Основы языка программирования Python за 10 минут
Основы языка программирования Python за 10 минут
(Перевод)
На сайте Poromenos’ Stuff была опубликована статья, в которой, в сжатой форме, рассказывают об основах языка Python. Я предлагаю вам перевод этой статьи. Перевод не дословный. Я постарался подробнее объяснить некоторые моменты, которые могут быть непонятны.
Если вы собрались изучать язык Python, но не можете найти подходящего руководства, то эта статья вам очень пригодится! За короткое время, вы сможете познакомиться с основами языка Python. Хотя эта статья часто опирается на то, что вы уже имеете опыт программирования, но, я надеюсь, даже новичкам этот материал будет полезен. Внимательно прочитайте каждый параграф. В связи с сжатостью материала, некоторые темы рассмотрены поверхностно, но содержат весь необходимый метриал.
Основные свойства
Python не требует явного объявления переменных, является регистро-зависим (переменная var не эквивалентна переменной Var или VAR — это три разные переменные) объектно-ориентированным языком.
Синтаксис
Во первых стоит отметить интересную особенность Python. Он не содержит операторных скобок (begin..end в pascal или {..}в Си), вместо этого блоки выделяются отступами: пробелами или табуляцией, а вход в блок из операторов осуществляется двоеточием. Однострочные комментарии начинаются со знака фунта «#», многострочные — начинаются и заканчиваются тремя двойными кавычками «”””».
Чтобы присвоить значение пременной используется знак «=», а для сравнения — «==». Для увеличения значения переменной, или добавления к строке используется оператор «+=», а для уменьшения — «-=». Все эти операции могут взаимодействовать с большинством типов, в том числе со строками. Например
>>> myvar = 3
>>> myvar += 2
>>> myvar -= 1
“””Это многострочный комментарий
Строки заключенные в три двойные кавычки игнорируются”””
>>> mystring = “Hello”
>>> mystring += ” world.”
>>> print mystring
Hello world.
# Следующая строка меняет
значения переменных местами. (Всего одна строка!)
>>> myvar, mystring = mystring, myvar
Структуры данных
Python содержит такие структуры данных как списки (lists), кортежи (tuples) и словари (dictionaries). Списки — похожи на одномерные массивы (но вы можете использовать Список включающий списки — многомерный массив), кортежи — неизменяемые списки, словари — тоже списки, но индексы могут быть любого типа, а не только числовыми. “Массивы” в Python могут содержать данные любого типа, то есть в одном массиве может могут находиться числовые, строковые и другие типы данных. Массивы начинаются с индекса 0, а последний элемент можно получить по индексу -1 Вы можете присваивать переменным функции и использовать их соответственно.
>>> sample = [1, [“another”, “list”], (“a”, “tuple”)] #Список состоит из целого числа, другого списка и кортежа
>>> mylist = [“List item 1”, 2, 3.14] #Этот список содержит строку, целое и дробное число
>>> mylist[0] = “List item 1 again” #Изменяем первый (нулевой) элемент листа mylist
>>> mylist[-1] = 3.14 #Изменяем последний элемент листа
>>> mydict = {“Key 1”: “Value 1”, 2: 3, “pi”: 3.14} #Создаем словарь, с числовыми и целочисленным индексами
>>> mydict[“pi”] = 3.15 #Изменяем элемент словаря под индексом “pi”.
>>> mytuple = (1, 2, 3) #Задаем кортеж
>>> myfunction = len #Python позволяет таким образом объявлять синонимы функции
>>> print myfunction(mylist)
3
Вы можете использовать часть массива, задавая первый и последний индекс через двоеточие «:». В таком случае вы получите часть массива, от первого индекса до второго не включительно. Если не указан первый элемент, то отсчет начинается с начала массива, а если не указан последний — то масив считывается до последнего элемента. Отрицательные значения определяют положение элемента с конца. Например:
>>> mylist = [“List item 1”, 2, 3.14]
>>> print mylist[:] #Считываются все элементы массива
[‘List item 1’, 2, 3.1400000000000001]
>>> print mylist[0:2] #Считываются нулевой и первый элемент массива.
[‘List item 1’, 2]
>>> print mylist[-3:-1] #Считываются элементы от нулевого (-3) до второго (-1) (не включительно)
[‘List item 1’, 2]
>>> print mylist[1:] #Считываются элементы от первого, до последнего
[2, 3.14]
Строки
Строки в Python обособляются кавычками двойными «”» или одинарными «’». Внутри двойных ковычек могут присутствовать одинарные или наоборот. К примеру строка «Он сказал ‘привет’!» будет выведена на экран как «Он сказал ‘привет’!». Если нужно использовать строку из несколько строчек, то эту строку надо начинать и заканчивать тремя двойными кавычками «”””». Вы можете подставить в шаблон строки элементы из кортежа или словаря. Знак процента «%» между строкой и кортежем, заменяет в строке символы «%s» на элемент кортежа. Словари позволяют вставлять в строку элемент под заданным индексом. Для этого надо использовать в строке конструкцию «%(индекс)s». В этом случае вместо «%(индекс)s» будет подставлено значение словаря под заданным индексом.
>>>print “Name: %s\nNumber: %s\nString: %s” % (myclass.name, 3, 3 * “-“)
Name: Poromenos
Number: 3
String: —
strString = “””Этот текст расположен
на нескольких строках”””
>>> print “This %(verb)s a %(noun)s.” % {“noun”: “test”, “verb”: “is”}
This is a test.
Операторы
Операторы while, if, for составляют операторы перемещения. Здесь нет аналога оператора select, так что придется обходиться if. В операторе for происходит сравнение переменной и списка. Чтобы получить список цифр до числа <number> — используйте функцию range(<number>). Вот пример использования операторов
rangelist = range(10) #Получаем список из десяти цифр (от 0 до 9)
>>> print rangelist
[0, 1, 2, 3, 4, 5, 6, 7, 8, 9]
for number in rangelist: #Пока переменная number (которая каждый раз увеличивается на единицу) входит в список…
# Проверяем входит ли переменная
# numbers в кортеж чисел (3, 4, 7, 9)
if number in (3, 4, 7, 9): #Если переменная number входит в кортеж (3, 4, 7, 9)…
# Операция «break» обеспечивает
# выход из цикла в любой момент
break
else:
# «continue» осуществляет “прокрутку”
# в любом случае программа переходит опять к обработке цикла
continue
else:
# «else» указывать необязательно. Условие выполняется
# если цикл не был прерван при помощи «break».
pass # Ничего не делать
if rangelist[1] == 2:
print “The second item (lists are 0-based) is 2”
elif rangelist[1] == 3:
print “The second item (lists are 0-based) is 3”
else:
print “Dunno”
while rangelist[1] == 1:
pass
Функции
Для объявления функции служит ключевое слово «def». Аргументы функции задаются в скобках после названия функции. Можно задавать необязательные аргументы, присваивая им значение по умолчанию. Функции могут возвращать кортежи, в таком случае надо писать возвращаемые значения через запятую. Ключевое слово «lambda» служит для объявления элементарных функций .
# arg2 и arg3 – необязательые аргументы, принимают значение объявленное по умолчни,
# если не задать им другое значение при вызове функци.
def myfunction(arg1, arg2 = 100, arg3 = “test”):
return arg3, arg2, arg1
#Функция вызывается со значением первого аргумента – “Argument 1”, второго – по умолчанию, и третьего – “Named argument”.
>>>ret1, ret2, ret3 = myfunction(“Argument 1”, arg3 = “Named argument”)
# ret1, ret2 и ret3 принимают значения “Named argument”, 100, “Argument 1” соответственно
>>> print ret1, ret2, ret3
Named argument 100 Argument 1
# Следующая запись эквивалентна def f(x): return x + 1
functionvar = lambda x: x + 1
>>> print functionvar(1)
2
Классы
Язык Python ограничен в множественном наследовании в классах. Внутренние переменные и внутренние методы классов начинаются с двух знаков нижнего подчеркивания «__» (например «__myprivatevar»). Мы можем также присвоить значение переменной класса извне. Пример:
class Myclass:
common = 10
def __init__(self):
self.myvariable = 3
def myfunction(self, arg1, arg2):
return self.myvariable
# Здесь мы объявили класс Myclass. Функция __init__ вызывается автоматически при инициализации классов.
>>> classinstance = Myclass() # Мы инициализировали класс и переменная myvariable приобрела значение 3 как заявлено в методе инициализации
>>> classinstance.myfunction(1, 2) #Метод myfunction класса Myclass возвращает значение переменной myvariable
3
# Переменная common объявлена во всех классах
>>> classinstance2 = Myclass()
>>> classinstance.common
10
>>> classinstance2.common
10
# Поэтому, если мы изменим ее значение в классе Myclass изменятся
# и ее значения в объектах, инициализированных классом Myclass
>>> Myclass.common = 30
>>> classinstance.common
30
>>> classinstance2.common
30
# А здесь мы не изменяем переменную класса. Вместо этого
# мы объявляем оную в объекте и присваиваем ей новое значение
>>> classinstance.common = 10
>>> classinstance.common
10
>>> classinstance2.common
30
>>> Myclass.common = 50
# Теперь изменение переменной класса не коснется
# переменных объектов этого класса
>>> classinstance.common
10
>>> classinstance2.common
50
# Следующий класс является наследником класса Myclass
# наследуя его свойства и методы, ктому же класс может
# наследоваться из нескольких классов, в этом случае запись
# такая: class Otherclass(Myclass1, Myclass2, MyclassN)
class Otherclass(Myclass):
def __init__(self, arg1):
self.myvariable = 3
print arg1
>>> classinstance = Otherclass(“hello”)
hello
>>> classinstance.myfunction(1, 2)
3
# Этот класс не имеет совйтсва test, но мы можем
# объявить такую переменную для объекта. Причем
# tэта переменная будет членом только classinstance.
>>> classinstance.test = 10
>>> classinstance.test
10
Исключения
Исключения в Python имеют структуру try-except [exceptionname]:
def somefunction():
try:
# Деление на ноль вызывает ошибку
10 / 0
except ZeroDivisionError:
# Но программа не “Выполняет недопустимую операцию”
# А обрабатывает блок исключения соответствующий ошибке «ZeroDivisionError»
print “Oops, invalid.”
>>> fnexcept()
Oops, invalid.
Импорт
Внешние библиотеки можно подключить процедурой «import [libname]», где [libname] — название подключаемой библиотеки. Вы так же можете использовать команду «from [libname] import [funcname]», чтобы вы могли использовать функцию [funcname] из библиотеки [libname]:
import random #Импортируем библиотеку «random»
from time import clock #И заодно функцию «clock» из библиотеки «time»
randomint = random.randint(1, 100)
>>> print randomint
64
Работа с файловой системой
Python имеет много встроенных библиотек. В этом примере мы попробуем сохранить в бинарном файле структуру списка, прочитать ее и сохраним строку в текстовом файле. Для преобразования структуры данных мы будем использовать стандартную библиотеку «pickle»:
import pickle
mylist = [“This”, “is”, 4, 13327]
# Откроем файл C:\binary.dat для записи. Символ «r»
# предотвращает замену специальных сиволов (таких как \n, \t, \b и др.).
myfile = file(r”C:\binary.dat”, “w”)
pickle.dump(mylist, myfile)
myfile.close()
myfile = file(r”C:\text.txt”, “w”)
myfile.write(“This is a sample string”)
myfile.close()
myfile = file(r”C:\text.txt”)
>>> print myfile.read()
‘This is a sample string’
myfile.close()
# Открываем файл для чтения
myfile = file(r”C:\binary.dat”)
loadedlist = pickle.load(myfile)
myfile.close()
>>> print loadedlist
[‘This’, ‘is’, 4, 13327]
Особенности
- Условия могут комбинироваться. 1 < a < 3 выполняется тогда, когда а больше 1, но меньше 3.
- Используйте операцию «del» чтобы очищать переменные или элементы массива.
- Python предлагает большие возможности для работы со списками. Вы можете использовать операторы объявлении структуры списка. Оператор for позволяет задавать элементы списка в определенной последовательности, а if — позволяет выбирать элементы по условию.
>>> lst1 = [1, 2, 3]
>>> lst2 = [3, 4, 5]
>>> print [x * y for x in lst1 for y in lst2]
[3, 4, 5, 6, 8, 10, 9, 12, 15]
>>> print [x for x in lst1 if 4 > x > 1]
[2, 3]
# Оператор «any» возвращает true, если хотя
# бы одно из условий, входящих в него, выполняется.
>>> any(i % 3 for i in [3, 3, 4, 4, 3])
True
# Следующая процедура подсчитывает количество
# подходящих элементов в списке
>>> sum(1 for i in [3, 3, 4, 4, 3] if i == 3)
3
>>> del lst1[0]
>>> print lst1
[2, 3]
>>> del lst1
- Глобальные переменные объявляются вне функций и могут быть прочитанны без каких либо объявлений. Но если вам необходимо изменить значение глобальной переменной из функции, то вам необходимо объявить ее в начале функции ключевым словом «global», если вы этого не сделаете, то Python объявит переменную, доступную только для этой функции.
number = 5
def myfunc():
# Выводит 5
print number
def anotherfunc():
# Это вызывает исключение, поскольку глобальная апеременная
# не была вызванна из функции. Python в этом случае создает
# одноименную переменную внутри этой функции и доступную
# только для операторов этой функции.
print number
number = 3
def yetanotherfunc():
global number
# И только из этой функции значение переменной изменяется.
number = 3
Эпилог
Разумеется в этой статье не описываются все возможности Python. Я надеюсь что эта статья поможет вам, если вы захотите и в дальнейшем изучать этот язык программирования.
Преимущества Python
- Скорость выполнения программ написанных на Python очень высока. Это связанно с тем, что основные библиотеки Python
написаны на C++ и выполнение задач занимает меньше времени, чем на других языках высокого уровня. - В связи с этим вы можете писать свои собственные модули для Python на C или C++
- В стандартныx библиотеках Python вы можете найти средства для работы с электронной почтой, протоколами
Интернета, FTP, HTTP, базами данных, и пр. - Скрипты, написанные при помощи Python выполняются на большинстве современных ОС. Такая переносимость обеспечивает Python применение в самых различных областях.
- Python подходит для любых решений в области программирования, будь то офисные программы, вэб-приложения, GUI-приложения и т.д.
- Над разработкой Python трудились тысячи энтузиастов со всего мира. Поддержкой современных технологий в стандартных библиотеках мы можем быть обязаны именно тому, что Python был открыт для всех желающих.
webhamster.ru
Язык программирования Python: основы, особенности и примеры
Хотите войти в мир программирования и быстро написать несколько своих первых программ? Или мечтаете изучить новые языки, но не знаете, с чего начать? Обратите свое внимание на курсы по основам программирования на Python. Далее вы узнаете подробности о том, почему именно этот язык рекомендуется для начинающих и какие программы можно на нем создавать.

Основы Python для начинающих программистов
Python – это мощный высокоуровневый объектно-ориентированный язык программирования, созданный Гвидо ван Россумом. У него простой в использовании синтаксис, что делает его идеальным языком для тех, кто пытается научиться программированию в первый раз. Для продолжения знакомства с языком можно прочитать книгу Дмитрия Златопольского “Python – основы программирования”. Но мы начнем с самых основ. Литературы по этому направлению достаточно много. Еще один вариант — книги Гарри Персиваля “Python. Разработка на основе тестирования”. В ней рассказывается о языке с практической точки зрения.
Применение языка на практике
Итак, что же пишут на Python или “Питон”, как его еще называют в среде программистов, и зачем его учить? Python – это язык общего назначения. На нем пишут веб-приложения с использованием различный фреймворков, системные утилиты и приложения для автоматизации различных действий. Курсов по основам программирования на Python сейчас достаточно, чтобы попробовать изучить язык самостоятельно.

Это может стать основой новой профессии, так как он имеет широкий спектр приложений от веб-разработки, научных и математических вычислений для настольных графических пользовательских интерфейсов. Он также хорошо подходит для создания прототипов. То есть, сначала создается прототип на Python, затем концепцию можно перенести на более быстрые и компилируемые языки программирования. При помощи этого языка можно создавать desktop-приложения с графическим интерфейсом и писать игры, для чего существует специальная библиотека. Основы алгоритмизации и программирования на языке Python подходят для создания приложений для мобильных устройств.
Зачем изучать язык Python

Python также использует очень простой и сжатый синтаксис и динамическую типизацию. Знание основ алгоритмизации и программирования на Python позволяет быстро создать программу и запустить ее. Если вам нужен язык для быстрого создания приложений и сценариев в нескольких областях, вам будет трудно найти лучшую альтернативу, чем Python. У него имеется ряд очевидных преимуществ перед другими языками программирования:
- универсальное использование — на этом языке можно писать разные типы приложений, потому вместе с его освоением открываются широкие возможности для применения этого языка;
- простота — изначально язык разрабатывался для упрощения работы с ним человека;
- популярность в среде программистов и востребованность на рынке труда — Python широко применяется в различных проектах;
- большое количество доступных библиотек расширяют возможности языка и делают его еще более универсальным;
- кроссплатформенность — один раз написанная программа будет работать на любой платформе, где есть интерпретатор языка;
- одним из важных плюсов языка является его качественная документация.
Python также является одним из старейших языков веб-разработки, созданных Гвидо ван Россумом в Национальном научно-исследовательском институте математики и информатики в Нидерландах в начале 90-х годов. Язык сильно заимствован из C++, C и других языков сценариев. Он использует ключевые слова на английском языке, которые составляют большую часть программирования на Python. Если вы освоите их, то можно считать, что по большей части уже освоили язык. Это займет некоторое время и вам будет нужно понять основные концепции, прежде чем начинать. Потому давайте начнем с того, что познакомимся с ними.

Преимущества языка Python
Одним из ключевых преимуществ программирования Python является его интерпретирующий характер. Это означает, что код программы не компилируется в исполняемый файл, а выполняется интерпретатором всякий раз заново, когда происходит запуск пользователем. Потому для запуска программы необходимо его наличие на том компьютере, где вы будете создавать программы. Интерпретатор и стандартная библиотека доступны в бинарной или исходной форме с веб-сайта Python и могут беспрепятственно работать во всех основных операционных системах.
Итак, к основным преимуществам Python можно отнести:
- Интерпретирующий характер: язык обрабатывается интерпретатором во время выполнения, например PHP или PERL, поэтому вам не нужно компилировать программу перед выполнением.
- Интерактивность: вы можете напрямую взаимодействовать с интерпретатором при написании вашей программы.
- Идеально подходит для начинающих: для начинающих программистов.
Python – отличный выбор, поскольку он поддерживает разработку приложений, от игр до браузеров до обработки текста.
Как установить и запустить интерпретатор
Для того чтобы начать писать на Python, нужно скачать и установить его интерпретатор на официальном сайте языка, выбрав версию для своей операционной системы. Стоит отметить, что существует две ветки языка — вторая и третья. Лучше начать изучать основы Python 3, если другой версии вы еще не устанавливали. При установке на Windows обязательно нужно обратить внимание на то, включены ли опция Add Python to Path и утилита Pip. После установки его можно запустить. Для этого в командной строке нужно ввести: “python”, и он запустится. В окне появятся три угловые скобки, означающие, что вы находитесь в интерпретаторе. Этот язык программирования также свободно распространяемый, и по нему можно найти советы, сторонние инструменты, программы, модули и дополнительную документацию.
Ключевые слова в Python
В интерпретаторе можно выполнять действия на языке в интерактивном режиме. Каждое действие выполняется сразу, после нажатия Enter. Можно использовать его как продвинутый калькулятор. Но писать большую программу в интерпретаторе слишком трудоемко. Поэтому имеет смысл пользоваться текстовыми редакторами. Готовый текстовый файл можно затем выполнить интерпретатором. Одна из основ Python состоит в том, что любые блоки в нем задаются с помощью отступов, поэтому необходимо должны отступать, чтобы запустить блок и удалить его. Интерпретатор может быть легко расширен новыми типами данных или функциями в C++ или C. Язык программирования Python работает как расширение для настраиваемых приложений. То, что делает этот язык настолько легким для изучения — это тот факт, что он использует английские ключевые слова, а не знаки препинания, и имеет меньше синтаксических конструкций, чем в других языках программирования.
Начало работы с Python
Перед началом работы вне интерпретатора, чтобы создать программу, нужно открыть текстовый редактор и создать пустой файл с кодировке utf-8 и задать расширение “py”. Лучше всего для этой цели использовать специальные редакторы кода для программистов. В первой строке нужно обозначить кодировку. Строки, начинающиеся со знака #, считаются комментариями и не выполняются. Python неявно и динамически типизирован, поэтому вам не нужно объявлять переменные. Типы принудительно применяются, и переменные также чувствительны к регистру, поэтому var и VAR рассматриваются как две отдельные переменные.Если вы хотите знать, как работает какой-либо объект, вам просто нужно ввести следующее: “help(object)”. Вы также можете использовать команду “dir (object)”, чтобы узнать все методы конкретной опции, и вы можете использовать объект “__ doc__”, чтобы узнать его строку документа.

Как запустить написанную программу
Запускать написанную программу нужно также в командной строке. Для этого нужно написать имя интерпретатора и через пробел — имя файла с написанной программой. При запуске программы нужно указывать полный путь к файлу. Это не всегда просто, так как путь может быть очень длинным, поэтому иногда проще сменить текущую директорию в командной строке и там запускать интерпретатор. Для этого нужно подняться в нужную директорию, зажать клавишу shift, правой кнопкой мыши кликнуть по директории и в открывшемся меню выбрать опцию “открыть окно команд”. Тогда командная строка будет запущена в этой директории. Далее в окне консоли нужно ввести имя интерпретатора и через пробел — имя файла, который находится в ней.
Синтаксис языка
Основы программирования на примере языка Python не слишком отличаются от других языков, но переменные несут немного другой смысл. У Python нет обязательных символов для завершения операторов. Любые блоки задаются с помощью отступов, поэтому вы должны отступать, чтобы запустить блок и удалить его. Для многострочных комментариев необходимо использовать многострочные строки. Значения присваиваются при помощью знака “=”, а тестирование равенства выполняется с двумя из них “==”. Вы можете уменьшать или увеличивать значения с помощью операторов = или – = с суммой в правой части. Это может работать со строками и другими типами данных. Вы также можете использовать несколько переменных в одной строке.

Типы данных в Python
Теперь рассмотрим типы данных. В основе Python лежат структуры данных – это словари (dict), кортежи (tuples) и списки (lists). Наборы можно найти в библиотеке наборов, которые доступны во всех версиях Python. Списки похожи на одномерные массивы, хотя вы также можете иметь списки других списков. Словари по существу являются ассоциативными массивами или хэш-таблицами. Кортежи представляют собой одномерные массивы. Теперь массивы в основе Python могут быть любого типа, а ypes всегда равно нулю. Отрицательные числа начинаются от конца до начала, а -1 – последний элемент. Переменные также могут указывать на функции.
Строки в Python
Строки Python могут использовать одиночные или двойные кавычки, и вы можете использовать кавычки одного вида в строке с использованием другого вида. Многострочные строки заключены в одиночные или тройные двойные кавычки. Чтобы заполнить строки значениями, вы можете использовать оператор modulo (%), а затем кортеж. Каждый% заменяется элементом кортежа слева направо, и вы также можете использовать словарные подстановки. Операторы управления потоком Python: “while”, “for” и “if”. Для ветвления вам нужно использовать “if”. Для перечисления через список используйте “for”. Для получения списка номеров используйте диапазон.
Функции в Python
Ключевое слово “def” используется для объявления функций. Привязывание другого объекта к переменной удаляет старый и заменяет неизменяемые типы. Необязательные аргументы могут быть заданы в объявлении функции после обязательных аргументов, присваивая им значения по умолчанию. В случае именованных аргументов имени аргумента присваивается значение. Функции могут возвращать кортеж, и вы можете эффективно возвращать несколько значений, используя распаковку кортежа. Параметры передаются через ссылку, но кортежи, ints, строки и другие неизменяемые типы неизменяемы, потому что передается только местоположение памяти элемента.

Вы только начали свое знакомство с языком, потому не бойтесь ошибок и обращайтесь к доступным ресурсам, чтобы продолжить обучение этому интересному и полезному языку программирования.
fb.ru
Основы языка программирования Python за 10 минут / Хабр
На сайте Poromenos’ Stuff была
опубликована статья, в которой, в сжатой форме,
рассказывают об основах языка Python. Я предлагаю вам перевод этой статьи. Перевод не дословный. Я постарался подробнее объяснить некоторые моменты, которые могут быть непонятны.
Если вы собрались изучать язык Python, но не можете найти подходящего руководства, то эта
статья вам очень пригодится! За короткое время, вы сможете познакомиться с
основами языка Python. Хотя эта статья часто опирается
на то, что вы уже имеете опыт программирования, но, я надеюсь, даже новичкам
этот материал будет полезен. Внимательно прочитайте каждый параграф. В связи с
сжатостью материала, некоторые темы рассмотрены поверхностно, но содержат весь
необходимый метриал.
Основные свойства
Python не требует явного объявления переменных, является регистро-зависим (переменная var не эквивалентна переменной Var или VAR — это три разные переменные) объектно-ориентированным языком.
Синтаксис
Во первых стоит отметить интересную особенность Python. Он не содержит операторных скобок (begin..end в pascal или {..}в Си), вместо этого блоки выделяются отступами: пробелами или табуляцией, а вход в блок из операторов осуществляется двоеточием. Однострочные комментарии начинаются со знака фунта «#», многострочные — начинаются и заканчиваются тремя двойными кавычками «”””».
Чтобы присвоить значение пременной используется знак «=», а для сравнения —
«==». Для увеличения значения переменной, или добавления к строке используется оператор «+=», а для уменьшения — «-=». Все эти операции могут взаимодействовать с большинством типов, в том числе со строками. Например
>>> myvar = 3
>>> myvar += 2
>>> myvar -= 1
“”«Это многострочный комментарий
Строки заключенные в три двойные кавычки игнорируются»””
>>> mystring = «Hello»
>>> mystring += ” world.”
>>> print mystring
Hello world.
# Следующая строка меняет
значения переменных местами. (Всего одна строка!)
>>> myvar, mystring = mystring, myvar
Структуры данных
Python содержит такие структуры данных как списки (lists), кортежи (tuples) и словари (dictionaries). Списки — похожи на одномерные массивы (но вы можете использовать Список включающий списки — многомерный массив), кортежи — неизменяемые списки, словари — тоже списки, но индексы могут быть любого типа, а не только числовыми. “Массивы” в Python могут содержать данные любого типа, то есть в одном массиве может могут находиться числовые, строковые и другие типы данных. Массивы начинаются с индекса 0, а последний элемент можно получить по индексу -1 Вы можете присваивать переменным функции и использовать их соответственно.
>>> sample = [1, [«another», «list»], («a», «tuple»)] #Список состоит из целого числа, другого списка и кортежа
>>> mylist = [«List item 1», 2, 3.14] #Этот список содержит строку, целое и дробное число
>>> mylist[0] = «List item 1 again» #Изменяем первый (нулевой) элемент листа mylist
>>> mylist[-1] = 3.14 #Изменяем последний элемент листа
>>> mydict = {«Key 1»: «Value 1», 2: 3, «pi»: 3.14} #Создаем словарь, с числовыми и целочисленным индексами
>>> mydict[«pi»] = 3.15 #Изменяем элемент словаря под индексом «pi».
>>> mytuple = (1, 2, 3) #Задаем кортеж
>>> myfunction = len #Python позволяет таким образом объявлять синонимы функции
>>> print myfunction(list)
3
Вы можете использовать часть массива, задавая первый и последний индекс через двоеточие «:». В таком случае вы получите часть массива, от первого индекса до второго не включительно. Если не указан первый элемент, то отсчет начинается с начала массива, а если не указан последний — то масив считывается до последнего элемента. Отрицательные значения определяют положение элемента с конца. Например:
>>> mylist = [«List item 1», 2, 3.14]
>>> print mylist[:] #Считываются все элементы массива
[‘List item 1’, 2, 3.1400000000000001]
>>> print mylist[0:2] #Считываются нулевой и первый элемент массива.
[‘List item 1’, 2]
>>> print mylist[-3:-1] #Считываются элементы от нулевого (-3) до второго (-1) (не включительно)
[‘List item 1’, 2]
>>> print mylist[1:] #Считываются элементы от первого, до последнего
[2, 3.14]
Строки
Строки в Python обособляются кавычками двойными «”» или одинарными «’». Внутри двойных ковычек могут присутствовать одинарные или наоборот. К примеру строка «Он сказал ‘привет’!» будет выведена на экран как «Он сказал ‘привет’!». Если нужно использовать строку из несколько строчек, то эту строку надо начинать и заканчивать тремя двойными кавычками «”””». Вы можете подставить в шаблон строки элементы из кортежа или словаря. Знак процента «%» между строкой и кортежем, заменяет в строке символы «%s» на элемент кортежа. Словари позволяют вставлять в строку элемент под заданным индексом. Для этого надо использовать в строке конструкцию «%(индекс)s». В этом случае вместо «%(индекс)s» будет подставлено значение словаря под заданным индексом.
>>>print «Name: %s\nNumber: %s\nString: %s» % (myclass.name, 3, 3 * “-“)
Name: Poromenos
Number: 3
String: —
strString = “”«Этот текст расположен
на нескольких строках»””
>>> print «This %(verb)s a %(noun)s.» % {«noun»: «test», «verb»: «is»}
This is a test.
Операторы
Операторы while, if, for составляют операторы перемещения. Здесь нет аналога оператора select, так что придется обходиться if. В операторе for происходит сравнение переменной и списка. Чтобы получить список цифр до числа <number> — используйте функцию range(<number>). Вот пример использования операторов
rangelist = range(10) #Получаем список из десяти цифр (от 0 до 9)
>>> print rangelist
[0, 1, 2, 3, 4, 5, 6, 7, 8, 9]
for number in rangelist: #Пока переменная number (которая каждый раз увеличивается на единицу) входит в список…
# Проверяем входит ли переменная
# numbers в кортеж чисел (3, 4, 7, 9)
if number in (3, 4, 7, 9): #Если переменная number входит в кортеж (3, 4, 7, 9)…
# Операция «break» обеспечивает
# выход из цикла в любой момент
break
else:
# «continue» осуществляет «прокрутку»
# цикла. Здесь это не требуется, так как после этой операции
# в любом случае программа переходит опять к обработке цикла
continue
else:
# «else» указывать необязательно. Условие выполняется
# если цикл не был прерван при помощи «break».
pass # Ничего не делать
if rangelist[1] == 2:
print «The second item (lists are 0-based) is 2»
elif rangelist[1] == 3:
print «The second item (lists are 0-based) is 3»
else:
print «Dunno»
while rangelist[1] == 1:
pass
Функции
Для объявления функции служит ключевое слово «def». Аргументы функции задаются в скобках после названия функции. Можно задавать необязательные аргументы, присваивая им значение по умолчанию. Функции могут возвращать кортежи, в таком случае надо писать возвращаемые значения через запятую. Ключевое слово «lambda» служит для объявления элементарных функций .
# arg2 и arg3 — необязательые аргументы, принимают значение объявленное по умолчни,
# если не задать им другое значение при вызове функци.
def myfunction(arg1, arg2 = 100, arg3 = «test»):
return arg3, arg2, arg1
#Функция вызывается со значением первого аргумента — “Argument 1”, второго — по умолчанию, и третьего — “Named argument”.
>>>ret1, ret2, ret3 = myfunction(«Argument 1», arg3 = «Named argument»)
# ret1, ret2 и ret3 принимают значения “Named argument”, 100, “Argument 1” соответственно
>>> print ret1, ret2, ret3
Named argument 100 Argument 1
# Следующая запись эквивалентна def f(x): return x + 1
functionvar = lambda x: x + 1
>>> print functionvar(1)
2
Классы
Язык Python ограничен в множественном наследовании в классах. Внутренние переменные и внутренние методы классов начинаются с двух знаков нижнего подчеркивания «__» (например «__myprivatevar»). Мы можем также присвоить значение переменной класса извне. Пример:
class Myclass:
common = 10
def __init__(self):
self.myvariable = 3
def myfunction(self, arg1, arg2):
return self.myvariable
# Здесь мы объявили класс Myclass. Функция __init__ вызывается автоматически при инициализации классов.
>>> classinstance = Myclass() # Мы инициализировали класс и переменная myvariable приобрела значение 3 как заявлено в методе инициализации
>>> classinstance.myfunction(1, 2) #Метод myfunction класса Myclass возвращает значение переменной myvariable
3
# Переменная common объявлена во всех классах
>>> classinstance2 = Myclass()
>>> classinstance.common
10
>>> classinstance2.common
10
# Поэтому, если мы изменим ее значение в классе Myclass изменятся
# и ее значения в объектах, инициализированных классом Myclass
>>> Myclass.common = 30
>>> classinstance.common
30
>>> classinstance2.common
30
# А здесь мы не изменяем переменную класса. Вместо этого
# мы объявляем оную в объекте и присваиваем ей новое значение
>>> classinstance.common = 10
>>> classinstance.common
10
>>> classinstance2.common
30
>>> Myclass.common = 50
# Теперь изменение переменной класса не коснется
# переменных объектов этого класса
>>> classinstance.common
10
>>> classinstance2.common
50
# Следующий класс является наследником класса Myclass
# наследуя его свойства и методы, ктому же класс может
# наследоваться из нескольких классов, в этом случае запись
# такая: class Otherclass(Myclass1, Myclass2, MyclassN)
class Otherclass(Myclass):
def __init__(self, arg1):
self.myvariable = 3
print arg1
>>> classinstance = Otherclass(«hello»)
hello
>>> classinstance.myfunction(1, 2)
3
# Этот класс не имеет совйтсва test, но мы можем
# объявить такую переменную для объекта. Причем
# tэта переменная будет членом только classinstance.
>>> classinstance.test = 10
>>> classinstance.test
10
Исключения
Исключения в Python имеют структуру try–except [exceptionname]:
def somefunction():
try:
# Деление на ноль вызывает ошибку
10 / 0
except ZeroDivisionError:
# Но программа не “Выполняет недопустимую операцию”
# А обрабатывает блок исключения соответствующий ошибке «ZeroDivisionError»
print «Oops, invalid.»
>>> fnexcept()
Oops, invalid.
Импорт
Внешние библиотеки можно подключить процедурой «import [libname]», где [libname] — название подключаемой библиотеки. Вы так же можете использовать команду «from [libname] import [funcname]», чтобы вы могли использовать функцию [funcname] из библиотеки [libname]
import random #Импортируем библиотеку «random»
from time import clock #И заодно функцию «clock» из библиотеки «time»
randomint = random.randint(1, 100)
>>> print randomint
64
Работа с файловой системой
Python имеет много встроенных библиотек. В этом примере мы попробуем сохранить в бинарном файле структуру списка, прочитать ее и сохраним строку в текстовом файле. Для преобразования структуры данных мы будем использовать стандартную библиотеку «pickle»
import pickle
mylist = [«This», «is», 4, 13327]
# Откроем файл C:\binary.dat для записи. Символ «r»
# предотвращает замену специальных сиволов (таких как \n, \t, \b и др.).
myfile = file(r«C:\binary.dat», «w»)
pickle.dump(mylist, myfile)
myfile.close()
myfile = file(r«C:\text.txt», «w»)
myfile.write(«This is a sample string»)
myfile.close()
myfile = file(r«C:\text.txt»)
>>> print myfile.read()
‘This is a sample string’
myfile.close()
# Открываем файл для чтения
myfile = file(r«C:\binary.dat»)
loadedlist = pickle.load(myfile)
myfile.close()
>>> print loadedlist
[‘This’, ‘is’, 4, 13327]
Особенности
- Условия могут комбинироваться. 1 < a < 3 выполняется тогда, когда а больше 1, но меньше 3.
- Используйте операцию «del» чтобы очищать переменные или элементы массива.
- Python предлагает большие возможности для работы со списками. Вы можете использовать операторы объявлении структуры списка. Оператор for позволяет задавать элементы списка в определенной последовательности, а if — позволяет выбирать элементы по условию.
>>> lst1 = [1, 2, 3]
>>> lst2 = [3, 4, 5]
>>> print [x * y for x in lst1 for y in lst2]
[3, 4, 5, 6, 8, 10, 9, 12, 15]
>>> print [x for x in lst1 if 4 > x > 1]
[2, 3]
# Оператор «any» возвращает true, если хотя
# бы одно из условий, входящих в него, выполняется.
>>> any(i % 3 for i in [3, 3, 4, 4, 3])
True
# Следующая процедура подсчитывает количество
# подходящих элементов в списке
>>> sum(1 for i in [3, 3, 4, 4, 3] if i == 3)
3
>>> del lst1[0]
>>> print lst1
[2, 3]
>>> del lst1
- Глобальные переменные объявляются вне функций и могут быть прочитанны без каких либо объявлений. Но если вам необходимо изменить значение глобальной переменной из функции, то вам необходимо объявить ее в начале функции ключевым словом «global», если вы этого не сделаете, то Python объявит переменную, доступную только для этой функции.
number = 5
def myfunc():
# Выводит 5
print number
def anotherfunc():
# Это вызывает исключение, поскольку глобальная апеременная
# не была вызванна из функции. Python в этом случае создает
# одноименную переменную внутри этой функции и доступную
# только для операторов этой функции.
print number
number = 3
def yetanotherfunc():
global number
# И только из этой функции значение переменной изменяется.
number = 3
Эпилог
Разумеется в этой статье не описываются все возможности Python. Я надеюсь что эта статья поможет вам, если вы захотите и в дальнейшем изучать этот язык программирования.
Преимущества Python
- Скорость выполнения программ написанных на Python очень высока. Это связанно с тем, что основные библиотеки Python
написаны на C++ и выполнение задач занимает меньше времени, чем на других языках высокого уровня. - В связи с этим вы можете писать свои собственные модули для Python на C или C++
- В стандартныx библиотеках Python вы можете найти средства для работы с электронной почтой, протоколами
Интернета, FTP, HTTP, базами данных, и пр. - Скрипты, написанные при помощи Python выполняются на большинстве современных ОС. Такая переносимость обеспечивает Python применение в самых различных областях.
- Python подходит для любых решений в области программирования, будь то офисные программы, вэб-приложения, GUI-приложения и т.д.
- Над разработкой Python трудились тысячи энтузиастов со всего мира. Поддержкой современных технологий в стандартных библиотеках мы можем быть обязаны именно тому, что Python был открыт для всех желающих.
habr.com
Уроки по Python, часть 1, основы / Программирование / Дафтер
Здравствуйте! Как я и обещал, начинаю публиковать уроки по Python. Я начал делать это скорее для себя, чтобы лучше разобраться или просто повторить пройденный материал. Хочу сразу оговориться, что уроки предназначены для новичков в программировании, гуру ничего полезного в первых уроках не найдут.Итак, первая часть будет посвящена переменным, типам данных, вводу и выводу данных. Приступим.
Python — интерпретируемый язык, то есть код выполняется частями и преобразуется в машинный также. Вам не обязательно компилировать (собирать программу из исходного кода) программу, вы можете запустить интерпретатор, где код будет выполняться сразу же после его ввода и нажатия клавиши Enter. Если вам непонятно, то запустите интерпретатор:
- Откройте терминал
- Напишите Python
Смело вводите код и нажимайте Enter. Но все же рекомендую сразу использовать полноценную рабочую среду. Я использую Geany, можете тоже установить из «Центра приложений Ubuntu».
Типы данных
Существуют разные типы данных — числа, строки и т.д. В Python существуют специальные обозначения для разных типов данных:
str('56') '56' #Строки (# в python однострочные комментарии)
int('7.2') '7' #Целое число
float('34') '34.0' #Числа с запятой, дробиКонечно же, если мы попытаемся преобразить слово в целое число, то увидим ошибку. Будьте внимательны!
Переменные
Данные находятся в ячейках памяти компьютера. Раньше, чтобы получить к ним доступ, указывали регистр. Но уже давно используются переменные. Переменная состоит из имени и значения. Имя может начинаться только с буквы. Пример:
retro = 3
name = 'Grigory'Учтите, что если значение переменной слово, то оно должно заключаться в кавычки. Если же значение переменной другая переменная или цифра, то кавычки не нужны. Переменные можно вызывать, например:
b=6
bМы увидим
6Над переменными можно выполнять действия. Пример:
a=4
b=3
c=a + bЕсли затем мы вызовем c, то увидим результат сложения a и b. Кстати, действия в Python почти ни чем не отличаются от действий в реальном мире. Приведу основные:
* #Умножение
+ #Сложение
- #Вычитание
/ #Деление
** #Возведение в степень
Больше действий вы найдете в модуле math.
Вывод данных
Согласитесь, что использовать переменные для вывода данных — неудобно и не экономично. Поэтому в Python существует функция print, которая позволяет выводить произвольные данные на экран. Как она действует:
#Пример 1
a='hello'
print(a) #() только в python 3, в python 2 без скобок
#Пример 2
print('ice-cream') #Не забывайте про кавычки!
#Пример 3
b='lazy'
print('Are you' + b) #Используем + для подстановки не словВвод данных
Вряд ли пользователю будет интересно просто смотреть на экран или нажимать Enter. Программе нужно добавить интерактивности! Для этого (и не только) существует функция ввода данных. Давайте посмотрим на нее внимательней:
#Пример 1
b=input() #Просто ждем ввода, после этого продолжится выполнение программы
#Пример 2
b=input('My name is... ') #Можно добавить текст-подсказку...
print('Your name is' + b) #и отобразить введенные данные
Думаю, сегодня на этом все. Экспериментируйте с кодом и… домашнее задание! Код можно написать здесь. Если что-то непонятно, то спрашивайте.
Д/З
1. Напишите программу, где одна переменная числовая, другая состоит из слов. Поделите числовые переменные, а слова отобразите вместе.2. Спросите у пользователя данные о его возрасте и имени, отобразите их.
В следующем выпуске: if, while и логические операторы… Всем спасибо!
ВТОРОЙ УРОК
dafter.ru
Python – высокоуровневый язык программирования / Хабр
Это tutorial по библиотеке TensorFlow. Рассмотрим её немного глубже, чем в статьях про распознавание рукописных цифр. Это tutorial по методам оптимизации. Совсем без математики здесь не обойтись. Ничего страшного, если вы её совершенно забыли. Вспомним. Не будет никаких формальных доказательств и сложных выводов, только необходимый минимум для интуитивного понимания. Для начала небольшая предыстория о том, чем этот алгоритм может быть полезен при оптимизации нейронной сети.

Полгода назад друг попросил показать, как на Python сделать нейросеть. Его компания выпускает приборы для геофизических измерений. Несколько различных зондов в процессе бурения измеряют набор сигналов, связаных с параметрами окружающей скважину среды. В некоторых сложных случаях точно вычислить параметры среды по сигналам долго даже на мощном компьютере, а необходимо интерпретировать результаты измерений в полевых условиях. Возникла идея посчитать на кластере несколько сот тысяч случаев, и на них натренировать нейронную сеть. Так как нейросеть работает очень быстро, её можно использовать для определения параметров, согласующихся с измеренными сигналами, прямо в процессе бурения. Детали есть в статье:
Kushnir, D., Velker, N., Bondarenko, A., Dyatlov, G., & Dashevsky, Y. (2018, October 29). Real-Time Simulation of Deep Azimuthal Resistivity Tool in 2D Fault Model Using Neural Networks (Russian). Society of Petroleum Engineers. doi:10.2118/192573-RU
Одним вечером я показал, как keras реализовать простую нейронную сеть, и друг на работе запустил обучение на насчитанных данных. Через пару дней обсудили результат. С моей точки зрения он выглядел перспективно, но друг сказал, что нужны вычисления с точностью прибора. И если средняя квадратичная ошибка (mean squared error) получилась в районе 1, то нужна была 1е-3. На 3 порядка меньше. В тысячу раз.
Читать дальше →habr.com
Как создать собственную нейронную сеть с нуля на языке Python
Джеймс Лой, Технологический университет штата Джорджия. Руководство для новичков, после которого вы сможете создать собственную нейронную сеть на Python.
Мотивация: ориентируясь на личный опыт в изучении глубокого обучения, я решил создать нейронную сеть с нуля без сложной учебной библиотеки, такой как, например, TensorFlow. Я считаю, что для начинающего Data Scientist-а важно понимание внутренней структуры нейронной сети.
Эта статья содержит то, что я усвоил, и, надеюсь, она будет полезна и для вас! Другие полезные статьи по теме:
Что такое нейронная сеть?
Большинство статей по нейронным сетям при их описании проводят параллели с мозгом. Мне проще описать нейронные сети как математическую функцию, которая отображает заданный вход в желаемый результат, не вникая в подробности.
Нейронные сети состоят из следующих компонентов:
- входной слой, x
- произвольное количество скрытых слоев
- выходной слой, ŷ
- набор весов и смещений между каждым слоем W и b
- выбор функции активации для каждого скрытого слоя σ; в этой работе мы будем использовать функцию активации Sigmoid
На приведенной ниже диаграмме показана архитектура двухслойной нейронной сети (обратите внимание, что входной уровень обычно исключается при подсчете количества слоев в нейронной сети).

Создание класса Neural Network на Python выглядит просто:
Обучение нейронной сети
Выход ŷ простой двухслойной нейронной сети:
В приведенном выше уравнении, веса W и смещения b являются единственными переменными, которые влияют на выход ŷ.
Естественно, правильные значения для весов и смещений определяют точность предсказаний. Процесс тонкой настройки весов и смещений из входных данных известен как обучение нейронной сети.
Каждая итерация обучающего процесса состоит из следующих шагов
- вычисление прогнозируемого выхода ŷ, называемого прямым распространением
- обновление весов и смещений, называемых обратным распространением
Последовательный график ниже иллюстрирует процесс:
Прямое распространение
Как мы видели на графике выше, прямое распространение — это просто несложное вычисление, а для базовой 2-слойной нейронной сети вывод нейронной сети дается формулой:
Давайте добавим функцию прямого распространения в наш код на Python-е, чтобы сделать это. Заметим, что для простоты, мы предположили, что смещения равны 0.
Однако нужен способ оценить «добротность» наших прогнозов, то есть насколько далеки наши прогнозы). Функция потери как раз позволяет нам сделать это.
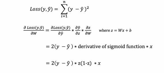
Функция потери
Есть много доступных функций потерь, и характер нашей проблемы должен диктовать нам выбор функции потери. В этой работе мы будем использовать сумму квадратов ошибок в качестве функции потери.
Сумма квадратов ошибок — это среднее значение разницы между каждым прогнозируемым и фактическим значением.
Цель обучения — найти набор весов и смещений, который минимизирует функцию потери.
Обратное распространение
Теперь, когда мы измерили ошибку нашего прогноза (потери), нам нужно найти способ распространения ошибки обратно и обновить наши веса и смещения.
Чтобы узнать подходящую сумму для корректировки весов и смещений, нам нужно знать производную функции потери по отношению к весам и смещениям.
Напомним из анализа, что производная функции — это тангенс угла наклона функции.

Если у нас есть производная, то мы можем просто обновить веса и смещения, увеличив/уменьшив их (см. диаграмму выше). Это называется градиентным спуском.
Однако мы не можем непосредственно вычислить производную функции потерь по отношению к весам и смещениям, так как уравнение функции потерь не содержит весов и смещений. Поэтому нам нужно правило цепи для помощи в вычислении.

Фух! Это было громоздко, но позволило получить то, что нам нужно — производную (наклон) функции потерь по отношению к весам. Теперь мы можем соответствующим образом регулировать веса.
Добавим функцию backpropagation (обратного распространения) в наш код на Python-е:
Проверка работы нейросети
Теперь, когда у нас есть наш полный код на Python-е для выполнения прямого и обратного распространения, давайте рассмотрим нашу нейронную сеть на примере и посмотрим, как это работает.
Идеальный набор весовНаша нейронная сеть должна изучить идеальный набор весов для представления этой функции.
Давайте тренируем нейронную сеть на 1500 итераций и посмотрим, что произойдет. Рассматривая график потерь на итерации ниже, мы можем ясно видеть, что потеря монотонно уменьшается до минимума. Это согласуется с алгоритмом спуска градиента, о котором мы говорили ранее.

Посмотрим на окончательное предсказание (вывод) из нейронной сети после 1500 итераций.
Мы сделали это! Наш алгоритм прямого и обратного распространения показал успешную работу нейронной сети, а предсказания сходятся на истинных значениях.
Заметим, что есть небольшая разница между предсказаниями и фактическими значениями. Это желательно, поскольку предотвращает переобучение и позволяет нейронной сети лучше обобщать невидимые данные.
Финальные размышления
Я многому научился в процессе написания с нуля своей собственной нейронной сети. Хотя библиотеки глубинного обучения, такие как TensorFlow и Keras, допускают создание глубоких сетей без полного понимания внутренней работы нейронной сети, я нахожу, что начинающим Data Scientist-ам полезно получить более глубокое их понимание.
Я инвестировал много своего личного времени в данную работу, и я надеюсь, что она будет полезной для вас!
neurohive.io
