Теорема Гаусса | ЭТО ФИЗИКА
Экспериментально установленные закон Кулона и принцип суперпозиции позволяют полностью описать электростатическое поле заданной системы зарядов в вакууме. Однако, свойства электростатического поля можно выразить в другой, более общей форме, не прибегая к представлению о кулоновском поле точечного заряда.
Введем новую физическую величину, характеризующую электрическое поле – поток Φ вектора напряженности электрического поля. Пусть в пространстве, где создано электрическое поле, расположена некоторая достаточно малая площадка ΔS. Произведение модуля вектора на площадь ΔS и на косинус угла α между вектором и нормалью к площадке называется элементарным потоком вектора напряженности через площадку ΔS (рис. 1.3.1):
ΔΦ = E ΔS cos α = En ΔS, |
|
Рисунок 1.3.1. К определению элементарного потока ΔΦ |
Рассмотрим теперь некоторую произвольную замкнутую поверхность S. Если разбить эту поверхность на малые площадки ΔSi, определить элементарные потоки ΔΦi поля через эти малые площадки, а затем их просуммировать, то в результате мы получим поток Φ вектора через замкнутую поверхность S (рис. 1.3.2):
В случае замкнутой поверхности всегда выбирается
|
Рисунок 1.3.2. Вычисление потока Ф через произвольную замкнутую поверхность S |
Теорема Гаусса утверждает:
Поток вектора напряженности электростатического поля через произвольную замкнутую поверхность равен алгебраической сумме зарядов, расположенных внутри этой поверхности, деленной на электрическую постоянную ε0.
Для доказательства рассмотрим сначала сферическую поверхность
где R – радиус сферы. Поток Φ через сферическую поверхность будет равен произведению E на площадь сферы 4πR2. Следовательно,
Окружим теперь точечный заряд произвольной замкнутой поверхностью S и рассмотрим вспомогательную сферу радиуса R0 (рис. 1.3.3).
|
Рисунок 1.3.3. |
Рассмотрим конус с малым телесным углом ΔΩ при вершине. Этот конус выделит на сфере малую площадку ΔS0, а на поверхности S – площадку ΔS. Элементарные потоки ΔΦ0 и ΔΦ через эти площадки одинаковы. Действительно,
ΔΦ0 = E0ΔS0, ΔΦ = EΔS cos α = EΔS ‘. |
Здесь ΔS’ = ΔS cos α – площадка, выделяемая конусом с телесным углом ΔΩ на поверхности сферы радиуса
Так как , a , следовательно Отсюда следует, что полный поток электрического поля точечного заряда через произвольную поверхность, охватывающую заряд, равен потоку Φ0 через поверхность вспомогательной сферы:
Аналогичным образом можно показать, что, если замкнутая поверхность S не охватывает точечного заряда q, то поток Φ = 0. Такой случай изображен на рис. 1.3.2. Все силовые линии электрического поля точечного заряда пронизывают замкнутую поверхность S насквозь. Внутри поверхности S зарядов нет, поэтому в этой области силовые линии не обрываются и не зарождаются.
Обобщение теоремы Гаусса на случай произвольного распределения зарядов вытекает из принципа суперпозиции. Поле любого распределения зарядов можно представить как векторную сумму электрических полей точечных зарядов. Поток Φ системы зарядов через произвольную замкнутую поверхность
Таким образом, теорема Гаусса доказана.
Теорема Гаусса является следствием закона Кулона и принципа суперпозиции. Но если принять утверждение, содержащееся в этой теореме, за первоначальную аксиому, то ее следствием окажется закон Кулона. Поэтому теорему Гаусса иногда называют альтернативной формулировкой закона Кулона.
Используя теорему Гаусса, можно в ряде случаев легко вычислить напряженность электрического поля вокруг заряженного тела, если заданное распределение зарядов обладает какой-либо симметрией и общую структуру поля можно заранее угадать.
Примером может служить задача о вычислении поля тонкостенного полого однородно заряженного длинного цилиндра радиуса R. Эта задача имеет осевую симметрию. Из соображений симметрии электрическое поле должно быть направлено по радиусу. Поэтому для применения теоремы Гаусса целесообразно выбрать замкнутую поверхность
|
Рисунок 1.3.4. Вычисление поля однородно заряженного цилиндра. OO’ – ось симметрии |
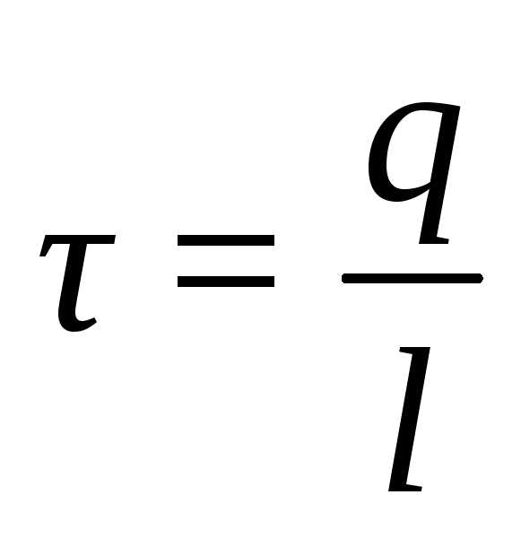
При r ≥ R весь поток вектора напряженности будет проходить через боковую поверхность цилиндра, площадь которой равна 2πrl, так как поток через оба основания равен нулю. Применение теоремы Гаусса дает:
где τ – заряд единицы длины цилиндра. Отсюда
Этот результат не зависит от радиуса R заряженного цилиндра, поэтому он применим и к полю длинной однородно заряженной нити.
Для определения напряженности поля внутри заряженного цилиндра нужно построить замкнутую поверхность для случая r < R. В силу симметрии задачи поток вектора напряженности через боковую поверхность гауссова цилиндра должен быть и в этом случае равен Φ = E 2πrl. Согласно теореме Гаусса, этот поток пропорционален заряду, оказавшемуся внутри замкнутой поверхности. Этот заряд равен нулю. Отсюда следует, что электрическое поле внутри однородно заряженного длинного полого цилиндра равно нулю.
Аналогичным образом можно применить теорему Гаусса для определения электрического поля в ряде других случаев, когда распределение зарядов обладает какой-либо симметрией, например, симметрией относительно центра, плоскости или оси. В каждом из таких случаев нужно выбирать замкнутую гауссову поверхность целесообразной формы. Например, в случае центральной симметрии гауссову поверхность удобно выбирать в виде сферы с центром в точке симметрии. При осевой симметрии замкнутую поверхность нужно выбирать в виде соосного цилиндра, замкнутого с обоих торцов (как в рассмотренном выше примере). Если распределение зарядов не обладает какой-либо симметрией и общую структуру электрического поля угадать невозможно, применение теоремы Гаусса не может упростить задачу определения напряженности поля.
Рассмотрим еще один пример симметричного распределения зарядов – определение поля равномерно заряженной плоскости (рис. 1.3.5).
|
Рисунок 1.3.5. Поле равномерно заряженной плоскости. σ – поверхностная плотность заряда. S – замкнутая гауссова поверхность |
В этом случае гауссову поверхность
где σ – поверхностная плотность заряда, т. е. заряд, приходящийся на единицу площади.
Полученное выражение для электрического поля однородно заряженной плоскости применимо и в случае плоских заряженных площадок конечного размера. В этом случае расстояние от точки, в которой определяется напряженность поля, до заряженной площадки должно быть значительно меньше размеров площадки.
www.its-physics.org
§ 12.2 Теорема Гаусса. Применение теоремы Гаусса к расчёту электростатических полей.
Когда зарядов много, при расчётах полей возникают некоторые трудности.
Преодолеть
их помогает теорема Гаусса. Суть теоремы
Гаусса сводится к следующему: если произвольное
количество зарядов мысленно окружить
замкнутой поверхностью S,
то поток напряжённости электрического
поля через элементарную площадку dS
можно записать как dФ
= Есоsα۰dS
где α
– угол между нормалью к плоскости и
вектором напряжённости
.
(рис.12.7)
Полный же поток через всю поверхность будет равен сумме потоков от всех зарядов, произвольным образом распределённых внутри её и пропорционально величине этого заряда
(12.9)
Определим поток вектора напряжённости сквозь сферическую поверхность радиуса r, в центре которой расположен точечный заряд +q (рис.12.8). Линии напряжённости перпендикулярны поверхности сферы, α =0, следовательно соsα = 1. Тогда
или
Если поле образовано системой зарядов, то

Теорема Гаусса: поток вектора напряжённости электростатического поля в вакууме сквозь любую замкнутую поверхность равен алгебраической сумме зарядов, заключенных внутри этой поверхности, делённой на электрическую постоянную.
(12.10)
Если внутри сферы зарядов нет, то Ф = 0.
Теорема Гаусса позволяет сравнительно просто рассчитать электрические поля при симметрично распределённых зарядов.
Введём понятие о плотности распределенных зарядов.
Линейная плотность обозначается τ и характеризует заряд q, приходящийся на единицу длины ℓ. В общем виде может быть рассчитана по формуле
(12.11)
При
равномерном распределении зарядов
линейная плотность равна 
Поверхностная плотность обозначается σ и характеризует заряд q, приходящийся на единицу площади S. В общем виде определяется по формуле
(12.12)
При
равномерном распределении зарядов по
поверхности поверхностная плотность
равна 
Объёмная плотность обозначается ρ, характеризует заряд q, приходящийся на единицу объёма V. В общем виде определяется по формуле
(12.13)
При
равномерном распределении зарядов она
равна
.
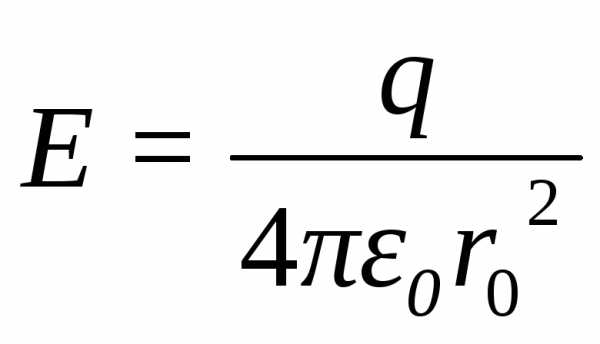
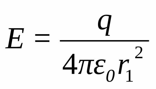
Напряжённость электростатического поля равномерно заряженной сферы (рис.12.9), имеющей радиус r0. Найдём модуль вектора
в какой-либо точке А, находящейся на
расстоянии r1 от центра
этой сферы.
Так как заряд q располагается на сфере равномерно, то
σ
= const.
Применим теорему Гаусса. Проведём сферу
радиусом через точку А. Поток вектора
напряжённости рис.12.9 сквозь
сферическую поверхность радиуса равен
соsα
= 1, так как α
= 0. По теореме Гаусса,
.
или
(12.14)
Из
выражения (12.14) следует, что напряжённость
поля вне заряженной сферы такая же, как
напряжённость поля точечного заряда,
помещённого в центре сферы. На поверхности
сферы, т.е. r1 = r0 , напряжённость
.
Внутри сферы r1 < r0 (рис.12.9) напряжённость Е = 0, так как сфера радиусом r2 внутри никаких зарядов не содержит и, по теореме Гаусса, поток вектора сквозь такую сферу равен нулю.
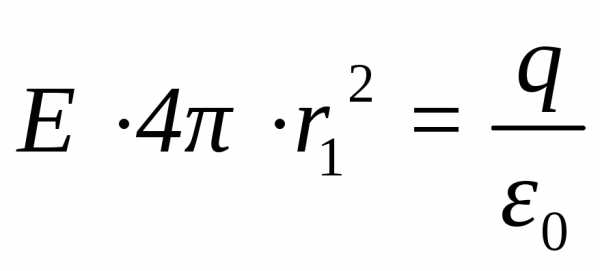
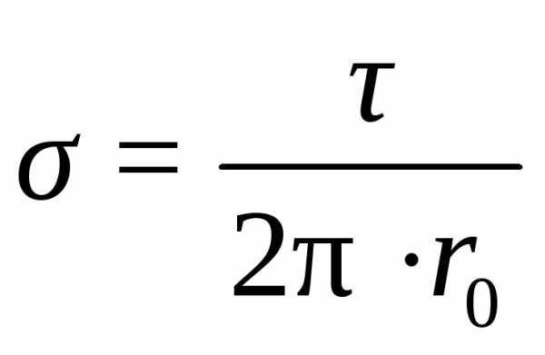
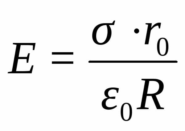
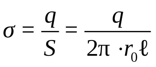
Цилиндр радиусом r0 равномерно заряжен с поверхностной плотностью σ (рис.12.10). Определим напряжённость поля в произвольно выбранной точке А. Проведём через точку А воображаемую цилиндрическую поверхность радиусом R и длиной ℓ. Вследствие симметрии поток будет выходить только через боковые поверхности цилиндра, так как заряды на цилиндре радиуса r0 распределены по его поверхности равномерно, т.е. линии напряжённости будут радиальными прямыми, перпендикулярными боковым поверхностям обоих цилиндров. Так как поток через основание цилиндров равен нулю (cos α = 0), а боковая поверхность цилиндра перпендикулярна силовым линиям (cos α = 1), то
или
(12.15)
Выразим величину Е через σ – поверхностную плотность. По определению,
следовательно,
Подставим значение q в формулу (12.15)
(12.16)
По
определению линейной плотности,
, откуда
;
подставляем это выражение в формулу
(12.16):
(12.17)
т.е. напряжённость поля, создаваемого бесконечно длинным заряженным цилиндром, пропорциональна линейной плотности заряда и обратно пропорциональна расстоянию.
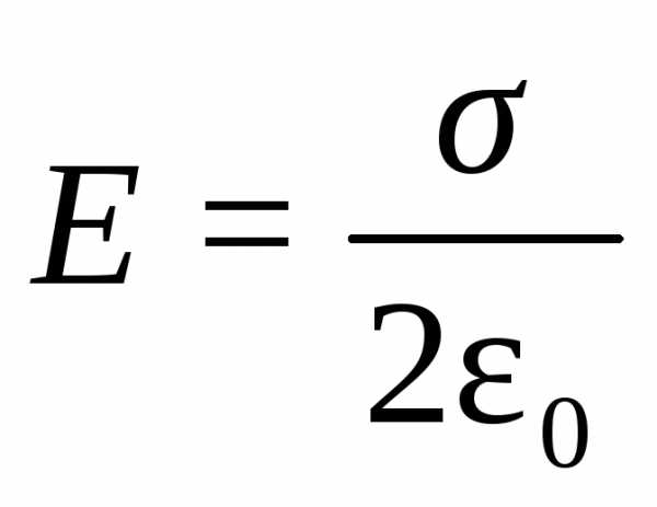
Определим напряжённость поля, создаваемого бесконечной равномерно заряженной плоскостью в точке А. Пусть поверхностная плотность заряда плоскости равна σ. В качестве замкнутой поверхности удобно выбрать цилиндр, ось которого перпендикулярна плоскости, а правое основание содержит точку А. Плоскость делит цилиндр пополам. Очевидно, что силовые линии перпендикулярны плоскости и параллельны боковой поверхности цилиндра, поэтому весь поток проходит только через основания цилиндра. На обоих основаниях напряжённость поля одинакова, т.к. точки А и В симметричны относительно плоскости. Тогда поток, через основания цилиндра равен
Согласно теореме Гаусса,

Так
как ,
то
,
откуда
(12.18)
Таким образом, напряжённость поля бесконечной заряженной плоскости пропорциональна поверхностной плотности заряда и не зависит от расстояния до плоскости. Следовательно, поле плоскости является однородным.
Результирующее поле, создаваемое двумя плоскостями, определяется по принципу суперпозиции полей: (рис.12.12). Поле, создаваемое каждой плоскостью, является однородным, напряжённости этих полей равны по модулю, но противоположны по направлению: . По принципу суперпозиции напряжённость суммарного поля вне плоскости равна нулю:
Между плоскостями напряжённости полей имеют одинаковые направления, поэтому результирующая напряжённость равна
(12.19)
Таким образом, поле между двумя разноименно равномерно заряженными плоскостями однородно и его напряжённость в два раза больше, чем напряжённость поля, создаваемого одной плоскостью. Слева и справа от плоскостей поле отсутствует. Такой же вид имеет и поле конечных плоскостей, искажение появляется только вблизи их границ. С помощью полученной формулы можно рассчитать поле между обкладками плоского конденсатора.
studfiles.net
Закон Гаусса (Теорема Гаусса) | Все формулы
Закон Гаусса (Теорема Гаусса) — Поток электрической индукции через замкнутую поверхность S пропорционален величине свободного заряда, находящегося в объеме V, который окружает поверхность S
В интегральной форме Теорема Гаусса выглядит так :
В дифференциальной форме Теорема Гаусса выглядит так :
Закон Гаусса (Теорема Гаусса) — Поток вектора напряжённости электрического поля через любую произвольно выбранную замкнутую поверхность пропорционален заключённому внутри этой поверхности электрическому заряду
Тут мы использовали :
— Электрический заряд
— Площадь поверхности
— Оператор Набла
— Объёмная плотность заряда
— Электрическая постоянная
xn--b1agsdjmeuf9e.xn--p1ai
Теорема Гаусса | Virtual Laboratory Wiki
Теорема Гаусса — основная теорема электродинамики, которая применяется для вычисления электрических полей. Она выражает связь между потоком напряжённости электрического поля сквозь замкнутую поверхность и зарядом в объёме, ограниченной этой поверхностью.
Теорема Гаусса для напряжённости электрического поля в вакууме (электростатическая теорема Гаусса) Править
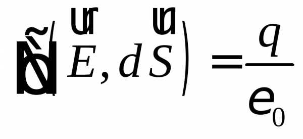
Общая формулировка: Поток вектора напряжённости электрического поля через любую, произвольно выбранную замкнутую поверхность пропорционален заключённому внутри этой поверхности электрическому заряду.
В системе СГСЭ:
- $ \Phi_E = 4 \pi Q $.
В системе СИ:
- $ \Phi_E = \frac{Q}{\varepsilon_0} $,
где
- $ \Phi_E = \oint\limits_S \vec{E} \cdot \mathrm{d} \vec{S} $ — поток вектора напряженности электрического поля через замкнутую поверхность $ S $.
- $ Q $ — полный заряд, содержащийся в объеме, который ограничивает поверхность $ S $.
- $ \varepsilon_0 $ — электрическая постоянная.
Данное выражение представляет собой теорему Гаусса в интегральной форме.
В дифференциальной форме теорема Гаусса соответствует одному из уравнений Максвелла и выражается следующим образом
в системе СИ:
- $ \operatorname{div}\vec{E}=\nabla\cdot\vec{E} = \frac{\rho}{\varepsilon_0} $,
в системе СГСЭ:
- $ \operatorname{div}\vec{E}=\nabla\cdot\vec{E} = 4\pi\rho $.
Здесь $ \rho $ — объёмная плотность заряда (в случае присутствия среды — суммарная плотность свободных и связанных зарядов), а $ \nabla $ — оператор набла.
Для теоремы Гаусса справедлив принцип суперпозиции, то есть поток вектора напряжённости через поверхность не зависит от распределения заряда внутри поверхности.
Физической основой теоремы Гаусса является закон Кулона или, иначе, теорема Гаусса является интегральной формулировкой закона Кулона.
Теорема Гаусса для электрической индукции (электрическое смещение) Править
Для поля в веществе электростатическая теорема Гаусса может быть записана иначе— через поток вектора электрического смещения (электрической индукции). При этом формулировка теоремы выглядит следующим образом: поток вектора электрического смещения через замкнутую поверхность пропорционален заключённому внутри этой поверхности свободному электрическому заряду:
- $ \Phi_D = \oint\limits_S \vec{D} \mathrm{d} \vec{S} = Q $
Если же рассматривать теорему для напряжённости поля в веществе, то в качестве заряда Q необходимо брать сумму свободного заряда, находящегося внутри поверхности и поляризационного (индуцированного, связанного) заряда диэлектрика:
- $ \Phi_E = \frac{(Q_0 + Q’)}{\varepsilon_0} $,
где $ Q’ = \oint_S \vec{P} \mathrm{d} \vec{S} $,
$ \vec{P} $ — вектор поляризации диэлектрика.
Теорема Гаусса для магнитной индукции Править
Поток вектора магнитной индукции через любую замкнутую поверхность равен нулю:
- $ \Phi_B = \oint\limits_S \vec{B} \cdot \mathrm{d} \vec{S} = 0 $.
Это эквивалентно тому, что в природе не существует «магнитных зарядов» (монополей), которые создавали бы магнитное поле, как электрические заряды создают электрическое поле. Иными словами, теорема Гаусса для магнитной индукции показывает, что магнитное поле является вихревым.
Применение теоремы Гаусса Править
Для вычисления электромагнитных полей используются следующие величины:
- Объёмная плотность заряда (см. выше).
- Поверхностная плотность заряда
- $ \sigma = { dq \over dS} $,
где dS — бесконечно малый участок поверхности.
- $ \lambda = {dq \over dl} $,
где dl — длина бесконечно малого отрезка.
Файл:Gausstheor.pngРассмотрим поле, создаваемое бесконечной однородной заряженной плоскостью. Пусть поверхностная плотность заряда плоскости одинакова и равна σ. Представим себе мысленно цилиндр с образующими, перпендикулярными к плоскости, и основанием ΔS, расположенным относительно плоскости симметрично. В силу симметрии $ ~ E’ = E” = E $. Поток вектора напряжённости равен $ ~2E\Delta S $. Применив теорему Гаусса, получим:
- $ ~2E\Delta S = \frac{\sigma\Delta S}{\varepsilon_0} $,
из которого
- $ ~E = \frac{\sigma}{2\varepsilon_0} $,
в системе СГСЭ
- $ ~E = 2\pi \sigma $
Важно отметить, что несмотря на свою универсальность и общность, теорема Гаусса в интегральной форме имеет сравнительно ограниченное применение в силу неудобства вычисления интеграла. Однако в случае симметричной задачи решение её становится гораздо более простым, чем с использованием принципа суперпозиции.
- Матвеев А. Н. Электричество и магнетизм: Учебное пособие. — М.: Высшая школа, 1983. — 463 с, ил. и более поздние издания.
- Сивухин Д. В. Общий курс физики, т.3, §§5 — 8, 13, 53.
Эта страница использует содержимое раздела Википедии на русском языке. Оригинальная статья находится по адресу: Теорема Гаусса. Список первоначальных авторов статьи можно посмотреть в истории правок. Эта статья так же, как и статья, размещённая в Википедии, доступна на условиях CC-BY-SA .
ru.vlab.wikia.com
Теорема Гаусса • Джеймс Трефил, энциклопедия «Двести законов мироздания»
В науке часто бывает, что один и тот же закон можно сформулировать по-разному. По большому счету, от формулировки закона ничего не меняется с точки зрения его действия, однако новая формулировка помогает теоретикам несколько иначе интерпретировать закон и испытать его применительно к новым природным явлениям. Именно такой случай мы и наблюдаем с теоремой Гаусса, которая, по существу, является обобщением закона Кулона, который, в свою очередь, явился обобщением всего, что ученые знали об электростатических зарядах на момент, когда он был сформулирован.
Вообще говоря, в математике, физике и астрономии найдется немного областей, развитию которых не посодействовал замечательный гений Карла Фридриха Гаусса. В 1831 году он вместе со своим молодым коллегой Вильгельмом Вебером (Wilhelm Weber, 1804–1891) занялся изучением электричества и магнетизма и вскоре сформулировал и доказал теорему, названную его именем. Чтобы понять, в чем заключается ее смысл, представьте себе изолированный точечный электрический заряд q. А теперь представьте, что он окружен замкнутой поверхностью. Форма поверхности в теореме не важна — это может быть пусть даже сдутый воздушный шарик. В каждой точке окружающей заряд поверхности, однако, наблюдается электрическое поле, образованное зарядом, а произведение напряженности этого электрического поля на сколь угодно малую единицу площади окружающей заряд поверхности, через которую проходят силовые линии поля, называется потоком напряженности электрического поля, и можно рассчитать поток напряженности, приходящийся на каждый элемент поверхности. Теорема Гаусса как раз и гласит, что суммарный поток напряженности электрического поля, проходящий через окружающую заряд поверхность, пропорционален величине заряда.
Связь между законом Кулона и теоремой Гаусса станет очевидной на простом примере. Предположим, что заряд q окружен сферой радиуса r. На удалении r от заряда напряженность электрического поля, которая определяется силой притяжения или отталкивания единичного заряда, помещенного в соответствующую точку, составит, согласно закону Кулона:
E = kq/r2
И то же самое значение мы получим для любой точки сферы заданного радиуса. Следовательно, суммарный поток напряженности электрического поля будет равен значению напряженности поля на удалении r от заряда, помноженному на площадь сферы (которая, как известно, равняется 4πr2). Иными словами, суммарный поток будет равен:
4πr2 × kq/r2 = 4πkq
Это и есть теорема Гаусса.
Интересное следствие из нее получается, если применить эту теорему к сплошному металлу. Представьте себе цельнометаллический предмет и воображаемую замкнутую поверхность внутри него. Полный электрический заряд внутри такой поверхности будет нулевым, поскольку внутри окажется равное число положительных и отрицательных зарядов — протонов атомных ядер и электронов соответственно. Следовательно, поток напряженности электрического поля, проходящий через такую замкнутую поверхность, также будет равен нулю. Поскольку это верно для любой замкнутой поверхности внутри металла, это означает, что внутри металла не существует и не может существовать электрического поля.
Это свойство металлов часто используется экспериментаторами и инженерами-связистами для защиты высокочувствительных приборов от наведенных извне электрических помех. Обычно прибор просто окружается защитным медным экраном. Согласно теореме Гаусса, внешние электрические поля просто не в состоянии проникнуть внутрь такой оболочки и создать помехи работе прибора.
Другое интересное следствие теоремы Гаусса заключается в том, что если в дороге вас застала гроза, самое безопасное для вас — не выходить из машины, поскольку там вы окружены цельнометаллическим экраном. Даже если в ваш автомобиль ударит молния, внутри вам ничего не будет угрожать, поскольку весь разряд пройдет по корпусу и уйдет в землю. Резина, скорее всего, сгорит, зато сами вы останетесь в целости и сохранности.
См. также:
elementy.ru
Лекция 4
36
3.Теорема Гаусса Теорема Гаусса (сформулирована для электростатического поля в 1830г.)
(1777-1855 – годы жизни Гаусса)

3.1. Поток вектора через поверхность.
Определим элементарный поток через элементарную поверхность:

Рис.1
Чтобы с помощью
линий напряженности можно было
характеризовать не только направление,
но и значение напряженности
электростатического поля их проводят
с определенной густотой: число линий
напряженности, пронизывающих единицу
площади поверхности, перпендикулярную
линиям напряженности, должно быть равно
модулю вектора
.
Число линий
напряженности, пронизывающих элементарную
площадку
равно
Величина
– вектор элементарной
площадки, который может быть определен
по следующей формуле:
,
где
– вектор нормали к поверхности.
«Фи» -поток вектора
через произвольную замкнутую поверхность
.
Замечания.
С потоком вектора
не
связано никакое реальное течение
материи.

Рис.2. Две возможные ориентации нормали к элементу поверхности
2. Единичный вектор
к
площадке можно ориентировать в двух
противоположных направлениях (рис.2).
Одно из них условно принимается за
положительное, в этом направлении и
проводится нормаль
,
т.е. сторона площадки, из которой исходит
нормаль
,
называется внешней, а противоположная
ей – внутренней.
3. Размерность потока электрического поля следующая:
Наконец, рассмотрим
свойство аддитивности потока вектора.
В силу принципа суперпозиции вектор
,
описывающий электрическое поле системы
зарядов, в каждой точке пространства
представляется векторной суммой:
,где
–
вектор напряженности поля, создаваемогоi-м
зарядом в той же точке наблюдения.
Умножая это
соотношение скалярно на
и
вводяпоток
поляi-го
заряда через ту же самую поверхность
получим

т.е. из того факта,
что векторы поля
складываются
геометрически, следует, что их потоки
через одну и ту же поверхность складываются
алгебраически (принцип аддитивности
потоков).Рис.2
3.2. Теорема Гаусса в интегральной форме.
Рассмотрим
элементарную площадку
,
находящуюся в поле, созданном точечным
источникомq,
расположенным в точке наблюдения. Вектор
нормали к площадке
не совпадает с
вектором напряженности поля в этой
точке,
– угол между вектором
нормали к поверхности и вектором
напряженности поля; r – расстояние от источника поля до
площадки. Рассмотрим площадку
, элементы которой перпендикулярны r.
Найдем поток через площадку
:

Введем понятие телесного угла:

Количественной мерой плоского угла является отношение длины дуги l к ее радиусу R. При этом центр кривизны находится в вершине угла.

Количественной мерой телесного угла является отношение площади поверхности фрагмента сферы, вырезаемой конусом с вершиной в центре сферы. К квадрату радиуса этой сферы.

Таким образом, в
наших обозначениях
– телесный угол.
Это пространственный угол, под которым из точки расположения точечного
заряда видна
площадка
(или
– они видны под одним и тем же углом).
Тогда выражение для элементарного потока принимает вид:
Угол
положителен, если площадка
обращена к заряду внутренней стороной,
и отрицателен, если внешней.
Рассмотрим 2 случая.
Пусть заряд q расположен внутри некоторой замкнутой поверхности (контур, изображенный на рисунке, – след от пересечения нашей поверхности с плоскостью листа). Мы будем пользоваться понятием внешней нормали
,
которая направлена из части пространства,
охватываемой поверхностью, наружу. Мы
рассматриваем как раз тот случай, когда
элементарная площадка обращена к заряду
внутренней стороной, т.е. угол
– положительное число. Найдем поток
вектора напряженности через нашу
поверхность. Так как поток – величина
аддитивная, полный поток равен сумме
элементарных потоков:
Полный
телесный угол =
.
Для того чтобы в этом убедиться,
представим, что в точке расположения
заряда находится сфера (на рисунке, на
правом экране, она–розовая, радиусом
)и запишем отношение полной поверхности
сферы
к квадрату ее радиуса
.
Получим как раз
.
Итак, мы получили, что в случае, когда заряд находится внутри замкнутой поверхности, поток поля этого заряда через поверхность

Теперь рассмотрим случай, когда заряд находится вне рассматриваемой замкнутой поверхности. Из точки наблюдения, в которой расположен заряд, поверхность видна под телесным углом
.
На рисунке верхней части поверхности
соответствует внешняя нормаль
,
и телесный угол, соответствующий этой
части поверхности, будет иметь знак
«+». Нижней же части поверхности
соответствует
внешняя нормаль
,
телесный угол, соответствующий этой
части поверхности, будет иметь знак
«-». Тогда полный поток, пронизывающий
нашу поверхность, может быть представлен
в виде суммы двух потоков:
,
где
– поток через верхнюю часть поверхности,
– поток через нижнюю часть нашей
поверхности. Распишем это выражение,
учитывая, что поверхность со знаком «+»
и поверхность со знаком «-» опираются
на телесные углы равные по величине, но
противоположные по знаку:
Т.е. получаем, что в случае, когда заряд находится вне замкнутой поверхности, поток этого заряда через поверхность = 0.

Мы рассмотрели
только случай, когда поле создается
единственным точечным зарядом. Если же
поле создается системой точечных
зарядов, то поток поля
,
проинтегрированный по всей замкнутой
поверхности, в силу принципа суперпозиции
может быть представлен в виде:
Замечание.
Подчеркнем, что речь идет только о замкнутой поверхности, поэтому на значке интеграла ставим кружочек. Также речь идет только о том заряде, который расположен внутри замкнутой поверхности, не на и не вне.
Случай, когда точечный заряд q находится на самой поверхности S, рассматривать не имеет смысла. Дело в том, что расстояние от точечного заряда до точек пространства, в которых он создает поле, должно быть велико по сравнению с размерами этого заряда. Это требование не выполняется для точек поверхности, на которой расположен точечный источник поля.
Однако поле
создается не только тем зарядом, который
попал в гауссову поверхность, а вообще
всеми зарядами. Поток же поля определяется
только теми зарядами, которые попали
внутрь гауссовой поверхности.
– интегральная
форма теоремы Гаусса.
Таким образом, электростатическая
теорема Гаусса утверждает: поток поля
через произвольную замкнутую поверхность
равен отношению алгебраической величины
суммарного заряда внутри этой поверхности
к
.
studfiles.net
Kvant. Теорема Гаусса — PhysBook
Черноуцан А. И. Силовые линии и теорема Гаусса //Квант. — 1990. — № 3. — С. 52-55.
По специальной договоренности с редколлегией и редакцией журнала “Квант”
Из школьного курса физики вы знаете, что наглядное представление об электрическом поле можно получить по картинке силовых линий (договоримся под «электрическим» полем здесь понимать электростатическое поле). Проводя касательную к силовой линии, мы узнаём направление вектора напряженности (стрелки на линиях укажут, куда именно направить этот вектор), сравнивая густоту силовых линий в разных местах (т. е. число силовых линий, проходящих через единичную площадку перпендикулярно к ней), выясняем, где и во сколько раз больше величина напряженности. Однако значение силовых линий этим не исчерпывается.
Хорошо знакомое вам свойство непрерывности линий в пустом пространстве отражает, на самом деле, важнейшее свойство электрического поля. Сформулируем его: электрическое поле устроено так, что можно проводить силовые линии, соблюдая правило густоты и не обрывая их при этом в пустом пространстве между зарядами; линии начинаются на положительных зарядах и заканчиваются на отрицательных; на каждом заряде начинается (или заканчивается) число линий, пропорциональное его величине.
Вы удивлены? Вам это свойство кажется очевидным, само собой разумеющимся? Это далеко не так. Будь закон Кулона чуть-чуть иным, и провести силовые линии непрерывно уже не удалось бы. Возьмем, к примеру, точечный заряд. По мере удаления от него густота силовых линий уменьшается. Так, при увеличении расстояния от заряда в 2 раза густота линий уменьшится в 4 раза (число линий не изменится, а площадь поверхности сферы увеличится в 4 раза). Во столько же раз уменьшится и напряженность электрического поля. Но только благодаря тому, что в законе Кулона стоит \(~\frac{1}{r^2}\)! Если бы, например, там было \(~\frac{1}{r^3}\), то напряженность уменьшилась бы не в 4, а в 8 раз, и для соблюдения правила густоты половину силовых линий пришлось бы оборвать на пути от r до 2r. И это в пустом пространстве!
Математически строгим выражением свойства непрерывности силовых линий электрического поля является теорема Гаусса. Для того чтобы сформулировать и доказать ее, нам надо сначала перейти от качественного языка силовых линий к точным количественным представлениям. Начнем с того, что несколько перефразируем свойство непрерывности линий.
Рассмотрим произвольную замкнутую поверхность. Если внутри поверхности зарядов нет, то число вышедших из нее линий в точности равно числу вошедших. Удобно входящие линии учитывать наряду с выходящими, но приписывать им знак «минус». Тогда можно сказать, что полное число выходящих из «пустой» поверхности силовых линий равно нулю. Если же внутри поверхности находится какой-нибудь заряд, то, очевидно, что полное число линий, выходящих из поверхности, будет пропорционально величине этого заряда. Это и есть качественная формулировка теоремы Гаусса. Но — пойдем дальше.
Введем скалярную величину Φ — ее называют потоком вектора напряженности через некоторую маленькую площадку:
\(~\Phi = ES \cos \alpha\) . (1)Здесь \(~\vec E\) — напряженность поля в месте нахождения выбранной площадки (раз площадка маленькая, поле можно считать однородным), S — площадь площадки, α — угол между вектором \(~\vec E\) и вектором \(~\vec n\) нормали к площадке. Посмотрите на рисунок 1: число силовых линий, пронизывающих площадку S, равно произведению их густоты на площадь поперечной площадки \(~S_{\perp} = S \cos \alpha\). Так как густота линий пропорциональна Е, полное число силовых линий, проходящих через площадку, пропорционально потоку Φ. Всем силовым линиям, выходящим из некоторой замкнутой поверхности, соответствует поток через всю эту поверхность (т. е. сумма потоков через отдельные маленькие участки поверхности). Чтобы выходящие линии давали положительный вклад в поток, а входящие — отрицательный, договоримся, чтобы нормаль к поверхности всюду «смотрела» наружу.
Рис. 1
Теперь понятно, что теорему Гаусса можно сформулировать так: поток вектора напряженности электрического поля через любую замкнутую поверхность пропорционален полному заряду, заключенному внутри этой поверхности. Чтобы доказать эту теорему, а заодно и вычислить коэффициент пропорциональности, рассмотрим сначала простое, но очень важное свойство величины Φ.
Запишем формулу (1) в виде \(~\Phi = (E \cos \alpha) S = E_n S\), где En — проекция вектора \(~\vec E\) на направление нормали \(~\vec n\). Если поле создается несколькими зарядами, то по принципу суперпозиции \(~\vec E = \vec E_1 + \vec E_2 + \ldots + \vec E_k\). Но проекция суммы векторов равна сумме проекций: En = E1n + E2n + … + Ekn. Отсюда получаем, что полный поток вектора напряженности равен сумме потоков, создаваемых отдельными зарядами: Φ = Φ1 + Φ2 + … + Φk. Поэтому можно говорить о вкладе в полный поток от каждого отдельного заряда.

Рис. 2
Докажем вначале, что вклад в поток от точечного заряда q, находящегося вне замкнутой поверхности, равен нулю. Рассмотрим два маленьких участка поверхности, отсекаемых узким конусом (рис. 2). Имеем
\(~\begin{matrix} \Phi_1 = E_1 S_1 \cos \alpha_1 = -E_1 S_{1 \perp} \\ \Phi_2 = E_2 S_2 \cos \alpha_2 = E_2 S_{2 \perp} \end{matrix}\) ,где \(~E_1 = \frac{1}{4 \pi \varepsilon_0} \frac{q}{r^2_1}\) , \(~E_2 = \frac{1}{4 \pi \varepsilon_0} \frac{q}{r^2_2}\) .
Из подобия следует, что
\(~\frac{r^2_1}{r^2_2} = \frac{S_{1 \perp}}{S_{2 \perp}}\) .Таким образом,
\(~\Phi_1 = -\Phi_2\) , или \(~\Phi_1 + \Phi_2 = 0\).Аналогичное взаимное уничтожение потоков происходит и для любой другой пары соответствующих участков.

Рис. 3
Вычислим теперь вклад в поток от точечного заряда, находящегося внутри замкнутой поверхности. Окружим заряд сферической поверхностью радиусом r (рис. 3). Рассуждая аналогично предыдущему, получим, что в этом случае Φ1 = Φ2, т. е. что поток через рассматриваемую произвольную поверхность равен потоку через сферу. А поток через сферу вычислить легко:
\(~\Phi = ES = \frac{1}{4 \pi \varepsilon_0} \frac{q}{r^2} 4 \pi r^2 = \frac{q}{\varepsilon_0}\) .Таким образом, мы пришли к окончательной формулировке теоремы Гаусса: поток вектора напряженности электрического поля через произвольную замкнутую поверхность равен полному заряду, заключенному внутри этой поверхности, деленному на электрическую постоянную, т. е.
\(~\Phi = \frac{\sum q_{vnutr}}{\varepsilon_0}\) . (2)Перейдем теперь к самому приятному — начнем пожинать плоды. Первое применение теоремы Гаусса — это вычисление напряженности электрического поля. Сразу оговоримся, что круг задач, решаемых таким способом, не очень широк (в отличие от способа, основанного на использовании принципа суперпозиции). Но все же он существует. Если мы, например, заранее знаем направление вектора напряженности во всех интересующих нас точках пространства, если удалось выбрать замкнутую поверхность, для которой вычисление потока вектора напряженности является простым, то тогда, может быть, нас ждет успех. Но зато какой успех!

Рис. 4
Как известно, много лет потребовалось Ньютону, чтобы доказать, что сила притяжения материальной частицы к шару (Земле) не изменится, если всю массу шара сконцентрировать в его центре. Для проведения доказательства с помощью принципа суперпозиции ему пришлось существенно развить интегральное исчисление. А теперь смотрите, как мы просто справимся с практически такой же задачей. Возьмем шар, равномерно заряженный зарядом Q, и вычислим поле вне его — на расстоянии r от его центра (рис. 4). Из соображений симметрии ясно, что вектор напряженности поля \(~\vec E\) всюду направлен по радиусу. Выразим поток вектора напряженности через сферу радиусом r двумя способами. По определению потока
\(~\Phi = ES = 4 \pi E r^2\) ,а по теореме Гаусса
\(~\Phi = \frac{Q}{\varepsilon_0}\) .Отсюда получаем
\(~E = \frac{1}{4 \pi \varepsilon_0} \frac{Q}{r^2}\)— поле заряженного шара вне его совпадает с полем точечного заряда, помещенного в центр шара.

Рис. 5
Другой пример: найдем напряженность поля бесконечной заряженной плоскости с поверхностной плотностью заряда σ (рис. 5). Из симметрии понятно, что вектор \(~\vec E\) всюду перпендикулярен плоскости. Выберем замкнутую поверхность в виде цилиндра, расположенного симметрично относительно плоскости. Поток вектора напряженности через боковую поверхность цилиндра равен нулю, а через каждое основание площадью S он равен ES, т. е.
\(~\Phi = 2 ES\) .Но по теореме Гаусса
\(~\Phi = \frac{\sigma S}{\varepsilon_0}\) .Приравнивая правые части обоих равенств, получаем
\(~E = \frac{\sigma}{2 \varepsilon_0}\) .Наконец, последний пример. Он касается одного очень важного свойства проводников. Покажем, что статические заряды проводника всегда располагаются на его поверхности. Доказательство очень простое. Раз напряженность поля внутри проводника равна нулю (иначе возникло бы движение свободных зарядов), то поток вектора напряженности через любую замкнутую поверхность, проведенную внутри проводника, равен нулю. А это означает, что равен нулю и заряд внутри любой сколь угодно малой поверхности в толще проводника. Следовательно, все заряды проводника действительно располагаются на его поверхности.
А теперь — важное замечание. Доказательство электронейтральности объема проводника опирается на теорему Гаусса, которая, как и свойство непрерывности силовых линий, верна только в том случае, если в законе Кулона стоит \(~\frac{1}{r^2}\). Вывод: справедливость закона Кулона можно проверить экспериментально. Для этого достаточно убедиться в электронейтральности толщи проводника.
Вот видите, как много интересного может рассказать лишь одна теорема — теорема Гаусса.
www.physbook.ru





