Предел (математика) — Циклопедия
Пределы. Введение // KhanAcademyRussian [11:45]Предел — это математический термин, обозначающий некое предельное число, к которому стремится бесконечная последовательность или функция. Соответственно, различают предел последовательности и предел функции (в точке, «на бесконечности»). Считается также, что предел может быть равен «бесконечности».
Интуитивно понятно, что бывает стремление одного предмета к другому, например птица стремится к гнезду. Отсюда проистекает интуитивное понятие стремления последовательности или функции к чему-то, в рамках математического анализа это понятие стремления находит свою формализацию в математических определениях предела функции и предела последовательности.
[править] Предел последовательности
Пределом числовой последовательности {xn} называется число A, в ε-окрестность которого попадают все члены последовательности с номером больше номера N(ε).
[править] Виды пределов
[править] Свойства пределов
Для последовательностей {xn} и {yn} верны правила:
При xn и yn=C получаем:
При xn=C и yn получаем:
[править] Предел функции
Пределом функции f{x} в точке a называется число A, в ε-окрестность которого попадают все значения функции в точках из
[править] Виды пределов
[править] Свойства пределов
Для функций u=f(x) и v=g(x) верны правила:
При f(x) и g(x)=C получаем:
При f(x)=C и g(x) получаем:
[править] Замечательные пределы
[править] Приёмы нахождения пределов
[править] Другие понятия
- Корн Г., Корн Т. Справочник по математике для научных работников и инженеров — М.: Наука, 1970.
cyclowiki.org
| 1. |
Предел функции при стремлении х к бесконечности
Сложность: лёгкое |
1 |
| 2. |
Предел дробной функции в данной точке
Сложность: лёгкое |
1 |
| 3. |
Предел степенной функции
Сложность: лёгкое |
1 |
| 4. |
Приращение тригонометрической функции
Сложность: среднее |
2 |
| 5. |
Предел дробной функции, неопределенность (∞/∞)
Сложность: среднее |
3 |
| 6. | Сложность: среднее |
3 |
| 7. |
Предел функции, содержащей квадратные корни, домножение на сопряженное выражение
Сложность: среднее |
4 |
| 8. |
Предел функции, содержащей квадратные корни
Сложность: среднее |
4 |
| 9. |
Предел дробной функции, неопределенность (0/0), формула суммы кубов
Сложность: сложное |
3 |
| 10. |
Предел тригонометрической функции
Сложность: сложное |
3 |
| 11. | Сложность: сложное |
2 |
www.yaklass.ru
Предел функции по множеству — ПриМат
Множество всех $y\in Y$ — область значения. Надо рассмотреть функции $f$, определённые на некоторых множествах $E \subset \mathbb{R}^{n}$ со значениями в ${R}^{m}$. Такие функции называются векторными функциями многих переменных. Значениями функции $f$ являются $m$-мерные векторы. Функции такого вида также будем называть отображениями.Функция значения которой являются действительные числа наз. действительной.Функция $f$: $E \mapsto \mathbb{R} , E \subset \mathbb{R}^{n}$.Пусть $f$: $E \mapsto \mathbb{R}^{m} , m \geq 2 $ где, $E \subset \mathbb{R}^{n}$. Тогда для любого фиксированного $x\in E$ с значением $f(x)$ есть $m$ — мерный вектор, который мы можем записать в таком виде:$f(x) = (f^{1}(x),…,f^{m}(x)),$ где
$f^{i}(x)$ — действительный числа(координаты вектора $f(x)$.
Поэтому следует, что мы получаем $m$ действительных функций на множестве $E: f^{i}: E \mapsto \mathbb{R}$.
$f = (f^{1},…,f^{m}),$
$f^{i}$ — называют компонентами векторной функции $f$.
Предел функции
Дано множество $E \subset \mathbb{R}^{n}$, $a$ — предельная точка множества $E$ и функция $f$: $E \mapsto \mathbb{R}^{m}$.
Точка $b\in \mathbb{R}^{m} $ называется пределом функции $f$ в точке по множеству $E$, если для любого $\varepsilon > 0$ найдётся такое $\delta > 0$, что для всех $x \in E$, отличных от точки $a$ и удовлетворяющих условию $0 < \left | x-a \right | < \delta$ , справедливо неравенство $\left | f(x)- b \right | < \varepsilon$. В этом случае пишут
$b = \lim\limits_{x \to a, x \in E } {f(x)}$
и говорят, что $f(x)$ стремится к $b$, проходя множество $E$.
Теорема
Допустим функция $f$: $E \mapsto \mathbb{R}^{m}$ где, $E \subset \mathbb{R}^{n}$ и $a$ — предельная точка множества $E$. Чтобы точка $b\in\mathbb{R}^{m}$ являлась пределом функции $f$ в точке $a$ по множеству $E$ , необходимо и достаточно, чтобы для любой сходящейся к $a$ последовательности $\left \{ x_{\kappa } \right \}$ точек из $E$, отличных от $a$, было выполнено равенство $\lim\limits_{\kappa \to \infty} f(x_\kappa ) = b$.
Необходимость:
Пусть $\lim\limits_{x \to a, x \in E} f(x) = b$ и пусть $x_\kappa \in E,x_\kappa \neq a, \lim\limits_{\kappa \to \infty} x_\kappa = a $, то есть фиксируем некоторую последовательность $0 $<$ \left | x — a \right | $<$ \delta $ . Докажем, что $\lim\limits_{\kappa \to \infty} f(x_\kappa) = b$. Зададим $\varepsilon > 0$. Тогда, по определению предела функции , найдётся такое $\delta > 0$, что для всех $x \in E $, удовлетворяющих условию $ 0 $<$ \left | x — a \right | < \delta $ справедливо неравенство $\left | f(x) — b\right | < \varepsilon $, так как $ x_{\kappa }\rightarrow a$ и $ x_{\kappa } \neq a $, то найдётся такой номер $N$, что при любом $\kappa \geq N$ будет $0<\left | x_{\kappa}-a \right |<\delta$.
Поэтому для $ \kappa \geq N$ выполнено неравенство $ \left | f(x_{\kappa}) — b\right | < \varepsilon $. Это означает,что $\lim\limits_{\kappa \to \infty} f(x_\kappa) = b.$
Достаточность:
Сделаем предположение,что предел функции $f$ в точке $a$ либо не существует,либо существует,но не равен $b$. Тогда найдется такое $ \varepsilon_{0} > 0 $ , что для любого $ \delta > 0 $ найдется точка $ x’ \in E$ для котoрой, $\left | x’-a \right | < \delta $, но $\left | f(x’) — b\right | \geq \varepsilon$. Пологая $\delta =\frac{1}{\kappa}$, построим последовательность точек$x’_{\kappa}$, для которых $ 0 $<$ \left | x’_{\kappa } — a \right | $<$ \frac{1}{\kappa } $, но $\left |f(x’_{\kappa }) — b \right | \geq \varepsilon _{0} $, тогда получим, что $x’_{\kappa} \rightarrow a $, нo $f\left ( x’_{\kappa } \right )$ не стремится к $b$, а это противоречит нашему условию.
Определим функцию по Гейне:
Точка $b$ называется пределом функции $f$ в точке $a$, если для любой последовательности $\left \{ x_{\kappa } \right \}$ точек из $E$ ,сходящейся к $a$, $x_{\kappa } \neq a$, соответствующая последовательность $\left \{ f(x_{\kappa }) \right \} $ значений функции сходится к точке $b$.
Для доказательства следующей теоремы, достаточно воспользоваться определением предела по Гейне.
Теорема(арифметические свойства): пусть функции $f,g$: $ E\rightarrow \mathbb{R}^{m}, E\subset \mathbb{R}^{n}$, $a$- прeдельная точка множества $E$ и
$\lim\limits_{x\to a, x \in E}f(x) = b$, $\lim\limits_{x\to a, x \in E}g(x) = c$
Тогда
1)$\lim\limits_{x\to a, x \in E}(f+g)(x) = b+c$;
2)$\lim\limits_{x\to a, x \in E}(f \cdot g)(x) = b \cdot c$;
3)если $f,g$ — действительные функции и $g(x)\neq 0, c\neq 0$ ,то $\lim\limits_{x\to a, x \in E}\frac{f}{g}(x) = \frac{b}{c}.$
Литература
предел функции на множестве
Лимит времени: 0
Информация
Тест на закрепление материала на тему «Граница функции на множестве»
Вы уже проходили тест ранее. Вы не можете запустить его снова.
Тест загружается…
Вы должны войти или зарегистрироваться для того, чтобы начать тест.
Вы должны закончить следующие тесты, чтобы начать этот:
Правильных ответов: 0 из 3
Ваше время:
Время вышло
Вы набрали 0 из 0 баллов (0)
| Средний результат |
|
| Ваш результат |
|
- С ответом
- С отметкой о просмотре
ib.mazurok.com
Предел функции на бесконечности — урок. Алгебра, 10 класс.
Рассмотрим несколько видов записи предела функции на бесконечности.
1. Дана функция y=f(x), в области определения которой содержится луч a;+∞), и пусть прямая \(y=b\) является горизонтальной асимптотой графика функции y=f(x).
В этом случае используется запись: limx→+∞f(x)=b
(читают: предел функции y=f(x) при стремлении \(x\) к плюс бесконечности равен \(b\)).
2. Если дана функция y=f(x), в области определения которой содержится луч (−∞;a, и прямая \(y=b\) является горизонтальной асимптотой графика функции y=f(x), то в этом случае используется запись: limx→−∞f(x)=b
(читают: предел функции y=f(x) при стремлении \(x\) к минус бесконечности равен \(b\)).
3. Если одновременно выполняются соотношения:
limx→+∞f(x)=b и limx→−∞f(x)=b, то можно объединить их одной записью: limx→±∞f(x)=b
Но обычно используют более экономную запись: limx→∞f(x)=b
(читают: предел функции y=f(x) при стремлении \(x\) к бесконечности равен \(b\)).
В этом случае прямая \(y=b\) является горизонтальной асимптотой графика функции y=f(x) как бы с двух сторон.
Вычисление предела функции на бесконечности осуществляется по тем же правилам, что и вычисление предела последовательности. Приведём их (с соответствующими изменениями).
1. Для любого натурального показателя \(m\) и любого коэффициента \(k\) справедливо соотношение:
limx→∞kxm=0
2. Если limx→∞f(x)=b, limx→∞g(x)=c, то
а) предел суммы равен сумме пределов:
lim(x→∞f(x)+g(x))=b+c;
б) предел произведения равен произведению пределов:
lim(x→∞f(x)g(x))=bc;
в) предел частного равен частному пределов ( разумеется, при условии, что c≠0):
limx→∞ f(x)g(x)=bc;
г) постоянный множитель можно вынести за знак предела:
lim(x→∞kf(x))=kb.
www.yaklass.ru
Введение в математический анализ Предел функции в точке
y f(x)
A +
A
A –
0 a – a a + x
Пусть функция f(x) определена в некоторой окрестности точки х = а (т.е. в самой точке х = а функция может быть и не определена)
Определение. Число А называется пределом функции f(x) при ха, если для любого >0 существует такое число >0, что для всех х таких, что
0 < x – a <
верно неравенство f(x) – A< .
То же определение может быть записано в другом виде:
Если а – < x < a + , x a, то верно неравенство А – < f(x) < A + .
Запись
предела функции в точке: 
Предел функции при стремлении аргумента к бесконечности
Определение. Число А называется пределом функции f(x) при х, если для любого числа >0 существует такое число М>0, что для всех х, х>M выполняется неравенство
При этом предполагается, что функция f(x) определена в окрестности бесконечности.
Записывают:
Графически можно представить:
y y
A A
0 0
x x
y y
A A
0 0
x x
Аналогично можно определить пределы для любого х>M и
для любого х<M.
Основные теоремы о пределах
Теорема
1.
,
где С =const.
Следующие теоремы справедливы при предположении, что функции f(x) и g(x) имеют конечные пределы при ха.
Теорема 2.
Доказательство этой теоремы будет приведено ниже.
Теорема 3.
Следствие.
Теорема
4.
при 
Теорема
5. Если f(x)>0
вблизи точки х = а и
,
то А>0.
Аналогично определяется знак предела при f(x) < 0, f(x) 0, f(x) 0.
Теорема
6. Если g(x) f(x) u(x)
вблизи точки х = а и
,
то и
.
Пример. Найти предел 
Так как tg5x ~ 5x и sin7x ~ 7x при х 0, то, заменив функции эквивалентными бесконечно малыми, получим:
Пример. Найти предел
.
Так
как 1 – cosx
=
при х0,
то
.
Пример. Найти предел
Если и – бесконечно малые при ха, причем – бесконечно малая более высокого порядка, чем , то = + – бесконечно малая, эквивалентная . Это можно доказать следующим равенством .
Тогда говорят, что – главная часть бесконечно малой функции .
Пример. Функция х2 +х – бесконечно малая при х0, х – главная часть этой функции. Чтобы показать это, запишем = х2, = х, тогда
.
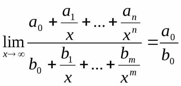
Некоторые замечательные пределы
,
где P(x)
= a0xn + a1xn-1 +…+an,
Q(x) = b0xm + b1xm-1 +…+bm – многочлены.

Итого: 
Первый
замечательный предел 
Второй
замечательный предел 
Часто если непосредственное нахождение предела какой – либо функции представляется сложным, то можно путем преобразования функции свести задачу к нахождению замечательных пределов.
Кроме трех, изложенных выше, пределов можно записать следующие полезные на практике соотношения:
Пример. Найти предел.
Пример. Найти предел.
Пример. Найти предел.
Пример. Найти предел.
Пример. Найти предел.
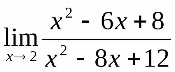
Пример. Найти предел
.
Для нахождения этого предела разложим на множители числитель и знаменатель данной дроби.
x2 – 6x + 8 = 0; x2 – 8x + 12 = 0;
D = 36 – 32 = 4; D = 64 – 48 = 16;
x1 = (6 + 2)/2 = 4; x1 = (8 + 4)/2 = 6;
x2 = (6 – 2)/2 = 2 ; x2 = (8 – 4)/2 = 2;
Тогда
Пример. Найти предел.
домножим числитель и знаменатель дроби на сопряженное выражение: =
=
.
Пример. Найти предел.
Пример. Найти предел .
Разложим числитель и знаменатель на множители.
x2 – 3x + 2 = (x – 1)(x – 2)
x3 – 6x2 + 11x – 6 = (x – 1)(x – 2)(x – 3), т.к.
x3 – 6x2 + 11x – 6 x – 1
x3 – x2 x2 – 5x + 6
– 5x2 + 11x
– 5x2 + 5x
6x – 6
6x – 6 0
x2 – 5x + 6 = (x – 2)(x – 3)
Тогда
Пример. Найти предел.
– не определен, т.к. при стремлении х к 2 имеют место различные односторонние пределы -∞ и +∞.
studfiles.net
