Физика 10-11 класс. Примеры решения задач из учебников Мякишева
Физика 10-11 класс. Примеры решения задач из учебников Мякишева
Задачи по физике – это просто!
Здесь приведены примеры решения задач по физике для учащихся 10-11 классов из учебников “Физика. 10 класс” (авт. Мякишев, Буховцев, Сотский) и “Физика. 11 класс” (авт. Мякишев, Буховцев, Чаругин).
Физика – 10 класс
по теме «Равномерное прямолинейное движение» ………. смотреть
по теме «Сложение скоростей» ………. смотреть
по теме «Движение с постоянным ускорением» ………. смотреть
по теме «Движение с постоянным ускорением свободного падения» ………. смотреть
по теме «Кинематика твёрдого тела» ………. смотреть
по теме «Второй закон Ньютона» ………. смотреть
по теме «Закон всемирного тяготения» ………. смотреть
по теме «Первая космическая скорость» ………. смотреть
по теме «Силы упругости. Закон Гука» ………. смотреть
по теме «Силы трения» ………. смотреть
по теме «Закон сохранения импульса» ………. смотреть
по теме «Кинетическая энергия и её изменение» ………. смотреть
по теме «Закон сохранения механической энергии» ………. смотреть
по теме «Динамика вращательного движения абсолютно твёрдого тела» ………. смотреть
по теме «Равновесие твёрдых тел» ………. смотреть
по теме «Основные положения МКТ» ………. смотреть
по теме «Основное уравнение молекулярно-кинетической теории» ………. смотреть
по теме «Энергия теплового движения молекул» ………. смотреть
по теме «Уравнение состояния идеального газа» ………. смотреть
по теме «Определение параметров газа по графикам изопроцессов» ………. смотреть
по теме «Насыщенный пар. Влажность воздуха» ………. смотреть
по теме «Внутренняя энергия. Работа» ………. смотреть
по теме: «Количество теплоты. Уравнение теплового баланса» ………. смотреть
по теме: «Первый закон термодинамики» ………. смотреть
по теме: «КПД тепловых двигателей» ………. смотреть
по теме «Закон Кулона» ………. смотреть
по теме «Напряжённость электрического поля. Принцип суперпозиции полей» ………. смотреть
по теме «Потенциальная энергия электростатического поля. Разность потенциалов» ………. смотреть
по теме «Закон Ома. Последовательное и параллельное соединения проводников» ………. смотреть
по теме «Работа и мощность постоянного тока. Закон Ома для полной цепи» ………. смотреть
по теме «Электрический ток в различных средах» ………. смотреть
Физика – 11 класс
по теме “Магнитное поле” ………. смотреть
по теме “Электромагнитная индукция” ………. смотреть
по теме “Механические колебания” ………. смотреть
по теме “Геометрическая оптика” ………. смотреть
по теме “Волновая оптика” ………. смотреть
Успехов в разборе «полетов»!
Знаете ли вы?
Оптика и живая природа
Оказывается, у человека в глазу хрусталик выполняет роль не только линзы, но и светофильтра. Хрусталик нашего глаза отсекает от видимой части спектра ультрафиолетовые лучи. Не будь у нас его, мы тоже могли бы видать мир в ультрафиолетовых лучах.
В самом деле, люди у которых удален помутневший хрусталик и заменен стеклянной линзой – очками, видят предметы в ультрафиолетовом свете. Они даже читают таблицу для проверки зрения лишь при ультрафиолетовом освещении. Тогда как обычные люди при таком свате совершенно ничего не видят.
Могло бы насекомое, обладающее сложными глазами, воспринимать телевизионную передачу или смотреть кино? Если нам показывать 10 изображений в секунду, мы еще различим отдельные зрительные образы, а если 16, то все сольется в непрерывное действие.
Мухе или пчеле надо 200 смен кадров в секунду, чтобы она восприняла непрерывное движение. Поэтому на наших телевизорах и киноэкранах насекомые видели бы отдельно меняющиеся картинки. А свет ламп дневного света, зажигающихся и гаснущих 50 раз в секунду, который мы воспринимаем как постоянный, для ник представляется всегда мигающим.
Мало кто слышал о сканирующем глазе, который работает по тому же принципу, что и телевизионная трубка. Сканирующий глаз можно найти у маленького членистоногого капилия. Большой красивый хрусталик смотрит на мир. Он фокусирует изображение на… нет, не на сетчатку, а в пустое пространство глазной камеры.
Изображение улавливается всего-навсего одним светочувствительным рецептором, прикрепленным к тонкому мышечному пучку, который перемещает его в глазу, словно электронный луч в светочувствительной трубке телекамеры.
Другие животные обходятся без хрусталика, и глаз у них построен наподобие камеры с точечным отверстием. Головоногий моллюск наутилус, родственник осьминога и кальмара со странными большими глазами м очень маленьким зрачком, как раз использует для своего зрения настоящую камеру Обскура.
У такой камеры-глаза есть большое преимущество: на каком бы расстоянии ни рассматривался предмет, его изображение всегда будет сфокусировано на сетчатке. Жаль только, что через узкое отверстие зрачка проходит мало световых лучей, поэтому при плохом освещении наутилус многого не различает.
Источник: “Юный натуралист”
class-fizika.ru
Видеоуроки по физике – 10 класс
Видеоуроки по физике – 10 класс
На этой странице представлены несколько качественных вариантов видеоуроков по физике для 10 класса.
ВИДЕОУРОКИ ФИЗИКА 10 класс – Interneturok.ru
Обновлено – 3.09.2017
1. Механическое движение Кинематика – смотреть
2. Система материальных точек. Центр масс. Закон движения центра масс – смотреть
4. Принцип относительности Галилея – смотреть
5. Вводный урок по теме: «Законы механики Ньютона» – смотреть
6. Закон всемироного тяготения – смотреть
7. Решение задач по динамике. Движение связанных тел – смотреть
8. Механическая работа. Мощность – смотреть
9. Влажность. Измерение влажности – смотреть
10. Второй закон термодинамики. Необратимость тепловых процессов – смотреть
11. Электрический заряд. Закон сохранения заряда – смотреть
12. Потенциал электрического поля Разность потенциалов – смотреть
14. Закон Кулона – смотреть
15. Решение задач по теме Закон Кулона, Напряженность электрического поля – смотреть
16. Условия для существования электрического тока – смотреть
17. Эл ток в жидкостях – смотреть
Видеоуроки по физике для 10 класса – в помощь “застрявшим в пути”
Обновлено 3.09.2017
1. Кинематика. Основные понятия – смотреть
2. Прямолинейное движение – смотреть
3. Равнопеременное движение – смотреть
4. Уравнение равнопеременного движения – смотреть
6. Кинематика криволинейного движения – смотреть
7. Первый закон Ньютона. Динамика – смотреть
8. Второй закон Ньютона – смотреть
9. Третий закон Ньотона – смотреть
10. Гравитационные силы – смотреть
11. Силы упругости – смотреть
12. Силы трения – смотреть
13. Механическая работа – смотреть
14. Кинетическая энергия – смотреть
15. Потенциальная энергия. Работа силы тяжести – смотреть
16. Потенциальная энергия. Работа силы упругости – смотреть
17. Закон сохранения энергии и превращения механической энергии – смотреть
19. Закон сохранения импульса – смотреть
20. Основные положения молекулярно-кинетической теории – смотреть
21. Основное уравнение молекулярной теории идеального газа – смотреть
22. Абсолютная температура – смотреть
23. Уравнение состояния идельного газа – смотреть
24. Газовые законы – смотреть
25. Внутренняя энергия. Термодинамика – смотреть
26. Работа в термодинамике – смотреть
27. Количество теплоты – смотреть
28. Первый закон термодинамики – смотреть
29. Применение I закона термодинамики к изопроцессам – смотреть
30. Электростатика. Основные понятия – смотреть
31. Закон Кулона – смотреть
32. Электрическое поле – смотреть
33. Линии напряженности поля – смотреть
34. Потенциал электростатического поля – смотреть
35. Связь между напряженностью и разностью потенциалов – смотреть
36. Конденсаторы – смотреть
37. Постоянный электрический ток. Основные понятия – смотреть
38. Электродвижущая сила – смотреть
39. Электрическое сопротивление – смотреть
40. Закон Ома – смотреть
41. Соединение проводников – смотреть
42. Работа и мощность тока – смотреть
ВИДЕОУРОКИ ФИЗИКА – 10 класс (по учебнику Перышкина). Авт. В.Романов-Youtube
Обновлено – 3.09.2017
1. Равномерное прямолинейное движение (кинематика) – смотреть
2. – Равномерное движение. Решение задач (кинематика) – смотреть
3. Сложение скоростей (кинематика) – смотреть
4. Равноускоренное движение (кинематика) – смотреть
5. Свободное падение тел (кинематика) – смотреть
6. Центростремительное ускорение (кинематика) – смотреть
7. Угловая скорость (кинематика) – смотреть
8. Законы Ньютона (динамика) часть1 – смотреть
9. Законы Ньютона (динамика) часть2 – смотреть
10. Закон Гука (динамика) – смотреть
11. Сила трения (динамика) – смотреть
12. Импульс силы (динамика) – смотреть
13. Работа силы (механика) – смотреть
14. Потенциальная и кинетическая энергия (механика) – смотреть
15. Равновесие тел (статика) – смотреть
16. Количество вещества – смотреть
17. Давление идеального газа (термодинамика) – смотреть
18. Абсолютная температура – смотреть
19. Уравнение состояния идеального газа (термодинамика) – смотреть
20. Газовые законы (термодинамика) – смотреть
21. Работа в термодинамике – смотреть
ВИДЕОУРОКИ ПО ШКОЛЬНОЙ ФИЗИКЕ – 7-11 класс – Videouroki.net
Обновлено – 3.09.2017
1. Физические величиы. Измерение физических величин. Точность и погрешность измерений – смотреть
2. Плотность вещества – смотреть
3. Вес тела и невесомость – смотреть
4. Силы упругости. Закон Гука – смотреть
5. Способы описания движения. Система отсчёта – смотреть
6. Механическое движение. Система отсчета. Траектория, путь и перемещение – смотреть
7. Равноускоренное прямолинейное движение – смотреть
8. Скорость при равномерном прямолинейном движении – смотреть
9. Скорость при прямолинейном равноускоренном движении тела – смотреть
10. Прямолинейное равноускоренное движение. Ускорение – смотреть
11. Перемещение тела при равноускоренном движении – смотреть
12. Графики зависимости кинематических величин от времени при равномерном и равноускоренном движении – смотреть
13. Лабораторная работа. Исследование равноускоренного движения без начальной скорости – смотреть
14. Движение тела под действием силы тяжести – смотреть
15. Свободное падение тел – смотреть
16. Равномерное движение материальной точки по окружности – смотреть
17. Решение задач по теме Основы кинематики – смотреть
18. Движение планет и искусственных спутников – смотреть
19. Относительность механического движения – смотреть
20. Закон Всемирного тяготения – смотреть
21. Первый закон Ньютона. Инерциальные системы отсчета – смотреть
22. Второй закон Ньютона – смотреть
23. Третий закон Ньютона – смотреть
24. Импульс тела. Закон сохранения импульса тела – смотреть
25. Давление. Способы уменьшения и увеличения давления – смотреть
26. Плавание тел – смотреть
27. Блоки. «Золотое правило механики» – смотреть
28. Конвекция – смотреть
29. Электризация тел при соприкосновении. Взаимодействие заряженных тел. Два рода электрических зарядов – смотреть
30. Объяснение электрических явлений – смотреть
31. Закон Ома для участка цепи – смотреть
32. Соединения конденсаторов и конденсаторные батареи. Разбор задачи – смотреть
33. Магнитное поле и его свойства – смотреть
34. Магнитное поле. Графическое изображение магнитного поля – смотреть
35. Магнитное полею Однородное и неоднородное магнитное поле – смотреть
36. Направление тока и линий его магнитного поля. Правило буравчика – смотреть
37. Индукция магнитного поля. Магнитный поток – смотреть
38. Электромагнитная индукция. Опыты Фарадея – смотреть
39. Направление индукционного тока. Правило Ленца Явление самоиндукции – смотреть
40. Трансформатор. Передача электрической энергии на расстояние – смотреть
41. Электромагнитное поле. Электромагнитные волны. Скорость распространения электромагнитных волн – смотреть
42. Влияние электромагнитных излучений на живые организмы – смотреть
42. Свободные и вынужденные колебания – смотреть
43. Математический и пружинный маятники – смотреть
44. Отражение света. Закон отражения света – смотреть
45. Масса молекул. Количество вещества – смотреть
46. Основные формулы и рекомендации по решению задач на основы термодинамики – смотреть
47. История развития радио – смотреть
48. Радиолокация. Понятие о телевидении. Развитие средств связи – смотреть
49. Строение атомного ядра. Ядерные силы – смотреть
50. Радиоактивность. Модели атомов – смотреть
ВИДЕОУРОКИ ФИЗИКА 7-11 класс – EduLibNet-Youtube
Обновлено – 3.09.2017
1. Кинематика. Механическое движение. Материальная точка – смотреть
2. Положение тел в пространстве, система отсчета – смотреть
3. Прямолинейное равномерное движение – смотреть
4. Прямолинейное неравномерное движение. Средняя скорость – смотреть
5. Ускорение. Равноускоренное движение. Механика – смотреть
6. Равномерное движение по окружности. Механика – смотреть
7. Свободное падение тел. Ускорение свободного падения – смотреть
8. Движение тела брошенного под углом к горизонту – смотреть
9. Криволинейное движение – смотреть
10. Относительность механического движения – смотреть
11. Взаимодействие тел. Инертность тел. Масса – смотреть
12. Основы динамики. Первый закон Ньютона – смотреть
13. Инерциальные системы отсчета. Принцип относительности Галилея – смотреть
14. Второй закон Ньютона – смотреть
15. Третий закон Ньютона – смотреть
16. Сила. Силы в механике – смотреть
17. Сила упругости – смотреть
18. Закон Гука. Модуль Юнга – смотреть
19. Силы трения – смотреть
20. Закон всемирного тяготения – смотреть
21. Искусственные спутники Земли. Первая космическая скорость – смотреть
22. Вес тела. Невесомость – смотреть
23. Импульс. Закон сохранения импульса – смотреть
24. Механическая работа. Мощность – смотреть
25. Кинетическая и потенциальная энергии – смотреть
26. Закон сохранения механической энергии – смотреть
27. Сложение сил. Правило моментов – смотреть
28. Центр тяжести. Устойчивость – смотреть
29. Давление. Закон Паскаля – смотреть
30. Гидравлический пресс – смотреть
31. Атмосферное давление. Опыт Торричелли – смотреть
32. Сила Архимеда – смотреть
33. Молекулярная физика. Введение – смотреть
34. Основные положения молекулярно кинетической теории газа – смотреть
35. Основное уравнение молекулярно кинетической теории – смотреть
36. Размер молекул. Масса молекул. Постоянная Авогадро – смотреть
37. Количество теплоты. Удельная теплоемкость – смотреть
38. Температура. Энергия теплового движения молекул – смотреть
39. Уравнение состояния идеального газа – смотреть
40. Силы взаимодействия молекул. Идеальный газ – смотреть
41. Взаимные превращения жидкостей и газов – смотреть
42. Молекулярная физика. Кипение – смотреть
43. Внутренняя энергия – смотреть
44. Работа в термодинамике – смотреть
45. Первый закон термодинамики – смотреть
46. Молекулярная физика. Изопроцессы – смотреть
47. Коэффициент полезного действия. Принцип Карно – смотреть
48. Поверхностное натяжение жидкостей – смотреть
49. Относительная влажность воздуха – смотреть
50. Электростатика. Электричество. Введение – смотреть
51. Проводники и диэлектрики – смотреть
52. Основной закон электростатики. Закон Кулона – смотреть
53. Электрическое поле. Напряженность электрического поля – смотреть
54. Потенциал электростатического поля. Разность потенциалов – смотреть
55. Электроемкость – смотреть
56. Параллельное и последовательное соединение конденсаторов – смотреть
57. Проводники и диэлектрики в электростатическом поле – смотреть
58. Напряженность электростатического поля шара, плоскости – смотреть
59. Конденсаторы. Электроемкость плоского конденсатора – смотреть
60. Энергия заряженного конденсатора. Энергия электрического поля – смотреть
61. Электрический ток. Сила тока – смотреть
62. Электродвижущая сила – смотреть
63. Измерение силы тока и напряжения – смотреть
64. Закон Ома для участка цепи. Сопротивление – смотреть
65. Удельное сопротивление. Сверхпроводимость – смотреть
66. Последовательное и параллельное соединение проводников – смотреть
67. Работа и мощность тока. Закон Джоуля-Ленца – смотреть
68. Закон Ома для полной цепи – смотреть
69. Электрический ток в металлах. Электронная проводимость – смотреть
70. Электрический ток в жидкостях. Закон электролиза – смотреть
71. Электрический ток в газах – смотреть
72. Электрический ток в вакууме – смотреть
73. Электроннолучевая трубка – смотреть
74. Электрический ток в полупроводниках – смотреть
75. Собственная и примесная проводимость полупроводников – смотреть
76. p-n переход и его свойства – смотреть
77. Полупроводниковые приборы – смотреть
78. Магнетизм. Взаимодействие токов. Магнитное поле – смотреть
79. Магнитный поток – смотреть
80. Закон Ампера – смотреть
81. Действие магнитного поля на движущийся заряд. Сила Лоренца – смотреть
82. Электромагнитная индукция – смотреть
83. Явление самоиндукции. Индуктивность – смотреть
84. ЭДС индукции в движущихся проводниках – смотреть
85. Магнитные свойства вещества. Гипотеза Ампера – смотреть
86. Генерирование электрической энергии – смотреть
87. Передача электрической энергии. Трансформаторы – смотреть
88. Механические колебания. Понятие о колебательном движении – смотреть
89. Колебания и волны. Гармонические колебания – смотреть
90. Период и частота механических колебаний – смотреть
91. Превращение энергии при гармонических колебаниях – смотреть
92. Колебания и волны. Затухающие колебания – смотреть
93. Колебания и волны. Вынужденные колебания. Резонанс – смотреть
94. Продольные и поперечные волны. Звуковые волны – смотреть
95. Свободные электромагнитные колебания. Превращение энергии – смотреть
96. Вынужденные колебания в электрических цепях. Резонанс – смотреть
97. Электромагнитное поле. Открытый колебательный контур Опыты Герца – смотреть
98. Электромагнитные колебания. Шкала электромагнитных волн – смотреть
99. Оптика. Закон прямолинейного распространения света – смотреть
100. Полное внутреннее отражение – смотреть
101. Тонкие линзы. Фокусное расстояние и оптическая сила линзы – смотреть
102. Построение изображения точки получаемого с помощью линзы – смотреть
103. Оптические приборы – смотреть
104. Волновые свойства света. Поляризация света – смотреть
105. Скорость света в однородной среде. Дисперсия света – смотреть
106. Интерференция света – смотреть
107. Дифракция света – смотреть
108. Корпускулярные свойства света. Постоянная Планка – смотреть
109. Давление света – смотреть
110. Постулаты Эйнштейна. Связь между массой и энергией – смотреть
111. Атомная физика. Опыты Резерфорда. Планетарная модель атома – смотреть
112. Квантовые постулаты Бора – смотреть
113. Непрерывный и линейчатый спектры – смотреть
114. Методы регистрации элементарных частиц – смотреть
115. Состав атомного ядра. Изотопы – смотреть
116. Энергия связи атомных ядер – смотреть
117. Понятие о ядерных реакциях – смотреть
118. Радиоактивность. Виды радиоактивных излучений – смотреть
119. Цепные ядерные реакции – смотреть
120. Термоядерная реакция – смотреть
class-fizika.ru
Примеры решения типовых задач по физике
Примеры решения типовых задач по физике
Задачи по физике – это просто!
7-11 класс
Механическое движение. 7 класс ………… смотреть
Средняя скорость движения. 7 класс ………… смотреть
Плотность. 7 класс ………… смотреть
Сила тяжести, вес тела, сила упругости. 7 класс ………… смотреть
Работа с векторами. Прямолинейное равномерное движение 9-11 класс ………… смотреть
Определение расстояния между двумя телами 9-11 класс ………… смотреть
Уравнения и графики прямолинейного равномерного движения 9-11 класс ………… смотреть
Расчетные формулы для прямолинейного равноускоренного движения 9-11 класс ………… смотреть
Прямолинейное равноускоренное движение 9-11 класс ………… смотреть
Прямолинейное равноускоренное движение (продолжение) 9-11 класс ………… смотреть
Уравнения и графики прямолинейного равноускоренного движения 9-11 класс ………… смотреть
Как решать задачи по физике на свободное падение 9-11 класс ………… смотреть
Свободное падение 9-11 класс ………… смотреть
Тело брошенное под углом к горизонту 10-11 класс ………… смотреть
Закон сохранения импульса 9-11 класс ………… смотреть
Количество теплоты 8-11 класс ………… смотреть
МКТ. Термодинамика 10-11 класс ………… смотреть
МКТ. Термодинамика (продолжение) 10-11 класс ………… смотреть
Законы идеального газа и уравнение состояния 10-11 класс ………… смотреть
Изопроцессы 10-11 класс ………… смотреть
Сила Ампера. Сила Лоренца 9-11 класс ………… смотреть
Магнитный поток. Магнитная индукция 9-11 класс ………… смотреть
ЭДС индукции 10-11 класс ………… смотреть
Индуктивность. Самоиндукция. Энергия магнитного поля тока 10-11 класс ………… смотреть
Работа силы. Механическая работа и мощность 9-11 класс ………… смотреть
Работа силы трения 10-11 класс ………… смотреть
Работа силы тяжести 10-11 класс ………… смотреть
Движение по наклонной плоскости. Динамика 10-11 класс ………… смотреть
Движение по горизонтали под действием нескольких сил. Динамика 10-11 класс ………… смотреть
Движение связанных тел. Динамика 10-11 класс ………… смотреть
Движение по окружности 9-11 класс ………… смотреть
Механические колебания и волны 9-11 класс ………… смотреть
Успехов в разборе «полетов»!
Знаете ли вы?
Инструмент – капуста
Мраморный узор очень сложный. Имитировать его непросто даже при современной технике.
Как же удавалось в 19 веке наносить на обои и клеенки сложные разводы и нежные полутона мрамора?
Оказывается, выручала капуста!
Разрезанный поперек кочан на удивление похож на хитросплетения прожилок мрамора. Поэтому кочан капусты исправно служил своеобразным штемпелем, с помощью которого наносили краски мастера минувшего века.
В гнезде пингвина
Температура в гнезде пингвина была измерена оригинальным способом. В Антарктике в гнезде пингвинов отыскали два свежеснесенных яйца. Одно из них ученые вынули из гнезда.
Удалив содержимое яйца, они аккуратнейшим образом вмонтировали внутрь скорлупы портативный термоэлемент, соединенный с радиопередатчиком, работающим на батарейках. Затем яйцо положили обратно.
Аппарат в яйце регулярно измерял температуру и сообщал об этом на станцию. Выяснилось, что даже в ветреную и очень холодную погоду температура в гнезде остается равной 33,6 градуса Цельсия.
class-fizika.ru
Работа силы. Механическая работа и мощность. Примеры решения задач по физике. 10-11 класс
Работа силы. Механическая работа и мощность. Примеры решения задач по физике. 10-11 класс
Задачи по физике – это просто!
Вспомним
Формула работы силы:
Полная работа – эта работа всех сил, действующих на тело (иначе работа равнодействующей силы).
Если работа совершается за какой-то промежуток времени t, то средняя мощность:
Мгновенная мощность:
Не забываем
Решать задачи надо всегда в системе СИ!
А теперь к задачам!
Типовые задачи из курса школьной физики по динамике на вычисление работы сил, действующих на тело при движении.
Задача 1
Какую работу надо совершить двигателю, чтобы автомобиль массой 800 кг прошел из состояния покоя равноускоренно 90 м за 5 секунд? Коэффициент трения равен 0,2.

Задача 2
Определить работу, совершаемую лебедкой по подъему груза массой 25 кг на высоту 20 м, если движение равномерное.

Задача 3
Определить полную работу, совершаемую грузом при перемещении его на 10 м за веревку по горизонтали, если сила трения равна 50Н, а сила тяги составляет 200Н и направлена под углом 30o к горизонтали.

Задача 4
Груз массой 100 кг перемещают за веревку с постоянной скоростью на расстояние 10 метров по горизонтали. Определить работу силы натяжения веревки, если веревка натянута под углом 45o к горизонту, а коэффициент трения равен 0,5.

Задача 5
Автомобиль массой 500 кг начинает двигаться по горизонтальному участку пути из состояния покоя и достигает скорости 20 м/с. Определить работу, совершенную двигателем.

Задача 6
Определить среднюю мощность лебедки, поднимающую груз массой 5 тонн на высоту 10 метров за 6 минут.

class-fizika.ru
Законы идеального газа и уравнение состояния. Примеры решения задач по физике. 10-11 класс
Законы идеального газа и уравнение состояния. Примеры решения задач по физике. 10-11 класс
Задачи по физике – это просто!
Вспомним
1). Если масса газа не меняется:
2). Формулы газовых законов:
3). Если в условиях задачи задан переход из состояния p1V1T1 в состояние p2V2T2, используем формулу:
При этом, если один из параметров const, его можно сократить, и тогда мы получаем одну из формул газовых законов.
3). Если в условиях задачи известны только 2 параметра из трех (p,V,T), используем формулу:
Не забываем
Решать задачи надо всегда в системе СИ!
А теперь к задачам!
Типовые задачи из курса школьной физики по термодинамике на вычисление макропараметров (p,V,T) газа.
Задача 1
Найти массу природного горючего газа объемом 64 м3, считая, что объем указан при нормальных условиях. Молярную массу природного газа считать равной молярной массе метана (СН4).

Задача 2
Воздух объемом 1,45 м3, находящийся при температуре 20oC и давлении 100 кПа, превратили в жидкое состояние. Какой объем займет жидкий воздух, если его плотность 861 кг/м3?

Задача 3
Какое количество вещества содержится в газе, если при давлении 200 кПа и температуре 240 К его объем равен 40 литров?

Задача 4
В одинаковых баллонах при одинаковой температуре находятся водород (H2) и углекислый газ (CO2). Массы газов одинаковы. Какой из газов и во сколько раз производит большее давление на стенки баллона?

Задача 5
Газ при давлении 0,2 МПа и температуре 15оС имеет объем 5 литров. Чему равен объем газа этой массы при нормальных условиях?

Задача 6
При температуре 27оС давление газа в закрытом сосуде было 75 кПа. Каким будет давление при температуре -13оС?

Задача 7
В баллоне находится газ под давлением.
Определить, какой объем занимал бы этот газ при нормальных условиях (t=0oC, давление 101 325 Па), если известны объем баллона – V1, температура газа в баллоне – t1, давление газа в баллоне – p1.
Задача 8
Определить давление сжатого воздуха в баллоне, если известны вместимость баллона, температура и масса газа.

Задача 9
В баллоне находится смесь газов (гелий и аргон). Определить давление смеси газов на стенки сосуда, если известны вместимость баллона, температура смеси и масса каждого газа.

Задача 10
Определить молярную массу газа, если известна его плотность и температура при нормальном атмосферном давлении.

Задача 11
Баллон заполнен газом, известны вместимость баллона – V1, температура газа – t1 и давление газа – p1. Какой объем занимал бы этот газ при нормальных условиях (температура t2=0oC, давление р2= 101 325 Па)?

Задача 12
Определить температуру газа по шкале Цельсия, если объем 4 молей газа при давлении 100 кПа составляет 20 литров.

Задача 13
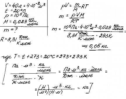
Определить массу воздуха объемом 40 литров при нормальном атмосферном давлении (101325 Па) и температуре 20oC.

class-fizika.ru
Примеры решения задач по теме «Равновесие твёрдых тел»
Примеры решения задач по теме «Равновесие твёрдых тел»
«Физика – 10 класс»
При решении задач статики надо использовать условия равновесия (7.9). Причём от векторного уравнения для суммы сил следует перейти к проекциям сил на координатные оси. Иногда удобнее решать задачу, используя геометрическое правило сложения векторов. При равновесии многоугольник сил должен быть замкнутым, так как сумма сил равна нулю (подобный пример будет рассмотрен ниже).
При записи для правила моментов сил надо подумать, как выбрать ось, чтобы плечи сил определялись наиболее просто и в сумме моментов сил содержалось меньше слагаемых.
В задачах часто рассматриваются стержни, которые скрепляются шарнирно. При этом имеется в виду, что трение в шарнире отсутствует.
Задача 1.
Груз висит на двух тросах (рис. 7.5, а). Угол АСВ равен 120°. Сила тяжести, действующая на груз, равна 600 Н. Определите силы натяжения тросов АС и СВ.
Р е ш е н и е.
Силы натяжения тросов обозначим через 1 и 2. Эти силы направлены вдоль тросов от точки С (рис. 7.5, б). Кроме этих сил, на точку С действует сила тяжести m. Точка С находится в равновесии. Следовательно, сумма сил, действующих на неё, равна нулю:
1 + 2 + m = 0.
Оси координат выберем так, как показано на рисунке (7.5, в). При равновесии сумма проекций всех сил на оси координат равна нулю:
T1x + T2х + mgх = 0, Т1у + Т2у + mgy = 0,
или
T1 – T1cos60° = 0, T1cos30° – mg = 0.
Отсюда
Т2 = T1cos60° ≈ 345 Н.
Задача 2.
Дверь люка АО, которая может поворачиваться в шарнире О без трения, удерживается в горизонтальном положении верёвкой (рис. 7.6, а). Определите натяжение верёвки и силу реакции шарнира, если верёвка образует с дверью угол α = 60°. Дверь однородна и на неё действует сила тяжести 300 Н.
>Р е ш е н и е.
На дверь люка действуют три силы (рис. 7.6, б): сила тяжести m, приложенная к середине двери в точке D, сила натяжения со стороны верёвки и сила реакции со стороны шарнира.
Выберем оси координат так, как показано на рисунке (7.6, б). Поскольку дверь находится в равновесии, то сумма моментов всех сил относительно, например, шарнира равна нулю: М1 + М + М2 = 0.
Здесь M1, М, М2 — моменты сил , m и . Найдём плечи этих сил, обозначив |АО| = l. Тогда OD = l/2 — плечо силы m, СО = AOsinα = lsinα — плечо силы . Плечо силы равно нулю, так как она приложена в шарнире.
Значит, М1 = -Tlsinα, М2 = 0.
Теперь запишем правило моментов сил, учитывая знаки этих моментов:
Отсюда находим силу натяжения верёвки:
Для нахождения силы реакции шарнира воспользуемся первым условием равновесия:
m + + =0.
Запишем это векторное уравнение в проекциях на координатные оси:
—Тх + Nx = 0, Ту + Ny – mg = 0,
или Nх = Тcosα,
Отсюда Nх = 86,5 H; Nхy = 150 H.
Модуль силы N равен
Угол, который образует сила с координатной осью OY:
Задача 3.
Лестница прислонена к стене. При каком минимальном угле наклона к полу она не будет падать? Коэффициенты трения между лестницей и стеной и между лестницей и полом соответственно равны μ1 и μ2.

Р е ш е н и е.
На лестницу действуют следующие силы (рис. 7.7): тяжести m, нормальной реакции со стороны стены 1 и пола 2, трения тр1 и тр2.
Первое условие равновесия для лестницы имеет вид
m + 1 + 2 + тр1 + тр2 = 0. (1)
Для записи правила моментов выберем ось вращения, проходящую через точку С, и запишем:
Из последнего уравнения следует:
Выразим силы N1 и Fтp1 через силу тяжести. Для этого запишем уравнение (1) в проекциях на оси координат:
на ось X: N1 – F.rp2 = О,
на ось Y: Fтp1 + N2 – mg = 0.
По условию задачи требуется найти минимальное значение угла amin, поэтому берём максимальные значения сил трения, т. е. Fтp1 = μ1N1, и Fтp2 = μ2N2
Тогда
Источник: «Физика – 10 класс», 2014, учебник Мякишев, Буховцев, Сотский
Статика – Физика, учебник для 10 класса – Класс!ная физика
Равновесие тел — Примеры решения задач по теме «Равновесие твёрдых тел»
class-fizika.ru
Изопроцессы. Примеры решения графических задач по физике. 10-11 класс
Изопроцессы. Примеры решения графических задач по физике. 10-11 класс
Задачи по физике – это просто!
Вспомним
Изопроцессы – это термодинамические процессы при неизменной массе и постоянном значении одного из параметров.
1. Изотерический процесс описывается законом Бойля-Мариотта.

Выше представлены изотермы (графики изменения параметров газа при изотермическом процессе) в разных координатных осях.
(х)1 – начальное состояние газа
(х)2 – последующее состояние газа
Стрелочкой на графике показывают направление перехода из состояния 1 в состояние 2.
2. Изобарный процесс описывается законом Гей-Люсака.
Ниже представлены изобары в разных координатных осях.

3. Изохорный процесс описывается законом Шарля.
Ниже представлены изохоры в разных координатных осях.

Не забываем
Решать задачи надо всегда в системе СИ!
А теперь к задачам!
Элементарные задачи из курса школьной физики по теродинамике на процессы в газах.
Задача 1
Задан процесс изменения состояния газа в координатах VОТ.
На каждом участке
1). Назвать процессы и указать законы, их описывающие, показать изенения макропарамметров газа.
2). Начертить графики изменения состояния газа в координатах pOT и pOV.

Задача 2
Задан процесс изменения состояния газа в координатах рОТ.
На каждом участке
1). Назвать процессы и указать законы, их описывающие, показать изменения макропараметров газа.
2). Начертить графики изменения состояния газа в координатах pOV и VOT.

Задача 3
Задан процесс изменения состояния газа в координатах VОТ.
На каждом участке
1). Назвать процессы и указать законы, их описывающие, показать изменения макропараметров газа.
2). Начертить графики изменения состояния газа в координатах pOT и pOV.

Задача 4
Задан процесс изменения состояния газа в координатах VОТ.
На каждом участке
1). Назвать процессы и указать законы, их описывающие, показать изменения макропараметров газа.
2). Начертить графики изменения состояния газа в координатах pOV и pOT.

class-fizika.ru
