·ΡΠ΅Ρ Ρ ΠΏΠΎΠ»ΠΎΠΆΠΈΡΠ΅Π»ΡΠ½ΡΠΌ Π½Π°ΠΏΡΠ°Π²Π»Π΅Π½ΠΈΠ΅ΠΌ ΠΎΡΠΈ ΠΡ ΡΠ³ΠΎΠ», ΡΠ°Π²Π½ΡΠΉ 45Β°.
3. ΠΡΠ²Π΅ΡΡΠΈ ΡΠΎΡΠΌΡΠ»Ρ ΠΏΡΠΎΠΈΠ·Π²ΠΎΠ΄Π½ΠΎΠΉ ΡΡΠ½ΠΊΡΠΈΠΈ y=xn.
Π‘ΠΌΠΎΡΡΠΈΡΠ΅ Π²ΠΈΠ΄Π΅ΠΎ: Β«10.3.0. ΠΡΠ²ΠΎΠ΄ ΡΠΎΡΠΌΡΠ»Ρ ΠΏΡΠΎΠΈΠ·Π²ΠΎΠ΄Π½ΠΎΠΉ ΡΡΠ΅ΠΏΠ΅Π½ΠΈΒ».
ΠΠΈΡΡΠ΅ΡΠ΅Π½ΡΠΈΡΠΎΠ²Π°Π½ΠΈΠ΅Β β ΡΡΠΎ Π΄Π΅ΠΉΡΡΠ²ΠΈΠ΅ Π½Π°Ρ ΠΎΠΆΠ΄Π΅Π½ΠΈΡ ΠΏΡΠΎΠΈΠ·Π²ΠΎΠ΄Π½ΠΎΠΉ ΡΡΠ½ΠΊΡΠΈΠΈ.
ΠΡΠΈ Π½Π°Ρ ΠΎΠΆΠ΄Π΅Π½ΠΈΠΈ ΠΏΡΠΎΠΈΠ·Π²ΠΎΠ΄Π½ΡΡ ΠΏΡΠΈΠΌΠ΅Π½ΡΡΡ ΡΠΎΡΠΌΡΠ»Ρ, ΠΊΠΎΡΠΎΡΡΠ΅ Π±ΡΠ»ΠΈ Π²ΡΠ²Π΅Π΄Π΅Π½Ρ Π½Π° ΠΎΡΠ½ΠΎΠ²Π°Π½ΠΈΠΈ ΠΎΠΏΡΠ΅Π΄Π΅Π»Π΅Π½ΠΈΡ ΠΏΡΠΎΠΈΠ·Π²ΠΎΠ΄Π½ΠΎΠΉ, ΡΠ°ΠΊ ΠΆΠ΅, Β ΠΊΠ°ΠΊ ΠΌΡ Π²ΡΠ²Π΅Π»ΠΈ ΡΠΎΡΠΌΡΠ»Ρ ΠΏΡΠΎΠΈΠ·Π²ΠΎΠ΄Π½ΠΎΠΉ ΡΡΠ΅ΠΏΠ΅Π½ΠΈ: (xn)’ = nxn-1.
ΠΠΎΡ ΡΡΠΈ ΡΠΎΡΠΌΡΠ»Ρ. Β Β Β
Π’Π°Π±Π»ΠΈΡΡ ΠΏΡΠΎΠΈΠ·Π²ΠΎΠ΄Π½ΡΡ Π»Π΅Π³ΡΠ΅ Π±ΡΠ΄Π΅Ρ Π·Π°ΡΡΠΈΡΡ, ΠΏΡΠΎΠ³ΠΎΠ²Π°ΡΠΈΠ²Π°Ρ ΡΠ»ΠΎΠ²Π΅ΡΠ½ΡΠ΅ ΡΠΎΡΠΌΡΠ»ΠΈΡΠΎΠ²ΠΊΠΈ:
Β
1. ΠΡΠΎΠΈΠ·Π²ΠΎΠ΄Π½Π°Ρ ΠΏΠΎΡΡΠΎΡΠ½Π½ΠΎΠΉ Π²Π΅Π»ΠΈΡΠΈΠ½Ρ ΡΠ°Π²Π½Π° Π½ΡΠ»Ρ.
2. ΠΠΊΡ ΡΡΡΠΈΡ ΡΠ°Π²Π΅Π½ Π΅Π΄ΠΈΠ½ΠΈΡΠ΅.
3. ΠΠΎΡΡΠΎΡΠ½Π½ΡΠΉ ΠΌΠ½ΠΎΠΆΠΈΡΠ΅Π»Ρ ΠΌΠΎΠΆΠ½ΠΎ Π²ΡΠ½Π΅ΡΡΠΈ Π·Π° Π·Π½Π°ΠΊ ΠΏΡΠΎΠΈΠ·Π²ΠΎΠ΄Π½ΠΎΠΉ.
4. ΠΡΠΎΠΈΠ·Π²ΠΎΠ΄Π½Π°Ρ ΡΡΠ΅ΠΏΠ΅Π½ΠΈ ΡΠ°Π²Π½Π° ΠΏΡΠΎΠΈΠ·Π²Π΅Π΄Π΅Π½ΠΈΡ ΠΏΠΎΠΊΠ°Π·Π°ΡΠ΅Π»Ρ ΡΡΠΎΠΉ ΡΡΠ΅ΠΏΠ΅Π½ΠΈ Π½Π° ΡΡΠ΅ΠΏΠ΅Π½Ρ Ρ ΡΠ΅ΠΌ ΠΆΠ΅ ΠΎΡΠ½ΠΎΠ²Π°Π½ΠΈΠ΅ΠΌ, Π½ΠΎ ΠΏΠΎΠΊΠ°Π·Π°ΡΠ΅Π»Π΅ΠΌ Π½Π° Π΅Π΄ΠΈΠ½ΠΈΡΡ ΠΌΠ΅Π½ΡΡΠ΅.
5. ΠΡΠΎΠΈΠ·Π²ΠΎΠ΄Π½Π°Ρ ΠΊΠΎΡΠ½Ρ ΡΠ°Π²Π½Π° Π΅Π΄ΠΈΠ½ΠΈΡΠ΅, Π΄Π΅Π»Π΅Π½Π½ΠΎΠΉ Π½Π° Π΄Π²Π° ΡΠ°ΠΊΠΈΡ ΠΆΠ΅ ΠΊΠΎΡΠ½Ρ.
6. ΠΡΠΎΠΈΠ·Π²ΠΎΠ΄Π½Π°Ρ Π΅Π΄ΠΈΠ½ΠΈΡΡ, Π΄Π΅Π»Π΅Π½Π½ΠΎΠΉ Π½Π° ΠΈΠΊΡ ΡΠ°Π²Π½Π° ΠΌΠΈΠ½ΡΡ Π΅Π΄ΠΈΠ½ΠΈΡΠ΅, Π΄Π΅Π»Π΅Π½Π½ΠΎΠΉ Π½Π° ΠΈΠΊΡ Π² ΠΊΠ²Π°Π΄ΡΠ°ΡΠ΅.
7. ΠΡΠΎΠΈΠ·Π²ΠΎΠ΄Π½Π°Ρ ΡΠΈΠ½ΡΡΠ° ΡΠ°Π²Π½Π° ΠΊΠΎΡΠΈΠ½ΡΡΡ.
8. ΠΡΠΎΠΈΠ·Π²ΠΎΠ΄Π½Π°Ρ ΠΊΠΎΡΠΈΠ½ΡΡΠ° ΡΠ°Π²Π½Π° ΠΌΠΈΠ½ΡΡ ΡΠΈΠ½ΡΡΡ.
9. ΠΡΠΎΠΈΠ·Π²ΠΎΠ΄Π½Π°Ρ ΡΠ°Π½Π³Π΅Π½ΡΠ° ΡΠ°Π²Π½Π° Π΅Π΄ΠΈΠ½ΠΈΡΠ΅, Π΄Π΅Π»Π΅Π½Π½ΠΎΠΉ Π½Π° ΠΊΠ²Π°Π΄ΡΠ°Ρ ΠΊΠΎΡΠΈΠ½ΡΡΠ°.
10. ΠΡΠΎΠΈΠ·Π²ΠΎΠ΄Π½Π°Ρ ΠΊΠΎΡΠ°Π½Π³Π΅Π½ΡΠ° ΡΠ°Π²Π½Π° ΠΌΠΈΠ½ΡΡ Π΅Π΄ΠΈΠ½ΠΈΡΠ΅, Π΄Π΅Π»Π΅Π½Π½ΠΎΠΉ Π½Π° ΠΊΠ²Π°Π΄ΡΠ°Ρ ΡΠΈΠ½ΡΡΠ°.
Π£ΡΠΈΠΌ ΠΏΡΠ°Π²ΠΈΠ»Π° Π΄ΠΈΡΡΠ΅ΡΠ΅Π½ΡΠΈΡΠΎΠ²Π°Π½ΠΈΡ.
1. ΠΡΠΎΠΈΠ·Π²ΠΎΠ΄Π½Π°Ρ Π°Π»Π³Π΅Π±ΡΠ°ΠΈΡΠ΅ΡΠΊΠΎΠΉ ΡΡΠΌΠΌΡ ΡΠ°Π²Π½Π° Π°Π»Π³Π΅Π±ΡΠ°ΠΈΡΠ΅ΡΠΊΠΎΠΉ ΡΡΠΌΠΌΠ΅ ΠΏΡΠΎΠΈΠ·Π²ΠΎΠ΄Π½ΡΡ
ΡΠ»Π°Π³Π°Π΅ΠΌΡΡ
.
2. ΠΡΠΎΠΈΠ·Π²ΠΎΠ΄Π½Π°Ρ ΠΏΡΠΎΠΈΠ·Π²Π΅Π΄Π΅Π½ΠΈΡ ΡΠ°Π²Π½Π° ΠΏΡΠΎΠΈΠ·Π²Π΅Π΄Π΅Π½ΠΈΡ ΠΏΡΠΎΠΈΠ·Π²ΠΎΠ΄Π½ΠΎΠΉ ΠΏΠ΅ΡΠ²ΠΎΠ³ΠΎ ΠΌΠ½ΠΎΠΆΠΈΡΠ΅Π»Ρ Π½Π° Π²ΡΠΎΡΠΎΠΉ ΠΏΠ»ΡΡ ΠΏΡΠΎΠΈΠ·Π²Π΅Π΄Π΅Π½ΠΈΠ΅ ΠΏΠ΅ΡΠ²ΠΎΠ³ΠΎ ΠΌΠ½ΠΎΠΆΠΈΡΠ΅Π»Ρ Π½Π° ΠΏΡΠΎΠΈΠ·Π²ΠΎΠ΄Π½ΡΡ Π²ΡΠΎΡΠΎΠ³ΠΎ.
3. ΠΡΠΎΠΈΠ·Π²ΠΎΠ΄Π½Π°Ρ Β«ΡΒ», Π΄Π΅Π»Π΅Π½Π½ΠΎΠ³ΠΎ Π½Π° Β«Π²ΡΒ» ΡΠ°Π²Π½Π° Π΄ΡΠΎΠ±ΠΈ, Π² ΡΠΈΡΠ»ΠΈΡΠ΅Π»Π΅ ΠΊΠΎΡΠΎΡΠΎΠΉ “Ρ ΡΡΡΠΈΡ ΡΠΌΠ½ΠΎΠΆΠ΅Π½Π½ΡΠΉ Π½Π° Β«Π²ΡΒ» ΠΌΠΈΠ½ΡΡ Β«Ρ, ΡΠΌΠ½ΠΎΠΆΠ΅Π½Π½ΡΠΉ Π½Π° Π²Ρ ΡΡΡΠΈΡ Β», Π° Π² Π·Π½Π°ΠΌΠ΅Π½Π°ΡΠ΅Π»Π΅Β β Β«Π²Ρ Π² ΠΊΠ²Π°Π΄ΡΠ°ΡΠ΅Β».
4. Π§Π°ΡΡΠ½ΡΠΉ ΡΠ»ΡΡΠ°ΠΉ ΡΠΎΡΠΌΡΠ»Ρ 3.
Π£ΡΠΈΠΌ Π²ΠΌΠ΅ΡΡΠ΅!
Β
www.mathematics-repetition.com
ΠΡΠΎΠΈΠ·Π²ΠΎΠ΄Π½Π°Ρ ΡΡΠ½ΠΊΡΠΈΠΈ – ΡΡΠΎ… Π§ΡΠΎ ΡΠ°ΠΊΠΎΠ΅ ΠΡΠΎΠΈΠ·Π²ΠΎΠ΄Π½Π°Ρ ΡΡΠ½ΠΊΡΠΈΠΈ?
Π£ ΡΡΠΎΠ³ΠΎ ΡΠ΅ΡΠΌΠΈΠ½Π° ΡΡΡΠ΅ΡΡΠ²ΡΡΡ ΠΈ Π΄ΡΡΠ³ΠΈΠ΅ Π·Π½Π°ΡΠ΅Π½ΠΈΡ, ΡΠΌ. ΠΡΠΎΠΈΠ·Π²ΠΎΠ΄Π½Π°Ρ. ΠΠ»Π»ΡΡΡΡΠ°ΡΠΈΡ ΠΏΠΎΠ½ΡΡΠΈΡ ΠΏΡΠΎΠΈΠ·Π²ΠΎΠ΄Π½ΠΎΠΉΠΡΠΎΠΈΠ·Π²ΠΎΜΠ΄Π½Π°ΡΒ (ΡΡΠ½ΠΊΡΠΈΠΈ Π² ΡΠΎΡΠΊΠ΅)Β β ΠΎΡΠ½ΠΎΠ²Π½ΠΎΠ΅ ΠΏΠΎΠ½ΡΡΠΈΠ΅ Π΄ΠΈΡΡΠ΅ΡΠ΅Π½ΡΠΈΠ°Π»ΡΠ½ΠΎΠ³ΠΎ ΠΈΡΡΠΈΡΠ»Π΅Π½ΠΈΡ, Ρ Π°ΡΠ°ΠΊΡΠ΅ΡΠΈΠ·ΡΡΡΠ΅Π΅ ΡΠΊΠΎΡΠΎΡΡΡ ΠΈΠ·ΠΌΠ΅Π½Π΅Π½ΠΈΡ ΡΡΠ½ΠΊΡΠΈΠΈ (Π² Π΄Π°Π½Π½ΠΎΠΉ ΡΠΎΡΠΊΠ΅). ΠΠΏΡΠ΅Π΄Π΅Π»ΡΠ΅ΡΡΡ ΠΊΠ°ΠΊ ΠΏΡΠ΅Π΄Π΅Π» ΠΎΡΠ½ΠΎΡΠ΅Π½ΠΈΡ ΠΏΡΠΈΡΠ°ΡΠ΅Π½ΠΈΡ ΡΡΠ½ΠΊΡΠΈΠΈ ΠΊ ΠΏΡΠΈΡΠ°ΡΠ΅Π½ΠΈΡ Π΅Π΅ Π°ΡΠ³ΡΠΌΠ΅Π½ΡΠ° ΠΏΡΠΈ ΡΡΡΠ΅ΠΌΠ»Π΅Π½ΠΈΠΈ ΠΏΡΠΈΡΠ°ΡΠ΅Π½ΠΈΡ Π°ΡΠ³ΡΠΌΠ΅Π½ΡΠ° ΠΊ Π½ΡΠ»Ρ, Π΅ΡΠ»ΠΈ ΡΠ°ΠΊΠΎΠΉ ΠΏΡΠ΅Π΄Π΅Π» ΡΡΡΠ΅ΡΡΠ²ΡΠ΅Ρ. Π€ΡΠ½ΠΊΡΠΈΡ, ΠΈΠΌΠ΅ΡΡΡΡ ΠΊΠΎΠ½Π΅ΡΠ½ΡΡ ΠΏΡΠΎΠΈΠ·Π²ΠΎΠ΄Π½ΡΡ (Π² Π½Π΅ΠΊΠΎΡΠΎΡΠΎΠΉ ΡΠΎΡΠΊΠ΅), Π½Π°Π·ΡΠ²Π°ΡΡ Π΄ΠΈΡΡΠ΅ΡΠ΅Π½ΡΠΈΡΡΠ΅ΠΌΠΎΠΉ (Π² Π΄Π°Π½Π½ΠΎΠΉ ΡΠΎΡΠΊΠ΅).
ΠΡΠΎΡΠ΅ΡΡ Π²ΡΡΠΈΡΠ»Π΅Π½ΠΈΡ ΠΏΡΠΎΠΈΠ·Π²ΠΎΠ΄Π½ΠΎΠΉ Π½Π°Π·ΡΠ²Π°Π΅ΡΡΡ Π΄ΠΈΡΡΠ΅ΡΠ΅Π½ΡΠΈΜΡΠΎΠ²Π°Π½ΠΈΠ΅ΠΌ. ΠΠ±ΡΠ°ΡΠ½ΡΠΉ ΠΏΡΠΎΡΠ΅ΡΡΒ β Π½Π°Ρ ΠΎΠΆΠ΄Π΅Π½ΠΈΠ΅ ΠΏΠ΅ΡΠ²ΠΎΠΎΠ±ΡΠ°Π·Π½ΠΎΠΉΒ β ΠΈΠ½ΡΠ΅Π³ΡΠΈΡΠΎΠ²Π°Π½ΠΈΠ΅.
ΠΡΡΠΎΡΠΈΡ
Π ΠΊΠ»Π°ΡΡΠΈΡΠ΅ΡΠΊΠΎΠΌ Π΄ΠΈΡΡΠ΅ΡΠ΅Π½ΡΠΈΠ°Π»ΡΠ½ΠΎΠΌ ΠΈΡΡΠΈΡΠ»Π΅Π½ΠΈΠΈ ΠΏΡΠΎΠΈΠ·Π²ΠΎΠ΄Π½Π°Ρ ΡΠ°ΡΠ΅ Π²ΡΠ΅Π³ΠΎ ΠΎΠΏΡΠ΅Π΄Π΅Π»ΡΠ΅ΡΡΡ ΡΠ΅ΡΠ΅Π· ΠΏΠΎΠ½ΡΡΠΈΡ ΡΠ΅ΠΎΡΠΈΠΈ ΠΏΡΠ΅Π΄Π΅Π»ΠΎΠ², ΠΎΠ΄Π½Π°ΠΊΠΎ ΠΈΡΡΠΎΡΠΈΡΠ΅ΡΠΊΠΈ ΡΠ΅ΠΎΡΠΈΡ ΠΏΡΠ΅Π΄Π΅Π»ΠΎΠ² ΠΏΠΎΡΠ²ΠΈΠ»Π°ΡΡ ΠΏΠΎΠ·ΠΆΠ΅ Π΄ΠΈΡΡΠ΅ΡΠ΅Π½ΡΠΈΠ°Π»ΡΠ½ΠΎΠ³ΠΎ ΠΈΡΡΠΈΡΠ»Π΅Π½ΠΈΡ.
Π ΡΡΡΠΊΠΈΠΉ ΡΠ΅ΡΠΌΠΈΠ½ Β«ΠΏΡΠΎΠΈΠ·Π²ΠΎΠ΄Π½Π°Ρ ΡΡΠ½ΠΊΡΠΈΠΈΒ» Π²ΠΏΠ΅ΡΠ²ΡΠ΅ ΡΠΏΠΎΡΡΠ΅Π±ΠΈΠ» Π.Β Π.Β ΠΠΈΡΠΊΠΎΠ²Π°ΡΠΎΠ².[1]
ΠΠΏΡΠ΅Π΄Π΅Π»Π΅Π½ΠΈΠ΅
ΠΡΡΡΡ Π² Π½Π΅ΠΊΠΎΡΠΎΡΠΎΠΉ ΠΎΠΊΡΠ΅ΡΡΠ½ΠΎΡΡΠΈ ΡΠΎΡΠΊΠΈ ΠΎΠΏΡΠ΅Π΄Π΅Π»Π΅Π½Π° ΡΡΠ½ΠΊΡΠΈΡ ΠΡΠΎΠΈΠ·Π²ΠΎΠ΄Π½ΠΎΠΉ ΡΡΠ½ΠΊΡΠΈΠΈ Π½Π°Π·ΡΠ²Π°Π΅ΡΡΡ ΡΠ°ΠΊΠΎΠ΅ ΡΠΈΡΠ»ΠΎ , ΡΡΠΎ ΡΡΠ½ΠΊΡΠΈΡ Π² ΠΎΠΊΡΠ΅ΡΡΠ½ΠΎΡΡΠΈ ΠΌΠΎΠΆΠ½ΠΎ ΠΏΡΠ΅Π΄ΡΡΠ°Π²ΠΈΡΡ Π² Π²ΠΈΠ΄Π΅
Π΅ΡΠ»ΠΈ ΡΡΡΠ΅ΡΡΠ²ΡΠ΅Ρ.
ΠΠΏΡΠ΅Π΄Π΅Π»Π΅Π½ΠΈΠ΅ ΠΏΡΠΎΠΈΠ·Π²ΠΎΠ΄Π½ΠΎΠΉ ΡΡΠ½ΠΊΡΠΈΠΈ ΡΠ΅ΡΠ΅Π· ΠΏΡΠ΅Π΄Π΅Π»
ΠΡΡΡΡ Π² Π½Π΅ΠΊΠΎΡΠΎΡΠΎΠΉ ΠΎΠΊΡΠ΅ΡΡΠ½ΠΎΡΡΠΈ ΡΠΎΡΠΊΠΈ ΠΎΠΏΡΠ΅Π΄Π΅Π»Π΅Π½Π° ΡΡΠ½ΠΊΡΠΈΡ ΠΡΠΎΠΈΠ·Π²ΠΎΠ΄Π½ΠΎΠΉ ΡΡΠ½ΠΊΡΠΈΠΈ Π² ΡΠΎΡΠΊΠ΅ Π½Π°Π·ΡΠ²Π°Π΅ΡΡΡ ΠΏΡΠ΅Π΄Π΅Π», Π΅ΡΠ»ΠΈ ΠΎΠ½ ΡΡΡΠ΅ΡΡΠ²ΡΠ΅Ρ,
ΠΠ±ΡΠ΅ΠΏΡΠΈΠ½ΡΡΡΠ΅ ΠΎΠ±ΠΎΠ·Π½Π°ΡΠ΅Π½ΠΈΡ ΠΏΡΠΎΠΈΠ·Π²ΠΎΠ΄Π½ΠΎΠΉ ΡΡΠ½ΠΊΡΠΈΠΈ Π² ΡΠΎΡΠΊΠ΅
ΠΠ°ΠΌΠ΅ΡΠΈΠΌ, ΡΡΠΎ ΠΏΠΎΡΠ»Π΅Π΄Π½Π΅Π΅ ΠΎΠ±ΡΡΠ½ΠΎ ΠΎΠ±ΠΎΠ·Π½Π°ΡΠ°Π΅Ρ ΠΏΡΠΎΠΈΠ·Π²ΠΎΠ΄Π½ΡΡ ΠΏΠΎ Π²ΡΠ΅ΠΌΠ΅Π½ΠΈ (Π² ΡΠ΅ΠΎΡΠ΅ΡΠΈΡΠ΅ΡΠΊΠΎΠΉ ΠΌΠ΅Ρ Π°Π½ΠΈΠΊΠ΅).
ΠΠΈΡΡΠ΅ΡΠ΅Π½ΡΠΈΡΡΠ΅ΠΌΠΎΡΡΡ
ΠΡΠΎΠΈΠ·Π²ΠΎΠ΄Π½Π°Ρ ΡΡΠ½ΠΊΡΠΈΠΈ Π² ΡΠΎΡΠΊΠ΅ , Π±ΡΠ΄ΡΡΠΈ ΠΏΡΠ΅Π΄Π΅Π»ΠΎΠΌ, ΠΌΠΎΠΆΠ΅Ρ Π½Π΅ ΡΡΡΠ΅ΡΡΠ²ΠΎΠ²Π°ΡΡ ΠΈΠ»ΠΈ ΡΡΡΠ΅ΡΡΠ²ΠΎΠ²Π°ΡΡ ΠΈ Π±ΡΡΡ ΠΊΠΎΠ½Π΅ΡΠ½ΠΎΠΉ ΠΈΠ»ΠΈ Π±Π΅ΡΠΊΠΎΠ½Π΅ΡΠ½ΠΎΠΉ. Π€ΡΠ½ΠΊΡΠΈΡ ΡΠ²Π»ΡΠ΅ΡΡΡ Π΄ΠΈΡΡΠ΅ΡΠ΅Π½ΡΠΈΡΡΠ΅ΠΌΠΎΠΉ Π² ΡΠΎΡΠΊΠ΅ ΡΠΎΠ³Π΄Π° ΠΈ ΡΠΎΠ»ΡΠΊΠΎ ΡΠΎΠ³Π΄Π°, ΠΊΠΎΠ³Π΄Π° Π΅Ρ ΠΏΡΠΎΠΈΠ·Π²ΠΎΠ΄Π½Π°Ρ Π² ΡΡΠΎΠΉ ΡΠΎΡΠΊΠ΅ ΡΡΡΠ΅ΡΡΠ²ΡΠ΅Ρ ΠΈ ΠΊΠΎΠ½Π΅ΡΠ½Π°:
ΠΠ»Ρ Π΄ΠΈΡΡΠ΅ΡΠ΅Π½ΡΠΈΡΡΠ΅ΠΌΠΎΠΉ Π² ΡΡΠ½ΠΊΡΠΈΠΈ Π² ΠΎΠΊΡΠ΅ΡΡΠ½ΠΎΡΡΠΈ ΡΠΏΡΠ°Π²Π΅Π΄Π»ΠΈΠ²ΠΎ ΠΏΡΠ΅Π΄ΡΡΠ°Π²Π»Π΅Π½ΠΈΠ΅
- ΠΏΡΠΈ
ΠΠ°ΠΌΠ΅ΡΠ°Π½ΠΈΡ
ΠΠ΅ΠΎΠΌΠ΅ΡΡΠΈΡΠ΅ΡΠΊΠΈΠΉ ΠΈ ΡΠΈΠ·ΠΈΡΠ΅ΡΠΊΠΈΠΉ ΡΠΌΡΡΠ» ΠΏΡΠΎΠΈΠ·Π²ΠΎΠ΄Π½ΠΎΠΉ
Π’Π°Π½Π³Π΅Π½Ρ ΡΠ³Π»Π° Π½Π°ΠΊΠ»ΠΎΠ½Π° ΠΊΠ°ΡΠ°ΡΠ΅Π»ΡΠ½ΠΎΠΉ ΠΏΡΡΠΌΠΎΠΉ
ΠΠ΅ΠΎΠΌΠ΅ΡΡΠΈΡΠ΅ΡΠΊΠΈΠΉ ΡΠΌΡΡΠ» ΠΏΡΠΎΠΈΠ·Π²ΠΎΠ΄Π½ΠΎΠΉ. ΠΠ° Π³ΡΠ°ΡΠΈΠΊΠ΅ ΡΡΠ½ΠΊΡΠΈΠΈ Π²ΡΠ±ΠΈΡΠ°Π΅ΡΡΡ Π°Π±ΡΡΠΈΡΡΠ° x0 ΠΈ Π²ΡΡΠΈΡΠ»ΡΠ΅ΡΡΡ ΡΠΎΠΎΡΠ²Π΅ΡΡΡΠ²ΡΡΡΠ°Ρ ΠΎΡΠ΄ΠΈΠ½Π°ΡΠ° f(x0). Π ΠΎΠΊΡΠ΅ΡΡΠ½ΠΎΡΡΠΈ ΡΠΎΡΠΊΠΈ x0 Π²ΡΠ±ΠΈΡΠ°Π΅ΡΡΡ ΠΏΡΠΎΠΈΠ·Π²ΠΎΠ»ΡΠ½Π°Ρ ΡΠΎΡΠΊΠ° x. Π§Π΅ΡΠ΅Π· ΡΠΎΠΎΡΠ²Π΅ΡΡΡΠ²ΡΡΡΠΈΠ΅ ΡΠΎΡΠΊΠΈ Π½Π° Π³ΡΠ°ΡΠΈΠΊΠ΅ ΡΡΠ½ΠΊΡΠΈΠΈ F ΠΏΡΠΎΠ²ΠΎΠ΄ΠΈΡΡΡ ΡΠ΅ΠΊΡΡΠ°Ρ (ΠΏΠ΅ΡΠ²Π°Ρ ΡΠ²Π΅ΡΠ»ΠΎ-ΡΠ΅ΡΠ°Ρ Π»ΠΈΠ½ΠΈΡ C5). Π Π°ΡΡΡΠΎΡΠ½ΠΈΠ΅ Ξx = xΒ β x0 ΡΡΡΡΠ΅ΠΌΠ»ΡΠ΅ΡΡΡ ΠΊ Π½ΡΠ»Ρ, Π² ΡΠ΅Π·ΡΠ»ΡΡΠ°ΡΠ΅ ΡΠ΅ΠΊΡΡΠ°Ρ ΠΏΠ΅ΡΠ΅Ρ
ΠΎΠ΄ΠΈΡ Π² ΠΊΠ°ΡΠ°ΡΠ΅Π»ΡΠ½ΡΡ (ΠΏΠΎΡΡΠ΅ΠΏΠ΅Π½Π½ΠΎ ΡΠ΅ΠΌΠ½Π΅ΡΡΠΈΠ΅ Π»ΠΈΠ½ΠΈΠΈ C5Β β C1). Π’Π°Π½Π³Π΅Π½Ρ ΡΠ³Π»Π° Ξ± Π½Π°ΠΊΠ»ΠΎΠ½Π° ΡΡΠΎΠΉ ΠΊΠ°ΡΠ°ΡΠ΅Π»ΡΠ½ΠΎΠΉΒ β ΠΈ Π΅ΡΡΡ ΠΏΡΠΎΠΈΠ·Π²ΠΎΠ΄Π½Π°Ρ Π² ΡΠΎΡΠΊΠ΅ x0.ΠΡΠ»ΠΈ ΡΡΠ½ΠΊΡΠΈΡ ΠΈΠΌΠ΅Π΅Ρ ΠΊΠΎΠ½Π΅ΡΠ½ΡΡ ΠΏΡΠΎΠΈΠ·Π²ΠΎΠ΄Π½ΡΡ Π² ΡΠΎΡΠΊΠ΅ ΡΠΎ Π² ΠΎΠΊΡΠ΅ΡΡΠ½ΠΎΡΡΠΈ Π΅Ρ ΠΌΠΎΠΆΠ½ΠΎ ΠΏΡΠΈΠ±Π»ΠΈΠ·ΠΈΡΡ Π»ΠΈΠ½Π΅ΠΉΠ½ΠΎΠΉ ΡΡΠ½ΠΊΡΠΈΠ΅ΠΉ
Π€ΡΠ½ΠΊΡΠΈΡ Π½Π°Π·ΡΠ²Π°Π΅ΡΡΡ ΠΊΠ°ΡΠ°ΡΠ΅Π»ΡΠ½ΠΎΠΉ ΠΊ Π² ΡΠΎΡΠΊΠ΅ Π§ΠΈΡΠ»ΠΎ ΡΠ²Π»ΡΠ΅ΡΡΡ ΡΠ³Π»ΠΎΠ²ΡΠΌ ΠΊΠΎΡΡΡΠΈΡΠΈΠ΅Π½ΡΠΎΠΌ ΠΈΠ»ΠΈ ΡΠ°Π½Π³Π΅Π½ΡΠΎΠΌ ΡΠ³Π»Π° Π½Π°ΠΊΠ»ΠΎΠ½Π° ΠΊΠ°ΡΠ°ΡΠ΅Π»ΡΠ½ΠΎΠΉ ΠΏΡΡΠΌΠΎΠΉ.
Π‘ΠΊΠΎΡΠΎΡΡΡ ΠΈΠ·ΠΌΠ΅Π½Π΅Π½ΠΈΡ ΡΡΠ½ΠΊΡΠΈΠΈ
ΠΡΡΡΡ Β β Π·Π°ΠΊΠΎΠ½ ΠΏΡΡΠΌΠΎΠ»ΠΈΠ½Π΅ΠΉΠ½ΠΎΠ³ΠΎ Π΄Π²ΠΈΠΆΠ΅Π½ΠΈΡ. Π’ΠΎΠ³Π΄Π° Π²ΡΡΠ°ΠΆΠ°Π΅Ρ ΠΌΠ³Π½ΠΎΠ²Π΅Π½Π½ΡΡ ΡΠΊΠΎΡΠΎΡΡΡ Π΄Π²ΠΈΠΆΠ΅Π½ΠΈΡ Π² ΠΌΠΎΠΌΠ΅Π½Ρ Π²ΡΠ΅ΠΌΠ΅Π½ΠΈ ΠΡΠΎΡΠ°Ρ ΠΏΡΠΎΠΈΠ·Π²ΠΎΠ΄Π½Π°Ρ Π²ΡΡΠ°ΠΆΠ°Π΅Ρ ΠΌΠ³Π½ΠΎΠ²Π΅Π½Π½ΠΎΠ΅ ΡΡΠΊΠΎΡΠ΅Π½ΠΈΠ΅ Π² ΠΌΠΎΠΌΠ΅Π½Ρ Π²ΡΠ΅ΠΌΠ΅Π½ΠΈ
ΠΠΎΠΎΠ±ΡΠ΅ ΠΏΡΠΎΠΈΠ·Π²ΠΎΠ΄Π½Π°Ρ ΡΡΠ½ΠΊΡΠΈΠΈ Π² ΡΠΎΡΠΊΠ΅ Π²ΡΡΠ°ΠΆΠ°Π΅Ρ ΡΠΊΠΎΡΠΎΡΡΡ ΠΈΠ·ΠΌΠ΅Π½Π΅Π½ΠΈΡ ΡΡΠ½ΠΊΡΠΈΠΈ Π² ΡΠΎΡΠΊΠ΅ , ΡΠΎ Π΅ΡΡΡ ΡΠΊΠΎΡΠΎΡΡΡ ΠΏΡΠΎΡΠ΅ΠΊΠ°Π½ΠΈΡ ΠΏΡΠΎΡΠ΅ΡΡΠ°, ΠΎΠΏΠΈΡΠ°Π½Π½ΠΎΠ³ΠΎ Π·Π°Π²ΠΈΡΠΈΠΌΠΎΡΡΡΡ
ΠΡΠΎΠΈΠ·Π²ΠΎΠ΄Π½ΡΠ΅ Π²ΡΡΡΠΈΡ ΠΏΠΎΡΡΠ΄ΠΊΠΎΠ²
ΠΠΎΠ½ΡΡΠΈΠ΅ ΠΏΡΠΎΠΈΠ·Π²ΠΎΠ΄Π½ΠΎΠΉ ΠΏΡΠΎΠΈΠ·Π²ΠΎΠ»ΡΠ½ΠΎΠ³ΠΎ ΠΏΠΎΡΡΠ΄ΠΊΠ° Π·Π°Π΄Π°ΡΡΡΡ ΡΠ΅ΠΊΡΡΡΠ΅Π½ΡΠ½ΠΎ. ΠΠΎΠ»Π°Π³Π°Π΅ΠΌ
ΠΡΠ»ΠΈ ΡΡΠ½ΠΊΡΠΈΡ Π΄ΠΈΡΡΠ΅ΡΠ΅Π½ΡΠΈΡΡΠ΅ΠΌΠ° Π² , ΡΠΎ ΠΏΡΠΎΠΈΠ·Π²ΠΎΠ΄Π½Π°Ρ ΠΏΠ΅ΡΠ²ΠΎΠ³ΠΎ ΠΏΠΎΡΡΠ΄ΠΊΠ° ΠΎΠΏΡΠ΅Π΄Π΅Π»ΡΠ΅ΡΡΡ ΡΠΎΠΎΡΠ½ΠΎΡΠ΅Π½ΠΈΠ΅ΠΌ
ΠΡΡΡΡ ΡΠ΅ΠΏΠ΅ΡΡ ΠΏΡΠΎΠΈΠ·Π²ΠΎΠ΄Π½Π°Ρ -Π³ΠΎ ΠΏΠΎΡΡΠ΄ΠΊΠ° ΠΎΠΏΡΠ΅Π΄Π΅Π»Π΅Π½Π° Π² Π½Π΅ΠΊΠΎΡΠΎΡΠΎΠΉ ΠΎΠΊΡΠ΅ΡΡΠ½ΠΎΡΡΠΈ ΡΠΎΡΠΊΠΈ ΠΈ Π΄ΠΈΡΡΠ΅ΡΠ΅Π½ΡΠΈΡΡΠ΅ΠΌΠ°. Π’ΠΎΠ³Π΄Π°
ΠΡΠ»ΠΈ ΡΡΠ½ΠΊΡΠΈΡ ΠΈΠΌΠ΅Π΅Ρ Π² Π½Π΅ΠΊΠΎΡΠΎΡΠΎΠΉ ΠΎΠ±Π»Π°ΡΡΠΈ D ΡΠ°ΡΡΠ½ΡΡ ΠΏΡΠΎΠΈΠ·Π²ΠΎΠ΄Π½ΡΡ ΠΏΠΎ ΠΎΠ΄Π½ΠΎΠΉ ΠΈΠ· ΠΏΠ΅ΡΠ΅ΠΌΠ΅Π½Π½ΡΡ , ΡΠΎ Π½Π°Π·Π²Π°Π½Π½Π°Ρ ΠΏΡΠΎΠΈΠ·Π²ΠΎΠ΄Π½Π°Ρ, ΡΠ°ΠΌΠ° ΡΠ²Π»ΡΡΡΡ ΡΡΠ½ΠΊΡΠΈΠ΅ΠΉ ΠΎΡ Β ΠΌΠΎΠΆΠ΅Ρ ΠΈΠΌΠ΅ΡΡ Π² Π½Π΅ΠΊΠΎΡΠΎΡΠΎΠΉ ΡΠΎΡΠΊΠ΅ ΡΠ°ΡΡΠ½ΡΠ΅ ΠΏΡΠΎΠΈΠ·Π²ΠΎΠ΄Π½ΡΠ΅ ΠΏΠΎ ΡΠΎΠΉ ΠΆΠ΅ ΠΈΠ»ΠΈ ΠΏΠΎ Π»ΡΠ±ΠΎΠΉ Π΄ΡΡΠ³ΠΎΠΉ ΠΏΠ΅ΡΠ΅ΠΌΠ΅Π½Π½ΠΎΠΉ. ΠΠ»Ρ ΠΈΡΡ ΠΎΠ΄Π½ΠΎΠΉ ΡΡΠ½ΠΊΡΠΈΠΈ ΡΡΠΈ ΠΏΡΠΎΠΈΠ·Π²ΠΎΠ΄Π½ΡΠ΅ Π±ΡΠ΄ΡΡ ΡΠ°ΡΡΠ½ΡΠΌΠΈ ΠΏΡΠΎΠΈΠ·Π²ΠΎΠ΄Π½ΡΠΌΠΈ Π²ΡΠΎΡΠΎΠ³ΠΎ ΠΏΠΎΡΡΠ΄ΠΊΠ° (ΠΈΠ»ΠΈ Π²ΡΠΎΡΡΠΌΠΈ ΡΠ°ΡΡΠ½ΡΠΌΠΈ ΠΏΡΠΎΠΈΠ·Π²ΠΎΠ΄Π½ΡΠΌΠΈ).
- Β ΠΈΠ»ΠΈ Β
- Β ΠΈΠ»ΠΈ Β
Π§Π°ΡΡΠ½Π°Ρ ΠΏΡΠΎΠΈΠ·Π²ΠΎΠ΄Π½Π°Ρ Π²ΡΠΎΡΠΎΠ³ΠΎ ΠΈΠ»ΠΈ Π±ΠΎΠ»Π΅Π΅ Π²ΡΡΠΎΠΊΠΎΠ³ΠΎ ΠΏΠΎΡΡΠ΄ΠΊΠ°, Π²Π·ΡΡΠ°Ρ ΠΏΠΎ ΡΠ°Π·Π»ΠΈΡΠ½ΡΠΌ ΠΏΠ΅ΡΠ΅ΠΌΠ΅Π½Π½ΡΠΌ, Π½Π°Π·ΡΠ²Π°Π΅ΡΡΡ ΡΠΌΠ΅ΡΠ°Π½Π½ΠΎΠΉ ΡΠ°ΡΡΠ½ΠΎΠΉ ΠΏΡΠΎΠΈΠ·Π²ΠΎΠ΄Π½ΠΎΠΉ. ΠΠ°ΠΏΡΠΈΠΌΠ΅Ρ,
Π‘ΠΏΠΎΡΠΎΠ±Ρ Π·Π°ΠΏΠΈΡΠΈ ΠΏΡΠΎΠΈΠ·Π²ΠΎΠ΄Π½ΡΡ
Π Π·Π°Π²ΠΈΡΠΈΠΌΠΎΡΡΠΈ ΠΎΡ ΡΠ΅Π»Π΅ΠΉ, ΠΎΠ±Π»Π°ΡΡΠΈ ΠΏΡΠΈΠΌΠ΅Π½Π΅Π½ΠΈΡ ΠΈ ΠΈΡΠΏΠΎΠ»ΡΠ·ΡΠ΅ΠΌΠΎΠ³ΠΎ ΠΌΠ°ΡΠ΅ΠΌΠ°ΡΠΈΡΠ΅ΡΠΊΠΎΠ³ΠΎ Π°ΠΏΠΏΠ°ΡΠ°ΡΠ° ΠΈΡΠΏΠΎΠ»ΡΠ·ΡΡΡ ΡΠ°Π·Π»ΠΈΡΠ½ΡΠ΅ ΡΠΏΠΎΡΠΎΠ±Ρ Π·Π°ΠΏΠΈΡΠΈ ΠΏΡΠΎΠΈΠ·Π²ΠΎΠ΄Π½ΡΡ . Π’Π°ΠΊ, ΠΏΡΠΎΠΈΠ·Π²ΠΎΠ΄Π½Π°Ρ n-Π³ΠΎ ΠΏΠΎΡΡΠ΄ΠΊΠ° ΠΌΠΎΠΆΠ΅Ρ Π±ΡΡΡ Π·Π°ΠΏΠΈΡΠ°Π½Π° Π² Π½ΠΎΡΠ°ΡΠΈΡΡ :
- ΠΠ°Π³ΡΠ°Π½ΠΆΠ° , ΠΏΡΠΈ ΡΡΠΎΠΌ Π΄Π»Ρ ΠΌΠ°Π»ΡΡ n ΡΠ°ΡΡΠΎ ΠΈΡΠΏΠΎΠ»ΡΠ·ΡΡΡ ΡΡΡΠΈΡ ΠΈ ΠΈ ΡΠΈΠΌΡΠΊΠΈΠ΅ ΡΠΈΡΡΡ:
- ΠΈΒ Ρ.Β Π΄.
Π’Π°ΠΊΠ°Ρ Π·Π°ΠΏΠΈΡΡ ΡΠ΄ΠΎΠ±Π½Π° ΡΠ²ΠΎΠ΅ΠΉ ΠΊΡΠ°ΡΠΊΠΎΡΡΡΡ ΠΈ ΡΠΈΡΠΎΠΊΠΎ ΡΠ°ΡΠΏΡΠΎΡΡΡΠ°Π½Π΅Π½Π°; ΠΎΠ΄Π½Π°ΠΊΠΎ ΡΡΡΠΈΡ Π°ΠΌΠΈ ΡΠ°Π·ΡΠ΅ΡΠ°Π΅ΡΡΡ ΠΎΠ±ΠΎΠ·Π½Π°ΡΠ°ΡΡ Π½Π΅ Π²ΡΡΠ΅ ΡΡΠ΅ΡΡΠ΅ΠΉ ΠΏΡΠΎΠΈΠ·Π²ΠΎΠ΄Π½ΠΎΠΉ.
- ΠΠ΅ΠΉΠ±Π½ΠΈΡΠ°, ΡΠ΄ΠΎΠ±Π½Π°Ρ Π½Π°Π³Π»ΡΠ΄Π½ΠΎΠΉ Π·Π°ΠΏΠΈΡΡΡ ΠΎΡΠ½ΠΎΡΠ΅Π½ΠΈΡ Π±Π΅ΡΠΊΠΎΠ½Π΅ΡΠ½ΠΎ ΠΌΠ°Π»ΡΡ (ΡΠΎΠ»ΡΠΊΠΎ Π² ΡΠ»ΡΡΠ°Π΅, Π΅ΡΠ»ΠΈ Β β Π½Π΅Π·Π°Π²ΠΈΡΠΈΠΌΠ°Ρ ΠΏΠ΅ΡΠ΅ΠΌΠ΅Π½Π½Π°Ρ; Π² ΠΏΡΠΎΡΠΈΠ²Π½ΠΎΠΌ ΡΠ»ΡΡΠ°Π΅ ΠΎΠ±ΠΎΠ·Π½Π°ΡΠ΅Π½ΠΈΠ΅ Π²Π΅ΡΠ½ΠΎ Π»ΠΈΡΡ Π΄Π»Ρ ΠΏΡΠΎΠΈΠ·Π²ΠΎΠ΄Π½ΠΎΠΉ ΠΏΠ΅ΡΠ²ΠΎΠ³ΠΎ ΠΏΠΎΡΡΠ΄ΠΊΠ°):
- ΠΡΡΡΠΎΠ½Π°, ΠΊΠΎΡΠΎΡΠ°Ρ ΡΠ°ΡΡΠΎ ΠΈΡΠΏΠΎΠ»ΡΠ·ΡΠ΅ΡΡΡ Π² ΠΌΠ΅Ρ Π°Π½ΠΈΠΊΠ΅ Π΄Π»Ρ ΠΏΡΠΎΠΈΠ·Π²ΠΎΠ΄Π½ΠΎΠΉ ΠΏΠΎ Π²ΡΠ΅ΠΌΠ΅Π½ΠΈ ΡΡΠ½ΠΊΡΠΈΠΈ ΠΊΠΎΠΎΡΠ΄ΠΈΠ½Π°ΡΡ (Π΄Π»Ρ ΠΏΡΠΎΡΡΡΠ°Π½ΡΡΠ²Π΅Π½Π½ΠΎΠΉ ΠΏΡΠΎΠΈΠ·Π²ΠΎΠ΄Π½ΠΎΠΉ ΡΠ°ΡΠ΅ ΠΈΡΠΏΠΎΠ»ΡΠ·ΡΡΡ Π·Π°ΠΏΠΈΡΡ ΠΠ°Π³ΡΠ°Π½ΠΆΠ°). ΠΠΎΡΡΠ΄ΠΎΠΊ ΠΏΡΠΎΠΈΠ·Π²ΠΎΠ΄Π½ΠΎΠΉ ΠΎΠ±ΠΎΠ·Π½Π°ΡΠ°Π΅ΡΡΡ ΡΠΈΡΠ»ΠΎΠΌ ΡΠΎΡΠ΅ΠΊ Π½Π°Π΄ ΡΡΠ½ΠΊΡΠΈΠ΅ΠΉ, Π½Π°ΠΏΡΠΈΠΌΠ΅Ρ:
- Β β ΠΏΡΠΎΠΈΠ·Π²ΠΎΠ΄Π½Π°Ρ ΠΏΠ΅ΡΠ²ΠΎΠ³ΠΎ ΠΏΠΎΡΡΠ΄ΠΊΠ° ΠΏΠΎ ΠΏΡΠΈ , ΠΈΠ»ΠΈ Β β Π²ΡΠΎΡΠ°Ρ ΠΏΡΠΎΠΈΠ·Π²ΠΎΠ΄Π½Π°Ρ ΠΏΠΎ Π² ΡΠΎΡΠΊΠ΅ ΠΈΒ Ρ.Β Π΄.
- , ΠΈΠ»ΠΈ ΠΈΠ½ΠΎΠ³Π΄Π° .
- Π Π²Π°ΡΠΈΠ°ΡΠΈΠΎΠ½Π½ΠΎΠΌ ΠΈΡΡΠΈΡΠ»Π΅Π½ΠΈΠΈ ΠΈ ΠΌΠ°ΡΠ΅ΠΌΠ°ΡΠΈΡΠ΅ΡΠΊΠΎΠΉ ΡΠΈΠ·ΠΈΠΊΠ΅ ΡΠ°ΡΡΠΎ ΠΏΡΠΈΠΌΠ΅Π½ΡΠ΅ΡΡΡ ΠΎΠ±ΠΎΠ·Π½Π°ΡΠ΅Π½ΠΈΠ΅ , ; Π΄Π»Ρ Π·Π½Π°ΡΠ΅Π½ΠΈΡ ΠΏΡΠΎΠΈΠ·Π²ΠΎΠ΄Π½ΠΎΠΉ Π² ΡΠΎΡΠΊΠ΅ β . ΠΠ»Ρ ΡΠ°ΡΡΠ½ΡΡ ΠΏΡΠΎΠΈΠ·Π²ΠΎΠ΄Π½ΡΡ ΠΎΠ±ΠΎΠ·Π½Π°ΡΠ΅Π½ΠΈΠ΅ ΡΠΎ ΠΆΠ΅, ΠΏΠΎΡΡΠΎΠΌΡ ΡΠΌΡΡΠ» ΠΎΠ±ΠΎΠ·Π½Π°ΡΠ΅Π½ΠΈΡ ΠΎΠΏΡΠ΅Π΄Π΅Π»ΡΡΡ ΠΈΠ· ΠΊΠΎΠ½ΡΠ΅ΠΊΡΡΠ°.
ΠΠΎΠ½Π΅ΡΠ½ΠΎ, ΠΏΡΠΈ ΡΡΠΎΠΌ Π½Π΅ΠΎΠ±Ρ ΠΎΠ΄ΠΈΠΌΠΎ Π½Π΅ Π·Π°Π±ΡΠ²Π°ΡΡ, ΡΡΠΎ ΡΠ»ΡΠΆΠ°Ρ Π²ΡΠ΅ ΠΎΠ½ΠΈ Π΄Π»Ρ ΠΎΠ±ΠΎΠ·Π½Π°ΡΠ΅Π½ΠΈΡ ΠΎΠ΄Π½ΠΈΡ ΠΈ ΡΠ΅Ρ ΠΆΠ΅ ΠΎΠ±ΡΠ΅ΠΊΡΠΎΠ²:
ΠΡΠΈΠΌΠ΅ΡΡ
- ΠΡΡΡΡ . Π’ΠΎΠ³Π΄Π°
- ΠΡΡΡΡ . Π’ΠΎΠ³Π΄Π° Π΅ΡΠ»ΠΈ ΡΠΎ
Π³Π΄Π΅ ΠΎΠ±ΠΎΠ·Π½Π°ΡΠ°Π΅Ρ ΡΡΠ½ΠΊΡΠΈΡ Π·Π½Π°ΠΊΠ°. ΠΡΠ»ΠΈ ΡΠΎ Π° ΡΠ»Π΅Π΄ΠΎΠ²Π°ΡΠ΅Π»ΡΠ½ΠΎ Π½Π΅ ΡΡΡΠ΅ΡΡΠ²ΡΠ΅Ρ.
ΠΡΠ°Π²ΠΈΠ»Π° Π΄ΠΈΡΡΠ΅ΡΠ΅Π½ΡΠΈΡΠΎΠ²Π°Π½ΠΈΡ
ΠΠΏΠ΅ΡΠ°ΡΠΈΡ Π½Π°Ρ ΠΎΠΆΠ΄Π΅Π½ΠΈΡ ΠΏΡΠΎΠΈΠ·Π²ΠΎΠ΄Π½ΠΎΠΉ Π½Π°Π·ΡΠ²Π°Π΅ΡΡΡ Π΄ΠΈΡΡΠ΅ΡΠ΅Π½ΡΠΈΡΠΎΠ²Π°Π½ΠΈΠ΅ΠΌ. ΠΡΠΈ Π²ΡΠΏΠΎΠ»Π½Π΅Π½ΠΈΠΈ ΡΡΠΎΠΉ ΠΎΠΏΠ΅ΡΠ°ΡΠΈΠΈ ΡΠ°ΡΡΠΎ ΠΏΡΠΈΡ ΠΎΠ΄ΠΈΡΡΡ ΡΠ°Π±ΠΎΡΠ°ΡΡ Ρ ΡΠ°ΡΡΠ½ΡΠΌΠΈ, ΡΡΠΌΠΌΠ°ΠΌΠΈ, ΠΏΡΠΎΠΈΠ·Π²Π΅Π΄Π΅Π½ΠΈΡΠΌΠΈ ΡΡΠ½ΠΊΡΠΈΠΉ, Π° ΡΠ°ΠΊΠΆΠ΅ Ρ Β«ΡΡΠ½ΠΊΡΠΈΡΠΌΠΈ ΡΡΠ½ΠΊΡΠΈΠΉΒ», ΡΠΎ Π΅ΡΡΡ ΡΠ»ΠΎΠΆΠ½ΡΠΌΠΈ ΡΡΠ½ΠΊΡΠΈΡΠΌΠΈ. ΠΡΡ ΠΎΠ΄Ρ ΠΈΠ· ΠΎΠΏΡΠ΅Π΄Π΅Π»Π΅Π½ΠΈΡ ΠΏΡΠΎΠΈΠ·Π²ΠΎΠ΄Π½ΠΎΠΉ, ΠΌΠΎΠΆΠ½ΠΎ Π²ΡΠ²Π΅ΡΡΠΈ ΠΏΡΠ°Π²ΠΈΠ»Π° Π΄ΠΈΡΡΠ΅ΡΠ΅Π½ΡΠΈΡΠΎΠ²Π°Π½ΠΈΡ, ΠΎΠ±Π»Π΅Π³ΡΠ°ΡΡΠΈΠ΅ ΡΡΡ ΡΠ°Π±ΠΎΡΡ. ΠΡΠ»ΠΈ CΒ β ΠΏΠΎΡΡΠΎΡΠ½Π½ΠΎΠ΅ ΡΠΈΡΠ»ΠΎ ΠΈ f=f(x), g=g(x)Β β Π½Π΅ΠΊΠΎΡΠΎΡΡΠ΅ Π΄ΠΈΡΡΠ΅ΡΠ΅Π½ΡΠΈΡΡΠ΅ΠΌΡΠ΅ ΡΡΠ½ΠΊΡΠΈΠΈ, ΡΠΎ ΡΠΏΡΠ°Π²Π΅Π΄Π»ΠΈΠ²Ρ ΡΠ»Π΅Π΄ΡΡΡΠΈΠ΅ ΠΏΡΠ°Π²ΠΈΠ»Π° Π΄ΠΈΡΡΠ΅ΡΠ΅Π½ΡΠΈΡΠΎΠ²Π°Π½ΠΈΡ:
, ΡΠΎ
- Π€ΠΎΡΠΌΡΠ»Ρ ΠΏΡΠΎΠΈΠ·Π²ΠΎΠ΄Π½ΠΎΠΉ ΠΏΡΠΎΠΈΠ·Π²Π΅Π΄Π΅Π½ΠΈΡ ΠΈ ΠΎΡΠ½ΠΎΡΠ΅Π½ΠΈΡ ΠΎΠ±ΠΎΠ±ΡΠ°ΡΡΡΡ Π½Π° ΡΠ»ΡΡΠ°ΠΉ n-ΠΊΡΠ°ΡΠ½ΠΎΠ³ΠΎ Π΄ΠΈΡΡΠ΅ΡΠ΅Π½ΡΠΈΡΠΎΠ²Π°Π½ΠΈΡ (ΡΠΎΡΠΌΡΠ»Π° ΠΠ΅ΠΉΠ±Π½ΠΈΡΠ°):
- Π³Π΄Π΅ Β β Π±ΠΈΠ½ΠΎΠΌΠΈΠ°Π»ΡΠ½ΡΠ΅ ΠΊΠΎΡΡΡΠΈΡΠΈΠ΅Π½ΡΡ.
Π‘Π»Π΅Π΄ΡΡΡΠΈΠ΅ ΡΠ²ΠΎΠΉΡΡΠ²Π° ΠΏΡΠΎΠΈΠ·Π²ΠΎΠ΄Π½ΠΎΠΉ ΡΠ»ΡΠΆΠ°Ρ Π΄ΠΎΠΏΠΎΠ»Π½Π΅Π½ΠΈΠ΅ΠΌ ΠΊ ΠΏΡΠ°Π²ΠΈΠ»Π°ΠΌ Π΄ΠΈΡΡΠ΅ΡΠ΅Π½ΡΠΈΡΠΎΠ²Π°Π½ΠΈΡ:
ΠΠΎΠΊΠ°Π·Π°ΡΠ΅Π»ΡΡΡΠ²ΠΎΒ Β
Π’Π°Π±Π»ΠΈΡΠ° ΠΏΡΠΎΠΈΠ·Π²ΠΎΠ΄Π½ΡΡ Π½Π΅ΠΊΠΎΡΠΎΡΡΡ ΡΡΠ½ΠΊΡΠΈΠΉ
ΠΡΠΎΠΈΠ·Π²ΠΎΠ΄Π½Π°Ρ Π²Π΅ΠΊΡΠΎΡ-ΡΡΠ½ΠΊΡΠΈΠΈ ΠΏΠΎ ΠΏΠ°ΡΠ°ΠΌΠ΅ΡΡΡ
ΠΠΏΡΠ΅Π΄Π΅Π»ΠΈΠΌ ΠΏΡΠΎΠΈΠ·Π²ΠΎΠ΄Π½ΡΡ Π²Π΅ΠΊΡΠΎΡ-ΡΡΠ½ΠΊΡΠΈΠΈ ΠΏΠΎ ΠΏΠ°ΡΠ°ΠΌΠ΅ΡΡΡ:
- .
ΠΡΠ»ΠΈ ΠΏΡΠΎΠΈΠ·Π²ΠΎΠ΄Π½Π°Ρ Π² ΡΠΎΡΠΊΠ΅ ΡΡΡΠ΅ΡΡΠ²ΡΠ΅Ρ, Π²Π΅ΠΊΡΠΎΡ-ΡΡΠ½ΠΊΡΠΈΡ Π½Π°Π·ΡΠ²Π°Π΅ΡΡΡ Π΄ΠΈΡΡΠ΅ΡΠ΅Π½ΡΠΈΡΡΠ΅ΠΌΠΎΠΉ Π² ΡΡΠΎΠΉ ΡΠΎΡΠΊΠ΅. ΠΠΎΠΎΡΠ΄ΠΈΠ½Π°ΡΠ½ΡΠΌΠΈ ΡΡΠ½ΠΊΡΠΈΡΠΌΠΈ Π΄Π»Ρ ΠΏΡΠΎΠΈΠ·Π²ΠΎΠ΄Π½ΠΎΠΉ Π±ΡΠ΄ΡΡ .
Π‘Π²ΠΎΠΉΡΡΠ²Π° ΠΏΡΠΎΠΈΠ·Π²ΠΎΠ΄Π½ΠΎΠΉ Π²Π΅ΠΊΡΠΎΡ-ΡΡΠ½ΠΊΡΠΈΠΈ (Π²ΡΡΠ΄Ρ ΠΏΡΠ΅Π΄ΠΏΠΎΠ»Π°Π³Π°Π΅ΡΡΡ, ΡΡΠΎ ΠΏΡΠΎΠΈΠ·Π²ΠΎΠ΄Π½ΡΠ΅ ΡΡΡΠ΅ΡΡΠ²ΡΡΡ):
Π‘ΠΌ. ΡΠ°ΠΊΠΆΠ΅
ΠΡΠΈΠΌΠ΅ΡΠ°Π½ΠΈΡ
ΠΠΈΡΠ΅ΡΠ°ΡΡΡΠ°
- Π.Β Π.Β ΠΠΎΠ»ΡΡΠ½ΡΠΊΠΈΠΉ, Π§ΡΠΎ ΡΠ°ΠΊΠΎΠ΅ Π΄ΠΈΡΡΠ΅ΡΠ΅Π½ΡΠΈΡΠΎΠ²Π°Π½ΠΈΠ΅?, Β«ΠΠΎΠΏΡΠ»ΡΡΠ½ΡΠ΅ Π»Π΅ΠΊΡΠΈΠΈ ΠΏΠΎ ΠΌΠ°ΡΠ΅ΠΌΠ°ΡΠΈΠΊΠ΅Β», ΠΡΠΏΡΡΠΊ 17, ΠΠΎΡΡΠ΅Ρ ΠΈΠ·Π΄Π°Ρ 1955Β Π³., 64 ΡΡΡ.
- Π.Β Π.Β ΠΡΡΠ΅Π², Π.Β Π.Β ΠΠΎΡΠ΄ΠΊΠΎΠ²ΠΈΡ Β«ΠΠ°ΡΠ΅ΠΌΠ°ΡΠΈΠΊΠ°Β»
- Π.Β Π.Β Π€ΠΈΡ ΡΠ΅Π½Π³ΠΎΠ»ΡΡ Β«ΠΡΡΡ Π΄ΠΈΡΡΠ΅ΡΠ΅Π½ΡΠΈΠ°Π»ΡΠ½ΠΎΠ³ΠΎ ΠΈ ΠΈΠ½ΡΠ΅Π³ΡΠ°Π»ΡΠ½ΠΎΠ³ΠΎ ΠΈΡΡΠΈΡΠ»Π΅Π½ΠΈΡΒ», ΡΠΎΠΌ 1
- Π.Β Π.Β ΠΠΎΡΠΎΠ΄ΠΈΡ ΠΈΠ½, ΠΡΡΡΠ°Ρ ΠΌΠ°ΡΠ΅ΠΌΠ°ΡΠΈΠΊΠ°, ΡΡΠ΅Π±. ΠΏΠΎΡΠΎΠ±ΠΈΠ΅, ISBN 5-7782-0422-1
med.academic.ru
ΠΡΠΎΠΈΠ·Π²ΠΎΠ΄Π½Π°Ρ ΡΡΠ½ΠΊΡΠΈΠΈ – ΡΡΠΎ… Π§ΡΠΎ ΡΠ°ΠΊΠΎΠ΅ ΠΡΠΎΠΈΠ·Π²ΠΎΠ΄Π½Π°Ρ ΡΡΠ½ΠΊΡΠΈΠΈ?
Π£ ΡΡΠΎΠ³ΠΎ ΡΠ΅ΡΠΌΠΈΠ½Π° ΡΡΡΠ΅ΡΡΠ²ΡΡΡ ΠΈ Π΄ΡΡΠ³ΠΈΠ΅ Π·Π½Π°ΡΠ΅Π½ΠΈΡ, ΡΠΌ. ΠΡΠΎΠΈΠ·Π²ΠΎΠ΄Π½Π°Ρ. ΠΠ»Π»ΡΡΡΡΠ°ΡΠΈΡ ΠΏΠΎΠ½ΡΡΠΈΡ ΠΏΡΠΎΠΈΠ·Π²ΠΎΠ΄Π½ΠΎΠΉΠΡΠΎΠΈΠ·Π²ΠΎΜΠ΄Π½Π°ΡΒ (ΡΡΠ½ΠΊΡΠΈΠΈ Π² ΡΠΎΡΠΊΠ΅)Β β ΠΎΡΠ½ΠΎΠ²Π½ΠΎΠ΅ ΠΏΠΎΠ½ΡΡΠΈΠ΅ Π΄ΠΈΡΡΠ΅ΡΠ΅Π½ΡΠΈΠ°Π»ΡΠ½ΠΎΠ³ΠΎ ΠΈΡΡΠΈΡΠ»Π΅Π½ΠΈΡ, Ρ Π°ΡΠ°ΠΊΡΠ΅ΡΠΈΠ·ΡΡΡΠ΅Π΅ ΡΠΊΠΎΡΠΎΡΡΡ ΠΈΠ·ΠΌΠ΅Π½Π΅Π½ΠΈΡ ΡΡΠ½ΠΊΡΠΈΠΈ (Π² Π΄Π°Π½Π½ΠΎΠΉ ΡΠΎΡΠΊΠ΅). ΠΠΏΡΠ΅Π΄Π΅Π»ΡΠ΅ΡΡΡ ΠΊΠ°ΠΊ ΠΏΡΠ΅Π΄Π΅Π» ΠΎΡΠ½ΠΎΡΠ΅Π½ΠΈΡ ΠΏΡΠΈΡΠ°ΡΠ΅Π½ΠΈΡ ΡΡΠ½ΠΊΡΠΈΠΈ ΠΊ ΠΏΡΠΈΡΠ°ΡΠ΅Π½ΠΈΡ Π΅Π΅ Π°ΡΠ³ΡΠΌΠ΅Π½ΡΠ° ΠΏΡΠΈ ΡΡΡΠ΅ΠΌΠ»Π΅Π½ΠΈΠΈ ΠΏΡΠΈΡΠ°ΡΠ΅Π½ΠΈΡ Π°ΡΠ³ΡΠΌΠ΅Π½ΡΠ° ΠΊ Π½ΡΠ»Ρ, Π΅ΡΠ»ΠΈ ΡΠ°ΠΊΠΎΠΉ ΠΏΡΠ΅Π΄Π΅Π» ΡΡΡΠ΅ΡΡΠ²ΡΠ΅Ρ. Π€ΡΠ½ΠΊΡΠΈΡ, ΠΈΠΌΠ΅ΡΡΡΡ ΠΊΠΎΠ½Π΅ΡΠ½ΡΡ ΠΏΡΠΎΠΈΠ·Π²ΠΎΠ΄Π½ΡΡ (Π² Π½Π΅ΠΊΠΎΡΠΎΡΠΎΠΉ ΡΠΎΡΠΊΠ΅), Π½Π°Π·ΡΠ²Π°ΡΡ Π΄ΠΈΡΡΠ΅ΡΠ΅Π½ΡΠΈΡΡΠ΅ΠΌΠΎΠΉ (Π² Π΄Π°Π½Π½ΠΎΠΉ ΡΠΎΡΠΊΠ΅).
ΠΡΠΎΡΠ΅ΡΡ Π²ΡΡΠΈΡΠ»Π΅Π½ΠΈΡ ΠΏΡΠΎΠΈΠ·Π²ΠΎΠ΄Π½ΠΎΠΉ Π½Π°Π·ΡΠ²Π°Π΅ΡΡΡ Π΄ΠΈΡΡΠ΅ΡΠ΅Π½ΡΠΈΜΡΠΎΠ²Π°Π½ΠΈΠ΅ΠΌ. ΠΠ±ΡΠ°ΡΠ½ΡΠΉ ΠΏΡΠΎΡΠ΅ΡΡΒ β Π½Π°Ρ ΠΎΠΆΠ΄Π΅Π½ΠΈΠ΅ ΠΏΠ΅ΡΠ²ΠΎΠΎΠ±ΡΠ°Π·Π½ΠΎΠΉΒ β ΠΈΠ½ΡΠ΅Π³ΡΠΈΡΠΎΠ²Π°Π½ΠΈΠ΅.
ΠΡΡΠΎΡΠΈΡ
Π ΠΊΠ»Π°ΡΡΠΈΡΠ΅ΡΠΊΠΎΠΌ Π΄ΠΈΡΡΠ΅ΡΠ΅Π½ΡΠΈΠ°Π»ΡΠ½ΠΎΠΌ ΠΈΡΡΠΈΡΠ»Π΅Π½ΠΈΠΈ ΠΏΡΠΎΠΈΠ·Π²ΠΎΠ΄Π½Π°Ρ ΡΠ°ΡΠ΅ Π²ΡΠ΅Π³ΠΎ ΠΎΠΏΡΠ΅Π΄Π΅Π»ΡΠ΅ΡΡΡ ΡΠ΅ΡΠ΅Π· ΠΏΠΎΠ½ΡΡΠΈΡ ΡΠ΅ΠΎΡΠΈΠΈ ΠΏΡΠ΅Π΄Π΅Π»ΠΎΠ², ΠΎΠ΄Π½Π°ΠΊΠΎ ΠΈΡΡΠΎΡΠΈΡΠ΅ΡΠΊΠΈ ΡΠ΅ΠΎΡΠΈΡ ΠΏΡΠ΅Π΄Π΅Π»ΠΎΠ² ΠΏΠΎΡΠ²ΠΈΠ»Π°ΡΡ ΠΏΠΎΠ·ΠΆΠ΅ Π΄ΠΈΡΡΠ΅ΡΠ΅Π½ΡΠΈΠ°Π»ΡΠ½ΠΎΠ³ΠΎ ΠΈΡΡΠΈΡΠ»Π΅Π½ΠΈΡ.
Π ΡΡΡΠΊΠΈΠΉ ΡΠ΅ΡΠΌΠΈΠ½ Β«ΠΏΡΠΎΠΈΠ·Π²ΠΎΠ΄Π½Π°Ρ ΡΡΠ½ΠΊΡΠΈΠΈΒ» Π²ΠΏΠ΅ΡΠ²ΡΠ΅ ΡΠΏΠΎΡΡΠ΅Π±ΠΈΠ» Π.Β Π.Β ΠΠΈΡΠΊΠΎΠ²Π°ΡΠΎΠ².[1]
ΠΠΏΡΠ΅Π΄Π΅Π»Π΅Π½ΠΈΠ΅
ΠΡΡΡΡ Π² Π½Π΅ΠΊΠΎΡΠΎΡΠΎΠΉ ΠΎΠΊΡΠ΅ΡΡΠ½ΠΎΡΡΠΈ ΡΠΎΡΠΊΠΈ ΠΎΠΏΡΠ΅Π΄Π΅Π»Π΅Π½Π° ΡΡΠ½ΠΊΡΠΈΡ ΠΡΠΎΠΈΠ·Π²ΠΎΠ΄Π½ΠΎΠΉ ΡΡΠ½ΠΊΡΠΈΠΈ Π½Π°Π·ΡΠ²Π°Π΅ΡΡΡ ΡΠ°ΠΊΠΎΠ΅ ΡΠΈΡΠ»ΠΎ , ΡΡΠΎ ΡΡΠ½ΠΊΡΠΈΡ Π² ΠΎΠΊΡΠ΅ΡΡΠ½ΠΎΡΡΠΈ ΠΌΠΎΠΆΠ½ΠΎ ΠΏΡΠ΅Π΄ΡΡΠ°Π²ΠΈΡΡ Π² Π²ΠΈΠ΄Π΅
Π΅ΡΠ»ΠΈ ΡΡΡΠ΅ΡΡΠ²ΡΠ΅Ρ.
ΠΠΏΡΠ΅Π΄Π΅Π»Π΅Π½ΠΈΠ΅ ΠΏΡΠΎΠΈΠ·Π²ΠΎΠ΄Π½ΠΎΠΉ ΡΡΠ½ΠΊΡΠΈΠΈ ΡΠ΅ΡΠ΅Π· ΠΏΡΠ΅Π΄Π΅Π»
ΠΡΡΡΡ Π² Π½Π΅ΠΊΠΎΡΠΎΡΠΎΠΉ ΠΎΠΊΡΠ΅ΡΡΠ½ΠΎΡΡΠΈ ΡΠΎΡΠΊΠΈ ΠΎΠΏΡΠ΅Π΄Π΅Π»Π΅Π½Π° ΡΡΠ½ΠΊΡΠΈΡ ΠΡΠΎΠΈΠ·Π²ΠΎΠ΄Π½ΠΎΠΉ ΡΡΠ½ΠΊΡΠΈΠΈ Π² ΡΠΎΡΠΊΠ΅ Π½Π°Π·ΡΠ²Π°Π΅ΡΡΡ ΠΏΡΠ΅Π΄Π΅Π», Π΅ΡΠ»ΠΈ ΠΎΠ½ ΡΡΡΠ΅ΡΡΠ²ΡΠ΅Ρ,
ΠΠ±ΡΠ΅ΠΏΡΠΈΠ½ΡΡΡΠ΅ ΠΎΠ±ΠΎΠ·Π½Π°ΡΠ΅Π½ΠΈΡ ΠΏΡΠΎΠΈΠ·Π²ΠΎΠ΄Π½ΠΎΠΉ ΡΡΠ½ΠΊΡΠΈΠΈ Π² ΡΠΎΡΠΊΠ΅
ΠΠ°ΠΌΠ΅ΡΠΈΠΌ, ΡΡΠΎ ΠΏΠΎΡΠ»Π΅Π΄Π½Π΅Π΅ ΠΎΠ±ΡΡΠ½ΠΎ ΠΎΠ±ΠΎΠ·Π½Π°ΡΠ°Π΅Ρ ΠΏΡΠΎΠΈΠ·Π²ΠΎΠ΄Π½ΡΡ ΠΏΠΎ Π²ΡΠ΅ΠΌΠ΅Π½ΠΈ (Π² ΡΠ΅ΠΎΡΠ΅ΡΠΈΡΠ΅ΡΠΊΠΎΠΉ ΠΌΠ΅Ρ Π°Π½ΠΈΠΊΠ΅).
ΠΠΈΡΡΠ΅ΡΠ΅Π½ΡΠΈΡΡΠ΅ΠΌΠΎΡΡΡ
ΠΡΠΎΠΈΠ·Π²ΠΎΠ΄Π½Π°Ρ ΡΡΠ½ΠΊΡΠΈΠΈ Π² ΡΠΎΡΠΊΠ΅ , Π±ΡΠ΄ΡΡΠΈ ΠΏΡΠ΅Π΄Π΅Π»ΠΎΠΌ, ΠΌΠΎΠΆΠ΅Ρ Π½Π΅ ΡΡΡΠ΅ΡΡΠ²ΠΎΠ²Π°ΡΡ ΠΈΠ»ΠΈ ΡΡΡΠ΅ΡΡΠ²ΠΎΠ²Π°ΡΡ ΠΈ Π±ΡΡΡ ΠΊΠΎΠ½Π΅ΡΠ½ΠΎΠΉ ΠΈΠ»ΠΈ Π±Π΅ΡΠΊΠΎΠ½Π΅ΡΠ½ΠΎΠΉ. Π€ΡΠ½ΠΊΡΠΈΡ ΡΠ²Π»ΡΠ΅ΡΡΡ Π΄ΠΈΡΡΠ΅ΡΠ΅Π½ΡΠΈΡΡΠ΅ΠΌΠΎΠΉ Π² ΡΠΎΡΠΊΠ΅ ΡΠΎΠ³Π΄Π° ΠΈ ΡΠΎΠ»ΡΠΊΠΎ ΡΠΎΠ³Π΄Π°, ΠΊΠΎΠ³Π΄Π° Π΅Ρ ΠΏΡΠΎΠΈΠ·Π²ΠΎΠ΄Π½Π°Ρ Π² ΡΡΠΎΠΉ ΡΠΎΡΠΊΠ΅ ΡΡΡΠ΅ΡΡΠ²ΡΠ΅Ρ ΠΈ ΠΊΠΎΠ½Π΅ΡΠ½Π°:
ΠΠ»Ρ Π΄ΠΈΡΡΠ΅ΡΠ΅Π½ΡΠΈΡΡΠ΅ΠΌΠΎΠΉ Π² ΡΡΠ½ΠΊΡΠΈΠΈ Π² ΠΎΠΊΡΠ΅ΡΡΠ½ΠΎΡΡΠΈ ΡΠΏΡΠ°Π²Π΅Π΄Π»ΠΈΠ²ΠΎ ΠΏΡΠ΅Π΄ΡΡΠ°Π²Π»Π΅Π½ΠΈΠ΅
- ΠΏΡΠΈ
ΠΠ°ΠΌΠ΅ΡΠ°Π½ΠΈΡ
ΠΠ΅ΠΎΠΌΠ΅ΡΡΠΈΡΠ΅ΡΠΊΠΈΠΉ ΠΈ ΡΠΈΠ·ΠΈΡΠ΅ΡΠΊΠΈΠΉ ΡΠΌΡΡΠ» ΠΏΡΠΎΠΈΠ·Π²ΠΎΠ΄Π½ΠΎΠΉ
Π’Π°Π½Π³Π΅Π½Ρ ΡΠ³Π»Π° Π½Π°ΠΊΠ»ΠΎΠ½Π° ΠΊΠ°ΡΠ°ΡΠ΅Π»ΡΠ½ΠΎΠΉ ΠΏΡΡΠΌΠΎΠΉ
ΠΠ΅ΠΎΠΌΠ΅ΡΡΠΈΡΠ΅ΡΠΊΠΈΠΉ ΡΠΌΡΡΠ» ΠΏΡΠΎΠΈΠ·Π²ΠΎΠ΄Π½ΠΎΠΉ. ΠΠ° Π³ΡΠ°ΡΠΈΠΊΠ΅ ΡΡΠ½ΠΊΡΠΈΠΈ Π²ΡΠ±ΠΈΡΠ°Π΅ΡΡΡ Π°Π±ΡΡΠΈΡΡΠ° x0 ΠΈ Π²ΡΡΠΈΡΠ»ΡΠ΅ΡΡΡ ΡΠΎΠΎΡΠ²Π΅ΡΡΡΠ²ΡΡΡΠ°Ρ ΠΎΡΠ΄ΠΈΠ½Π°ΡΠ° f(x0). Π ΠΎΠΊΡΠ΅ΡΡΠ½ΠΎΡΡΠΈ ΡΠΎΡΠΊΠΈ x0 Π²ΡΠ±ΠΈΡΠ°Π΅ΡΡΡ ΠΏΡΠΎΠΈΠ·Π²ΠΎΠ»ΡΠ½Π°Ρ ΡΠΎΡΠΊΠ° x. Π§Π΅ΡΠ΅Π· ΡΠΎΠΎΡΠ²Π΅ΡΡΡΠ²ΡΡΡΠΈΠ΅ ΡΠΎΡΠΊΠΈ Π½Π° Π³ΡΠ°ΡΠΈΠΊΠ΅ ΡΡΠ½ΠΊΡΠΈΠΈ F ΠΏΡΠΎΠ²ΠΎΠ΄ΠΈΡΡΡ ΡΠ΅ΠΊΡΡΠ°Ρ (ΠΏΠ΅ΡΠ²Π°Ρ ΡΠ²Π΅ΡΠ»ΠΎ-ΡΠ΅ΡΠ°Ρ Π»ΠΈΠ½ΠΈΡ C5). Π Π°ΡΡΡΠΎΡΠ½ΠΈΠ΅ Ξx = xΒ β x0 ΡΡΡΡΠ΅ΠΌΠ»ΡΠ΅ΡΡΡ ΠΊ Π½ΡΠ»Ρ, Π² ΡΠ΅Π·ΡΠ»ΡΡΠ°ΡΠ΅ ΡΠ΅ΠΊΡΡΠ°Ρ ΠΏΠ΅ΡΠ΅Ρ
ΠΎΠ΄ΠΈΡ Π² ΠΊΠ°ΡΠ°ΡΠ΅Π»ΡΠ½ΡΡ (ΠΏΠΎΡΡΠ΅ΠΏΠ΅Π½Π½ΠΎ ΡΠ΅ΠΌΠ½Π΅ΡΡΠΈΠ΅ Π»ΠΈΠ½ΠΈΠΈ C5Β β C1). Π’Π°Π½Π³Π΅Π½Ρ ΡΠ³Π»Π° Ξ± Π½Π°ΠΊΠ»ΠΎΠ½Π° ΡΡΠΎΠΉ ΠΊΠ°ΡΠ°ΡΠ΅Π»ΡΠ½ΠΎΠΉΒ β ΠΈ Π΅ΡΡΡ ΠΏΡΠΎΠΈΠ·Π²ΠΎΠ΄Π½Π°Ρ Π² ΡΠΎΡΠΊΠ΅ x0.ΠΡΠ»ΠΈ ΡΡΠ½ΠΊΡΠΈΡ ΠΈΠΌΠ΅Π΅Ρ ΠΊΠΎΠ½Π΅ΡΠ½ΡΡ ΠΏΡΠΎΠΈΠ·Π²ΠΎΠ΄Π½ΡΡ Π² ΡΠΎΡΠΊΠ΅ ΡΠΎ Π² ΠΎΠΊΡΠ΅ΡΡΠ½ΠΎΡΡΠΈ Π΅Ρ ΠΌΠΎΠΆΠ½ΠΎ ΠΏΡΠΈΠ±Π»ΠΈΠ·ΠΈΡΡ Π»ΠΈΠ½Π΅ΠΉΠ½ΠΎΠΉ ΡΡΠ½ΠΊΡΠΈΠ΅ΠΉ
Π€ΡΠ½ΠΊΡΠΈΡ Π½Π°Π·ΡΠ²Π°Π΅ΡΡΡ ΠΊΠ°ΡΠ°ΡΠ΅Π»ΡΠ½ΠΎΠΉ ΠΊ Π² ΡΠΎΡΠΊΠ΅ Π§ΠΈΡΠ»ΠΎ ΡΠ²Π»ΡΠ΅ΡΡΡ ΡΠ³Π»ΠΎΠ²ΡΠΌ ΠΊΠΎΡΡΡΠΈΡΠΈΠ΅Π½ΡΠΎΠΌ ΠΈΠ»ΠΈ ΡΠ°Π½Π³Π΅Π½ΡΠΎΠΌ ΡΠ³Π»Π° Π½Π°ΠΊΠ»ΠΎΠ½Π° ΠΊΠ°ΡΠ°ΡΠ΅Π»ΡΠ½ΠΎΠΉ ΠΏΡΡΠΌΠΎΠΉ.
Π‘ΠΊΠΎΡΠΎΡΡΡ ΠΈΠ·ΠΌΠ΅Π½Π΅Π½ΠΈΡ ΡΡΠ½ΠΊΡΠΈΠΈ
ΠΡΡΡΡ Β β Π·Π°ΠΊΠΎΠ½ ΠΏΡΡΠΌΠΎΠ»ΠΈΠ½Π΅ΠΉΠ½ΠΎΠ³ΠΎ Π΄Π²ΠΈΠΆΠ΅Π½ΠΈΡ. Π’ΠΎΠ³Π΄Π° Π²ΡΡΠ°ΠΆΠ°Π΅Ρ ΠΌΠ³Π½ΠΎΠ²Π΅Π½Π½ΡΡ ΡΠΊΠΎΡΠΎΡΡΡ Π΄Π²ΠΈΠΆΠ΅Π½ΠΈΡ Π² ΠΌΠΎΠΌΠ΅Π½Ρ Π²ΡΠ΅ΠΌΠ΅Π½ΠΈ ΠΡΠΎΡΠ°Ρ ΠΏΡΠΎΠΈΠ·Π²ΠΎΠ΄Π½Π°Ρ Π²ΡΡΠ°ΠΆΠ°Π΅Ρ ΠΌΠ³Π½ΠΎΠ²Π΅Π½Π½ΠΎΠ΅ ΡΡΠΊΠΎΡΠ΅Π½ΠΈΠ΅ Π² ΠΌΠΎΠΌΠ΅Π½Ρ Π²ΡΠ΅ΠΌΠ΅Π½ΠΈ
ΠΠΎΠΎΠ±ΡΠ΅ ΠΏΡΠΎΠΈΠ·Π²ΠΎΠ΄Π½Π°Ρ ΡΡΠ½ΠΊΡΠΈΠΈ Π² ΡΠΎΡΠΊΠ΅ Π²ΡΡΠ°ΠΆΠ°Π΅Ρ ΡΠΊΠΎΡΠΎΡΡΡ ΠΈΠ·ΠΌΠ΅Π½Π΅Π½ΠΈΡ ΡΡΠ½ΠΊΡΠΈΠΈ Π² ΡΠΎΡΠΊΠ΅ , ΡΠΎ Π΅ΡΡΡ ΡΠΊΠΎΡΠΎΡΡΡ ΠΏΡΠΎΡΠ΅ΠΊΠ°Π½ΠΈΡ ΠΏΡΠΎΡΠ΅ΡΡΠ°, ΠΎΠΏΠΈΡΠ°Π½Π½ΠΎΠ³ΠΎ Π·Π°Π²ΠΈΡΠΈΠΌΠΎΡΡΡΡ
ΠΡΠΎΠΈΠ·Π²ΠΎΠ΄Π½ΡΠ΅ Π²ΡΡΡΠΈΡ ΠΏΠΎΡΡΠ΄ΠΊΠΎΠ²
ΠΠΎΠ½ΡΡΠΈΠ΅ ΠΏΡΠΎΠΈΠ·Π²ΠΎΠ΄Π½ΠΎΠΉ ΠΏΡΠΎΠΈΠ·Π²ΠΎΠ»ΡΠ½ΠΎΠ³ΠΎ ΠΏΠΎΡΡΠ΄ΠΊΠ° Π·Π°Π΄Π°ΡΡΡΡ ΡΠ΅ΠΊΡΡΡΠ΅Π½ΡΠ½ΠΎ. ΠΠΎΠ»Π°Π³Π°Π΅ΠΌ
ΠΡΠ»ΠΈ ΡΡΠ½ΠΊΡΠΈΡ Π΄ΠΈΡΡΠ΅ΡΠ΅Π½ΡΠΈΡΡΠ΅ΠΌΠ° Π² , ΡΠΎ ΠΏΡΠΎΠΈΠ·Π²ΠΎΠ΄Π½Π°Ρ ΠΏΠ΅ΡΠ²ΠΎΠ³ΠΎ ΠΏΠΎΡΡΠ΄ΠΊΠ° ΠΎΠΏΡΠ΅Π΄Π΅Π»ΡΠ΅ΡΡΡ ΡΠΎΠΎΡΠ½ΠΎΡΠ΅Π½ΠΈΠ΅ΠΌ
ΠΡΡΡΡ ΡΠ΅ΠΏΠ΅ΡΡ ΠΏΡΠΎΠΈΠ·Π²ΠΎΠ΄Π½Π°Ρ -Π³ΠΎ ΠΏΠΎΡΡΠ΄ΠΊΠ° ΠΎΠΏΡΠ΅Π΄Π΅Π»Π΅Π½Π° Π² Π½Π΅ΠΊΠΎΡΠΎΡΠΎΠΉ ΠΎΠΊΡΠ΅ΡΡΠ½ΠΎΡΡΠΈ ΡΠΎΡΠΊΠΈ ΠΈ Π΄ΠΈΡΡΠ΅ΡΠ΅Π½ΡΠΈΡΡΠ΅ΠΌΠ°. Π’ΠΎΠ³Π΄Π°
ΠΡΠ»ΠΈ ΡΡΠ½ΠΊΡΠΈΡ ΠΈΠΌΠ΅Π΅Ρ Π² Π½Π΅ΠΊΠΎΡΠΎΡΠΎΠΉ ΠΎΠ±Π»Π°ΡΡΠΈ D ΡΠ°ΡΡΠ½ΡΡ ΠΏΡΠΎΠΈΠ·Π²ΠΎΠ΄Π½ΡΡ ΠΏΠΎ ΠΎΠ΄Π½ΠΎΠΉ ΠΈΠ· ΠΏΠ΅ΡΠ΅ΠΌΠ΅Π½Π½ΡΡ , ΡΠΎ Π½Π°Π·Π²Π°Π½Π½Π°Ρ ΠΏΡΠΎΠΈΠ·Π²ΠΎΠ΄Π½Π°Ρ, ΡΠ°ΠΌΠ° ΡΠ²Π»ΡΡΡΡ ΡΡΠ½ΠΊΡΠΈΠ΅ΠΉ ΠΎΡ Β ΠΌΠΎΠΆΠ΅Ρ ΠΈΠΌΠ΅ΡΡ Π² Π½Π΅ΠΊΠΎΡΠΎΡΠΎΠΉ ΡΠΎΡΠΊΠ΅ ΡΠ°ΡΡΠ½ΡΠ΅ ΠΏΡΠΎΠΈΠ·Π²ΠΎΠ΄Π½ΡΠ΅ ΠΏΠΎ ΡΠΎΠΉ ΠΆΠ΅ ΠΈΠ»ΠΈ ΠΏΠΎ Π»ΡΠ±ΠΎΠΉ Π΄ΡΡΠ³ΠΎΠΉ ΠΏΠ΅ΡΠ΅ΠΌΠ΅Π½Π½ΠΎΠΉ. ΠΠ»Ρ ΠΈΡΡ ΠΎΠ΄Π½ΠΎΠΉ ΡΡΠ½ΠΊΡΠΈΠΈ ΡΡΠΈ ΠΏΡΠΎΠΈΠ·Π²ΠΎΠ΄Π½ΡΠ΅ Π±ΡΠ΄ΡΡ ΡΠ°ΡΡΠ½ΡΠΌΠΈ ΠΏΡΠΎΠΈΠ·Π²ΠΎΠ΄Π½ΡΠΌΠΈ Π²ΡΠΎΡΠΎΠ³ΠΎ ΠΏΠΎΡΡΠ΄ΠΊΠ° (ΠΈΠ»ΠΈ Π²ΡΠΎΡΡΠΌΠΈ ΡΠ°ΡΡΠ½ΡΠΌΠΈ ΠΏΡΠΎΠΈΠ·Π²ΠΎΠ΄Π½ΡΠΌΠΈ).
- Β ΠΈΠ»ΠΈ Β
- Β ΠΈΠ»ΠΈ Β
Π§Π°ΡΡΠ½Π°Ρ ΠΏΡΠΎΠΈΠ·Π²ΠΎΠ΄Π½Π°Ρ Π²ΡΠΎΡΠΎΠ³ΠΎ ΠΈΠ»ΠΈ Π±ΠΎΠ»Π΅Π΅ Π²ΡΡΠΎΠΊΠΎΠ³ΠΎ ΠΏΠΎΡΡΠ΄ΠΊΠ°, Π²Π·ΡΡΠ°Ρ ΠΏΠΎ ΡΠ°Π·Π»ΠΈΡΠ½ΡΠΌ ΠΏΠ΅ΡΠ΅ΠΌΠ΅Π½Π½ΡΠΌ, Π½Π°Π·ΡΠ²Π°Π΅ΡΡΡ ΡΠΌΠ΅ΡΠ°Π½Π½ΠΎΠΉ ΡΠ°ΡΡΠ½ΠΎΠΉ ΠΏΡΠΎΠΈΠ·Π²ΠΎΠ΄Π½ΠΎΠΉ. ΠΠ°ΠΏΡΠΈΠΌΠ΅Ρ,
Π‘ΠΏΠΎΡΠΎΠ±Ρ Π·Π°ΠΏΠΈΡΠΈ ΠΏΡΠΎΠΈΠ·Π²ΠΎΠ΄Π½ΡΡ
Π Π·Π°Π²ΠΈΡΠΈΠΌΠΎΡΡΠΈ ΠΎΡ ΡΠ΅Π»Π΅ΠΉ, ΠΎΠ±Π»Π°ΡΡΠΈ ΠΏΡΠΈΠΌΠ΅Π½Π΅Π½ΠΈΡ ΠΈ ΠΈΡΠΏΠΎΠ»ΡΠ·ΡΠ΅ΠΌΠΎΠ³ΠΎ ΠΌΠ°ΡΠ΅ΠΌΠ°ΡΠΈΡΠ΅ΡΠΊΠΎΠ³ΠΎ Π°ΠΏΠΏΠ°ΡΠ°ΡΠ° ΠΈΡΠΏΠΎΠ»ΡΠ·ΡΡΡ ΡΠ°Π·Π»ΠΈΡΠ½ΡΠ΅ ΡΠΏΠΎΡΠΎΠ±Ρ Π·Π°ΠΏΠΈΡΠΈ ΠΏΡΠΎΠΈΠ·Π²ΠΎΠ΄Π½ΡΡ . Π’Π°ΠΊ, ΠΏΡΠΎΠΈΠ·Π²ΠΎΠ΄Π½Π°Ρ n-Π³ΠΎ ΠΏΠΎΡΡΠ΄ΠΊΠ° ΠΌΠΎΠΆΠ΅Ρ Π±ΡΡΡ Π·Π°ΠΏΠΈΡΠ°Π½Π° Π² Π½ΠΎΡΠ°ΡΠΈΡΡ :
- ΠΠ°Π³ΡΠ°Π½ΠΆΠ° , ΠΏΡΠΈ ΡΡΠΎΠΌ Π΄Π»Ρ ΠΌΠ°Π»ΡΡ n ΡΠ°ΡΡΠΎ ΠΈΡΠΏΠΎΠ»ΡΠ·ΡΡΡ ΡΡΡΠΈΡ ΠΈ ΠΈ ΡΠΈΠΌΡΠΊΠΈΠ΅ ΡΠΈΡΡΡ:
- ΠΈΒ Ρ.Β Π΄.
Π’Π°ΠΊΠ°Ρ Π·Π°ΠΏΠΈΡΡ ΡΠ΄ΠΎΠ±Π½Π° ΡΠ²ΠΎΠ΅ΠΉ ΠΊΡΠ°ΡΠΊΠΎΡΡΡΡ ΠΈ ΡΠΈΡΠΎΠΊΠΎ ΡΠ°ΡΠΏΡΠΎΡΡΡΠ°Π½Π΅Π½Π°; ΠΎΠ΄Π½Π°ΠΊΠΎ ΡΡΡΠΈΡ Π°ΠΌΠΈ ΡΠ°Π·ΡΠ΅ΡΠ°Π΅ΡΡΡ ΠΎΠ±ΠΎΠ·Π½Π°ΡΠ°ΡΡ Π½Π΅ Π²ΡΡΠ΅ ΡΡΠ΅ΡΡΠ΅ΠΉ ΠΏΡΠΎΠΈΠ·Π²ΠΎΠ΄Π½ΠΎΠΉ.
- ΠΠ΅ΠΉΠ±Π½ΠΈΡΠ°, ΡΠ΄ΠΎΠ±Π½Π°Ρ Π½Π°Π³Π»ΡΠ΄Π½ΠΎΠΉ Π·Π°ΠΏΠΈΡΡΡ ΠΎΡΠ½ΠΎΡΠ΅Π½ΠΈΡ Π±Π΅ΡΠΊΠΎΠ½Π΅ΡΠ½ΠΎ ΠΌΠ°Π»ΡΡ (ΡΠΎΠ»ΡΠΊΠΎ Π² ΡΠ»ΡΡΠ°Π΅, Π΅ΡΠ»ΠΈ Β β Π½Π΅Π·Π°Π²ΠΈΡΠΈΠΌΠ°Ρ ΠΏΠ΅ΡΠ΅ΠΌΠ΅Π½Π½Π°Ρ; Π² ΠΏΡΠΎΡΠΈΠ²Π½ΠΎΠΌ ΡΠ»ΡΡΠ°Π΅ ΠΎΠ±ΠΎΠ·Π½Π°ΡΠ΅Π½ΠΈΠ΅ Π²Π΅ΡΠ½ΠΎ Π»ΠΈΡΡ Π΄Π»Ρ ΠΏΡΠΎΠΈΠ·Π²ΠΎΠ΄Π½ΠΎΠΉ ΠΏΠ΅ΡΠ²ΠΎΠ³ΠΎ ΠΏΠΎΡΡΠ΄ΠΊΠ°):
- ΠΡΡΡΠΎΠ½Π°, ΠΊΠΎΡΠΎΡΠ°Ρ ΡΠ°ΡΡΠΎ ΠΈΡΠΏΠΎΠ»ΡΠ·ΡΠ΅ΡΡΡ Π² ΠΌΠ΅Ρ Π°Π½ΠΈΠΊΠ΅ Π΄Π»Ρ ΠΏΡΠΎΠΈΠ·Π²ΠΎΠ΄Π½ΠΎΠΉ ΠΏΠΎ Π²ΡΠ΅ΠΌΠ΅Π½ΠΈ ΡΡΠ½ΠΊΡΠΈΠΈ ΠΊΠΎΠΎΡΠ΄ΠΈΠ½Π°ΡΡ (Π΄Π»Ρ ΠΏΡΠΎΡΡΡΠ°Π½ΡΡΠ²Π΅Π½Π½ΠΎΠΉ ΠΏΡΠΎΠΈΠ·Π²ΠΎΠ΄Π½ΠΎΠΉ ΡΠ°ΡΠ΅ ΠΈΡΠΏΠΎΠ»ΡΠ·ΡΡΡ Π·Π°ΠΏΠΈΡΡ ΠΠ°Π³ΡΠ°Π½ΠΆΠ°). ΠΠΎΡΡΠ΄ΠΎΠΊ ΠΏΡΠΎΠΈΠ·Π²ΠΎΠ΄Π½ΠΎΠΉ ΠΎΠ±ΠΎΠ·Π½Π°ΡΠ°Π΅ΡΡΡ ΡΠΈΡΠ»ΠΎΠΌ ΡΠΎΡΠ΅ΠΊ Π½Π°Π΄ ΡΡΠ½ΠΊΡΠΈΠ΅ΠΉ, Π½Π°ΠΏΡΠΈΠΌΠ΅Ρ:
- Β β ΠΏΡΠΎΠΈΠ·Π²ΠΎΠ΄Π½Π°Ρ ΠΏΠ΅ΡΠ²ΠΎΠ³ΠΎ ΠΏΠΎΡΡΠ΄ΠΊΠ° ΠΏΠΎ ΠΏΡΠΈ , ΠΈΠ»ΠΈ Β β Π²ΡΠΎΡΠ°Ρ ΠΏΡΠΎΠΈΠ·Π²ΠΎΠ΄Π½Π°Ρ ΠΏΠΎ Π² ΡΠΎΡΠΊΠ΅ ΠΈΒ Ρ.Β Π΄.
- , ΠΈΠ»ΠΈ ΠΈΠ½ΠΎΠ³Π΄Π° .
- Π Π²Π°ΡΠΈΠ°ΡΠΈΠΎΠ½Π½ΠΎΠΌ ΠΈΡΡΠΈΡΠ»Π΅Π½ΠΈΠΈ ΠΈ ΠΌΠ°ΡΠ΅ΠΌΠ°ΡΠΈΡΠ΅ΡΠΊΠΎΠΉ ΡΠΈΠ·ΠΈΠΊΠ΅ ΡΠ°ΡΡΠΎ ΠΏΡΠΈΠΌΠ΅Π½ΡΠ΅ΡΡΡ ΠΎΠ±ΠΎΠ·Π½Π°ΡΠ΅Π½ΠΈΠ΅ , ; Π΄Π»Ρ Π·Π½Π°ΡΠ΅Π½ΠΈΡ ΠΏΡΠΎΠΈΠ·Π²ΠΎΠ΄Π½ΠΎΠΉ Π² ΡΠΎΡΠΊΠ΅ β . ΠΠ»Ρ ΡΠ°ΡΡΠ½ΡΡ ΠΏΡΠΎΠΈΠ·Π²ΠΎΠ΄Π½ΡΡ ΠΎΠ±ΠΎΠ·Π½Π°ΡΠ΅Π½ΠΈΠ΅ ΡΠΎ ΠΆΠ΅, ΠΏΠΎΡΡΠΎΠΌΡ ΡΠΌΡΡΠ» ΠΎΠ±ΠΎΠ·Π½Π°ΡΠ΅Π½ΠΈΡ ΠΎΠΏΡΠ΅Π΄Π΅Π»ΡΡΡ ΠΈΠ· ΠΊΠΎΠ½ΡΠ΅ΠΊΡΡΠ°.
ΠΠΎΠ½Π΅ΡΠ½ΠΎ, ΠΏΡΠΈ ΡΡΠΎΠΌ Π½Π΅ΠΎΠ±Ρ ΠΎΠ΄ΠΈΠΌΠΎ Π½Π΅ Π·Π°Π±ΡΠ²Π°ΡΡ, ΡΡΠΎ ΡΠ»ΡΠΆΠ°Ρ Π²ΡΠ΅ ΠΎΠ½ΠΈ Π΄Π»Ρ ΠΎΠ±ΠΎΠ·Π½Π°ΡΠ΅Π½ΠΈΡ ΠΎΠ΄Π½ΠΈΡ ΠΈ ΡΠ΅Ρ ΠΆΠ΅ ΠΎΠ±ΡΠ΅ΠΊΡΠΎΠ²:
ΠΡΠΈΠΌΠ΅ΡΡ
- ΠΡΡΡΡ . Π’ΠΎΠ³Π΄Π°
- ΠΡΡΡΡ . Π’ΠΎΠ³Π΄Π° Π΅ΡΠ»ΠΈ ΡΠΎ
Π³Π΄Π΅ ΠΎΠ±ΠΎΠ·Π½Π°ΡΠ°Π΅Ρ ΡΡΠ½ΠΊΡΠΈΡ Π·Π½Π°ΠΊΠ°. ΠΡΠ»ΠΈ ΡΠΎ Π° ΡΠ»Π΅Π΄ΠΎΠ²Π°ΡΠ΅Π»ΡΠ½ΠΎ Π½Π΅ ΡΡΡΠ΅ΡΡΠ²ΡΠ΅Ρ.
ΠΡΠ°Π²ΠΈΠ»Π° Π΄ΠΈΡΡΠ΅ΡΠ΅Π½ΡΠΈΡΠΎΠ²Π°Π½ΠΈΡ
ΠΠΏΠ΅ΡΠ°ΡΠΈΡ Π½Π°Ρ ΠΎΠΆΠ΄Π΅Π½ΠΈΡ ΠΏΡΠΎΠΈΠ·Π²ΠΎΠ΄Π½ΠΎΠΉ Π½Π°Π·ΡΠ²Π°Π΅ΡΡΡ Π΄ΠΈΡΡΠ΅ΡΠ΅Π½ΡΠΈΡΠΎΠ²Π°Π½ΠΈΠ΅ΠΌ. ΠΡΠΈ Π²ΡΠΏΠΎΠ»Π½Π΅Π½ΠΈΠΈ ΡΡΠΎΠΉ ΠΎΠΏΠ΅ΡΠ°ΡΠΈΠΈ ΡΠ°ΡΡΠΎ ΠΏΡΠΈΡ ΠΎΠ΄ΠΈΡΡΡ ΡΠ°Π±ΠΎΡΠ°ΡΡ Ρ ΡΠ°ΡΡΠ½ΡΠΌΠΈ, ΡΡΠΌΠΌΠ°ΠΌΠΈ, ΠΏΡΠΎΠΈΠ·Π²Π΅Π΄Π΅Π½ΠΈΡΠΌΠΈ ΡΡΠ½ΠΊΡΠΈΠΉ, Π° ΡΠ°ΠΊΠΆΠ΅ Ρ Β«ΡΡΠ½ΠΊΡΠΈΡΠΌΠΈ ΡΡΠ½ΠΊΡΠΈΠΉΒ», ΡΠΎ Π΅ΡΡΡ ΡΠ»ΠΎΠΆΠ½ΡΠΌΠΈ ΡΡΠ½ΠΊΡΠΈΡΠΌΠΈ. ΠΡΡ ΠΎΠ΄Ρ ΠΈΠ· ΠΎΠΏΡΠ΅Π΄Π΅Π»Π΅Π½ΠΈΡ ΠΏΡΠΎΠΈΠ·Π²ΠΎΠ΄Π½ΠΎΠΉ, ΠΌΠΎΠΆΠ½ΠΎ Π²ΡΠ²Π΅ΡΡΠΈ ΠΏΡΠ°Π²ΠΈΠ»Π° Π΄ΠΈΡΡΠ΅ΡΠ΅Π½ΡΠΈΡΠΎΠ²Π°Π½ΠΈΡ, ΠΎΠ±Π»Π΅Π³ΡΠ°ΡΡΠΈΠ΅ ΡΡΡ ΡΠ°Π±ΠΎΡΡ. ΠΡΠ»ΠΈ CΒ β ΠΏΠΎΡΡΠΎΡΠ½Π½ΠΎΠ΅ ΡΠΈΡΠ»ΠΎ ΠΈ f=f(x), g=g(x)Β β Π½Π΅ΠΊΠΎΡΠΎΡΡΠ΅ Π΄ΠΈΡΡΠ΅ΡΠ΅Π½ΡΠΈΡΡΠ΅ΠΌΡΠ΅ ΡΡΠ½ΠΊΡΠΈΠΈ, ΡΠΎ ΡΠΏΡΠ°Π²Π΅Π΄Π»ΠΈΠ²Ρ ΡΠ»Π΅Π΄ΡΡΡΠΈΠ΅ ΠΏΡΠ°Π²ΠΈΠ»Π° Π΄ΠΈΡΡΠ΅ΡΠ΅Π½ΡΠΈΡΠΎΠ²Π°Π½ΠΈΡ:
, ΡΠΎ
- Π€ΠΎΡΠΌΡΠ»Ρ ΠΏΡΠΎΠΈΠ·Π²ΠΎΠ΄Π½ΠΎΠΉ ΠΏΡΠΎΠΈΠ·Π²Π΅Π΄Π΅Π½ΠΈΡ ΠΈ ΠΎΡΠ½ΠΎΡΠ΅Π½ΠΈΡ ΠΎΠ±ΠΎΠ±ΡΠ°ΡΡΡΡ Π½Π° ΡΠ»ΡΡΠ°ΠΉ n-ΠΊΡΠ°ΡΠ½ΠΎΠ³ΠΎ Π΄ΠΈΡΡΠ΅ΡΠ΅Π½ΡΠΈΡΠΎΠ²Π°Π½ΠΈΡ (ΡΠΎΡΠΌΡΠ»Π° ΠΠ΅ΠΉΠ±Π½ΠΈΡΠ°):
- Π³Π΄Π΅ Β β Π±ΠΈΠ½ΠΎΠΌΠΈΠ°Π»ΡΠ½ΡΠ΅ ΠΊΠΎΡΡΡΠΈΡΠΈΠ΅Π½ΡΡ.
Π‘Π»Π΅Π΄ΡΡΡΠΈΠ΅ ΡΠ²ΠΎΠΉΡΡΠ²Π° ΠΏΡΠΎΠΈΠ·Π²ΠΎΠ΄Π½ΠΎΠΉ ΡΠ»ΡΠΆΠ°Ρ Π΄ΠΎΠΏΠΎΠ»Π½Π΅Π½ΠΈΠ΅ΠΌ ΠΊ ΠΏΡΠ°Π²ΠΈΠ»Π°ΠΌ Π΄ΠΈΡΡΠ΅ΡΠ΅Π½ΡΠΈΡΠΎΠ²Π°Π½ΠΈΡ:
ΠΠΎΠΊΠ°Π·Π°ΡΠ΅Π»ΡΡΡΠ²ΠΎΒ Β
Π’Π°Π±Π»ΠΈΡΠ° ΠΏΡΠΎΠΈΠ·Π²ΠΎΠ΄Π½ΡΡ Π½Π΅ΠΊΠΎΡΠΎΡΡΡ ΡΡΠ½ΠΊΡΠΈΠΉ
ΠΡΠΎΠΈΠ·Π²ΠΎΠ΄Π½Π°Ρ Π²Π΅ΠΊΡΠΎΡ-ΡΡΠ½ΠΊΡΠΈΠΈ ΠΏΠΎ ΠΏΠ°ΡΠ°ΠΌΠ΅ΡΡΡ
ΠΠΏΡΠ΅Π΄Π΅Π»ΠΈΠΌ ΠΏΡΠΎΠΈΠ·Π²ΠΎΠ΄Π½ΡΡ Π²Π΅ΠΊΡΠΎΡ-ΡΡΠ½ΠΊΡΠΈΠΈ ΠΏΠΎ ΠΏΠ°ΡΠ°ΠΌΠ΅ΡΡΡ:
- .
ΠΡΠ»ΠΈ ΠΏΡΠΎΠΈΠ·Π²ΠΎΠ΄Π½Π°Ρ Π² ΡΠΎΡΠΊΠ΅ ΡΡΡΠ΅ΡΡΠ²ΡΠ΅Ρ, Π²Π΅ΠΊΡΠΎΡ-ΡΡΠ½ΠΊΡΠΈΡ Π½Π°Π·ΡΠ²Π°Π΅ΡΡΡ Π΄ΠΈΡΡΠ΅ΡΠ΅Π½ΡΠΈΡΡΠ΅ΠΌΠΎΠΉ Π² ΡΡΠΎΠΉ ΡΠΎΡΠΊΠ΅. ΠΠΎΠΎΡΠ΄ΠΈΠ½Π°ΡΠ½ΡΠΌΠΈ ΡΡΠ½ΠΊΡΠΈΡΠΌΠΈ Π΄Π»Ρ ΠΏΡΠΎΠΈΠ·Π²ΠΎΠ΄Π½ΠΎΠΉ Π±ΡΠ΄ΡΡ .
Π‘Π²ΠΎΠΉΡΡΠ²Π° ΠΏΡΠΎΠΈΠ·Π²ΠΎΠ΄Π½ΠΎΠΉ Π²Π΅ΠΊΡΠΎΡ-ΡΡΠ½ΠΊΡΠΈΠΈ (Π²ΡΡΠ΄Ρ ΠΏΡΠ΅Π΄ΠΏΠΎΠ»Π°Π³Π°Π΅ΡΡΡ, ΡΡΠΎ ΠΏΡΠΎΠΈΠ·Π²ΠΎΠ΄Π½ΡΠ΅ ΡΡΡΠ΅ΡΡΠ²ΡΡΡ):
Π‘ΠΌ. ΡΠ°ΠΊΠΆΠ΅
ΠΡΠΈΠΌΠ΅ΡΠ°Π½ΠΈΡ
ΠΠΈΡΠ΅ΡΠ°ΡΡΡΠ°
- Π.Β Π.Β ΠΠΎΠ»ΡΡΠ½ΡΠΊΠΈΠΉ, Π§ΡΠΎ ΡΠ°ΠΊΠΎΠ΅ Π΄ΠΈΡΡΠ΅ΡΠ΅Π½ΡΠΈΡΠΎΠ²Π°Π½ΠΈΠ΅?, Β«ΠΠΎΠΏΡΠ»ΡΡΠ½ΡΠ΅ Π»Π΅ΠΊΡΠΈΠΈ ΠΏΠΎ ΠΌΠ°ΡΠ΅ΠΌΠ°ΡΠΈΠΊΠ΅Β», ΠΡΠΏΡΡΠΊ 17, ΠΠΎΡΡΠ΅Ρ ΠΈΠ·Π΄Π°Ρ 1955Β Π³., 64 ΡΡΡ.
- Π.Β Π.Β ΠΡΡΠ΅Π², Π.Β Π.Β ΠΠΎΡΠ΄ΠΊΠΎΠ²ΠΈΡ Β«ΠΠ°ΡΠ΅ΠΌΠ°ΡΠΈΠΊΠ°Β»
- Π.Β Π.Β Π€ΠΈΡ ΡΠ΅Π½Π³ΠΎΠ»ΡΡ Β«ΠΡΡΡ Π΄ΠΈΡΡΠ΅ΡΠ΅Π½ΡΠΈΠ°Π»ΡΠ½ΠΎΠ³ΠΎ ΠΈ ΠΈΠ½ΡΠ΅Π³ΡΠ°Π»ΡΠ½ΠΎΠ³ΠΎ ΠΈΡΡΠΈΡΠ»Π΅Π½ΠΈΡΒ», ΡΠΎΠΌ 1
- Π.Β Π.Β ΠΠΎΡΠΎΠ΄ΠΈΡ ΠΈΠ½, ΠΡΡΡΠ°Ρ ΠΌΠ°ΡΠ΅ΠΌΠ°ΡΠΈΠΊΠ°, ΡΡΠ΅Π±. ΠΏΠΎΡΠΎΠ±ΠΈΠ΅, ISBN 5-7782-0422-1
biograf.academic.ru
