ΠΠ΅ΡΠΈΠΎΠ΄ – ΡΡΠΎ… Π§ΡΠΎ ΡΠ°ΠΊΠΎΠ΅ ΠΠ΅ΡΠΈΠΎΠ΄?
ΠΡΠΎΠΌΠ΅ΠΆΡΡΠΎΠΊ Π²ΡΠ΅ΠΌΠ΅Π½ΠΈ, ΠΏΠ΅ΡΠΈΠΎΠ΄ ΠΊΠ°ΠΊ ΡΡΠ°ΠΏ ΠΎΠ±ΡΠ΅ΡΡΠ²Π΅Π½Π½ΠΎΠ³ΠΎ ΡΠ°Π·Π²ΠΈΡΠΈΡ, ΠΏΠ΅ΡΠΈΠΎΠ΄ Π² Π½Π°ΡΠΊΠ°Ρ
ΠΠ΅ΡΠΈΠΎΠ΄ Π³ΠΎΠ΄Π°, ΠΏΠ΅ΡΠΈΠΎΠ΄ ΡΠ°Π±ΠΎΡΡ, ΠΏΠ΅ΡΠΈΠΎΠ΄ ΡΠ΅Π³ΠΈΡΡΡΠ°ΡΠΈΠΈ, Π½Π°Π»ΠΎΠ³ΠΎΠ²ΡΠΉ ΠΏΠ΅ΡΠΈΠΎΠ΄, ΠΎΡΡΠ΅ΡΠ½ΡΠΉ ΠΏΠ΅ΡΠΈΠΎΠ΄, Π³Π°ΡΠ°Π½ΡΠΈΠΉΠ½ΡΠΉ ΠΏΠ΅ΡΠΈΠΎΠ΄, Π»Π΅Π΄Π½ΠΈΠΊΠΎΠ²ΡΠΉ ΠΏΠ΅ΡΠΈΠΎΠ΄
Π‘ΠΎΠ΄Π΅ΡΠΆΠ°Π½ΠΈΠ΅
Π Π°Π·Π΄Π΅Π» 1. ΠΠ΅ΡΠΈΠΎΠ΄ Π² Π΄ΡΡΠ³ΠΈΡ Π½Π°ΡΠΊΠ°Ρ .
ΠΠ΅ΡΠΈΠΎΠ΄ (ΠΎΡ Π³ΡΠ΅Ρ. periodos – ΠΎΠ±Ρ ΠΎΠ΄ – ΠΊΡΡΠ³ΠΎΠ²ΡΠ°ΡΠ΅Π½ΠΈΠ΅, ΠΎΠΏΡΠ΅Π΄Π΅Π»Π΅Π½Π½ΡΠΉ ΠΊΡΡΠ³ Π²ΡΠ΅ΠΌΠ΅Π½ΠΈ) β ΡΡΠΎ ΠΏΡΠΎΠΌΠ΅ΠΆΡΡΠΎΠΊ Π²ΡΠ΅ΠΌΠ΅Π½ΠΈ, ΠΎΡ Π²Π°ΡΡΠ²Π°ΡΡΠΈΠΉ ΠΊΠ°ΠΊΠΎΠΉ-Π»ΠΈΠ±ΠΎ Π·Π°ΠΊΠΎΠ½ΡΠ΅Π½Π½ΡΠΉ ΠΏΡΠΎΡΠ΅ΡΡ.
ΠΠ΅ΡΠΈΠΎΠ΄ β ΡΡΠΎ ΡΡΠ°ΠΏ ΠΎΠ±ΡΠ΅ΡΡΠ²Π΅Π½Π½ΠΎΠ³ΠΎ ΡΠ°Π·Π²ΠΈΡΠΈΡ, ΠΎΠ±ΡΠ΅ΡΡΠ²Π΅Π½Π½ΠΎΠ³ΠΎ Π΄Π²ΠΈΠΆΠ΅Π½ΠΈΡ.
ΠΠ΅ΡΠΈΠΎΠ΄ β ΡΡΠΎ ΡΡΠΎΠΊ ΠΏΡΠΎΡΠ΅ΠΊΠ°Π½ΠΈΡ ΡΠΊΠΎΠ½ΠΎΠΌΠΈΡΠ΅ΡΠΊΠΎΠ³ΠΎ ΠΏΡΠΎΡΠ΅ΡΡΠ°, Π΄Π΅ΠΉΡΡΠ²ΠΈΡ, ΠΏΠ»Π°Π½Π°, Π΄ΠΎΠ³ΠΎΠ²ΠΎΡΠ°, Π³Π°ΡΠ°Π½ΡΠΈΠΈ, ΡΠΏΠ»Π°ΡΡ Π΄ΠΎΠ»Π³ΠΎΠ², Π²Π½Π΅ΡΠ΅Π½ΠΈΡ Π½Π°Π»ΠΎΠ³ΠΎΠ², Π²ΡΠΏΠΎΠ»Π½Π΅Π½ΠΈΡ ΡΠ°Π±ΠΎΡ (Π³Π°ΡΠ°Π½ΡΠΈΠΉΠ½ΡΠΉ ΠΏΠ΅ΡΠΈΠΎΠ΄, ΠΏΠ»Π°Π½ΠΎΠ²ΡΠΉ ΠΏΠ΅ΡΠΈΠΎΠ΄, ΠΏΠ΅ΡΠΈΠΎΠ΄ ΠΎΠ±Π»ΠΎΠΆΠ΅Π½ΠΈΡ, ΠΏΠ΅ΡΠΈΠΎΠ΄ ΠΎΠΊΡΠΏΠ°Π΅ΠΌΠΎΡΡΠΈ).
ΠΡΠ³ΠΎΡΠ½ΡΠΉ ΠΏΠ΅ΡΠΈΠΎΠ΄” src=”/pictures/investments/img825148_1_Lgotnyiy_period.jpg” title=”1. ΠΡΠ³ΠΎΡΠ½ΡΠΉ ΠΏΠ΅ΡΠΈΠΎΠ΄” />


ΠΠ΅ΡΠΈΠΎΠ΄ Π² Π΄ΡΡΠ³ΠΈΡ Π½Π°ΡΠΊΠ°Ρ
1. Π ΡΠΈΠ·ΠΈΠΊΠ΅, Π°ΡΡΡΠΎΠ½ΠΎΠΌΠΈΠΈ:
ΠΏΠ΅ΡΠΈΠΎΠ΄ ΠΊΠΎΠ»Π΅Π±Π°Π½ΠΈΠΉ β Π²ΡΠ΅ΠΌΡ (Π² ΡΠ΅ΠΊΡΠ½Π΄Π°Ρ ) ΠΌΠ΅ΠΆΠ΄Ρ Π΄Π²ΡΠΌΡ ΠΏΠΎΡΠ»Π΅Π΄ΠΎΠ²Π°ΡΠ΅Π»ΡΠ½ΡΠΌΠΈ ΠΏΡΠΎΡ ΠΎΠΆΠ΄Π΅Π½ΠΈΡΠΌΠΈ ΡΠ΅Π»Π° ΡΠ΅ΡΠ΅Π· ΠΎΠ΄Π½ΠΎ ΠΈ ΡΠΎ ΠΆΠ΅ ΠΏΠΎΠ»ΠΎΠΆΠ΅Π½ΠΈΠ΅ Π² ΠΎΠ΄Π½ΠΎΠΌ ΠΈ ΡΠΎΠΌ ΠΆΠ΅ Π½Π°ΠΏΡΠ°Π²Π»Π΅Π½ΠΈΠΈ, Π²Π΅Π»ΠΈΡΠΈΠ½Π°, ΠΎΠ±ΡΠ°ΡΠ½Π°Ρ ΡΠ°ΡΡΠΎΡΠ΅.
ΠΠ΅ΡΠΈΠΎΠ΄ ΠΏΠΎΠ»ΡΡΠ°ΡΠΏΠ°Π΄Π° β Π²ΡΠ΅ΠΌΡ, Π·Π° ΠΊΠΎΡΠΎΡΠΎΠ΅ ΡΠΈΡΠ»ΠΎ ΡΠ΄Π΅Ρ Π΄Π°Π½Π½ΠΎΠ³ΠΎ ΠΈΠ·ΠΎΡΠΎΠΏΠ° ΡΠΌΠ΅Π½ΡΡΠ°Π΅ΡΡΡ Π² Π΄Π²Π° ΡΠ°Π·Π°.
2. Π Ρ ΠΈΠΌΠΈΠΈ:
ΠΏΠ΅ΡΠΈΠΎΠ΄ ΠΏΠ΅ΡΠΈΠΎΠ΄ΠΈΡΠ΅ΡΠΊΠΎΠΉ ΡΠΈΡΡΠ΅ΠΌΡ β ΡΡΡΠΎΠΊΠ° ΠΏΠ΅ΡΠΈΠΎΠ΄ΠΈΡΠ΅ΡΠΊΠΎΠΉ ΡΠ°Π±Π»ΠΈΡΡ, ΠΎΠ±ΡΠ΅Π΄ΠΈΠ½ΡΡΡΠ°Ρ ΡΠ»Π΅ΠΌΠ΅Π½ΡΡ Ρ ΠΎΠ΄ΠΈΠ½Π°ΠΊΠΎΠ²ΡΠΌ ΡΠΈΡΠ»ΠΎΠΌ ΡΠ»Π΅ΠΊΡΡΠΎΠ½Π½ΡΡ ΠΎΠ±ΠΎΠ»ΠΎΡΠ΅ΠΊ.
3. Π Ρ ΡΠΎΠ½ΠΎΠ»ΠΎΠ³ΠΈΠΈ (ΠΈΡΡΠΎΡΠΈΠΈ, Π°ΡΡ Π΅ΠΎΠ»ΠΎΠ³ΠΈΠΈ, ΠΏΠ°Π»Π΅ΠΎΠ½ΡΠΎΠ»ΠΎΠ³ΠΈΠΈ) β Π΅Π΄ΠΈΠ½ΠΈΡΠ° Ρ ΡΠΎΠ½ΠΎΠ»ΠΎΠ³ΠΈΡΠ΅ΡΠΊΠΎΠΉ ΠΊΠ»Π°ΡΡΠΈΡΠΈΠΊΠ°ΡΠΈΠΈ: Π²ΡΠ΄Π΅Π»Π΅Π½Π½ΡΠΉ Π² ΠΏΡΠΎΡΠ»ΠΎΠΌ ΠΏΡΠΎΠΌΠ΅ΠΆΡΡΠΎΠΊ Π²ΡΠ΅ΠΌΠ΅Π½ΠΈ ΡΠ²ΡΠ·Π°Π½Π½ΡΠΉ Ρ Π½Π΅ΠΊΠΈΠΌΠΈ ΡΠΎΠ±ΡΡΠΈΡΠΌΠΈ ΠΈΠ»ΠΈ ΠΎΠ±Π»Π°Π΄Π°ΡΡΠΈΠΉ Π½Π΅ΠΊΠΈΠΌΠΈ Ρ Π°ΡΠ°ΠΊΡΠ΅ΡΠ½ΡΠΌΠΈ ΠΎΡΠΎΠ±Π΅Π½Π½ΠΎΡΡΡΠΌΠΈ.
4. ΠΠ΅ΠΎΠ»ΠΎΠ³ΠΈΡΠ΅ΡΠΊΠΈΠΉ ΠΏΠ΅ΡΠΈΠΎΠ΄;
5. ΠΡΠ·ΡΠΊΠ°Π»ΡΠ½ΡΠΉ ΠΏΠ΅ΡΠΈΠΎΠ΄.

6. Π Ρ ΠΎΠΊΠΊΠ΅Π΅ Ρ ΡΠ°ΠΉΠ±ΠΎΠΉ β ΠΎΠ΄Π½Π° ΠΈΠ· ΡΡΡΡ ΡΠ°ΡΡΠ΅ΠΉ ΠΌΠ°ΡΡΠ°.

ΠΡΡΠΎΡΠ½ΠΈΠΊΠΈ
ru.wikipedia.org – ΠΠΈΠΊΠΈΠΏΠ΅Π΄ΠΈΡ β ΡΠ²ΠΎΠ±ΠΎΠ΄Π½Π°Ρ ΡΠ½ΡΠΈΠΊΠ»ΠΎΠΏΠ΅Π΄ΠΈΡ
dic.academic.ru – Π‘Π»ΠΎΠ²Π°ΡΠΈ ΠΈ ΡΠ½ΡΠΈΠΊΠ»ΠΎΠΏΠ΅Π΄ΠΈΠΈ Π½Π° ΠΠΊΠ°Π΄Π΅ΠΌΠΈΠΊΠ΅
vedomosti.ru – ΠΠ΅Π΄ΠΎΠΌΠΎΡΡΠΈ
ΠΠΠ ΠΠΠ – ΡΡΠΎ… Π§ΡΠΎ ΡΠ°ΠΊΠΎΠ΅ ΠΠΠ ΠΠΠ?
ΠΠ΅ΡΠΈΠΎΠ΄ β (Π³ΡΠ΅Ρ. periodos Β«ΠΎΠ±Ρ ΠΎΠ΄Β», Β«ΠΎΠΊΡΡΠΆΠ½ΠΎΡΡΡΒ») ΡΠ΅ΡΠΌΠΈΠ½, Π²Π²Π΅Π΄Π΅Π½Π½ΡΠΉ ΠΡΠΈΡΡΠΎΡΠ΅Π»Π΅ΠΌ Π΄Π»Ρ ΠΎΠ±ΠΎΠ·Π½Π°ΡΠ΅Π½ΠΈΡ Β«ΡΠ΅ΡΠΈ, ΠΈΠΌΠ΅ΡΡΠ΅ΠΉ Π² ΡΠ΅Π±Π΅ ΡΠ°ΠΌΠΎΠΉ Π½Π°ΡΠ°Π»ΠΎ ΠΈ ΠΊΠΎΠ½Π΅Ρ ΠΈ Π»Π΅Π³ΠΊΠΎ ΠΎΠ±Π½ΠΈΠΌΠ°Π΅ΠΌΠΎΠΉ ΡΠΌΠΎΠΌΒ». ΠΠΎΠ΄ Π. ΡΠ»Π΅Π΄ΡΠ΅Ρ ΠΏΠΎΠ½ΠΈΠΌΠ°ΡΡ ΡΠ°ΠΊ. ΠΎΠ±Ρ. Π±ΠΎΠ»ΡΡΡΡ ΡΠΈΠ½ΡΠ°ΠΊΡΠΈΡΠ΅ΡΠΊΡΡ Π΅Π΄ΠΈΠ½ΠΈΡΡ, ΡΠ»ΠΎΠΆΠ½ΠΎΠ΅ ΠΏΡΠ΅Π΄Π»ΠΎΠΆΠ΅Π½ΠΈΠ΅ ΠΈΠ»ΠΈβ¦ β¦ Β ΠΠΈΡΠ΅ΡΠ°ΡΡΡΠ½Π°Ρ ΡΠ½ΡΠΈΠΊΠ»ΠΎΠΏΠ΅Π΄ΠΈΡ
ΠΠΠ ΠΠΠ β ΠΏΠ΅ΡΠΈΠΎΠ΄Π°, ΠΌ. [Π³ΡΠ΅Ρ. periodos] (ΠΊΠ½ΠΈΠΆΠ½.). 1. ΠΡΠΎΠΌΠ΅ΠΆΡΡΠΎΠΊ Π²ΡΠ΅ΠΌΠ΅Π½ΠΈ, Π² ΡΠ΅ΡΠ΅Π½ΠΈΠ΅ ΠΊβΡΠΎΠ³ΠΎ Π·Π°ΠΊΠ°Π½ΡΠΈΠ²Π°Π΅ΡΡΡ ΠΊΠ°ΠΊΠΎΠΉβΠ½. ΠΏΠΎΠ²ΡΠΎΡΡΡΡΠΈΠΉΡΡ ΠΏΡΠΎΡΠ΅ΡΡ (Π½Π°ΡΡ.). Π‘ΠΈΠ½ΠΎΠ΄ΠΈΡΠ΅ΡΠΊΠΈΠΉ ΠΏΠ΅ΡΠΈΠΎΠ΄ ΠΎΠ±ΡΠ°ΡΠ΅Π½ΠΈΡ ΠΏΠ»Π°Π½Π΅ΡΡ (Π²ΡΠ΅ΠΌΡ, Π² ΡΠ΅ΡΠ΅Π½ΠΈΠ΅ ΠΊβΡΠΎΠ³ΠΎ ΠΏΠ»Π°Π½Π΅ΡΠ° ΡΠΎΠ²Π΅ΡΡΠ°Π΅Ρ ΠΎΠ΄ΠΈΠ½ ΠΏΠΎΠ»Π½ΡΠΉ ΠΎΠ±ΠΎΡΠΎΡ Π²ΠΎΠΊΡΡΠ³β¦ β¦ Β Π’ΠΎΠ»ΠΊΠΎΠ²ΡΠΉ ΡΠ»ΠΎΠ²Π°ΡΡ Π£ΡΠ°ΠΊΠΎΠ²Π°
ΠΠ΅ΡΠΈΠΎΠ΄ β Β Β Β Β ΠΠΠ ΠΠΠ (Ξ Ξ΅ΟΞΉΞΏΞ΄ΞΏΟ ΠΎΠ±Ρ ΠΎΠ΄, ΠΎΠΊΡΡΠΆΠ½ΠΎΡΡΡ). ΠΡΠΈΠΌ ΡΠ»ΠΎΠ²ΠΎΠΌ Π² Π΄ΡΠ΅Π²Π½Π΅ΠΉ ΠΡΠ΅ΡΠΈΠΈ Π½Π°Π·ΡΠ²Π°Π»Π°ΡΡ ΡΠ° Π·Π°ΠΌΠΊΠ½ΡΡΠ°Ρ, ΠΊΠΎΠ»ΡΡΠ΅Π²Π°Ρ Π΄ΠΎΡΠΎΠ³Π°, Π½Π° ΠΊΠΎΡΠΎΡΠΎΠΉ ΠΏΡΠΎΠΈΡΡ ΠΎΠ΄ΠΈΠ»ΠΈ ΠΈΠ³ΡΡ ΠΈ ΡΠΎΡΡΡΠ·Π°Π½ΠΈΡ Π²ΠΎ Π²ΡΠ΅ΠΌΡ ΠΎΠ»ΠΈΠΌΠΏΠΈΠΉΡΠΊΠΈΡ ΠΏΡΠ°Π·Π΄Π½Π΅ΡΡΠ². ΠΡΠΈΠΌ ΡΠ΅ΡΠΌΠΈΠ½ΠΎΠΌ ΠΡΠΈΡΡΠΎΡΠ΅Π»Ρ ΡΡΠ°Π» ΠΎΠ±ΠΎΠ·Π½Π°ΡΠ°ΡΡ ΠΎΡΠΎΠ±ΡΠΉ Π²ΠΈΠ΄β¦ β¦ Β Π‘Π»ΠΎΠ²Π°ΡΡ Π»ΠΈΡΠ΅ΡΠ°ΡΡΡΠ½ΡΡ ΡΠ΅ΡΠΌΠΈΠ½ΠΎΠ²
ΠΠΠ ΠΠΠ β (Π³ΡΠ΅Ρ. periodos ΠΏΡΡΡ ΠΊΡΡΠ³ΠΎΠΌ). 1) ΠΏΡΠΎΠΌΠ΅ΠΆΡΡΠΎΠΊ Π²ΡΠ΅ΠΌΠ΅Π½ΠΈ ΠΌΠ΅ΠΆΠ΄Ρ Π΄Π²ΡΠΌΡ Π²Π°ΠΆΠ½ΡΠΌΠΈ ΠΈΡΡΠΎΡΠΈΡΠ΅ΡΠΊΠΈΠΌΠΈ ΡΠΎΠ±ΡΡΠΈΡΠΌΠΈ. 2) Π² Π°ΡΡΡΠΎΠ½ΠΎΠΌΠΈΠΈ ΡΠΎ ΠΆΠ΅, ΡΡΠΎ ΡΠΈΠΊΠ»; Π² Π°ΡΠΈΡΠΌΠ΅ΡΠΈΠΊΠ΅: ΡΠΈΡΠ»ΠΎ ΡΠΈΡΡ, ΠΏΠΎΠ²ΡΠΎΡΡΡΡΠΈΡ ΡΡ, Π² ΡΠΎΠΌ ΠΆΠ΅ ΠΏΠΎΡΡΠ΄ΠΊΠ΅, Π±Π΅ΡΡΠΈΡΠ»Π΅Π½Π½ΠΎΠ΅ ΠΌΠ½ΠΎΠΆΠ΅ΡΡΠ²ΠΎ ΡΠ°Π·. 3) ΠΎΡΠΎΠ±Π΅Π½Π½ΠΎ ΡΠ°Π·Π²ΠΈΡΠΎΠ΅ ΡΠ»ΠΎΠΆΠ½ΠΎΠ΅β¦ β¦ Β Π‘Π»ΠΎΠ²Π°ΡΡ ΠΈΠ½ΠΎΡΡΡΠ°Π½Π½ΡΡ ΡΠ»ΠΎΠ² ΡΡΡΡΠΊΠΎΠ³ΠΎ ΡΠ·ΡΠΊΠ°
ΠΏΠ΅ΡΠΈΠΎΠ΄ β Π°, ΠΌ. pΓ©riode f. <Π»Π°Ρ. periodus<Π³Ρ. periodos ΠΎΠ±Ρ ΠΎΠ΄, ΠΊΡΡΠ³ΠΎΠ²ΡΠ°ΡΠ΅Π½ΠΈΠ΅, ΠΎΡΠ±ΠΈΡΠ° Π½Π΅Π±Π΅ΡΠ½ΠΎΠ³ΠΎ ΡΠ΅Π»Π°. 1. ΠΡΠΎΠΌΠ΅ΠΆΡΡΠΎΠΊ Π²ΡΠ΅ΠΌΠ΅Π½ΠΈ, Π² ΠΊΠΎΡΠΎΡΡΠΉ ΠΏΡΠΎΡΠ΅ΠΊΠ°Π΅Ρ ΡΠ° ΠΈΠ»ΠΈ ΠΈΠ½Π°Ρ ΡΠ°ΡΡΡ ΠΎΠ±ΡΠ΅Π³ΠΎ ΠΏΡΠΎΡΠ΅ΡΡΠ°. ΠΠΠ‘ 1. ΠΡΠ²Π°ΡΡ Π² ΠΆΠΈΠ·Π½ΠΈ Π΅Π³ΠΎ ΠΏΠ΅ΡΠΈΠΎΠ΄Ρ Π²ΠΎ Π²ΡΠ΅ΠΌΡ ΠΊΠΎΡΠΎΡΡΡ Π²ΡΡΡΡΠΏΠ°Π΅Ρ ΠΎΠ½ ΠΈΠ·β¦ β¦ Β ΠΡΡΠΎΡΠΈΡΠ΅ΡΠΊΠΈΠΉ ΡΠ»ΠΎΠ²Π°ΡΡ Π³Π°Π»Π»ΠΈΡΠΈΠ·ΠΌΠΎΠ² ΡΡΡΡΠΊΠΎΠ³ΠΎ ΡΠ·ΡΠΊΠ°
ΠΠΠ ΠΠΠ β ΠΌΡΠΆ. ΡΡΠΎΠΊ ΠΈΠ»ΠΈ ΠΏΡΠΎΠΌΠ΅ΠΆΡΡΠΎΠΊ Π²ΡΠ΅ΠΌΠ΅Π½ΠΈ, ΠΏΡΠΎΠ΄ΠΎΠ»ΠΆΠΈΡΠ΅Π»ΡΠ½ΠΎΡΡΡ; Π²ΡΠ΅ΠΌΡ ΠΎΡ ΠΎΠ΄Π½ΠΎΠ³ΠΎ ΡΠΎΠ±ΡΡΠΈΡ Π΄ΠΎ Π΄ΡΡΠ³ΠΎΠ³ΠΎ. ΠΡΡΠΎΡΠΈΡ Π΄Π΅Π»ΠΈΡΡΡ Π½Π° ΠΏΠ΅ΡΠΈΠΎΠ΄Ρ, ΡΡΠΎΠΊΠΈ. ΠΠ΅ΡΠΈΠΎΠ΄ ΠΏΠ΅ΡΠ²ΠΎΠ·Π΄Π°Π½Π½ΡΠΉ ΠΏΠ΅ΡΠΈΠΎΠ΄ ΠΎΡΠ°Π΄ΠΎΡΠ½ΡΠΉ, ΡΡΠΎΠΊΠΈ ΠΎΠ±ΡΠ°Π·ΠΎΠ²Π°Π½ΡΡ Π·Π΅ΠΌΠ½ΠΎΠΉ ΡΠΎΠ»ΡΠΈ. | ΠΠ»ΠΈΡΠ΅Π»ΡΠ½ΠΎΡΡΡ ΡΠ°ΠΌΠΎΠ³ΠΎ ΡΠΎΠ±ΡΡΠΈΡ, Π΄Π΅ΠΉΡΡΠ²ΠΈΡ, ΡΠΎΡΡΠΎΡΠ½ΡΡ;β¦ β¦ Β Π’ΠΎΠ»ΠΊΠΎΠ²ΡΠΉ ΡΠ»ΠΎΠ²Π°ΡΡ ΠΠ°Π»Ρ
ΠΠΠ ΠΠΠ β (1) ΠΏΡΠΎΠΌΠ΅ΠΆΡΡΠΎΠΊ Π²ΡΠ΅ΠΌΠ΅Π½ΠΈ, Π² ΡΠ΅ΡΠ΅Π½ΠΈΠ΅ ΠΊΠΎΡΠΎΡΠΎΠ³ΠΎ Π½Π°ΡΠΈΠ½Π°Π΅ΡΡΡ, ΡΠ°Π·Π²ΠΈΠ²Π°Π΅ΡΡΡ ΠΈ Π·Π°ΠΊΠ°Π½ΡΠΈΠ²Π°Π΅ΡΡΡ ΠΊΠ°ΠΊΠΎΠΉ Π»ΠΈΠ±ΠΎ ΠΏΡΠΎΡΠ΅ΡΡ; Π½Π°ΠΈΠΌΠ΅Π½ΡΡΠΈΠΉ ΠΈΠ½ΡΠ΅ΡΠ²Π°Π» Π²ΡΠ΅ΠΌΠ΅Π½ΠΈ, ΠΏΠΎ ΠΈΡΡΠ΅ΡΠ΅Π½ΠΈΠΈ ΠΊΠΎΡΠΎΡΠΎΠ³ΠΎ ΠΏΡΠΎΠΈΠ·Π²ΠΎΠ»ΡΠ½ΠΎ Π²ΡΠ±ΡΠ°Π½Π½ΡΠ΅ ΠΌΠ³Π½ΠΎΠ²Π΅Π½Π½ΡΠ΅ Π·Π½Π°ΡΠ΅Π½ΠΈΡ ΠΏΠ΅ΡΠΈΠΎΠ΄ΠΈΡΠ΅ΡΠΊΠΎΠΉ Π²Π΅Π»ΠΈΡΠΈΠ½Ρ ΠΏΠΎΠ²ΡΠΎΡΡΡΡΡΡ; (2) Π. Π²β¦ β¦ Β ΠΠΎΠ»ΡΡΠ°Ρ ΠΏΠΎΠ»ΠΈΡΠ΅Ρ Π½ΠΈΡΠ΅ΡΠΊΠ°Ρ ΡΠ½ΡΠΈΠΊΠ»ΠΎΠΏΠ΅Π΄ΠΈΡ
ΠΠ΅ΡΠΈΠΎΠ΄ Π‘ β Π‘ΡΡΠ΄ΠΈΠΉΠ½ΡΠΉ Π° β¦ Β ΠΠΈΠΊΠΈΠΏΠ΅Π΄ΠΈΡ
ΠΠΠ ΠΠΠ β ΡΡΠΎΠΊ ΠΏΡΠΎΡΠ΅ΠΊΠ°Π½ΠΈΡ ΡΠΊΠΎΠ½ΠΎΠΌΠΈΡΠ΅ΡΠΊΠΎΠ³ΠΎ ΠΏΡΠΎΡΠ΅ΡΡΠ°, Π΄Π΅ΠΉΡΡΠ²ΠΈΡ, ΠΏΠ»Π°Π½Π°, Π΄ΠΎΠ³ΠΎΠ²ΠΎΡΠ°, Π³Π°ΡΠ°Π½ΡΠΈΠΈ, ΡΠΏΠ»Π°ΡΡ Π΄ΠΎΠ»Π³ΠΎΠ², Π²Π½Π΅ΡΠ΅Π½ΠΈΡ Π½Π°Π»ΠΎΠ³ΠΎΠ², Π²ΡΠΏΠΎΠ»Π½Π΅Π½ΠΈΡ ΡΠ°Π±ΠΎΡ (Π³Π°ΡΠ°Π½ΡΠΈΠΉΠ½ΡΠΉ ΠΏΠ΅ΡΠΈΠΎΠ΄, ΠΏΠ»Π°Π½ΠΎΠ²ΡΠΉ ΠΏΠ΅ΡΠΈΠΎΠ΄, ΠΏΠ΅ΡΠΈΠΎΠ΄ ΠΎΠ±Π»ΠΎΠΆΠ΅Π½ΠΈΡ, ΠΏΠ΅ΡΠΈΠΎΠ΄ ΠΎΠΊΡΠΏΠ°Π΅ΠΌΠΎΡΡΠΈ). Π Π°ΠΉΠ·Π±Π΅ΡΠ³ Π.Π., ΠΠΎΠ·ΠΎΠ²ΡΠΊΠΈΠΉ Π.Π¨.,β¦ β¦ Β ΠΠΊΠΎΠ½ΠΎΠΌΠΈΡΠ΅ΡΠΊΠΈΠΉ ΡΠ»ΠΎΠ²Π°ΡΡ
ΠΏΠ΅ΡΠΈΠΎΠ΄ β Π‘ΠΌ β¦ Β Π‘Π»ΠΎΠ²Π°ΡΡ ΡΠΈΠ½ΠΎΠ½ΠΈΠΌΠΎΠ²
ΠΠΠ ΠΠΠ β ΠΊΠΎΠ»Π΅Π±Π°Π½ΠΈΠΉ, Π½Π°ΠΈΠΌΠ΅Π½ΡΡΠΈΠΉ ΠΏΡΠΎΠΌΠ΅ΠΆΡΡΠΎΠΊ Π²ΡΠ΅ΠΌΠ΅Π½ΠΈ, ΡΠ΅ΡΠ΅Π· ΠΊΠΎΡΠΎΡΡΠΉ ΡΠΎΠ²Π΅ΡΡΠ°ΡΡΠ°Ρ ΠΊΠΎΠ»Π΅Π±Π°Π½ΠΈΡ ΡΠΈΡΡΠ΅ΠΌΠ° Π²ΠΎΠ·Π²ΡΠ°ΡΠ°Π΅ΡΡΡ Π² ΡΠΎ ΠΆΠ΅ ΡΠΎΡΡΠΎΡΠ½ΠΈΠ΅, Π² ΠΊΠΎΡΠΎΡΠΎΠΌ ΠΎΠ½Π° Π½Π°Ρ ΠΎΠ΄ΠΈΠ»Π°ΡΡ Π² Π½Π°ΡΠ°Π»ΡΠ½ΡΠΉ ΠΌΠΎΠΌΠ΅Π½Ρ, Π²ΡΠ±ΡΠ°Π½Π½ΡΠΉ ΠΏΡΠΎΠΈΠ·Π²ΠΎΠ»ΡΠ½ΠΎ. ΠΠ΅ΡΠΈΠΎΠ΄ Π²Π΅Π»ΠΈΡΠΈΠ½Π°, ΠΎΠ±ΡΠ°ΡΠ½Π°Ρ ΡΠ°ΡΡΠΎΡΠ΅ ΠΊΠΎΠ»Π΅Π±Π°Π½ΠΈΠΉ. ΠΠΎΠ½ΡΡΠΈΠ΅ ΠΏΠ΅ΡΠΈΠΎΠ΄β¦ β¦ Β Π‘ΠΎΠ²ΡΠ΅ΠΌΠ΅Π½Π½Π°Ρ ΡΠ½ΡΠΈΠΊΠ»ΠΎΠΏΠ΅Π΄ΠΈΡ
dic.academic.ru
Π§ΡΠΎ ΡΠ°ΠΊΠΎΠ΅ ΠΏΠ΅ΡΠΈΠΎΠ΄?
Π ΡΡΠ°ΡΡΠ΅ Ρ ΠΏΠΎΠ·Π½Π°ΠΊΠΎΠΌΠ»Ρ Π²Π°Ρ ΡΠΎ Π·Π½Π°ΡΠ΅Π½ΠΈΠ΅ΠΌ ΡΠ°Π·Π»ΠΈΡΠ½ΡΡ ΡΠ»ΠΎΠ²ΠΎΡΠΎΡΠ΅ΡΠ°Π½ΠΈΠΉ, Π² ΠΊΠΎΡΠΎΡΡΠ΅ Π²Ρ ΠΎΠ΄ΠΈΡ ΡΠ»ΠΎΠ²ΠΎ Β«ΠΏΠ΅ΡΠΈΠΎΠ΄Β». ΠΡ ΡΠ·Π½Π°Π΅ΡΠ΅ ΠΎ ΡΠΎΠΌ, ΡΡΠΎ ΡΠ°ΠΊΠΎΠ΅ ΠΏΠ΅ΡΠΈΠΎΠ΄, Π° ΡΠ°ΠΊΠΆΠ΅ ΠΏΠ΅ΡΠΈΠΎΠ΄ ΠΊΠ°ΠΊΠΎΠ³ΠΎ-Π»ΠΈΠ±ΠΎ ΠΎΠ±ΡΠ°ΡΠ΅Π½ΠΈΡ ΠΈ ΠΏΠ΅ΡΠΈΠΎΠ΄ ΠΊΠΎΠ»Π΅Π±Π°Π½ΠΈΠΉ, ΡΠΌΠ±ΡΠΈΠΎΠ½Π°Π»ΡΠ½ΡΠΉ ΠΈΠ»ΠΈ ΠΈΠ½ΠΊΡΠ±Π°ΡΠΈΠΎΠ½Π½ΡΠΉ ΠΏΠ΅ΡΠΈΠΎΠ΄, Π° ΡΠ°ΠΊΠΆΠ΅ ΠΎ Π΄ΡΡΠ³ΠΈΡ Π·Π½Π°ΡΠ΅Π½ΠΈΡΡ .
Π§ΡΠΎ ΡΠ°ΠΊΠΎΠ΅ ΠΏΠ΅ΡΠΈΠΎΠ΄ ΠΊΠΎΠ»Π΅Π±Π°Π½ΠΈΠΉ
ΠΠ΅ΡΠΈΠΎΠ΄ΠΎΠΌ ΠΊΠΎΠ»Π΅Π±Π°Π½ΠΈΠΉ Π² ΡΠΈΠ·ΠΈΠΊΠ΅ Π½Π°Π·ΡΠ²Π°Π΅ΡΡΡ ΠΌΠΈΠ½ΠΈΠΌΠ°Π»ΡΠ½ΡΠΉ ΠΏΡΠΎΠΌΠ΅ΠΆΡΡΠΎΠΊ Π²ΡΠ΅ΠΌΠ΅Π½ΠΈ, Π·Π° ΠΊΠΎΡΠΎΡΡΠΉ ΠΎΡΡΠΈΠ»Π»ΡΡΠΎΡΠΎΠΌ ΡΠΎΠ²Π΅ΡΡΠ°Π΅ΡΡΡ ΠΎΠ΄ΠΈΠ½ ΠΏΠΎΠ»Π½ΡΠΉ ΡΠΈΠΊΠ» ΠΊΠΎΠ»Π΅Π±Π°Π½ΠΈΠΉ (ΠΎΠ΄Π½ΠΎ ΠΊΠΎΠ»Π΅Π±Π°Π½ΠΈΠ΅), ΠΊΠΎΠ³Π΄Π° ΠΎΡΡΠΈΠ»Π»ΡΡΠΎΡ ΠΎΡΠΊΠ»ΠΎΠ½ΡΠ΅ΡΡΡ ΠΎΡ ΠΈΡΡ ΠΎΠ΄Π½ΠΎΠ³ΠΎ ΠΏΠΎΠ»ΠΎΠΆΠ΅Π½ΠΈΡ ΠΈ Π·Π°ΡΠ΅ΠΌ Π² Π½Π΅Π³ΠΎ Π²ΠΎΠ·Π²ΡΠ°ΡΠ°Π΅ΡΡΡ. ΠΡΡΠΈΠ»Π»ΡΡΠΎΡΠΎΠΌ Π½Π°Π·ΡΠ²Π°Π΅ΡΡΡ Π²ΡΡΠΊΠΎΠ΅ ΡΡΡΡΠΎΠΉΡΡΠ²ΠΎ, ΠΏΡΠΎΠΈΠ·Π²ΠΎΠ΄ΡΡΠ΅Π΅ ΠΏΠΎΠ²ΡΠΎΡΡΡΡΠΈΠΉΡΡ ΡΠΈΠ³Π½Π°Π». ΠΡΡΠ°ΡΡΠΈ ΡΠΈΠ·ΠΈΡΠ΅ΡΠΊΠΈΠΉ ΠΏΠ΅ΡΠΈΠΎΠ΄ ΠΊΠΎΠ»Π΅Π±Π°Π½ΠΈΠΉ ΡΠΎΠ²ΠΏΠ°Π΄Π°Π΅Ρ Ρ ΠΌΠ°ΡΠ΅ΠΌΠ°ΡΠΈΡΠ΅ΡΠΊΠΈΠΌ ΠΏΠ΅ΡΠΈΠΎΠ΄ΠΎΠΌ ΡΡΠ½ΠΊΡΠΈΠΈ, Π΅ΡΠ»ΠΈ ΠΏΠΎΠ΄ ΡΡΠ½ΠΊΡΠΈΠ΅ΠΉ ΠΏΠΎΠ½ΠΈΠΌΠ°ΡΡ Π·Π°Π²ΠΈΡΠΈΠΌΠΎΡΡΡ ΠΎΡ ΡΠΈΠ·ΠΈΡΠ΅ΡΠΊΠΎΠΉ Π²Π΅Π»ΠΈΡΠΈΠ½Ρ.
Π§ΡΠΎ ΡΠ°ΠΊΠΎΠ΅ Π»ΡΠ³ΠΎΡΠ½ΡΠΉ ΠΏΠ΅ΡΠΈΠΎΠ΄
ΠΠΎΠ½ΡΡΠΈΠ΅ Β«Π»ΡΠ³ΠΎΡΠ½ΡΠΉ ΠΏΠ΅ΡΠΈΠΎΠ΄Β» Π½Π΅ΡΠΊΠΎΠ»ΡΠΊΠΎ ΡΠ°Π·Π»ΠΈΡΠ°Π΅ΡΡΡ Π² ΡΡΡΠ°Ρ ΠΎΠ²ΠΎΠΉ ΠΈ Π² Π±Π°Π½ΠΊΠΎΠ²ΡΠΊΠΎΠΉ ΡΡΠ΅ΡΠ°Ρ . Π Π±Π°Π½ΠΊΠΎΠ²ΡΠΊΠΎΠΉ ΡΡΠ΅ΡΠ΅ Π»ΡΠ³ΠΎΡΠ½ΡΠΌ ΠΏΠ΅ΡΠΈΠΎΠ΄ΠΎΠΌ Π½Π°Π·ΡΠ²Π°Π΅ΡΡΡ Π²ΡΠ΅ΠΌΡ, Π² ΡΠ΅ΡΠ΅Π½ΠΈΠ΅ ΠΊΠΎΡΠΎΡΠΎΠ³ΠΎ Π½Π΅ ΠΏΠΎΠ³Π°ΡΠ°Π΅ΡΡΡ ΠΎΡΠ½ΠΎΠ²Π½Π°Ρ ΡΡΠΌΠΌΠ° Π΄ΠΎΠ»Π³Π° ΠΏΠΎ ΠΊΡΠ΅Π΄ΠΈΡΡ. ΠΠ»Π°ΡΠ΅Π»ΡΡΠΈΠΊ Π² ΡΡΠΎΡ ΠΏΠ΅ΡΠΈΠΎΠ΄ Π»ΠΈΠ±ΠΎ Π½Π΅ ΠΏΠ»Π°ΡΠΈΡ Π²ΠΎΠΎΠ±ΡΠ΅, Π»ΠΈΠ±ΠΎ ΠΎΠΏΠ»Π°ΡΠΈΠ²Π°Π΅Ρ ΡΠΎΠ»ΡΠΊΠΎ ΠΏΡΠΎΡΠ΅Π½ΡΡ ΠΏΠΎ ΠΊΡΠ΅Π΄ΠΈΡΡ. Π’Π°ΠΊΠΆΠ΅ Π»ΡΠ³ΠΎΡΠ½ΡΠΉ ΠΏΠ΅ΡΠΈΠΎΠ΄ ΠΎΠ·Π½Π°ΡΠ°Π΅Ρ, ΡΡΠΎ Π² ΡΡΠΎ Π²ΡΠ΅ΠΌΡ Π±Π°Π½ΠΊ Π½Π°ΡΡΠΈΡΡΠ²Π°Π΅Ρ ΠΏΡΠΎΡΠ΅Π½ΡΡ ΠΏΠΎ ΠΏΡΠΎΡΠ΅Π½ΡΠ½ΠΎΠΉ ΡΡΠ°Π²ΠΊΠ΅ (ΡΠ°Π·ΡΠΌΠ΅Π΅ΡΡΡ, Π»ΡΠ³ΠΎΡΠ½ΠΎΠΉ) Π·Π° ΠΈΡΠΏΠΎΠ»ΡΠ·ΠΎΠ²Π°Π½ΠΈΠ΅ ΠΏΡΠ΅Π΄ΠΎΡΡΠ°Π²Π»Π΅Π½Π½ΡΡ ΠΊΡΠ΅Π΄ΠΈΡΠ½ΡΡ ΡΡΠ΅Π΄ΡΡΠ².
Π§ΡΠΎ ΠΊΠ°ΡΠ°Π΅ΡΡΡ ΡΡΡΠ°Ρ ΠΎΠ²ΠΎΠΉ ΡΡΠ΅ΡΡ, ΡΠΎ Π»ΡΠ³ΠΎΡΠ½ΡΠΉ ΠΏΠ΅ΡΠΈΠΎΠ΄ Π·Π΄Π΅ΡΡ ΠΎΠ·Π½Π°ΡΠ°Π΅Ρ Π²ΡΠ΅ΠΌΡ, Π² ΡΠ΅ΡΠ΅Π½ΠΈΠ΅ ΠΊΠΎΡΠΎΡΠΎΠ³ΠΎ ΡΡΡΠ°Ρ ΠΎΠ²ΡΠΈΠΊ ΠΎΠ±ΡΠ·Π°Π½ Π²ΡΠΏΠ»Π°ΡΠΈΡΡ ΡΠΊΠ°Π·Π°Π½Π½ΡΡ Π² Π΄ΠΎΠ³ΠΎΠ²ΠΎΡΠ΅ Π΄Π΅Π½Π΅ΠΆΠ½ΡΡ ΡΡΠΌΠΌΡ Π² ΡΠ»ΡΡΠ°Π΅ Π½Π°ΡΡΡΠΏΠ»Π΅Π½ΠΈΡ ΡΡΡΠ°Ρ ΠΎΠ²ΠΎΠ³ΠΎ ΡΠ»ΡΡΠ°Ρ.
Π§ΡΠΎ ΡΠ°ΠΊΠΎΠ΅ ΠΎΡΡΠ΅ΡΠ½ΡΠΉ ΠΏΠ΅ΡΠΈΠΎΠ΄
ΠΡΡΠ΅ΡΠ½ΡΠΌ ΠΏΠ΅ΡΠΈΠΎΠ΄ΠΎΠΌ Π½Π°Π·ΡΠ²Π°Π΅ΡΡΡ ΠΏΡΠΎΠΌΠ΅ΠΆΡΡΠΎΠΊ Π²ΡΠ΅ΠΌΠ΅Π½ΠΈ, Π²ΠΊΠ»ΡΡΠ°ΡΡΠΈΠΉ ΠΏΡΠΎΠΈΡΡ ΠΎΠ΄ΡΡΠΈΠ΅ Π·Π° ΡΡΠΎ Π²ΡΠ΅ΠΌΡ ΡΠΎΠ±ΡΡΠΈΡ, ΡΠ²ΡΠ·Π°Π½Π½ΡΠ΅ Ρ Π½Π΅ΠΏΠΎΡΡΠ΅Π΄ΡΡΠ²Π΅Π½Π½ΠΎΠΉ Π΄Π΅ΡΡΠ΅Π»ΡΠ½ΠΎΡΡΡΡ ΠΊΠΎΠΌΠΏΠ°Π½ΠΈΠΈ β ΠΏΡΠ΅Π΄ΠΎΡΡΠ°Π²Π»Π΅Π½ΠΈΠ΅ ΡΡΠ»ΡΠ³, Π·Π°ΠΊΡΠΏΠΊΠ° ΠΈ ΠΏΡΠΎΠ΄Π°ΠΆΠ° ΠΏΡΠΎΠ΄ΡΠΊΡΠΈΠΈ ΠΈ Ρ.ΠΏ. ΠΡΠΎΡ ΡΠ΅ΡΠΌΠΈΠ½ ΠΈΡΠΏΠΎΠ»ΡΠ·ΡΠ΅ΡΡΡ, Π² ΠΎΡΠ½ΠΎΠ²Π½ΠΎΠΌ, Π² Π±ΡΡ Π³Π°Π»ΡΠ΅ΡΡΠΊΠΎΠΌ ΡΡΠ΅ΡΠ΅ Π² ΡΠ°Π±ΠΎΡΠ΅ ΠΏΠΎ ΡΠΎΡΡΠ°Π²Π»Π΅Π½ΠΈΡ ΠΎΡΡΠ΅ΡΠΎΠ².
Π§ΡΠΎ ΡΠ°ΠΊΠΎΠ΅ Π½Π°Π»ΠΎΠ³ΠΎΠ²ΡΠΉ ΠΏΠ΅ΡΠΈΠΎΠ΄
ΠΡΠΎ Π²ΡΠ΅ΠΌΡ, ΡΡΡΠ°Π½ΠΎΠ²Π»Π΅Π½Π½ΠΎΠ΅ Π½Π°Π»ΠΎΠ³ΠΎΠ²ΡΠΌ ΠΊΠΎΠ΄Π΅ΠΊΡΠΎΠΌ, Π·Π° ΠΊΠΎΡΠΎΡΠΎΠ΅ Π²Π΅Π΄Π΅ΡΡΡ ΠΈΡΡΠΈΡΠ»Π΅Π½ΠΈΠ΅ ΡΠΎΠ³ΠΎ ΠΈΠ»ΠΈ ΠΈΠ½ΠΎΠ³ΠΎ Π²ΠΈΠ΄Π° Π½Π°Π»ΠΎΠ³Π°, Π° ΡΠ°ΠΊΠΆΠ΅ ΠΏΡΠΎΠΈΡΡ ΠΎΠ΄ΠΈΡ ΡΠΏΠ»Π°ΡΠ° ΡΠ°Π·Π»ΠΈΡΠ½ΡΡ Π½Π°Π»ΠΎΠ³ΠΎΠ² ΠΈ Π²ΡΠ΅Π²ΠΎΠ·ΠΌΠΎΠΆΠ½ΡΡ ΡΠ±ΠΎΡΠΎΠ². ΠΠΎ ΠΎΠΊΠΎΠ½ΡΠ°Π½
elhow.ru
ΠΠ΅ΡΠΈΠΎΠ΄ ΠΊΠΎΠ»Π΅Π±Π°Π½ΠΈΠΉ β ΠΠΈΠΊΠΈΠΏΠ΅Π΄ΠΈΡ (Ρ ΠΊΠΎΠΌΠΌΠ΅Π½ΡΠ°ΡΠΈΡΠΌΠΈ)
ΠΠ°ΡΠ΅ΡΠΈΠ°Π» ΠΈΠ· ΠΠΈΠΊΠΈΠΏΠ΅Π΄ΠΈΠΈ β ΡΠ²ΠΎΠ±ΠΎΠ΄Π½ΠΎΠΉ ΡΠ½ΡΠΈΠΊΠ»ΠΎΠΏΠ΅Π΄ΠΈΠΈ
ΠΠ΅ΡΠΈΠΎΠ΄ ΠΊΠΎΠ»Π΅Π±Π°ΜΠ½ΠΈΠΉΒ β Π½Π°ΠΈΠΌΠ΅Π½ΡΡΠΈΠΉ ΠΏΡΠΎΠΌΠ΅ΠΆΡΡΠΎΠΊ Π²ΡΠ΅ΠΌΠ΅Π½ΠΈ, Π·Π° ΠΊΠΎΡΠΎΡΡΠΉ ΠΎΡΡΠΈΠ»Π»ΡΡΠΎΡ ΡΠΎΠ²Π΅ΡΡΠ°Π΅Ρ ΠΎΠ΄Π½ΠΎ ΠΏΠΎΠ»Π½ΠΎΠ΅ ΠΊΠΎΠ»Π΅Π±Π°Π½ΠΈΠ΅ (ΡΠΎ Π΅ΡΡΡ Π²ΠΎΠ·Π²ΡΠ°ΡΠ°Π΅ΡΡΡ Π² ΡΠΎ ΠΆΠ΅ ΡΠΎΡΡΠΎΡΠ½ΠΈΠ΅[1], Π² ΠΊΠΎΡΠΎΡΠΎΠΌ ΠΎΠ½ Π½Π°Ρ ΠΎΠ΄ΠΈΠ»ΡΡ Π² ΠΏΠ΅ΡΠ²ΠΎΠ½Π°ΡΠ°Π»ΡΠ½ΡΠΉ ΠΌΠΎΠΌΠ΅Π½Ρ, Π²ΡΠ±ΡΠ°Π½Π½ΡΠΉ ΠΏΡΠΎΠΈΠ·Π²ΠΎΠ»ΡΠ½ΠΎ).
Π ΠΏΡΠΈΠ½ΡΠΈΠΏΠ΅ ΡΠΎΠ²ΠΏΠ°Π΄Π°Π΅Ρ Ρ ΠΌΠ°ΡΠ΅ΠΌΠ°ΡΠΈΡΠ΅ΡΠΊΠΈΠΌ ΠΏΠΎΠ½ΡΡΠΈΠ΅ΠΌ ΠΏΠ΅ΡΠΈΠΎΠ΄Π° ΡΡΠ½ΠΊΡΠΈΠΈ, Π½ΠΎ ΠΈΠΌΠ΅Ρ Π² Π²ΠΈΠ΄Ρ ΠΏΠΎΠ΄ ΡΡΠ½ΠΊΡΠΈΠ΅ΠΉ Π·Π°Π²ΠΈΡΠΈΠΌΠΎΡΡΡ ΡΠΈΠ·ΠΈΡΠ΅ΡΠΊΠΎΠΉ Π²Π΅Π»ΠΈΡΠΈΠ½Ρ, ΡΠΎΠ²Π΅ΡΡΠ°ΡΡΠ΅ΠΉ ΠΊΠΎΠ»Π΅Π±Π°Π½ΠΈΡ, ΠΎΡ Π²ΡΠ΅ΠΌΠ΅Π½ΠΈ.
ΠΡΠΎ ΠΏΠΎΠ½ΡΡΠΈΠ΅ Π² ΡΠ°ΠΊΠΎΠΌ Π²ΠΈΠ΄Π΅ ΠΏΡΠΈΠΌΠ΅Π½ΠΈΠΌΠΎ ΠΊΠ°ΠΊ ΠΊ Π³Π°ΡΠΌΠΎΠ½ΠΈΡΠ΅ΡΠΊΠΈΠΌ, ΡΠ°ΠΊ ΠΈ ΠΊ Π°Π½Π³Π°ΡΠΌΠΎΠ½ΠΈΡΠ΅ΡΠΊΠΈΠΌ ΡΡΡΠΎΠ³ΠΎ ΠΏΠ΅ΡΠΈΠΎΠ΄ΠΈΡΠ΅ΡΠΊΠΈΠΌΠΈ ΠΊΠΎΠ»Π΅Π±Π°Π½ΠΈΡΠΌ (Π° ΠΏΡΠΈΠ±Π»ΠΈΠΆΠ΅Π½Π½ΠΎΒ β Ρ ΡΠ΅ΠΌ ΠΈΠ»ΠΈ ΠΈΠ½ΡΠΌ ΡΡΠΏΠ΅Ρ ΠΎΠΌΒ β ΠΈ Π½Π΅ΠΏΠ΅ΡΠΈΠΎΠ΄ΠΈΡΠ΅ΡΠΊΠΈΠΌ ΠΊΠΎΠ»Π΅Π±Π°Π½ΠΈΡΠΌ, ΠΏΠΎ ΠΊΡΠ°ΠΉΠ½Π΅ΠΉ ΠΌΠ΅ΡΠ΅ ΠΊ Π±Π»ΠΈΠ·ΠΊΠΈΠΌ ΠΊ ΠΏΠ΅ΡΠΈΠΎΠ΄ΠΈΡΠ½ΠΎΡΡΠΈ).
Π ΡΠ»ΡΡΠ°Π΅, ΠΊΠΎΠ³Π΄Π° ΡΠ΅ΡΡ ΠΈΠ΄Π΅Ρ ΠΎ ΠΊΠΎΠ»Π΅Π±Π°Π½ΠΈΡΡ Π³Π°ΡΠΌΠΎΠ½ΠΈΡΠ΅ΡΠΊΠΎΠ³ΠΎ ΠΎΡΡΠΈΠ»Π»ΡΡΠΎΡΠ° Ρ Π·Π°ΡΡΡ Π°Π½ΠΈΠ΅ΠΌ, ΠΏΠΎΠ΄ ΠΏΠ΅ΡΠΈΠΎΠ΄ΠΎΠΌ ΠΏΠΎΠ½ΠΈΠΌΠ°Π΅ΡΡΡ ΠΏΠ΅ΡΠΈΠΎΠ΄ Π΅Π³ΠΎ ΠΎΡΡΠΈΠ»Π»ΠΈΡΡΡΡΠ΅ΠΉ ΡΠΎΡΡΠ°Π²Π»ΡΡΡΠ΅ΠΉ (ΠΈΠ³Π½ΠΎΡΠΈΡΡΡ Π·Π°ΡΡΡ Π°Π½ΠΈΠ΅), ΠΊΠΎΡΠΎΡΡΠΉ ΡΠΎΠ²ΠΏΠ°Π΄Π°Π΅Ρ Ρ ΡΠ΄Π²ΠΎΠ΅Π½Π½ΡΠΌ Π²ΡΠ΅ΠΌΠ΅Π½Π½ΡΠΌ ΠΏΡΠΎΠΌΠ΅ΠΆΡΡΠΊΠΎΠΌ ΠΌΠ΅ΠΆΠ΄Ρ Π±Π»ΠΈΠΆΠ°ΠΉΡΠΈΠΌΠΈ ΠΏΡΠΎΡ ΠΎΠΆΠ΄Π΅Π½ΠΈΡΠΌΠΈ ΠΊΠΎΠ»Π΅Π±Π»ΡΡΠ΅ΠΉΡΡ Π²Π΅Π»ΠΈΡΠΈΠ½Ρ ΡΠ΅ΡΠ΅Π· Π½ΠΎΠ»Ρ. Π ΠΏΡΠΈΠ½ΡΠΈΠΏΠ΅, ΡΡΠΎ ΠΎΠΏΡΠ΅Π΄Π΅Π»Π΅Π½ΠΈΠ΅ ΠΌΠΎΠΆΠ΅Ρ Π±ΡΡΡ Ρ Π±ΠΎΠ»ΡΡΠ΅ΠΉ ΠΈΠ»ΠΈ ΠΌΠ΅Π½ΡΡΠ΅ΠΉ ΡΠΎΡΠ½ΠΎΡΡΡΡ ΠΈ ΠΏΠΎΠ»ΡΠ·ΠΎΠΉ ΡΠ°ΡΠΏΡΠΎΡΡΡΠ°Π½Π΅Π½ΠΎ Π² Π½Π΅ΠΊΠΎΡΠΎΡΠΎΠΌ ΠΎΠ±ΠΎΠ±ΡΠ΅Π½ΠΈΠΈ ΠΈ Π½Π° Π·Π°ΡΡΡ Π°ΡΡΠΈΠ΅ ΠΊΠΎΠ»Π΅Π±Π°Π½ΠΈΡ Ρ Π΄ΡΡΠ³ΠΈΠΌΠΈ ΡΠ²ΠΎΠΉΡΡΠ²Π°ΠΌΠΈ.
ΠΠ±ΠΎΠ·Π½Π°ΡΠ΅Π½ΠΈΡ: ΠΎΠ±ΡΡΠ½ΠΎΠ΅ ΡΡΠ°Π½Π΄Π°ΡΡΠ½ΠΎΠ΅ ΠΎΠ±ΠΎΠ·Π½Π°ΡΠ΅Π½ΠΈΠ΅ ΠΏΠ΅ΡΠΈΠΎΠ΄Π° ΠΊΠΎΠ»Π΅Π±Π°Π½ΠΈΠΉ: <math>T</math> (Ρ ΠΎΡΡ ΠΌΠΎΠ³ΡΡ ΠΏΡΠΈΠΌΠ΅Π½ΡΡΡΡΡ ΠΈ Π΄ΡΡΠ³ΠΈΠ΅, Π½Π°ΠΈΠ±ΠΎΠ»Π΅Π΅ ΡΠ°ΡΡΠΎ ΡΡΠΎ <math>\tau</math>, ΠΈΠ½ΠΎΠ³Π΄Π° <math>\Theta</math> ΠΈΒ Ρ.Β Π΄.).
ΠΠ΄ΠΈΠ½ΠΈΡΡ ΠΈΠ·ΠΌΠ΅ΡΠ΅Π½ΠΈΡ: ΡΠ΅ΠΊΡΠ½Π΄Π° ΠΈ, Π² ΠΏΡΠΈΠ½ΡΠΈΠΏΠ΅, Π²ΠΎΠΎΠ±ΡΠ΅ Π΅Π΄ΠΈΠ½ΠΈΡΡ ΠΈΠ·ΠΌΠ΅ΡΠ΅Π½ΠΈΡ Π²ΡΠ΅ΠΌΠ΅Π½ΠΈ.
ΠΠ΅ΡΠΈΠΎΠ΄ ΠΊΠΎΠ»Π΅Π±Π°Π½ΠΈΠΉ ΡΠ²ΡΠ·Π°Π½ ΡΠΎΠΎΡΠ½ΠΎΡΠ΅Π½ΠΈΠ΅ΠΌ Π²Π·Π°ΠΈΠΌΠ½ΠΎΠΉ ΠΎΠ±ΡΠ°ΡΠ½ΠΎΡΡΠΈ Ρ ΡΠ°ΡΡΠΎΡΠΎΠΉ:
- <math>T = \frac{1}{\nu},\ \ \ \nu = \frac{1}{T}.</math>
ΠΠ»Ρ Π²ΠΎΠ»Π½ΠΎΠ²ΡΡ ΠΏΡΠΎΡΠ΅ΡΡΠΎΠ² ΠΏΠ΅ΡΠΈΠΎΠ΄ ΡΠ²ΡΠ·Π°Π½ ΠΊΡΠΎΠΌΠ΅ ΡΠΎΠ³ΠΎ ΠΎΡΠ΅Π²ΠΈΠ΄Π½ΡΠΌ ΠΎΠ±ΡΠ°Π·ΠΎΠΌ Ρ Π΄Π»ΠΈΠ½ΠΎΠΉ Π²ΠΎΠ»Π½Ρ <math>\lambda</math>
- <math>v = \lambda \nu, \ \ \ T = \frac{\lambda}{v},</math>
Π³Π΄Π΅ <math>v</math>Β β ΡΠΊΠΎΡΠΎΡΡΡ ΡΠ°ΡΠΏΡΠΎΡΡΡΠ°Π½Π΅Π½ΠΈΡ Π²ΠΎΠ»Π½Ρ (ΡΠΎΡΠ½Π΅Π΅[2]Β β ΡΠ°Π·ΠΎΠ²Π°Ρ ΡΠΊΠΎΡΠΎΡΡΡ).
Π ΠΊΠ²Π°Π½ΡΠΎΠ²ΠΎΠΉ ΡΠΈΠ·ΠΈΠΊΠ΅ ΠΏΠ΅ΡΠΈΠΎΠ΄ ΠΊΠΎΠ»Π΅Π±Π°Π½ΠΈΠΉ ΠΏΡΡΠΌΠΎ ΡΠ²ΡΠ·Π°Π½ Ρ ΡΠ½Π΅ΡΠ³ΠΈΠ΅ΠΉ (ΠΏΠΎΡΠΊΠΎΠ»ΡΠΊΡ Π² ΠΊΠ²Π°Π½ΡΠΎΠ²ΠΎΠΉ ΡΠΈΠ·ΠΈΠΊΠ΅ ΡΠ½Π΅ΡΠ³ΠΈΡ ΠΎΠ±ΡΠ΅ΠΊΡΠ°Β β Π½Π°ΠΏΡΠΈΠΌΠ΅Ρ, ΡΠ°ΡΡΠΈΡΡΒ β Π΅ΡΡΡ ΡΠ°ΡΡΠΎΡΠ°[3] ΠΊΠΎΠ»Π΅Π±Π°Π½ΠΈΠΉ Π΅Π³ΠΎ Π²ΠΎΠ»Π½ΠΎΠ²ΠΎΠΉ ΡΡΠ½ΠΊΡΠΈΠΈ).
Π’Π΅ΠΎΡΠ΅ΡΠΈΡΠ΅ΡΠΊΠΎΠ΅ Π½Π°Ρ ΠΎΠΆΠ΄Π΅Π½ΠΈΠ΅ ΠΏΠ΅ΡΠΈΠΎΠ΄Π° ΠΊΠΎΠ»Π΅Π±Π°Π½ΠΈΠΉ ΡΠΎΠΉ ΠΈΠ»ΠΈ ΠΈΠ½ΠΎΠΉ ΡΠΈΠ·ΠΈΡΠ΅ΡΠΊΠΎΠΉ ΡΠΈΡΡΠ΅ΠΌΡ ΡΠ²ΠΎΠ΄ΠΈΡΡΡ, ΠΊΠ°ΠΊ ΠΏΡΠ°Π²ΠΈΠ»ΠΎ, ΠΊ Π½Π°Ρ ΠΎΠΆΠ΄Π΅Π½ΠΈΡ ΡΠ΅ΡΠ΅Π½ΠΈΡ Π΄ΠΈΠ½Π°ΠΌΠΈΡΠ΅ΡΠΊΠΈΡ ΡΡΠ°Π²Π½Π΅Π½ΠΈΠΉ (ΡΡΠ°Π²Π½Π΅Π½ΠΈΡ), ΠΎΠΏΠΈΡΡΠ²Π°ΡΡΠ΅Π³ΠΎ ΡΡΡ ΡΠΈΡΡΠ΅ΠΌΡ. ΠΠ»Ρ ΠΊΠ°ΡΠ΅Π³ΠΎΡΠΈΠΈ Π»ΠΈΠ½Π΅ΠΉΠ½ΡΡ ΡΠΈΡΡΠ΅ΠΌ (Π° ΠΏΡΠΈΠ±Π»ΠΈΠΆΠ΅Π½Π½ΠΎΒ β ΠΈ Π΄Π»Ρ Π»ΠΈΠ½Π΅Π°ΡΠΈΠ·ΡΠ΅ΠΌΡΡ ΡΠΈΡΡΠ΅ΠΌ Π² Π»ΠΈΠ½Π΅ΠΉΠ½ΠΎΠΌ ΠΏΡΠΈΠ±Π»ΠΈΠΆΠ΅Π½ΠΈΠΈ, ΠΊΠΎΡΠΎΡΠΎΠ΅ Π·Π°ΡΠ°ΡΡΡΡ ΡΠ²Π»ΡΠ΅ΡΡΡ ΠΎΡΠ΅Π½Ρ Ρ ΠΎΡΠΎΡΠΈΠΌ) ΡΡΡΠ΅ΡΡΠ²ΡΡΡ ΡΡΠ°Π½Π΄Π°ΡΡΠ½ΡΠ΅ ΡΡΠ°Π²Π½ΠΈΡΠ΅Π»ΡΠ½ΠΎ ΠΏΡΠΎΡΡΡΠ΅ ΠΌΠ°ΡΠ΅ΠΌΠ°ΡΠΈΡΠ΅ΡΠΊΠΈΠ΅ ΠΌΠ΅ΡΠΎΠ΄Ρ, ΠΏΠΎΠ·Π²ΠΎΠ»ΡΡΡΠΈΠ΅ ΡΡΠΎ ΡΠ΄Π΅Π»Π°ΡΡ (Π΅ΡΠ»ΠΈ ΠΈΠ·Π²Π΅ΡΡΠ½Ρ ΡΠ°ΠΌΠΈ ΡΠΈΠ·ΠΈΡΠ΅ΡΠΊΠΈΠ΅ ΡΡΠ°Π²Π½Π΅Π½ΠΈΡ, ΠΎΠΏΠΈΡΡΠ²Π°ΡΡΠΈΠ΅ ΡΠΈΡΡΠ΅ΠΌΡ).
ΠΠ»Ρ ΡΠΊΡΠΏΠ΅ΡΠΈΠΌΠ΅Π½ΡΠ°Π»ΡΠ½ΠΎΠ³ΠΎ ΠΎΠΏΡΠ΅Π΄Π΅Π»Π΅Π½ΠΈΡ ΠΏΠ΅ΡΠΈΠΎΠ΄Π° ΠΈΡΠΏΠΎΠ»ΡΠ·ΡΡΡΡΡ ΡΠ°ΡΡ, ΡΠ΅ΠΊΡΠ½Π΄ΠΎΠΌΠ΅ΡΡ, ΡΠ°ΡΡΠΎΡΠΎΠΌΠ΅ΡΡ, ΡΡΡΠΎΠ±ΠΎΡΠΊΠΎΠΏΡ, ΡΡΡΠΎΠ±ΠΎΡΠ°Ρ ΠΎΠΌΠ΅ΡΡΡ, ΠΎΡΡΠΈΠ»Π»ΠΎΠ³ΡΠ°ΡΡ. Π’Π°ΠΊΠΆΠ΅ ΠΏΡΠΈΠΌΠ΅Π½ΡΡΡΡΡ Π±ΠΈΠ΅Π½ΠΈΡ, ΠΌΠ΅ΡΠΎΠ΄ Π³Π΅ΡΠ΅ΡΠΎΠ΄ΠΈΠ½ΠΈΡΠΎΠ²Π°Π½ΠΈΡ Π² ΡΠ°Π·Π½ΡΡ Π²ΠΈΠ΄Π°Ρ , ΠΈΡΠΏΠΎΠ»ΡΠ·ΡΠ΅ΡΡΡ ΠΏΡΠΈΠ½ΡΠΈΠΏ ΡΠ΅Π·ΠΎΠ½Π°Π½ΡΠ°. ΠΠ»Ρ Π²ΠΎΠ»Π½ ΠΌΠΎΠΆΠ½ΠΎ ΠΏΠΎΠΌΠ΅ΡΠΈΡΡ ΠΏΠ΅ΡΠΈΠΎΠ΄ ΠΊΠΎΡΠ²Π΅Π½Π½ΠΎΒ β ΡΠ΅ΡΠ΅Π· Π΄Π»ΠΈΠ½Ρ Π²ΠΎΠ»Π½Ρ, Π΄Π»Ρ ΡΠ΅Π³ΠΎ ΠΏΡΠΈΠΌΠ΅Π½ΡΡΡΡΡ ΠΈΠ½ΡΠ΅ΡΡΠ΅ΡΠΎΠΌΠ΅ΡΡΡ, Π΄ΠΈΡΡΠ°ΠΊΡΠΈΠΎΠ½Π½ΡΠ΅ ΡΠ΅ΡΠ΅ΡΠΊΠΈ ΠΈΡΠΏ. ΠΠ½ΠΎΠ³Π΄Π° ΡΡΠ΅Π±ΡΡΡΡΡ ΠΈ ΠΈΠ·ΠΎΡΡΠ΅Π½Π½ΡΠ΅ ΠΌΠ΅ΡΠΎΠ΄Ρ, ΡΠΏΠ΅ΡΠΈΠ°Π»ΡΠ½ΠΎ ΡΠ°Π·ΡΠ°Π±ΠΎΡΠ°Π½Π½ΡΠ΅ Π΄Π»Ρ ΠΊΠΎΠ½ΠΊΡΠ΅ΡΠ½ΠΎΠ³ΠΎ ΡΡΡΠ΄Π½ΠΎΠ³ΠΎ ΡΠ»ΡΡΠ°Ρ (ΡΡΡΠ΄Π½ΠΎΡΡΡ ΠΌΠΎΠ³ΡΡ ΠΏΡΠ΅Π΄ΡΡΠ°Π²Π»ΡΡΡ ΠΊΠ°ΠΊ ΡΠ°ΠΌΠΎ ΠΈΠ·ΠΌΠ΅ΡΠ΅Π½ΠΈΠ΅ Π²ΡΠ΅ΠΌΠ΅Π½ΠΈ, ΠΎΡΠΎΠ±Π΅Π½Π½ΠΎ Π΅ΡΠ»ΠΈ ΡΠ΅ΡΡ ΠΈΠ΄Π΅Ρ ΠΎ ΠΏΡΠ΅Π΄Π΅Π»ΡΠ½ΠΎ ΠΌΠ°Π»ΡΡ ΠΈΠ»ΠΈ Π½Π°ΠΎΠ±ΠΎΡΠΎΡ ΠΎΡΠ΅Π½Ρ Π±ΠΎΠ»ΡΡΠΈΡ Π²ΡΠ΅ΠΌΠ΅Π½Π°Ρ , ΡΠ°ΠΊ ΠΈ ΡΡΡΠ΄Π½ΠΎΡΡΠΈ Π½Π°Π±Π»ΡΠ΄Π΅Π½ΠΈΡ ΠΊΠΎΠ»Π΅Π±Π»ΡΡΠ΅ΠΉΡΡ Π²Π΅Π»ΠΈΡΠΈΠ½Ρ).
ΠΠ΅ΡΠΈΠΎΠ΄Ρ ΠΊΠΎΠ»Π΅Π±Π°Π½ΠΈΠΉ Π² ΠΏΡΠΈΡΠΎΠ΄Π΅
ΠΡΠ΅Π΄ΡΡΠ°Π²Π»Π΅Π½ΠΈΠ΅ ΠΎ ΠΏΠ΅ΡΠΈΠΎΠ΄Π°Ρ ΠΊΠΎΠ»Π΅Π±Π°Π½ΠΈΠΉ ΡΠ°Π·Π»ΠΈΡΠ½ΡΡ ΡΠΈΠ·ΠΈΡΠ΅ΡΠΊΠΈΡ ΠΏΡΠΎΡΠ΅ΡΡΠΎΠ² Π΄Π°Π΅Ρ ΡΡΠ°ΡΡΡ Π§Π°ΡΡΠΎΡΠ½ΡΠ΅ ΠΈΠ½ΡΠ΅ΡΠ²Π°Π»Ρ (ΡΡΠΈΡΡΠ²Π°Ρ ΡΠΎ, ΡΡΠΎ ΠΏΠ΅ΡΠΈΠΎΠ΄ Π² ΡΠ΅ΠΊΡΠ½Π΄Π°Ρ Π΅ΡΡΡ ΠΎΠ±ΡΠ°ΡΠ½Π°Ρ Π²Π΅Π»ΠΈΡΠΈΠ½Π° ΡΠ°ΡΡΠΎΡΡ Π² Π³Π΅ΡΡΠ°Ρ ).
ΠΠ΅ΠΊΠΎΡΠΎΡΠΎΠ΅ ΠΏΡΠ΅Π΄ΡΡΠ°Π²Π»Π΅Π½ΠΈΠ΅ ΠΎ Π²Π΅Π»ΠΈΡΠΈΠ½Π°Ρ ΠΏΠ΅ΡΠΈΠΎΠ΄ΠΎΠ² ΡΠ°Π·Π»ΠΈΡΠ½ΡΡ ΡΠΈΠ·ΠΈΡΠ΅ΡΠΊΠΈΡ ΠΏΡΠΎΡΠ΅ΡΡΠΎΠ² ΡΠ°ΠΊΠΆΠ΅ ΠΌΠΎΠΆΠ΅Ρ Π΄Π°ΡΡ ΡΠΊΠ°Π»Π° ΡΠ°ΡΡΠΎΡ ΡΠ»Π΅ΡΡΠΎΠΌΠ°Π³Π½ΠΈΡΠ½ΡΡ ΠΊΠΎΠ»Π΅Π±Π°Π½ΠΈΠΉ (ΡΠΌ. ΠΠ»Π΅ΠΊΡΡΠΎΠΌΠ°Π³Π½ΠΈΡΠ½ΡΠΉ ΡΠΏΠ΅ΠΊΡΡ) .
ΠΠ΅ΡΠΈΠΎΠ΄Ρ ΠΊΠΎΠ»Π΅Π±Π°Π½ΠΈΠΉ ΡΠ»ΡΡΠΈΠΌΠΎΠ³ΠΎ ΡΠ΅Π»ΠΎΠ²Π΅ΠΊΠΎΠΌ Π·Π²ΡΠΊΠ° Π½Π°Ρ ΠΎΠ΄ΡΡΡΡ Π² Π΄ΠΈΠ°ΠΏΠ°Π·ΠΎΠ½Π΅
- ΠΎΡ 5Β·10β5Ρ Π΄ΠΎ 0,2Ρ
(ΡΠ΅ΡΠΊΠΈΠ΅ Π³ΡΠ°Π½ΠΈΡΡ Π΅Π³ΠΎ Π½Π΅ΡΠΊΠΎΠ»ΡΠΊΠΎ ΡΡΠ»ΠΎΠ²Π½Ρ).
ΠΠ΅ΡΠΈΠΎΠ΄Ρ ΡΠ»Π΅ΠΊΡΡΠΎΠΌΠ°Π³Π½ΠΈΡΠ½ΡΡ ΠΊΠΎΠ»Π΅Π±Π°Π½ΠΈΠΉ, ΡΠΎΠΎΡΠ²Π΅ΡΡΡΠ²ΡΡΡΠΈΡ ΡΠ°Π·Π½ΡΠΌ ΡΠ²Π΅ΡΠ°ΠΌ Π²ΠΈΠ΄ΠΈΠΌΠΎΠ³ΠΎ ΡΠ²Π΅ΡΠ°Β β Π² Π΄ΠΈΠ°ΠΏΠ°Π·ΠΎΠ½Π΅
- ΠΎΡ 1,1Β·10β15Ρ Π΄ΠΎ 2,3Β·10β15Ρ.
ΠΠΎΡΠΊΠΎΠ»ΡΠΊΡ ΠΏΡΠΈ ΡΠΊΡΡΡΠ΅ΠΌΠ°Π»ΡΠ½ΠΎ Π±ΠΎΠ»ΡΡΠΈΡ ΠΈ ΡΠΊΡΡΡΠ΅ΠΌΠ°Π»ΡΠ½ΠΎ ΠΌΠ°Π»Π΅Π½ΡΠΊΠΈΡ ΠΏΠ΅ΡΠΈΠΎΠ΄Π°Ρ ΠΊΠΎΠ»Π΅Π±Π°Π½ΠΈΠΉ ΠΌΠ΅ΡΠΎΠ΄Ρ ΠΈΠ·ΠΌΠ΅ΡΠ΅Π½ΠΈΡ ΠΈΠΌΠ΅ΡΡ ΡΠ΅Π½Π΄Π΅Π½ΡΠΈΡ ΡΡΠ°Π½ΠΎΠ²ΡΡΡΡ Π²ΡΡ Π±ΠΎΠ»Π΅Π΅ ΠΊΠΎΡΠ²Π΅Π½Π½ΡΠΌΠΈ (Π²ΠΏΠ»ΠΎΡΡ Π΄ΠΎ ΠΏΠ»Π°Π²Π½ΠΎΠ³ΠΎ ΠΏΠ΅ΡΠ΅ΡΠ΅ΠΊΠ°Π½ΠΈΡ Π² ΡΠ΅ΠΎΡΠ΅ΡΠΈΡΠ΅ΡΠΊΠΈΠ΅ ΡΠΊΡΡΡΠ°ΠΏΠΎΠ»ΡΡΠΈΠΈ), ΡΡΡΠ΄Π½ΠΎ Π½Π°Π·Π²Π°ΡΡ ΡΠ΅ΡΠΊΡΡ Π²Π΅ΡΡ Π½ΡΡ ΠΈ Π½ΠΈΠΆΠ½ΡΡ Π³ΡΠ°Π½ΠΈΡΡ Π΄Π»Ρ ΠΏΠ΅ΡΠΈΠΎΠ΄Π° ΠΊΠΎΠ»Π΅Π±Π°Π½ΠΈΠΉ, ΠΈΠ·ΠΌΠ΅ΡΠ΅Π½Π½ΠΎΠ³ΠΎ Π½Π΅ΠΏΠΎΡΡΠ΅Π΄ΡΡΠ²Π΅Π½Π½ΠΎ. ΠΠ°ΠΊΡΡ-ΡΠΎ ΠΎΡΠ΅Π½ΠΊΡ Π΄Π»Ρ Π²Π΅ΡΡ Π½Π΅ΠΉ Π³ΡΠ°Π½ΠΈΡΡ ΠΌΠΎΠΆΠ΅Ρ Π΄Π°ΡΡ Π²ΡΠ΅ΠΌΡ ΡΡΡΠ΅ΡΡΠ²ΠΎΠ²Π°Π½ΠΈΡ ΡΠΎΠ²ΡΠ΅ΠΌΠ΅Π½Π½ΠΎΠΉ Π½Π°ΡΠΊΠΈ (ΡΠΎΡΠ½ΠΈ Π»Π΅Ρ), Π° Π΄Π»Ρ Π½ΠΈΠΆΠ½Π΅ΠΉΒ β ΠΏΠ΅ΡΠΈΠΎΠ΄ ΠΊΠΎΠ»Π΅Π±Π°Π½ΠΈΠΉ Π²ΠΎΠ»Π½ΠΎΠ²ΠΎΠΉ ΡΡΠ½ΠΊΡΠΈΠΈ ΡΠ°ΠΌΠΎΠΉ ΡΡΠΆΠ΅Π»ΠΎΠΉ ΠΈΠ· ΠΈΠ·Π²Π΅ΡΡΠ½ΡΡ ΡΠ΅ΠΉΡΠ°Ρ ΡΠ°ΡΡΠΈΡ ().
Π Π»ΡΠ±ΠΎΠΌ ΡΠ»ΡΡΠ°Π΅ Π³ΡΠ°Π½ΠΈΡΠ΅ΠΉ ΡΠ½ΠΈΠ·Ρ ΠΌΠΎΠΆΠ΅Ρ ΡΠ»ΡΠΆΠΈΡΡ ΠΏΠ»Π°Π½ΠΊΠΎΠ²ΡΠΊΠΎΠ΅ Π²ΡΠ΅ΠΌΡ, ΠΊΠΎΡΠΎΡΠΎΠ΅ ΡΡΠΎΠ»Ρ ΠΌΠ°Π»ΠΎ, ΡΡΠΎ ΠΏΠΎ ΡΠΎΠ²ΡΠ΅ΠΌΠ΅Π½Π½ΡΠΌ ΠΏΡΠ΅Π΄ΡΡΠ°Π²Π»Π΅Π½ΠΈΡΠΌ Π½Π΅ ΡΠΎΠ»ΡΠΊΠΎ Π²ΡΡΠ΄ Π»ΠΈ ΠΌΠΎΠΆΠ΅Ρ Π±ΡΡΡ Π²ΠΎΠΎΠ±ΡΠ΅ ΠΊΠ°ΠΊ-ΡΠΎ ΡΠΈΠ·ΠΈΡΠ΅ΡΠΊΠΈ ΠΈΠ·ΠΌΠ΅ΡΠ΅Π½ΠΎ[4], Π½ΠΎ ΠΈ Π²ΡΡΠ΄ Π»ΠΈ Π² Π±ΠΎΠ»Π΅Π΅-ΠΌΠ΅Π½Π΅Π΅ ΠΎΠ±ΠΎΠ·ΡΠΈΠΌΠΎΠΌ Π±ΡΠ΄ΡΡΠ΅ΠΌ ΠΏΡΠ΅Π΄ΡΡΠ°Π²Π»ΡΠ΅ΡΡΡ Π²ΠΎΠ·ΠΌΠΎΠΆΠ½ΠΎΡΡΡ ΠΏΡΠΈΠ±Π»ΠΈΠ·ΠΈΡΡΡΡ ΠΊ ΠΈΠ·ΠΌΠ΅ΡΠ΅Π½ΠΈΡ Π²Π΅Π»ΠΈΡΠΈΠ½ Π΄Π°ΠΆΠ΅ Π½Π°ΠΌΠ½ΠΎΠ³ΠΎ ΠΏΠΎΡΡΠ΄ΠΊΠΎΠ² Π±ΠΎΠ»ΡΡΠΈΡ , Π° Π³ΡΠ°Π½ΠΈΡΠ΅ΠΉ ΡΠ²Π΅ΡΡ ΡΒ β Π²ΡΠ΅ΠΌΡ ΡΡΡΠ΅ΡΡΠ²ΠΎΠ²Π°Π½ΠΈΡ ΠΡΠ΅Π»Π΅Π½Π½ΠΎΠΉΒ β Π±ΠΎΠ»Π΅Π΅ Π΄Π΅ΡΡΡΠΈ ΠΌΠΈΠ»Π»ΠΈΠ°ΡΠ΄ΠΎΠ² Π»Π΅Ρ.
ΠΠ΅ΡΠΈΠΎΠ΄Ρ ΠΊΠΎΠ»Π΅Π±Π°Π½ΠΈΠΉ ΠΏΡΠΎΡΡΠ΅ΠΉΡΠΈΡ ΡΠΈΠ·ΠΈΡΠ΅ΡΠΊΠΈΡ ΡΠΈΡΡΠ΅ΠΌ
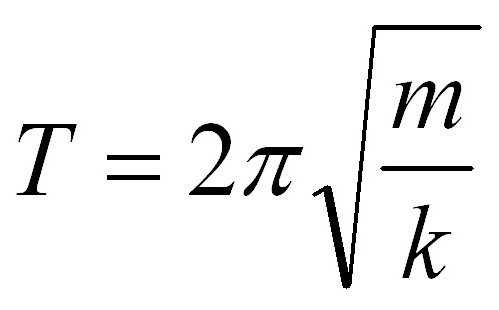
ΠΡΡΠΆΠΈΠ½Π½ΡΠΉ ΠΌΠ°ΡΡΠ½ΠΈΠΊ
ΠΠ΅ΡΠΈΠΎΠ΄ ΠΊΠΎΠ»Π΅Π±Π°Π½ΠΈΠΉ ΠΏΡΡΠΆΠΈΠ½Π½ΠΎΠ³ΠΎ ΠΌΠ°ΡΡΠ½ΠΈΠΊΠ° ΠΌΠΎΠΆΠ΅Ρ Π±ΡΡΡ Π²ΡΡΠΈΡΠ»Π΅Π½ ΠΏΠΎ ΡΠ»Π΅Π΄ΡΡΡΠ΅ΠΉ ΡΠΎΡΠΌΡΠ»Π΅:
<math>T=2\pi \sqrt{\frac{m}{k}}</math>,
Π³Π΄Π΅ <math>m</math>Β β ΠΌΠ°ΡΡΠ° Π³ΡΡΠ·Π°, <math>k</math>Β β ΠΆΡΡΡΠΊΠΎΡΡΡ ΠΏΡΡΠΆΠΈΠ½Ρ.
ΠΠ°ΡΠ΅ΠΌΠ°ΡΠΈΡΠ΅ΡΠΊΠΈΠΉ ΠΌΠ°ΡΡΠ½ΠΈΠΊ
ΠΠ΅ΡΠΈΠΎΠ΄ ΠΌΠ°Π»ΡΡ ΠΊΠΎΠ»Π΅Π±Π°Π½ΠΈΠΉ ΠΌΠ°ΡΠ΅ΠΌΠ°ΡΠΈΡΠ΅ΡΠΊΠΎΠ³ΠΎ ΠΌΠ°ΡΡΠ½ΠΈΠΊΠ°:
<math>T=2\pi \sqrt{\frac{l}{g}}</math>
Π³Π΄Π΅ <math>l</math>Β β Π΄Π»ΠΈΠ½Π° ΠΏΠΎΠ΄Π²Π΅ΡΠ° (ΠΊ ΠΏΡΠΈΠΌΠ΅ΡΡ, Π½ΠΈΡΠΈ), <math>g</math>Β β ΡΡΠΊΠΎΡΠ΅Π½ΠΈΠ΅ ΡΠ²ΠΎΠ±ΠΎΠ΄Π½ΠΎΠ³ΠΎ ΠΏΠ°Π΄Π΅Π½ΠΈΡ.
ΠΠ΅ΡΠΈΠΎΠ΄ ΠΌΠ°Π»ΡΡ ΠΊΠΎΠ»Π΅Π±Π°Π½ΠΈΠΉ (Π½Π° ΠΠ΅ΠΌΠ»Π΅) ΠΌΠ°ΡΠ΅ΠΌΠ°ΡΠΈΡΠ΅ΡΠΊΠΎΠ³ΠΎ ΠΌΠ°ΡΡΠ½ΠΈΠΊΠ° Π΄Π»ΠΈΠ½ΠΎΠΉ 1 ΠΌΠ΅ΡΡ Ρ Ρ ΠΎΡΠΎΡΠ΅ΠΉ ΡΠΎΡΠ½ΠΎΡΡΡΡ[5] ΡΠ°Π²Π΅Π½ 2 ΡΠ΅ΠΊΡΠ½Π΄Π°ΠΌ.
Π€ΠΈΠ·ΠΈΡΠ΅ΡΠΊΠΈΠΉ ΠΌΠ°ΡΡΠ½ΠΈΠΊ
ΠΠ΅ΡΠΈΠΎΠ΄ ΠΌΠ°Π»ΡΡ ΠΊΠΎΠ»Π΅Π±Π°Π½ΠΈΠΉ ΡΠΈΠ·ΠΈΡΠ΅ΡΠΊΠΎΠ³ΠΎ ΠΌΠ°ΡΡΠ½ΠΈΠΊΠ°:
<math>T=2\pi \sqrt{\frac{J}{mgl}}</math>
Π³Π΄Π΅ <math>J</math>Β β ΠΌΠΎΠΌΠ΅Π½Ρ ΠΈΠ½Π΅ΡΡΠΈΠΈ ΠΌΠ°ΡΡΠ½ΠΈΠΊΠ° ΠΎΡΠ½ΠΎΡΠΈΡΠ΅Π»ΡΠ½ΠΎ ΠΎΡΠΈ Π²ΡΠ°ΡΠ΅Π½ΠΈΡ, <math>m</math>Β β ΠΌΠ°ΡΡΠ° ΠΌΠ°ΡΡΠ½ΠΈΠΊΠ°, <math>l</math>Β β ΡΠ°ΡΡΡΠΎΡΠ½ΠΈΠ΅ ΠΎΡ ΠΎΡΠΈ Π²ΡΠ°ΡΠ΅Π½ΠΈΡ Π΄ΠΎ ΡΠ΅Π½ΡΡΠ° ΠΌΠ°ΡΡ.
ΠΡΡΡΠΈΠ»ΡΠ½ΡΠΉ ΠΌΠ°ΡΡΠ½ΠΈΠΊ
ΠΠ΅ΡΠΈΠΎΠ΄ ΠΊΠΎΠ»Π΅Π±Π°Π½ΠΈΠΉ ΠΊΡΡΡΠΈΠ»ΡΠ½ΠΎΠ³ΠΎ ΠΌΠ°ΡΡΠ½ΠΈΠΊΠ°:
<math>T = 2 \pi \sqrt{\frac{I}{K}}</math>
Π³Π΄Π΅ <math>I</math>Β β ΠΌΠΎΠΌΠ΅Π½Ρ ΠΈΠ½Π΅ΡΡΠΈΠΈ ΠΌΠ°ΡΡΠ½ΠΈΠΊΠ° ΠΎΡΠ½ΠΎΡΠΈΡΠ΅Π»ΡΠ½ΠΎ ΠΎΡΠΈ ΠΊΡΡΡΠ΅Π½ΠΈΡ, Π° <math>K</math>Β β Π²ΡΠ°ΡΠ°ΡΠ΅Π»ΡΠ½ΡΠΉ ΠΊΠΎΡΡΡΠΈΡΠΈΠ΅Π½Ρ ΠΆΡΡΡΠΊΠΎΡΡΠΈ ΠΌΠ°ΡΡΠ½ΠΈΠΊΠ°.
ΠΠ»Π΅ΠΊΡΡΠΈΡΠ΅ΡΠΊΠΈΠΉ ΠΊΠΎΠ»Π΅Π±Π°ΡΠ΅Π»ΡΠ½ΡΠΉ (LC) ΠΊΠΎΠ½ΡΡΡ
ΠΠ΅ΡΠΈΠΎΠ΄ ΠΊΠΎΠ»Π΅Π±Π°Π½ΠΈΠΉ ΡΠ»Π΅ΠΊΡΡΠΈΡΠ΅ΡΠΊΠΎΠ³ΠΎ ΠΊΠΎΠ»Π΅Π±Π°ΡΠ΅Π»ΡΠ½ΠΎΠ³ΠΎ ΠΊΠΎΠ½ΡΡΡΠ° (ΡΠΎΡΠΌΡΠ»Π° Π’ΠΎΠΌΡΠΎΠ½Π°):
<math>T= 2\pi \sqrt{LC}</math>,
Π³Π΄Π΅ <math>L</math>Β β ΠΈΠ½Π΄ΡΠΊΡΠΈΠ²Π½ΠΎΡΡΡ ΠΊΠ°ΡΡΡΠΊΠΈ, <math>C</math>Β β ΡΠΌΠΊΠΎΡΡΡ ΠΊΠΎΠ½Π΄Π΅Π½ΡΠ°ΡΠΎΡΠ°.
ΠΡΡ ΡΠΎΡΠΌΡΠ»Ρ Π²ΡΠ²Π΅Π» Π² 1853 Π³ΠΎΠ΄Ρ Π°Π½Π³Π»ΠΈΠΉΡΠΊΠΈΠΉ ΡΠΈΠ·ΠΈΠΊ Π£. Π’ΠΎΠΌΡΠΎΠ½.
ΠΠ°ΠΏΠΈΡΠΈΡΠ΅ ΠΎΡΠ·ΡΠ² ΠΎ ΡΡΠ°ΡΡΠ΅ “ΠΠ΅ΡΠΈΠΎΠ΄ ΠΊΠΎΠ»Π΅Π±Π°Π½ΠΈΠΉ”
ΠΡΠΈΠΌΠ΅ΡΠ°Π½ΠΈΡ
- β Π‘ΠΎΡΡΠΎΡΠ½ΠΈΠ΅ ΠΌΠ΅Ρ Π°Π½ΠΈΡΠ΅ΡΠΊΠΎΠΉ ΡΠΈΡΡΠ΅ΠΌΡ Ρ Π°ΡΠ°ΠΊΡΠ΅ΡΠΈΠ·ΡΠ΅ΡΡΡ ΠΏΠΎΠ»ΠΎΠΆΠ΅Π½ΠΈΡΠΌΠΈ ΠΈ ΡΠΊΠΎΡΠΎΡΡΡΠΌΠΈ Π²ΡΠ΅Ρ Π΅Ρ ΠΌΠ°ΡΠ΅ΡΠΈΠ°Π»ΡΠ½ΡΡ ΡΠΎΡΠ΅ΠΊ (ΡΡΡΠΎΠΆΠ΅ Π³ΠΎΠ²ΠΎΡΡΒ β ΠΊΠΎΠΎΡΠ΄ΠΈΠ½Π°ΡΠ°ΠΌΠΈ ΠΈ ΡΠΊΠΎΡΠΎΡΡΡΠΌΠΈ, ΡΠΎΠΎΡΠ²Π΅ΡΡΡΠ²ΡΡΡΠΈΠΌΠΈ Π²ΡΠ΅ΠΌ ΡΡΠ΅ΠΏΠ΅Π½ΡΠΌ ΡΠ²ΠΎΠ±ΠΎΠ΄Ρ Π΄Π°Π½Π½ΠΎΠΉ ΡΠΈΡΡΠ΅ΠΌΡ), Π΄Π»Ρ Π½Π΅ΠΌΠ΅Ρ Π°Π½ΠΈΡΠ΅ΡΠΊΠΎΠΉΒ β ΠΈΡ ΡΠΎΡΠΌΠ°Π»ΡΠ½ΡΠΌΠΈ Π°Π½Π°Π»ΠΎΠ³Π°ΠΌΠΈ (ΠΊΠΎΡΠΎΡΡΠ΅ ΡΠ°ΠΊΠΆΠ΅ ΠΌΠΎΠΆΠ½ΠΎ Π½Π°Π·Π²Π°ΡΡ ΠΊΠΎΠΎΡΠ΄ΠΈΠ½Π°ΡΠ°ΠΌΠΈ ΠΈ ΡΠΊΠΎΡΠΎΡΡΡΠΌΠΈ Π² ΡΠΌΡΡΠ»Π΅ Π°Π±ΡΡΡΠ°ΠΊΡΠ½ΠΎΠ³ΠΎ ΠΎΠΏΠΈΡΠ°Π½ΠΈΡ Π΄ΠΈΠ½Π°ΠΌΠΈΡΠ΅ΡΠΊΠΎΠΉ ΡΠΈΡΡΠ΅ΠΌΡΒ β Π² ΠΊΠΎΠ»ΠΈΡΠ΅ΡΡΠ²Π΅, ΡΠ°ΠΊΠΆΠ΅ ΡΠ°Π²Π½ΠΎΠΌ ΠΊΠΎΠ»ΠΈΡΠ΅ΡΡΠ²Ρ Π΅Ρ ΡΡΠ΅ΠΏΠ΅Π½Π΅ΠΉ ΡΠ²ΠΎΠ±ΠΎΠ΄Ρ).
- β ΠΠ»Ρ ΠΌΠΎΠ½ΠΎΡ ΡΠΎΠΌΠ°ΡΠΈΡΠ΅ΡΠΊΠΈΡ Π²ΠΎΠ»Π½ ΡΡΠΎ ΡΡΠΎΡΠ½Π΅Π½ΠΈΠ΅ ΡΠ°ΠΌΠΎΠΎΡΠ΅Π²ΠΈΠ΄Π½ΠΎ, Π΄Π»Ρ Π±Π»ΠΈΠ·ΠΊΠΈΡ ΠΊ ΠΌΠΎΠ½ΠΎΡ ΡΠΎΠΌΠ°ΡΠΈΡΠ΅ΡΠΊΠΈΠΌΒ β ΠΈΠ½ΡΡΠΈΡΠΈΠ²Π½ΠΎ ΠΎΡΠ΅Π²ΠΈΠ΄Π½ΠΎ ΠΏΠΎ Π°Π½Π°Π»ΠΎΠ³ΠΈΠΈ ΡΠΎ ΡΡΡΠΎΠ³ΠΎ ΠΌΠΎΠ½ΠΎΡ ΡΠΎΠΌΠ°ΡΠΈΡΠ΅ΡΠΊΠΈΠΌΠΈ, Π΄Π»Ρ ΡΡΡΠ΅ΡΡΠ²Π΅Π½Π½ΠΎ Π½Π΅ΠΌΠΎΠ½ΠΎΡ ΡΠΎΠΌΠ°ΡΠΈΡΠ΅ΡΠΊΠΈΡ Β β Π½Π°ΠΈΠ±ΠΎΠ»Π΅Π΅ ΡΡΠ½ΡΠΉ ΡΠ»ΡΡΠ°ΠΉ ΡΠ²ΠΎΠ΄ΠΈΡΡΡ ΠΊ ΡΠΎΠΌΡ, ΡΡΠΎ ΡΠ°Π·ΠΎΠ²ΡΠ΅ ΡΠΊΠΎΡΠΎΡΡΠΈ Π²ΡΠ΅Ρ ΠΌΠΎΠ½ΠΎΡ ΡΠΎΠΌΠ°ΡΠΈΡΠ΅ΡΠΊΠΈΡ ΠΊΠΎΠΌΠΏΠΎΠ½Π΅Π½Ρ ΡΠΎΠ²ΠΏΠ°Π΄Π°ΡΡ Π΄ΡΡΠ³ Ρ Π΄ΡΡΠ³ΠΎΠΌ, ΠΏΠΎΡΡΠΎΠΌΡ ΠΊΠΎΠΌΠΌΠ΅Π½ΡΠΈΡΡΠ΅ΠΌΠΎΠ΅ ΡΡΠ²Π΅ΡΠΆΠ΄Π΅Π½ΠΈΠ΅ ΡΠ°ΠΊΠΆΠ΅ Π²Π΅ΡΠ½ΠΎ.
- β Π‘ ΡΠΎΡΠ½ΠΎΡΡΡΡ Π΄ΠΎ Π΅Π΄ΠΈΠ½ΠΈΡ ΠΈΠ·ΠΌΠ΅ΡΠ΅Π½ΠΈΡ: Π² ΡΡΠ°Π΄ΠΈΡΠΈΠΎΠ½Π½ΡΡ (ΠΎΠ±ΡΡΠ½ΡΡ ) ΡΠΈΡΡΠ΅ΠΌΠ°Ρ ΡΠΈΠ·ΠΈΡΠ΅ΡΠΊΠΈΡ Π΅Π΄ΠΈΠ½ΠΈΡ ΡΠ°ΡΡΠΎΡΠ° ΠΈ ΡΠ½Π΅ΡΠ³ΠΈΡ ΠΈΠ·ΠΌΠ΅ΡΡΡΡΡΡ Π² ΡΠ°Π·Π½ΡΡ Π΅Π΄ΠΈΠ½ΠΈΡΠ°Ρ (ΠΏΠΎΡΠΊΠΎΠ»ΡΠΊΡ Π΄ΠΎ ΠΏΠΎΡΠ²Π»Π΅Π½ΠΈΡ ΠΊΠ²Π°Π½ΡΠΎΠ²ΠΎΠΉ ΡΠ΅ΠΎΡΠΈΠΈ ΡΠΎΠ²ΠΏΠ°Π΄Π΅Π½ΠΈΠ΅ ΡΠ½Π΅ΡΠ³ΠΈΠΈ ΠΈ ΡΠ°ΡΡΠΎΡΡ Π±ΡΠ»ΠΎ Π½Π΅ΠΈΠ·Π²Π΅ΡΡΠ½ΠΎ, ΠΈ, Π΅ΡΡΠ΅ΡΡΠ²Π΅Π½Π½ΠΎ, Π΄Π»Ρ ΠΊΠ°ΠΆΠ΄ΠΎΠΉ ΠΈΠ· Π²Π΅Π»ΠΈΡΠΈΠ½ Π±ΡΠ»Π° Π²ΡΠ±ΡΠ°Π½Π° ΡΠ²ΠΎΡ Π½Π΅Π·Π°Π²ΠΈΡΠΈΠΌΠ°Ρ Π΅Π΄ΠΈΠ½ΠΈΡΠ° ΠΈΠ·ΠΌΠ΅ΡΠ΅Π½ΠΈΡ), ΠΏΠΎΡΡΠΎΠΌΡ ΠΏΡΠΈ ΠΈΠ·ΠΌΠ΅ΡΠ΅Π½ΠΈΠΈ ΠΈΡ Π² ΠΎΠ±ΡΡΠ½ΡΡ (ΡΠ°Π·Π½ΡΡ ) Π΅Π΄ΠΈΠ½ΠΈΡΠ°Ρ , Π½Π°ΠΏΡΠΈΠΌΠ΅Ρ, Π΄ΠΆΠΎΡΠ»ΡΡ ΠΈ Π³Π΅ΡΡΠ°Ρ ΡΡΠ΅Π±ΡΠ΅ΡΡΡ ΠΏΠ΅ΡΠ΅Π²ΠΎΠ΄Π½ΠΎΠΉ ΠΊΠΎΡΡΡΠΈΡΠΈΠ΅Π½Ρ (ΡΠ°ΠΊ Π½Π°Π·ΡΠ²Π°Π΅ΠΌΠ°Ρ ΠΊΠΎΠ½ΡΡΠ°Π½ΡΠ° ΠΠ»Π°Π½ΠΊΠ°). ΠΠ΄Π½Π°ΠΊΠΎ ΠΌΠΎΠΆΠ½ΠΎ Π²ΡΠ±ΡΠ°ΡΡ ΡΠΈΡΡΠ΅ΠΌΡ Π΅Π΄ΠΈΠ½ΠΈΡ ΠΈΠ·ΠΌΠ΅ΡΠ΅Π½ΠΈΡ ΡΠ°ΠΊ, ΡΡΠΎΠ±Ρ Π² Π½Π΅ΠΉ ΠΊΠΎΠ½ΡΡΠ°Π½ΡΠ° ΠΠ»Π°Π½ΠΊΠ° ΡΡΠ°Π»Π° ΡΠ°Π²Π½ΠΎΠΉ 1 ΠΈ ΠΏΡΠΎΠΏΠ°Π»Π° ΠΈΠ· ΡΠΎΡΠΌΡΠ»; Π² ΡΠ°ΠΊΠΎΠΉ ΡΠΈΡΡΠ΅ΠΌΠ΅ Π΅Π΄ΠΈΠ½ΠΈΡ ΡΠ½Π΅ΡΠ³ΠΈΡ Π»ΡΠ±ΠΎΠΉ ΡΠ°ΡΡΠΈΡΡ ΠΏΡΠΎΡΡΠΎ ΡΠ°Π²Π½Π° ΡΠ°ΡΡΠΎΡΠ΅ ΠΊΠΎΠ»Π΅Π±Π°Π½ΠΈΡ Π΅Ρ Π²ΠΎΠ»Π½ΠΎΠ²ΠΎΠΉ ΡΡΠ½ΠΊΡΠΈΠΈ (Π° Π·Π½Π°ΡΠΈΡ ΠΎΠ±ΡΠ°ΡΠ½Π° ΠΏΠ΅ΡΠΈΠΎΠ΄Ρ ΡΡΠΎΠ³ΠΎ ΠΊΠΎΠ»Π΅Π±Π°Π½ΠΈΡ).
- β ΠΠΌΠ΅Π΅ΡΡΡ Π² Π²ΠΈΠ΄Ρ, ΠΊΠΎΠ½Π΅ΡΠ½ΠΎ ΠΆΠ΅, Π½Π΅Π²ΠΎΠ·ΠΌΠΎΠΆΠ½ΠΎΡΡΡ ΡΠΊΡΠΏΠ΅ΡΠΈΠΌΠ΅Π½ΡΠ°Π»ΡΠ½ΠΎΠ³ΠΎ ΠΈΠ·ΠΌΠ΅ΡΠ΅Π½ΠΈΡ Π²ΡΠ΅ΠΌΠ΅Π½ ΠΊΠΎΠ½ΠΊΡΠ΅ΡΠ½ΡΡ ΠΏΡΠΎΡΠ΅ΡΡΠΎΠ² ΠΈΠ»ΠΈ ΠΏΠ΅ΡΠΈΠΎΠ΄ΠΎΠ² ΠΊΠΎΠ»Π΅Π±Π°Π½ΠΈΠΉ ΡΠ°ΠΊΠΎΠ³ΠΎ ΠΏΠΎΡΡΠ΄ΠΊΠ°, Π° Π½Π΅ ΠΏΡΠΎΡΡΠΎ Π²ΡΡΠΈΡΠ»Π΅Π½ΠΈΠ΅ Π½Π΅ΠΊΠΎΡΠΎΡΠΎΠ³ΠΎ ΡΠΈΡΠ»Π°.
- β ΠΡΡΡΠ΅, ΡΠ΅ΠΌ 0,5Β %, Π΅ΡΠ»ΠΈ Π²Π·ΡΡΡ ΠΌΠ΅ΡΡΠΎΠ»ΠΎΠ³ΠΈΡΠ΅ΡΠΊΠΎΠ΅ ΠΈΠ»ΠΈ ΠΏΡΠΈΠ½ΡΡΠΎΠ΅ ΡΠ΅Ρ Π½ΠΈΡΠ΅ΡΠΊΠΎΠ΅ Π·Π½Π°ΡΠ΅Π½ΠΈΠ΅ ΡΡΠΊΠΎΡΠ΅Π½ΠΈΡ ΡΠ²ΠΎΠ±ΠΎΠ΄Π½ΠΎΠ³ΠΎ ΠΏΠ°Π΄Π΅Π½ΠΈΡ; Π Ρ ΡΠ°Π·Π±ΡΠΎΡΠΎΠΌ ~0.53Β % Π΄Π»Ρ ΠΌΠ°ΠΊΡΠΈΠΌΠ°Π»ΡΠ½ΠΎΠ³ΠΎ ΠΈ ΠΌΠΈΠ½ΠΈΠΌΠ°Π»ΡΠ½ΠΎΠ³ΠΎ Π·Π½Π°ΡΠ΅Π½ΠΈΠΉ ΡΡΠΊΠΎΡΠ΅Π½ΠΈΡ ΡΠ²ΠΎΠ±ΠΎΠ΄Π½ΠΎΠ³ΠΎ ΠΏΠ°Π΄Π΅Π½ΠΈΡ, Π½Π°Π±Π»ΡΠ΄Π°Π΅ΠΌΡΡ Π½Π° Π·Π΅ΠΌΠ»Π΅.
Π‘ΡΡΠ»ΠΊΠΈ
ΠΡΡΡΠ²ΠΎΠΊ, Ρ Π°ΡΠ°ΠΊΡΠ΅ΡΠΈΠ·ΡΡΡΠΈΠΉ ΠΠ΅ΡΠΈΠΎΠ΄ ΠΊΠΎΠ»Π΅Π±Π°Π½ΠΈΠΉ
Π ΠΎΡΡΠΎΠ² ΠΌΠΎΠ»ΡΠ°Π».β Π Π²Ρ ΡΡΠΎ ΠΆ? ΡΠΎΠΆΠ΅ ΠΏΠΎΠ·Π°Π²ΡΡΠ°ΠΊΠ°ΡΡ? ΠΠΎΡΡΠ΄ΠΎΡΠ½ΠΎ ΠΊΠΎΡΠΌΡΡ, β ΠΏΡΠΎΠ΄ΠΎΠ»ΠΆΠ°Π» Π’Π΅Π»ΡΠ½ΠΈΠ½. β ΠΠ°Π²Π°ΠΉΡΠ΅ ΠΆΠ΅.
ΠΠ½ ΠΏΡΠΎΡΡΠ½ΡΠ» ΡΡΠΊΡ ΠΈ Π²Π·ΡΠ»ΡΡ Π·Π° ΠΊΠΎΡΠ΅Π»Π΅ΠΊ. Π ΠΎΡΡΠΎΠ² Π²ΡΠΏΡΡΡΠΈΠ» Π΅Π³ΠΎ. Π’Π΅Π»ΡΠ½ΠΈΠ½ Π²Π·ΡΠ» ΠΊΠΎΡΠ΅Π»Π΅ΠΊ ΠΈ ΡΡΠ°Π» ΠΎΠΏΡΡΠΊΠ°ΡΡ Π΅Π³ΠΎ Π² ΠΊΠ°ΡΠΌΠ°Π½ ΡΠ΅ΠΉΡΡΠ·, ΠΈ Π±ΡΠΎΠ²ΠΈ Π΅Π³ΠΎ Π½Π΅Π±ΡΠ΅ΠΆΠ½ΠΎ ΠΏΠΎΠ΄Π½ΡΠ»ΠΈΡΡ, Π° ΡΠΎΡ ΡΠ»Π΅Π³ΠΊΠ° ΡΠ°ΡΠΊΡΡΠ»ΡΡ, ΠΊΠ°ΠΊ Π±ΡΠ΄ΡΠΎ ΠΎΠ½ Π³ΠΎΠ²ΠΎΡΠΈΠ»: Β«Π΄Π°, Π΄Π°, ΠΊΠ»Π°Π΄Ρ Π² ΠΊΠ°ΡΠΌΠ°Π½ ΡΠ²ΠΎΠΉ ΠΊΠΎΡΠ΅Π»Π΅ΠΊ, ΠΈ ΡΡΠΎ ΠΎΡΠ΅Π½Ρ ΠΏΡΠΎΡΡΠΎ, ΠΈ Π½ΠΈΠΊΠΎΠΌΡ Π΄ΠΎ ΡΡΠΎΠ³ΠΎ Π΄Π΅Π»Π° Π½Π΅ΡΒ».
β ΠΡ, ΡΡΠΎ, ΡΠ½ΠΎΡΠ°? β ΡΠΊΠ°Π·Π°Π» ΠΎΠ½, Π²Π·Π΄ΠΎΡ Π½ΡΠ² ΠΈ ΠΈΠ· ΠΏΠΎΠ΄ ΠΏΡΠΈΠΏΠΎΠ΄Π½ΡΡΡΡ Π±ΡΠΎΠ²Π΅ΠΉ Π²Π·Π³Π»ΡΠ½ΡΠ² Π² Π³Π»Π°Π·Π° Π ΠΎΡΡΠΎΠ²Π°. ΠΠ°ΠΊΠΎΠΉ ΡΠΎ ΡΠ²Π΅Ρ Π³Π»Π°Π· Ρ Π±ΡΡΡΡΠΎΡΠΎΡ ΡΠ»Π΅ΠΊΡΡΠΈΡΠ΅ΡΠΊΠΎΠΉ ΠΈΡΠΊΡΡ ΠΏΠ΅ΡΠ΅Π±Π΅ΠΆΠ°Π» ΠΈΠ· Π³Π»Π°Π· Π’Π΅Π»ΡΠ½ΠΈΠ½Π° Π² Π³Π»Π°Π·Π° Π ΠΎΡΡΠΎΠ²Π° ΠΈ ΠΎΠ±ΡΠ°ΡΠ½ΠΎ, ΠΎΠ±ΡΠ°ΡΠ½ΠΎ ΠΈ ΠΎΠ±ΡΠ°ΡΠ½ΠΎ, Π²ΡΡ Π² ΠΎΠ΄Π½ΠΎ ΠΌΠ³Π½ΠΎΠ²Π΅Π½ΠΈΠ΅.
β ΠΠΎΠ΄ΠΈΡΠ΅ ΡΡΠ΄Π°, β ΠΏΡΠΎΠ³ΠΎΠ²ΠΎΡΠΈΠ» Π ΠΎΡΡΠΎΠ², Ρ Π²Π°ΡΠ°Ρ Π’Π΅Π»ΡΠ½ΠΈΠ½Π° Π·Π° ΡΡΠΊΡ. ΠΠ½ ΠΏΠΎΡΡΠΈ ΠΏΡΠΈΡΠ°ΡΠΈΠ» Π΅Π³ΠΎ ΠΊ ΠΎΠΊΠ½Ρ. β ΠΡΠΎ Π΄Π΅Π½ΡΠ³ΠΈ ΠΠ΅Π½ΠΈΡΠΎΠ²Π°, Π²Ρ ΠΈΡ Π²Π·ΡΠ»ΠΈβ¦ β ΠΏΡΠΎΡΠ΅ΠΏΡΠ°Π» ΠΎΠ½ Π΅ΠΌΡ Π½Π°Π΄ ΡΡ ΠΎΠΌ.
β Π§ΡΠΎ?β¦ Π§ΡΠΎ?β¦ ΠΠ°ΠΊ Π²Ρ ΡΠΌΠ΅Π΅ΡΠ΅? Π§ΡΠΎ?β¦ β ΠΏΡΠΎΠ³ΠΎΠ²ΠΎΡΠΈΠ» Π’Π΅Π»ΡΠ½ΠΈΠ½.
ΠΠΎ ΡΡΠΈ ΡΠ»ΠΎΠ²Π° Π·Π²ΡΡΠ°Π»ΠΈ ΠΆΠ°Π»ΠΎΠ±Π½ΡΠΌ, ΠΎΡΡΠ°ΡΠ½Π½ΡΠΌ ΠΊΡΠΈΠΊΠΎΠΌ ΠΈ ΠΌΠΎΠ»ΡΠ±ΠΎΠΉ ΠΎ ΠΏΡΠΎΡΠ΅Π½ΠΈΠΈ. ΠΠ°ΠΊ ΡΠΎΠ»ΡΠΊΠΎ Π ΠΎΡΡΠΎΠ² ΡΡΠ»ΡΡ Π°Π» ΡΡΠΎΡ Π·Π²ΡΠΊ Π³ΠΎΠ»ΠΎΡΠ°, Ρ Π΄ΡΡΠΈ Π΅Π³ΠΎ ΡΠ²Π°Π»ΠΈΠ»ΡΡ ΠΎΠ³ΡΠΎΠΌΠ½ΡΠΉ ΠΊΠ°ΠΌΠ΅Π½Ρ ΡΠΎΠΌΠ½Π΅Π½ΠΈΡ. ΠΠ½ ΠΏΠΎΡΡΠ²ΡΡΠ²ΠΎΠ²Π°Π» ΡΠ°Π΄ΠΎΡΡΡ ΠΈ Π² ΡΠΎ ΠΆΠ΅ ΠΌΠ³Π½ΠΎΠ²Π΅Π½ΠΈΠ΅ Π΅ΠΌΡ ΡΡΠ°Π»ΠΎ ΠΆΠ°Π»ΠΊΠΎ Π½Π΅ΡΡΠ°ΡΡΠ½ΠΎΠ³ΠΎ, ΡΡΠΎΡΠ²ΡΠ΅Π³ΠΎ ΠΏΠ΅ΡΠ΅Π΄ Π½ΠΈΠΌ ΡΠ΅Π»ΠΎΠ²Π΅ΠΊΠ°; Π½ΠΎ Π½Π°Π΄ΠΎ Π±ΡΠ»ΠΎ Π΄ΠΎ ΠΊΠΎΠ½ΡΠ° Π΄ΠΎΠ²Π΅ΡΡΠΈ Π½Π°ΡΠ°ΡΠΎΠ΅ Π΄Π΅Π»ΠΎ.
β ΠΠ΄Π΅ΡΡ Π»ΡΠ΄ΠΈ ΠΠΎΠ³ Π·Π½Π°Π΅Ρ ΡΡΠΎ ΠΌΠΎΠ³ΡΡ ΠΏΠΎΠ΄ΡΠΌΠ°ΡΡ, β Π±ΠΎΡΠΌΠΎΡΠ°Π» Π’Π΅Π»ΡΠ½ΠΈΠ½, ΡΡ Π²Π°ΡΡΠ²Π°Ρ ΡΡΡΠ°ΠΆΠΊΡ ΠΈ Π½Π°ΠΏΡΠ°Π²Π»ΡΡΡΡ Π² Π½Π΅Π±ΠΎΠ»ΡΡΡΡ ΠΏΡΡΡΡΡ ΠΊΠΎΠΌΠ½Π°ΡΡ, β Π½Π°Π΄ΠΎ ΠΎΠ±ΡΡΡΠ½ΠΈΡΡΡΡβ¦
β Π― ΡΡΠΎ Π·Π½Π°Ρ, ΠΈ Ρ ΡΡΠΎ Π΄ΠΎΠΊΠ°ΠΆΡ, β ΡΠΊΠ°Π·Π°Π» Π ΠΎΡΡΠΎΠ².
β Π―β¦
ΠΡΠΏΡΠ³Π°Π½Π½ΠΎΠ΅, Π±Π»Π΅Π΄Π½ΠΎΠ΅ Π»ΠΈΡΠΎ Π’Π΅Π»ΡΠ½ΠΈΠ½Π° Π½Π°ΡΠ°Π»ΠΎ Π΄ΡΠΎΠΆΠ°ΡΡ Π²ΡΠ΅ΠΌΠΈ ΠΌΡΡΠΊΡΠ»Π°ΠΌΠΈ; Π³Π»Π°Π·Π° Π²ΡΡ ΡΠ°ΠΊ ΠΆΠ΅ Π±Π΅Π³Π°Π»ΠΈ, Π½ΠΎ Π³Π΄Π΅ ΡΠΎ Π²Π½ΠΈΠ·Ρ, Π½Π΅ ΠΏΠΎΠ΄Π½ΠΈΠΌΠ°ΡΡΡ Π΄ΠΎ Π»ΠΈΡΠ° Π ΠΎΡΡΠΎΠ²Π°, ΠΈ ΠΏΠΎΡΠ»ΡΡΠ°Π»ΠΈΡΡ Π²ΡΡ Π»ΠΈΠΏΡΠ²Π°Π½ΡΡ.
β ΠΡΠ°Ρ!β¦ Π½Π΅ Π³ΡΠ±ΠΈΡΠ΅ ΠΌΠΎΠ»ΠΎΠ΄ΠΎΠ³ΠΎ ΡΠ΅Π»ΠΎΠ²Π΅ΠΊΠ°β¦ Π²ΠΎΡ ΡΡΠΈ Π½Π΅ΡΡΠ°ΡΡΠ½ΡΠ΅ Π΄Π΅Π½ΡΠ³ΠΈ, Π²ΠΎΠ·ΡΠΌΠΈΡΠ΅ ΠΈΡ β¦ β ΠΠ½ Π±ΡΠΎΡΠΈΠ» ΠΈΡ Π½Π° ΡΡΠΎΠ». β Π£ ΠΌΠ΅Π½Ρ ΠΎΡΠ΅Ρ ΡΡΠ°ΡΠΈΠΊ, ΠΌΠ°ΡΡ!β¦
Π ΠΎΡΡΠΎΠ² Π²Π·ΡΠ» Π΄Π΅Π½ΡΠ³ΠΈ, ΠΈΠ·Π±Π΅Π³Π°Ρ Π²Π·Π³Π»ΡΠ΄Π° Π’Π΅Π»ΡΠ½ΠΈΠ½Π°, ΠΈ, Π½Π΅ Π³ΠΎΠ²ΠΎΡΡ Π½ΠΈ ΡΠ»ΠΎΠ²Π°, ΠΏΠΎΡΠ΅Π» ΠΈΠ· ΠΊΠΎΠΌΠ½Π°ΡΡ. ΠΠΎ Ρ Π΄Π²Π΅ΡΠΈ ΠΎΠ½ ΠΎΡΡΠ°Π½ΠΎΠ²ΠΈΠ»ΡΡ ΠΈ Π²Π΅ΡΠ½ΡΠ»ΡΡ Π½Π°Π·Π°Π΄. β ΠΠΎΠΆΠ΅ ΠΌΠΎΠΉ, β ΡΠΊΠ°Π·Π°Π» ΠΎΠ½ ΡΠΎ ΡΠ»Π΅Π·Π°ΠΌΠΈ Π½Π° Π³Π»Π°Π·Π°Ρ , β ΠΊΠ°ΠΊ Π²Ρ ΠΌΠΎΠ³Π»ΠΈ ΡΡΠΎ ΡΠ΄Π΅Π»Π°ΡΡ?
β ΠΡΠ°Ρ, β ΡΠΊΠ°Π·Π°Π» Π’Π΅Π»ΡΠ½ΠΈΠ½, ΠΏΡΠΈΠ±Π»ΠΈΠΆΠ°ΡΡΡ ΠΊ ΡΠ½ΠΊΠ΅ΡΡ.
β ΠΠ΅ ΡΡΠΎΠ³Π°ΠΉΡΠ΅ ΠΌΠ΅Π½Ρ, β ΠΏΡΠΎΠ³ΠΎΠ²ΠΎΡΠΈΠ» Π ΠΎΡΡΠΎΠ², ΠΎΡΡΡΡΠ°Π½ΡΡΡΡ. β ΠΠΆΠ΅Π»ΠΈ Π²Π°ΠΌ Π½ΡΠΆΠ΄Π°, Π²ΠΎΠ·ΡΠΌΠΈΡΠ΅ ΡΡΠΈ Π΄Π΅Π½ΡΠ³ΠΈ. β ΠΠ½ ΡΠ²ΡΡΠ½ΡΠ» Π΅ΠΌΡ ΠΊΠΎΡΠ΅Π»Π΅ΠΊ ΠΈ Π²ΡΠ±Π΅ΠΆΠ°Π» ΠΈΠ· ΡΡΠ°ΠΊΡΠΈΡΠ°.
ΠΠ΅ΡΠ΅ΡΠΎΠΌ ΡΠΎΠ³ΠΎ ΠΆΠ΅ Π΄Π½Ρ Π½Π° ΠΊΠ²Π°ΡΡΠΈΡΠ΅ ΠΠ΅Π½ΠΈΡΠΎΠ²Π° ΡΠ΅Π» ΠΎΠΆΠΈΠ²Π»Π΅Π½Π½ΡΠΉ ΡΠ°Π·Π³ΠΎΠ²ΠΎΡ ΠΎΡΠΈΡΠ΅ΡΠΎΠ² ΡΡΠΊΠ°Π΄ΡΠΎΠ½Π°.
β Π Ρ Π³ΠΎΠ²ΠΎΡΡ Π²Π°ΠΌ, Π ΠΎΡΡΠΎΠ², ΡΡΠΎ Π²Π°ΠΌ Π½Π°Π΄ΠΎ ΠΈΠ·Π²ΠΈΠ½ΠΈΡΡΡΡ ΠΏΠ΅ΡΠ΅Π΄ ΠΏΠΎΠ»ΠΊΠΎΠ²ΡΠΌ ΠΊΠΎΠΌΠ°Π½Π΄ΠΈΡΠΎΠΌ, β Π³ΠΎΠ²ΠΎΡΠΈΠ», ΠΎΠ±ΡΠ°ΡΠ°ΡΡΡ ΠΊ ΠΏΡΠ½ΡΠΎΠ²ΠΎ ΠΊΡΠ°ΡΠ½ΠΎΠΌΡ, Π²Π·Π²ΠΎΠ»Π½ΠΎΠ²Π°Π½Π½ΠΎΠΌΡ Π ΠΎΡΡΠΎΠ²Ρ, Π²ΡΡΠΎΠΊΠΈΠΉ ΡΡΠ°Π± ΡΠΎΡΠΌΠΈΡΡΡ, Ρ ΡΠ΅Π΄Π΅ΡΡΠΈΠΌΠΈ Π²ΠΎΠ»ΠΎΡΠ°ΠΌΠΈ, ΠΎΠ³ΡΠΎΠΌΠ½ΡΠΌΠΈ ΡΡΠ°ΠΌΠΈ ΠΈ ΠΊΡΡΠΏΠ½ΡΠΌΠΈ ΡΠ΅ΡΡΠ°ΠΌΠΈ ΠΌΠΎΡΡΠΈΠ½ΠΈΡΡΠΎΠ³ΠΎ Π»ΠΈΡΠ°.
Π¨ΡΠ°Π± ΡΠΎΡΠΌΠΈΡΡΡ ΠΠΈΡΡΡΠ΅Π½ Π±ΡΠ» Π΄Π²Π° ΡΠ°Π·Π° ΡΠ°Π·ΠΆΠ°Π»ΠΎΠ²Π°Π½ Π² ΡΠΎΠ»Π΄Π°ΡΡ Π·a Π΄Π΅Π»Π° ΡΠ΅ΡΡΠΈ ΠΈ Π΄Π²Π° ΡΠ°Π·Π° Π²ΡΡΠ»ΡΠΆΠΈΠ²Π°Π»ΡΡ.
β Π― Π½ΠΈΠΊΠΎΠΌΡ Π½Π΅ ΠΏΠΎΠ·Π²ΠΎΠ»Ρ ΡΠ΅Π±Π΅ Π³ΠΎΠ²ΠΎΡΠΈΡΡ, ΡΡΠΎ Ρ Π»Π³Ρ! β Π²ΡΠΊΡΠΈΠΊΠ½ΡΠ» Π ΠΎΡΡΠΎΠ². β ΠΠ½ ΡΠΊΠ°Π·Π°Π» ΠΌΠ½Π΅, ΡΡΠΎ Ρ Π»Π³Ρ, Π° Ρ ΡΠΊΠ°Π·Π°Π» Π΅ΠΌΡ, ΡΡΠΎ ΠΎΠ½ Π»ΠΆΠ΅Ρ. Π’Π°ΠΊ Ρ ΡΠ΅ΠΌ ΠΈ ΠΎΡΡΠ°Π½Π΅ΡΡΡ. ΠΠ° Π΄Π΅ΠΆΡΡΡΡΠ²ΠΎ ΠΌΠΎΠΆΠ΅Ρ ΠΌΠ΅Π½Ρ Π½Π°Π·Π½Π°ΡΠ°ΡΡ Ρ
ΠΎΡΡ ΠΊΠ°ΠΆΠ΄ΡΠΉ Π΄Π΅Π½Ρ ΠΈ ΠΏΠΎΠ΄ Π°ΡΠ΅ΡΡ ΡΠ°ΠΆΠ°ΡΡ, Π° ΠΈΠ·Π²ΠΈΠ½ΡΡΡΡΡ ΠΌΠ΅Π½Ρ Π½ΠΈΠΊΡΠΎ Π½Π΅ Π·Π°ΡΡΠ°Π²ΠΈΡ, ΠΏΠΎΡΠΎΠΌΡ ΡΡΠΎ Π΅ΠΆΠ΅Π»ΠΈ ΠΎΠ½, ΠΊΠ°ΠΊ ΠΏΠΎΠ»ΠΊΠΎΠ²ΠΎΠΉ ΠΊΠΎΠΌΠ°Π½Π΄ΠΈΡ, ΡΡΠΈΡΠ°Π΅Ρ Π½Π΅Π΄ΠΎΡΡΠΎΠΉΠ½ΡΠΌ ΡΠ΅Π±Ρ Π΄Π°ΡΡ ΠΌΠ½Π΅ ΡΠ΄ΠΎΠ²Π»Π΅ΡΠ²ΠΎΡΠ΅Π½ΠΈΠ΅, ΡΠ°ΠΊβ¦
β ΠΠ° Π²Ρ ΠΏΠΎΡΡΠΎΠΉΡΠ΅, Π±Π°ΡΡΡΠΊΠ°; Π²Ρ ΠΏΠΎΡΠ»ΡΡΠ°ΠΉΡΠ΅ ΠΌΠ΅Π½Ρ, β ΠΏΠ΅ΡΠ΅Π±ΠΈΠ» ΡΡΠ°Π± ΡΠΎΡΠΌΠΈΡΡΡ ΡΠ²ΠΎΠΈΠΌ Π±Π°ΡΠΈΡΡΡΠΌ Π³ΠΎΠ»ΠΎΡΠΎΠΌ, ΡΠΏΠΎΠΊΠΎΠΉΠ½ΠΎ ΡΠ°Π·Π³Π»Π°ΠΆΠΈΠ²Π°Ρ ΡΠ²ΠΎΠΈ Π΄Π»ΠΈΠ½Π½ΡΠ΅ ΡΡΡ. β ΠΡ ΠΏΡΠΈ Π΄ΡΡΠ³ΠΈΡ
ΠΎΡΠΈΡΠ΅ΡΠ°Ρ
Π³ΠΎΠ²ΠΎΡΠΈΡΠ΅ ΠΏΠΎΠ»ΠΊΠΎΠ²ΠΎΠΌΡ ΠΊΠΎΠΌΠ°Π½Π΄ΠΈΡΡ, ΡΡΠΎ ΠΎΡΠΈΡΠ΅Ρ ΡΠΊΡΠ°Π»β¦
β Π― Π½Π΅ Π²ΠΈΠ½ΠΎΠ²Π°Ρ, ΡΡΠΎ ΡΠ°Π·Π³ΠΎΠ²ΠΎΡ Π·Π°ΡΠ΅Π» ΠΏΡΠΈ Π΄ΡΡΠ³ΠΈΡ
ΠΎΡΠΈΡΠ΅ΡΠ°Ρ
. ΠΠΎΠΆΠ΅Ρ Π±ΡΡΡ, Π½Π΅ Π½Π°Π΄ΠΎ Π±ΡΠ»ΠΎ Π³ΠΎΠ²ΠΎΡΠΈΡΡ ΠΏΡΠΈ Π½ΠΈΡ
, Π΄Π° Ρ Π½Π΅ Π΄ΠΈΠΏΠ»ΠΎΠΌΠ°Ρ. Π― Π·Π°ΡΠ΅ΠΌ Π² Π³ΡΡΠ°ΡΡ ΠΈ ΠΏΠΎΡΠ΅Π», Π΄ΡΠΌΠ°Π», ΡΡΠΎ Π·Π΄Π΅ΡΡ Π½Π΅ Π½ΡΠΆΠ½ΠΎ ΡΠΎΠ½ΠΊΠΎΡΡΠ΅ΠΉ, Π° ΠΎΠ½ ΠΌΠ½Π΅ Π³ΠΎΠ²ΠΎΡΠΈΡ, ΡΡΠΎ Ρ Π»Π³Ρβ¦ ΡΠ°ΠΊ ΠΏΡΡΡΡ Π΄Π°ΡΡ ΠΌΠ½Π΅ ΡΠ΄ΠΎΠ²Π»Π΅ΡΠ²ΠΎΡΠ΅Π½ΠΈΠ΅β¦
β ΠΡΠΎ Π²ΡΡ Ρ
ΠΎΡΠΎΡΠΎ, Π½ΠΈΠΊΡΠΎ Π½Π΅ Π΄ΡΠΌΠ°Π΅Ρ, ΡΡΠΎ Π²Ρ ΡΡΡΡ, Π΄Π° Π½Π΅ Π² ΡΠΎΠΌ Π΄Π΅Π»ΠΎ. Π‘ΠΏΡΠΎΡΠΈΡΠ΅ Ρ ΠΠ΅Π½ΠΈΡΠΎΠ²Π°, ΠΏΠΎΡ
ΠΎΠΆΠ΅ ΡΡΠΎ Π½Π° ΡΡΠΎ Π½ΠΈΠ±ΡΠ΄Ρ, ΡΡΠΎΠ±Ρ ΡΠ½ΠΊΠ΅Ρ ΡΡΠ΅Π±ΠΎΠ²Π°Π» ΡΠ΄ΠΎΠ²Π»Π΅ΡΠ²ΠΎΡΠ΅Π½ΠΈΡ Ρ ΠΏΠΎΠ»ΠΊΠΎΠ²ΠΎΠ³ΠΎ ΠΊΠΎΠΌΠ°Π½Π΄ΠΈΡΠ°?
ΠΠ΅Π½ΠΈΡΠΎΠ², Π·Π°ΠΊΡΡΠΈΠ² ΡΡ, Ρ ΠΌΡΠ°ΡΠ½ΡΠΌ Π²ΠΈΠ΄ΠΎΠΌ ΡΠ»ΡΡΠ°Π» ΡΠ°Π·Π³ΠΎΠ²ΠΎΡ, Π²ΠΈΠ΄ΠΈΠΌΠΎ Π½Π΅ ΠΆΠ΅Π»Π°Ρ Π²ΡΡΡΠΏΠ°ΡΡΡΡ Π² Π½Π΅Π³ΠΎ. ΠΠ° Π²ΠΎΠΏΡΠΎΡ ΡΡΠ°Π± ΡΠΎΡΠΌΠΈΡΡΡΠ° ΠΎΠ½ ΠΎΡΡΠΈΡΠ°ΡΠ΅Π»ΡΠ½ΠΎ ΠΏΠΎΠΊΠ°ΡΠ°Π» Π³ΠΎΠ»ΠΎΠ²ΠΎΠΉ.
β ΠΡ ΠΏΡΠΈ ΠΎΡΠΈΡΠ΅ΡΠ°Ρ
Π³ΠΎΠ²ΠΎΡΠΈΡΠ΅ ΠΏΠΎΠ»ΠΊΠΎΠ²ΠΎΠΌΡ ΠΊΠΎΠΌΠ°Π½Π΄ΠΈΡΡ ΠΏΡΠΎ ΡΡΡ ΠΏΠ°ΠΊΠΎΡΡΡ, β ΠΏΡΠΎΠ΄ΠΎΠ»ΠΆΠ°Π» ΡΡΠ°Π± ΡΠΎΡΠΌΠΈΡΡΡ. β ΠΠΎΠ³Π΄Π°Π½ΡΡ (ΠΠΎΠ³Π΄Π°Π½ΡΡΠ΅ΠΌ Π½Π°Π·ΡΠ²Π°Π»ΠΈ ΠΏΠΎΠ»ΠΊΠΎΠ²ΠΎΠ³ΠΎ ΠΊΠΎΠΌΠ°Π½Π΄ΠΈΡΠ°) Π²Π°Ρ ΠΎΡΠ°Π΄ΠΈΠ».
β ΠΠ΅ ΠΎΡΠ°Π΄ΠΈΠ», Π° ΡΠΊΠ°Π·Π°Π», ΡΡΠΎ Ρ Π½Π΅ΠΏΡΠ°Π²Π΄Ρ Π³ΠΎΠ²ΠΎΡΡ.
β ΠΡ Π΄Π°, ΠΈ Π²Ρ Π½Π°Π³ΠΎΠ²ΠΎΡΠΈΠ»ΠΈ Π΅ΠΌΡ Π³Π»ΡΠΏΠΎΡΡΠ΅ΠΉ, ΠΈ Π½Π°Π΄ΠΎ ΠΈΠ·Π²ΠΈΠ½ΠΈΡΡΡΡ.
β ΠΠΈ Π·Π° ΡΡΠΎ! β ΠΊΡΠΈΠΊΠ½ΡΠ» Π ΠΎΡΡΠΎΠ².
β ΠΠ΅ Π΄ΡΠΌΠ°Π» Ρ ΡΡΠΎΠ³ΠΎ ΠΎΡ Π²Π°Ρ, β ΡΠ΅ΡΡΠ΅Π·Π½ΠΎ ΠΈ ΡΡΡΠΎΠ³ΠΎ ΡΠΊΠ°Π·Π°Π» ΡΡΠ°Π± ΡΠΎΡΠΌΠΈΡΡΡ. β ΠΡ Π½Π΅ Ρ
ΠΎΡΠΈΡΠ΅ ΠΈΠ·Π²ΠΈΠ½ΠΈΡΡΡΡ, Π° Π²Ρ, Π±Π°ΡΡΡΠΊΠ°, Π½Π΅ ΡΠΎΠ»ΡΠΊΠΎ ΠΏΠ΅ΡΠ΅Π΄ Π½ΠΈΠΌ, Π° ΠΏΠ΅ΡΠ΅Π΄ Π²ΡΠ΅ΠΌ ΠΏΠΎΠ»ΠΊΠΎΠΌ, ΠΏΠ΅ΡΠ΅Π΄ Π²ΡΠ΅ΠΌΠΈ Π½Π°ΠΌΠΈ, Π²Ρ ΠΊΡΡΠ³ΠΎΠΌ Π²ΠΈΠ½ΠΎΠ²Π°ΡΡ. Π Π²ΠΎΡ ΠΊΠ°ΠΊ: ΠΊΠ°Π±Ρ Π²Ρ ΠΏΠΎΠ΄ΡΠΌΠ°Π»ΠΈ Π΄Π° ΠΏΠΎΡΠΎΠ²Π΅ΡΠΎΠ²Π°Π»ΠΈΡΡ, ΠΊΠ°ΠΊ ΠΎΠ±ΠΎΠΉΡΠΈΡΡ Ρ ΡΡΠΈΠΌ Π΄Π΅Π»ΠΎΠΌ, Π° ΡΠΎ Π²Ρ ΠΏΡΡΠΌΠΎ, Π΄Π° ΠΏΡΠΈ ΠΎΡΠΈΡΠ΅ΡΠ°Ρ
, ΠΈ Π±ΡΡ
Π½ΡΠ»ΠΈ. Π§ΡΠΎ ΡΠ΅ΠΏΠ΅ΡΡ Π΄Π΅Π»Π°ΡΡ ΠΏΠΎΠ»ΠΊΠΎΠ²ΠΎΠΌΡ ΠΊΠΎΠΌΠ°Π½Π΄ΠΈΡΡ? ΠΠ°Π΄ΠΎ ΠΎΡΠ΄Π°ΡΡ ΠΏΠΎΠ΄ ΡΡΠ΄ ΠΎΡΠΈΡΠ΅ΡΠ° ΠΈ Π·Π°ΠΌΠ°ΡΠ°ΡΡ Π²Π΅ΡΡ ΠΏΠΎΠ»ΠΊ? ΠΠ· Π·Π° ΠΎΠ΄Π½ΠΎΠ³ΠΎ Π½Π΅Π³ΠΎΠ΄ΡΡ Π²Π΅ΡΡ ΠΏΠΎΠ»ΠΊ ΠΎΡΡΠ°ΠΌΠΈΡΡ? Π’Π°ΠΊ, ΡΡΠΎ Π»ΠΈ, ΠΏΠΎ Π²Π°ΡΠ΅ΠΌΡ? Π ΠΏΠΎ Π½Π°ΡΠ΅ΠΌΡ, Π½Π΅ ΡΠ°ΠΊ. Π ΠΠΎΠ³Π΄Π°Π½ΡΡ ΠΌΠΎΠ»ΠΎΠ΄Π΅Ρ, ΠΎΠ½ Π²Π°ΠΌ ΡΠΊΠ°Π·Π°Π», ΡΡΠΎ Π²Ρ Π½Π΅ΠΏΡΠ°Π²Π΄Ρ Π³ΠΎΠ²ΠΎΡΠΈΡΠ΅. ΠΠ΅ΠΏΡΠΈΡΡΠ½ΠΎ, Π΄Π° ΡΡΠΎ Π΄Π΅Π»Π°ΡΡ, Π±Π°ΡΡΡΠΊΠ°, ΡΠ°ΠΌΠΈ Π½Π°ΡΠΊΠΎΡΠΈΠ»ΠΈ. Π ΡΠ΅ΠΏΠ΅ΡΡ, ΠΊΠ°ΠΊ Π΄Π΅Π»ΠΎ Ρ
ΠΎΡΡΡ Π·Π°ΠΌΡΡΡ, ΡΠ°ΠΊ Π²Ρ ΠΈΠ· Π·Π° ΡΠ°Π½Π°Π±Π΅ΡΠΈΠΈ ΠΊΠ°ΠΊΠΎΠΉ ΡΠΎ Π½Π΅ Ρ
ΠΎΡΠΈΡΠ΅ ΠΈΠ·Π²ΠΈΠ½ΠΈΡΡΡΡ, Π° Ρ
ΠΎΡΠΈΡΠ΅ Π²ΡΡ ΡΠ°ΡΡΠΊΠ°Π·Π°ΡΡ. ΠΠ°ΠΌ ΠΎΠ±ΠΈΠ΄Π½ΠΎ, ΡΡΠΎ Π²Ρ ΠΏΠΎΠ΄Π΅ΠΆΡΡΠΈΡΠ΅, Π΄Π° ΡΡΠΎ Π²Π°ΠΌ ΠΈΠ·Π²ΠΈΠ½ΠΈΡΡΡΡ ΠΏΠ΅ΡΠ΅Π΄ ΡΡΠ°ΡΡΠΌ ΠΈ ΡΠ΅ΡΡΠ½ΡΠΌ ΠΎΡΠΈΡΠ΅ΡΠΎΠΌ! ΠΠ°ΠΊΠΎΠΉ Π±Ρ ΡΠ°ΠΌ Π½ΠΈ Π±ΡΠ» ΠΠΎΠ³Π΄Π°Π½ΡΡ, Π° Π²ΡΡ ΡΠ΅ΡΡΠ½ΡΠΉ ΠΈ Ρ
ΡΠ°Π±ΡΡΠΉ, ΡΡΠ°ΡΡΠΉ ΠΏΠΎΠ»ΠΊΠΎΠ²Π½ΠΈΠΊ, ΡΠ°ΠΊ Π²Π°ΠΌ ΠΎΠ±ΠΈΠ΄Π½ΠΎ; Π° Π·Π°ΠΌΠ°ΡΠ°ΡΡ ΠΏΠΎΠ»ΠΊ Π²Π°ΠΌ Π½ΠΈΡΠ΅Π³ΠΎ? β ΠΠΎΠ»ΠΎΡ ΡΡΠ°Π± ΡΠΎΡΠΌΠΈΡΡΡΠ° Π½Π°ΡΠΈΠ½Π°Π» Π΄ΡΠΎΠΆΠ°ΡΡ. β ΠΡ, Π±Π°ΡΡΡΠΊΠ°, Π² ΠΏΠΎΠ»ΠΊΡ Π±Π΅Π· Π³ΠΎΠ΄Ρ Π½Π΅Π΄Π΅Π»Ρ; Π½ΡΠ½ΡΠ΅ Π·Π΄Π΅ΡΡ, Π·Π°Π²ΡΡΠ° ΠΏΠ΅ΡΠ΅ΡΠ»ΠΈ ΠΊΡΠ΄Π° Π² Π°Π΄ΡΡΡΠ°Π½ΡΠΈΠΊΠΈ; Π²Π°ΠΌ Π½Π°ΠΏΠ»Π΅Π²Π°ΡΡ, ΡΡΠΎ Π³ΠΎΠ²ΠΎΡΠΈΡΡ Π±ΡΠ΄ΡΡ: Β«ΠΌΠ΅ΠΆΠ΄Ρ ΠΏΠ°Π²Π»ΠΎΠ³ΡΠ°Π΄ΡΠΊΠΈΠΌΠΈ ΠΎΡΠΈΡΠ΅ΡΠ°ΠΌΠΈ Π²ΠΎΡΡ!Β» Π Π½Π°ΠΌ Π½Π΅ Π²ΡΡ ΡΠ°Π²Π½ΠΎ. Π’Π°ΠΊ, ΡΡΠΎ Π»ΠΈ, ΠΠ΅Π½ΠΈΡΠΎΠ²? ΠΠ΅ Π²ΡΡ ΡΠ°Π²Π½ΠΎ?
ΠΠ΅Π½ΠΈΡΠΎΠ² Π²ΡΡ ΠΌΠΎΠ»ΡΠ°Π» ΠΈ Π½Π΅ ΡΠ΅Π²Π΅Π»ΠΈΠ»ΡΡ, ΠΈΠ·ΡΠ΅Π΄ΠΊΠ° Π²Π·Π³Π»ΡΠ΄ΡΠ²Π°Ρ ΡΠ²ΠΎΠΈΠΌΠΈ Π±Π»Π΅ΡΡΡΡΠΈΠΌΠΈ, ΡΠ΅ΡΠ½ΡΠΌΠΈ Π³Π»Π°Π·Π°ΠΌΠΈ Π½Π° Π ΠΎΡΡΠΎΠ²Π°.
β ΠΠ°ΠΌ ΡΠ²ΠΎΡ ΡΠ°Π½Π°Π±Π΅ΡΠΈΡ Π΄ΠΎΡΠΎΠ³Π°, ΠΈΠ·Π²ΠΈΠ½ΠΈΡΡΡΡ Π½Π΅ Ρ
ΠΎΡΠ΅ΡΡΡ, β ΠΏΡΠΎΠ΄ΠΎΠ»ΠΆΠ°Π» ΡΡΠ°Π± ΡΠΎΡΠΌΠΈΡΡΡ, β Π° Π½Π°ΠΌ, ΡΡΠ°ΡΠΈΠΊΠ°ΠΌ, ΠΊΠ°ΠΊ ΠΌΡ Π²ΡΡΠΎΡΠ»ΠΈ, Π΄Π° ΠΈ ΡΠΌΠ΅ΡΠ΅ΡΡ, ΠΠΎΠ³ Π΄Π°ΡΡ, ΠΏΡΠΈΠ²Π΅Π΄Π΅ΡΡΡ Π² ΠΏΠΎΠ»ΠΊΡ, ΡΠ°ΠΊ Π½Π°ΠΌ ΡΠ΅ΡΡΡ ΠΏΠΎΠ»ΠΊΠ° Π΄ΠΎΡΠΎΠ³Π°, ΠΈ ΠΠΎΠ³Π΄Π°Π½ΡΡ ΡΡΠΎ Π·Π½Π°Π΅Ρ. ΠΡ
, ΠΊΠ°ΠΊ Π΄ΠΎΡΠΎΠ³Π°, Π±Π°ΡΡΡΠΊΠ°! Π ΡΡΠΎ Π½Π΅Ρ
ΠΎΡΠΎΡΠΎ, Π½Π΅Ρ
ΠΎΡΠΎΡΠΎ! Π’Π°ΠΌ ΠΎΠ±ΠΈΠΆΠ°ΠΉΡΠ΅ΡΡ ΠΈΠ»ΠΈ Π½Π΅Ρ, Π° Ρ Π²ΡΠ΅Π³Π΄Π° ΠΏΡΠ°Π²Π΄Ρ ΠΌΠ°ΡΠΊΡ ΡΠΊΠ°ΠΆΡ. ΠΠ΅Ρ
ΠΎΡΠΎΡΠΎ!
Π ΡΡΠ°Π± ΡΠΎΡΠΌΠΈΡΡΡ Π²ΡΡΠ°Π» ΠΈ ΠΎΡΠ²Π΅ΡΠ½ΡΠ»ΡΡ ΠΎΡ Π ΠΎΡΡΠΎΠ²Π°.
β ΠΠ³’Π°Π²Π΄Π°, ΡΠΎΠ³’Ρ Π²ΠΎΠ·ΡΠΌΠΈ! β Π·Π°ΠΊΡΠΈΡΠ°Π», Π²ΡΠΊΠ°ΠΊΠΈΠ²Π°Ρ, ΠΠ΅Π½ΠΈΡΠΎΠ². β ΠΡ, Π’ΠΎΡΡΠΎΠ²! ΠΡ!
Π ΠΎΡΡΠΎΠ², ΠΊΡΠ°ΡΠ½Π΅Ρ ΠΈ Π±Π»Π΅Π΄Π½Π΅Ρ, ΡΠΌΠΎΡΡΠ΅Π» ΡΠΎ Π½Π° ΠΎΠ΄Π½ΠΎΠ³ΠΎ, ΡΠΎ Π½Π° Π΄ΡΡΠ³ΠΎΠ³ΠΎ ΠΎΡΠΈΡΠ΅ΡΠ°.
β ΠΠ΅Ρ, Π³ΠΎΡΠΏΠΎΠ΄Π°, Π½Π΅Ρβ¦ Π²Ρ Π½Π΅ Π΄ΡΠΌΠ°ΠΉΡΠ΅β¦ Ρ ΠΎΡΠ΅Π½Ρ ΠΏΠΎΠ½ΠΈΠΌΠ°Ρ, Π²Ρ Π½Π°ΠΏΡΠ°ΡΠ½ΠΎ ΠΎΠ±ΠΎ ΠΌΠ½Π΅ Π΄ΡΠΌΠ°Π΅ΡΠ΅ ΡΠ°ΠΊβ¦ Ρβ¦ Π΄Π»Ρ ΠΌΠ΅Π½Ρβ¦ Ρ Π·Π° ΡΠ΅ΡΡΡ ΠΏΠΎΠ»ΠΊΠ°.Π΄Π° ΡΡΠΎ? ΡΡΠΎ Π½Π° Π΄Π΅Π»Π΅ Ρ ΠΏΠΎΠΊΠ°ΠΆΡ, ΠΈ Π΄Π»Ρ ΠΌΠ΅Π½Ρ ΡΠ΅ΡΡΡ Π·Π½Π°ΠΌΠ΅Π½ΠΈβ¦Π½Ρ, Π²ΡΡ ΡΠ°Π²Π½ΠΎ, ΠΏΡΠ°Π²Π΄Π°, Ρ Π²ΠΈΠ½ΠΎΠ²Π°Ρ!.. β Π‘Π»Π΅Π·Ρ ΡΡΠΎΡΠ»ΠΈ Ρ Π½Π΅Π³ΠΎ Π² Π³Π»Π°Π·Π°Ρ
. β Π― Π²ΠΈΠ½ΠΎΠ²Π°Ρ, ΠΊΡΡΠ³ΠΎΠΌ Π²ΠΈΠ½ΠΎΠ²Π°Ρ!β¦ ΠΡ, ΡΡΠΎ Π²Π°ΠΌ Π΅ΡΠ΅?β¦
β ΠΠΎΡ ΡΡΠΎ ΡΠ°ΠΊ, Π³ΡΠ°Ρ, β ΠΏΠΎΠ²ΠΎΡΠ°ΡΠΈΠ²Π°ΡΡΡ, ΠΊΡΠΈΠΊΠ½ΡΠ» ΡΡΠ°Π± ΡΠΎΡΠΌΠΈΡΡΡ, ΡΠ΄Π°ΡΡΡ Π΅Π³ΠΎ Π±ΠΎΠ»ΡΡΠΎΡ ΡΡΠΊΠΎΡ ΠΏΠΎ ΠΏΠ»Π΅ΡΡ.
β Π― ΡΠ΅Π±Π΅ Π³ΠΎΠ²ΠΎΠ³’Ρ, β Π·Π°ΠΊΡΠΈΡΠ°Π» ΠΠ΅Π½ΠΈΡΠΎΠ², β ΠΎΠ½ ΠΌΠ°Π»ΡΠΉ ΡΠ»Π°Π²Π½ΡΠΉ.
β Π’Π°ΠΊ ΡΠΎ Π»ΡΡΡΠ΅, Π³ΡΠ°Ρ, β ΠΏΠΎΠ²ΡΠΎΡΠΈΠ» ΡΡΠ°Π± ΡΠΎΡΠΌΠΈΡΡΡ, ΠΊΠ°ΠΊ Π±ΡΠ΄ΡΠΎ Π·Π° Π΅Π³ΠΎ ΠΏΡΠΈΠ·Π½Π°Π½ΠΈΠ΅ Π½Π°ΡΠΈΠ½Π°Ρ Π²Π΅Π»ΠΈΡΠ°ΡΡ Π΅Π³ΠΎ ΡΠΈΡΡΠ»ΠΎΠΌ. β ΠΠΎΠ΄ΠΈΡΠ΅ ΠΈ ΠΈΠ·Π²ΠΈΠ½ΠΈΡΠ΅ΡΡ, Π²Π°ΡΠ΅ ΡΠΈΡΡΠ΅Π»ΡΡΡΠ²ΠΎ, Π΄Π° Ρ.
β ΠΠΎΡΠΏΠΎΠ΄Π°, Π²ΡΡ ΡΠ΄Π΅Π»Π°Ρ, Π½ΠΈΠΊΡΠΎ ΠΎΡ ΠΌΠ΅Π½Ρ ΡΠ»ΠΎΠ²Π° Π½Π΅ ΡΡΠ»ΡΡΠΈΡ, β ΡΠΌΠΎΠ»ΡΡΡΠΈΠΌ Π³ΠΎΠ»ΠΎΡΠΎΠΌ ΠΏΡΠΎΠ³ΠΎΠ²ΠΎΡΠΈΠ» Π ΠΎΡΡΠΎΠ², β Π½ΠΎ ΠΈΠ·Π²ΠΈΠ½ΡΡΡΡΡ Π½Π΅ ΠΌΠΎΠ³Ρ, Π΅ΠΉ ΠΠΎΠ³Ρ, Π½Π΅ ΠΌΠΎΠ³Ρ, ΠΊΠ°ΠΊ Ρ
ΠΎΡΠΈΡΠ΅! ΠΠ°ΠΊ Ρ Π±ΡΠ΄Ρ ΠΈΠ·Π²ΠΈΠ½ΡΡΡΡΡ, ΡΠΎΡΠ½ΠΎ ΠΌΠ°Π»Π΅Π½ΡΠΊΠΈΠΉ, ΠΏΡΠΎΡΠ΅Π½ΡΡ ΠΏΡΠΎΡΠΈΡΡ?
ΠΠ΅Π½ΠΈΡΠΎΠ² Π·Π°ΡΠΌΠ΅ΡΠ»ΡΡ.
β ΠΠ°ΠΌ ΠΆΠ΅ Ρ
ΡΠΆΠ΅. ΠΠΎΠ³Π΄Π°Π½ΡΡ Π·Π»ΠΎΠΏΠ°ΠΌΡΡΠ΅Π½, ΠΏΠΎΠΏΠ»Π°ΡΠΈΡΠ΅ΡΡ Π·Π° ΡΠΏΡΡΠΌΡΡΠ²ΠΎ, β ΡΠΊΠ°Π·Π°Π» ΠΠΈΡΡΡΠ΅Π½.
β ΠΠΉ ΠΠΎΠ³Ρ, Π½Π΅ ΡΠΏΡΡΠΌΡΡΠ²ΠΎ! Π― Π½Π΅ ΠΌΠΎΠ³Ρ Π²Π°ΠΌ ΠΎΠΏΠΈΡΠ°ΡΡ, ΠΊΠ°ΠΊΠΎΠ΅ ΡΡΠ²ΡΡΠ²ΠΎ, Π½Π΅ ΠΌΠΎΠ³Ρβ¦
β ΠΡ, Π²Π°ΡΠ° Π²ΠΎΠ»Ρ, β ΡΠΊΠ°Π·Π°Π» ΡΡΠ°Π± ΡΠΎΡΠΌΠΈΡΡΡ. β Π§ΡΠΎ ΠΆ, ΠΌΠ΅ΡΠ·Π°Π²Π΅Ρ ΡΠΎ ΡΡΠΎΡ ΠΊΡΠ΄Π° Π΄Π΅Π»ΡΡ? β ΡΠΏΡΠΎΡΠΈΠ» ΠΎΠ½ Ρ ΠΠ΅Π½ΠΈΡΠΎΠ²Π°.
β Π‘ΠΊΠ°Π·Π°Π»ΡΡ Π±ΠΎΠ»ΡΠ½ΡΠΌ, Π·Π°Π²ΡΠ³’Π° Π²Π΅Π»Π΅Π½ΠΎ ΠΏΠ³’ΠΈΠΊΠ°Π·ΠΎΠΌ ΠΈΡΠΊΠ»ΡΡΠΈΡΡ, β ΠΏΡΠΎΠ³ΠΎΠ²ΠΎΡΠΈΠ» ΠΠ΅Π½ΠΈΡΠΎΠ².
β ΠΡΠΎ Π±ΠΎΠ»Π΅Π·Π½Ρ, ΠΈΠ½Π°ΡΠ΅ Π½Π΅Π»ΡΠ·Ρ ΠΎΠ±ΡΡΡΠ½ΠΈΡΡ, β ΡΠΊΠ°Π·Π°Π» ΡΡΠ°Π± ΡΠΎΡΠΌΠΈΡΡΡ.
β Π£ΠΆ ΡΠ°ΠΌ Π±ΠΎΠ»Π΅Π·Π½Ρ Π½Π΅ Π±ΠΎΠ»Π΅Π·Π½Ρ, Π° Π½Π΅ ΠΏΠΎΠΏΠ°Π΄Π°ΠΉΡΡ ΠΎΠ½ ΠΌΠ½Π΅ Π½Π° Π³Π»Π°Π·Π° β ΡΠ±ΡΡ! β ΠΊΡΠΎΠ²ΠΎΠΆΠ°Π΄Π½ΠΎ ΠΏΡΠΎΠΊΡΠΈΡΠ°Π» ΠΠ΅Π½ΠΈΡΠΎΠ².
Π ΠΊΠΎΠΌΠ½Π°ΡΡ Π²ΠΎΡΠ΅Π» ΠΠ΅ΡΠΊΠΎΠ².
β Π’Ρ ΠΊΠ°ΠΊ? β ΠΎΠ±ΡΠ°ΡΠΈΠ»ΠΈΡΡ Π²Π΄ΡΡΠ³ ΠΎΡΠΈΡΠ΅ΡΡ ΠΊ Π²ΠΎΡΠ΅Π΄ΡΠ΅ΠΌΡ.
β ΠΠΎΡ
ΠΎΠ΄, Π³ΠΎΡΠΏΠΎΠ΄Π°. ΠΠ°ΠΊ Π² ΠΏΠ»Π΅Π½ ΡΠ΄Π°Π»ΡΡ ΠΈ Ρ Π°ΡΠΌΠΈΠ΅ΠΉ, ΡΠΎΠ²ΡΠ΅ΠΌ.
β ΠΡΠ΅ΡΡ!
β Π‘Π°ΠΌ Π²ΠΈΠ΄Π΅Π».
β ΠΠ°ΠΊ? ΠΠ°ΠΊΠ° ΠΆΠΈΠ²ΠΎΠ³ΠΎ Π²ΠΈΠ΄Π΅Π»? Ρ ΡΡΠΊΠ°ΠΌΠΈ, Ρ Π½ΠΎΠ³Π°ΠΌΠΈ?
β ΠΠΎΡ
ΠΎΠ΄! ΠΠΎΡ
ΠΎΠ΄! ΠΠ°ΡΡ Π΅ΠΌΡ Π±ΡΡΡΠ»ΠΊΡ Π·Π° ΡΠ°ΠΊΡΡ Π½ΠΎΠ²ΠΎΡΡΡ. Π’Ρ ΠΊΠ°ΠΊ ΠΆΠ΅ ΡΡΠ΄Π° ΠΏΠΎΠΏΠ°Π»?
β ΠΠΏΡΡΡ Π² ΠΏΠΎΠ»ΠΊ Π²ΡΡΠ»Π°Π»ΠΈ, Π·Π° ΡΠΎΡΡΠ°, Π·Π° ΠΠ°ΠΊΠ°. ΠΠ²ΡΡΡΠΈΠΉΡΠΊΠΎΠΉ Π³Π΅Π½Π΅ΡΠ°Π» ΠΏΠΎΠΆΠ°Π»ΠΎΠ²Π°Π»ΡΡ. Π― Π΅Π³ΠΎ ΠΏΠΎΠ·Π΄ΡΠ°Π²ΠΈΠ» Ρ ΠΏΡΠΈΠ΅Π·Π΄ΠΎΠΌ ΠΠ°ΠΊΠ°β¦Π’Ρ ΡΡΠΎ, Π ΠΎΡΡΠΎΠ², ΡΠΎΡΠ½ΠΎ ΠΈΠ· Π±Π°Π½ΠΈ?
β Π’ΡΡ, Π±ΡΠ°Ρ, Ρ Π½Π°Ρ, ΡΠ°ΠΊΠ°Ρ ΠΊΠ°ΡΠ° Π²ΡΠΎΡΠΎΠΉ Π΄Π΅Π½Ρ.
ΠΠΎΡΠ΅Π» ΠΏΠΎΠ»ΠΊΠΎΠ²ΠΎΠΉ Π°Π΄ΡΡΡΠ°Π½Ρ ΠΈ ΠΏΠΎΠ΄ΡΠ²Π΅ΡΠ΄ΠΈΠ» ΠΈΠ·Π²Π΅ΡΡΠΈΠ΅, ΠΏΡΠΈΠ²Π΅Π·Π΅Π½Π½ΠΎΠ΅ ΠΠ΅ΡΠΊΠΎΠ²ΡΠΌ. ΠΠ° Π·Π°Π²ΡΡΠ° Π²Π΅Π»Π΅Π½ΠΎ Π±ΡΠ»ΠΎ Π²ΡΡΡΡΠΏΠ°ΡΡ.
β ΠΠΎΡ
ΠΎΠ΄, Π³ΠΎΡΠΏΠΎΠ΄Π°!
β ΠΡ, ΠΈ ΡΠ»Π°Π²Π° ΠΠΎΠ³Ρ, Π·Π°ΡΠΈΠ΄Π΅Π»ΠΈΡΡ.
ΠΡΡΡΠ·ΠΎΠ² ΠΎΡΡΡΡΠΏΠΈΠ» ΠΊ ΠΠ΅Π½Π΅, ΡΠ½ΠΈΡΡΠΎΠΆΠ°Ρ Π·Π° ΡΠΎΠ±ΠΎΠΉ ΠΌΠΎΡΡΡ Π½Π° ΡΠ΅ΠΊΠ°Ρ
ΠΠ½Π½Π΅ (Π² ΠΡΠ°ΡΠ½Π°Ρ) ΠΈ Π’ΡΠ°ΡΠ½Π΅ (Π² ΠΠΈΠ½ΡΠ΅). 23 Π³ΠΎ ΠΎΠΊΡΡΠ±ΡΡ .ΡΡΡΡΠΊΠΈΠ΅ Π²ΠΎΠΉΡΠΊΠ° ΠΏΠ΅ΡΠ΅Ρ
ΠΎΠ΄ΠΈΠ»ΠΈ ΡΠ΅ΠΊΡ ΠΠ½Ρ. Π ΡΡΡΠΊΠΈΠ΅ ΠΎΠ±ΠΎΠ·Ρ, Π°ΡΡΠΈΠ»Π»Π΅ΡΠΈΡ ΠΈ ΠΊΠΎΠ»ΠΎΠ½Π½Ρ Π²ΠΎΠΉΡΠΊ Π² ΡΠ΅ΡΠ΅Π΄ΠΈΠ½Π΅ Π΄Π½Ρ ΡΡΠ½ΡΠ»ΠΈΡΡ ΡΠ΅ΡΠ΅Π· Π³ΠΎΡΠΎΠ΄ ΠΠ½Ρ, ΠΏΠΎ ΡΡ ΠΈ ΠΏΠΎ ΡΡ ΡΡΠΎΡΠΎΠ½Ρ ΠΌΠΎΡΡΠ°.
wiki-org.ru
ΠΎΠΏΡΡΡ, ΡΠΎΡΠΌΡΠ»Ρ, Π·Π°Π΄Π°ΡΠΈ :: SYL.ru
Π§ΡΠΎ ΡΠ°ΠΊΠΎΠ΅ ΠΏΠ΅ΡΠΈΠΎΠ΄ ΠΊΠΎΠ»Π΅Π±Π°Π½ΠΈΠΉ? Π§ΡΠΎ ΡΡΠΎ Π·Π° Π²Π΅Π»ΠΈΡΠΈΠ½Π°, ΠΊΠ°ΠΊΠΎΠΉ ΡΠΈΠ·ΠΈΡΠ΅ΡΠΊΠΈΠΉ ΡΠΌΡΡΠ» ΠΎΠ½Π° ΠΈΠΌΠ΅Π΅Ρ ΠΈ ΠΊΠ°ΠΊ Π΅Π΅ ΡΠ°ΡΡΡΠΈΡΠ°ΡΡ? Π ΡΡΠΎΠΉ ΡΡΠ°ΡΡΠ΅ ΠΌΡ ΡΠ°Π·Π±Π΅ΡΠ΅ΠΌΡΡ Ρ ΡΡΠΈΠΌΠΈ Π²ΠΎΠΏΡΠΎΡΠ°ΠΌΠΈ, ΡΠ°ΡΡΠΌΠΎΡΡΠΈΠΌ ΡΠ°Π·Π»ΠΈΡΠ½ΡΠ΅ ΡΠΎΡΠΌΡΠ»Ρ, ΠΏΠΎ ΠΊΠΎΡΠΎΡΡΠΌ ΠΌΠΎΠΆΠ½ΠΎ ΡΠ°ΡΡΡΠΈΡΠ°ΡΡ ΠΏΠ΅ΡΠΈΠΎΠ΄ ΠΊΠΎΠ»Π΅Π±Π°Π½ΠΈΠΉ, Π° ΡΠ°ΠΊΠΆΠ΅ Π²ΡΡΡΠ½ΠΈΠΌ, ΠΊΠ°ΠΊΠ°Ρ ΡΠ²ΡΠ·Ρ ΠΈΠΌΠ΅Π΅ΡΡΡ ΠΌΠ΅ΠΆΠ΄Ρ ΡΠ°ΠΊΠΈΠΌΠΈ ΡΠΈΠ·ΠΈΡΠ΅ΡΠΊΠΈΠΌΠΈ Π²Π΅Π»ΠΈΡΠΈΠ½Π°ΠΌΠΈ, ΠΊΠ°ΠΊ ΠΏΠ΅ΡΠΈΠΎΠ΄ ΠΈ ΡΠ°ΡΡΠΎΡΠ° ΠΊΠΎΠ»Π΅Π±Π°Π½ΠΈΠΉ ΡΠ΅Π»Π°/ΡΠΈΡΡΠ΅ΠΌΡ.
ΠΠΏΡΠ΅Π΄Π΅Π»Π΅Π½ΠΈΠ΅ ΠΈ ΡΠΈΠ·ΠΈΡΠ΅ΡΠΊΠΈΠΉ ΡΠΌΡΡΠ»
ΠΠ΅ΡΠΈΠΎΠ΄ΠΎΠΌ ΠΊΠΎΠ»Π΅Π±Π°Π½ΠΈΠΉ Π½Π°Π·ΡΠ²Π°Π΅ΡΡΡ ΡΠ°ΠΊΠΎΠΉ ΠΏΡΠΎΠΌΠ΅ΠΆΡΡΠΎΠΊ Π²ΡΠ΅ΠΌΠ΅Π½ΠΈ, ΠΏΡΠΈ ΠΊΠΎΡΠΎΡΠΎΠΌ ΡΠ΅Π»ΠΎ ΠΈΠ»ΠΈ ΡΠΈΡΡΠ΅ΠΌΠ° ΡΠΎΠ²Π΅ΡΡΠ°ΡΡ ΠΎΠ΄Π½ΠΎ ΠΊΠΎΠ»Π΅Π±Π°Π½ΠΈΠ΅ (ΠΎΠ±ΡΠ·Π°ΡΠ΅Π»ΡΠ½ΠΎ ΠΏΠΎΠ»Π½ΠΎΠ΅). ΠΠ°ΡΠ°Π»Π»Π΅Π»ΡΠ½ΠΎ ΠΌΠΎΠΆΠ½ΠΎ ΠΎΡΠΌΠ΅ΡΠΈΡΡ ΠΏΠ°ΡΠ°ΠΌΠ΅ΡΡ, ΠΏΡΠΈ Π²ΡΠΏΠΎΠ»Π½Π΅Π½ΠΈΠΈ ΠΊΠΎΡΠΎΡΠΎΠ³ΠΎ ΠΊΠΎΠ»Π΅Π±Π°Π½ΠΈΠ΅ ΠΌΠΎΠΆΠ΅Ρ ΡΡΠΈΡΠ°ΡΡΡΡ ΠΏΠΎΠ»Π½ΡΠΌ. Π ΡΠΎΠ»ΠΈ ΡΠ°ΠΊΠΎΠ³ΠΎ ΡΡΠ»ΠΎΠ²ΠΈΡ Π²ΡΡΡΡΠΏΠ°Π΅Ρ Π²ΠΎΠ·Π²ΡΠ°ΡΠ΅Π½ΠΈΠ΅ ΡΠ΅Π»Π° Π² Π΅Π³ΠΎ ΠΏΠ΅ΡΠ²ΠΎΠ½Π°ΡΠ°Π»ΡΠ½ΠΎΠ΅ ΡΠΎΡΡΠΎΡΠ½ΠΈΠ΅ (ΠΊ ΠΏΠ΅ΡΠ²ΠΎΠ½Π°ΡΠ°Π»ΡΠ½ΠΎΠΉ ΠΊΠΎΠΎΡΠ΄ΠΈΠ½Π°ΡΠ΅). ΠΡΠ΅Π½Ρ Ρ ΠΎΡΠΎΡΠΎ ΠΏΡΠΎΠ²ΠΎΠ΄ΠΈΡΡΡ Π°Π½Π°Π»ΠΎΠ³ΠΈΡ Ρ ΠΏΠ΅ΡΠΈΠΎΠ΄ΠΎΠΌ ΡΡΠ½ΠΊΡΠΈΠΈ. ΠΡΠΈΠ±ΠΎΡΠ½ΠΎ, ΠΊΡΡΠ°ΡΠΈ, Π΄ΡΠΌΠ°ΡΡ, ΡΡΠΎ ΠΎΠ½Π° ΠΈΠΌΠ΅Π΅Ρ ΠΌΠ΅ΡΡΠΎ ΠΈΡΠΊΠ»ΡΡΠΈΡΠ΅Π»ΡΠ½ΠΎ Π² ΠΎΠ±ΡΠΊΠ½ΠΎΠ²Π΅Π½Π½ΠΎΠΉ ΠΈ Π²ΡΡΡΠ΅ΠΉ ΠΌΠ°ΡΠ΅ΠΌΠ°ΡΠΈΠΊΠ΅. ΠΠ°ΠΊ ΠΈΠ·Π²Π΅ΡΡΠ½ΠΎ, ΡΡΠΈ Π΄Π²Π΅ Π½Π°ΡΠΊΠΈ Π½Π΅ΡΠ°Π·ΡΡΠ²Π½ΠΎ ΡΠ²ΡΠ·Π°Π½Ρ. Π Ρ ΠΏΠ΅ΡΠΈΠΎΠ΄ΠΎΠΌ ΡΡΠ½ΠΊΡΠΈΠΉ ΠΌΠΎΠΆΠ½ΠΎ ΡΡΠΎΠ»ΠΊΠ½ΡΡΡΡΡ Π½Π΅ ΡΠΎΠ»ΡΠΊΠΎ ΠΏΡΠΈ ΡΠ΅ΡΠ΅Π½ΠΈΠΈ ΡΡΠΈΠ³ΠΎΠ½ΠΎΠΌΠ΅ΡΡΠΈΡΠ΅ΡΠΊΠΈΡ ΡΡΠ°Π²Π½Π΅Π½ΠΈΠΉ, Π½ΠΎ ΠΈ Π² ΡΠ°Π·Π»ΠΈΡΠ½ΡΡ ΡΠ°Π·Π΄Π΅Π»Π°Ρ ΡΠΈΠ·ΠΈΠΊΠΈ, Π° ΠΈΠΌΠ΅Π½Π½ΠΎ ΡΠ΅ΡΡ ΠΈΠ΄Π΅Ρ ΠΎ ΠΌΠ΅Ρ Π°Π½ΠΈΠΊΠ΅, ΠΎΠΏΡΠΈΠΊΠ΅ ΠΈ ΠΏΡΠΎΡΠΈΡ . ΠΡΠΈ ΠΏΠ΅ΡΠ΅Π½ΠΎΡΠ΅ ΠΏΠ΅ΡΠΈΠΎΠ΄Π° ΠΊΠΎΠ»Π΅Π±Π°Π½ΠΈΠΉ ΠΈΠ· ΠΌΠ°ΡΠ΅ΠΌΠ°ΡΠΈΠΊΠΈ Π² ΡΠΈΠ·ΠΈΠΊΡ ΠΏΠΎΠ΄ Π½ΠΈΠΌ Π½ΡΠΆΠ½ΠΎ ΠΏΠΎΠ½ΠΈΠΌΠ°ΡΡ ΠΏΡΠΎΡΡΠΎ ΡΠΈΠ·ΠΈΡΠ΅ΡΠΊΡΡ Π²Π΅Π»ΠΈΡΠΈΠ½Ρ (Π° Π½Π΅ ΡΡΠ½ΠΊΡΠΈΡ), ΠΊΠΎΡΠΎΡΠ°Ρ ΠΈΠΌΠ΅Π΅Ρ ΠΏΡΡΠΌΡΡ Π·Π°Π²ΠΈΡΠΈΠΌΠΎΡΡΡ ΠΎΡ ΠΏΡΠΎΡ ΠΎΠ΄ΡΡΠ΅Π³ΠΎ Π²ΡΠ΅ΠΌΠ΅Π½ΠΈ.
ΠΠ°ΠΊΠΈΠ΅ Π±ΡΠ²Π°ΡΡ ΠΊΠΎΠ»Π΅Π±Π°Π½ΠΈΡ?
ΠΠΎΠ»Π΅Π±Π°Π½ΠΈΡ ΠΏΠΎΠ΄ΡΠ°Π·Π΄Π΅Π»ΡΡΡΡΡ Π½Π° Π³Π°ΡΠΌΠΎΠ½ΠΈΡΠ΅ΡΠΊΠΈΠ΅ ΠΈ Π°Π½Π³Π°ΡΠΌΠΎΠ½ΠΈΡΠ΅ΡΠΊΠΈΠ΅, Π° ΡΠ°ΠΊΠΆΠ΅ Π½Π° ΠΏΠ΅ΡΠΈΠΎΠ΄ΠΈΡΠ΅ΡΠΊΠΈΠ΅ ΠΈ Π½Π΅ΠΏΠ΅ΡΠΈΠΎΠ΄ΠΈΡΠ΅ΡΠΊΠΈΠ΅. ΠΠΎΠ³ΠΈΡΠ½ΠΎ Π±ΡΠ»ΠΎ Π±Ρ ΠΏΡΠ΅Π΄ΠΏΠΎΠ»ΠΎΠΆΠΈΡΡ, ΡΡΠΎ Π² ΡΠ»ΡΡΠ°Π΅ Π³Π°ΡΠΌΠΎΠ½ΠΈΡΠ΅ΡΠΊΠΈΡ ΠΊΠΎΠ»Π΅Π±Π°Π½ΠΈΠΉ ΠΎΠ½ΠΈ ΡΠΎΠ²Π΅ΡΡΠ°ΡΡΡΡ ΡΠΎΠ³Π»Π°ΡΠ½ΠΎ Π½Π΅ΠΊΠΎΡΠΎΡΠΎΠΉ Π³Π°ΡΠΌΠΎΠ½ΠΈΡΠ΅ΡΠΊΠΎΠΉ ΡΡΠ½ΠΊΡΠΈΠΈ. ΠΡΠΎ ΠΌΠΎΠΆΠ΅Ρ Π±ΡΡΡ ΠΊΠ°ΠΊ ΡΠΈΠ½ΡΡ, ΡΠ°ΠΊ ΠΈ ΠΊΠΎΡΠΈΠ½ΡΡ. ΠΡΠΈ ΡΡΠΎΠΌ Π² Π΄Π΅Π»Π΅ ΠΌΠΎΠ³ΡΡ ΠΎΠΊΠ°Π·Π°ΡΡΡΡ ΠΈ ΠΊΠΎΡΡΡΠΈΡΠΈΠ΅Π½ΡΡ ΡΠΆΠ°ΡΠΈΡ-ΡΠ°ΡΡΡΠΆΠ΅Π½ΠΈΡ ΠΈ ΡΠ²Π΅Π»ΠΈΡΠ΅Π½ΠΈΡ-ΡΠΌΠ΅Π½ΡΡΠ΅Π½ΠΈΡ. Π’Π°ΠΊΠΆΠ΅ ΠΊΠΎΠ»Π΅Π±Π°Π½ΠΈΡ Π±ΡΠ²Π°ΡΡ Π·Π°ΡΡΡ Π°ΡΡΠΈΠΌΠΈ. Π’ΠΎ Π΅ΡΡΡ, ΠΊΠΎΠ³Π΄Π° Π½Π° ΡΠΈΡΡΠ΅ΠΌΡ Π΄Π΅ΠΉΡΡΠ²ΡΠ΅Ρ ΠΎΠΏΡΠ΅Π΄Π΅Π»Π΅Π½Π½Π°Ρ ΡΠΈΠ»Π°, ΠΊΠΎΡΠΎΡΠ°Ρ ΠΏΠΎΡΡΠ΅ΠΏΠ΅Π½Π½ΠΎ βΡΠΎΡΠΌΠΎΠ·ΠΈΡβ ΡΠ°ΠΌΠΈ ΠΊΠΎΠ»Π΅Π±Π°Π½ΠΈΡ. ΠΡΠΈ ΡΡΠΎΠΌ ΠΏΠ΅ΡΠΈΠΎΠ΄ ΡΡΠ°Π½ΠΎΠ²ΠΈΡΡΡ ΠΌΠ΅Π½ΡΡΠ΅, Π² ΡΠΎ Π²ΡΠ΅ΠΌΡ ΠΊΠ°ΠΊ ΡΠ°ΡΡΠΎΡΠ° ΠΊΠΎΠ»Π΅Π±Π°Π½ΠΈΠΉ Π½Π΅ΠΈΠ·ΠΌΠ΅Π½Π½ΠΎ ΡΠ²Π΅Π»ΠΈΡΠΈΠ²Π°Π΅ΡΡΡ. ΠΡΠ΅Π½Ρ Ρ ΠΎΡΠΎΡΠΎ Π΄Π΅ΠΌΠΎΠ½ΡΡΡΠΈΡΡΠ΅Ρ ΡΠ°ΠΊΡΡ Π²ΠΎΡ ΡΠΈΠ·ΠΈΡΠ΅ΡΠΊΡΡ Π°ΠΊΡΠΈΠΎΠΌΡ ΠΏΡΠΎΡΡΠ΅ΠΉΡΠΈΠΉ ΠΎΠΏΡΡ Ρ ΠΈΡΠΏΠΎΠ»ΡΠ·ΠΎΠ²Π°Π½ΠΈΠ΅ΠΌ ΠΌΠ°ΡΡΠ½ΠΈΠΊΠ°. ΠΠ½ ΠΌΠΎΠΆΠ΅Ρ Π±ΡΡΡ ΠΏΡΡΠΆΠΈΠ½Π½ΠΎΠ³ΠΎ Π²ΠΈΠ΄Π°, Π° ΡΠ°ΠΊΠΆΠ΅ ΠΌΠ°ΡΠ΅ΠΌΠ°ΡΠΈΡΠ΅ΡΠΊΠΎΠ³ΠΎ. ΠΡΠΎ Π½Π΅Π²Π°ΠΆΠ½ΠΎ. ΠΡΡΠ°ΡΠΈ, ΠΏΠ΅ΡΠΈΠΎΠ΄ ΠΊΠΎΠ»Π΅Π±Π°Π½ΠΈΠΉ Π² ΡΠ°ΠΊΠΈΡ ΡΠΈΡΡΠ΅ΠΌΠ°Ρ Π±ΡΠ΄Π΅Ρ ΠΎΠΏΡΠ΅Π΄Π΅Π»ΡΡΡΡΡ ΡΠ°Π·Π½ΡΠΌΠΈ ΡΠΎΡΠΌΡΠ»Π°ΠΌΠΈ. ΠΠΎ ΠΎΠ± ΡΡΠΎΠΌ ΡΡΡΠΎΡΠΊΡ ΠΏΠΎΠ·ΠΆΠ΅. Π‘Π΅ΠΉΡΠ°Ρ ΠΆΠ΅ ΠΏΡΠΈΠ²Π΅Π΄Π΅ΠΌ ΠΏΡΠΈΠΌΠ΅ΡΡ.
ΠΠΏΡΡ Ρ ΠΌΠ°ΡΡΠ½ΠΈΠΊΠ°ΠΌΠΈ
ΠΠ·ΡΡΡ ΠΏΠ΅ΡΠ²ΡΠΌ ΠΌΠΎΠΆΠ½ΠΎ Π»ΡΠ±ΠΎΠΉ ΠΌΠ°ΡΡΠ½ΠΈΠΊ, ΡΠ°Π·Π½ΠΈΡΡ Π½ΠΈΠΊΠ°ΠΊΠΎΠΉ Π½Π΅ Π±ΡΠ΄Π΅Ρ. ΠΠ°ΠΊΠΎΠ½Ρ ΡΠΈΠ·ΠΈΠΊΠΈ Π½Π° ΡΠΎ ΠΈ Π·Π°ΠΊΠΎΠ½Ρ ΡΠΈΠ·ΠΈΠΊΠΈ, ΡΡΠΎ ΠΎΠ½ΠΈ ΡΠΎΠ±Π»ΡΠ΄Π°ΡΡΡΡ Π² Π»ΡΠ±ΠΎΠΌ ΡΠ»ΡΡΠ°Π΅. ΠΠΎ ΠΏΠΎΡΠ΅ΠΌΡ-ΡΠΎ Π±ΠΎΠ»ΡΡΠ΅ ΠΏΠΎ Π΄ΡΡΠ΅ ΠΌΠ°ΡΠ΅ΠΌΠ°ΡΠΈΡΠ΅ΡΠΊΠΈΠΉ ΠΌΠ°ΡΡΠ½ΠΈΠΊ. ΠΡΠ»ΠΈ ΠΊΡΠΎ-ΡΠΎ Π½Π΅ Π·Π½Π°Π΅Ρ, ΡΡΠΎ ΠΎΠ½ ΡΠΎΠ±ΠΎΠΉ ΠΏΡΠ΅Π΄ΡΡΠ°Π²Π»ΡΠ΅Ρ: ΡΡΠΎ ΡΠ°ΡΠΈΠΊ Π½Π° Π½Π΅ΡΠ°ΡΡΡΠΆΠΈΠΌΠΎΠΉ Π½ΠΈΡΠΈ, ΠΊΠΎΡΠΎΡΡΠΉ ΠΊΡΠ΅ΠΏΠΈΡΡΡ ΠΊ Π³ΠΎΡΠΈΠ·ΠΎΠ½ΡΠ°Π»ΡΠ½ΠΎΠΉ ΠΏΠ»Π°Π½ΠΊΠ΅, ΠΏΡΠΈΠΊΡΠ΅ΠΏΠ»Π΅Π½Π½ΠΎΠΉ ΠΊ Π½ΠΎΠΆΠΊΠ°ΠΌ (ΠΈΠ»ΠΈ ΡΠ»Π΅ΠΌΠ΅Π½ΡΠ°ΠΌ, ΠΊΠΎΡΠΎΡΡΠ΅ ΠΈΠ³ΡΠ°ΡΡ ΠΈΡ ΡΠΎΠ»Ρ β Π΄Π΅ΡΠΆΠ°ΡΡ ΡΠΈΡΡΠ΅ΠΌΡ Π² ΡΠ°Π²Π½ΠΎΠ²Π΅ΡΠ½ΠΎΠΌ ΡΠΎΡΡΠΎΡΠ½ΠΈΠΈ). Π¨Π°ΡΠΈΠΊ Π»ΡΡΡΠ΅ Π²ΡΠ΅Π³ΠΎ Π±ΡΠ°ΡΡ ΠΈΠ· ΠΌΠ΅ΡΠ°Π»Π»Π°, ΡΡΠΎΠ±Ρ ΠΎΠΏΡΡ Π±ΡΠ» Π½Π°Π³Π»ΡΠ΄Π½Π΅Π΅.

ΠΡΠ°ΠΊ, Π΅ΡΠ»ΠΈ Π²ΡΠ²Π΅ΡΡΠΈ ΡΠ°ΠΊΡΡ ΡΠΈΡΡΠ΅ΠΌΡ ΠΈΠ· ΡΠ°Π²Π½ΠΎΠ²Π΅ΡΠΈΡ, ΠΏΡΠΈΠ»ΠΎΠΆΠΈΡΡ ΠΊ ΡΠ°ΡΡ ΠΊΠ°ΠΊΡΡ-ΡΠΎ ΡΠΈΠ»Ρ (ΠΏΡΠΎΡΠ΅ Π³ΠΎΠ²ΠΎΡΡ, ΡΠΎΠ»ΠΊΠ½ΡΡΡ Π΅Π³ΠΎ), ΡΠΎ ΡΠ°ΡΠΈΠΊ Π½Π°ΡΠ½Π΅Ρ ΡΠ°ΡΠΊΠ°ΡΠΈΠ²Π°ΡΡΡΡ Π½Π° Π½ΠΈΡΠΈ, ΡΠ»Π΅Π΄ΡΡ ΠΎΠΏΡΠ΅Π΄Π΅Π»Π΅Π½Π½ΠΎΠΉ ΡΡΠ°Π΅ΠΊΡΠΎΡΠΈΠΈ. Π‘ΠΎ Π²ΡΠ΅ΠΌΠ΅Π½Π΅ΠΌ ΠΌΠΎΠΆΠ½ΠΎ Π·Π°ΠΌΠ΅ΡΠΈΡΡ, ΡΡΠΎ ΡΡΠ°Π΅ΠΊΡΠΎΡΠΈΡ, ΠΏΠΎ ΠΊΠΎΡΠΎΡΠΎΠΉ ΠΏΡΠΎΡ ΠΎΠ΄ΠΈΡ ΡΠ°Ρ, ΡΠΎΠΊΡΠ°ΡΠ°Π΅ΡΡΡ. Π ΡΠΎ ΠΆΠ΅ Π²ΡΠ΅ΠΌΡ ΡΠ°ΡΠΈΠΊ Π½Π°ΡΠΈΠ½Π°Π΅Ρ Π²ΡΠ΅ Π±ΡΡΡΡΠ΅Π΅ ΡΠ½ΠΎΠ²Π°ΡΡ ΡΡΠ΄Π°-ΡΡΠ΄Π°. ΠΡΠΎ Π³ΠΎΠ²ΠΎΡΠΈΡ ΠΎ ΡΠΎΠΌ, ΡΡΠΎ ΡΠ°ΡΡΠΎΡΠ° ΠΊΠΎΠ»Π΅Π±Π°Π½ΠΈΠΉ ΡΠ²Π΅Π»ΠΈΡΠΈΠ²Π°Π΅ΡΡΡ. Π Π²ΠΎΡ Π²ΡΠ΅ΠΌΡ, Π·Π° ΠΊΠΎΡΠΎΡΠΎΠ΅ ΡΠ°ΡΠΈΠΊ Π²ΠΎΠ·Π²ΡΠ°ΡΠ°Π΅ΡΡΡ Π² Π½Π°ΡΠ°Π»ΡΠ½ΠΎΠ΅ ΠΏΠΎΠ»ΠΎΠΆΠ΅Π½ΠΈΠ΅, ΡΠΌΠ΅Π½ΡΡΠ°Π΅ΡΡΡ. Π Π²Π΅Π΄Ρ Π²ΡΠ΅ΠΌΡ ΠΎΠ΄Π½ΠΎΠ³ΠΎ ΠΏΠΎΠ»Π½ΠΎΠ³ΠΎ ΠΊΠΎΠ»Π΅Π±Π°Π½ΠΈΡ, ΠΊΠ°ΠΊ ΠΌΡ Π²ΡΡΡΠ½ΠΈΠ»ΠΈ ΡΠ°Π½Π΅Π΅, ΠΈ Π½Π°Π·ΡΠ²Π°Π΅ΡΡΡ ΠΏΠ΅ΡΠΈΠΎΠ΄ΠΎΠΌ. ΠΡΠ»ΠΈ ΠΎΠ΄Π½Π° Π²Π΅Π»ΠΈΡΠΈΠ½Π° ΡΠΌΠ΅Π½ΡΡΠ°Π΅ΡΡΡ, Π° Π΄ΡΡΠ³Π°Ρ ΡΠ²Π΅Π»ΠΈΡΠΈΠ²Π°Π΅ΡΡΡ, ΡΠΎ Π³ΠΎΠ²ΠΎΡΡΡ ΠΎΠ± ΠΎΠ±ΡΠ°ΡΠ½ΠΎΠΉ ΠΏΡΠΎΠΏΠΎΡΡΠΈΠΎΠ½Π°Π»ΡΠ½ΠΎΡΡΠΈ. ΠΠΎΡ ΠΌΡ ΠΈ Π΄ΠΎΠ±ΡΠ°Π»ΠΈΡΡ Π΄ΠΎ ΠΏΠ΅ΡΠ²ΠΎΠ³ΠΎ ΠΌΠΎΠΌΠ΅Π½ΡΠ°, Π½Π° ΠΎΡΠ½ΠΎΠ²Π°Π½ΠΈΠΈ ΠΊΠΎΡΠΎΡΠΎΠ³ΠΎ ΡΡΡΠΎΡΡΡΡ ΡΠΎΡΠΌΡΠ»Ρ Π΄Π»Ρ ΠΎΠΏΡΠ΅Π΄Π΅Π»Π΅Π½ΠΈΡ ΠΏΠ΅ΡΠΈΠΎΠ΄Π° ΠΊΠΎΠ»Π΅Π±Π°Π½ΠΈΠΉ. ΠΡΠ»ΠΈ ΠΆΠ΅ ΠΌΡ Π²ΠΎΠ·ΡΠΌΠ΅ΠΌ Π΄Π»Ρ ΠΏΡΠΎΠ²Π΅Π΄Π΅Π½ΠΈΡ ΠΏΡΡΠΆΠΈΠ½Π½ΡΠΉ ΠΌΠ°ΡΡΠ½ΠΈΠΊ, ΡΠΎ ΡΠ°ΠΌ Π·Π°ΠΊΠΎΠ½ Π±ΡΠ΄Π΅Ρ Π½Π°Π±Π»ΡΠ΄Π°ΡΡΡΡ Π½Π΅ΠΌΠ½ΠΎΠ³ΠΎ Π² Π΄ΡΡΠ³ΠΎΠΌ Π²ΠΈΠ΄Π΅. ΠΠ»Ρ ΡΠΎΠ³ΠΎ ΡΡΠΎΠ±Ρ ΠΎΠ½ Π±ΡΠ» Π½Π°ΠΈΠ±ΠΎΠ»Π΅Π΅ Π½Π°Π³Π»ΡΠ΄Π½ΠΎ ΠΏΡΠ΅Π΄ΡΡΠ°Π²Π»Π΅Π½, ΠΏΡΠΈΠ²Π΅Π΄Π΅ΠΌ ΡΠΈΡΡΠ΅ΠΌΡ Π² Π΄Π²ΠΈΠΆΠ΅Π½ΠΈΠ΅ Π² Π²Π΅ΡΡΠΈΠΊΠ°Π»ΡΠ½ΠΎΠΉ ΠΏΠ»ΠΎΡΠΊΠΎΡΡΠΈ. Π§ΡΠΎΠ±Ρ Π±ΡΠ»ΠΎ ΠΏΠΎΠ½ΡΡΠ½Π΅Π΅, ΡΠ½Π°ΡΠ°Π»Π° ΡΡΠΎΠΈΠ»ΠΎ ΡΠΊΠ°Π·Π°ΡΡ, ΡΡΠΎ ΡΠΎΠ±ΠΎΠΉ ΠΏΡΠ΅Π΄ΡΡΠ°Π²Π»ΡΠ΅Ρ ΠΏΡΡΠΆΠΈΠ½Π½ΡΠΉ ΠΌΠ°ΡΡΠ½ΠΈΠΊ. ΠΠ· Π½Π°Π·Π²Π°Π½ΠΈΡ ΠΏΠΎΠ½ΡΡΠ½ΠΎ, ΡΡΠΎ Π² Π΅Π³ΠΎ ΠΊΠΎΠ½ΡΡΡΡΠΊΡΠΈΠΈ Π΄ΠΎΠ»ΠΆΠ½Π° ΠΏΡΠΈΡΡΡΡΡΠ²ΠΎΠ²Π°ΡΡ ΠΏΡΡΠΆΠΈΠ½Π°. Π ΡΡΠΎ Π΄Π΅ΠΉΡΡΠ²ΠΈΡΠ΅Π»ΡΠ½ΠΎ ΡΠ°ΠΊ. ΠΠΏΡΡΡ ΠΆΠ΅ ΡΠ°ΠΊΠΈ, Ρ Π½Π°Ρ Π΅ΡΡΡ Π³ΠΎΡΠΈΠ·ΠΎΠ½ΡΠ°Π»ΡΠ½Π°Ρ ΠΏΠ»ΠΎΡΠΊΠΎΡΡΡ Π½Π° ΠΎΠΏΠΎΡΠ°Ρ , ΠΊ ΠΊΠΎΡΠΎΡΠΎΠΉ ΠΏΠΎΠ΄Π²Π΅ΡΠΈΠ²Π°Π΅ΡΡΡ ΠΏΡΡΠΆΠΈΠ½Π° ΠΎΠΏΡΠ΅Π΄Π΅Π»Π΅Π½Π½ΠΎΠΉ Π΄Π»ΠΈΠ½Ρ ΠΈ ΠΆΠ΅ΡΡΠΊΠΎΡΡΠΈ. Π Π½Π΅ΠΉ, Π² ΡΠ²ΠΎΡ ΠΎΡΠ΅ΡΠ΅Π΄Ρ, ΠΏΠΎΠ΄Π²Π΅ΡΠΈΠ²Π°Π΅ΡΡΡ Π³ΡΡΠ·ΠΈΠΊ. ΠΡΠΎ ΠΌΠΎΠΆΠ΅Ρ Π±ΡΡΡ ΡΠΈΠ»ΠΈΠ½Π΄Ρ, ΠΊΡΠ± ΠΈΠ»ΠΈ Π΄ΡΡΠ³Π°Ρ ΡΠΈΠ³ΡΡΠΊΠ°. ΠΡΠΎ ΠΌΠΎΠΆΠ΅Ρ Π±ΡΡΡ Π΄Π°ΠΆΠ΅ ΠΊΠ°ΠΊΠΎΠΉ-ΡΠΎ ΡΡΠΎΡΠΎΠ½Π½ΠΈΠΉ ΠΏΡΠ΅Π΄ΠΌΠ΅Ρ. Π Π»ΡΠ±ΠΎΠΌ ΡΠ»ΡΡΠ°Π΅, ΠΏΡΠΈ Π²ΡΠ²Π΅Π΄Π΅Π½ΠΈΠΈ ΡΠΈΡΡΠ΅ΠΌΡ ΠΈΠ· ΠΏΠΎΠ»ΠΎΠΆΠ΅Π½ΠΈΡ ΡΠ°Π²Π½ΠΎΠ²Π΅ΡΠΈΡ, ΠΎΠ½Π° Π½Π°ΡΠ½Π΅Ρ ΡΠΎΠ²Π΅ΡΡΠ°ΡΡ Π·Π°ΡΡΡ Π°ΡΡΠΈΠ΅ ΠΊΠΎΠ»Π΅Π±Π°Π½ΠΈΡ. ΠΠ°ΠΈΠ±ΠΎΠ»Π΅Π΅ ΡΠ΅ΡΠΊΠΎ ΠΏΡΠΎΡΠΌΠ°ΡΡΠΈΠ²Π°Π΅ΡΡΡ ΡΠ²Π΅Π»ΠΈΡΠ΅Π½ΠΈΠ΅ ΡΠ°ΡΡΠΎΡΡ ΠΈΠΌΠ΅Π½Π½ΠΎ Π² Π²Π΅ΡΡΠΈΠΊΠ°Π»ΡΠ½ΠΎΠΉ ΠΏΠ»ΠΎΡΠΊΠΎΡΡΠΈ, Π±Π΅Π· Π²ΡΡΠΊΠΎΠ³ΠΎ ΠΎΡΠΊΠ»ΠΎΠ½Π΅Π½ΠΈΡ. ΠΠ° ΡΡΠΎΠΌ Ρ ΠΎΠΏΡΡΠ°ΠΌΠΈ ΠΌΠΎΠΆΠ½ΠΎ Π·Π°ΠΊΠΎΠ½ΡΠΈΡΡ.

ΠΡΠ°ΠΊ, Π² ΠΈΡ Ρ ΠΎΠ΄Π΅ ΠΌΡ Π²ΡΡΡΠ½ΠΈΠ»ΠΈ, ΡΡΠΎ ΠΏΠ΅ΡΠΈΠΎΠ΄ ΠΈ ΡΠ°ΡΡΠΎΡΠ° ΠΊΠΎΠ»Π΅Π±Π°Π½ΠΈΠΉ ΡΡΠΎ Π΄Π²Π΅ ΡΠΈΠ·ΠΈΡΠ΅ΡΠΊΠΈΠ΅ Π²Π΅Π»ΠΈΡΠΈΠ½Ρ, ΠΊΠΎΡΠΎΡΡΠ΅ ΠΈΠΌΠ΅ΡΡ ΠΎΠ±ΡΠ°ΡΠ½ΡΡ Π·Π°Π²ΠΈΡΠΈΠΌΠΎΡΡΡ.
ΠΠ±ΠΎΠ·Π½Π°ΡΠ΅Π½ΠΈΠ΅ Π²Π΅Π»ΠΈΡΠΈΠ½ ΠΈ ΡΠ°Π·ΠΌΠ΅ΡΠ½ΠΎΡΡΠΈ
ΠΠ±ΡΡΠ½ΠΎ ΠΏΠ΅ΡΠΈΠΎΠ΄ ΠΊΠΎΠ»Π΅Π±Π°Π½ΠΈΠΉ ΠΎΠ±ΠΎΠ·Π½Π°ΡΠ°Π΅ΡΡΡ Π»Π°ΡΠΈΠ½ΡΠΊΠΎΠΉ Π±ΡΠΊΠ²ΠΎΠΉ T. ΠΠΎΡΠ°Π·Π΄ΠΎ ΡΠ΅ΠΆΠ΅ ΠΎΠ½ ΠΌΠΎΠΆΠ΅Ρ ΠΎΠ±ΠΎΠ·Π½Π°ΡΠ°ΡΡΡΡ ΠΏΠΎ-Π΄ΡΡΠ³ΠΎΠΌΡ. Π§Π°ΡΡΠΎΡΠ° ΠΆΠ΅ ΠΎΠ±ΠΎΠ·Π½Π°ΡΠ°Π΅ΡΡΡ Π±ΡΠΊΠ²ΠΎΠΉ Β΅ (βΠΡβ). ΠΠ°ΠΊ ΠΌΡ Π³ΠΎΠ²ΠΎΡΠΈΠ»ΠΈ Π² ΡΠ°ΠΌΠΎΠΌ Π½Π°ΡΠ°Π»Π΅, ΠΏΠ΅ΡΠΈΠΎΠ΄ ΡΡΠΎ Π½Π΅ ΡΡΠΎ ΠΈΠ½ΠΎΠ΅, ΠΊΠ°ΠΊ Π²ΡΠ΅ΠΌΡ, Π·Π° ΠΊΠΎΡΠΎΡΠΎΠ΅ Π² ΡΠΈΡΡΠ΅ΠΌΠ΅ ΠΏΡΠΎΠΈΡΡ ΠΎΠ΄ΠΈΡ ΠΏΠΎΠ»Π½ΠΎΠ΅ ΠΊΠΎΠ»Π΅Π±Π°Π½ΠΈΠ΅. Π’ΠΎΠ³Π΄Π° ΡΠ°Π·ΠΌΠ΅ΡΠ½ΠΎΡΡΡΡ ΠΏΠ΅ΡΠΈΠΎΠ΄Π° Π±ΡΠ΄Π΅Ρ ΡΠ΅ΠΊΡΠ½Π΄Π°. Π ΡΠ°ΠΊ ΠΊΠ°ΠΊ ΠΏΠ΅ΡΠΈΠΎΠ΄ ΠΈ ΡΠ°ΡΡΠΎΡΠ° ΠΎΠ±ΡΠ°ΡΠ½ΠΎ ΠΏΡΠΎΠΏΠΎΡΡΠΈΠΎΠ½Π°Π»ΡΠ½Ρ, ΡΠΎ ΡΠ°Π·ΠΌΠ΅ΡΠ½ΠΎΡΡΡΡ ΡΠ°ΡΡΠΎΡΡ Π±ΡΠ΄Π΅Ρ Π΅Π΄ΠΈΠ½ΠΈΡΠ°, Π΄Π΅Π»Π΅Π½Π½Π°Ρ Π½Π° ΡΠ΅ΠΊΡΠ½Π΄Ρ. Π Π·Π°ΠΏΠΈΡΠΈ Π·Π°Π΄Π°Ρ Π²ΡΠ΅ Π±ΡΠ΄Π΅Ρ Π²ΡΠ³Π»ΡΠ΄Π΅ΡΡ ΡΠ°ΠΊΠΈΠΌ ΠΎΠ±ΡΠ°Π·ΠΎΠΌ: T (Ρ), Β΅ (1/Ρ).
Π€ΠΎΡΠΌΡΠ»Π° Π΄Π»Ρ ΠΌΠ°ΡΠ΅ΠΌΠ°ΡΠΈΡΠ΅ΡΠΊΠΎΠ³ΠΎ ΠΌΠ°ΡΡΠ½ΠΈΠΊΠ°. ΠΠ°Π΄Π°ΡΠ° β1
ΠΠ°ΠΊ ΠΈ Π² ΡΠ»ΡΡΠ°Π΅ Ρ ΠΎΠΏΡΡΠ°ΠΌΠΈ, Ρ ΡΠ΅ΡΠΈΠ» ΠΏΠ΅ΡΠ²ΡΠΌ Π΄Π΅Π»ΠΎΠΌ ΡΠ°Π·ΠΎΠ±ΡΠ°ΡΡΡΡ Ρ ΠΌΠ°ΡΡΠ½ΠΈΠΊΠΎΠΌ ΠΌΠ°ΡΠ΅ΠΌΠ°ΡΠΈΡΠ΅ΡΠΊΠΈΠΌ. ΠΠΎΠ΄ΡΠΎΠ±Π½ΠΎ Π²Π΄Π°Π²Π°ΡΡΡΡ Π² Π²ΡΠ²ΠΎΠ΄ ΡΠΎΡΠΌΡΠ»Ρ ΠΌΡ Π½Π΅ Π±ΡΠ΄Π΅ΠΌ, ΠΏΠΎΡΠΊΠΎΠ»ΡΠΊΡ ΡΠ°ΠΊΠ°Ρ Π·Π°Π΄Π°ΡΠ° ΠΏΠΎΡΡΠ°Π²Π»Π΅Π½Π° ΠΈΠ·Π½Π°ΡΠ°Π»ΡΠ½ΠΎ Π½Π΅ Π±ΡΠ»Π°. ΠΠ° ΠΈ Π²ΡΠ²ΠΎΠ΄ ΡΠ°ΠΌ ΠΏΠΎ ΡΠ΅Π±Π΅ Π³ΡΠΎΠΌΠΎΠ·Π΄ΠΊΠΈΠΉ. ΠΠΎ Π²ΠΎΡ Ρ ΡΠ°ΠΌΠΈΠΌΠΈ ΡΠΎΡΠΌΡΠ»Π°ΠΌΠΈ ΠΎΠ·Π½Π°ΠΊΠΎΠΌΠΈΠΌΡΡ, Π²ΡΡΡΠ½ΠΈΠΌ, ΡΡΠΎ Π·Π° Π²Π΅Π»ΠΈΡΠΈΠ½Ρ Π² Π½ΠΈΡ Π²Ρ ΠΎΠ΄ΡΡ. ΠΡΠ°ΠΊ, ΡΠΎΡΠΌΡΠ»Π° ΠΏΠ΅ΡΠΈΠΎΠ΄Π° ΠΊΠΎΠ»Π΅Π±Π°Π½ΠΈΠΉ Π΄Π»Ρ ΠΌΠ°ΡΠ΅ΠΌΠ°ΡΠΈΡΠ΅ΡΠΊΠΎΠ³ΠΎ ΠΌΠ°ΡΡΠ½ΠΈΠΊΠ° ΠΈΠΌΠ΅Π΅Ρ ΡΠ»Π΅Π΄ΡΡΡΠΈΠΉ Π²ΠΈΠ΄:

ΠΠ΄Π΅ l β Π΄Π»ΠΈΠ½Π° Π½ΠΈΡΠΈ, ΠΏ = 3,14, Π° g β ΡΡΠΊΠΎΡΠ΅Π½ΠΈΠ΅ ΡΠ²ΠΎΠ±ΠΎΠ΄Π½ΠΎΠ³ΠΎ ΠΏΠ°Π΄Π΅Π½ΠΈΡ (9,8 ΠΌ/Ρ^2). ΠΠΈΠΊΠ°ΠΊΠΈΡ Π·Π°ΡΡΡΠ΄Π½Π΅Π½ΠΈΠΉ ΡΠΎΡΠΌΡΠ»Π° Π²ΡΠ·ΡΠ²Π°ΡΡ Π½Π΅ Π΄ΠΎΠ»ΠΆΠ½Π°. ΠΠΎΡΡΠΎΠΌΡ Π±Π΅Π· Π΄ΠΎΠΏΠΎΠ»Π½ΠΈΡΠ΅Π»ΡΠ½ΡΡ Π²ΠΎΠΏΡΠΎΡΠΎΠ² ΠΏΠ΅ΡΠ΅ΠΉΠ΄Π΅ΠΌ ΡΡΠ°Π·Ρ ΠΊ ΡΠ΅ΡΠ΅Π½ΠΈΡ Π·Π°Π΄Π°ΡΠΈ Π½Π° ΠΎΠΏΡΠ΅Π΄Π΅Π»Π΅Π½ΠΈΠ΅ ΠΏΠ΅ΡΠΈΠΎΠ΄Π° ΠΊΠΎΠ»Π΅Π±Π°Π½ΠΈΡ ΠΌΠ°ΡΠ΅ΠΌΠ°ΡΠΈΡΠ΅ΡΠΊΠΎΠ³ΠΎ ΠΌΠ°ΡΡΠ½ΠΈΠΊΠ°. ΠΠ΅ΡΠ°Π»Π»ΠΈΡΠ΅ΡΠΊΠΈΠΉ ΡΠ°Ρ ΠΌΠ°ΡΡΠΎΠΉ 10 Π³ΡΠ°ΠΌΠΌ ΠΏΠΎΠ΄Π²Π΅ΡΠ΅Π½ Π½Π° Π½Π΅ΡΠ°ΡΡΡΠΆΠΈΠΌΠΎΠΉ Π½ΠΈΡΠΈ Π΄Π»ΠΈΠ½ΠΎΠΉ 20 ΡΠ°Π½ΡΠΈΠΌΠ΅ΡΡΠΎΠ². Π Π°ΡΡΡΠΈΡΠ°ΠΉΡΠ΅ ΠΏΠ΅ΡΠΈΠΎΠ΄ ΠΊΠΎΠ»Π΅Π±Π°Π½ΠΈΡ ΡΠΈΡΡΠ΅ΠΌΡ, ΠΏΡΠΈΠ½ΡΠ² Π΅Π΅ Π·Π° ΠΌΠ°ΡΠ΅ΠΌΠ°ΡΠΈΡΠ΅ΡΠΊΠΈΠΉ ΠΌΠ°ΡΡΠ½ΠΈΠΊ. Π Π΅ΡΠ΅Π½ΠΈΠ΅ ΠΎΡΠ΅Π½Ρ ΠΏΡΠΎΡΡΠΎΠ΅. ΠΠ°ΠΊ ΠΈ Π²ΠΎ Π²ΡΠ΅Ρ Π·Π°Π΄Π°ΡΠ°Ρ ΠΏΠΎ ΡΠΈΠ·ΠΈΠΊΠ΅, Π½Π΅ΠΎΠ±Ρ ΠΎΠ΄ΠΈΠΌΠΎ ΠΌΠ°ΠΊΡΠΈΠΌΠ°Π»ΡΠ½ΠΎ ΡΠΏΡΠΎΡΡΠΈΡΡ Π΅Π΅ Π·Π° ΡΡΠ΅Ρ ΠΎΡΠ±ΡΠΎΡΠ° Π½Π΅Π½ΡΠΆΠ½ΡΡ ΡΠ»ΠΎΠ². ΠΠ½ΠΈ Π²ΠΊΠ»ΡΡΠ°ΡΡΡΡ Π² ΠΊΠΎΠ½ΡΠ΅ΠΊΡΡ Π΄Π»Ρ ΡΠΎΠ³ΠΎ ΡΡΠΎΠ±Ρ Π·Π°ΠΏΡΡΠ°ΡΡ ΡΠ΅ΡΠ°ΡΡΠ΅Π³ΠΎ, Π½ΠΎ Π½Π° ΡΠ°ΠΌΠΎΠΌ Π΄Π΅Π»Π΅ Π½ΠΈΠΊΠ°ΠΊΠΎΠ³ΠΎ Π²Π΅ΡΠ° Π°Π±ΡΠΎΠ»ΡΡΠ½ΠΎ Π½Π΅ ΠΈΠΌΠ΅ΡΡ. Π Π±ΠΎΠ»ΡΡΠΈΠ½ΡΡΠ²Π΅ ΡΠ»ΡΡΠ°Π΅Π², ΡΠ°Π·ΡΠΌΠ΅Π΅ΡΡΡ. ΠΠ΄Π΅ΡΡ ΠΌΠΎΠΆΠ½ΠΎ ΠΈΡΠΊΠ»ΡΡΠΈΡΡ ΠΌΠΎΠΌΠ΅Π½Ρ Ρ βΠ½Π΅ΡΠ°ΡΡΡΠΆΠΈΠΌΠΎΠΉ Π½ΠΈΡΡΡβ. ΠΡΠΎ ΡΠ»ΠΎΠ²ΠΎΡΠΎΡΠ΅ΡΠ°Π½ΠΈΠ΅ Π½Π΅ Π΄ΠΎΠ»ΠΆΠ½ΠΎ Π²Π²ΠΎΠ΄ΠΈΡΡ Π² ΡΡΡΠΏΠΎΡ. Π ΡΠ°ΠΊ ΠΊΠ°ΠΊ ΠΌΠ°ΡΡΠ½ΠΈΠΊ Ρ Π½Π°Ρ ΠΌΠ°ΡΠ΅ΠΌΠ°ΡΠΈΡΠ΅ΡΠΊΠΈΠΉ, ΠΌΠ°ΡΡΠ° Π³ΡΡΠ·Π° Π½Π°Ρ ΠΈΠ½ΡΠ΅ΡΠ΅ΡΠΎΠ²Π°ΡΡ Π½Π΅ Π΄ΠΎΠ»ΠΆΠ½Π°. Π’ΠΎ Π΅ΡΡΡ ΡΠ»ΠΎΠ²Π° ΠΎ 10 Π³ΡΠ°ΠΌΠΌΠ°Ρ ΡΠΎΠΆΠ΅ ΠΏΡΠΎΡΡΠΎ ΠΏΡΠΈΠ·Π²Π°Π½Ρ Π·Π°ΠΏΡΡΠ°ΡΡ ΡΡΠ΅Π½ΠΈΠΊΠ°. ΠΠΎ ΠΌΡ Π²Π΅Π΄Ρ Π·Π½Π°Π΅ΠΌ, ΡΡΠΎ Π² ΡΠΎΡΠΌΡΠ»Π΅ ΠΌΠ°ΡΡΠ° ΠΎΡΡΡΡΡΡΠ²ΡΠ΅Ρ, ΠΏΠΎΡΡΠΎΠΌΡ ΡΠΎ ΡΠΏΠΎΠΊΠΎΠΉΠ½ΠΎΠΉ ΡΠΎΠ²Π΅ΡΡΡΡ ΠΌΠΎΠΆΠ΅ΠΌ ΠΏΡΠΈΡΡΡΠΏΠ°ΡΡ ΠΊ ΡΠ΅ΡΠ΅Π½ΠΈΡ. ΠΡΠ°ΠΊ, Π±Π΅ΡΠ΅ΠΌ ΡΠΎΡΠΌΡΠ»Ρ ΠΈ ΠΏΡΠΎΡΡΠΎ ΠΏΠΎΠ΄ΡΡΠ°Π²Π»ΡΠ΅ΠΌ Π² Π½Π΅Π΅ Π²Π΅Π»ΠΈΡΠΈΠ½Ρ, ΠΏΠΎΡΠΊΠΎΠ»ΡΠΊΡ ΠΎΠΏΡΠ΅Π΄Π΅Π»ΠΈΡΡ Π½Π΅ΠΎΠ±Ρ ΠΎΠ΄ΠΈΠΌΠΎ ΠΏΠ΅ΡΠΈΠΎΠ΄ ΡΠΈΡΡΠ΅ΠΌΡ. ΠΠΎΡΠΊΠΎΠ»ΡΠΊΡ Π΄ΠΎΠΏΠΎΠ»Π½ΠΈΡΠ΅Π»ΡΠ½ΡΡ ΡΡΠ»ΠΎΠ²ΠΈΠΉ Π½Π΅ Π±ΡΠ»ΠΎ Π·Π°Π΄Π°Π½ΠΎ, ΠΎΠΊΡΡΠ³Π»ΡΡΡ Π·Π½Π°ΡΠ΅Π½ΠΈΡ Π±ΡΠ΄Π΅ΠΌ Π΄ΠΎ 3-Π΅Π³ΠΎ Π·Π½Π°ΠΊΠ° ΠΏΠΎΡΠ»Π΅ Π·Π°ΠΏΡΡΠΎΠΉ, ΠΊΠ°ΠΊ ΠΈ ΠΏΡΠΈΠ½ΡΡΠΎ. ΠΠ΅ΡΠ΅ΠΌΠ½ΠΎΠΆΠΈΠ² ΠΈ ΠΏΠΎΠ΄Π΅Π»ΠΈΠ² Π²Π΅Π»ΠΈΡΠΈΠ½Ρ, ΠΏΠΎΠ»ΡΡΠΈΠΌ, ΡΡΠΎ ΠΏΠ΅ΡΠΈΠΎΠ΄ ΠΊΠΎΠ»Π΅Π±Π°Π½ΠΈΠΉ ΡΠ°Π²Π΅Π½ 0,886 ΡΠ΅ΠΊΡΠ½Π΄. ΠΠ°Π΄Π°ΡΠ° ΡΠ΅ΡΠ΅Π½Π°.
Π€ΠΎΡΠΌΡΠ»Π° Π΄Π»Ρ ΠΏΡΡΠΆΠΈΠ½Π½ΠΎΠ³ΠΎ ΠΌΠ°ΡΡΠ½ΠΈΠΊΠ°. ΠΠ°Π΄Π°ΡΠ° β2
Π€ΠΎΡΠΌΡΠ»Ρ ΠΌΠ°ΡΡΠ½ΠΈΠΊΠΎΠ² ΠΈΠΌΠ΅ΡΡ ΠΎΠ±ΡΡΡ ΡΠ°ΡΡΡ, Π° ΠΈΠΌΠ΅Π½Π½ΠΎ 2ΠΏ. ΠΡΠ° Π²Π΅Π»ΠΈΡΠΈΠ½Π° ΠΏΡΠΈΡΡΡΡΡΠ²ΡΠ΅Ρ ΡΡΠ°Π·Ρ Π² Π΄Π²ΡΡ ΡΠΎΡΠΌΡΠ»Π°Ρ , Π½ΠΎ ΡΠ°Π·Π½ΡΡΡΡ ΠΎΠ½ΠΈ ΠΏΠΎΠ΄ΠΊΠΎΡΠ΅Π½Π½ΡΠΌ Π²ΡΡΠ°ΠΆΠ΅Π½ΠΈΠ΅ΠΌ. ΠΡΠ»ΠΈ Π² Π·Π°Π΄Π°ΡΠ΅, ΠΊΠ°ΡΠ°ΡΡΠ΅ΠΉΡΡ ΠΏΠ΅ΡΠΈΠΎΠ΄Π° ΠΏΡΡΠΆΠΈΠ½Π½ΠΎΠ³ΠΎ ΠΌΠ°ΡΡΠ½ΠΈΠΊΠ°, ΡΠΊΠ°Π·Π°Π½Π° ΠΌΠ°ΡΡΠ° Π³ΡΡΠ·Π°, ΡΠΎ ΠΈΠ·Π±Π΅ΠΆΠ°ΡΡ Π²ΡΡΠΈΡΠ»Π΅Π½ΠΈΠΉ Ρ Π΅Π΅ ΠΏΡΠΈΠΌΠ΅Π½Π΅Π½ΠΈΠ΅ Π½Π΅Π²ΠΎΠ·ΠΌΠΎΠΆΠ½ΠΎ, ΠΊΠ°ΠΊ ΡΡΠΎ Π±ΡΠ»ΠΎ Π² ΡΠ»ΡΡΠ°Π΅ Ρ ΠΌΠ°ΡΠ΅ΠΌΠ°ΡΠΈΡΠ΅ΡΠΊΠΈΠΌ ΠΌΠ°ΡΡΠ½ΠΈΠΊΠΎΠΌ. ΠΠΎ ΠΏΡΠ³Π°ΡΡΡΡ Π½Π΅ ΡΡΠΎΠΈΡ. ΠΠΎΡ ΡΠ°ΠΊ Π²ΡΠ³Π»ΡΠ΄ΠΈΡ ΡΠΎΡΠΌΡΠ»Π° ΠΏΠ΅ΡΠΈΠΎΠ΄Π° Π΄Π»Ρ ΠΏΡΡΠΆΠΈΠ½Π½ΠΎΠ³ΠΎ ΠΌΠ°ΡΡΠ½ΠΈΠΊΠ°:

Π Π½Π΅ΠΉ m β ΠΌΠ°ΡΡΠ° ΠΏΠΎΠ΄Π²Π΅ΡΠ΅Π½Π½ΠΎΠ³ΠΎ ΠΊ ΠΏΡΡΠΆΠΈΠ½Π΅ Π³ΡΡΠ·Π°, k β ΠΊΠΎΡΡΡΠΈΡΠΈΠ΅Π½Ρ ΠΆΠ΅ΡΡΠΊΠΎΡΡΠΈ ΠΏΡΡΠΆΠΈΠ½Ρ. Π Π·Π°Π΄Π°ΡΠ΅ Π·Π½Π°ΡΠ΅Π½ΠΈΠ΅ ΠΊΠΎΡΡΡΠΈΡΠΈΠ΅Π½ΡΠ° ΠΌΠΎΠΆΠ΅Ρ Π±ΡΡΡ ΠΏΡΠΈΠ²Π΅Π΄Π΅Π½ΠΎ. ΠΠΎ Π΅ΡΠ»ΠΈ Π² ΡΠΎΡΠΌΡΠ»Π΅ ΠΌΠ°ΡΠ΅ΠΌΠ°ΡΠΈΡΠ΅ΡΠΊΠΎΠ³ΠΎ ΠΌΠ°ΡΡΠ½ΠΈΠΊΠ° ΠΎΡΠΎΠ±ΠΎ Π½Π΅ ΡΠ°Π·Π³ΡΠ»ΡΠ΅ΡΡΡΡ β Π²ΡΠ΅-ΡΠ°ΠΊΠΈ 2 Π²Π΅Π»ΠΈΡΠΈΠ½Ρ ΠΈΠ· 4 ΡΠ²Π»ΡΡΡΡΡ ΠΊΠΎΠ½ΡΡΠ°Π½ΡΠ°ΠΌΠΈ β ΡΠΎ ΡΡΡ Π΄ΠΎΠ±Π°Π²Π»ΡΠ΅ΡΡΡ 3 ΠΏΠ°ΡΠ°ΠΌΠ΅ΡΡ, ΠΊΠΎΡΠΎΡΡΠΉ ΠΌΠΎΠΆΠ΅Ρ ΠΈΠ·ΠΌΠ΅Π½ΡΡΡΡΡ. Π Π½Π° Π²ΡΡ ΠΎΠ΄Π΅ ΠΌΡ ΠΈΠΌΠ΅Π΅ΠΌ 3 ΠΏΠ΅ΡΠ΅ΠΌΠ΅Π½Π½ΡΡ : ΠΏΠ΅ΡΠΈΠΎΠ΄ (ΡΠ°ΡΡΠΎΡΠ°) ΠΊΠΎΠ»Π΅Π±Π°Π½ΠΈΠΉ, ΠΊΠΎΡΡΡΠΈΡΠΈΠ΅Π½Ρ ΠΆΠ΅ΡΡΠΊΠΎΡΡΠΈ ΠΏΡΡΠΆΠΈΠ½Ρ, ΠΌΠ°ΡΡΠ° ΠΏΠΎΠ΄Π²Π΅ΡΠ΅Π½Π½ΠΎΠ³ΠΎ Π³ΡΡΠ·Π°. ΠΠ°Π΄Π°ΡΠ° ΠΌΠΎΠΆΠ΅Ρ Π±ΡΡΡ ΡΠΎΡΠΈΠ΅Π½ΡΠΈΡΠΎΠ²Π°Π½Π° Π½Π° Π½Π°Ρ ΠΎΠΆΠ΄Π΅Π½ΠΈΠ΅ Π»ΡΠ±ΠΎΠ³ΠΎ ΠΈΠ· ΡΡΠΈΡ ΠΏΠ°ΡΠ°ΠΌΠ΅ΡΡΠΎΠ². ΠΠ½ΠΎΠ²Ρ ΠΈΡΠΊΠ°ΡΡ ΠΏΠ΅ΡΠΈΠΎΠ΄ Π±ΡΠ»ΠΎ Π±Ρ ΡΠ»ΠΈΡΠΊΠΎΠΌ Π»Π΅Π³ΠΊΠΎ, ΠΏΠΎΡΡΠΎΠΌΡ ΠΌΡ Π½Π΅ΠΌΠ½ΠΎΠ³ΠΎ ΠΈΠ·ΠΌΠ΅Π½ΠΈΠΌ ΡΡΠ»ΠΎΠ²ΠΈΠ΅. ΠΠ°ΠΉΠ΄ΠΈΡΠ΅ ΠΊΠΎΡΡΡΠΈΡΠΈΠ΅Π½Ρ ΠΆΠ΅ΡΡΠΊΠΎΡΡΠΈ ΠΏΡΡΠΆΠΈΠ½Ρ, Π΅ΡΠ»ΠΈ Π²ΡΠ΅ΠΌΡ ΠΏΠΎΠ»Π½ΠΎΠ³ΠΎ ΠΊΠΎΠ»Π΅Π±Π°Π½ΠΈΡ ΡΠΎΡΡΠ°Π²Π»ΡΠ΅Ρ 4 ΡΠ΅ΠΊΡΠ½Π΄Ρ, Π° ΠΌΠ°ΡΡΠ° Π³ΡΡΠ·Π° ΠΏΡΡΠΆΠΈΠ½Π½ΠΎΠ³ΠΎ ΠΌΠ°ΡΡΠ½ΠΈΠΊΠ° ΡΠ°Π²Π½Π° 200 Π³ΡΠ°ΠΌΠΌΠ°ΠΌ.
ΠΠ»Ρ ΡΠ΅ΡΠ΅Π½ΠΈΡ Π»ΡΠ±ΠΎΠΉ ΡΠΈΠ·ΠΈΡΠ΅ΡΠΊΠΎΠΉ Π·Π°Π΄Π°ΡΠΈ Ρ ΠΎΡΠΎΡΠΎ Π±Ρ ΡΠ½Π°ΡΠ°Π»Π° ΡΠ΄Π΅Π»Π°ΡΡ ΡΠΈΡΡΠ½ΠΎΠΊ ΠΈ Π½Π°ΠΏΠΈΡΠ°ΡΡ ΡΠΎΡΠΌΡΠ»Ρ. ΠΠ½ΠΈ Π·Π΄Π΅ΡΡ β ΠΏΠΎΠ»ΠΎΠ²ΠΈΠ½Π° Π΄Π΅Π»Π°. ΠΠ°ΠΏΠΈΡΠ°Π² ΡΠΎΡΠΌΡΠ»Ρ, Π½Π΅ΠΎΠ±Ρ ΠΎΠ΄ΠΈΠΌΠΎ Π²ΡΡΠ°Π·ΠΈΡΡ ΠΊΠΎΡΡΡΠΈΡΠΈΠ΅Π½Ρ ΠΆΠ΅ΡΡΠΊΠΎΡΡΠΈ. ΠΠ½ Ρ Π½Π°Ρ Π½Π°Ρ ΠΎΠ΄ΠΈΡΡΡ ΠΏΠΎΠ΄ ΠΊΠΎΡΠ½Π΅ΠΌ, ΠΏΠΎΡΡΠΎΠΌΡ ΠΎΠ±Π΅ ΡΠ°ΡΡΠΈ ΡΡΠ°Π²Π½Π΅Π½ΠΈΡ Π²ΠΎΠ·Π²Π΅Π΄Π΅ΠΌ Π² ΠΊΠ²Π°Π΄ΡΠ°Ρ. Π§ΡΠΎΠ±Ρ ΠΈΠ·Π±Π°Π²ΠΈΡΡΡΡ ΠΎΡ Π΄ΡΠΎΠ±ΠΈ, ΡΠΌΠ½ΠΎΠΆΠΈΠΌ ΡΠ°ΡΡΠΈ Π½Π° k. Π’Π΅ΠΏΠ΅ΡΡ ΠΎΡΡΠ°Π²ΠΈΠΌ Π² Π»Π΅Π²ΠΎΠΉ ΡΠ°ΡΡΠΈ ΡΡΠ°Π²Π½Π΅Π½ΠΈΡ ΡΠΎΠ»ΡΠΊΠΎ ΠΊΠΎΡΡΡΠΈΡΠΈΠ΅Π½Ρ, ΡΠΎ Π΅ΡΡΡ ΡΠ°Π·Π΄Π΅Π»ΠΈΠΌ ΡΠ°ΡΡΠΈ Π½Π° T^2. Π ΠΏΡΠΈΠ½ΡΠΈΠΏΠ΅, Π·Π°Π΄Π°ΡΠΊΡ ΠΌΠΎΠΆΠ½ΠΎ Π±ΡΠ»ΠΎ Π±Ρ Π΅ΡΠ΅ Π½Π΅ΠΌΠ½ΠΎΠ³ΠΎ ΡΡΠ»ΠΎΠΆΠ½ΠΈΡΡ, Π·Π°Π΄Π°Π² Π½Π΅ ΠΏΠ΅ΡΠΈΠΎΠ΄ Π² ΡΠΈΡΠ»Π°Ρ , Π° ΡΠ°ΡΡΠΎΡΡ. Π Π»ΡΠ±ΠΎΠΌ ΡΠ»ΡΡΠ°Π΅, ΠΏΡΠΈ ΠΏΠΎΠ΄ΡΡΠ΅ΡΠ°Ρ ΠΈ ΠΎΠΊΡΡΠ³Π»Π΅Π½ΠΈΡΡ (ΠΌΡ ΡΡΠ»ΠΎΠ²ΠΈΠ»ΠΈΡΡ ΠΎΠΊΡΡΠ³Π»ΡΡΡ Π΄ΠΎ 3-Π΅Π³ΠΎ Π·Π½Π°ΠΊΠ° ΠΏΠΎΡΠ»Π΅ Π·Π°ΠΏΡΡΠΎΠΉ), ΠΏΠΎΠ»ΡΡΠΈΡΡΡ, ΡΡΠΎ k = 0, 157 Π/ΠΌ.
ΠΠ΅ΡΠΈΠΎΠ΄ ΡΠ²ΠΎΠ±ΠΎΠ΄Π½ΡΡ ΠΊΠΎΠ»Π΅Π±Π°Π½ΠΈΠΉ. Π€ΠΎΡΠΌΡΠ»Π° ΠΏΠ΅ΡΠΈΠΎΠ΄Π° ΡΠ²ΠΎΠ±ΠΎΠ΄Π½ΡΡ ΠΊΠΎΠ»Π΅Π±Π°Π½ΠΈΠΉ

ΠΠΎΠ΄ ΡΠΎΡΠΌΡΠ»ΠΎΠΉ ΠΏΠ΅ΡΠΈΠΎΠ΄Π° ΡΠ²ΠΎΠ±ΠΎΠ΄Π½ΡΡ ΠΊΠΎΠ»Π΅Π±Π°Π½ΠΈΠΉ ΠΏΠΎΠ½ΠΈΠΌΠ°ΡΡ ΡΠ΅ ΡΠΎΡΠΌΡΠ»Ρ, ΠΊΠΎΡΠΎΡΡΠ΅ ΠΌΡ ΡΠ°Π·ΠΎΠ±ΡΠ°Π»ΠΈ Π² Π΄Π²ΡΡ ΡΠ°Π½Π΅Π΅ ΠΏΡΠΈΠ²Π΅Π΄Π΅Π½Π½ΡΡ Π·Π°Π΄Π°ΡΠ°Ρ . Π‘ΠΎΡΡΠ°Π²Π»ΡΡΡ ΡΠ°ΠΊΠΆΠ΅ ΡΡΠ°Π²Π½Π΅Π½ΠΈΠ΅ ΡΠ²ΠΎΠ±ΠΎΠ΄Π½ΡΡ ΠΊΠΎΠ»Π΅Π±Π°Π½ΠΈΠΉ, Π½ΠΎ ΡΠ°ΠΌ ΡΠ΅ΡΡ ΠΈΠ΄Π΅Ρ ΡΠΆΠ΅ ΠΎ ΡΠΌΠ΅ΡΠ΅Π½ΠΈΡΡ ΠΈ ΠΊΠΎΠΎΡΠ΄ΠΈΠ½Π°ΡΠ°Ρ , Π° ΡΡΠΎΡ Π²ΠΎΠΏΡΠΎΡ ΠΎΡΠ½ΠΎΡΠΈΡΡΡ ΡΠΆΠ΅ ΠΊ Π΄ΡΡΠ³ΠΎΠΉ ΡΡΠ°ΡΡΠ΅.
Π‘ΠΎΠ²Π΅ΡΡ Π΄Π»Ρ ΡΠ΅ΡΠ΅Π½ΠΈΡ Π·Π°Π΄Π°Ρ, ΡΠ²ΡΠ·Π°Π½Π½ΡΡ Ρ ΠΏΠ΅ΡΠΈΠΎΠ΄ΠΎΠΌ
1) ΠΡΠ΅ΠΆΠ΄Π΅ ΡΠ΅ΠΌ Π±ΡΠ°ΡΡΡΡ Π·Π° Π·Π°Π΄Π°ΡΡ, Π·Π°ΠΏΠΈΡΠΈΡΠ΅ ΡΠΎΡΠΌΡΠ»Ρ, ΠΊΠΎΡΠΎΡΠ°Ρ Ρ Π½Π΅ΠΉ ΡΠ²ΡΠ·Π°Π½Π°.
2) ΠΡΠΎΡΡΠ΅ΠΉΡΠΈΠ΅ Π·Π°Π΄Π°ΡΠΈ Π½Π΅ ΡΡΠ΅Π±ΡΡΡ ΡΠΈΡΡΠ½ΠΊΠΎΠ², Π½ΠΎ Π² ΠΈΡΠΊΠ»ΡΡΠΈΡΠ΅Π»ΡΠ½ΡΡ ΡΠ»ΡΡΠ°ΡΡ ΠΈΡ Π½ΡΠΆΠ½ΠΎ Π±ΡΠ΄Π΅Ρ ΡΠ΄Π΅Π»Π°ΡΡ.
3) Π‘ΡΠ°ΡΠ°ΠΉΡΠ΅ΡΡ ΠΈΠ·Π±Π°Π²Π»ΡΡΡΡΡ ΠΎΡ ΠΊΠΎΡΠ½Π΅ΠΉ ΠΈ Π·Π½Π°ΠΌΠ΅Π½Π°ΡΠ΅Π»Π΅ΠΉ, Π΅ΡΠ»ΠΈ ΡΡΠΎ Π²ΠΎΠ·ΠΌΠΎΠΆΠ½ΠΎ. ΠΠ°ΠΏΠΈΡΠ°Π½Π½ΠΎΠ΅ Π² ΡΡΡΠΎΡΠΊΡ ΡΡΠ°Π²Π½Π΅Π½ΠΈΠ΅, Π½Π΅ ΠΈΠΌΠ΅ΡΡΠ΅Π΅ Π·Π½Π°ΠΌΠ΅Π½Π°ΡΠ΅Π»Ρ, ΡΠ΅ΡΠ°ΡΡ Π³ΠΎΡΠ°Π·Π΄ΠΎ ΡΠ΄ΠΎΠ±Π½Π΅Π΅ ΠΈ ΠΏΡΠΎΡΠ΅.
www.syl.ru
ΠΠ΅ΡΠΈΠΎΠ΄ ΠΊΠΎΠ»Π΅Π±Π°Π½ΠΈΠΉ β WiKi
ΠΠ΅ΡΠΈΠΎΠ΄ ΠΊΠΎΠ»Π΅Π±Π°ΜΠ½ΠΈΠΉΒ β Π½Π°ΠΈΠΌΠ΅Π½ΡΡΠΈΠΉ ΠΏΡΠΎΠΌΠ΅ΠΆΡΡΠΎΠΊ Π²ΡΠ΅ΠΌΠ΅Π½ΠΈ, Π·Π° ΠΊΠΎΡΠΎΡΡΠΉ ΠΎΡΡΠΈΠ»Π»ΡΡΠΎΡ ΡΠΎΠ²Π΅ΡΡΠ°Π΅Ρ ΠΎΠ΄Π½ΠΎ ΠΏΠΎΠ»Π½ΠΎΠ΅ ΠΊΠΎΠ»Π΅Π±Π°Π½ΠΈΠ΅ (ΡΠΎ Π΅ΡΡΡ Π²ΠΎΠ·Π²ΡΠ°ΡΠ°Π΅ΡΡΡ Π² ΡΠΎ ΠΆΠ΅ ΡΠΎΡΡΠΎΡΠ½ΠΈΠ΅[1], Π² ΠΊΠΎΡΠΎΡΠΎΠΌ ΠΎΠ½ Π½Π°Ρ ΠΎΠ΄ΠΈΠ»ΡΡ Π² ΠΏΠ΅ΡΠ²ΠΎΠ½Π°ΡΠ°Π»ΡΠ½ΡΠΉ ΠΌΠΎΠΌΠ΅Π½Ρ, Π²ΡΠ±ΡΠ°Π½Π½ΡΠΉ ΠΏΡΠΎΠΈΠ·Π²ΠΎΠ»ΡΠ½ΠΎ).

Π ΠΏΡΠΈΠ½ΡΠΈΠΏΠ΅ ΡΠΎΠ²ΠΏΠ°Π΄Π°Π΅Ρ Ρ ΠΌΠ°ΡΠ΅ΠΌΠ°ΡΠΈΡΠ΅ΡΠΊΠΈΠΌ ΠΏΠΎΠ½ΡΡΠΈΠ΅ΠΌ ΠΏΠ΅ΡΠΈΠΎΠ΄Π° ΡΡΠ½ΠΊΡΠΈΠΈ, Π½ΠΎ ΠΈΠΌΠ΅Ρ Π² Π²ΠΈΠ΄Ρ ΠΏΠΎΠ΄ ΡΡΠ½ΠΊΡΠΈΠ΅ΠΉ Π·Π°Π²ΠΈΡΠΈΠΌΠΎΡΡΡ ΡΠΈΠ·ΠΈΡΠ΅ΡΠΊΠΎΠΉ Π²Π΅Π»ΠΈΡΠΈΠ½Ρ, ΡΠΎΠ²Π΅ΡΡΠ°ΡΡΠ΅ΠΉ ΠΊΠΎΠ»Π΅Π±Π°Π½ΠΈΡ, ΠΎΡ Π²ΡΠ΅ΠΌΠ΅Π½ΠΈ.
ΠΡΠΎ ΠΏΠΎΠ½ΡΡΠΈΠ΅ Π² ΡΠ°ΠΊΠΎΠΌ Π²ΠΈΠ΄Π΅ ΠΏΡΠΈΠΌΠ΅Π½ΠΈΠΌΠΎ ΠΊΠ°ΠΊ ΠΊ Π³Π°ΡΠΌΠΎΠ½ΠΈΡΠ΅ΡΠΊΠΈΠΌ, ΡΠ°ΠΊ ΠΈ ΠΊ Π°Π½Π³Π°ΡΠΌΠΎΠ½ΠΈΡΠ΅ΡΠΊΠΈΠΌ ΡΡΡΠΎΠ³ΠΎ ΠΏΠ΅ΡΠΈΠΎΠ΄ΠΈΡΠ΅ΡΠΊΠΈΠΌΠΈ ΠΊΠΎΠ»Π΅Π±Π°Π½ΠΈΡΠΌ (Π° ΠΏΡΠΈΠ±Π»ΠΈΠΆΠ΅Π½Π½ΠΎΒ β Ρ ΡΠ΅ΠΌ ΠΈΠ»ΠΈ ΠΈΠ½ΡΠΌ ΡΡΠΏΠ΅Ρ ΠΎΠΌΒ β ΠΈ Π½Π΅ΠΏΠ΅ΡΠΈΠΎΠ΄ΠΈΡΠ΅ΡΠΊΠΈΠΌ ΠΊΠΎΠ»Π΅Π±Π°Π½ΠΈΡΠΌ, ΠΏΠΎ ΠΊΡΠ°ΠΉΠ½Π΅ΠΉ ΠΌΠ΅ΡΠ΅ ΠΊ Π±Π»ΠΈΠ·ΠΊΠΈΠΌ ΠΊ ΠΏΠ΅ΡΠΈΠΎΠ΄ΠΈΡΠ½ΠΎΡΡΠΈ).
Π ΡΠ»ΡΡΠ°Π΅, ΠΊΠΎΠ³Π΄Π° ΡΠ΅ΡΡ ΠΈΠ΄Π΅Ρ ΠΎ ΠΊΠΎΠ»Π΅Π±Π°Π½ΠΈΡΡ Π³Π°ΡΠΌΠΎΠ½ΠΈΡΠ΅ΡΠΊΠΎΠ³ΠΎ ΠΎΡΡΠΈΠ»Π»ΡΡΠΎΡΠ° Ρ Π·Π°ΡΡΡ Π°Π½ΠΈΠ΅ΠΌ, ΠΏΠΎΠ΄ ΠΏΠ΅ΡΠΈΠΎΠ΄ΠΎΠΌ ΠΏΠΎΠ½ΠΈΠΌΠ°Π΅ΡΡΡ ΠΏΠ΅ΡΠΈΠΎΠ΄ Π΅Π³ΠΎ ΠΎΡΡΠΈΠ»Π»ΠΈΡΡΡΡΠ΅ΠΉ ΡΠΎΡΡΠ°Π²Π»ΡΡΡΠ΅ΠΉ (ΠΈΠ³Π½ΠΎΡΠΈΡΡΡ Π·Π°ΡΡΡ Π°Π½ΠΈΠ΅), ΠΊΠΎΡΠΎΡΡΠΉ ΡΠΎΠ²ΠΏΠ°Π΄Π°Π΅Ρ Ρ ΡΠ΄Π²ΠΎΠ΅Π½Π½ΡΠΌ Π²ΡΠ΅ΠΌΠ΅Π½Π½ΡΠΌ ΠΏΡΠΎΠΌΠ΅ΠΆΡΡΠΊΠΎΠΌ ΠΌΠ΅ΠΆΠ΄Ρ Π±Π»ΠΈΠΆΠ°ΠΉΡΠΈΠΌΠΈ ΠΏΡΠΎΡ ΠΎΠΆΠ΄Π΅Π½ΠΈΡΠΌΠΈ ΠΊΠΎΠ»Π΅Π±Π»ΡΡΠ΅ΠΉΡΡ Π²Π΅Π»ΠΈΡΠΈΠ½Ρ ΡΠ΅ΡΠ΅Π· Π½ΠΎΠ»Ρ. Π ΠΏΡΠΈΠ½ΡΠΈΠΏΠ΅, ΡΡΠΎ ΠΎΠΏΡΠ΅Π΄Π΅Π»Π΅Π½ΠΈΠ΅ ΠΌΠΎΠΆΠ΅Ρ Π±ΡΡΡ Ρ Π±ΠΎΠ»ΡΡΠ΅ΠΉ ΠΈΠ»ΠΈ ΠΌΠ΅Π½ΡΡΠ΅ΠΉ ΡΠΎΡΠ½ΠΎΡΡΡΡ ΠΈ ΠΏΠΎΠ»ΡΠ·ΠΎΠΉ ΡΠ°ΡΠΏΡΠΎΡΡΡΠ°Π½Π΅Π½ΠΎ Π² Π½Π΅ΠΊΠΎΡΠΎΡΠΎΠΌ ΠΎΠ±ΠΎΠ±ΡΠ΅Π½ΠΈΠΈ ΠΈ Π½Π° Π·Π°ΡΡΡ Π°ΡΡΠΈΠ΅ ΠΊΠΎΠ»Π΅Π±Π°Π½ΠΈΡ Ρ Π΄ΡΡΠ³ΠΈΠΌΠΈ ΡΠ²ΠΎΠΉΡΡΠ²Π°ΠΌΠΈ.
ΠΠ±ΠΎΠ·Π½Π°ΡΠ΅Π½ΠΈΡ: ΠΎΠ±ΡΡΠ½ΠΎΠ΅ ΡΡΠ°Π½Π΄Π°ΡΡΠ½ΠΎΠ΅ ΠΎΠ±ΠΎΠ·Π½Π°ΡΠ΅Π½ΠΈΠ΅ ΠΏΠ΅ΡΠΈΠΎΠ΄Π° ΠΊΠΎΠ»Π΅Π±Π°Π½ΠΈΠΉ: T{\displaystyle T} (Ρ ΠΎΡΡ ΠΌΠΎΠ³ΡΡ ΠΏΡΠΈΠΌΠ΅Π½ΡΡΡΡΡ ΠΈ Π΄ΡΡΠ³ΠΈΠ΅, Π½Π°ΠΈΠ±ΠΎΠ»Π΅Π΅ ΡΠ°ΡΡΠΎ ΡΡΠΎ Ο{\displaystyle \tau }, ΠΈΠ½ΠΎΠ³Π΄Π° Ξ{\displaystyle \Theta } ΠΈΒ Ρ.Β Π΄.).
ΠΠ΄ΠΈΠ½ΠΈΡΡ ΠΈΠ·ΠΌΠ΅ΡΠ΅Π½ΠΈΡ: ΡΠ΅ΠΊΡΠ½Π΄Π° ΠΈ, Π² ΠΏΡΠΈΠ½ΡΠΈΠΏΠ΅, Π²ΠΎΠΎΠ±ΡΠ΅ Π΅Π΄ΠΈΠ½ΠΈΡΡ ΠΈΠ·ΠΌΠ΅ΡΠ΅Π½ΠΈΡ Π²ΡΠ΅ΠΌΠ΅Π½ΠΈ.
ΠΠ΅ΡΠΈΠΎΠ΄ ΠΊΠΎΠ»Π΅Π±Π°Π½ΠΈΠΉ ΡΠ²ΡΠ·Π°Π½ ΡΠΎΠΎΡΠ½ΠΎΡΠ΅Π½ΠΈΠ΅ΠΌ Π²Π·Π°ΠΈΠΌΠ½ΠΎΠΉ ΠΎΠ±ΡΠ°ΡΠ½ΠΎΡΡΠΈ Ρ ΡΠ°ΡΡΠΎΡΠΎΠΉ:
- T=1Ξ½,Β Β Β Ξ½=1T.{\displaystyle T={\frac {1}{\nu }},\ \ \ \nu ={\frac {1}{T}}.}
ΠΠ»Ρ Π²ΠΎΠ»Π½ΠΎΠ²ΡΡ ΠΏΡΠΎΡΠ΅ΡΡΠΎΠ² ΠΏΠ΅ΡΠΈΠΎΠ΄ ΡΠ²ΡΠ·Π°Π½ ΠΊΡΠΎΠΌΠ΅ ΡΠΎΠ³ΠΎ ΠΎΡΠ΅Π²ΠΈΠ΄Π½ΡΠΌ ΠΎΠ±ΡΠ°Π·ΠΎΠΌ Ρ Π΄Π»ΠΈΠ½ΠΎΠΉ Π²ΠΎΠ»Π½Ρ Ξ»{\displaystyle \lambda }
- v=λν,   T=λv,{\displaystyle v=\lambda \nu ,\ \ \ T={\frac {\lambda }{v}},}
Π³Π΄Π΅ v{\displaystyle v}Β β ΡΠΊΠΎΡΠΎΡΡΡ ΡΠ°ΡΠΏΡΠΎΡΡΡΠ°Π½Π΅Π½ΠΈΡ Π²ΠΎΠ»Π½Ρ (ΡΠΎΡΠ½Π΅Π΅[2]Β β ΡΠ°Π·ΠΎΠ²Π°Ρ ΡΠΊΠΎΡΠΎΡΡΡ).
Π ΠΊΠ²Π°Π½ΡΠΎΠ²ΠΎΠΉ ΡΠΈΠ·ΠΈΠΊΠ΅ ΠΏΠ΅ΡΠΈΠΎΠ΄ ΠΊΠΎΠ»Π΅Π±Π°Π½ΠΈΠΉ ΠΏΡΡΠΌΠΎ ΡΠ²ΡΠ·Π°Π½ Ρ ΡΠ½Π΅ΡΠ³ΠΈΠ΅ΠΉ (ΠΏΠΎΡΠΊΠΎΠ»ΡΠΊΡ Π² ΠΊΠ²Π°Π½ΡΠΎΠ²ΠΎΠΉ ΡΠΈΠ·ΠΈΠΊΠ΅ ΡΠ½Π΅ΡΠ³ΠΈΡ ΠΎΠ±ΡΠ΅ΠΊΡΠ°Β β Π½Π°ΠΏΡΠΈΠΌΠ΅Ρ, ΡΠ°ΡΡΠΈΡΡΒ β Π΅ΡΡΡ ΡΠ°ΡΡΠΎΡΠ°[3] ΠΊΠΎΠ»Π΅Π±Π°Π½ΠΈΠΉ Π΅Π³ΠΎ Π²ΠΎΠ»Π½ΠΎΠ²ΠΎΠΉ ΡΡΠ½ΠΊΡΠΈΠΈ).
Π’Π΅ΠΎΡΠ΅ΡΠΈΡΠ΅ΡΠΊΠΎΠ΅ Π½Π°Ρ ΠΎΠΆΠ΄Π΅Π½ΠΈΠ΅ ΠΏΠ΅ΡΠΈΠΎΠ΄Π° ΠΊΠΎΠ»Π΅Π±Π°Π½ΠΈΠΉ ΡΠΎΠΉ ΠΈΠ»ΠΈ ΠΈΠ½ΠΎΠΉ ΡΠΈΠ·ΠΈΡΠ΅ΡΠΊΠΎΠΉ ΡΠΈΡΡΠ΅ΠΌΡ ΡΠ²ΠΎΠ΄ΠΈΡΡΡ, ΠΊΠ°ΠΊ ΠΏΡΠ°Π²ΠΈΠ»ΠΎ, ΠΊ Π½Π°Ρ ΠΎΠΆΠ΄Π΅Π½ΠΈΡ ΡΠ΅ΡΠ΅Π½ΠΈΡ Π΄ΠΈΠ½Π°ΠΌΠΈΡΠ΅ΡΠΊΠΈΡ ΡΡΠ°Π²Π½Π΅Π½ΠΈΠΉ (ΡΡΠ°Π²Π½Π΅Π½ΠΈΡ), ΠΎΠΏΠΈΡΡΠ²Π°ΡΡΠ΅Π³ΠΎ ΡΡΡ ΡΠΈΡΡΠ΅ΠΌΡ. ΠΠ»Ρ ΠΊΠ°ΡΠ΅Π³ΠΎΡΠΈΠΈ Π»ΠΈΠ½Π΅ΠΉΠ½ΡΡ ΡΠΈΡΡΠ΅ΠΌ (Π° ΠΏΡΠΈΠ±Π»ΠΈΠΆΠ΅Π½Π½ΠΎΒ β ΠΈ Π΄Π»Ρ Π»ΠΈΠ½Π΅Π°ΡΠΈΠ·ΡΠ΅ΠΌΡΡ ΡΠΈΡΡΠ΅ΠΌ Π² Π»ΠΈΠ½Π΅ΠΉΠ½ΠΎΠΌ ΠΏΡΠΈΠ±Π»ΠΈΠΆΠ΅Π½ΠΈΠΈ, ΠΊΠΎΡΠΎΡΠΎΠ΅ Π·Π°ΡΠ°ΡΡΡΡ ΡΠ²Π»ΡΠ΅ΡΡΡ ΠΎΡΠ΅Π½Ρ Ρ ΠΎΡΠΎΡΠΈΠΌ) ΡΡΡΠ΅ΡΡΠ²ΡΡΡ ΡΡΠ°Π½Π΄Π°ΡΡΠ½ΡΠ΅ ΡΡΠ°Π²Π½ΠΈΡΠ΅Π»ΡΠ½ΠΎ ΠΏΡΠΎΡΡΡΠ΅ ΠΌΠ°ΡΠ΅ΠΌΠ°ΡΠΈΡΠ΅ΡΠΊΠΈΠ΅ ΠΌΠ΅ΡΠΎΠ΄Ρ, ΠΏΠΎΠ·Π²ΠΎΠ»ΡΡΡΠΈΠ΅ ΡΡΠΎ ΡΠ΄Π΅Π»Π°ΡΡ (Π΅ΡΠ»ΠΈ ΠΈΠ·Π²Π΅ΡΡΠ½Ρ ΡΠ°ΠΌΠΈ ΡΠΈΠ·ΠΈΡΠ΅ΡΠΊΠΈΠ΅ ΡΡΠ°Π²Π½Π΅Π½ΠΈΡ, ΠΎΠΏΠΈΡΡΠ²Π°ΡΡΠΈΠ΅ ΡΠΈΡΡΠ΅ΠΌΡ).
ΠΠ»Ρ ΡΠΊΡΠΏΠ΅ΡΠΈΠΌΠ΅Π½ΡΠ°Π»ΡΠ½ΠΎΠ³ΠΎ ΠΎΠΏΡΠ΅Π΄Π΅Π»Π΅Π½ΠΈΡ ΠΏΠ΅ΡΠΈΠΎΠ΄Π° ΠΈΡΠΏΠΎΠ»ΡΠ·ΡΡΡΡΡ ΡΠ°ΡΡ, ΡΠ΅ΠΊΡΠ½Π΄ΠΎΠΌΠ΅ΡΡ, ΡΠ°ΡΡΠΎΡΠΎΠΌΠ΅ΡΡ, ΡΡΡΠΎΠ±ΠΎΡΠΊΠΎΠΏΡ, ΡΡΡΠΎΠ±ΠΎΡΠ°Ρ ΠΎΠΌΠ΅ΡΡΡ, ΠΎΡΡΠΈΠ»Π»ΠΎΠ³ΡΠ°ΡΡ. Π’Π°ΠΊΠΆΠ΅ ΠΏΡΠΈΠΌΠ΅Π½ΡΡΡΡΡ Π±ΠΈΠ΅Π½ΠΈΡ, ΠΌΠ΅ΡΠΎΠ΄ Π³Π΅ΡΠ΅ΡΠΎΠ΄ΠΈΠ½ΠΈΡΠΎΠ²Π°Π½ΠΈΡ Π² ΡΠ°Π·Π½ΡΡ Π²ΠΈΠ΄Π°Ρ , ΠΈΡΠΏΠΎΠ»ΡΠ·ΡΠ΅ΡΡΡ ΠΏΡΠΈΠ½ΡΠΈΠΏ ΡΠ΅Π·ΠΎΠ½Π°Π½ΡΠ°. ΠΠ»Ρ Π²ΠΎΠ»Π½ ΠΌΠΎΠΆΠ½ΠΎ ΠΏΠΎΠΌΠ΅ΡΠΈΡΡ ΠΏΠ΅ΡΠΈΠΎΠ΄ ΠΊΠΎΡΠ²Π΅Π½Π½ΠΎΒ β ΡΠ΅ΡΠ΅Π· Π΄Π»ΠΈΠ½Ρ Π²ΠΎΠ»Π½Ρ, Π΄Π»Ρ ΡΠ΅Π³ΠΎ ΠΏΡΠΈΠΌΠ΅Π½ΡΡΡΡΡ ΠΈΠ½ΡΠ΅ΡΡΠ΅ΡΠΎΠΌΠ΅ΡΡΡ, Π΄ΠΈΡΡΠ°ΠΊΡΠΈΠΎΠ½Π½ΡΠ΅ ΡΠ΅ΡΡΡΠΊΠΈ ΠΈΡΠΏ. ΠΠ½ΠΎΠ³Π΄Π° ΡΡΠ΅Π±ΡΡΡΡΡ ΠΈ ΠΈΠ·ΠΎΡΡΠ΅Π½Π½ΡΠ΅ ΠΌΠ΅ΡΠΎΠ΄Ρ, ΡΠΏΠ΅ΡΠΈΠ°Π»ΡΠ½ΠΎ ΡΠ°Π·ΡΠ°Π±ΠΎΡΠ°Π½Π½ΡΠ΅ Π΄Π»Ρ ΠΊΠΎΠ½ΠΊΡΠ΅ΡΠ½ΠΎΠ³ΠΎ ΡΡΡΠ΄Π½ΠΎΠ³ΠΎ ΡΠ»ΡΡΠ°Ρ (ΡΡΡΠ΄Π½ΠΎΡΡΡ ΠΌΠΎΠ³ΡΡ ΠΏΡΠ΅Π΄ΡΡΠ°Π²Π»ΡΡΡ ΠΊΠ°ΠΊ ΡΠ°ΠΌΠΎ ΠΈΠ·ΠΌΠ΅ΡΠ΅Π½ΠΈΠ΅ Π²ΡΠ΅ΠΌΠ΅Π½ΠΈ, ΠΎΡΠΎΠ±Π΅Π½Π½ΠΎ Π΅ΡΠ»ΠΈ ΡΠ΅ΡΡ ΠΈΠ΄Π΅Ρ ΠΎ ΠΏΡΠ΅Π΄Π΅Π»ΡΠ½ΠΎ ΠΌΠ°Π»ΡΡ ΠΈΠ»ΠΈ Π½Π°ΠΎΠ±ΠΎΡΠΎΡ ΠΎΡΠ΅Π½Ρ Π±ΠΎΠ»ΡΡΠΈΡ Π²ΡΠ΅ΠΌΠ΅Π½Π°Ρ , ΡΠ°ΠΊ ΠΈ ΡΡΡΠ΄Π½ΠΎΡΡΠΈ Π½Π°Π±Π»ΡΠ΄Π΅Π½ΠΈΡ ΠΊΠΎΠ»Π΅Π±Π»ΡΡΠ΅ΠΉΡΡ Π²Π΅Π»ΠΈΡΠΈΠ½Ρ).
ΠΠ΅ΡΠΈΠΎΠ΄Ρ ΠΊΠΎΠ»Π΅Π±Π°Π½ΠΈΠΉ Π² ΠΏΡΠΈΡΠΎΠ΄Π΅
ΠΡΠ΅Π΄ΡΡΠ°Π²Π»Π΅Π½ΠΈΠ΅ ΠΎ ΠΏΠ΅ΡΠΈΠΎΠ΄Π°Ρ ΠΊΠΎΠ»Π΅Π±Π°Π½ΠΈΠΉ ΡΠ°Π·Π»ΠΈΡΠ½ΡΡ ΡΠΈΠ·ΠΈΡΠ΅ΡΠΊΠΈΡ ΠΏΡΠΎΡΠ΅ΡΡΠΎΠ² Π΄Π°Π΅Ρ ΡΡΠ°ΡΡΡ Π§Π°ΡΡΠΎΡΠ½ΡΠ΅ ΠΈΠ½ΡΠ΅ΡΠ²Π°Π»Ρ (ΡΡΠΈΡΡΠ²Π°Ρ ΡΠΎ, ΡΡΠΎ ΠΏΠ΅ΡΠΈΠΎΠ΄ Π² ΡΠ΅ΠΊΡΠ½Π΄Π°Ρ Π΅ΡΡΡ ΠΎΠ±ΡΠ°ΡΠ½Π°Ρ Π²Π΅Π»ΠΈΡΠΈΠ½Π° ΡΠ°ΡΡΠΎΡΡ Π² Π³Π΅ΡΡΠ°Ρ ).
ΠΠ΅ΠΊΠΎΡΠΎΡΠΎΠ΅ ΠΏΡΠ΅Π΄ΡΡΠ°Π²Π»Π΅Π½ΠΈΠ΅ ΠΎ Π²Π΅Π»ΠΈΡΠΈΠ½Π°Ρ ΠΏΠ΅ΡΠΈΠΎΠ΄ΠΎΠ² ΡΠ°Π·Π»ΠΈΡΠ½ΡΡ ΡΠΈΠ·ΠΈΡΠ΅ΡΠΊΠΈΡ ΠΏΡΠΎΡΠ΅ΡΡΠΎΠ² ΡΠ°ΠΊΠΆΠ΅ ΠΌΠΎΠΆΠ΅Ρ Π΄Π°ΡΡ ΡΠΊΠ°Π»Π° ΡΠ°ΡΡΠΎΡ ΡΠ»Π΅ΡΡΠΎΠΌΠ°Π³Π½ΠΈΡΠ½ΡΡ ΠΊΠΎΠ»Π΅Π±Π°Π½ΠΈΠΉ (ΡΠΌ. ΠΠ»Π΅ΠΊΡΡΠΎΠΌΠ°Π³Π½ΠΈΡΠ½ΡΠΉ ΡΠΏΠ΅ΠΊΡΡ) .
ΠΠ΅ΡΠΈΠΎΠ΄Ρ ΠΊΠΎΠ»Π΅Π±Π°Π½ΠΈΠΉ ΡΠ»ΡΡΠΈΠΌΠΎΠ³ΠΎ ΡΠ΅Π»ΠΎΠ²Π΅ΠΊΠΎΠΌ Π·Π²ΡΠΊΠ° Π½Π°Ρ ΠΎΠ΄ΡΡΡΡ Π² Π΄ΠΈΠ°ΠΏΠ°Π·ΠΎΠ½Π΅
- ΠΎΡ 5Β·10β5Ρ Π΄ΠΎ 0,2Ρ
(ΡΠ΅ΡΠΊΠΈΠ΅ Π³ΡΠ°Π½ΠΈΡΡ Π΅Π³ΠΎ Π½Π΅ΡΠΊΠΎΠ»ΡΠΊΠΎ ΡΡΠ»ΠΎΠ²Π½Ρ).
ΠΠ΅ΡΠΈΠΎΠ΄Ρ ΡΠ»Π΅ΠΊΡΡΠΎΠΌΠ°Π³Π½ΠΈΡΠ½ΡΡ ΠΊΠΎΠ»Π΅Π±Π°Π½ΠΈΠΉ, ΡΠΎΠΎΡΠ²Π΅ΡΡΡΠ²ΡΡΡΠΈΡ ΡΠ°Π·Π½ΡΠΌ ΡΠ²Π΅ΡΠ°ΠΌ Π²ΠΈΠ΄ΠΈΠΌΠΎΠ³ΠΎ ΡΠ²Π΅ΡΠ°Β β Π² Π΄ΠΈΠ°ΠΏΠ°Π·ΠΎΠ½Π΅
- ΠΎΡ 1,1Β·10β15Ρ Π΄ΠΎ 2,3Β·10β15Ρ.
ΠΠΎΡΠΊΠΎΠ»ΡΠΊΡ ΠΏΡΠΈ ΡΠΊΡΡΡΠ΅ΠΌΠ°Π»ΡΠ½ΠΎ Π±ΠΎΠ»ΡΡΠΈΡ ΠΈ ΡΠΊΡΡΡΠ΅ΠΌΠ°Π»ΡΠ½ΠΎ ΠΌΠ°Π»Π΅Π½ΡΠΊΠΈΡ ΠΏΠ΅ΡΠΈΠΎΠ΄Π°Ρ ΠΊΠΎΠ»Π΅Π±Π°Π½ΠΈΠΉ ΠΌΠ΅ΡΠΎΠ΄Ρ ΠΈΠ·ΠΌΠ΅ΡΠ΅Π½ΠΈΡ ΠΈΠΌΠ΅ΡΡ ΡΠ΅Π½Π΄Π΅Π½ΡΠΈΡ ΡΡΠ°Π½ΠΎΠ²ΡΡΡΡ Π²ΡΡ Π±ΠΎΠ»Π΅Π΅ ΠΊΠΎΡΠ²Π΅Π½Π½ΡΠΌΠΈ (Π²ΠΏΠ»ΠΎΡΡ Π΄ΠΎ ΠΏΠ»Π°Π²Π½ΠΎΠ³ΠΎ ΠΏΠ΅ΡΠ΅ΡΠ΅ΠΊΠ°Π½ΠΈΡ Π² ΡΠ΅ΠΎΡΠ΅ΡΠΈΡΠ΅ΡΠΊΠΈΠ΅ ΡΠΊΡΡΡΠ°ΠΏΠΎΠ»ΡΡΠΈΠΈ), ΡΡΡΠ΄Π½ΠΎ Π½Π°Π·Π²Π°ΡΡ ΡΠ΅ΡΠΊΡΡ Π²Π΅ΡΡ Π½ΡΡ ΠΈ Π½ΠΈΠΆΠ½ΡΡ Π³ΡΠ°Π½ΠΈΡΡ Π΄Π»Ρ ΠΏΠ΅ΡΠΈΠΎΠ΄Π° ΠΊΠΎΠ»Π΅Π±Π°Π½ΠΈΠΉ, ΠΈΠ·ΠΌΠ΅ΡΠ΅Π½Π½ΠΎΠ³ΠΎ Π½Π΅ΠΏΠΎΡΡΠ΅Π΄ΡΡΠ²Π΅Π½Π½ΠΎ. ΠΠ°ΠΊΡΡ-ΡΠΎ ΠΎΡΠ΅Π½ΠΊΡ Π΄Π»Ρ Π²Π΅ΡΡ Π½Π΅ΠΉ Π³ΡΠ°Π½ΠΈΡΡ ΠΌΠΎΠΆΠ΅Ρ Π΄Π°ΡΡ Π²ΡΠ΅ΠΌΡ ΡΡΡΠ΅ΡΡΠ²ΠΎΠ²Π°Π½ΠΈΡ ΡΠΎΠ²ΡΠ΅ΠΌΠ΅Π½Π½ΠΎΠΉ Π½Π°ΡΠΊΠΈ (ΡΠΎΡΠ½ΠΈ Π»Π΅Ρ), Π° Π΄Π»Ρ Π½ΠΈΠΆΠ½Π΅ΠΉΒ β ΠΏΠ΅ΡΠΈΠΎΠ΄ ΠΊΠΎΠ»Π΅Π±Π°Π½ΠΈΠΉ Π²ΠΎΠ»Π½ΠΎΠ²ΠΎΠΉ ΡΡΠ½ΠΊΡΠΈΠΈ ΡΠ°ΠΌΠΎΠΉ ΡΡΠΆΠ΅Π»ΠΎΠΉ ΠΈΠ· ΠΈΠ·Π²Π΅ΡΡΠ½ΡΡ ΡΠ΅ΠΉΡΠ°Ρ ΡΠ°ΡΡΠΈΡ ().
Π Π»ΡΠ±ΠΎΠΌ ΡΠ»ΡΡΠ°Π΅ Π³ΡΠ°Π½ΠΈΡΠ΅ΠΉ ΡΠ½ΠΈΠ·Ρ ΠΌΠΎΠΆΠ΅Ρ ΡΠ»ΡΠΆΠΈΡΡ ΠΏΠ»Π°Π½ΠΊΠΎΠ²ΡΠΊΠΎΠ΅ Π²ΡΠ΅ΠΌΡ, ΠΊΠΎΡΠΎΡΠΎΠ΅ ΡΡΠΎΠ»Ρ ΠΌΠ°Π»ΠΎ, ΡΡΠΎ ΠΏΠΎ ΡΠΎΠ²ΡΠ΅ΠΌΠ΅Π½Π½ΡΠΌ ΠΏΡΠ΅Π΄ΡΡΠ°Π²Π»Π΅Π½ΠΈΡΠΌ Π½Π΅ ΡΠΎΠ»ΡΠΊΠΎ Π²ΡΡΠ΄ Π»ΠΈ ΠΌΠΎΠΆΠ΅Ρ Π±ΡΡΡ Π²ΠΎΠΎΠ±ΡΠ΅ ΠΊΠ°ΠΊ-ΡΠΎ ΡΠΈΠ·ΠΈΡΠ΅ΡΠΊΠΈ ΠΈΠ·ΠΌΠ΅ΡΠ΅Π½ΠΎ[4], Π½ΠΎ ΠΈ Π²ΡΡΠ΄ Π»ΠΈ Π² Π±ΠΎΠ»Π΅Π΅-ΠΌΠ΅Π½Π΅Π΅ ΠΎΠ±ΠΎΠ·ΡΠΈΠΌΠΎΠΌ Π±ΡΠ΄ΡΡΠ΅ΠΌ ΠΏΡΠ΅Π΄ΡΡΠ°Π²Π»ΡΠ΅ΡΡΡ Π²ΠΎΠ·ΠΌΠΎΠΆΠ½ΠΎΡΡΡ ΠΏΡΠΈΠ±Π»ΠΈΠ·ΠΈΡΡΡΡ ΠΊ ΠΈΠ·ΠΌΠ΅ΡΠ΅Π½ΠΈΡ Π²Π΅Π»ΠΈΡΠΈΠ½ Π΄Π°ΠΆΠ΅ Π½Π°ΠΌΠ½ΠΎΠ³ΠΎ ΠΏΠΎΡΡΠ΄ΠΊΠΎΠ² Π±ΠΎΠ»ΡΡΠΈΡ , Π° Π³ΡΠ°Π½ΠΈΡΠ΅ΠΉ ΡΠ²Π΅ΡΡ ΡΒ β Π²ΡΠ΅ΠΌΡ ΡΡΡΠ΅ΡΡΠ²ΠΎΠ²Π°Π½ΠΈΡ ΠΡΠ΅Π»Π΅Π½Π½ΠΎΠΉΒ β Π±ΠΎΠ»Π΅Π΅ Π΄Π΅ΡΡΡΠΈ ΠΌΠΈΠ»Π»ΠΈΠ°ΡΠ΄ΠΎΠ² Π»Π΅Ρ.
ΠΠ΅ΡΠΈΠΎΠ΄Ρ ΠΊΠΎΠ»Π΅Π±Π°Π½ΠΈΠΉ ΠΏΡΠΎΡΡΠ΅ΠΉΡΠΈΡ ΡΠΈΠ·ΠΈΡΠ΅ΡΠΊΠΈΡ ΡΠΈΡΡΠ΅ΠΌ
ΠΡΠΈΠΌΠ΅ΡΠ°Π½ΠΈΡ
- β Π‘ΠΎΡΡΠΎΡΠ½ΠΈΠ΅ ΠΌΠ΅Ρ Π°Π½ΠΈΡΠ΅ΡΠΊΠΎΠΉ ΡΠΈΡΡΠ΅ΠΌΡ Ρ Π°ΡΠ°ΠΊΡΠ΅ΡΠΈΠ·ΡΠ΅ΡΡΡ ΠΏΠΎΠ»ΠΎΠΆΠ΅Π½ΠΈΡΠΌΠΈ ΠΈ ΡΠΊΠΎΡΠΎΡΡΡΠΌΠΈ Π²ΡΠ΅Ρ Π΅Ρ ΠΌΠ°ΡΠ΅ΡΠΈΠ°Π»ΡΠ½ΡΡ ΡΠΎΡΠ΅ΠΊ (ΡΡΡΠΎΠΆΠ΅ Π³ΠΎΠ²ΠΎΡΡΒ β ΠΊΠΎΠΎΡΠ΄ΠΈΠ½Π°ΡΠ°ΠΌΠΈ ΠΈ ΡΠΊΠΎΡΠΎΡΡΡΠΌΠΈ, ΡΠΎΠΎΡΠ²Π΅ΡΡΡΠ²ΡΡΡΠΈΠΌΠΈ Π²ΡΠ΅ΠΌ ΡΡΠ΅ΠΏΠ΅Π½ΡΠΌ ΡΠ²ΠΎΠ±ΠΎΠ΄Ρ Π΄Π°Π½Π½ΠΎΠΉ ΡΠΈΡΡΠ΅ΠΌΡ), Π΄Π»Ρ Π½Π΅ΠΌΠ΅Ρ Π°Π½ΠΈΡΠ΅ΡΠΊΠΎΠΉΒ β ΠΈΡ ΡΠΎΡΠΌΠ°Π»ΡΠ½ΡΠΌΠΈ Π°Π½Π°Π»ΠΎΠ³Π°ΠΌΠΈ (ΠΊΠΎΡΠΎΡΡΠ΅ ΡΠ°ΠΊΠΆΠ΅ ΠΌΠΎΠΆΠ½ΠΎ Π½Π°Π·Π²Π°ΡΡ ΠΊΠΎΠΎΡΠ΄ΠΈΠ½Π°ΡΠ°ΠΌΠΈ ΠΈ ΡΠΊΠΎΡΠΎΡΡΡΠΌΠΈ Π² ΡΠΌΡΡΠ»Π΅ Π°Π±ΡΡΡΠ°ΠΊΡΠ½ΠΎΠ³ΠΎ ΠΎΠΏΠΈΡΠ°Π½ΠΈΡ Π΄ΠΈΠ½Π°ΠΌΠΈΡΠ΅ΡΠΊΠΎΠΉ ΡΠΈΡΡΠ΅ΠΌΡΒ β Π² ΠΊΠΎΠ»ΠΈΡΠ΅ΡΡΠ²Π΅, ΡΠ°ΠΊΠΆΠ΅ ΡΠ°Π²Π½ΠΎΠΌ ΠΊΠΎΠ»ΠΈΡΠ΅ΡΡΠ²Ρ Π΅Ρ ΡΡΠ΅ΠΏΠ΅Π½Π΅ΠΉ ΡΠ²ΠΎΠ±ΠΎΠ΄Ρ).
- β ΠΠ»Ρ ΠΌΠΎΠ½ΠΎΡ ΡΠΎΠΌΠ°ΡΠΈΡΠ΅ΡΠΊΠΈΡ Π²ΠΎΠ»Π½ ΡΡΠΎ ΡΡΠΎΡΠ½Π΅Π½ΠΈΠ΅ ΡΠ°ΠΌΠΎΠΎΡΠ΅Π²ΠΈΠ΄Π½ΠΎ, Π΄Π»Ρ Π±Π»ΠΈΠ·ΠΊΠΈΡ ΠΊ ΠΌΠΎΠ½ΠΎΡ ΡΠΎΠΌΠ°ΡΠΈΡΠ΅ΡΠΊΠΈΠΌΒ β ΠΈΠ½ΡΡΠΈΡΠΈΠ²Π½ΠΎ ΠΎΡΠ΅Π²ΠΈΠ΄Π½ΠΎ ΠΏΠΎ Π°Π½Π°Π»ΠΎΠ³ΠΈΠΈ ΡΠΎ ΡΡΡΠΎΠ³ΠΎ ΠΌΠΎΠ½ΠΎΡ ΡΠΎΠΌΠ°ΡΠΈΡΠ΅ΡΠΊΠΈΠΌΠΈ, Π΄Π»Ρ ΡΡΡΠ΅ΡΡΠ²Π΅Π½Π½ΠΎ Π½Π΅ΠΌΠΎΠ½ΠΎΡ ΡΠΎΠΌΠ°ΡΠΈΡΠ΅ΡΠΊΠΈΡ Β β Π½Π°ΠΈΠ±ΠΎΠ»Π΅Π΅ ΡΡΠ½ΡΠΉ ΡΠ»ΡΡΠ°ΠΉ ΡΠ²ΠΎΠ΄ΠΈΡΡΡ ΠΊ ΡΠΎΠΌΡ, ΡΡΠΎ ΡΠ°Π·ΠΎΠ²ΡΠ΅ ΡΠΊΠΎΡΠΎΡΡΠΈ Π²ΡΠ΅Ρ ΠΌΠΎΠ½ΠΎΡ ΡΠΎΠΌΠ°ΡΠΈΡΠ΅ΡΠΊΠΈΡ ΠΊΠΎΠΌΠΏΠΎΠ½Π΅Π½Ρ ΡΠΎΠ²ΠΏΠ°Π΄Π°ΡΡ Π΄ΡΡΠ³ Ρ Π΄ΡΡΠ³ΠΎΠΌ, ΠΏΠΎΡΡΠΎΠΌΡ ΠΊΠΎΠΌΠΌΠ΅Π½ΡΠΈΡΡΠ΅ΠΌΠΎΠ΅ ΡΡΠ²Π΅ΡΠΆΠ΄Π΅Π½ΠΈΠ΅ ΡΠ°ΠΊΠΆΠ΅ Π²Π΅ΡΠ½ΠΎ.
- β Π‘ ΡΠΎΡΠ½ΠΎΡΡΡΡ Π΄ΠΎ Π΅Π΄ΠΈΠ½ΠΈΡ ΠΈΠ·ΠΌΠ΅ΡΠ΅Π½ΠΈΡ: Π² ΡΡΠ°Π΄ΠΈΡΠΈΠΎΠ½Π½ΡΡ (ΠΎΠ±ΡΡΠ½ΡΡ ) ΡΠΈΡΡΠ΅ΠΌΠ°Ρ ΡΠΈΠ·ΠΈΡΠ΅ΡΠΊΠΈΡ Π΅Π΄ΠΈΠ½ΠΈΡ ΡΠ°ΡΡΠΎΡΠ° ΠΈ ΡΠ½Π΅ΡΠ³ΠΈΡ ΠΈΠ·ΠΌΠ΅ΡΡΡΡΡΡ Π² ΡΠ°Π·Π½ΡΡ Π΅Π΄ΠΈΠ½ΠΈΡΠ°Ρ (ΠΏΠΎΡΠΊΠΎΠ»ΡΠΊΡ Π΄ΠΎ ΠΏΠΎΡΠ²Π»Π΅Π½ΠΈΡ ΠΊΠ²Π°Π½ΡΠΎΠ²ΠΎΠΉ ΡΠ΅ΠΎΡΠΈΠΈ ΡΠΎΠ²ΠΏΠ°Π΄Π΅Π½ΠΈΠ΅ ΡΠ½Π΅ΡΠ³ΠΈΠΈ ΠΈ ΡΠ°ΡΡΠΎΡΡ Π±ΡΠ»ΠΎ Π½Π΅ΠΈΠ·Π²Π΅ΡΡΠ½ΠΎ, ΠΈ, Π΅ΡΡΠ΅ΡΡΠ²Π΅Π½Π½ΠΎ, Π΄Π»Ρ ΠΊΠ°ΠΆΠ΄ΠΎΠΉ ΠΈΠ· Π²Π΅Π»ΠΈΡΠΈΠ½ Π±ΡΠ»Π° Π²ΡΠ±ΡΠ°Π½Π° ΡΠ²ΠΎΡ Π½Π΅Π·Π°Π²ΠΈΡΠΈΠΌΠ°Ρ Π΅Π΄ΠΈΠ½ΠΈΡΠ° ΠΈΠ·ΠΌΠ΅ΡΠ΅Π½ΠΈΡ), ΠΏΠΎΡΡΠΎΠΌΡ ΠΏΡΠΈ ΠΈΠ·ΠΌΠ΅ΡΠ΅Π½ΠΈΠΈ ΠΈΡ Π² ΠΎΠ±ΡΡΠ½ΡΡ (ΡΠ°Π·Π½ΡΡ ) Π΅Π΄ΠΈΠ½ΠΈΡΠ°Ρ , Π½Π°ΠΏΡΠΈΠΌΠ΅Ρ, Π΄ΠΆΠΎΡΠ»ΡΡ ΠΈ Π³Π΅ΡΡΠ°Ρ ΡΡΠ΅Π±ΡΠ΅ΡΡΡ ΠΏΠ΅ΡΠ΅Π²ΠΎΠ΄Π½ΠΎΠΉ ΠΊΠΎΡΡΡΠΈΡΠΈΠ΅Π½Ρ (ΡΠ°ΠΊ Π½Π°Π·ΡΠ²Π°Π΅ΠΌΠ°Ρ ΠΊΠΎΠ½ΡΡΠ°Π½ΡΠ° ΠΠ»Π°Π½ΠΊΠ°). ΠΠ΄Π½Π°ΠΊΠΎ ΠΌΠΎΠΆΠ½ΠΎ Π²ΡΠ±ΡΠ°ΡΡ ΡΠΈΡΡΠ΅ΠΌΡ Π΅Π΄ΠΈΠ½ΠΈΡ ΠΈΠ·ΠΌΠ΅ΡΠ΅Π½ΠΈΡ ΡΠ°ΠΊ, ΡΡΠΎΠ±Ρ Π² Π½Π΅ΠΉ ΠΊΠΎΠ½ΡΡΠ°Π½ΡΠ° ΠΠ»Π°Π½ΠΊΠ° ΡΡΠ°Π»Π° ΡΠ°Π²Π½ΠΎΠΉ 1 ΠΈ ΠΏΡΠΎΠΏΠ°Π»Π° ΠΈΠ· ΡΠΎΡΠΌΡΠ»; Π² ΡΠ°ΠΊΠΎΠΉ ΡΠΈΡΡΠ΅ΠΌΠ΅ Π΅Π΄ΠΈΠ½ΠΈΡ ΡΠ½Π΅ΡΠ³ΠΈΡ Π»ΡΠ±ΠΎΠΉ ΡΠ°ΡΡΠΈΡΡ ΠΏΡΠΎΡΡΠΎ ΡΠ°Π²Π½Π° ΡΠ°ΡΡΠΎΡΠ΅ ΠΊΠΎΠ»Π΅Π±Π°Π½ΠΈΡ Π΅Ρ Π²ΠΎΠ»Π½ΠΎΠ²ΠΎΠΉ ΡΡΠ½ΠΊΡΠΈΠΈ (Π° Π·Π½Π°ΡΠΈΡ ΠΎΠ±ΡΠ°ΡΠ½Π° ΠΏΠ΅ΡΠΈΠΎΠ΄Ρ ΡΡΠΎΠ³ΠΎ ΠΊΠΎΠ»Π΅Π±Π°Π½ΠΈΡ).
- β ΠΠΌΠ΅Π΅ΡΡΡ Π² Π²ΠΈΠ΄Ρ, ΠΊΠΎΠ½Π΅ΡΠ½ΠΎ ΠΆΠ΅, Π½Π΅Π²ΠΎΠ·ΠΌΠΎΠΆΠ½ΠΎΡΡΡ ΡΠΊΡΠΏΠ΅ΡΠΈΠΌΠ΅Π½ΡΠ°Π»ΡΠ½ΠΎΠ³ΠΎ ΠΈΠ·ΠΌΠ΅ΡΠ΅Π½ΠΈΡ Π²ΡΠ΅ΠΌΠ΅Π½ ΠΊΠΎΠ½ΠΊΡΠ΅ΡΠ½ΡΡ ΠΏΡΠΎΡΠ΅ΡΡΠΎΠ² ΠΈΠ»ΠΈ ΠΏΠ΅ΡΠΈΠΎΠ΄ΠΎΠ² ΠΊΠΎΠ»Π΅Π±Π°Π½ΠΈΠΉ ΡΠ°ΠΊΠΎΠ³ΠΎ ΠΏΠΎΡΡΠ΄ΠΊΠ°, Π° Π½Π΅ ΠΏΡΠΎΡΡΠΎ Π²ΡΡΠΈΡΠ»Π΅Π½ΠΈΠ΅ Π½Π΅ΠΊΠΎΡΠΎΡΠΎΠ³ΠΎ ΡΠΈΡΠ»Π°.
- β ΠΡΡΡΠ΅, ΡΠ΅ΠΌ 0,5Β %, Π΅ΡΠ»ΠΈ Π²Π·ΡΡΡ ΠΌΠ΅ΡΡΠΎΠ»ΠΎΠ³ΠΈΡΠ΅ΡΠΊΠΎΠ΅ ΠΈΠ»ΠΈ ΠΏΡΠΈΠ½ΡΡΠΎΠ΅ ΡΠ΅Ρ Π½ΠΈΡΠ΅ΡΠΊΠΎΠ΅ Π·Π½Π°ΡΠ΅Π½ΠΈΠ΅ ΡΡΠΊΠΎΡΠ΅Π½ΠΈΡ ΡΠ²ΠΎΠ±ΠΎΠ΄Π½ΠΎΠ³ΠΎ ΠΏΠ°Π΄Π΅Π½ΠΈΡ; Π Ρ ΡΠ°Π·Π±ΡΠΎΡΠΎΠΌ ~0.53Β % Π΄Π»Ρ ΠΌΠ°ΠΊΡΠΈΠΌΠ°Π»ΡΠ½ΠΎΠ³ΠΎ ΠΈ ΠΌΠΈΠ½ΠΈΠΌΠ°Π»ΡΠ½ΠΎΠ³ΠΎ Π·Π½Π°ΡΠ΅Π½ΠΈΠΉ ΡΡΠΊΠΎΡΠ΅Π½ΠΈΡ ΡΠ²ΠΎΠ±ΠΎΠ΄Π½ΠΎΠ³ΠΎ ΠΏΠ°Π΄Π΅Π½ΠΈΡ, Π½Π°Π±Π»ΡΠ΄Π°Π΅ΠΌΡΡ Π½Π° Π·Π΅ΠΌΠ»Π΅.
Π‘ΡΡΠ»ΠΊΠΈ
ru-wiki.org
Π§ΡΠΎ ΡΠ°ΠΊΠΎΠ΅ ΠΏΠ΅ΡΠΈΠΎΠ΄? ΠΠ½Π°ΡΠ΅Π½ΠΈΠ΅ ΠΌΠ½ΠΎΠ³ΠΎΠ³ΡΠ°Π½Π½ΠΎΠ³ΠΎ ΠΏΠΎΠ½ΡΡΠΈΡ
ΠΠ° ΡΠ²Π΅ΡΠ΅ Π΅ΡΡΡ ΠΌΠ½ΠΎΠ³ΠΎ ΠΊΠΎΠ½ΠΊΡΠ΅ΡΠ½ΡΡ
ΠΈ Π°Π±ΡΡΡΠ°ΠΊΡΠ½ΡΡ
ΠΏΠΎΠ½ΡΡΠΈΠΉ, Π΄ΠΎΡΡΠ°ΡΠΎΡΠ½ΠΎ ΠΏΡΠΈΠ²ΡΡΠ½ΡΡ
ΠΈ ΠΌΠ½ΠΎΠ³ΠΎΠ·Π½Π°ΡΠ½ΡΡ
, ΡΠΏΠΎΡΡΠ΅Π±Π»ΡΠ΅ΠΌΡΡ
Π²ΠΎ ΠΌΠ½ΠΎΠ³ΠΈΡ
ΠΎΡΡΠ°ΡΠ»ΡΡ
Π½Π°ΡΠΊΠΈ ΠΈ ΠΏΠΎΠ²ΡΠ΅Π΄Π½Π΅Π²Π½ΠΎΠΉ ΠΆΠΈΠ·Π½ΠΈ. Π‘ΡΠ΅Π΄ΠΈ Π½ΠΈΡ
ΠΈ ΡΡΠΎ Π΅ΠΌΠΊΠΎΠ΅ ΡΠ»ΠΎΠ²ΠΎ. Π§ΡΠΎΠ±Ρ ΠΏΠΎΠ½ΡΡΡ, ΡΡΠΎ ΡΠ°ΠΊΠΎΠ΅ ΠΏΠ΅ΡΠΈΠΎΠ΄, ΠΌΠΎΠΆΠ½ΠΎ ΠΎΠ±ΡΠ°ΡΠΈΡΡΡΡ ΠΊ ΡΠΎΠ»ΠΊΠΎΠ²ΡΠΌ ΡΠ»ΠΎΠ²Π°ΡΡΠΌ. Π ΠΎΠ½ΠΈ Π΄Π°ΡΡ ΡΠ°ΠΊΠΈΠ΅ ΡΡΠ°ΠΊΡΠΎΠ²ΠΊΠΈ Π΄Π°Π½Π½ΠΎΠ³ΠΎ ΠΏΠΎΠ½ΡΡΠΈΡ.
Π§ΡΠΎ ΡΠ°ΠΊΠΎΠ΅ “ΠΏΠ΅ΡΠΈΠΎΠ΄” Π² ΡΠ»ΠΎΠ²Π°ΡΡΡ ?
Π’Π°ΠΊ, Ρ ΠΠ°Π»Ρ ΡΠΈΡΠ°Π΅ΠΌ, ΡΡΠΎ ΠΈΠΌ ΡΠ²Π»ΡΠ΅ΡΡΡ ΡΠΎΡ Π²ΡΠ΅ΠΌΠ΅Π½Π½ΠΎΠΉ ΠΏΡΠΎΠΌΠ΅ΠΆΡΡΠΎΠΊ, ΠΊΠΎΡΠΎΡΡΠΉ ΠΎΠΏΡΠ΅Π΄Π΅Π»ΡΠ΅Ρ Π²ΡΠ΅ΠΌΡ ΠΎΡ ΠΎΠ΄Π½ΠΎΠ³ΠΎ ΡΠΎΠ±ΡΡΠΈΡ Π΄ΠΎ Π΄ΡΡΠ³ΠΎΠ³ΠΎ. Π’ΠΎ Π΅ΡΡΡ: ΠΏΡΠΎΠ΄ΠΎΠ»ΠΆΠΈΡΠ΅Π»ΡΠ½ΠΎΡΡΡ, Π΄Π»ΠΈΡΠ΅Π»ΡΠ½ΠΎΡΡΡ ΡΠΎΠ±ΡΡΠΈΡ ΠΈΠ»ΠΈ Π΄Π΅ΠΉΡΡΠ²ΠΈΡ.
Π£ ΠΠΆΠ΅Π³ΠΎΠ²Π°, ΠΊ ΠΏΡΠΈΠΌΠ΅ΡΡ, ΡΡΠΎ ΡΠ°ΠΊΠΆΠ΅ ΠΏΡΠΎΠΌΠ΅ΠΆΡΡΠΎΠΊ Π²ΡΠ΅ΠΌΠ΅Π½ΠΈ (Π² ΠΏΡΠΎΡΠ»ΠΎΠΌ ΠΈΠ»ΠΈ Π½Π°ΡΡΠΎΡΡΠ΅ΠΌ), Π² ΠΊΠΎΡΠΎΡΡΠΉ ΠΊΠ°ΠΊΠΎΠ΅-Π»ΠΈΠ±ΠΎ ΡΠΎΠ±ΡΡΠΈΠ΅ Π½Π°ΡΠΈΠ½Π°Π΅ΡΡΡ, ΡΠ°Π·Π²ΠΈΠ²Π°Π΅ΡΡΡ, Π·Π°ΠΊΠ°Π½ΡΠΈΠ²Π°Π΅ΡΡΡ. Π’ΠΎ Π΅ΡΡΡ β ΠΏΡΠ΅Π΄ΠΏΠΎΠ»Π°Π³Π°Π΅Ρ Π΄ΠΈΠ½Π°ΠΌΠΈΠΊΡ Π΄Π΅ΠΉΡΡΠ²ΠΈΡ.
ΠΠ΅ΡΠΈΠΎΠ΄ Π²ΡΠ΅ΠΌΠ΅Π½ΠΈ
Π§Π°ΡΠ΅ Π²ΡΠ΅Π³ΠΎ Π΄Π°Π½Π½ΠΎΠ΅ ΠΏΠΎΠ½ΡΡΠΈΠ΅ ΠΏΡΠΈΠΌΠ΅Π½ΡΠ΅ΡΡΡ Π² ΡΡΠΎΠΌ ΡΠΌΡΡΠ»Π΅. Π’ΠΎ Π΅ΡΡΡ, ΠΈΠΌΠ΅Π΅ΡΡΡ Π² Π²ΠΈΠ΄Ρ ΠΊΠ°ΠΊΠΎΠΉ-ΡΠΎ ΠΎΠΏΡΠ΅Π΄Π΅Π»Π΅Π½Π½ΡΠΉ Π²ΡΠ΅ΠΌΠ΅Π½Π½ΠΎΠΉ ΠΎΡΡΠ΅Π·ΠΎΠΊ, Π² ΡΠ΅ΡΠ΅Π½ΠΈΠ΅ ΠΊΠΎΡΠΎΡΠΎΠ³ΠΎ ΠΏΡΠΎΠΈΡΡ ΠΎΠ΄ΡΡ ΠΈΠ»ΠΈ ΠΏΡΠΎΠΈΡΡ ΠΎΠ΄ΠΈΠ»ΠΈ ΡΠΎΠ±ΡΡΠΈΡ. ΠΡΠ½ΠΎΡΠΈΡΠ΅Π»ΡΠ½ΠΎ Π²ΡΠ΅ΠΌΠ΅Π½ΠΈ β ΡΡΠΎ ΡΠΎΡ ΠΏΡΠΎΠΌΠ΅ΠΆΡΡΠΎΠΊ, ΠΊΠΎΡΠΎΡΡΠΉ ΠΏΡΠΎΡΠΈΠ²ΠΎΠΏΠΎΡΡΠ°Π²Π»ΡΠ΅ΡΡΡ Π΄ΡΡΠ³ΠΈΠΌ ΠΎΡΡΠ΅Π·ΠΊΠ°ΠΌ. ΠΡΠΎ ΡΡΠΎΠΊ, Π² ΡΠ΅ΡΠ΅Π½ΠΈΠ΅ ΠΊΠΎΡΠΎΡΠΎΠ³ΠΎ ΡΡΠΎ-Π»ΠΈΠ±ΠΎ ΡΠ»ΡΡΠΈΠ»ΠΎΡΡ (ΡΠΎΠ³Π»Π°ΡΠ½ΠΎ ΠΎΠΏΡΠ΅Π΄Π΅Π»Π΅Π½ΠΈΡ Π£ΡΠ°ΠΊΠΎΠ²Π°). Π§ΡΠΎ ΡΠ°ΠΊΠΎΠ΅ ΠΏΠ΅ΡΠΈΠΎΠ΄? ΠΡΡΠ΅Π·ΠΎΠΊ, Π²ΠΎ Π²ΡΠ΅ΠΌΡ ΠΊΠΎΡΠΎΡΠΎΠ³ΠΎ Π½Π°ΡΠΈΠ½Π°Π΅ΡΡΡ ΠΈ Π·Π°ΠΊΠ°Π½ΡΠΈΠ²Π°Π΅ΡΡΡ ΠΊΠ°ΠΊΠΎΠΉ-ΡΠΎ ΠΏΠΎΠ²ΡΠΎΡΡΡΡΠΈΠΉΡΡ ΠΏΡΠΎΡΠ΅ΡΡ (Π½Π°ΡΡΠ½ΠΎΠ΅ ΠΎΠΏΡΠ΅Π΄Π΅Π»Π΅Π½ΠΈΠ΅).
Π ΠΈΡΡΠΎΡΠΈΠΈ ΠΈ Π³Π΅ΠΎΠ»ΠΎΠ³ΠΈΠΈ
ΠΠ°ΠΈΠ±ΠΎΠ»Π΅Π΅ ΡΠ°ΡΡΠΎ ΡΠΏΠΎΡΡΠ΅Π±Π»ΡΠ΅ΠΌΠΎ ΡΡΠΎ ΠΏΠΎΠ½ΡΡΠΈΠ΅ Π² Π³Π΅ΠΎΠ»ΠΎΠ³ΠΈΡΠ΅ΡΠΊΠΈΡ ΠΈ ΠΈΡΡΠΎΡΠΈΡΠ΅ΡΠΊΠΈΡ Π½Π°ΡΠΊΠ°Ρ . Π’Π°ΠΊ, ΡΡΡΠ΅ΡΡΠ²ΡΡΡ ΠΎΠ±ΡΠ΅ΠΏΡΠΈΠ·Π½Π°Π½Π½ΡΠ΅ ΠΈ ΡΠ΅ΡΠΊΠΎ ΠΎΠΏΡΠ΅Π΄Π΅Π»Π΅Π½Π½ΡΠ΅ ΠΏΠ΅ΡΠΈΠΎΠ΄Ρ ΠΈΡΡΠΎΡΠΈΠΈ ΠΠ΅ΠΌΠ»ΠΈ. Π ΠΏΡΠΈΠΌΠ΅ΡΡ, Π΄ΠΎΠΊΠ΅ΠΌΠ±ΡΠΈΠΉ Π½Π°ΡΠΈΠ½Π°Π΅ΡΡΡ ΠΎΡ ΠΎΠ±ΡΠ°Π·ΠΎΠ²Π°Π½ΠΈΡ ΠΏΠ»Π°Π½Π΅ΡΡ Π΄ΠΎ Π²ΠΎΠ·Π½ΠΈΠΊΠ½ΠΎΠ²Π΅Π½ΠΈΡ ΠΊΠ΅ΠΌΠ±ΡΠΈΠΉΡΠΊΠΎΠ³ΠΎ (4,6 ΠΌΠΈΠ»Π»ΠΈΠ°ΡΠ΄Π° β 541 ΠΌΠΈΠ»Π»ΠΈΠΎΠ½ Π»Π΅Ρ ΡΠΎΠΌΡ Π½Π°Π·Π°Π΄). ΠΡ Ρ Π²Π°ΠΌΠΈ ΠΆΠΈΠ²Π΅ΠΌ Π² ΡΠ΅ΡΠ²Π΅ΡΡΠΈΡΠ½ΡΠΉ ΠΏΠ΅ΡΠΈΠΎΠ΄, ΠΊΠΎΡΠΎΡΡΠΉ Π½Π°ΡΠ°Π»ΡΡ Π±ΠΎΠ»Π΅Π΅ 2,5 ΠΌΠΈΠ»Π»ΠΈΠΎΠ½Π° Π»Π΅Ρ ΡΠΎΠΌΡ Π½Π°Π·Π°Π΄ ΠΈ ΠΏΡΠΎΠ΄ΠΎΠ»ΠΆΠ°Π΅ΡΡΡ ΡΠ΅Π³ΠΎΠ΄Π½Ρ. ΠΡΠΎ ΡΠ°ΠΌΡΠΉ ΠΊΠΎΡΠΎΡΠΊΠΈΠΉ ΠΎΡΡΠ΅Π·ΠΎΠΊ ΠΏΠΎ Π²ΡΠ΅ΠΌΠ΅Π½ΠΈ, Π½ΠΎ ΠΎΠ½ Ρ Π°ΡΠ°ΠΊΡΠ΅ΡΠΈΠ·ΡΠ΅ΡΡΡ ΡΠ°ΠΊΠΈΠΌΠΈ Π²Π°ΠΆΠ½Π΅ΠΉΡΠΈΠΌΠΈ ΡΠΎΠ±ΡΡΠΈΡΠΌΠΈ, ΠΊΠ°ΠΊ Π²ΠΎΠ·Π½ΠΈΠΊΠ½ΠΎΠ²Π΅Π½ΠΈΠ΅ ΠΈ ΡΠ°Π·Π²ΠΈΡΠΈΠ΅ ΡΠ΅Π»ΠΎΠ²Π΅ΡΠ΅ΡΡΠ²Π°, Π½Π°ΠΏΡΠΈΠΌΠ΅Ρ.

ΠΡΡΠΎΡΠΈΡΠ΅ΡΠΊΠΈΠ΅ ΠΏΠ΅ΡΠΈΠΎΠ΄Ρ Ρ Π°ΡΠ°ΠΊΡΠ΅ΡΠ½Ρ ΠΈ Π΄Π»Ρ Π²ΠΎΠ·Π½ΠΈΠΊΠ½ΠΎΠ²Π΅Π½ΠΈΡ ΠΈ ΡΠ°Π·Π²ΠΈΡΠΈΡ ΡΡΡΠ°Π½ ΠΈ Π½Π°ΡΠΎΠ΄ΠΎΠ². Π§ΡΠΎ ΠΏΠΎΠ½ΠΈΠΌΠ°Π΅ΡΡΡ ΠΏΠΎΠ΄ ΠΏΠ΅ΡΠΈΠΎΠ΄ΠΈΠ·Π°ΡΠΈΠ΅ΠΉ ΠΈΡΡΠΎΡΠΈΠΈ? ΠΡΠΎ ΠΏΡΠ΅ΠΆΠ΄Π΅ Π²ΡΠ΅Π³ΠΎ ΡΡΠ»ΠΎΠ²Π½ΠΎΠ΅ Π΄Π΅Π»Π΅Π½ΠΈΠ΅ ΠΈΡΡΠΎΡΠΈΡΠ΅ΡΠΊΠΎΠ³ΠΎ ΠΏΡΠΎΡΠ΅ΡΡΠ° Π½Π° ΠΎΡΡΠ΅Π·ΠΊΠΈ, ΠΎΠ±Π»Π°Π΄Π°ΡΡΠΈΠ΅ ΠΎΠΏΡΠ΅Π΄Π΅Π»Π΅Π½Π½ΡΠΌΠΈ Ρ ΡΠΎΠ½ΠΎΠ»ΠΎΠ³ΠΈΡΠ΅ΡΠΊΠΈΠΌΠΈ ΡΠ°ΠΌΠΊΠ°ΠΌΠΈ. Π’Π°ΠΊ, Π² ΠΊΠ»Π°ΡΡΠΈΡΠ΅ΡΠΊΠΎΠΉ ΠΏΠ΅ΡΠΈΠΎΠ΄ΠΈΠ·Π°ΡΠΈΠΈ Π²ΡΠ΄Π΅Π»ΡΡΡΡΡ ΡΠ°Π·Π»ΠΈΡΠ½ΡΠ΅ ΠΏΠ΅ΡΠΈΠΎΠ΄Ρ: Π΄ΠΎΠΈΡΡΠΎΡΠΈΡΠ΅ΡΠΊΠΈΠΉ ΠΈ Π°Π½ΡΠΈΡΠ½ΡΠΉ, ΡΡΠ΅Π΄Π½Π΅Π²Π΅ΠΊΠΎΠ²ΡΠΉ ΠΈ ΡΠ°ΠΊ Π΄Π°Π»Π΅Π΅. ΠΡ Ρ Π²Π°ΠΌΠΈ ΠΆΠΈΠ²Π΅ΠΌ Π² Π½ΠΎΠ²Π΅ΠΉΡΠ΅Π΅ Π²ΡΠ΅ΠΌΡ.
Π Π΄ΡΡΠ³ΠΈΡ Π½Π°ΡΠΊΠ°Ρ
- Π§ΡΠΎ ΡΠ°ΠΊΠΎΠ΅ ΠΏΠ΅ΡΠΈΠΎΠ΄ Π² ΠΌΠ°ΡΠ΅ΠΌΠ°ΡΠΈΠΊΠ΅? ΠΡΠ½ΠΎΡΠΈΡΠ΅Π»ΡΠ½ΠΎ ΡΡΠ½ΠΊΡΠΈΠΈ β ΡΡΠΎ Π²Π΅Π»ΠΈΡΠΈΠ½Π°, ΠΊΠΎΡΠΎΡΠ°Ρ Π½Π΅ ΠΌΠ΅Π½ΡΠ΅Ρ Π΅Π΅ Π·Π½Π°ΡΠ΅Π½ΠΈΠ΅ ΠΏΡΠΈ ΠΏΡΠΈΠ±Π°Π²Π»Π΅Π½ΠΈΠΈ. Π ΠΏΠ΅ΡΠΈΠΎΠ΄ Π² Π΄ΡΠΎΠ±Π½ΡΡ ΡΠΈΡΠ»Π°Ρ β ΠΏΠΎΠ²ΡΠΎΡΡΠ΅ΠΌΠ°Ρ Π³ΡΡΠΏΠΏΠ° ΠΈΠ· ΠΎΠΏΡΠ΅Π΄Π΅Π»Π΅Π½Π½ΡΡ ΡΠΈΡΡ Π² ΡΠΈΡΡΠ΅ΠΌΠ΅ Π·Π°ΠΏΠΈΡΠΈ Π±Π΅ΡΠΊΠΎΠ½Π΅ΡΠ½ΡΡ Π΄ΡΠΎΠ±Π΅ΠΉ.
- Π ΡΠΈΠ·ΠΈΠΊΠ΅ ΠΏΠ΅ΡΠΈΠΎΠ΄ ΠΊΠΎΠ»Π΅Π±Π°Π½ΠΈΠΉ β ΡΠΎΡ ΠΌΠΈΠ½ΠΈΠΌΠ°Π»ΡΠ½ΡΠΉ Π²ΡΠ΅ΠΌΠ΅Π½Π½ΠΎΠΉ ΠΎΡΡΠ΅Π·ΠΎΠΊ, Π·Π° ΠΊΠΎΡΠΎΡΡΠΉ ΠΎΡΡΡΠ΅ΡΡΠ²Π»ΡΠ΅ΡΡΡ ΠΏΠΎΠ»Π½ΡΠΉ ΡΠΈΠΊΠ» ΠΊΠΎΠ»Π΅Π±Π°Π½ΠΈΠΉ (ΡΡΡΡΠΎΠΉΡΡΠ²ΠΎ, ΠΏΡΠΎΠΈΠ·Π²ΠΎΠ΄ΡΡΠ΅Π΅ ΠΏΠΎΠ²ΡΠΎΡΡΠ΅ΠΌΡΠΉ ΡΠΈΠ³Π½Π°Π» ΠΎΡΠΊΠ»ΠΎΠ½ΡΠ΅ΡΡΡ ΠΎΡ ΠΈΡΡ ΠΎΠ΄Π½ΠΎΠ³ΠΎ ΠΏΠΎΠ»ΠΎΠΆΠ΅Π½ΠΈΡ ΠΈ Π·Π°ΡΠ΅ΠΌ Π² Π½Π΅Π³ΠΎ ΠΆΠ΅ Π²ΠΎΠ·Π²ΡΠ°ΡΠ°Π΅ΡΡΡ).
- Π Π±ΡΡ Π³Π°Π»ΡΠ΅ΡΠΈΠΈ ΠΎΡΡΠ΅ΡΠ½ΡΠΉ ΠΏΠ΅ΡΠΈΠΎΠ΄ β ΠΏΡΠΎΠΌΠ΅ΠΆΡΡΠΎΠΊ Π²ΡΠ΅ΠΌΠ΅Π½ΠΈ, ΡΠ²ΡΠ·Π°Π½Π½ΡΠΉ Ρ Π΄Π΅ΡΡΠ΅Π»ΡΠ½ΠΎΡΡΡΡ ΡΠΈΡΠΌΡ – Π·Π°ΠΊΡΠΏΠΊΠ° ΠΈ ΠΏΡΠΎΠ΄Π°ΠΆΠ° ΠΏΡΠΎΠ΄ΡΠΊΡΠΈΠΈ, Π΅Π΅ ΠΏΡΠΎΠΈΠ·Π²ΠΎΠ΄ΡΡΠ²ΠΎ, ΠΎΠΊΠ°Π·Π°Π½ΠΈΠ΅ ΡΡΠ»ΡΠ³ – ΠΈΡΠΏΠΎΠ»ΡΠ·ΡΠ΅ΠΌΡΠΉ ΠΏΡΠΈ ΡΠΎΡΡΠ°Π²Π»Π΅Π½ΠΈΠΈ ΠΎΡΡΠ΅ΡΠΎΠ².
- Π Ρ ΠΈΠΌΠΈΠΈ ΠΏΠ΅ΡΠΈΠΎΠ΄ ΡΠΈΡΡΠ΅ΠΌΡ ΠΠ΅Π½Π΄Π΅Π»Π΅Π΅Π²Π° β ΡΡΡΠΎΠΊΠ°, ΠΎΠ±ΡΠ΅Π΄ΠΈΠ½ΠΈΠ²ΡΠ°Ρ ΡΠ»Π΅ΠΌΠ΅Π½ΡΡ Ρ ΠΎΠ΄ΠΈΠ½Π°ΠΊΠΎΠ²ΡΠΌ ΡΠΈΡΠ»ΠΎΠΌ ΡΠ»Π΅ΠΊΡΡΠΎΠ½Π½ΡΡ ΠΎΠ±ΠΎΠ»ΠΎΡΠ΅ΠΊ.

- Π ΡΠΏΠΎΡΡΠ΅ ΠΏΠ΅ΡΠΈΠΎΠ΄ Π² ΠΈΠ³ΡΠ΅ β ΠΎΠ΄Π½Π° ΠΈΠ· ΡΡΠ΅Ρ ΡΠ°ΡΡΠ΅ΠΉ ΠΌΠ°ΡΡΠ° Π² Ρ ΠΎΠΊΠΊΠ΅Π΅ Ρ ΡΠ°ΠΉΠ±ΠΎΠΉ ΠΈΠ»ΠΈ Π² ΠΏΠ»ΡΠΆΠ½ΠΎΠΌ ΡΡΡΠ±ΠΎΠ»Π΅.
- Π§ΡΠΎ ΡΠ°ΠΊΠΎΠ΅ ΠΏΠ΅ΡΠΈΠΎΠ΄ Π² ΠΌΡΠ·ΡΠΊΠ°Π»ΡΠ½ΠΎΠΌ ΠΏΠ»Π°Π½Π΅? ΠΡΠΎ Π½Π°ΠΈΠΌΠ΅Π½ΡΡΠ°Ρ ΠΈΠ· Π·Π°ΠΊΠΎΠ½ΡΠ΅Π½Π½ΡΡ ΠΊΠΎΠΌΠΏΠΎΠ·ΠΈΡΠΈΠΎΠ½Π½ΡΡ ΡΡΡΡΠΊΡΡΡ, Π²ΡΡΠ°ΠΆΠ°ΡΡΠΈΡ Π·Π°Π²Π΅ΡΡΠ΅Π½Π½ΡΡ ΠΌΡΠ·ΡΠΊΠ°Π»ΡΠ½ΡΡ ΠΌΡΡΠ»Ρ.
fb.ru
