ΠΠ°Π³Π½ΠΈΡΠ½ΡΠΉ ΠΏΠΎΡΠΎΠΊ
ΠΠ²ΡΠΎΡ: Π‘ΡΠ±Π±ΠΎΡΠΈΠ½ Π.Π.
ΠΠ° ΠΊΠ°ΡΡΠΈΠ½ΠΊΠ΅ ΠΏΠΎΠΊΠ°Π·Π°Π½ΠΎ ΠΎΠ΄Π½ΠΎΡΠΎΠ΄Π½ΠΎΠ΅ ΠΌΠ°Π³Π½ΠΈΡΠ½ΠΎΠ΅ ΠΏΠΎΠ»Π΅. ΠΠ΄Π½ΠΎΡΠΎΠ΄Π½ΠΎΠ΅ ΠΎΠ·Π½Π°ΡΠ°Π΅Ρ ΠΎΠ΄ΠΈΠ½Π°ΠΊΠΎΠ²ΠΎΠ΅ Π²ΠΎ Π²ΡΠ΅Ρ ΡΠΎΡΠΊΠ°Ρ Π² Π΄Π°Π½Π½ΠΎΠΌ ΠΎΠ±ΡΠ΅ΠΌΠ΅. Π ΠΏΠΎΠ»Π΅ ΠΏΠΎΠΌΠ΅ΡΠ΅Π½Π° ΠΏΠΎΠ²Π΅ΡΡ Π½ΠΎΡΡΡ Ρ ΠΏΠ»ΠΎΡΠ°Π΄ΡΡ S. ΠΠΈΠ½ΠΈΠΈ ΠΏΠΎΠ»Ρ ΠΏΠ΅ΡΠ΅ΡΠ΅ΠΊΠ°ΡΡ ΠΏΠΎΠ²Π΅ΡΡ Π½ΠΎΡΡΡ.
ΠΠΏΡΠ΅Π΄Π΅Π»Π΅Π½ΠΈΠ΅ ΠΌΠ°Π³Π½ΠΈΡΠ½ΠΎΠ³ΠΎ ΠΏΠΎΡΠΎΠΊΠ°:
ΠΠ°Π³Π½ΠΈΡΠ½ΡΠΌ ΠΏΠΎΡΠΎΠΊΠΎΠΌ Π€ ΡΠ΅ΡΠ΅Π· ΠΏΠΎΠ²Π΅ΡΡ Π½ΠΎΡΡΡ S Π½Π°Π·ΡΠ²Π°ΡΡ ΠΊΠΎΠ»ΠΈΡΠ΅ΡΡΠ²ΠΎ Π»ΠΈΠ½ΠΈΠΉ Π²Π΅ΠΊΡΠΎΡΠ° ΠΌΠ°Π³Π½ΠΈΡΠ½ΠΎΠΉ ΠΈΠ½Π΄ΡΠΊΡΠΈΠΈ B, ΠΏΡΠΎΡ ΠΎΠ΄ΡΡΠΈΡ ΡΠ΅ΡΠ΅Π· ΠΏΠΎΠ²Π΅ΡΡ Π½ΠΎΡΡΡ S.
Π€ΠΎΡΠΌΡΠ»Π° ΠΌΠ°Π³Π½ΠΈΡΠ½ΠΎΠ³ΠΎ ΠΏΠΎΡΠΎΠΊΠ°:
Π€ = BS cos Ξ±
Π·Π΄Π΅ΡΡ Ξ± – ΡΠ³ΠΎΠ» ΠΌΠ΅ΠΆΠ΄Ρ Π½Π°ΠΏΡΠ°Π²Π»Π΅Π½ΠΈΠ΅ΠΌ Π²Π΅ΠΊΡΠΎΡΠ° ΠΌΠ°Π³Π½ΠΈΡΠ½ΠΎΠΉ ΠΈΠ½Π΄ΡΠΊΡΠΈΠΈ B ΠΈ Π½ΠΎΡΠΌΠ°Π»ΡΡ ΠΊ ΠΏΠΎΠ²Π΅ΡΡ Π½ΠΎΡΡΠΈ S.
ΠΠ· ΡΠΎΡΠΌΡΠ»Ρ ΠΌΠ°Π³Π½ΠΈΡΠ½ΠΎΠ³ΠΎ ΠΏΠΎΡΠΎΠΊΠ° Π²ΠΈΠ΄Π½ΠΎ, ΡΡΠΎ ΠΌΠ°ΠΊΡΠΈΠΌΠ°Π»ΡΠ½ΡΠΌ ΠΌΠ°Π³Π½ΠΈΡΠ½ΡΠΉ ΠΏΠΎΡΠΎΠΊ Π±ΡΠ΄Π΅Ρ ΠΏΡΠΈ cos Ξ± = 1, Π° ΡΡΠΎ ΡΠ»ΡΡΠΈΡΡΡ, ΠΊΠΎΠ³Π΄Π° Π²Π΅ΠΊΡΠΎΡ B ΠΏΠ°ΡΠ°Π»Π»Π΅Π»Π΅Π½ Π½ΠΎΡΠΌΠ°Π»ΠΈ ΠΊ ΠΏΠΎΠ²Π΅ΡΡ Π½ΠΎΡΡΠΈ S. ΠΠΈΠ½ΠΈΠΌΠ°Π»ΡΠ½ΡΠΌ ΠΌΠ°Π³Π½ΠΈΡΠ½ΡΠΉ ΠΏΠΎΡΠΎΠΊ Π±ΡΠ΄Π΅Ρ ΠΏΡΠΈ cos Ξ± = 0, ΡΡΠΎ Π±ΡΠ΄Π΅Ρ, ΠΊΠΎΠ³Π΄Π° Π²Π΅ΠΊΡΠΎΡ B ΠΏΠ΅ΡΠΏΠ΅Π½Π΄ΠΈΠΊΡΠ»ΡΡΠ΅Π½ Π½ΠΎΡΠΌΠ°Π»ΠΈ ΠΊ ΠΏΠΎΠ²Π΅ΡΡ Π½ΠΎΡΡΠΈ S, Π²Π΅Π΄Ρ Π² ΡΡΠΎΠΌ ΡΠ»ΡΡΠ°Π΅ Π»ΠΈΠ½ΠΈΠΈ Π²Π΅ΠΊΡΠΎΡΠ° B Π±ΡΠ΄ΡΡ ΡΠΊΠΎΠ»ΡΠ·ΠΈΡΡ ΠΏΠΎ ΠΏΠΎΠ²Π΅ΡΡ Π½ΠΎΡΡΠΈ S, Π½Π΅ ΠΏΠ΅ΡΠ΅ΡΠ΅ΠΊΠ°Ρ Π΅Ρ.
Π ΠΏΠΎ ΠΎΠΏΡΠ΅Π΄Π΅Π»Π΅Π½ΠΈΡ ΠΌΠ°Π³Π½ΠΈΡΠ½ΠΎΠ³ΠΎ ΠΏΠΎΡΠΎΠΊΠ° ΡΡΠΈΡΡΠ²Π°ΡΡΡΡ ΡΠΎΠ»ΡΠΊΠΎ ΡΠ΅ Π»ΠΈΠ½ΠΈΠΈ Π²Π΅ΠΊΡΠΎΡΠ° ΠΌΠ°Π³Π½ΠΈΡΠ½ΠΎΠΉ ΠΈΠ½Π΄ΡΠΊΡΠΈΠΈ, ΠΊΠΎΡΠΎΡΡΠ΅ ΠΏΠ΅ΡΠ΅ΡΠ΅ΠΊΠ°ΡΡ Π΄Π°Π½Π½ΡΡ ΠΏΠΎΠ²Π΅ΡΡ Π½ΠΎΡΡΡ.
ΠΠ·ΠΌΠ΅ΡΡΠ΅ΡΡΡ ΠΌΠ°Π³Π½ΠΈΡΠ½ΡΠΉ ΠΏΠΎΡΠΎΠΊ Π² Π²Π΅Π±Π΅ΡΠ°Ρ (Π²ΠΎΠ»ΡΡ-ΡΠ΅ΠΊΡΠ½Π΄Π°Ρ ): 1 Π²Π± = 1 Π² * Ρ. ΠΡΠΎΠΌΠ΅ ΡΠΎΠ³ΠΎ, Π΄Π»Ρ ΠΈΠ·ΠΌΠ΅ΡΠ΅Π½ΠΈΡ ΠΌΠ°Π³Π½ΠΈΡΠ½ΠΎΠ³ΠΎ ΠΏΠΎΡΠΎΠΊΠ° ΠΏΡΠΈΠΌΠ΅Π½ΡΡΡ ΠΌΠ°ΠΊΡΠ²Π΅Π»Π»: 1 Π²Π± = 108Β ΠΌΠΊΡ. Π‘ΠΎΠΎΡΠ²Π΅ΡΡΡΠ²Π΅Π½Π½ΠΎ 1 ΠΌΠΊΡ = 10-8Β Π²Π±.
ΠΠ°Π³Π½ΠΈΡΠ½ΡΠΉ ΠΏΠΎΡΠΎΠΊ ΡΠ²Π»ΡΠ΅ΡΡΡ ΡΠΊΠ°Π»ΡΡΠ½ΠΎΠΉ Π²Π΅Π»ΠΈΡΠΈΠ½ΠΎΠΉ.
ΠΠΠΠ ΠΠΠ― ΠΠΠΠΠΠ’ΠΠΠΠ ΠΠΠΠ― Π’ΠΠΠ
ΠΠΎΠΊΡΡΠ³ ΠΏΡΠΎΠ²ΠΎΠ΄Π½ΠΈΠΊΠ° Ρ ΡΠΎΠΊΠΎΠΌ ΡΡΡΠ΅ΡΡΠ²ΡΠ΅Ρ ΠΌΠ°Π³Π½ΠΈΡΠ½ΠΎΠ΅ ΠΏΠΎΠ»Π΅, ΠΊΠΎΡΠΎΡΠΎΠ΅ ΠΎΠ±Π»Π°Π΄Π°Π΅Ρ ΡΠ½Π΅ΡΠ³ΠΈΠ΅ΠΉ. ΠΡΠΊΡΠ΄Π° ΠΎΠ½Π° Π±Π΅ΡΠ΅ΡΡΡ? ΠΡΡΠΎΡΠ½ΠΈΠΊ ΡΠΎΠΊΠ°, Π²ΠΊΠ»ΡΡΠ΅Π½Π½ΡΠΉ Π² ΡΠ».ΡΠ΅ΠΏΡ, ΠΎΠ±Π»Π°Π΄Π°Π΅Ρ Π·Π°ΠΏΠ°ΡΠΎΠΌ ΡΠ½Π΅ΡΠ³ΠΈΠΈ. Π ΠΌΠΎΠΌΠ΅Π½Ρ Π·Π°ΠΌΡΠΊΠ°Π½ΠΈΡ ΡΠ».ΡΠ΅ΠΏΠΈ ΠΈΡΡΠΎΡΠ½ΠΈΠΊ ΡΠΎΠΊΠ° ΡΠ°ΡΡ ΠΎΠ΄ΡΠ΅Ρ ΡΠ°ΡΡΡ ΡΠ²ΠΎΠ΅ΠΉ ΡΠ½Π΅ΡΠ³ΠΈΠΈ Π½Π° ΠΏΡΠ΅ΠΎΠ΄ΠΎΠ»Π΅Π½ΠΈΠ΅ Π΄Π΅ΠΉΡΡΠ²ΠΈΡ Π²ΠΎΠ·Π½ΠΈΠΊΠ°ΡΡΠ΅ΠΉ ΠΠΠ‘ ΡΠ°ΠΌΠΎΠΈΠ½Π΄ΡΠΊΡΠΈΠΈ. ΠΡΠ° ΡΠ°ΡΡΡ ΡΠ½Π΅ΡΠ³ΠΈΠΈ, Π½Π°Π·ΡΠ²Π°Π΅ΠΌΠ°Ρ ΡΠΎΠ±ΡΡΠ²Π΅Π½Π½ΠΎΠΉ ΡΠ½Π΅ΡΠ³ΠΈΠ΅ΠΉ ΡΠΎΠΊΠ°, ΠΈ ΠΈΠ΄Π΅Ρ Π½Π° ΠΎΠ±ΡΠ°Π·ΠΎΠ²Π°Π½ΠΈΠ΅ ΠΌΠ°Π³Π½ΠΈΡΠ½ΠΎΠ³ΠΎ ΠΏΠΎΠ»Ρ. ΠΠ½Π΅ΡΠ³ΠΈΡ ΠΌΠ°Π³Π½ΠΈΡΠ½ΠΎΠ³ΠΎ ΠΏΠΎΠ»Ρ ΡΠ°Π²Π½Π°Β ΡΠΎΠ±ΡΡΠ²Π΅Π½Π½ΠΎΠΉ ΡΠ½Π΅ΡΠ³ΠΈΠΈ ΡΠΎΠΊΠ°. Π‘ΠΎΠ±ΡΡΠ²Π΅Π½Π½Π°Ρ ΡΠ½Π΅ΡΠ³ΠΈΡ ΡΠΎΠΊΠ° ΡΠΈΡΠ»Π΅Π½Π½ΠΎ ΡΠ°Π²Π½Π° ΡΠ°Π±ΠΎΡΠ΅, ΠΊΠΎΡΠΎΡΡΡ Π΄ΠΎΠ»ΠΆΠ΅Π½ ΡΠΎΠ²Π΅ΡΡΠΈΡΡ ΠΈΡΡΠΎΡΠ½ΠΈΠΊ ΡΠΎΠΊΠ° Π΄Π»Ρ ΠΏΡΠ΅ΠΎΠ΄ΠΎΠ»Π΅Π½ΠΈΡ ΠΠΠ‘ ΡΠ°ΠΌΠΎΠΈΠ½Π΄ΡΠΊΡΠΈΠΈ, ΡΡΠΎΠ±Ρ ΡΠΎΠ·Π΄Π°ΡΡ ΡΠΎΠΊ Π² ΡΠ΅ΠΏΠΈ.
ΠΠ½Π΅ΡΠ³ΠΈΡ ΠΌΠ°Π³Π½ΠΈΡΠ½ΠΎΠ³ΠΎ ΠΏΠΎΠ»Ρ, ΡΠΎΠ·Π΄Π°Π½Π½ΠΎΠ³ΠΎ ΡΠΎΠΊΠΎΠΌ, ΠΏΡΡΠΌΠΎ ΠΏΡΠΎΠΏΠΎΡΡΠΈΠΎΠ½Π°Π»ΡΠ½Π° ΠΊΠ²Π°Π΄ΡΠ°ΡΡ ΡΠΈΠ»Ρ ΡΠΎΠΊΠ°. ΠΡΠ΄Π° ΠΏΡΠΎΠΏΠ°Π΄Π°Π΅Ρ ΡΠ½Π΅ΡΠ³ΠΈΡ ΠΌΠ°Π³Π½ΠΈΡΠ½ΠΎΠ³ΠΎ ΠΏΠΎΠ»Ρ ΠΏΠΎΡΠ»Π΅ ΠΏΡΠ΅ΠΊΡΠ°ΡΠ΅Π½ΠΈΡ ΡΠΎΠΊΠ°? – Π²ΡΠ΄Π΅Π»ΡΠ΅ΡΡΡ ( ΠΏΡΠΈ ΡΠ°Π·ΠΌΡΠΊΠ°Π½ΠΈΠΈ ΡΠ΅ΠΏΠΈ Ρ Π΄ΠΎΡΡΠ°ΡΠΎΡΠ½ΠΎ Π±ΠΎΠ»ΡΡΠΎΠΉ ΡΠΈΠ»ΠΎΠΉ ΡΠΎΠΊΠ° Π²ΠΎΠ·ΠΌΠΎΠΆΠ½ΠΎ Π²ΠΎΠ·Π½ΠΈΠΊΠ½ΠΎΠ²Π΅Π½ΠΈΠ΅ ΠΈΡΠΊΡΡ ΠΈΠ»ΠΈ Π΄ΡΠ³ΠΈ)
4.1. ΠΠ°ΠΊΠΎΠ½ ΡΠ»Π΅ΠΊΡΡΠΎΠΌΠ°Π³Π½ΠΈΡΠ½ΠΎΠΉ ΠΈΠ½Π΄ΡΠΊΡΠΈΠΈ. Π‘Π°ΠΌΠΎΠΈΠ½Π΄ΡΠΊΡΠΈΡ. ΠΠ½Π΄ΡΠΊΡΠΈΠ²Π½ΠΎΡΡΡ
ΠΡΠ½ΠΎΠ²Π½ΡΠ΅ ΡΠΎΡΠΌΡΠ»Ρ
Β·Β Β Β Β Β Β Β Β Β Β Β Β ΠΠ°ΠΊΠΎΠ½ ΡΠ»Π΅ΠΊΡΡΠΎΠΌΠ°Π³Π½ΠΈΡΠ½ΠΎΠΉ ΠΈΠ½Π΄ΡΠΊΡΠΈΠΈ (Π·Π°ΠΊΠΎΠ½ Π€Π°ΡΠ°Π΄Π΅Ρ):
, Β Β Β Β Β Β Β Β Β Β Β Β Β Β Β Β Β Β Β Β Β Β Β Β Β Β Β Β Β Β Β Β Β Β Β Β Β Β Β (39)
Π³Π΄Π΅Β βΒ ΡΠ΄ΡΒ ΠΈΠ½Π΄ΡΠΊΡΠΈΠΈ;β ΠΏΠΎΠ»Π½ΡΠΉ ΠΌΠ°Π³Π½ΠΈΡΠ½ΡΠΉ ΠΏΠΎΡΠΎΠΊ (ΠΏΠΎΡΠΎΠΊΠΎΡΡΠ΅ΠΏΠ»Π΅Π½ΠΈΠ΅).
Β·Β Β Β Β Β Β Β Β Β Β Β Β ΠΠ°Π³Π½ΠΈΡΠ½ΡΠΉ ΠΏΠΎΡΠΎΠΊ, ΡΠΎΠ·Π΄Π°Π²Π°Π΅ΠΌΡΠΉ ΡΠΎΠΊΠΎΠΌ Π² ΠΊΠΎΠ½ΡΡΡΠ΅,
,Β Β Β Β Β Β Β Β Β Β Β Β Β Β Β Β Β Β Β Β Β Β Β Β Β Β Β Β Β Β Β Β Β Β Β Β Β Β Β Β Β Β Β Β Β Β (40)
Π³Π΄Π΅Β Β β ΠΈΠ½Π΄ΡΠΊΡΠΈΠ²Π½ΠΎΡΡΡ ΠΊΠΎΠ½ΡΡΡΠ°;β ΡΠΈΠ»Π° ΡΠΎΠΊΠ°.
Β·Β Β Β Β Β Β Β Β Β Β Β Β ΠΠ°ΠΊΠΎΠ½ Π€Π°ΡΠ°Π΄Π΅Ρ ΠΏΡΠΈΠΌΠ΅Π½ΠΈΡΠ΅Π»ΡΠ½ΠΎ ΠΊ ΡΠ°ΠΌΠΎΠΈΠ½Π΄ΡΠΊΡΠΈΠΈ
.Β Β Β Β Β Β Β Β Β Β Β Β Β Β Β Β Β Β Β Β Β Β Β Β Β Β Β Β Β Β Β Β Β Β Β Β Β Β Β Β Β Β Β (41)
Β·Β Β Β Β Β Β Β Β Β Β Β Β ΠΠ΄ΡΒ ΠΈΠ½Π΄ΡΠΊΡΠΈΠΈ,Β Π²ΠΎΠ·Π½ΠΈΠΊΠ°ΡΡΠ°ΡΒ ΠΏΡΠΈ Π²ΡΠ°ΡΠ΅Π½ΠΈΠΈ ΡΠ°ΠΌΠΊΠΈ Ρ ΡΠΎΠΊΠΎΠΌ Π² ΠΌΠ°Π³Π½ΠΈΡΠ½ΠΎΠΌ ΠΏΠΎΠ»Π΅,
,Β Β Β Β Β Β Β Β Β Β Β Β Β Β Β Β Β Β Β Β Β Β Β Β Β Β Β Β Β Β Β Β Β Β Β Β Β Β Β Β (42)
Π³Π΄Π΅Β β ΠΈΠ½Π΄ΡΠΊΡΠΈΡ ΠΌΠ°Π³Π½ΠΈΡΠ½ΠΎΠ³ΠΎ ΠΏΠΎΠ»Ρ;β ΠΏΠ»ΠΎΡΠ°Π΄Ρ ΡΠ°ΠΌΠΊΠΈ;β ΡΠ³Π»ΠΎΠ²Π°Ρ ΡΠΊΠΎΡΠΎΡΡΡ Π²ΡΠ°ΡΠ΅Π½ΠΈΡ.
Β·Β Β Β Β Β Β Β Β Β Β Β Β ΠΠ½Π΄ΡΠΊΡΠΈΠ²Π½ΠΎΡΡΡ ΡΠΎΠ»Π΅Π½ΠΎΠΈΠ΄Π°
,Β Β Β Β Β Β Β Β Β Β Β Β Β Β Β Β Β Β Β Β Β Β Β Β Β Β Β Β Β Β Β Β Β Β Β Β Β Β Β Β Β Β Β Β (43)
Π³Π΄Π΅Β β ΠΌΠ°Π³Π½ΠΈΡΠ½Π°Ρ ΠΏΠΎΡΡΠΎΡΠ½Π½Π°Ρ;β ΠΌΠ°Π³Π½ΠΈΡΠ½Π°Ρ ΠΏΡΠΎΠ½ΠΈΡΠ°Π΅ΠΌΠΎΡΡΡ Π²Π΅ΡΠ΅ΡΡΠ²Π°;β ΡΠΈΡΠ»ΠΎ Π²ΠΈΡΠΊΠΎΠ² ΡΠΎΠ»Π΅Π½ΠΎΠΈΠ΄Π°;β ΠΏΠ»ΠΎΡΠ°Π΄Ρ ΡΠ΅ΡΠ΅Π½ΠΈΡ Π²ΠΈΡΠΊΠ°;β Π΄Π»ΠΈΠ½Π° ΡΠΎΠ»Π΅Π½ΠΎΠΈΠ΄Π°.
Β·Β Β Β Β Β Β Β Β Β Β Β Β Π‘ΠΈΠ»Π° ΡΠΎΠΊΠ° ΠΏΡΠΈ ΡΠ°Π·ΠΌΡΠΊΠ°Π½ΠΈΠΈ ΡΠ΅ΠΏΠΈ
Β ,Β Β Β Β Β Β Β Β Β Β Β Β Β Β Β Β Β Β Β Β Β Β Β Β Β Β Β Β Β Β Β Β Β Β Β Β Β Β Β Β Β Β Β (44)
Π³Π΄Π΅Β β ΡΡΡΠ°Π½ΠΎΠ²ΠΈΠ²ΡΠ°ΡΡΡ Π² ΡΠ΅ΠΏΠΈ ΡΠΈΠ»Π° ΡΠΎΠΊΠ°;β ΠΈΠ½Π΄ΡΠΊΡΠΈΠ²Π½ΠΎΡΡΡ ΠΊΠΎΠ½ΡΡΡΠ°,β ΡΠΎΠΏΡΠΎΡΠΈΠ²Π»Π΅Π½ΠΈΠ΅ ΠΊΠΎΠ½ΡΡΡΠ°;β Π²ΡΠ΅ΠΌΡ ΡΠ°Π·ΠΌΡΠΊΠ°Π½ΠΈΡ.
Β·Β Β Β Β Β Β Β Β Β Β Β Β Π‘ΠΈΠ»Π° ΡΠΎΠΊΠ° ΠΏΡΠΈ Π·Π°ΠΌΡΠΊΠ°Π½ΠΈΠΈ ΡΠ΅ΠΏΠΈ
. Β Β Β Β Β Β Β Β Β Β Β Β Β Β Β Β Β Β Β Β Β Β Β Β Β Β Β Β Β Β Β Β Β Β Β Β Β Β Β Β (45)
Β·Β Β Β Β Β Β Β Β Β Β Β Β ΠΡΠ΅ΠΌΡ ΡΠ΅Π»Π°ΠΊΡΠ°ΡΠΈΠΈ
.Β Β Β Β Β Β Β Β Β Β Β Β Β Β Β Β Β Β Β Β Β Β Β Β Β Β Β Β Β Β Β Β Β Β Β Β Β Β Β Β Β Β Β Β Β Β Β Β Β (46)
ΠΡΠΈΠΌΠ΅ΡΡ ΡΠ΅ΡΠ΅Π½ΠΈΡ Π·Π°Π΄Π°Ρ
ΠΡΠΈΠΌΠ΅Ρ 1.
ΠΠ°Π³Π½ΠΈΡΠ½ΠΎΠ΅ ΠΏΠΎΠ»Π΅ ΠΈΠ·ΠΌΠ΅Π½ΡΠ΅ΡΡΡ ΠΏΠΎ Π·Π°ΠΊΠΎΠ½ΡΒ , Π³Π΄Π΅= 15 ΠΌΠ’Π»,.Β Π ΠΌΠ°Π³Π½ΠΈΡΠ½ΠΎΠ΅ ΠΏΠΎΠ»Π΅ ΠΏΠΎΠΌΠ΅ΡΠ΅Π½ ΠΊΡΡΠ³ΠΎΠ²ΠΎΠΉ ΠΏΡΠΎΠ²ΠΎΠ΄ΡΡΠΈΠΉ Π²ΠΈΡΠΎΠΊ ΡΠ°Π΄ΠΈΡΡΠΎΠΌΒ =Β 20 ΡΠΌΒ ΠΏΠΎΠ΄ ΡΠ³Π»ΠΎΠΌΠΊ Π½Π°ΠΏΡΠ°Π²Π»Π΅Π½ΠΈΡ ΠΏΠΎΠ»Ρ (Π² Π½Π°ΡΠ°Π»ΡΠ½ΡΠΉ ΠΌΠΎΠΌΠ΅Π½Ρ Π²ΡΠ΅ΠΌΠ΅Π½ΠΈ). ΠΠ°ΠΉΡΠΈΒ ΡΠ΄ΡΒ ΠΈΠ½Π΄ΡΠΊΡΠΈΠΈ,Β Π²ΠΎΠ·Π½ΠΈΠΊΠ°ΡΡΡΡΒ Π² Π²ΠΈΡΠΊΠ΅ Π² ΠΌΠΎΠΌΠ΅Π½Ρ Π²ΡΠ΅ΠΌΠ΅Π½ΠΈ= 5 Ρ.
Π Π΅ΡΠ΅Π½ΠΈΠ΅
ΠΠΎ Π·Π°ΠΊΠΎΠ½Ρ ΡΠ»Π΅ΠΊΡΡΠΎΠΌΠ°Π³Π½ΠΈΡΠ½ΠΎΠΉ ΠΈΠ½Π΄ΡΠΊΡΠΈΠΈΒ Π²ΠΎΠ·Π½ΠΈΠΊΠ°ΡΡΠ°ΡΒ Π² Π²ΠΈΡΠΊΠ΅Β ΡΠ΄ΡΒ ΠΈΠ½Π΄ΡΠΊΡΠΈΠΈΒ , Π³Π΄Π΅β Β ΠΌΠ°Π³Π½ΠΈΡΠ½ΡΠΉ ΠΏΠΎΡΠΎΠΊ, ΡΡΠ΅ΠΏΠ»Π΅Π½Π½ΡΠΉ Π² Π²ΠΈΡΠΊΠ΅.
,
Π³Π΄Π΅Β β ΠΏΠ»ΠΎΡΠ°Π΄Ρ Π²ΠΈΡΠΊΠ°,;βΒ ΡΠ³ΠΎΠ» ΠΌΠ΅ΠΆΠ΄Ρ Π½Π°ΠΏΡΠ°Π²Π»Π΅Π½ΠΈΠ΅ΠΌ Π²Π΅ΠΊΡΠΎΡΠ° ΠΌΠ°Π³Π½ΠΈΡΠ½ΠΎΠΉ ΠΈΠ½Π΄ΡΠΊΡΠΈΠΈΠΈ Π½ΠΎΡΠΌΠ°Π»ΡΡ ΠΊ ΠΊΠΎΠ½ΡΡΡΡ:.
.
ΠΠΎΠ΄ΡΡΠ°Π²ΠΈΠΌ ΡΠΈΡΠ»ΠΎΠ²ΡΠ΅ Π·Π½Π°ΡΠ΅Π½ΠΈΡ:Β = 15 ΠΌΠ’Π»,,=Β 20 ΡΠΌΒ =Β Β =Β 0,2 ΠΌ,.
ΠΡΡΠΈΡΠ»Π΅Π½ΠΈΡ Π΄Π°ΡΡΒ .
Β ΠΡΠΈΠΌΠ΅Ρ 2 Π ΠΎΠ΄Π½ΠΎΡΠΎΠ΄Π½ΠΎΠΌ ΠΌΠ°Π³Π½ΠΈΡΠ½ΠΎΠΌ ΠΏΠΎΠ»Π΅ Ρ ΠΈΠ½Π΄ΡΠΊΡΠΈΠ΅ΠΉΒ = 0,2 Π’Π» ΡΠ°ΡΠΏΠΎΠ»ΠΎΠΆΠ΅Π½Π° ΠΏΡΡΠΌΠΎΡΠ³ΠΎΠ»ΡΠ½Π°Ρ ΡΠ°ΠΌΠΊΠ°, ΠΏΠΎΠ΄Π²ΠΈΠΆΠ½Π°Ρ ΡΡΠΎΡΠΎΠ½Π° ΠΊΠΎΡΠΎΡΠΎΠΉ Π΄Π»ΠΈΠ½ΠΎΠΉ=Β 0,2 ΠΌΒ ΠΏΠ΅ΡΠ΅ΠΌΠ΅ΡΠ°Π΅ΡΡΡ ΡΠΎ ΡΠΊΠΎΡΠΎΡΡΡΡ= 25 ΠΌ/ΡΒ ΠΏΠ΅ΡΠΏΠ΅Π½Π΄ΠΈΠΊΡΠ»ΡΡΠ½ΠΎΒ Π»ΠΈΠ½ΠΈΡΠΌΒ ΠΈΠ½Π΄ΡΠΊΡΠΈΠΈ ΠΏΠΎΠ»Ρ (ΡΠΈΡ. 42). ΠΠΏΡΠ΅Π΄Π΅Π»ΠΈΡΡΒ ΡΠ΄ΡΒ ΠΈΠ½Π΄ΡΠΊΡΠΈΠΈ,Β Π²ΠΎΠ·Π½ΠΈΠΊΠ°ΡΡΡΡΒ Π² ΠΊΠΎΠ½ΡΡΡΠ΅. Π Π΅ΡΠ΅Π½ΠΈΠ΅ ΠΡΠΈ Π΄Π²ΠΈΠΆΠ΅Π½ΠΈΠΈ ΠΏΡΠΎΠ²ΠΎΠ΄Π½ΠΈΠΊΠ° ΠΠ Π² ΠΌΠ°Π³Π½ΠΈΡΠ½ΠΎΠΌ ΠΏΠΎΠ»Π΅ ΠΏΠ»ΠΎΡΠ°Π΄Ρ ΡΠ°ΠΌΠΊΠΈ ΡΠ²Π΅Π»ΠΈΡΠΈΠ²Π°Π΅ΡΡΡ, ΡΠ»Π΅Π΄ΠΎΠ²Π°ΡΠ΅Π»ΡΠ½ΠΎ, Π²ΠΎΠ·ΡΠ°ΡΡΠ°Π΅Ρ ΠΌΠ°Π³Π½ΠΈΡΠ½ΡΠΉ ΠΏΠΎΡΠΎΠΊ ΡΠΊΠ²ΠΎΠ·Ρ ΡΠ°ΠΌΠΊΡ ΠΈ Π²ΠΎΠ·Π½ΠΈΠΊΠ°Π΅ΡΒ ΡΠ΄ΡΒ ΠΈΠ½Π΄ΡΠΊΡΠΈΠΈ. |
ΠΠΎ Π·Π°ΠΊΠΎΠ½Ρ Π€Π°ΡΠ°Π΄Π΅ΡΒ , Β Π³Π΄Π΅, ΡΠΎΠ³Π΄Π°, Π½ΠΎ, ΠΏΠΎΡΡΠΎΠΌΡ.
Π’Π°ΠΊ,Β .
ΠΠ½Π°ΠΊ Β«β» показΡΠ²Π°Π΅Ρ, ΡΡΠΎΒ ΡΠ΄ΡΒ ΠΈΠ½Π΄ΡΠΊΡΠΈΠΈ ΠΈ ΠΈΠ½Π΄ΡΠΊΡΠΈΠΎΠ½Π½ΡΠΉ ΡΠΎΠΊ Π½Π°ΠΏΡΠ°Π²Π»Π΅Π½Ρ ΠΏΡΠΎΡΠΈΠ² ΡΠ°ΡΠΎΠ²ΠΎΠΉ ΡΡΡΠ΅Π»ΠΊΠΈ.
Β
Π‘ΠΠΠΠΠΠΠ£ΠΠ¦ΠΠ―
ΠΠ°ΠΆΠ΄ΡΠΉ ΠΏΡΠΎΠ²ΠΎΠ΄Π½ΠΈΠΊ, ΠΏΠΎ ΠΊΠΎΡΠΎΡΠΎΠΌΡ ΠΏΡΠΎΡΠ΅ΠΊΠ°Π΅Ρ ΡΠ».ΡΠΎΠΊ, Π½Π°Ρ ΠΎΠ΄ΠΈΡΡΡ Π² ΡΠΎΠ±ΡΡΠ²Π΅Π½Π½ΠΎΠΌ ΠΌΠ°Π³Π½ΠΈΡΠ½ΠΎΠΌ ΠΏΠΎΠ»Π΅.
ΠΡΠΈ ΠΈΠ·ΠΌΠ΅Π½Π΅Π½ΠΈΠΈ ΡΠΈΠ»Ρ ΡΠΎΠΊΠ° Π² ΠΏΡΠΎΠ²ΠΎΠ΄Π½ΠΈΠΊΠ΅ ΠΌΠ΅Π½ΡΠ΅ΡΡΡ ΠΌ.ΠΏΠΎΠ»Π΅, Ρ.Π΅. ΠΈΠ·ΠΌΠ΅Π½ΡΠ΅ΡΡΡ ΠΌΠ°Π³Π½ΠΈΡΠ½ΡΠΉ ΠΏΠΎΡΠΎΠΊ, ΡΠΎΠ·Π΄Π°Π²Π°Π΅ΠΌΡΠΉ ΡΡΠΈΠΌ ΡΠΎΠΊΠΎΠΌ. ΠΠ·ΠΌΠ΅Π½Π΅Π½ΠΈΠ΅ ΠΌΠ°Π³Π½ΠΈΡΠ½ΠΎΠ³ΠΎ ΠΏΠΎΡΠΎΠΊΠ° Π²Π΅Π΄Π΅Ρ Π² Π²ΠΎΠ·Π½ΠΈΠΊΠ½ΠΎΠ²Π΅Π½ΠΈΡ Π²ΠΈΡ ΡΠ΅Π²ΠΎΠ³ΠΎ ΡΠ».ΠΏΠΎΠ»Ρ ΠΈ Π² ΡΠ΅ΠΏΠΈ ΠΏΠΎΡΠ²Π»ΡΠ΅ΡΡΡ ΠΠΠ‘ ΠΈΠ½Π΄ΡΠΊΡΠΈΠΈ.Β ΠΡΠΎ ΡΠ²Π»Π΅Π½ΠΈΠ΅ Π½Π°Π·ΡΠ²Π°Π΅ΡΡΡ ΡΠ°ΠΌΠΎΠΈΠ½Π΄ΡΠΊΡΠΈΠ΅ΠΉ.Π‘Π°ΠΌΠΎΠΈΠ½Π΄ΡΠΊΡΠΈΡΒ – ΡΠ²Π»Π΅Π½ΠΈΠ΅ Π²ΠΎΠ·Π½ΠΈΠΊΠ½ΠΎΠ²Π΅Π½ΠΈΡ ΠΠΠ‘ ΠΈΠ½Π΄ΡΠΊΡΠΈΠΈ Π² ΡΠ».ΡΠ΅ΠΏΠΈ Π² ΡΠ΅Π·ΡΠ»ΡΡΠ°ΡΠ΅ ΠΈΠ·ΠΌΠ΅Π½Π΅Π½ΠΈΡ ΡΠΈΠ»Ρ ΡΠΎΠΊΠ°. ΠΠΎΠ·Π½ΠΈΠΊΠ°ΡΡΠ°Ρ ΠΏΡΠΈ ΡΡΠΎΠΌ ΠΠΠ‘ Π½Π°Π·ΡΠ²Π°Π΅ΡΡΡΒ ΠΠΠ‘ ΡΠ°ΠΌΠΎΠΈΠ½Π΄ΡΠΊΡΠΈΠΈ
ΠΡΠΎΡΠ²Π»Π΅Π½ΠΈΠ΅ ΡΠ²Π»Π΅Π½ΠΈΡ ΡΠ°ΠΌΠΎΠΈΠ½Π΄ΡΠΊΡΠΈΠΈ
ΠΠ°ΠΌΡΠΊΠ°Π½ΠΈΠ΅ ΡΠ΅ΠΏΠΈ ΠΡΠΈ Π·Π°ΠΌΡΠΊΠ°Π½ΠΈΠΈ Π² ΡΠ».ΡΠ΅ΠΏΠΈ Π½Π°ΡΠ°ΡΡΠ°Π΅Ρ ΡΠΎΠΊ, ΡΡΠΎ Π²ΡΠ·ΡΠ²Π°Π΅Ρ Π² ΠΊΠ°ΡΡΡΠΊΠ΅ ΡΠ²Π΅Π»ΠΈΡΠ΅Π½ΠΈΠ΅ ΠΌΠ°Π³Π½ΠΈΡΠ½ΠΎΠ³ΠΎ ΠΏΠΎΡΠΎΠΊΠ°, Π²ΠΎΠ·Π½ΠΈΠΊΠ°Π΅Ρ Π²ΠΈΡ ΡΠ΅Π²ΠΎΠ΅ ΡΠ».ΠΏΠΎΠ»Π΅, Π½Π°ΠΏΡΠ°Π²Π»Π΅Π½Π½ΠΎΠ΅ ΠΏΡΠΎΡΠΈΠ² ΡΠΎΠΊΠ°, Ρ.Π΅. Π² ΠΊΠ°ΡΡΡΠΊΠ΅ Π²ΠΎΠ·Π½ΠΈΠΊΠ°Π΅Ρ ΠΠΠ‘ ΡΠ°ΠΌΠΎΠΈΠ½Π΄ΡΠΊΡΠΈΠΈ, ΠΏΡΠ΅ΠΏΡΡΡΡΠ²ΡΡΡΠ°Ρ Π½Π°ΡΠ°ΡΡΠ°Π½ΠΈΡ ΡΠΎΠΊΠ° Π² ΡΠ΅ΠΏΠΈ ( Π²ΠΈΡ ΡΠ΅Π²ΠΎΠ΅ ΠΏΠΎΠ»Π΅ ΡΠΎΡΠΌΠΎΠ·ΠΈΡ ΡΠ»Π΅ΠΊΡΡΠΎΠ½Ρ). Π ΡΠ΅Π·ΡΠ»ΡΡΠ°ΡΠ΅
Π Π°Π·ΠΌΡΠΊΠ°Π½ΠΈΠ΅ ΡΠ΅ΠΏΠΈ ΠΡΠΈ ΡΠ°Π·ΠΌΡΠΊΠ°Π½ΠΈΠΈ ΡΠ».ΡΠ΅ΠΏΠΈ ΡΠΎΠΊ ΡΠ±ΡΠ²Π°Π΅Ρ, Π²ΠΎΠ·Π½ΠΈΠΊΠ°Π΅Ρ ΡΠΌΠ΅Π½ΡΡΠ΅Π½ΠΈΠ΅ ΠΌ.ΠΏΠΎΡΠΎΠΊΠ° Π² ΠΊΠ°ΡΡΡΠΊΠ΅, Π²ΠΎΠ·Π½ΠΈΠΊΠ°Π΅Ρ Π²ΠΈΡ ΡΠ΅Π²ΠΎΠ΅ ΡΠ».ΠΏΠΎΠ»Π΅, Π½Π°ΠΏΡΠ°Π²Π»Π΅Π½Π½ΠΎΠ΅ ΠΊΠ°ΠΊ ΡΠΎΠΊ ( ΡΡΡΠ΅ΠΌΡΡΠ΅Π΅ΡΡ ΡΠΎΡ ΡΠ°Π½ΠΈΡΡ ΠΏΡΠ΅ΠΆΠ½ΡΡ ΡΠΈΠ»Ρ ΡΠΎΠΊΠ°) , Ρ.Π΅. Π² ΠΊΠ°ΡΡΡΠΊΠ΅ Π²ΠΎΠ·Π½ΠΈΠΊΠ°Π΅Ρ ΠΠΠ‘ ΡΠ°ΠΌΠΎΠΈΠ½Π΄ΡΠΊΡΠΈΠΈ, ΠΏΠΎΠ΄Π΄Π΅ΡΠΆΠΈΠ²Π°ΡΡΠ°Ρ ΡΠΎΠΊ Π² ΡΠ΅ΠΏΠΈ. Π ΡΠ΅Π·ΡΠ»ΡΡΠ°ΡΠ΅ Π ΠΏΡΠΈ Π²ΡΠΊΠ»ΡΡΠ΅Π½ΠΈΠΈΒ ΡΡΠΊΠΎ Π²ΡΠΏΡΡ ΠΈΠ²Π°Π΅Ρ. ΠΡΠ²ΠΎΠ΄ Π² ΡΠ»Π΅ΠΊΡΡΠΎΡΠ΅Ρ Π½ΠΈΠΊΠ΅ ΡΠ²Π»Π΅Π½ΠΈΠ΅ ΡΠ°ΠΌΠΎΠΈΠ½Π΄ΡΠΊΡΠΈΠΈ ΠΏΡΠΎΡΠ²Π»ΡΠ΅ΡΡΡ ΠΏΡΠΈ Π·Π°ΠΌΡΠΊΠ°Π½ΠΈΠΈ ΡΠ΅ΠΏΠΈ (ΡΠ».ΡΠΎΠΊ Π½Π°ΡΠ°ΡΡΠ°Π΅Ρ ΠΏΠΎΡΡΠ΅ΠΏΠ΅Π½Π½ΠΎ) ΠΈ ΠΏΡΠΈ ΡΠ°Π·ΠΌΡΠΊΠ°Π½ΠΈΠΈ ΡΠ΅ΠΏΠΈ (ΡΠ».ΡΠΎΠΊ ΠΏΡΠΎΠΏΠ°Π΄Π°Π΅Ρ Π½Π΅ ΡΡΠ°Π·Ρ).
ΠΠΠΠ£ΠΠ’ΠΠΠΠΠ‘Π’Π¬
ΠΡ ΡΠ΅Π³ΠΎ Π·Π°Π²ΠΈΡΠΈΡ ΠΠΠ‘ ΡΠ°ΠΌΠΎΠΈΠ½Π΄ΡΠΊΡΠΈΠΈ?Β ΠΠ».ΡΠΎΠΊ ΡΠΎΠ·Π΄Π°Π΅Ρ ΡΠΎΠ±ΡΡΠ²Π΅Π½Π½ΠΎΠ΅ ΠΌΠ°Π³Π½ΠΈΡΠ½ΠΎΠ΅ ΠΏΠΎΠ»Π΅ . ΠΠ°Π³Π½ΠΈΡΠ½ΡΠΉ ΠΏΠΎΡΠΎΠΊ ΡΠ΅ΡΠ΅Π· ΠΊΠΎΠ½ΡΡΡ ΠΏΡΠΎΠΏΠΎΡΡΠΈΠΎΠ½Π°Π»Π΅Π½ ΠΈΠ½Π΄ΡΠΊΡΠΈΠΈ ΠΌΠ°Π³Π½ΠΈΡΠ½ΠΎΠ³ΠΎ ΠΏΠΎΠ»Ρ (Π€ ~ B), ΠΈΠ½Π΄ΡΠΊΡΠΈΡ ΠΏΡΠΎΠΏΠΎΡΡΠΈΠΎΠ½Π°Π»ΡΠ½Π° ΡΠΈΠ»Π΅ ΡΠΎΠΊΠ° Π² ΠΏΡΠΎΠ²ΠΎΠ΄Π½ΠΈΠΊΠ΅ (B ~ I), ΡΠ»Π΅Π΄ΠΎΠ²Π°ΡΠ΅Π»ΡΠ½ΠΎ ΠΌΠ°Π³Π½ΠΈΡΠ½ΡΠΉ ΠΏΠΎΡΠΎΠΊ ΠΏΡΠΎΠΏΠΎΡΡΠΈΠΎΠ½Π°Π»Π΅Π½ ΡΠΈΠ»Π΅ ΡΠΎΠΊΠ° (Π€ ~ I). ΠΠΠ‘ ΡΠ°ΠΌΠΎΠΈΠ½Π΄ΡΠΊΡΠΈΠΈ Π·Π°Π²ΠΈΡΠΈΡ ΠΎΡ ΡΠΊΠΎΡΠΎΡΡΠΈ ΠΈΠ·ΠΌΠ΅Π½Π΅Π½ΠΈΡ ΡΠΈΠ»Ρ ΡΠΎΠΊΠ° Π² ΡΠ».ΡΠ΅ΠΏΠΈ, ΠΎΡ ΡΠ²ΠΎΠΉΡΡΠ² ΠΏΡΠΎΠ²ΠΎΠ΄Π½ΠΈΠΊΠ°Β (ΡΠ°Π·ΠΌΠ΅ΡΠΎΠ² ΠΈ ΡΠΎΡΠΌΡ) ΠΈ ΠΎΡ ΠΎΡΠ½ΠΎΡΠΈΡΠ΅Π»ΡΠ½ΠΎΠΉ ΠΌΠ°Π³Π½ΠΈΡΠ½ΠΎΠΉ ΠΏΡΠΎΠ½ΠΈΡΠ°Π΅ΠΌΠΎΡΡΠΈ ΡΡΠ΅Π΄Ρ, Π² ΠΊΠΎΡΠΎΡΠΎΠΉ Π½Π°Ρ ΠΎΠ΄ΠΈΡΡΡ ΠΏΡΠΎΠ²ΠΎΠ΄Π½ΠΈΠΊ. Π€ΠΈΠ·ΠΈΡΠ΅ΡΠΊΠ°Ρ Π²Π΅Π»ΠΈΡΠΈΠ½Π°, ΠΏΠΎΠΊΠ°Π·ΡΠ²Π°ΡΡΠ°Ρ Π·Π°Π²ΠΈΡΠΈΠΌΠΎΡΡΡ ΠΠΠ‘ ΡΠ°ΠΌΠΎΠΈΠ½Π΄ΡΠΊΡΠΈΠΈ ΠΎΡ ΡΠ°Π·ΠΌΠ΅ΡΠΎΠ² ΠΈ ΡΠΎΡΠΌΡ ΠΏΡΠΎΠ²ΠΎΠ΄Π½ΠΈΠΊΠ° ΠΈ ΠΎΡ ΡΡΠ΅Π΄Ρ, Π² ΠΊΠΎΡΠΎΡΠΎΠΉ Π½Π°Ρ ΠΎΠ΄ΠΈΡΡΡ ΠΏΡΠΎΠ²ΠΎΠ΄Π½ΠΈΠΊ, Π½Π°Π·ΡΠ²Π°Π΅ΡΡΡ ΠΊΠΎΡΡΡΠΈΡΠΈΠ΅Π½ΡΠΎΠΌ ΡΠ°ΠΌΠΎΠΈΠ½Π΄ΡΠΊΡΠΈΠΈ ΠΈΠ»ΠΈ ΠΈΠ½Π΄ΡΠΊΡΠΈΠ²Π½ΠΎΡΡΡΡ. ΠΠ½Π΄ΡΠΊΡΠΈΠ²Π½ΠΎΡΡΡΒ – ΡΠΈΠ·. Π²Π΅Π»ΠΈΡΠΈΠ½Π°, ΡΠΈΡΠ»Π΅Π½Π½ΠΎ ΡΠ°Π²Π½Π°Ρ ΠΠΠ‘ ΡΠ°ΠΌΠΎΠΈΠ½Π΄ΡΠΊΡΠΈΠΈ, Π²ΠΎΠ·Π½ΠΈΠΊΠ°ΡΡΠ΅ΠΉ Π² ΠΊΠΎΠ½ΡΡΡΠ΅ ΠΏΡΠΈ ΠΈΠ·ΠΌΠ΅Π½Π΅Π½ΠΈΠΈ ΡΠΈΠ»Ρ ΡΠΎΠΊΠ° Π½Π° 1ΠΠΌΠΏΠ΅Ρ Π·Π° 1 ΡΠ΅ΠΊΡΠ½Π΄Ρ. Π’Π°ΠΊΠΆΠ΅ ΠΈΠ½Π΄ΡΠΊΡΠΈΠ²Π½ΠΎΡΡΡ ΠΌΠΎΠΆΠ½ΠΎ ΡΠ°ΡΡΡΠΈΡΠ°ΡΡ ΠΏΠΎ ΡΠΎΡΠΌΡΠ»Π΅:
Π³Π΄Π΅ Π€ – ΠΌΠ°Π³Π½ΠΈΡΠ½ΡΠΉ ΠΏΠΎΡΠΎΠΊ ΡΠ΅ΡΠ΅Π· ΠΊΠΎΠ½ΡΡΡ, I – ΡΠΈΠ»Π° ΡΠΎΠΊΠ° Π² ΠΊΠΎΠ½ΡΡΡΠ΅.
ΠΠ΄ΠΈΠ½ΠΈΡΡ ΠΈΠ·ΠΌΠ΅ΡΠ΅Π½ΠΈΡ ΠΈΠ½Π΄ΡΠΊΡΠΈΠ²Π½ΠΎΡΡΠΈΒ Π² ΡΠΈΡΡΠ΅ΠΌΠ΅ Π‘Π:
ΠΠ½Π΄ΡΠΊΡΠΈΠ²Π½ΠΎΡΡΡ ΠΊΠ°ΡΡΡΠΊΠΈ Π·Π°Π²ΠΈΡΠΈΡ ΠΎΡ: ΡΠΈΡΠ»Π° Π²ΠΈΡΠΊΠΎΠ², ΡΠ°Π·ΠΌΠ΅ΡΠΎΠ² ΠΈ ΡΠΎΡΠΌΡ ΠΊΠ°ΡΡΡΠΊΠΈ ΠΈ ΠΎΡ ΠΎΡΠ½ΠΎΡΠΈΡΠ΅Π»ΡΠ½ΠΎΠΉ ΠΌΠ°Π³Π½ΠΈΡΠ½ΠΎΠΉ ΠΏΡΠΎΠ½ΠΈΡΠ°Π΅ΠΌΠΎΡΡΠΈ ΡΡΠ΅Π΄ΡΒ ( Π²ΠΎΠ·ΠΌΠΎΠΆΠ΅Π½ ΡΠ΅ΡΠ΄Π΅ΡΠ½ΠΈΠΊ).
ΠΠΠ‘ Π‘ΠΠΠΠΠΠΠ£ΠΠ¦ΠΠ
ΠΠΠ‘ ΡΠ°ΠΌΠΎΠΈΠ½Π΄ΡΠΊΡΠΈΠΈ ΠΏΡΠ΅ΠΏΡΡΡΡΠ²ΡΠ΅Ρ Π½Π°ΡΠ°ΡΡΠ°Π½ΠΈΡ ΡΠΈΠ»Ρ ΡΠΎΠΊΠ° ΠΏΡΠΈ Π²ΠΊΠ»ΡΡΠ΅Π½ΠΈΠΈ ΡΠ΅ΠΏΠΈ ΠΈ ΡΠ±ΡΠ²Π°Π½ΠΈΡ ΡΠΈΠ»Ρ ΡΠΎΠΊΠ° ΠΏΡΠΈ ΡΠ°Π·ΠΌΡΠΊΠ°Π½ΠΈΠΈ ΡΠ΅ΠΏΠΈ.
Β
ΠΠ»Ρ Ρ Π°ΡΠ°ΠΊΡΠ΅ΡΠΈΡΡΠΈΠΊΠΈ Π½Π°ΠΌΠ°Π³Π½ΠΈΡΠ΅Π½Π½ΠΎΡΡΠΈ Π²Π΅ΡΠ΅ΡΡΠ²Π° Π² ΠΌΠ°Π³Π½ΠΈΡΠ½ΠΎΠΌ ΠΏΠΎΠ»Π΅ ΠΈΡΠΏΠΎΠ»ΡΠ·ΡΠ΅ΡΡΡΠΌΠ°Π³Π½ΠΈΡΠ½ΡΠΉ ΠΌΠΎΠΌΠ΅Π½Ρ (Π ΠΌ).Β ΠΠ½ ΡΠΈΡΠ»Π΅Π½Π½ΠΎ ΡΠ°Π²Π΅Π½ ΠΌΠ΅Ρ Π°Π½ΠΈΡΠ΅ΡΠΊΠΎΠΌΡ ΠΌΠΎΠΌΠ΅Π½ΡΡ, ΠΈΡΠΏΡΡΡΠ²Π°Π΅ΠΌΠΎΠΌΡ Π²Π΅ΡΠ΅ΡΡΠ²ΠΎΠΌ Π² ΠΌΠ°Π³Π½ΠΈΡΠ½ΠΎΠΌ ΠΏΠΎΠ»Π΅ Ρ ΠΈΠ½Π΄ΡΠΊΡΠΈΠ΅ΠΉ Π² 1 Π’Π».
ΠΠ°Π³Π½ΠΈΡΠ½ΡΠΉ ΠΌΠΎΠΌΠ΅Π½Ρ Π΅Π΄ΠΈΠ½ΠΈΡΡ ΠΎΠ±ΡΠ΅ΠΌΠ° Π²Π΅ΡΠ΅ΡΡΠ²Π° Ρ Π°ΡΠ°ΠΊΡΠ΅ΡΠΈΠ·ΡΠ΅Ρ Π΅Π³ΠΎΒ Π½Π°ΠΌΠ°Π³Π½ΠΈΡΠ΅Π½Π½ΠΎΡΡΡ – I, ΠΎΠΏΡΠ΅Π΄Π΅Π»ΡΠ΅ΡΡΡ ΠΏΠΎ ΡΠΎΡΠΌΡΠ»Π΅:
I=Β Π ΠΌΒ /V, (2.4)
Π³Π΄Π΅Β VΒ – ΠΎΠ±ΡΠ΅ΠΌ Π²Π΅ΡΠ΅ΡΡΠ²Π°.
ΠΠ°ΠΌΠ°Π³Π½ΠΈΡΠ΅Π½Π½ΠΎΡΡΡ Π² ΡΠΈΡΡΠ΅ΠΌΠ΅ Π‘Π ΠΈΠ·ΠΌΠ΅ΡΡΠ΅ΡΡΡ, ΠΊΠ°ΠΊ ΠΈ Π½Π°ΠΏΡΡΠΆΠ΅Π½Π½ΠΎΡΡΡ, Π²Β Π/ΠΌ, Π²Π΅Π»ΠΈΡΠΈΠ½Π° Π²Π΅ΠΊΡΠΎΡΠ½Π°Ρ.
ΠΠ°Π³Π½ΠΈΡΠ½ΡΠ΅ ΡΠ²ΠΎΠΉΡΡΠ²Π° Π²Π΅ΡΠ΅ΡΡΠ² Ρ Π°ΡΠ°ΠΊΡΠ΅ΡΠΈΠ·ΡΡΡΡΡΒ ΠΎΠ±ΡΠ΅ΠΌΠ½ΠΎΠΉ ΠΌΠ°Π³Π½ΠΈΡΠ½ΠΎΠΉ Π²ΠΎΡΠΏΡΠΈΠΈΠΌΡΠΈΠ²ΠΎΡΡΡΡΒ –Β cΠΎΒ ,Β Π²Π΅Π»ΠΈΡΠΈΠ½Π° Π±Π΅Π·ΡΠ°Π·ΠΌΠ΅ΡΠ½Π°Ρ.
ΠΡΠ»ΠΈ
ΠΊΠ°ΠΊΠΎΠ΅-Π»ΠΈΠ±ΠΎ ΡΠ΅Π»ΠΎ ΠΏΠΎΠΌΠ΅ΡΡΠΈΡΡ Π² ΠΌΠ°Π³Π½ΠΈΡΠ½ΠΎΠ΅
ΠΏΠΎΠ»Π΅ Ρ ΠΈΠ½Π΄ΡΠΊΡΠΈΠ΅ΠΉΒ Π
Π ΡΡΠΎΠΌ ΡΠ»ΡΡΠ°Π΅ Π²Π΅ΠΊΡΠΎΡ ΠΈΠ½Π΄ΡΠΊΡΠΈΠΈ Π² ΡΡΠ΅Π΄Π΅Β (Π)Π±ΡΠ΄Π΅Ρ ΡΠ»Π°Π³Π°ΡΡΡΡ ΠΈΠ· Π²Π΅ΠΊΡΠΎΡΠΎΠ²:
Π = Π0Β + Π‘(Π·Π½Π°ΠΊ Π²Π΅ΠΊΡΠΎΡΠ° ΠΎΠΏΡΡΠ΅Π½), (2.5)
Π³Π΄Π΅Β Π‘Β –ΠΈΠ½Π΄ΡΠΊΡΠΈΡ ΡΠΎΠ±ΡΡΠ²Π΅Π½Π½ΠΎΠ³ΠΎ ΠΌΠ°Π³Π½ΠΈΡΠ½ΠΎΠ³ΠΎ ΠΏΠΎΠ»Ρ Π½Π°ΠΌΠ°Π³Π½ΠΈΡΠΈΠ²ΡΠ΅Π³ΠΎΡΡ Π²Π΅ΡΠ΅ΡΡΠ²Π°.
ΠΠ½Π΄ΡΠΊΡΠΈΡ ΡΠΎΠ±ΡΡΠ²Π΅Π½Π½ΠΎΠ³ΠΎ ΠΏΠΎΠ»Ρ ΠΎΠΏΡΠ΅Π΄Π΅Π»ΡΠ΅ΡΡΡ ΠΌΠ°Π³Π½ΠΈΡΠ½ΡΠΌΠΈ ΡΠ²ΠΎΠΉΡΡΠ²Π°ΠΌΠΈ Π²Π΅ΡΠ΅ΡΡΠ²Π°, ΠΊΠΎΡΠΎΡΡΠ΅ Ρ Π°ΡΠ°ΠΊΡΠ΅ΡΠΈΠ·ΡΡΡΡΡ ΠΎΠ±ΡΠ΅ΠΌΠ½ΠΎΠΉ ΠΌΠ°Π³Π½ΠΈΡΠ½ΠΎΠΉ Π²ΠΎΡΠΏΡΠΈΠΈΠΌΡΠΈΠ²ΠΎΡΡΡΡ –Β cΠΎΒ , ΡΠΏΡΠ°Π²Π΅Π΄Π»ΠΈΠ²ΠΎ Π²ΡΡΠ°ΠΆΠ΅Π½ΠΈΠ΅:Π‘Β =Β cΠΎΒ Π0Β (2.6)
Π Π°Π·Π΄Π΅Π»ΠΈΠΌ Π½Π°Β m0Β Π²ΡΡΠ°ΠΆΠ΅Π½ΠΈΠ΅ (2.6):
Π‘/ mΠΎ=Β cΠΎΒ Π0Β /m0
ΠΠΎΠ»ΡΡΠΈΠΌ:Β Π‘Β =Β cΠΎΒ Π0Β ,Β (2.7)
Π½ΠΎΒ Π‘Β ΠΎΠΏΡΠ΅Π΄Π΅Π»ΡΠ΅Ρ Π½Π°ΠΌΠ°Π³Π½ΠΈΡΠ΅Π½Π½ΠΎΡΡΡ Π²Π΅ΡΠ΅ΡΡΠ²Π°Β I, Ρ.Π΅.Β Π‘Β =Β I, ΡΠΎΠ³Π΄Π° ΠΈΠ· (2.7):
I = cΠΎΒ Π0. (2.8)
Π’Π°ΠΊΠΈΠΌ ΠΎΠ±ΡΠ°Π·ΠΎΠΌ, Π΅ΡΠ»ΠΈ Π²Π΅ΡΠ΅ΡΡΠ²ΠΎ Π½Π°Ρ ΠΎΠ΄ΠΈΡΡΡ Π²ΠΎ Π²Π½Π΅ΡΠ½Π΅ΠΌ ΠΌΠ°Π³Π½ΠΈΡΠ½ΠΎΠΌ ΠΏΠΎΠ»Π΅ Ρ Π½Π°ΠΏΡΡΠΆΠ΅Π½Π½ΠΎΡΡΡΡΠ0, ΡΠΎ Π²Π½ΡΡΡΠΈ Π½Π΅Π³ΠΎ ΠΈΠ½Π΄ΡΠΊΡΠΈΡ ΠΎΠΏΡΠ΅Π΄Π΅Π»ΡΠ΅ΡΡΡ Π²ΡΡΠ°ΠΆΠ΅Π½ΠΈΠ΅ΠΌ:
Π=Π0Β + Π‘Β = m0Π0Β +m0Π‘Β = m0Β (Π0Β + I)Β (2.9)
Β
ΠΠΎΡΠ»Π΅Π΄Π½Π΅Π΅ Π²ΡΡΠ°ΠΆΠ΅Π½ΠΈΠ΅ ΡΡΡΠΎΠ³ΠΎ ΡΠΏΡΠ°Π²Π΅Π΄Π»ΠΈΠ²ΠΎ, ΠΊΠΎΠ³Π΄Π° ΡΠ΅ΡΠ΄Π΅ΡΠ½ΠΈΠΊ (Π²Π΅ΡΠ΅ΡΡΠ²ΠΎ) Π½Π°Ρ ΠΎΠ΄ΠΈΡΡΡ ΠΏΠΎΠ»Π½ΠΎΡΡΡΡ Π²ΠΎ Π²Π½Π΅ΡΠ½Π΅ΠΌ ΠΎΠ΄Π½ΠΎΡΠΎΠ΄Π½ΠΎΠΌ ΠΌΠ°Π³Π½ΠΈΡΠ½ΠΎΠΌ ΠΏΠΎΠ»Π΅ (Π·Π°ΠΌΠΊΠ½ΡΡΡΠΉ ΡΠΎΡ, Π±Π΅ΡΠΊΠΎΠ½Π΅ΡΠ½ΠΎ Π΄Π»ΠΈΠ½Π½ΡΠΉ ΡΠΎΠ»Π΅Π½ΠΎΠΈΠ΄ ΠΈ Ρ.Π΄.).
studfiles.net
ΠΠ·ΠΌΠ΅Π½Π΅Π½ΠΈΠ΅ ΠΌΠ°Π³Π½ΠΈΡΠ½ΠΎΠ³ΠΎ ΠΏΠΎΡΠΎΠΊΠ°
Π‘ΠΎΠ΄Π΅ΡΠΆΠ°Π½ΠΈΠ΅:
- ΠΠ·Π°ΠΈΠΌΠΎΡΠ²ΡΠ·Ρ ΡΠ»Π΅ΠΊΡΡΠΎΠΌΠ°Π³Π½ΠΈΡΠ½ΠΎΠΉ ΠΈΠ½Π΄ΡΠΊΡΠΈΠΈ ΠΈ ΠΌΠ°Π³Π½ΠΈΡΠ½ΠΎΠ³ΠΎ ΠΏΠΎΡΠΎΠΊΠ°
- ΠΡΠΎΠ²Π΅Π΄Π΅Π½ΠΈΠ΅ ΠΈΡΡΠ»Π΅Π΄ΠΎΠ²Π°Π½ΠΈΠΉ ΡΠ²Π»Π΅Π½ΠΈΡ ΠΈΠ½Π΄ΡΠΊΡΠΈΠΈ
- ΠΡΠ°Π²ΠΈΠ»ΠΎ ΠΠ΅Π½ΡΠ° Π² ΠΎΡΠ½ΠΎΡΠ΅Π½ΠΈΠΈ ΠΌΠ°Π³Π½ΠΈΡΠ½ΠΎΠ³ΠΎ ΠΏΠΎΡΠΎΠΊΠ°
- ΠΠΈΠ΄Π΅ΠΎ
ΠΠ·Π°ΠΈΠΌΠΎΡΠ²ΡΠ·Ρ ΡΠ»Π΅ΠΊΡΡΠΈΡΠ΅ΡΠΊΠΈΡ ΠΈ ΠΌΠ°Π³Π½ΠΈΡΠ½ΡΡ ΠΏΠΎΠ»Π΅ΠΉ Π·Π°ΠΌΠ΅ΡΠ΅Π½Π° ΠΎΡΠ΅Π½Ρ Π΄Π°Π²Π½ΠΎ. ΠΠ°Π½Π½ΡΡ ΡΠ²ΡΠ·Ρ Π΅ΡΠ΅ Π² 19 Π²Π΅ΠΊΠ΅ ΠΎΠ±Π½Π°ΡΡΠΆΠΈΠ» Π°Π½Π³Π»ΠΈΠΉΡΠΊΠΈΠΉ ΡΡΠ΅Π½ΡΠΉ-ΡΠΈΠ·ΠΈΠΊ Π€Π°ΡΠ°Π΄Π΅ΠΉ ΠΈ Π΄Π°Π» Π΅ΠΌΡ Π½Π°Π·Π²Π°Π½ΠΈΠ΅ ΡΠ»Π΅ΠΊΡΡΠΎΠΌΠ°Π³Π½ΠΈΡΠ½ΠΎΠΉ ΠΈΠ½Π΄ΡΠΊΡΠΈΠΈ. ΠΠ½Π° ΠΏΠΎΡΠ²Π»ΡΠ΅ΡΡΡ Π² ΡΠΎΡ ΠΌΠΎΠΌΠ΅Π½Ρ, ΠΊΠΎΠ³Π΄Π° ΠΌΠ°Π³Π½ΠΈΡΠ½ΡΠΉ ΠΏΠΎΡΠΎΠΊ ΠΏΡΠΎΠ½ΠΈΠ·ΡΠ²Π°Π΅Ρ ΠΏΠΎΠ²Π΅ΡΡ Π½ΠΎΡΡΡ Π·Π°ΠΌΠΊΠ½ΡΡΠΎΠ³ΠΎ ΠΊΠΎΠ½ΡΡΡΠ°. ΠΠΎΡΠ»Π΅ ΡΠΎΠ³ΠΎ ΠΊΠ°ΠΊ ΠΏΡΠΎΠΈΡΡ ΠΎΠ΄ΠΈΡ ΠΈΠ·ΠΌΠ΅Π½Π΅Π½ΠΈΠ΅ ΠΌΠ°Π³Π½ΠΈΡΠ½ΠΎΠ³ΠΎ ΠΏΠΎΡΠΎΠΊΠ° Π² ΡΠ΅ΡΠ΅Π½ΠΈΠ΅ ΠΎΠΏΡΠ΅Π΄Π΅Π»Π΅Π½Π½ΠΎΠ³ΠΎ Π²ΡΠ΅ΠΌΠ΅Π½ΠΈ, Π² ΡΡΠΎΠΌ ΠΊΠΎΠ½ΡΡΡΠ΅ Π½Π°Π±Π»ΡΠ΄Π°Π΅ΡΡΡ ΠΏΠΎΡΠ²Π»Π΅Π½ΠΈΠ΅ ΡΠ»Π΅ΠΊΡΡΠΈΡΠ΅ΡΠΊΠΎΠ³ΠΎ ΡΠΎΠΊΠ°.
ΠΠ·Π°ΠΈΠΌΠΎΡΠ²ΡΠ·Ρ ΡΠ»Π΅ΠΊΡΡΠΎΠΌΠ°Π³Π½ΠΈΡΠ½ΠΎΠΉ ΠΈΠ½Π΄ΡΠΊΡΠΈΠΈ ΠΈ ΠΌΠ°Π³Π½ΠΈΡΠ½ΠΎΠ³ΠΎ ΠΏΠΎΡΠΎΠΊΠ°
Π‘ΡΡΡ ΠΌΠ°Π³Π½ΠΈΡΠ½ΠΎΠ³ΠΎ ΠΏΠΎΡΠΎΠΊΠ° ΠΎΡΠΎΠ±ΡΠ°ΠΆΠ°Π΅ΡΡΡ ΠΈΠ·Π²Π΅ΡΡΠ½ΠΎΠΉ ΡΠΎΡΠΌΡΠ»ΠΎΠΉ: Π€ = BS cos Ξ±. Π Π½Π΅ΠΉ Π€ ΡΠ²Π»ΡΠ΅ΡΡΡ ΠΌΠ°Π³Π½ΠΈΡΠ½ΡΠΌ ΠΏΠΎΡΠΎΠΊΠΎΠΌ, S β ΠΏΠΎΠ²Π΅ΡΡ Π½ΠΎΡΡΡ ΠΊΠΎΠ½ΡΡΡΠ° (ΠΏΠ»ΠΎΡΠ°Π΄Ρ), Π β Π²Π΅ΠΊΡΠΎΡ ΠΌΠ°Π³Π½ΠΈΡΠ½ΠΎΠΉ ΠΈΠ½Π΄ΡΠΊΡΠΈΠΈ. Π£Π³ΠΎΠ» Ξ± ΠΎΠ±ΡΠ°Π·ΡΠ΅ΡΡΡ Π·Π° ΡΡΠ΅Ρ Π½Π°ΠΏΡΠ°Π²Π»Π΅Π½ΠΈΡ Π²Π΅ΠΊΡΠΎΡΠ° ΠΌΠ°Π³Π½ΠΈΡΠ½ΠΎΠΉ ΠΈΠ½Π΄ΡΠΊΡΠΈΠΈ ΠΈ Π½ΠΎΡΠΌΠ°Π»ΠΈ ΠΊ ΠΏΠΎΠ²Π΅ΡΡ Π½ΠΎΡΡΠΈ ΠΊΠΎΠ½ΡΡΡΠ°. ΠΡΡΡΠ΄Π° ΡΠ»Π΅Π΄ΡΠ΅Ρ, ΡΡΠΎ ΠΌΠ°ΠΊΡΠΈΠΌΠ°Π»ΡΠ½ΠΎΠ³ΠΎ ΠΏΠΎΡΠΎΠ³Π° ΠΌΠ°Π³Π½ΠΈΡΠ½ΡΠΉ ΠΏΠΎΡΠΎΠΊ Π΄ΠΎΡΡΠΈΠ³Π½Π΅Ρ ΠΏΡΠΈ cos Ξ± = 1, Π° ΠΌΠΈΠ½ΠΈΠΌΠ°Π»ΡΠ½ΠΎΠ³ΠΎ β ΠΏΡΠΈ cos Ξ± = 0.

ΠΠΎ Π²ΡΠΎΡΠΎΠΌ Π²Π°ΡΠΈΠ°Π½ΡΠ΅ Π²Π΅ΠΊΡΠΎΡ Π Π±ΡΠ΄Π΅Ρ ΠΏΠ΅ΡΠΏΠ΅Π½Π΄ΠΈΠΊΡΠ»ΡΡΠ΅Π½ ΠΊ Π½ΠΎΡΠΌΠ°Π»ΠΈ. ΠΠΎΠ»ΡΡΠ°Π΅ΡΡΡ, ΡΡΠΎ Π»ΠΈΠ½ΠΈΠΈ ΠΏΠΎΡΠΎΠΊΠ° Π½Π΅ ΠΏΠ΅ΡΠ΅ΡΠ΅ΠΊΠ°ΡΡ ΠΊΠΎΠ½ΡΡΡ, Π° Π»ΠΈΡΡ ΡΠΊΠΎΠ»ΡΠ·ΡΡ ΠΏΠΎ Π΅Π³ΠΎ ΠΏΠ»ΠΎΡΠΊΠΎΡΡΠΈ. Π‘Π»Π΅Π΄ΠΎΠ²Π°ΡΠ΅Π»ΡΠ½ΠΎ, ΠΎΠΏΡΠ΅Π΄Π΅Π»ΡΡΡ Ρ Π°ΡΠ°ΠΊΡΠ΅ΡΠΈΡΡΠΈΠΊΠΈ Π±ΡΠ΄ΡΡ Π»ΠΈΠ½ΠΈΠΈ Π²Π΅ΠΊΡΠΎΡΠ° Π, ΠΏΠ΅ΡΠ΅ΡΠ΅ΠΊΠ°ΡΡΠΈΠ΅ ΠΏΠΎΠ²Π΅ΡΡ Π½ΠΎΡΡΡ ΠΊΠΎΠ½ΡΡΡΠ°. ΠΠ»Ρ ΡΠ°ΡΡΠ΅ΡΠ° Π² ΠΊΠ°ΡΠ΅ΡΡΠ²Π΅ Π΅Π΄ΠΈΠ½ΠΈΡΡ ΠΈΠ·ΠΌΠ΅ΡΠ΅Π½ΠΈΡ ΠΈΡΠΏΠΎΠ»ΡΠ·ΡΠ΅ΡΡΡ Π²Π΅Π±Π΅Ρ: 1 Π²Π± = 1Π² Ρ 1Ρ (Π²ΠΎΠ»ΡΡ-ΡΠ΅ΠΊΡΠ½Π΄Π°). ΠΡΠ΅ ΠΎΠ΄Π½ΠΎΠΉ, Π±ΠΎΠ»Π΅Π΅ ΠΌΠ΅Π»ΠΊΠΎΠΉ Π΅Π΄ΠΈΠ½ΠΈΡΠ΅ΠΉ ΠΈΠ·ΠΌΠ΅ΡΠ΅Π½ΠΈΡ ΡΠ»ΡΠΆΠΈΡ ΠΌΠ°ΠΊΡΠ²Π΅Π»Π» (ΠΌΠΊΡ). ΠΠ½ ΡΠΎΡΡΠ°Π²Π»ΡΠ΅Ρ: 1 Π²Π± = 108 ΠΌΠΊΡ, ΡΠΎ Π΅ΡΡΡ 1 ΠΌΠΊΡ = 10-8 Π²Π±.
ΠΠ»Ρ ΠΈΡΡΠ»Π΅Π΄ΠΎΠ²Π°Π½ΠΈΡ ΡΠ»Π΅ΠΊΡΡΠΎΠΌΠ°Π³Π½ΠΈΡΠ½ΠΎΠΉ ΠΈΠ½Π΄ΡΠΊΡΠΈΠΈ Π€Π°ΡΠ°Π΄Π΅Π΅ΠΌ Π±ΡΠ»ΠΈ ΠΈΡΠΏΠΎΠ»ΡΠ·ΠΎΠ²Π°Π½Ρ Π΄Π²Π΅ ΠΏΡΠΎΠ²ΠΎΠ»ΠΎΡΠ½ΡΠ΅ ΡΠΏΠΈΡΠ°Π»ΠΈ, ΠΈΠ·ΠΎΠ»ΠΈΡΠΎΠ²Π°Π½Π½ΡΠ΅ ΠΌΠ΅ΠΆΠ΄Ρ ΡΠΎΠ±ΠΎΠΉ ΠΈ ΡΠ°Π·ΠΌΠ΅ΡΠ΅Π½Π½ΡΠ΅ Π½Π° ΠΊΠ°ΡΡΡΠΊΠ΅ ΠΈΠ· Π΄Π΅ΡΠ΅Π²Π°. ΠΠ΄Π½Π° ΠΈΠ· Π½ΠΈΡ ΡΠΎΠ΅Π΄ΠΈΠ½ΡΠ»Π°ΡΡ Ρ ΠΈΡΡΠΎΡΠ½ΠΈΠΊΠΎΠΌ ΡΠ½Π΅ΡΠ³ΠΈΠΈ, Π° Π΄ΡΡΠ³Π°Ρ β Ρ Π³Π°Π»ΡΠ²Π°Π½ΠΎΠΌΠ΅ΡΡΠΎΠΌ, ΠΏΡΠ΅Π΄Π½Π°Π·Π½Π°ΡΠ΅Π½Π½ΡΠΌ Π΄Π»Ρ ΡΠ΅Π³ΠΈΡΡΡΠ°ΡΠΈΠΈ ΠΌΠ°Π»ΡΡ ΡΠΎΠΊΠΎΠ². Π ΡΠΎΡ ΠΌΠΎΠΌΠ΅Π½Ρ, ΠΊΠΎΠ³Π΄Π° ΡΠ΅ΠΏΡ ΠΏΠ΅ΡΠ²ΠΎΠ½Π°ΡΠ°Π»ΡΠ½ΠΎΠΉ ΡΠΏΠΈΡΠ°Π»ΠΈ Π·Π°ΠΌΡΠΊΠ°Π»Π°ΡΡ ΠΈ ΡΠ°Π·ΠΌΡΠΊΠ°Π»Π°ΡΡ, Π² Π΄ΡΡΠ³ΠΎΠΉ ΡΠ΅ΠΏΠΈ ΡΡΡΠ΅Π»ΠΊΠ° ΠΈΠ·ΠΌΠ΅ΡΠΈΡΠ΅Π»ΡΠ½ΠΎΠ³ΠΎ ΡΡΡΡΠΎΠΉΡΡΠ²Π° ΠΎΡΠΊΠ»ΠΎΠ½ΡΠ»Π°ΡΡ.
ΠΡΠΎΠ²Π΅Π΄Π΅Π½ΠΈΠ΅ ΠΈΡΡΠ»Π΅Π΄ΠΎΠ²Π°Π½ΠΈΠΉ ΡΠ²Π»Π΅Π½ΠΈΡ ΠΈΠ½Π΄ΡΠΊΡΠΈΠΈ
Π ΠΏΠ΅ΡΠ²ΠΎΠΉ ΡΠ΅ΡΠΈΠΈ ΠΎΠΏΡΡΠΎΠ² ΠΠ°ΠΉΠΊΠ» Π€Π°ΡΠ°Π΄Π΅ΠΉ Π²ΡΡΠ°Π²Π»ΡΠ» Π½Π°ΠΌΠ°Π³Π½ΠΈΡΠ΅Π½Π½ΡΠΉ ΠΌΠ΅ΡΠ°Π»Π»ΠΈΡΠ΅ΡΠΊΠΈΠΉ Π±ΡΡΡΠΎΠΊ Π² ΠΊΠ°ΡΡΡΠΊΡ, ΠΏΠΎΠ΄ΠΊΠ»ΡΡΠ΅Π½Π½ΡΡ ΠΊ ΡΠΎΠΊΡ, Π° Π·Π°ΡΠ΅ΠΌ Π²ΡΠ½ΠΈΠΌΠ°Π» Π΅Π³ΠΎ Π½Π°ΡΡΠΆΡ (ΡΠΈΡ. 1, 2).
1
2 
Π ΡΠ»ΡΡΠ°Π΅ ΠΏΠΎΠΌΠ΅ΡΠ΅Π½ΠΈΡ ΠΌΠ°Π³Π½ΠΈΡΠ° Π² ΠΊΠ°ΡΡΡΠΊΡ, ΠΏΠΎΠ΄ΠΊΠ»ΡΡΠ΅Π½Π½ΡΡ ΠΊ ΠΈΠ·ΠΌΠ΅ΡΠΈΡΠ΅Π»ΡΠ½ΠΎΠΌΡ ΠΏΡΠΈΠ±ΠΎΡΡ, Π² ΡΠ΅ΠΏΠΈ Π½Π°ΡΠΈΠ½Π°Π΅Ρ ΠΏΡΠΎΡΠ΅ΠΊΠ°ΡΡ ΠΈΠ½Π΄ΡΠΊΡΠΈΠΎΠ½Π½ΡΠΉ ΡΠΎΠΊ. ΠΡΠ»ΠΈ ΠΌΠ°Π³Π½ΠΈΡΠ½ΡΠΉ Π±ΡΡΡΠΎΠΊ ΡΠ΄Π°Π»ΡΠ΅ΡΡΡ ΠΈΠ· ΠΊΠ°ΡΡΡΠΊΠΈ, ΠΈΠ½Π΄ΡΠΊΡΠΈΠΎΠ½Π½ΡΠΉ ΡΠΎΠΊ Π²ΡΠ΅ ΡΠ°Π²Π½ΠΎ ΠΏΠΎΡΠ²Π»ΡΠ΅ΡΡΡ, Π½ΠΎ Π΅Π³ΠΎ Π½Π°ΠΏΡΠ°Π²Π»Π΅Π½ΠΈΠ΅ ΡΡΠ°Π½ΠΎΠ²ΠΈΡΡΡ ΡΠΆΠ΅ ΠΏΡΠΎΡΠΈΠ²ΠΎΠΏΠΎΠ»ΠΎΠΆΠ½ΡΠΌ. Π‘Π»Π΅Π΄ΠΎΠ²Π°ΡΠ΅Π»ΡΠ½ΠΎ, ΠΏΠ°ΡΠ°ΠΌΠ΅ΡΡΡ ΠΈΠ½Π΄ΡΠΊΡΠΈΠΎΠ½Π½ΠΎΠ³ΠΎ ΡΠΎΠΊΠ° Π±ΡΠ΄ΡΡ ΠΈΠ·ΠΌΠ΅Π½Π΅Π½Ρ ΠΏΠΎ Π½Π°ΠΏΡΠ°Π²Π»Π΅Π½ΠΈΡ Π΄Π²ΠΈΠΆΠ΅Π½ΠΈΡ Π±ΡΡΡΠΊΠ° ΠΈ Π² Π·Π°Π²ΠΈΡΠΈΠΌΠΎΡΡΠΈ ΠΎΡ ΠΏΠΎΠ»ΡΡΠ°, ΠΊΠΎΡΠΎΡΡΠΌ ΠΎΠ½ ΠΏΠΎΠΌΠ΅ΡΠ°Π΅ΡΡΡ Π² ΠΊΠ°ΡΡΡΠΊΡ. ΠΠ° ΡΠΈΠ»Ρ ΡΠΎΠΊΠ° ΠΎΠΊΠ°Π·ΡΠ²Π°Π΅Ρ Π²Π»ΠΈΡΠ½ΠΈΠ΅ Π±ΡΡΡΡΠΎΡΠ° ΠΏΠ΅ΡΠ΅ΠΌΠ΅ΡΠ΅Π½ΠΈΡ ΠΌΠ°Π³Π½ΠΈΡΠ°.
ΠΠΎ Π²ΡΠΎΡΠΎΠΉ ΡΠ΅ΡΠΈΠΈ ΠΎΠΏΡΡΠΎΠ² ΠΏΠΎΠ΄ΡΠ²Π΅ΡΠΆΠ΄Π°Π΅ΡΡΡ ΡΠ²Π»Π΅Π½ΠΈΠ΅, ΠΏΡΠΈ ΠΊΠΎΡΠΎΡΠΎΠΌ ΠΈΠ·ΠΌΠ΅Π½ΡΡΡΠΈΠΉΡΡ ΡΠΎΠΊ Π² ΠΎΠ΄Π½ΠΎΠΉ ΠΊΠ°ΡΡΡΠΊΠ΅, Π²ΡΠ·ΡΠ²Π°Π΅Ρ ΠΈΠ½Π΄ΡΠΊΡΠΈΠΎΠ½Π½ΡΠΉ ΡΠΎΠΊ Π² Π΄ΡΡΠ³ΠΎΠΉ ΠΊΠ°ΡΡΡΠΊΠ΅ (ΡΠΈΡ. 3, 4, 5). ΠΡΠΎ ΠΏΡΠΎΠΈΡΡ ΠΎΠ΄ΠΈΡ Π² ΠΌΠΎΠΌΠ΅Π½ΡΡ Π·Π°ΠΌΡΠΊΠ°Π½ΠΈΡ ΠΈ ΡΠ°Π·ΠΌΡΠΊΠ°Π½ΠΈΡ ΡΠ΅ΠΏΠΈ. ΠΡ ΡΠΎΠ³ΠΎ, Π·Π°ΠΌΡΠΊΠ°Π΅ΡΡΡ ΠΈΠ»ΠΈ ΡΠ°Π·ΠΌΡΠΊΠ°Π΅ΡΡΡ ΡΠ»Π΅ΠΊΡΡΠΈΡΠ΅ΡΠΊΠ°Ρ ΡΠ΅ΠΏΡ, Π±ΡΠ΄Π΅Ρ Π·Π°Π²ΠΈΡΠ΅ΡΡ ΠΈ Π½Π°ΠΏΡΠ°Π²Π»Π΅Π½ΠΈΠ΅ ΡΠΎΠΊΠ°. ΠΡΠΎΠΌΠ΅ ΡΠΎΠ³ΠΎ, ΡΡΠΈ Π΄Π΅ΠΉΡΡΠ²ΠΈΡ Π΅ΡΡΡ Π½ΠΈ ΡΡΠΎ ΠΈΠ½ΠΎΠ΅, ΠΊΠ°ΠΊ ΡΠΏΠΎΡΠΎΠ±Ρ ΠΈΠ·ΠΌΠ΅Π½Π΅Π½ΠΈΡ ΠΌΠ°Π³Π½ΠΈΡΠ½ΠΎΠ³ΠΎ ΠΏΠΎΡΠΎΠΊΠ°. ΠΡΠΈ Π·Π°ΠΌΡΠΊΠ°Π½ΠΈΠΈ ΡΠ΅ΠΏΠΈ ΠΎΠ½ Π±ΡΠ΄Π΅Ρ ΡΠ²Π΅Π»ΠΈΡΠΈΠ²Π°ΡΡΡΡ, Π° ΠΏΡΠΈ ΡΠ°Π·ΠΌΡΠΊΠ°Π½ΠΈΠΈ β ΡΠΌΠ΅Π½ΡΡΠ°ΡΡΡΡ, ΠΎΠ΄Π½ΠΎΠ²ΡΠ΅ΠΌΠ΅Π½Π½ΠΎ ΠΏΡΠΎΠ½ΠΈΠ·ΡΠ²Π°Ρ ΠΏΠ΅ΡΠ²ΡΡ ΠΊΠ°ΡΡΡΠΊΡ.
3
4 
5 
Π ΡΠ΅Π·ΡΠ»ΡΡΠ°ΡΠ΅ ΠΎΠΏΡΡΠΎΠ² Π±ΡΠ»ΠΎ ΡΡΡΠ°Π½ΠΎΠ²Π»Π΅Π½ΠΎ, ΡΡΠΎ Π²ΠΎΠ·Π½ΠΈΠΊΠ½ΠΎΠ²Π΅Π½ΠΈΠ΅ ΡΠ»Π΅ΠΊΡΡΠΈΡΠ΅ΡΠΊΠΎΠ³ΠΎ ΡΠΎΠΊΠ° Π²Π½ΡΡΡΠΈ Π·Π°ΠΌΠΊΠ½ΡΡΠΎΠ³ΠΎ ΠΏΡΠΎΠ²ΠΎΠ΄ΡΡΠ΅Π³ΠΎ ΠΊΠΎΠ½ΡΡΡΠ° Π²ΠΎΠ·ΠΌΠΎΠΆΠ½ΠΎ Π»ΠΈΡΡ Π² ΡΠΎΠΌ ΡΠ»ΡΡΠ°Π΅, ΠΊΠΎΠ³Π΄Π° ΠΎΠ½ΠΈ ΠΏΠΎΠΌΠ΅ΡΠ°ΡΡΡΡ Π² ΠΏΠ΅ΡΠ΅ΠΌΠ΅Π½Π½ΠΎΠ΅ ΠΌΠ°Π³Π½ΠΈΡΠ½ΠΎΠ΅ ΠΏΠΎΠ»Π΅. ΠΡΠΈ ΡΡΠΎΠΌ, ΠΏΠΎΡΠΎΠΊ ΠΈΠ½Π΄ΡΠΊΡΠΈΠΈ ΠΌΠ°Π³Π½ΠΈΡΠ½ΠΎΠ³ΠΎ ΠΏΠΎΠ»Ρ ΠΌΠΎΠΆΠ΅Ρ ΠΈΠ·ΠΌΠ΅Π½ΡΡΡΡΡ Π²ΠΎ Π²ΡΠ΅ΠΌΠ΅Π½ΠΈ Π»ΡΠ±ΡΠΌΠΈ ΡΠΏΠΎΡΠΎΠ±Π°ΠΌΠΈ.
ΠΠ»Π΅ΠΊΡΡΠΈΡΠ΅ΡΠΊΠΈΠΉ ΡΠΎΠΊ, ΠΏΠΎΡΠ²Π»ΡΡΡΠΈΠΉΡΡ ΠΏΠΎΠ΄ Π΄Π΅ΠΉΡΡΠ²ΠΈΠ΅ΠΌ ΡΠ»Π΅ΠΊΡΡΠΎΠΌΠ°Π³Π½ΠΈΡΠ½ΠΎΠΉ ΠΈΠ½Π΄ΡΠΊΡΠΈΠΈ, ΠΏΠΎΠ»ΡΡΠΈΠ» Π½Π°Π·Π²Π°Π½ΠΈΠ΅ ΠΈΠ½Π΄ΡΠΊΡΠΈΠΎΠ½Π½ΠΎΠ³ΠΎ, Ρ ΠΎΡΡ ΡΡΠΎ ΠΈ Π½Π΅ Π±ΡΠ΄Π΅Ρ ΡΠΎΠΊΠΎΠΌ Π² ΠΎΠ±ΡΠ΅ΠΏΡΠΈΠ½ΡΡΠΎΠΌ ΠΏΠΎΠ½ΠΈΠΌΠ°Π½ΠΈΠΈ. ΠΠΎΠ³Π΄Π° Π·Π°ΠΌΠΊΠ½ΡΡΡΠΉ ΠΊΠΎΠ½ΡΡΡ ΠΎΠΊΠ°Π·ΡΠ²Π°Π΅ΡΡΡ Π² ΠΌΠ°Π³Π½ΠΈΡΠ½ΠΎΠΌ ΠΏΠΎΠ»Π΅, ΠΏΡΠΎΠΈΡΡ ΠΎΠ΄ΠΈΡ Π³Π΅Π½Π΅ΡΠ°ΡΠΈΡ ΠΠΠ‘ Ρ ΡΠΎΡΠ½ΡΠΌ Π·Π½Π°ΡΠ΅Π½ΠΈΠ΅ΠΌ, Π° Π½Π΅ ΡΠΎΠΊΠ°, Π·Π°Π²ΠΈΡΡΡΠ΅Π³ΠΎ ΠΎΡ ΡΠ°Π·Π½ΡΡ ΡΠΎΠΏΡΠΎΡΠΈΠ²Π»Π΅Π½ΠΈΠΉ.
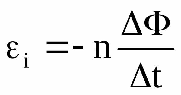
ΠΠ°Π½Π½ΠΎΠ΅ ΡΠ²Π»Π΅Π½ΠΈΠ΅ ΠΏΠΎΠ»ΡΡΠΈΠ»ΠΎ Π½Π°Π·Π²Π°Π½ΠΈΠ΅ ΠΠΠ‘ ΠΈΠ½Π΄ΡΠΊΡΠΈΠΈ, ΠΊΠΎΡΠΎΡΡΡ ΠΎΡΡΠ°ΠΆΠ°Π΅Ρ ΡΠΎΡΠΌΡΠ»Π°: ΠΠΈΠ½Π΄ = – βΠ€/βt. ΠΠ΅ Π·Π½Π°ΡΠ΅Π½ΠΈΠ΅ ΡΠΎΠ²ΠΏΠ°Π΄Π°Π΅Ρ Ρ Π±ΡΡΡΡΠΎΡΠΎΠΉ ΠΈΠ·ΠΌΠ΅Π½Π΅Π½ΠΈΠΉ ΠΌΠ°Π³Π½ΠΈΡΠ½ΠΎΠ³ΠΎ ΠΏΠΎΡΠΎΠΊΠ°, ΠΏΡΠΎΠ½ΠΈΠ·ΡΠ²Π°ΡΡΠ΅Π³ΠΎ ΠΏΠΎΠ²Π΅ΡΡ Π½ΠΎΡΡΡ Π·Π°ΠΌΠΊΠ½ΡΡΠΎΠ³ΠΎ ΠΊΠΎΠ½ΡΡΡΠ°, Π²Π·ΡΡΠΎΠ³ΠΎ Ρ ΠΎΡΡΠΈΡΠ°ΡΠ΅Π»ΡΠ½ΡΠΌ Π·Π½Π°ΡΠ΅Π½ΠΈΠ΅ΠΌ. ΠΠΈΠ½ΡΡ, ΠΏΡΠΈΡΡΡΡΡΠ²ΡΡΡΠΈΠΉ Π² Π΄Π°Π½Π½ΠΎΠΌ Π²ΡΡΠ°ΠΆΠ΅Π½ΠΈΠΈ, ΡΠ²Π»ΡΠ΅ΡΡΡ ΠΎΡΡΠ°ΠΆΠ΅Π½ΠΈΠ΅ΠΌ ΠΏΡΠ°Π²ΠΈΠ»Π° ΠΠ΅Π½ΡΠ°.
ΠΡΠ°Π²ΠΈΠ»ΠΎ ΠΠ΅Π½ΡΠ° Π² ΠΎΡΠ½ΠΎΡΠ΅Π½ΠΈΠΈ ΠΌΠ°Π³Π½ΠΈΡΠ½ΠΎΠ³ΠΎ ΠΏΠΎΡΠΎΠΊΠ°
ΠΠ·Π²Π΅ΡΡΠ½ΠΎΠ΅ ΠΏΡΠ°Π²ΠΈΠ»ΠΎ Π±ΡΠ»ΠΎ Π²ΡΠ²Π΅Π΄Π΅Π½ΠΎ ΠΏΠΎΡΠ»Π΅ ΠΏΡΠΎΠ²Π΅Π΄Π΅Π½ΠΈΡ ΡΠΈΠΊΠ»Π° ΠΈΡΡΠ»Π΅Π΄ΠΎΠ²Π°Π½ΠΈΠΉ Π² 30-Ρ Π³ΠΎΠ΄Π°Ρ 19 Π²Π΅ΠΊΠ°. ΠΠ½ΠΎ ΡΡΠΎΡΠΌΡΠ»ΠΈΡΠΎΠ²Π°Π½ΠΎ Π² ΡΠ»Π΅Π΄ΡΡΡΠ΅ΠΌ Π²ΠΈΠ΄Π΅:
ΠΠ°ΠΏΡΠ°Π²Π»Π΅Π½ΠΈΠ΅ ΠΈΠ½Π΄ΡΠΊΡΠΈΠΎΠ½Π½ΠΎΠ³ΠΎ ΡΠΎΠΊΠ°, Π²ΠΎΠ·Π±ΡΠΆΠ΄Π°Π΅ΠΌΠΎΠ³ΠΎ Π² Π·Π°ΠΌΠΊΠ½ΡΡΠΎΠΌ ΠΊΠΎΠ½ΡΡΡΠ΅ ΠΈΠ·ΠΌΠ΅Π½ΡΡΡΠΈΠΌΡΡ ΠΌΠ°Π³Π½ΠΈΡΠ½ΡΠΌ ΠΏΠΎΡΠΎΠΊΠΎΠΌ, ΠΎΠΊΠ°Π·ΡΠ²Π°Π΅Ρ Π²Π»ΠΈΡΠ½ΠΈΠ΅ Π½Π° ΡΠΎΠ·Π΄Π°Π²Π°Π΅ΠΌΠΎΠ΅ ΠΈΠΌ ΠΌΠ°Π³Π½ΠΈΡΠ½ΠΎΠ΅ ΠΏΠΎΠ»Π΅ ΡΠ°ΠΊΠΈΠΌ ΠΎΠ±ΡΠ°Π·ΠΎΠΌ, ΡΡΠΎ ΠΎΠ½ΠΎ Π² ΡΠ²ΠΎΡ ΠΎΡΠ΅ΡΠ΅Π΄Ρ ΡΠΎΠ·Π΄Π°Π΅Ρ ΠΏΡΠ΅ΠΏΡΡΡΡΠ²ΠΈΠ΅ ΠΌΠ°Π³Π½ΠΈΡΠ½ΠΎΠΌΡ ΠΏΠΎΡΠΎΠΊΡ, Π²ΡΠ·ΡΠ²Π°ΡΡΠ΅ΠΌΡ ΠΏΠΎΡΠ²Π»Π΅Π½ΠΈΠ΅ ΠΈΠ½Π΄ΡΠΊΡΠΈΠΎΠ½Π½ΠΎΠ³ΠΎ ΡΠΎΠΊΠ°.

ΠΠΎΠ³Π΄Π° ΠΌΠ°Π³Π½ΠΈΡΠ½ΡΠΉ ΠΏΠΎΡΠΎΠΊ ΡΠ²Π΅Π»ΠΈΡΠΈΠ²Π°Π΅ΡΡΡ, ΡΠΎ Π΅ΡΡΡ ΡΡΠ°Π½ΠΎΠ²ΠΈΡΡΡ Π€ > 0, Π° ΠΠΠ‘ ΠΈΠ½Π΄ΡΠΊΡΠΈΠΈ ΡΠ½ΠΈΠΆΠ°Π΅ΡΡΡ ΠΈ ΡΡΠ°Π½ΠΎΠ²ΠΈΡΡΡ ΠΠΈΠ½Π΄ < 0, Π² ΡΠ΅Π·ΡΠ»ΡΡΠ°ΡΠ΅ ΡΡΠΎΠ³ΠΎ ΠΏΠΎΡΠ²Π»ΡΠ΅ΡΡΡ ΡΠ»Π΅ΠΊΡΡΠΎΡΠΎΠΊ Ρ ΡΠ°ΠΊΠΎΠΉ Π½Π°ΠΏΡΠ°Π²Π»Π΅Π½Π½ΠΎΡΡΡΡ, ΠΏΡΠΈ ΠΊΠΎΡΠΎΡΠΎΠΉ ΠΏΠΎΠ΄ Π²Π»ΠΈΡΠ½ΠΈΠ΅ΠΌ Π΅Π³ΠΎ ΠΌΠ°Π³Π½ΠΈΡΠ½ΠΎΠ³ΠΎ ΠΏΠΎΠ»Ρ ΠΏΡΠΎΠΈΡΡ ΠΎΠ΄ΠΈΡ ΠΈΠ·ΠΌΠ΅Π½Π΅Π½ΠΈΠ΅ ΠΏΠΎΡΠΎΠΊΠ° Π² ΡΡΠΎΡΠΎΠ½Ρ ΡΠΌΠ΅Π½ΡΡΠ΅Π½ΠΈΡ ΠΏΡΠΈ Π΅Π³ΠΎ ΠΏΡΠΎΡ ΠΎΠΆΠ΄Π΅Π½ΠΈΠΈ ΡΠ΅ΡΠ΅Π· ΠΏΠ»ΠΎΡΠΊΠΎΡΡΡ Π·Π°ΠΌΠΊΠ½ΡΡΠΎΠ³ΠΎ ΠΊΠΎΠ½ΡΡΡΠ°.
ΠΡΠ»ΠΈ ΠΏΠΎΡΠΎΠΊ ΡΠ½ΠΈΠΆΠ°Π΅ΡΡΡ, ΡΠΎ Π½Π°ΡΡΡΠΏΠ°Π΅Ρ ΠΎΠ±ΡΠ°ΡΠ½ΡΠΉ ΠΏΡΠΎΡΠ΅ΡΡ, ΠΊΠΎΠ³Π΄Π° Π€ < 0 ΠΈ ΠΠΈΠ½Π΄ > 0, ΡΠΎ Π΅ΡΡΡ Π΄Π΅ΠΉΡΡΠ²ΠΈΠ΅ ΠΌΠ°Π³Π½ΠΈΡΠ½ΠΎΠ³ΠΎ ΠΏΠΎΠ»Ρ ΠΈΠ½Π΄ΡΠΊΡΠΈΠΎΠ½Π½ΠΎΠ³ΠΎ ΡΠΎΠΊΠ°, ΠΏΡΠΎΠΈΡΡ ΠΎΠ΄ΠΈΡ ΡΠ²Π΅Π»ΠΈΡΠ΅Π½ΠΈΠ΅ ΠΌΠ°Π³Π½ΠΈΡΠ½ΠΎΠ³ΠΎ ΠΏΠΎΡΠΎΠΊΠ°, ΠΏΡΠΎΡ ΠΎΠ΄ΡΡΠ΅Π³ΠΎ ΡΠ΅ΡΠ΅Π· ΠΊΠΎΠ½ΡΡΡ.
Π€ΠΈΠ·ΠΈΡΠ΅ΡΠΊΠΈΠΉ ΡΠΌΡΡΠ» ΠΏΡΠ°Π²ΠΈΠ»Π° ΠΠ΅Π½ΡΠ° Π·Π°ΠΊΠ»ΡΡΠ°Π΅ΡΡΡ Π² ΠΎΡΡΠ°ΠΆΠ΅Π½ΠΈΠΈ Π·Π°ΠΊΠΎΠ½Π° ΡΠΎΡ ΡΠ°Π½Π΅Π½ΠΈΡ ΡΠ½Π΅ΡΠ³ΠΈΠΈ, ΠΊΠΎΠ³Π΄Π° ΠΏΡΠΈ ΡΠΌΠ΅Π½ΡΡΠ΅Π½ΠΈΠΈ ΠΎΠ΄Π½ΠΎΠΉ Π²Π΅Π»ΠΈΡΠΈΠ½Ρ, Π΄ΡΡΠ³Π°Ρ ΡΠ²Π΅Π»ΠΈΡΠΈΠ²Π°Π΅ΡΡΡ, ΠΈ, Π½Π°ΠΎΠ±ΠΎΡΠΎΡ, ΠΏΡΠΈ ΡΠ²Π΅Π»ΠΈΡΠ΅Π½ΠΈΠΈ ΠΎΠ΄Π½ΠΎΠΉ Π²Π΅Π»ΠΈΡΠΈΠ½Ρ Π΄ΡΡΠ³Π°Ρ Π±ΡΠ΄Π΅Ρ ΡΠΌΠ΅Π½ΡΡΠ°ΡΡΡΡ. Π Π°Π·Π»ΠΈΡΠ½ΡΠ΅ ΡΠ°ΠΊΡΠΎΡΡ Π²Π»ΠΈΡΡΡ ΠΈ Π½Π° ΠΠΠ‘ ΠΈΠ½Π΄ΡΠΊΡΠΈΠΈ. ΠΡΠΈ Π²Π²ΠΎΠ΄Π΅ Π² ΠΊΠ°ΡΡΡΠΊΡ ΠΏΠΎΠΎΡΠ΅ΡΠ΅Π΄Π½ΠΎ ΡΠΈΠ»ΡΠ½ΠΎΠ³ΠΎ ΠΈ ΡΠ»Π°Π±ΠΎΠ³ΠΎ ΠΌΠ°Π³Π½ΠΈΡΠ°, ΠΏΡΠΈΠ±ΠΎΡ ΡΠΎΠΎΡΠ²Π΅ΡΡΡΠ²Π΅Π½Π½ΠΎ Π±ΡΠ΄Π΅Ρ ΠΏΠΎΠΊΠ°Π·ΡΠ²Π°ΡΡ Π² ΠΏΠ΅ΡΠ²ΠΎΠΌ ΡΠ»ΡΡΠ°Π΅ Π±ΠΎΠ»Π΅Π΅ Π²ΡΡΠΎΠΊΠΎΠ΅, Π° Π²ΠΎ Π²ΡΠΎΡΠΎΠΌ β Π±ΠΎΠ»Π΅Π΅ Π½ΠΈΠ·ΠΊΠΎΠ΅ Π·Π½Π°ΡΠ΅Π½ΠΈΠ΅. Π’ΠΎ ΠΆΠ΅ ΡΠ°ΠΌΠΎΠ΅ ΠΏΡΠΎΠΈΡΡ ΠΎΠ΄ΠΈΡ, ΠΊΠΎΠ³Π΄Π° ΠΈΠ·ΠΌΠ΅Π½ΡΠ΅ΡΡΡ ΡΠΊΠΎΡΠΎΡΡΡ Π΄Π²ΠΈΠΆΠ΅Π½ΠΈΡ ΠΌΠ°Π³Π½ΠΈΡΠ°.
ΠΠ° ΠΏΡΠ΅Π΄ΡΡΠ°Π²Π»Π΅Π½Π½ΠΎΠΌ ΡΠΈΡΡΠ½ΠΊΠ΅ Π²ΠΈΠ΄Π½ΠΎ, ΠΊΠ°ΠΊ ΠΎΠΏΡΠ΅Π΄Π΅Π»ΡΠ΅ΡΡΡ Π½Π°ΠΏΡΠ°Π²Π»Π΅Π½ΠΈΠ΅ ΠΈΠ½Π΄ΡΠΊΡΠΈΠΎΠ½Π½ΠΎΠ³ΠΎ ΡΠΎΠΊΠ° Ρ ΠΏΡΠΈΠΌΠ΅Π½Π΅Π½ΠΈΠ΅ΠΌ ΠΏΡΠ°Π²ΠΈΠ»Π° ΠΠ΅Π½ΡΠ°. Π‘ΠΈΠ½ΠΈΠΉ ΡΠ²Π΅Ρ ΡΠΎΠΎΡΠ²Π΅ΡΡΡΠ²ΡΠ΅Ρ ΡΠΈΠ»ΠΎΠ²ΡΠΌ Π»ΠΈΠ½ΠΈΡΠΌ ΠΌΠ°Π³Π½ΠΈΡΠ½ΡΡ ΠΏΠΎΠ»Π΅ΠΉ ΠΈΠ½Π΄ΡΠΊΡΠΈΠΎΠ½Π½ΠΎΠ³ΠΎ ΡΠΎΠΊΠ° ΠΈ ΠΏΠΎΡΡΠΎΡΠ½Π½ΠΎΠ³ΠΎ ΠΌΠ°Π³Π½ΠΈΡΠ°. ΠΠ½ΠΈ ΡΠ°ΡΠΏΠΎΠ»ΠΎΠΆΠ΅Π½Ρ Π² Π½Π°ΠΏΡΠ°Π²Π»Π΅Π½ΠΈΠΈ ΠΏΠΎΠ»ΡΡΠΎΠ² ΠΎΡ ΡΠ΅Π²Π΅ΡΠ° ΠΊ ΡΠ³Ρ, ΠΊΠΎΡΠΎΡΡΠ΅ ΠΈΠΌΠ΅ΡΡΡΡ Π² ΠΊΠ°ΠΆΠ΄ΠΎΠΌ ΠΌΠ°Π³Π½ΠΈΡΠ΅.
ΠΠ·ΠΌΠ΅Π½ΡΡΡΠΈΠΉΡΡ ΠΌΠ°Π³Π½ΠΈΡΠ½ΡΠΉ ΠΏΠΎΡΠΎΠΊ ΠΏΡΠΈΠ²ΠΎΠ΄ΠΈΡ ΠΊ Π²ΠΎΠ·Π½ΠΈΠΊΠ½ΠΎΠ²Π΅Π½ΠΈΡ ΠΈΠ½Π΄ΡΠΊΡΠΈΠΎΠ½Π½ΠΎΠ³ΠΎ ΡΠ»Π΅ΠΊΡΡΠΈΡΠ΅ΡΠΊΠΎΠ³ΠΎ ΡΠΎΠΊΠ°, Π½Π°ΠΏΡΠ°Π²Π»Π΅Π½ΠΈΠ΅ ΠΊΠΎΡΠΎΡΠΎΠ³ΠΎ Π²ΡΠ·ΡΠ²Π°Π΅Ρ ΠΏΡΠΎΡΠΈΠ²ΠΎΠ΄Π΅ΠΉΡΡΠ²ΠΈΠ΅ ΡΠΎ ΡΡΠΎΡΠΎΠ½Ρ Π΅Π³ΠΎ ΠΌΠ°Π³Π½ΠΈΡΠ½ΠΎΠ³ΠΎ ΠΏΠΎΠ»Ρ, ΠΏΡΠ΅ΠΏΡΡΡΡΠ²ΡΡΡΠ΅Π΅ ΠΈΠ·ΠΌΠ΅Π½Π΅Π½ΠΈΡΠΌ ΠΌΠ°Π³Π½ΠΈΡΠ½ΠΎΠ³ΠΎ ΠΏΠΎΡΠΎΠΊΠ°. Π ΡΠ²ΡΠ·ΠΈ Ρ ΡΡΠΈΠΌ, ΡΠΈΠ»ΠΎΠ²ΡΠ΅ Π»ΠΈΠ½ΠΈΠΈ ΠΌΠ°Π³Π½ΠΈΡΠ½ΠΎΠ³ΠΎ ΠΏΠΎΠ»Ρ ΠΊΠ°ΡΡΡΠΊΠΈ Π½Π°ΠΏΡΠ°Π²Π»Π΅Π½Ρ Π² ΡΡΠΎΡΠΎΠ½Ρ, ΠΏΡΠΎΡΠΈΠ²ΠΎΠΏΠΎΠ»ΠΎΠΆΠ½ΡΡ ΡΠΈΠ»ΠΎΠ²ΡΠΌ Π»ΠΈΠ½ΠΈΡΠΌ ΠΏΠΎΡΡΠΎΡΠ½Π½ΠΎΠ³ΠΎ ΠΌΠ°Π³Π½ΠΈΡΠ°, ΠΏΠΎΡΠΊΠΎΠ»ΡΠΊΡ Π΅Π³ΠΎ Π΄Π²ΠΈΠΆΠ΅Π½ΠΈΠ΅ ΠΏΡΠΎΠΈΡΡ ΠΎΠ΄ΠΈΡ Π² ΡΡΠΎΡΠΎΠ½Ρ ΡΡΠΎΠΉ ΠΊΠ°ΡΡΡΠΊΠΈ.
ΠΠ»Ρ ΠΎΠΏΡΠ΅Π΄Π΅Π»Π΅Π½ΠΈΡ Π½Π°ΠΏΡΠ°Π²Π»Π΅Π½ΠΈΡ ΡΠΎΠΊΠ° ΠΈΡΠΏΠΎΠ»ΡΠ·ΡΠ΅ΡΡΡ ΠΏΡΠ°Π²ΠΈΠ»ΠΎ Π±ΡΡΠ°Π²ΡΠΈΠΊΠ° Ρ ΠΏΡΠ°Π²ΠΎΠΉ ΡΠ΅Π·ΡΠ±ΠΎΠΉ. ΠΠ½ Π΄ΠΎΠ»ΠΆΠ΅Π½ Π²Π²ΠΈΠ½ΡΠΈΠ²Π°ΡΡΡΡ ΡΠ°ΠΊΠΈΠΌ ΠΎΠ±ΡΠ°Π·ΠΎΠΌ, ΡΡΠΎΠ±Ρ Π½Π°ΠΏΡΠ°Π²Π»Π΅Π½ΠΈΠ΅ Π΅Π³ΠΎ ΠΏΠΎΡΡΡΠΏΠ°ΡΠ΅Π»ΡΠ½ΠΎΠ³ΠΎ Π΄Π²ΠΈΠΆΠ΅Π½ΠΈΡ ΡΠΎΠ²ΠΏΠ°Π΄Π°Π»ΠΎ Ρ Π½Π°ΠΏΡΠ°Π²Π»Π΅Π½ΠΈΠ΅ΠΌ ΠΈΠ½Π΄ΡΠΊΡΠΈΠΎΠ½Π½ΡΡ Π»ΠΈΠ½ΠΈΠΉ ΠΊΠ°ΡΡΡΠΊΠΈ. Π ΡΡΠΎΠΌ ΡΠ»ΡΡΠ°Π΅ Π½Π°ΠΏΡΠ°Π²Π»Π΅Π½ΠΈΡ ΠΈΠ½Π΄ΡΠΊΡΠΈΠΎΠ½Π½ΠΎΠ³ΠΎ ΡΠΎΠΊΠ° ΠΈ Π²ΡΠ°ΡΠ΅Π½ΠΈΡ ΡΡΠΊΠΎΡΡΠΊΠΈ Π±ΡΡΠ°Π²ΡΠΈΠΊΠ° Π±ΡΠ΄ΡΡ ΡΠΎΠ²ΠΏΠ°Π΄Π°ΡΡ.
electric-220.ru
ΠΠ°Π³Π½ΠΈΡΠ½ΡΠΉ ΠΏΠΎΡΠΎΠΊ ΠΈ ΡΠ»Π΅ΠΊΡΡΠΎΠΌΠ°Π³Π½ΠΈΡΠ½Π°Ρ ΠΈΠ½Π΄ΡΠΊΡΠΈΡ: ΡΠΈΠ·ΠΈΡΠ΅ΡΠΊΠΈΠ΅ ΡΠΎΡΠΌΡΠ»Ρ
Π‘ΡΠ΅Π΄ΠΈ ΡΠΈΠ·ΠΈΡΠ΅ΡΠΊΠΈΡ Π²Π΅Π»ΠΈΡΠΈΠ½ Π²Π°ΠΆΠ½ΠΎΠ΅ ΠΌΠ΅ΡΡΠΎ Π·Π°Π½ΠΈΠΌΠ°Π΅Ρ ΠΌΠ°Π³Π½ΠΈΡΠ½ΡΠΉ ΠΏΠΎΡΠΎΠΊ. Π ΡΡΠΎΠΉ ΡΡΠ°ΡΡΠ΅ ΡΠ°ΡΡΠΊΠ°Π·ΡΠ²Π°Π΅ΡΡΡ ΠΎ ΡΠΎΠΌ, ΡΡΠΎ ΡΡΠΎ ΡΠ°ΠΊΠΎΠ΅, ΠΈ ΠΊΠ°ΠΊ ΠΎΠΏΡΠ΅Π΄Π΅Π»ΠΈΡΡ Π΅Π³ΠΎ Π²Π΅Π»ΠΈΡΠΈΠ½Ρ.

Π€ΠΎΡΠΌΡΠ»Π° ΠΌΠ°Π³Π½ΠΈΡΠ½ΠΎΠ³ΠΎ ΠΏΠΎΡΠΎΠΊΠ°
Π§ΡΠΎ ΡΠ°ΠΊΠΎΠ΅ ΠΌΠ°Π³Π½ΠΈΡΠ½ΡΠΉ ΠΏΠΎΡΠΎΠΊ
ΠΡΠΎ Π²Π΅Π»ΠΈΡΠΈΠ½Π°, ΠΎΠΏΡΠ΅Π΄Π΅Π»ΡΡΡΠ°Ρ ΡΡΠΎΠ²Π΅Π½Ρ ΠΌΠ°Π³Π½ΠΈΡΠ½ΠΎΠ³ΠΎ ΠΏΠΎΠ»Ρ, ΠΏΡΠΎΡ ΠΎΠ΄ΡΡΠ΅Π³ΠΎ ΡΠ΅ΡΠ΅Π· ΠΏΠΎΠ²Π΅ΡΡ Π½ΠΎΡΡΡ. ΠΠ±ΠΎΠ·Π½Π°ΡΠ°Π΅ΡΡΡ Β«Π€Π€Β» ΠΈ Π·Π°Π²ΠΈΡΠΈΡ ΠΎΡ ΡΠΈΠ»Ρ ΠΏΠΎΠ»Ρ ΠΈ ΡΠ³Π»Π° ΠΏΡΠΎΡ ΠΎΠΆΠ΄Π΅Π½ΠΈΡ ΠΏΠΎΠ»Ρ ΡΠ΅ΡΠ΅Π· ΡΡΡ ΠΏΠΎΠ²Π΅ΡΡ Π½ΠΎΡΡΡ.
Π Π°ΡΡΡΠΈΡΡΠ²Π°Π΅ΡΡΡ ΠΎΠ½Π° ΠΏΠΎ ΡΠΎΡΠΌΡΠ»Π΅:
Π€Π€=Bβ Sβ cosΞ±, Π³Π΄Π΅:
- Π€Π€ β ΠΌΠ°Π³Π½ΠΈΡΠ½ΡΠΉ ΠΏΠΎΡΠΎΠΊ;
- Π β Π²Π΅Π»ΠΈΡΠΈΠ½Π° ΠΌΠ°Π³Π½ΠΈΡΠ½ΠΎΠΉ ΠΈΠ½Π΄ΡΠΊΡΠΈΠΈ;
- S β ΠΏΠ»ΠΎΡΠ°Π΄Ρ ΠΏΠΎΠ²Π΅ΡΡ Π½ΠΎΡΡΠΈ, ΡΠ΅ΡΠ΅Π· ΠΊΠΎΡΠΎΡΡΡ ΠΏΡΠΎΡ ΠΎΠ΄ΠΈΡ ΡΡΠΎ ΠΏΠΎΠ»Π΅;
- cosΞ± β ΠΊΠΎΡΠΈΠ½ΡΡ ΡΠ³Π»Π° ΠΌΠ΅ΠΆΠ΄Ρ ΠΏΠ΅ΡΠΏΠ΅Π½Π΄ΠΈΠΊΡΠ»ΡΡΠΎΠΌ ΠΊ ΠΏΠΎΠ²Π΅ΡΡ Π½ΠΎΡΡΠΈ ΠΈ ΠΏΠΎΡΠΎΠΊΠΎΠΌ.
ΠΠ΄ΠΈΠ½ΠΈΡΠ΅ΠΉ ΠΈΠ·ΠΌΠ΅ΡΠ΅Π½ΠΈΡ Π² ΡΠΈΡΡΠ΅ΠΌΠ΅ Π‘Π ΡΠ²Π»ΡΠ΅ΡΡΡ Β«Π²Π΅Π±Π΅ΡΒ» (ΠΠ±). 1 Π²Π΅Π±Π΅Ρ ΡΠΎΠ·Π΄Π°ΡΡΡΡΒ ΠΏΠΎΠ»Π΅ΠΌ Π²Π΅Π»ΠΈΡΠΈΠ½ΠΎΠΉ 1 Π’Π», ΠΏΡΠΎΡ ΠΎΠ΄ΡΡΠΈΠΌ ΠΏΠ΅ΡΠΏΠ΅Π½Π΄ΠΈΠΊΡΠ»ΡΡΠ½ΠΎ ΠΏΠΎΠ²Π΅ΡΡ Π½ΠΎΡΡΠΈ ΠΏΠ»ΠΎΡΠ°Π΄ΡΡ 1 ΠΌΒ².
Π’Π°ΠΊΠΈΠΌ ΠΎΠ±ΡΠ°Π·ΠΎΠΌ, ΠΏΠΎΡΠΎΠΊ ΠΌΠ°ΠΊΡΠΈΠΌΠ°Π»Π΅Π½ ΠΏΡΠΈ ΡΠΎΠ²ΠΏΠ°Π΄Π΅Π½ΠΈΠΈ Π΅Π³ΠΎ Π½Π°ΠΏΡΠ°Π²Π»Π΅Π½ΠΈΡ Ρ Π²Π΅ΡΡΠΈΠΊΠ°Π»ΡΡ ΠΈ ΡΠ°Π²Π΅Π½ Β«0Β», Π΅ΡΠ»ΠΈ ΠΎΠ½ ΠΏΠ°ΡΠ°Π»Π»Π΅Π»Π΅Π½ Ρ ΠΏΠΎΠ²Π΅ΡΡ Π½ΠΎΡΡΡΡ.
ΠΠ½ΡΠ΅ΡΠ΅ΡΠ½ΠΎ. Π€ΠΎΡΠΌΡΠ»Π° ΠΌΠ°Π³Π½ΠΈΡΠ½ΠΎΠ³ΠΎ ΠΏΠΎΡΠΎΠΊΠ° Π°Π½Π°Π»ΠΎΠ³ΠΈΡΠ½Π° ΡΠΎΡΠΌΡΠ»Π΅, ΠΏΠΎ ΠΊΠΎΡΠΎΡΠΎΠΉ ΡΠ°ΡΡΡΠΈΡΡΠ²Π°Π΅ΡΡΡ ΠΎΡΠ²Π΅ΡΡΠ½Π½ΠΎΡΡΡ.
ΠΠΎΡΡΠΎΡΠ½Π½ΡΠ΅ ΠΌΠ°Π³Π½ΠΈΡΡ
ΠΠ΄Π½ΠΈΠΌ ΠΈΠ· ΠΈΡΡΠΎΡΠ½ΠΈΠΊΠΎΠ² ΠΏΠΎΠ»Ρ ΡΠ²Π»ΡΡΡΡΡ ΠΏΠΎΡΡΠΎΡΠ½Π½ΡΠ΅ ΠΌΠ°Π³Π½ΠΈΡΡ. ΠΠ½ΠΈ ΠΈΠ·Π²Π΅ΡΡΠ½Ρ ΠΌΠ½ΠΎΠ³ΠΎ Π²Π΅ΠΊΠΎΠ². ΠΠ· Π½Π°ΠΌΠ°Π³Π½ΠΈΡΠ΅Π½Π½ΠΎΠ³ΠΎ ΠΆΠ΅Π»Π΅Π·Π° ΠΈΠ·Π³ΠΎΡΠ°Π²Π»ΠΈΠ²Π°Π»Π°ΡΡ ΡΡΡΠ΅Π»ΠΊΠ° ΠΊΠΎΠΌΠΏΠ°ΡΠ°, Π° Π² ΠΡΠ΅Π²Π½Π΅ΠΉ ΠΡΠ΅ΡΠΈΠΈ ΡΡΡΠ΅ΡΡΠ²ΠΎΠ²Π°Π»Π° Π»Π΅Π³Π΅Π½Π΄Π° ΠΎΠ± ΠΎΡΡΡΠΎΠ²Π΅, ΠΏΡΠΈΡΡΠ³ΠΈΠ²Π°ΡΡΠ΅ΠΌ ΠΊ ΡΠ΅Π±Π΅ ΠΌΠ΅ΡΠ°Π»Π»ΠΈΡΠ΅ΡΠΊΠΈΠ΅ ΡΠ°ΡΡΠΈ ΠΊΠΎΡΠ°Π±Π»Π΅ΠΉ.
ΠΠΎΡΡΠΎΡΠ½Π½ΡΠ΅ ΠΌΠ°Π³Π½ΠΈΡΡ Π΅ΡΡΡ ΡΠ°Π·Π»ΠΈΡΠ½ΠΎΠΉ ΡΠΎΡΠΌΡ ΠΈ ΠΈΠ·Π³ΠΎΡΠ°Π²Π»ΠΈΠ²Π°ΡΡΡΡ ΠΈΠ· ΡΠ°Π·Π½ΡΡ ΠΌΠ°ΡΠ΅ΡΠΈΠ°Π»ΠΎΠ²:
- ΠΆΠ΅Π»Π΅Π·Π½ΡΠ΅ β ΡΠ°ΠΌΡΠ΅ Π΄Π΅ΡΡΠ²ΡΠ΅, Π½ΠΎ ΠΎΠ±Π»Π°Π΄Π°ΡΡ ΠΌΠ΅Π½ΡΡΠ΅ΠΉ ΠΏΡΠΈΡΡΠ³ΠΈΠ²Π°ΡΡΠ΅ΠΉ ΡΠΈΠ»ΠΎΠΉ;
- Π½Π΅ΠΎΠ΄ΠΈΠΌΠΎΠ²ΡΠ΅ β ΠΈΠ· ΡΠΏΠ»Π°Π²Π° Π½Π΅ΠΎΠ΄ΠΈΠΌΠ°, ΠΆΠ΅Π»Π΅Π·Π° ΠΈ Π±ΠΎΡΠ°;
- Π°Π»ΡΠ½ΠΈΠΊΠΎ β ΡΠΏΠ»Π°Π² ΠΆΠ΅Π»Π΅Π·Π°, Π°Π»ΡΠΌΠΈΠ½ΠΈΡ, Π½ΠΈΠΊΠ΅Π»Ρ ΠΈ ΠΊΠΎΠ±Π°Π»ΡΡΠ°.
ΠΡΠ΅ ΠΌΠ°Π³Π½ΠΈΡΡ ΡΠ²Π»ΡΡΡΡΡ Π΄Π²ΡΡ ΠΏΠΎΠ»ΡΡΠ½ΡΠΌΠΈ. ΠΡΠΎ Π·Π°ΠΌΠ΅ΡΠ½Π΅Π΅ Π²ΡΠ΅Π³ΠΎ Π² ΡΡΠ΅ΡΠΆΠ½Π΅Π²ΡΡ ΠΈ ΠΏΠΎΠ΄ΠΊΠΎΠ²ΠΎΠΎΠ±ΡΠ°Π·Π½ΡΡ ΡΡΡΡΠΎΠΉΡΡΠ²Π°Ρ .
ΠΡΠ»ΠΈ ΡΡΠ΅ΡΠΆΠ΅Π½Ρ ΠΏΠΎΠ΄Π²Π΅ΡΠΈΡΡ Π·Π° ΡΠ΅ΡΠ΅Π΄ΠΈΠ½Ρ ΠΈΠ»ΠΈ ΠΏΠΎΠ»ΠΎΠΆΠΈΡΡ Π½Π° ΠΏΠ»Π°Π²Π°ΡΡΠΈΠΉ ΠΊΡΡΠΎΡΠ΅ΠΊ Π΄Π΅ΡΠ΅Π²Π° ΠΈΠ»ΠΈ ΠΏΠ΅Π½ΠΎΠΏΠ»Π°ΡΡΠ°, ΡΠΎ ΠΎΠ½ ΡΠ°Π·Π²Π΅ΡΠ½ΡΡΡΡ ΠΏΠΎ Π½Π°ΠΏΡΠ°Π²Π»Π΅Π½ΠΈΡ Β«ΡΠ΅Π²Π΅Ρ-ΡΠ³Β». ΠΠΎΠ»ΡΡ, ΠΏΠΎΠΊΠ°Π·ΡΠ²Π°ΡΡΠΈΠΉ Π½Π° ΡΠ΅Π²Π΅Ρ, Π½Π°Π·ΡΠ²Π°ΡΡ ΡΠ΅Π²Π΅ΡΠ½ΡΠΌ ΠΈ Π½Π° Π»Π°Π±ΠΎΡΠ°ΡΠΎΡΠ½ΡΡ ΠΏΡΠΈΠ±ΠΎΡΠ°Ρ ΠΊΡΠ°ΡΡΡ Π² ΡΠΈΠ½ΠΈΠΉ ΡΠ²Π΅Ρ ΠΈ ΠΎΠ±ΠΎΠ·Π½Π°ΡΠ°ΡΡ Β«NΒ». ΠΡΠΎΡΠΈΠ²ΠΎΠΏΠΎΠ»ΠΎΠΆΠ½ΡΠΉ, ΠΏΠΎΠΊΠ°Π·ΡΠ²Π°ΡΡΠΈΠΉ Π½Π° ΡΠ³, β ΠΊΡΠ°ΡΠ½ΡΠΉ ΠΈ ΠΎΠ±ΠΎΠ·Π½Π°ΡΠ΅Π½ Β» SΒ». ΠΠ΄Π½ΠΎΠΈΠΌΡΠ½Π½ΡΠΌΠΈ ΠΏΠΎΠ»ΡΡΠ°ΠΌΠΈ ΠΌΠ°Π³Π½ΠΈΡΡ ΠΏΡΠΈΡΡΠ³ΠΈΠ²Π°ΡΡΡΡ, Π° ΠΏΡΠΎΡΠΈΠ²ΠΎΠΏΠΎΠ»ΠΎΠΆΠ½ΡΠΌΠΈ β ΠΎΡΡΠ°Π»ΠΊΠΈΠ²Π°ΡΡΡΡ.
Π 1851 Π³ΠΎΠ΄Ρ ΠΠ°ΠΉΠΊΠ» Π€Π°ΡΠ°Π΄Π΅ΠΉ ΠΏΡΠ΅Π΄Π»ΠΎΠΆΠΈΠ» ΠΏΠΎΠ½ΡΡΠΈΠ΅ ΠΎ Π·Π°ΠΌΠΊΠ½ΡΡΡΡ Π»ΠΈΠ½ΠΈΡΡ ΠΈΠ½Π΄ΡΠΊΡΠΈΠΈ. ΠΡΠΈ Π»ΠΈΠ½ΠΈΠΈ Π²ΡΡ ΠΎΠ΄ΡΡ ΠΈΠ· ΡΠ΅Π²Π΅ΡΠ½ΠΎΠ³ΠΎ ΠΏΠΎΠ»ΡΡΠ° ΠΌΠ°Π³Π½ΠΈΡΠ°, ΠΏΡΠΎΡ ΠΎΠ΄ΡΡ ΠΏΠΎ ΠΎΠΊΡΡΠΆΠ°ΡΡΠ΅ΠΌΡ ΠΏΡΠΎΡΡΡΠ°Π½ΡΡΠ²Ρ, Π²Ρ ΠΎΠ΄ΡΡ Π² ΡΠΆΠ½ΡΠΉ ΠΈ Π²Π½ΡΡΡΠΈ ΡΡΡΡΠΎΠΉΡΡΠ²Π° Π²ΠΎΠ·Π²ΡΠ°ΡΠ°ΡΡΡΡ ΠΊ ΡΠ΅Π²Π΅ΡΠ½ΠΎΠΌΡ. ΠΠ»ΠΈΠΆΠ΅ Π²ΡΠ΅Π³ΠΎ Π»ΠΈΠ½ΠΈΠΈ ΠΈ Π½Π°ΠΏΡΡΠΆΡΠ½Π½ΠΎΡΡΡ ΠΏΠΎΠ»Ρ Ρ ΠΏΠΎΠ»ΡΡΠΎΠ². ΠΠ΄Π΅ΡΡ ΡΠ°ΠΊΠΆΠ΅ Π²ΡΡΠ΅ ΠΏΡΠΈΡΡΠ³ΠΈΠ²Π°ΡΡΠ°Ρ ΡΠΈΠ»Π°.
ΠΡΠ»ΠΈ Π½Π° ΡΡΡΡΠΎΠΉΡΡΠ²ΠΎ ΠΏΠΎΠ»ΠΎΠΆΠΈΡΡ ΠΊΡΡΠΎΠΊ ΡΡΠ΅ΠΊΠ»Π°, Π° ΡΠ²Π΅ΡΡ Ρ ΡΠΎΠ½ΠΊΠΈΠΌ ΡΠ»ΠΎΠ΅ΠΌ Π½Π°ΡΡΠΏΠ°ΡΡ ΠΆΠ΅Π»Π΅Π·Π½ΡΠ΅ ΠΎΠΏΠΈΠ»ΠΊΠΈ, ΡΠΎ ΠΎΠ½ΠΈ ΡΠ°ΡΠΏΠΎΠ»ΠΎΠΆΠ°ΡΡΡ Π²Π΄ΠΎΠ»Ρ Π»ΠΈΠ½ΠΈΠΉ ΠΌΠ°Π³Π½ΠΈΡΠ½ΠΎΠ³ΠΎ ΠΏΠΎΠ»Ρ. ΠΡΠΈ ΡΠ°ΡΠΏΠΎΠ»ΠΎΠΆΠ΅Π½ΠΈΠΈ ΡΡΠ΄ΠΎΠΌ Π½Π΅ΡΠΊΠΎΠ»ΡΠΊΠΈΡ ΠΏΡΠΈΠ±ΠΎΡΠΎΠ² ΠΎΠΏΠΈΠ»ΠΊΠΈ ΠΏΠΎΠΊΠ°ΠΆΡΡ Π²Π·Π°ΠΈΠΌΠΎΠ΄Π΅ΠΉΡΡΠ²ΠΈΠ΅ ΠΌΠ΅ΠΆΠ΄Ρ Π½ΠΈΠΌΠΈ: ΠΏΡΠΈΡΡΠΆΠ΅Π½ΠΈΠ΅ ΠΈΠ»ΠΈ ΠΎΡΡΠ°Π»ΠΊΠΈΠ²Π°Π½ΠΈΠ΅.

ΠΠ°Π³Π½ΠΈΡ ΠΈ ΠΆΠ΅Π»Π΅Π·Π½ΡΠ΅ ΠΎΠΏΠΈΠ»ΠΊΠΈ
ΠΠ°Π³Π½ΠΈΡΠ½ΠΎΠ΅ ΠΏΠΎΠ»Π΅ ΠΠ΅ΠΌΠ»ΠΈ
ΠΠ°ΡΡ ΠΏΠ»Π°Π½Π΅ΡΡ ΠΌΠΎΠΆΠ½ΠΎ ΠΏΡΠ΅Π΄ΡΡΠ°Π²ΠΈΡΡ Π² Π²ΠΈΠ΄Π΅ ΠΌΠ°Π³Π½ΠΈΡΠ°, ΠΎΡΡ ΠΊΠΎΡΠΎΡΠΎΠ³ΠΎ Π½Π°ΠΊΠ»ΠΎΠ½Π΅Π½Π° Π½Π° 12 Π³ΡΠ°Π΄ΡΡΠΎΠ². ΠΠ΅ΡΠ΅ΡΠ΅ΡΠ΅Π½ΠΈΡ ΡΡΠΎΠΉ ΠΎΡΠΈ Ρ ΠΏΠΎΠ²Π΅ΡΡ Π½ΠΎΡΡΡΡ Π½Π°Π·ΡΠ²Π°ΡΡ ΠΌΠ°Π³Π½ΠΈΡΠ½ΡΠΌΠΈ ΠΏΠΎΠ»ΡΡΠ°ΠΌΠΈ. ΠΠ°ΠΊ ΠΈ Ρ Π»ΡΠ±ΠΎΠ³ΠΎ ΠΌΠ°Π³Π½ΠΈΡΠ°, ΡΠΈΠ»ΠΎΠ²ΡΠ΅ Π»ΠΈΠ½ΠΈΠΈ ΠΠ΅ΠΌΠ»ΠΈ ΠΈΠ΄ΡΡ ΠΎΡ ΡΠ΅Π²Π΅ΡΠ½ΠΎΠ³ΠΎ ΠΏΠΎΠ»ΡΡΠ° ΠΊ ΡΠΆΠ½ΠΎΠΌΡ. ΠΠΎΠ·Π»Π΅ ΠΏΠΎΠ»ΡΡΠΎΠ² ΠΎΠ½ΠΈ ΠΏΡΠΎΡ ΠΎΠ΄ΡΡ ΠΏΠ΅ΡΠΏΠ΅Π½Π΄ΠΈΠΊΡΠ»ΡΡΠ½ΠΎ ΠΏΠΎΠ²Π΅ΡΡ Π½ΠΎΡΡΠΈ, ΠΏΠΎΡΡΠΎΠΌΡ ΡΠ°ΠΌ ΡΡΡΠ΅Π»ΠΊΠ° ΠΊΠΎΠΌΠΏΠ°ΡΠ° Π½Π΅Π½Π°Π΄ΡΠΆΠ½Π°, ΠΈ ΠΏΡΠΈΡ ΠΎΠ΄ΠΈΡΡΡ ΠΈΡΠΏΠΎΠ»ΡΠ·ΠΎΠ²Π°ΡΡ Π΄ΡΡΠ³ΠΈΠ΅ ΡΠΏΠΎΡΠΎΠ±Ρ.
Π§Π°ΡΡΠΈΡΡ Β«ΡΠΎΠ»Π½Π΅ΡΠ½ΠΎΠ³ΠΎ Π²Π΅ΡΡΠ°Β» ΠΈΠΌΠ΅ΡΡ ΡΠ»Π΅ΠΊΡΡΠΈΡΠ΅ΡΠΊΠΈΠΉ Π·Π°ΡΡΠ΄, ΠΏΠΎΡΡΠΎΠΌΡ ΠΏΡΠΈ Π΄Π²ΠΈΠΆΠ΅Π½ΠΈΠΈ Π²ΠΎΠΊΡΡΠ³ Π½ΠΈΡ ΠΏΠΎΡΠ²Π»ΡΠ΅ΡΡΡ ΠΌΠ°Π³Π½ΠΈΡΠ½ΠΎΠ΅ ΠΏΠΎΠ»Π΅, Π²Π·Π°ΠΈΠΌΠΎΠ΄Π΅ΠΉΡΡΠ²ΡΡΡΠ΅Π΅ Ρ ΠΏΠΎΠ»Π΅ΠΌ ΠΠ΅ΠΌΠ»ΠΈ ΠΈ Π½Π°ΠΏΡΠ°Π²Π»ΡΡΡΠ΅Π΅ ΡΡΠΈ ΡΠ°ΡΡΠΈΡΡ Π²Π΄ΠΎΠ»Ρ ΡΠΈΠ»ΠΎΠ²ΡΡ Π»ΠΈΠ½ΠΈΠΉ. Π’Π΅ΠΌ ΡΠ°ΠΌΡΠΌ ΡΡΠΎ ΠΏΠΎΠ»Π΅ Π·Π°ΡΠΈΡΠ°Π΅Ρ Π·Π΅ΠΌΠ½ΡΡ ΠΏΠΎΠ²Π΅ΡΡ Π½ΠΎΡΡΡ ΠΎΡ ΠΊΠΎΡΠΌΠΈΡΠ΅ΡΠΊΠΎΠΉ ΡΠ°Π΄ΠΈΠ°ΡΠΈΠΈ. ΠΠ΄Π½Π°ΠΊΠΎ Π²ΠΎΠ·Π»Π΅ ΠΏΠΎΠ»ΡΡΠΎΠ² ΡΡΠΈ Π»ΠΈΠ½ΠΈΠΈ Π½Π°ΠΏΡΠ°Π²Π»Π΅Π½Ρ ΠΏΠ΅ΡΠΏΠ΅Π½Π΄ΠΈΠΊΡΠ»ΡΡΠ½ΠΎ ΠΏΠΎΠ²Π΅ΡΡ Π½ΠΎΡΡΠΈ, ΠΈ Π·Π°ΡΡΠΆΠ΅Π½Π½ΡΠ΅ ΡΠ°ΡΡΠΈΡΡ ΠΏΠΎΠΏΠ°Π΄Π°ΡΡ Π² Π°ΡΠΌΠΎΡΡΠ΅ΡΡ, Π²ΡΠ·ΡΠ²Π°Ρ ΡΠ΅Π²Π΅ΡΠ½ΠΎΠ΅ ΡΠΈΡΠ½ΠΈΠ΅.
ΠΠ»Π΅ΠΊΡΡΠΎΠΌΠ°Π³Π½ΠΈΡΡ
Π 1820 Π³ΠΎΠ΄Ρ ΠΠ°Π½Ρ ΠΡΡΡΠ΅Π΄, ΠΏΡΠΎΠ²ΠΎΠ΄Ρ ΡΠΊΡΠΏΠ΅ΡΠΈΠΌΠ΅Π½ΡΡ, ΡΠ²ΠΈΠ΄Π΅Π» Π²ΠΎΠ·Π΄Π΅ΠΉΡΡΠ²ΠΈΠ΅ ΠΏΡΠΎΠ²ΠΎΠ΄Π½ΠΈΠΊΠ°, ΠΏΠΎ ΠΊΠΎΡΠΎΡΠΎΠΌΡ ΠΏΡΠΎΡΠ΅ΠΊΠ°Π΅Ρ ΡΠ»Π΅ΠΊΡΡΠΈΡΠ΅ΡΠΊΠΈΠΉ ΡΠΎΠΊ, Π½Π° ΡΡΡΠ΅Π»ΠΊΡ ΠΊΠΎΠΌΠΏΠ°ΡΠ°. Π§Π΅ΡΠ΅Π· Π½Π΅ΡΠΊΠΎΠ»ΡΠΊΠΎ Π΄Π½Π΅ΠΉ ΠΠ½Π΄ΡΠ΅-ΠΠ°ΡΠΈ ΠΠΌΠΏΠ΅Ρ ΠΎΠ±Π½Π°ΡΡΠΆΠΈΠ» Π²Π·Π°ΠΈΠΌΠ½ΠΎΠ΅ ΠΏΡΠΈΡΡΠΆΠ΅Π½ΠΈΠ΅ Π΄Π²ΡΡ ΠΏΡΠΎΠ²ΠΎΠ΄ΠΎΠ², ΠΏΠΎ ΠΊΠΎΡΠΎΡΡΠΌ ΠΏΡΠΎΡΠ΅ΠΊΠ°Π» ΡΠΎΠΊ ΠΎΠ΄Π½ΠΎΠ³ΠΎ Π½Π°ΠΏΡΠ°Π²Π»Π΅Π½ΠΈΡ.
ΠΠ½ΡΠ΅ΡΠ΅ΡΠ½ΠΎ. ΠΠΎ Π²ΡΠ΅ΠΌΡ ΡΠ»Π΅ΠΊΡΡΠΎΡΠ²Π°ΡΠΎΡΠ½ΡΡ ΡΠ°Π±ΠΎΡ ΡΡΠ΄ΠΎΠΌ ΡΠ°ΡΠΏΠΎΠ»ΠΎΠΆΠ΅Π½Π½ΡΠ΅ ΠΊΠ°Π±Π΅Π»Ρ Π΄Π²ΠΈΠ³Π°ΡΡΡΡ ΠΏΡΠΈ ΠΈΠ·ΠΌΠ΅Π½Π΅Π½ΠΈΠΈ ΡΠΈΠ»Ρ ΡΠΎΠΊΠ°.
ΠΠΎΠ·ΠΆΠ΅ ΠΠΌΠΏΠ΅Ρ ΠΏΡΠ΅Π΄ΠΏΠΎΠ»ΠΎΠΆΠΈΠ», ΡΡΠΎ ΡΡΠΎ ΡΠ²ΡΠ·Π°Π½ΠΎ Ρ ΠΌΠ°Π³Π½ΠΈΡΠ½ΠΎΠΉ ΠΈΠ½Π΄ΡΠΊΡΠΈΠ΅ΠΉ ΡΠΎΠΊΠ°, ΠΏΡΠΎΡΠ΅ΠΊΠ°ΡΡΠ΅Π³ΠΎ ΠΏΠΎ ΠΏΡΠΎΠ²ΠΎΠ΄Π°ΠΌ.
Π ΠΊΠ°ΡΡΡΠΊΠ΅, Π½Π°ΠΌΠΎΡΠ°Π½Π½ΠΎΠΉ ΠΈΠ·ΠΎΠ»ΠΈΡΠΎΠ²Π°Π½Π½ΡΠΌ ΠΏΡΠΎΠ²ΠΎΠ΄ΠΎΠΌ, ΠΏΠΎ ΠΊΠΎΡΠΎΡΠΎΠΌΡ ΠΏΡΠΎΡΠ΅ΠΊΠ°Π΅Ρ ΡΠ»Π΅ΠΊΡΡΠΈΡΠ΅ΡΠΊΠΈΠΉ ΡΠΎΠΊ, ΠΏΠΎΠ»Ρ ΠΎΡΠ΄Π΅Π»ΡΠ½ΡΡ ΠΏΡΠΎΠ²ΠΎΠ΄Π½ΠΈΠΊΠΎΠ² ΡΡΠΈΠ»ΠΈΠ²Π°ΡΡ Π΄ΡΡΠ³ Π΄ΡΡΠ³Π°. ΠΠ»Ρ ΡΠ²Π΅Π»ΠΈΡΠ΅Π½ΠΈΡ ΡΠΈΠ»Ρ ΠΏΡΠΈΡΡΠΆΠ΅Π½ΠΈΡ ΠΊΠ°ΡΡΡΠΊΡ Π½Π°ΠΌΠ°ΡΡΠ²Π°ΡΡ Π½Π° Π½Π΅Π·Π°ΠΌΠΊΠ½ΡΡΠΎΠΌ ΡΡΠ°Π»ΡΠ½ΠΎΠΌ ΡΠ΅ΡΠ΄Π΅ΡΠ½ΠΈΠΊΠ΅. ΠΡΠΎΡ ΡΠ΅ΡΠ΄Π΅ΡΠ½ΠΈΠΊ Π½Π°ΠΌΠ°Π³Π½ΠΈΡΠΈΠ²Π°Π΅ΡΡΡ ΠΈ ΠΏΡΠΈΡΡΠ³ΠΈΠ²Π°Π΅Ρ ΠΆΠ΅Π»Π΅Π·Π½ΡΠ΅ Π΄Π΅ΡΠ°Π»ΠΈ ΠΈΠ»ΠΈ Π²ΡΠΎΡΡΡ ΠΏΠΎΠ»ΠΎΠ²ΠΈΠ½Ρ ΡΠ΅ΡΠ΄Π΅ΡΠ½ΠΈΠΊΠ° Π² ΡΠ΅Π»Π΅ ΠΈ ΠΊΠΎΠ½ΡΠ°ΠΊΡΠΎΡΠ°Ρ .

ΠΠ»Π΅ΠΊΡΡΠΎΠΌΠ°Π³Π½ΠΈΡΡ
ΠΠ»Π΅ΠΊΡΡΠΎΠΌΠ°Π³Π½ΠΈΡΠ½Π°Ρ ΠΈΠ½Π΄ΡΠΊΡΠΈΡ
ΠΡΠΈ ΠΈΠ·ΠΌΠ΅Π½Π΅Π½ΠΈΠΈ ΠΌΠ°Π³Π½ΠΈΡΠ½ΠΎΠ³ΠΎ ΠΏΠΎΡΠΎΠΊΠ° Π² ΠΏΡΠΎΠ²ΠΎΠ΄Π΅ Π½Π°Π²ΠΎΠ΄ΠΈΡΡΡ ΡΠ»Π΅ΠΊΡΡΠΈΡΠ΅ΡΠΊΠΈΠΉ ΡΠΎΠΊ. ΠΡΠΎΡ ΡΠ°ΠΊΡ Π½Π΅ Π·Π°Π²ΠΈΡΠΈΡ ΠΎΡ ΡΠΎΠ³ΠΎ, ΠΊΠ°ΠΊΠΈΠΌΠΈ ΠΏΡΠΈΡΠΈΠ½Π°ΠΌΠΈ Π±ΡΠ»ΠΎ Π²ΡΠ·Π²Π°Π½ΠΎ ΡΡΠΎ ΠΈΠ·ΠΌΠ΅Π½Π΅Π½ΠΈΠ΅: ΠΏΠ΅ΡΠ΅ΠΌΠ΅ΡΠ΅Π½ΠΈΠ΅ΠΌ ΠΏΠΎΡΡΠΎΡΠ½Π½ΠΎΠ³ΠΎ ΠΌΠ°Π³Π½ΠΈΡΠ°, Π΄Π²ΠΈΠΆΠ΅Π½ΠΈΠ΅ΠΌ ΠΏΡΠΎΠ²ΠΎΠ΄Π° ΠΈΠ»ΠΈ ΠΈΠ·ΠΌΠ΅Π½Π΅Π½ΠΈΠ΅ΠΌ ΡΠΈΠ»Ρ ΡΠΎΠΊΠ° Π² ΡΡΠ΄ΠΎΠΌ ΡΠ°ΡΠΏΠΎΠ»ΠΎΠΆΠ΅Π½Π½ΠΎΠΌ ΠΏΡΠΎΠ²ΠΎΠ΄Π½ΠΈΠΊΠ΅.
ΠΡΠΎ ΡΠ²Π»Π΅Π½ΠΈΠ΅ Π±ΡΠ»ΠΎ ΠΎΡΠΊΡΡΡΠΎ ΠΠ°ΠΉΠΊΠ»ΠΎΠΌ Π€Π°ΡΠ°Π΄Π΅Π΅ΠΌ 29 Π°Π²Π³ΡΡΡΠ° 1831 Π³ΠΎΠ΄Π°. ΠΠ³ΠΎ ΡΠΊΡΠΏΠ΅ΡΠΈΠΌΠ΅Π½ΡΡ ΠΏΠΎΠΊΠ°Π·Π°Π»ΠΈ, ΡΡΠΎ ΠΠΠ‘ (ΡΠ»Π΅ΠΊΡΡΠΎΠ΄Π²ΠΈΠΆΡΡΠ°Ρ ΡΠΈΠ»Π°), ΠΏΠΎΡΠ²Π»ΡΡΡΠ°ΡΡΡ Π² ΠΊΠΎΠ½ΡΡΡΠ΅, ΠΎΠ³ΡΠ°Π½ΠΈΡΠ΅Π½Π½ΠΎΠΌ ΠΏΡΠΎΠ²ΠΎΠ΄Π½ΠΈΠΊΠ°ΠΌΠΈ, ΠΏΡΡΠΌΠΎΠΏΡΠΎΠΏΠΎΡΡΠΈΠΎΠ½Π°Π»ΡΠ½Π° ΡΠΊΠΎΡΠΎΡΡΠΈ ΠΈΠ·ΠΌΠ΅Π½Π΅Π½ΠΈΡ ΠΏΠΎΡΠΎΠΊΠ°, ΠΏΡΠΎΡ ΠΎΠ΄ΡΡΠ΅Π³ΠΎ ΡΠ΅ΡΠ΅Π· ΠΏΠ»ΠΎΡΠ°Π΄Ρ ΡΡΠΎΠ³ΠΎ ΠΊΠΎΠ½ΡΡΡΠ°.
ΠΠ°ΠΆΠ½ΠΎ! ΠΠ»Ρ Π²ΠΎΠ·Π½ΠΈΠΊΠ½ΠΎΠ²Π΅Π½ΠΈΡ ΠΠΠ‘ ΠΏΡΠΎΠ²ΠΎΠ΄ Π΄ΠΎΠ»ΠΆΠ΅Π½ ΠΏΠ΅ΡΠ΅ΡΠ΅ΠΊΠ°ΡΡ ΡΠΈΠ»ΠΎΠ²ΡΠ΅ Π»ΠΈΠ½ΠΈΠΈ. ΠΡΠΈ Π΄Π²ΠΈΠΆΠ΅Π½ΠΈΠΈ Π²Π΄ΠΎΠ»Ρ Π»ΠΈΠ½ΠΈΠΉ ΠΠΠ‘ ΠΎΡΡΡΡΡΡΠ²ΡΠ΅Ρ.
ΠΡΠ»ΠΈ ΠΊΠ°ΡΡΡΠΊΠ°, Π² ΠΊΠΎΡΠΎΡΠΎΠΉ Π²ΠΎΠ·Π½ΠΈΠΊΠ°Π΅Ρ ΠΠΠ‘, Π²ΠΊΠ»ΡΡΠ΅Π½Π° Π² ΡΠ»Π΅ΠΊΡΡΠΈΡΠ΅ΡΠΊΡΡ ΡΠ΅ΠΏΡ, ΡΠΎ Π² ΠΎΠ±ΠΌΠΎΡΠΊΠ΅ Π²ΠΎΠ·Π½ΠΈΠΊΠ°Π΅Ρ ΡΠΎΠΊ, ΡΠΎΠ·Π΄Π°ΡΡΠΈΠΉ Π² ΠΊΠ°ΡΡΡΠΊΠ΅ ΠΈΠ½Π΄ΡΠΊΡΠΈΠ²Π½ΠΎΡΡΠΈ ΡΠ²ΠΎΡ ΡΠ»Π΅ΠΊΡΡΠΎΠΌΠ°Π³Π½ΠΈΡΠ½ΠΎΠ΅ ΠΏΠΎΠ»Π΅.
ΠΡΠ°Π²ΠΈΠ»ΠΎ ΠΏΡΠ°Π²ΠΎΠΉ ΡΡΠΊΠΈ
ΠΡΠΈ Π΄Π²ΠΈΠΆΠ΅Π½ΠΈΠΈ ΠΏΡΠΎΠ²ΠΎΠ΄Π½ΠΈΠΊΠ° Π² ΠΌΠ°Π³Π½ΠΈΡΠ½ΠΎΠΌ ΠΏΠΎΠ»Π΅ Π² Π½ΡΠΌ Π½Π°Π²ΠΎΠ΄ΠΈΡΡΡ ΠΠΠ‘. ΠΡ Π½Π°ΠΏΡΠ°Π²Π»Π΅Π½Π½ΠΎΡΡΡ Π·Π°Π²ΠΈΡΠΈΡ ΠΎΡ Π½Π°ΠΏΡΠ°Π²Π»Π΅Π½ΠΈΡ Π΄Π²ΠΈΠΆΠ΅Π½ΠΈΡ ΠΏΡΠΎΠ²ΠΎΠ΄Π°. ΠΠ΅ΡΠΎΠ΄, ΠΏΡΠΈ ΠΏΠΎΠΌΠΎΡΠΈ ΠΊΠΎΡΠΎΡΠΎΠ³ΠΎ ΠΎΠΏΡΠ΅Π΄Π΅Π»ΡΠ΅ΡΡΡ Π½Π°ΠΏΡΠ°Π²Π»Π΅Π½ΠΈΠ΅ ΠΌΠ°Π³Π½ΠΈΡΠ½ΠΎΠΉ ΠΈΠ½Π΄ΡΠΊΡΠΈΠΈ, Π½Π°Π·ΡΠ²Π°Π΅ΡΡΡ Β«ΠΌΠ΅ΡΠΎΠ΄ ΠΏΡΠ°Π²ΠΎΠΉ ΡΡΠΊΠΈΒ».

ΠΡΠ°Π²ΠΈΠ»ΠΎ ΠΏΡΠ°Π²ΠΎΠΉ ΡΡΠΊΠΈ
Π Π°ΡΡΡΡ Π²Π΅Π»ΠΈΡΠΈΠ½Ρ ΠΌΠ°Π³Π½ΠΈΡΠ½ΠΎΠ³ΠΎ ΠΏΠΎΠ»Ρ Π²Π°ΠΆΠ΅Π½ Π΄Π»Ρ ΠΏΡΠΎΠ΅ΠΊΡΠΈΡΠΎΠ²Π°Π½ΠΈΡ ΡΠ»Π΅ΠΊΡΡΠΈΡΠ΅ΡΠΊΠΈΡ ΠΌΠ°ΡΠΈΠ½ ΠΈ ΡΡΠ°Π½ΡΡΠΎΡΠΌΠ°ΡΠΎΡΠΎΠ².
ΠΠΈΠ΄Π΅ΠΎ
ΠΡΠ΅Π½ΠΈΡΠ΅ ΡΡΠ°ΡΡΡ:elquanta.ru
ΠΠ»Π΅ΠΊΡΡΠΎΠΌΠ°Π³Π½Π΅ΡΠΈΠ·ΠΌ – ΡΡΠ΅Π±Π½ΡΠΉ ΠΌΠ°ΡΠ΅ΡΠΈΠ°Π» – ΠΠ°ΡΠ°Π»ΠΎΠ³ ΡΡΠ°ΡΠ΅ΠΉ
ΠΠ»Π΅ΠΊΡΡΠΎΠΌΠ°Π³ΠΈΠ½ΡΠ½Π°Ρ ΠΈΠ½Π΄ΡΠΊΡΠΈΡ β ΡΡΠΎ ΡΠ²Π»Π΅Π½ΠΈΠ΅ Π²ΠΎΠ·Π½ΠΈΠΊΠ½ΠΎΠ²Π΅Π½ΠΈΡ ΠΈΠ½Π΄ΡΠΊΡΠΈΠΎΠ½Π½ΠΎΠ³ΠΎ ΡΠΎΠΊΠ° Π² Π·Π°ΠΌΠΊΠ½ΡΡΠΎΠΌ ΠΊΠΎΠ½ΡΡΡΠ΅ ΠΏΡΠΈ ΠΈΠ·ΠΌΠ΅Π½Π΅Π½ΠΈΠΈ ΠΌΠ°Π³Π½ΠΈΡΠ½ΠΎΠ³ΠΎ ΠΏΠΎΡΠΎΠΊΠ° ΡΠ΅ΡΠ΅Π· Π½Π΅Π³ΠΎ.
ΠΠ°Π³Π½ΠΈΡΠ½ΡΠΉ ΠΏΠΎΡΠΎΠΊ β ΡΡΠΎ Π²Π΅Π»ΠΈΡΠΈΠ½Π°, ΡΠΈΡΠ»Π΅Π½Π½ΠΎ ΡΠ°Π²Π½Π°Ρ ΠΊΠΎΠ»ΠΈΡΠ΅ΡΡΠ²Ρ Π»ΠΈΠ½ΠΈΠΉ ΠΌΠ°Π³Π½ΠΈΡΠ½ΠΎΠΉ ΠΈΠ½Π΄ΡΠΊΡΠΈΠΈ, ΠΏΠ΅ΡΠ΅ΡΠ΅ΠΊΠ°ΡΡΠΈΡ ΠΊΠΎΠ½ΡΡΡ ΠΏΠ»ΠΎΡΠ°Π΄ΡΡ S.
ΠΠ°Π³Π½ΠΈΡΠ½ΡΠΉ ΠΏΠΎΡΠΎΠΊ Π²ΡΡΠΈΡΠ»ΡΠ΅ΡΡΡ ΠΏΠΎ ΡΠΎΡΠΌΡΠ»Π΅: Π€ = BS cos Ξ±, Π³Π΄Π΅ Ξ± β ΡΠ³ΠΎΠ» ΠΌΠ΅ΠΆΠ΄Ρ Π½ΠΎΡΠΌΠ°Π»ΡΡ ΠΊ ΠΊΠΎΠ½ΡΡΡΡ ΠΈ Π²Π΅ΠΊΡΠΎΡΠΎΠΌ ΠΌΠ°Π³Π½ΠΈΡΠ½ΠΎΠΉ ΠΈΠ½Π΄ΡΠΊΡΠΈΠΈ. ΠΠ·ΠΌΠ΅ΡΡΠ΅ΡΡΡ Π² Π²Π΅Π±Π΅ΡΠ°Ρ (ΠΠ±).
Π’Π°ΠΊΠΈΠΌ ΠΎΠ±ΡΠ°Π·ΠΎΠΌ, ΡΠ²Π»Π΅Π½ΠΈΠ΅ ΠΌΠ°Π³Π½ΠΈΡΠ½ΠΎΠΉ ΠΈΠ½Π΄ΡΠΊΡΠΈΠΈ Π²ΠΎΠ·Π½ΠΈΠΊΠ°Π΅Ρ ΠΏΡΠΈ Π»ΡΠ±ΠΎΠΌ ΠΈΠ·ΠΌΠ΅Π½Π΅Π½ΠΈΠΈ ΠΌΠ°Π³Π½ΠΈΡΠ½ΠΎΠ³ΠΎ ΠΏΠΎΡΠΎΠΊΠ° ΡΠ΅ΡΠ΅Π· ΠΊΠΎΠ½ΡΡΡ:
– ΠΏΡΠΈ ΠΈΠ·ΠΌΠ΅Π½Π΅Π½ΠΈΠΈ ΠΌΠ°Π³Π½ΠΈΡΠ½ΠΎΠΉ ΠΈΠ½Π΄ΡΠΊΡΠΈΠΈ Π: Β ΞΠ€ = ΞBS cos Ξ± (Π΄Π²ΠΈΠΆΠ΅Π½ΠΈΠ΅ ΠΌΠ°Π³Π½ΠΈΡΠ°, Π΄Π²ΠΈΠΆΠ΅Π½ΠΈΠ΅ Π²ΡΠΎΡΠΈΡΠ½ΠΎΠΉ ΠΊΠ°ΡΡΡΠΊΠΈ Ρ ΡΠΎΠΊΠΎΠΌ, ΠΈΠ·ΠΌΠ΅Π½Π΅Π½ΠΈΠ΅ ΡΠΈΠ»Ρ ΡΠΎΠΊΠ° Π²ΠΎ Π²ΡΠΎΡΠΈΡΠ½ΠΎΠΉ ΠΊΠ°ΡΡΡΠΊΠ΅ ΠΏΡΠΈ ΠΏΠ΅ΡΠ΅ΠΌΠ΅ΡΠ΅Π½ΠΈΠΈ ΠΏΠΎΠ»Π·ΡΠ½ΠΊΠ° ΡΠ΅ΠΎΡΡΠ°ΡΠ° ΠΈΠ»ΠΈ Π²ΠΊΠ»ΡΡΠ΅Π½ΠΈΠΈ/Π²ΡΠΊΠ»ΡΡΠ΅Π½ΠΈΠΈ ΡΠΎΠΊΠ° Π² ΠΎΠ±ΠΌΠΎΡΠΊΠ΅)
– ΠΏΠ»ΠΎΡΠ°Π΄ΠΈ ΠΊΠΎΠ½ΡΡΡΠ° S : Β ΞΠ€ = BΞS cos Ξ±
– Β ΡΠ³Π»Π° ΠΌΠ΅ΠΆΠ΄Ρ Π½ΠΎΡΠΌΠ°Π»ΡΡ ΠΈ Π²Π΅ΠΊΡΠΎΡΠΎΠΌ ΠΌΠ°Π³Π½ΠΈΡΠ½ΠΎΠΉ ΠΈΠ½Π΄ΡΠΊΡΠΈΠΈ Ξ±: Β ΞΠ€ = BS(cos Ξ±2 β cos Ξ±1).
ΠΠ°ΠΊΠΎΠ½ Π€Π°ΡΠ°Π΄Π΅Ρ: Β ΠΠΠ‘ ΠΈΠ½Π΄ΡΠΊΡΠΈΠΈ, Π²ΠΎΠ·Π½ΠΈΠΊΠ°ΡΡΠ°Ρ Π² ΠΊΠΎΠ½ΡΡΡΠ΅ ΠΏΡΠΈ ΠΈΠ·ΠΌΠ΅Π½Π΅Π½ΠΈΠΈ ΠΌΠ°Π³Π½ΠΈΡΠ½ΠΎΠ³ΠΎ ΠΏΠΎΡΠΎΠΊΠ°, ΠΏΠ΅ΡΠ΅ΡΠ΅ΠΊΠ°ΡΡΠ΅Π³ΠΎ ΡΡΠΎΡ ΠΊΠΎΠ½ΡΡΡ, ΡΠ°Π²Π½Π° ΠΏΠΎ ΠΌΠΎΠ΄ΡΠ»Ρ ΡΠΊΠΎΡΠΎΡΡΠΈ ΠΈΠ·ΠΌΠ΅Π½Π΅Π½ΠΈΡ ΠΌΠ°Π³Π½ΠΈΡΠ½ΠΎΠ³ΠΎ ΠΏΠΎΡΠΎΠΊΠ°:Π€ΠΎΡΠΌΡΠ»Π° ΠΏΡΠΈΠΌΠ΅Π½ΠΈΠΌΠ°, Π΅ΡΠ»ΠΈ Π·Π° ΠΏΡΠΎΠΌΠ΅ΠΆΡΡΠΎΠΊ Π²ΡΠ΅ΠΌΠ΅Π½ΠΈ Ξt ΠΌΠ°Π³Π½ΠΈΡΠ½ΡΠΉ ΠΏΠΎΡΠΎΠΊ ΠΈΠ·ΠΌΠ΅Π½ΡΠ΅ΡΡΡ Π½Π° ΠΎΠ΄Π½Ρ ΠΈ ΡΡ ΠΆΠ΅ Π²Π΅Π»ΠΈΡΠΈΠ½Ρ, Ρ.Π΅. ΠΊΠΎΠ³Π΄Π° ΡΠΊΠΎΡΠΎΡΡΡ ΠΈΠ·ΠΌΠ΅Π½Π΅Π½ΠΈΡ ΠΌΠ°Π³Π½ΠΈΡΠ½ΠΎΠ³ΠΎ ΠΏΠΎΡΠΎΠΊΠ° ΞΠ€/Ξt ΠΏΠΎΡΡΠΎΡΠ½Π½Π°.
ΠΡΠΈΡΠΈΠ½Ρ Π²ΠΎΠ·Π½ΠΈΠΊΠ½ΠΎΠ²Π΅Π½ΠΈΡ ΠΠΠ‘ ΠΈΠ½Π΄ΡΠΊΡΠΈΠΈ:
–Β Π² Π·Π°ΠΌΠΊΠ½ΡΡΠΎΠΌ ΠΊΠΎΠ½ΡΡΡΠ΅ ΠΈΠ·ΠΌΠ΅Π½Π΅Π½ΠΈΠ΅ ΠΌΠ°Π³Π½ΠΈΡΠ½ΠΎΠ³ΠΎ ΠΏΠΎΡΠΎΠΊΠ° ΡΠ΅ΡΠ΅Π· Π½Π΅Π³ΠΎ ΡΠΎΠ·Π΄Π°Π΅Ρ Π²ΠΈΡ ΡΠ΅Π²ΠΎΠ΅ ΡΠ»Π΅ΠΊΡΡΠΈΡΠ΅ΡΠΊΠΎΠ΅ ΠΏΠΎΠ»Π΅, ΠΊΠΎΡΠΎΡΠΎΠ΅ Π² ΡΠ²ΠΎΡ ΠΎΡΠ΅ΡΠ΅Π΄Ρ ΡΠΎΠ²Π΅ΡΡΠ°Π΅Ρ ΡΠ°Π±ΠΎΡΡ ΠΏΠΎ ΠΏΠ΅ΡΠ΅ΠΌΠ΅ΡΠ΅Π½ΠΈΡ ΡΠ»Π΅ΠΊΡΡΠΈΡΠ΅ΡΠΊΠΎΠ³ΠΎ Π·Π°ΡΡΠ΄Π°, ΠΊΠΎΡΠΎΡΠ°Ρ Ρ Π°ΡΠ°ΠΊΡΠ΅ΡΠΈΠ·ΡΠ΅ΡΡΡ ΠΠΠ‘ ΠΈΠ½Π΄ΡΠΊΡΠΈΠΈ;
– Π² ΠΏΡΠΎΠ²ΠΎΠ΄Π½ΠΈΠΊΠ΅, Π΄Π²ΠΈΠΆΡΡΠ΅ΠΌΡΡ Π² ΠΌΠ°Π³Π½ΠΈΡΠ½ΠΎΠΌ ΠΏΠΎΠ»Π΅ Ρ ΠΏΠΎΡΡΠΎΡΠ½Π½ΠΎΠΉ ΡΠΊΠΎΡΠΎΡΡΡΡ v, Π½Π° Π·Π°ΡΡΠ΄ Π΄Π΅ΠΉΡΡΠ²ΡΠ΅Ρ ΡΠΈΠ»Π° ΠΠΎΡΠ΅Π½ΡΠ°, ΠΊΠΎΡΠΎΡΠ°Ρ ΡΠΎΠ·Π΄Π°Π΅Ρ Π½Π°ΠΏΡΠ°Π²Π»Π΅Π½Π½ΠΎΠ΅ Π΄Π²ΠΈΠΆΠ΅Π½ΠΈΠ΅ Π·Π°ΡΡΠΆΠ΅Π½Π½ΡΡ ΡΠ°ΡΡΠΈΡ ΠΏΠΎ ΠΏΡΠΎΠ²ΠΎΠ΄Π½ΠΈΠΊΡ. ΠΠΎΡΡΠΎΠΌΡΒ ΠΠΠ‘ ΠΈΠ½Π΄ΡΠΊΡΠΈΠΈ Π² Π΄Π²ΠΈΠΆΡΡΠ΅ΠΌΡΡ Π² ΠΌΠ°Π³Π½ΠΈΡΠ½ΠΎΠΌ ΠΏΠΎΠ»Π΅ ΠΏΡΠΎΠ²ΠΎΠ΄Π½ΠΈΠΊΠ΅ ΡΠ°Π²Π½ΠΎ β°i = BvL sin Ξ±, Π³Π΄Π΅ Ξ± β ΡΠ³ΠΎΠ» ΠΌΠ΅ΠΆΠ΄Ρ Π½Π°ΠΏΡΠ°Π²Π»Π΅Π½ΠΈΠ΅ΠΌ Π²Π΅ΠΊΡΠΎΡΠ° ΠΌΠ°Π³Π½ΠΈΡΠ½ΠΎΠΉ ΠΈΠ½Π΄ΡΠΊΡΠΈΠΈ ΠΈ Π½Π°ΠΏΡΠ°Π²Π»Π΅Π½ΠΈΠ΅ΠΌ ΡΠΊΠΎΡΠΎΡΡΠΈ ΠΏΡΠΈ Π΄Π²ΠΈΠΆΠ΅Π½ΠΈΠΈ ΠΏΡΠΎΠ²ΠΎΠ΄Π½ΠΈΠΊΠ°.
Π’Π°ΠΊ ΠΊΠ°ΠΊ Π² ΠΏΡΠΎΠ²ΠΎΠ΄Π½ΠΈΠΊΠ΅ Π²ΠΎΠ·Π½ΠΈΠΊΠ°Π΅Ρ ΠΠΠ‘ ΠΈΠ½Π΄ΡΠΊΡΠΈΠΈ ΠΈ ΡΠΎΠΎΡΠ²Π΅ΡΡΡΠ²Π΅Π½Π½ΠΎ ΠΈΠ½Π΄ΡΠΊΡΠΈΠΎΠ½Π½ΡΠΉ ΡΠΎΠΊ, ΡΠΎ ΡΠΈΠ»Ρ ΡΠΎΠΊΠ° ΠΌΠΎΠΆΠ½ΠΎ Π½Π°ΠΉΡΠΈ ΠΏΠΎ Π·Π°ΠΊΠΎΠ½Ρ ΠΠΌΠ°:ΠΠ°ΠΏΡΠ°Π²Π»Π΅Π½ΠΈΠ΅ ΠΈΠ½Π΄ΡΠΊΡΠΈΠΎΠ½Π½ΠΎΠ³ΠΎ ΡΠΎΠΊΠ°:
– Π² Π·Π°ΠΌΠΊΠ½ΡΡΠΎΠΌ ΠΊΠΎΠ½ΡΡΡΠ΅ ΠΎΠΏΡΠ΅Π΄Π΅Π»ΡΠ΅ΡΡΡ ΠΏΡΠ°Π²ΠΈΠ»ΠΎΠΌ ΠΠ΅Π½ΡΠ°:Β ΠΈΠ½Π΄ΡΠΊΡΠΈΠΎΠ½Π½ΡΠΉ ΡΠΎΠΊ Π²ΡΠ΅Π³Π΄Π° Π½Π°ΠΏΡΠ°Π²Π»Π΅Π½ ΡΠ°ΠΊ, ΡΡΠΎ ΡΠ²ΠΎΠΈΠΌ ΠΌΠ°Π³Π½ΠΈΡΠ½ΡΠΌ ΠΏΠΎΠ»Π΅ΠΌ ΠΎΠ½ ΠΏΡΠ΅ΠΏΡΡΡΡΠ²ΡΠ΅Ρ ΠΈΠ·ΠΌΠ΅Π½Π΅Π½ΠΈΡ ΠΌΠ°Π³Π½ΠΈΡΠ½ΠΎΠ³ΠΎ ΠΏΠΎΡΠΎΠΊΠ°, Π²ΡΠ·ΡΠ²Π°ΡΡΠ΅Π³ΠΎ ΡΡΠΎΡ ΡΠΎΠΊ.– Π² ΠΏΡΠΎΠ²ΠΎΠ΄Π½ΠΈΠΊΠ΅, ΠΊΠΎΡΠΎΡΡΠΉ Π΄Π²ΠΈΠΆΠ΅ΡΡΡ Π² ΠΌΠ°Π³Π½ΠΈΡΠ½ΠΎΠΌ ΠΏΠΎΠ»Π΅, Π½Π°ΠΏΡΠ°Π²Π»Π΅Π½ΠΈΠ΅ ΠΈΠ½Π΄ΡΠΊΡΠΈΠΎΠ½Π½ΠΎΠ³ΠΎ ΡΠΎΠΊΠ° ΠΎΠΏΡΠ΅Π΄Π΅Π»ΡΠ΅ΡΡΡ ΠΏΡΠ°Π²ΠΈΠ»ΠΎΠΌ Π»Π΅Π²ΠΎΠΉ ΡΡΠΊΠΈ: Π΅ΡΠ»ΠΈ ΡΠ°ΡΠΏΠΎΠ»ΠΎΠΆΠΈΡΡ Π»Π΅Π²ΡΡ ΡΡΠΊΡ ΡΠ°ΠΊ, ΡΡΠΎΠ±Ρ ΡΠ΅ΡΡΡΠ΅ ΠΏΠ°Π»ΡΡΠ° ΠΏΠΎΠΊΠ°Π·ΡΠ²Π°Π»ΠΈ Π½Π°ΠΏΡΠ°Π²Π»Π΅Π½ΠΈΠ΅ Π΄Π²ΠΈΠΆΠ΅Π½ΠΈΡ ΠΏΡΠΎΠ²ΠΎΠ΄Π½ΠΈΠΊΠ°, ΠΌΠ°Π³Π½ΠΈΡΠ½ΡΠ΅ Π»ΠΈΠ½ΠΈΠΈ Π²Ρ ΠΎΠ΄ΠΈΠ»ΠΈ Π² Π»Π°Π΄ΠΎΠ½Ρ, ΡΠΎ Π±ΠΎΠ»ΡΡΠΎΠΉ ΠΏΠ°Π»Π΅Ρ ΠΏΠΎΠΊΠ°ΠΆΠ΅Ρ Π½Π°ΠΏΡΠ°Π²Π»Π΅Π½ΠΈΠ΅ ΠΈΠ½Π΄ΡΠΊΡΠΈΠΎΠ½Π½ΠΎΠ³ΠΎ ΡΠΎΠΊΠ° Π² ΠΏΡΠΎΠ²ΠΎΠ΄Π½ΠΈΠΊΠ΅.
ΠΡΠ»ΠΈ ΡΠΎΠΊ Π² ΠΊΠΎΠ½ΡΡΡΠ΅ ΠΏΠΎ ΠΊΠ°ΠΊΠΎΠΉ-ΡΠΎ ΠΏΡΠΈΡΠΈΠ½Π΅ Π±ΡΠ΄Π΅Ρ ΠΈΠ·ΠΌΠ΅Π½ΡΡΡΡΡ, ΡΡΠΎ ΡΠΎΠ·Π΄Π°Π½Π½ΠΎΠ΅ ΡΠΎΠΊΠΎΠΌ ΠΌΠ°Π³Π½ΠΈΡΠ½ΠΎΠ΅ ΠΏΠΎΠ»Π΅ ΡΠΎΠ·Π΄Π°ΡΡ Π² ΡΠΎΠΉ ΠΆΠ΅ ΠΊΠ°ΡΡΡΠΊΠ΅ ΠΈΠ½Π΄ΡΠΊΡΠΈΠΎΠ½Π½ΡΠΉ ΡΠΎΠΊ, Ρ.Π΅. Π±ΡΠ΄Π΅Ρ Π½Π°Π±Π»ΡΠ΄Π°ΡΡΡΡ ΡΠ²Π»Π΅Π½ΠΈΠ΅ ΡΠ°ΠΌΠΎΠΈΠ½Π΄ΡΠΊΡΠΈΠΈ. ΠΠ°Π³Π½ΠΈΡΠ½ΡΠΉ ΠΏΠΎΡΠΎΠΊΒ Π² ΠΊΠ°ΡΡΡΠΊΠ΅ ΠΏΡΠΎΠΏΠΎΡΡΠΈΠΎΠ½Π°Π»Π΅Π½ ΡΠΈΠ»Π΅ ΡΠΎΠΊΠ° Π² Π½Π΅ΠΉ: Π€ = LI, Π³Π΄Π΅ L β Π²Π΅Π»ΠΈΡΠΈΠ½Π°, Π½Π°Π·ΡΠ²Π°Π΅ΠΌΠ°Ρ ΠΈΠ½Π΄ΡΠΊΡΠΈΠ²Π½ΠΎΡΡΡΡ ΠΊΠ°ΡΡΡΠΊΠΈ L. ΠΠ½Π΄ΡΠΊΡΠΈΠ²Π½ΠΎΡΡΡ Π·Π°Π²ΠΈΡΠΈΡ ΠΎΡ ΡΠ²ΠΎΠΉΡΡΠ² ΠΊΠ°ΡΡΡΠΊΠΈ: Π΅Π΅ Π΄Π»ΠΈΠ½Ρ, ΡΠΈΡΠ»Π° Π²ΠΈΡΠΊΠΎΠ², Π½Π°Π»ΠΈΡΠΈΡ ΡΠ΅ΡΠ΄Π΅ΡΠ½ΠΈΠΊΠ° ΠΈ ΠΌΠ°ΡΠ΅ΡΠΈΠ°Π»Π°, ΠΈΠ· ΠΊΠΎΡΠΎΡΠΎΠ³ΠΎ ΠΈΠ·Π³ΠΎΡΠΎΠ²Π»Π΅Π½ ΡΠ΅ΡΠ΄Π΅ΡΠ½ΠΈΠΊ (ΡΠ΅ΡΡΠΎΠΌΠ°Π³Π½Π΅ΡΠΈΠΊ, Π΄ΠΈΠ°ΠΌΠ°Π³Π½Π΅ΡΠΈΠΊ ΠΈΠ»ΠΈ ΠΏΠ°ΡΠ°ΠΌΠ°Π³Π½Π΅ΡΠΈΠΊ). ΠΠ΄ΠΈΠ½ΠΈΡΠ° ΠΈΠ·ΠΌΠ΅ΡΠ΅Π½ΠΈΡ ΠΈΠ½Π΄ΡΠΊΡΠΈΠ²Π½ΠΎΡΡΠΈ β Π³Π΅Π½ΡΠΈ (ΠΠ½).
ΠΡΠΈ ΡΠ°ΠΌΠΎΠΈΠ½Π΄ΡΠΊΡΠΈΠΈ ΠΠΠ‘, Π²ΠΎΠ·Π½ΠΈΠΊΠ°ΡΡΠ°Ρ Π² ΠΊΠ°ΡΡΡΠΊΠ΅ ΠΏΡΠΈ ΡΠ°Π²Π½ΠΎΠΌΠ΅ΡΠ½ΠΎΠΌ ΠΈΠ·ΠΌΠ΅Π½Π΅Π½ΠΈΠΈ ΡΠΈΠ»Ρ ΡΠΎΠΊΠ° Π² Π½Π΅ΠΉ, ΡΠ°Π²Π½Π°:ΠΠ°Π³Π½ΠΈΡΠ½ΠΎΠ΅ ΠΏΠΎΠ»Π΅ ΠΊΠ°ΡΡΡΠΊΠΈ ΠΎΠ±Π»Π°Π΄Π°Π΅Ρ ΡΠ½Π΅ΡΠ³ΠΈΠ΅ΠΉ:
bocharova.ucoz.ru
Π€ΠΎΡΠΌΡΠ»Π° ΠΠΠ‘ ΠΈΠ½Π΄ΡΠΊΡΠΈΠΈ, E
ΠΠ°ΠΊΠΎΠ½ Π€Π°ΡΠ°Π΄Π΅Ρ β ΠΠ°ΠΊΡΠ²Π΅Π»Π»Π° Π΄Π»Ρ ΡΠ»Π΅ΠΊΡΡΠΎΠΌΠ°Π³Π½ΠΈΡΠ½ΠΎΠΉ ΠΈΠ½Π΄ΡΠΊΡΠΈΠΈ
ΠΡΠ½ΠΎΠ²Π½ΠΎΠΉ ΡΠΎΡΠΌΡΠ»ΠΎΠΉ, ΠΊΠΎΡΠΎΡΠ°Ρ ΠΎΠΏΡΠ΅Π΄Π΅Π»ΡΠ΅Ρ ΠΠΠ‘ ΠΈΠ½Π΄ΡΠΊΡΠΈΠΈ, ΡΠ²Π»ΡΠ΅ΡΡΡ Π·Π°ΠΊΠΎΠ½ Π€Π°ΡΠ°Π΄Π΅Ρ β ΠΠ°ΠΊΡΠ²Π΅Π»Π»Π°, Π±ΠΎΠ»ΡΡΠ΅ ΠΈΠ·Π²Π΅ΡΡΠ½ΡΠΉ ΠΊΠ°ΠΊ ΠΎΡΠ½ΠΎΠ²Π½ΠΎΠΉ Π·Π°ΠΊΠΎΠ½ ΡΠ»Π΅ΠΊΡΡΠΎΠΌΠ°Π³Π½ΠΈΡΠ½ΠΎΠΉ ΠΈΠ½Π΄ΡΠΊΡΠΈΠΈ (ΠΈΠ»ΠΈ Π·Π°ΠΊΠΎΠ½ Π€Π°ΡΠ°Π΄Π΅Ρ). ΠΡΠΎΡ Π·Π°ΠΊΠΎΠ½ ΡΡΠ²Π΅ΡΠΆΠ΄Π°Π΅Ρ, ΡΡΠΎ ΠΠΠ‘ ΠΈΠ½Π΄ΡΠΊΡΠΈΠΈ Π² ΠΊΠΎΠ½ΡΡΡΠ΅, Π½Π°Ρ ΠΎΠ΄ΡΡΠ΅ΠΌΡΡ Π² ΠΏΠ΅ΡΠ΅ΠΌΠ΅Π½Π½ΠΎΠΌ ΠΌΠ°Π³Π½ΠΈΡΠ½ΠΎΠΌ ΠΏΠΎΠ»Π΅, ΡΠ°Π²Π½Π° ΠΏΠΎ Π²Π΅Π»ΠΈΡΠΈΠ½Π΅ ΠΈ ΠΏΡΠΎΡΠΈΠ²ΠΎΠΏΠΎΠ»ΠΎΠΆΠ½Π° ΠΏΠΎ Π·Π½Π°ΠΊΡ ΡΠΊΠΎΡΠΎΡΡΠΈ ΠΈΠ·ΠΌΠ΅Π½Π΅Π½ΠΈΡ ΠΌΠ°Π³Π½ΠΈΡΠ½ΠΎΠ³ΠΎ ΠΏΠΎΡΠΎΠΊΠ° () ΡΠ΅ΡΠ΅Π· ΠΏΠΎΠ²Π΅ΡΡ Π½ΠΎΡΡΡ, ΠΊΠΎΡΠΎΡΡΡ ΠΎΠ³ΡΠ°Π½ΠΈΡΠΈΠ²Π°Π΅Ρ Π΄Π°Π½Π½ΡΠΉ ΠΊΠΎΠ½ΡΡΡ:
Β Β
Π³Π΄Π΅ β ΡΠΊΠΎΡΠΎΡΡΡ ΠΈΠ·ΠΌΠ΅Π½Π΅Π½ΠΈΡ ΠΌΠ°Π³Π½ΠΈΡΠ½ΠΎΠ³ΠΎ ΠΏΠΎΡΠΎΠΊΠ°. ΠΠΎΠ»Π½Π°Ρ ΠΏΡΠΎΠΈΠ·Π²ΠΎΠ΄Π½Π°Ρ Π² Π·Π°ΠΊΠΎΠ½Π΅ (1) ΠΎΡ Π²Π°ΡΡΠ²Π°Π΅Ρ Π²Π΅ΡΡ ΡΠΏΠ΅ΠΊΡΡ ΠΏΡΠΈΡΠΈΠ½ ΠΈΠ·ΠΌΠ΅Π½Π΅Π½ΠΈΡ ΠΌΠ°Π³Π½ΠΈΡΠ½ΠΎΠ³ΠΎ ΠΏΠΎΡΠΎΠΊΠ° ΡΠ΅ΡΠ΅Π· ΠΏΠΎΠ²Π΅ΡΡ Π½ΠΎΡΡΡ ΠΊΠΎΠ½ΡΡΡΠ°. ΠΠ½Π°ΠΊ ΠΌΠΈΠ½ΡΡ Π² ΡΠΎΡΠΌΡΠ»Π΅ (1) ΡΠΎΠΎΡΠ²Π΅ΡΡΡΠ²ΡΠ΅Ρ ΠΏΡΠ°Π²ΠΈΠ»Ρ ΠΠ΅Π½ΡΠ°. Π€ΠΎΡΠΌΡΠ»Π° (1) Π΄Π»Ρ ΠΠΠ‘ ΠΈΠ½Π΄ΡΠΊΡΠΈΠΈ Π·Π°ΠΏΠΈΡΠ°Π½Π° Π΄Π»Ρ ΡΠΈΡΡΠ΅ΠΌΡ Π‘Π.
Π ΡΠ»ΡΡΠ°Π΅ ΡΠ°Π²Π½ΠΎΠΌΠ΅ΡΠ½ΠΎΠ³ΠΎ ΠΈΠ·ΠΌΠ΅Π½Π΅Π½ΠΈΡ ΠΌΠ°Π³Π½ΠΈΡΠ½ΠΎΠ³ΠΎ ΠΏΠΎΡΠΎΠΊΠ° ΡΠΎΡΠΌΡΠ»Ρ ΠΠΠ‘ ΠΈΠ½Π΄ΡΠΊΡΠΈΠΈ ΠΌΠΎΠΆΠ½ΠΎ Π·Π°ΠΏΠΈΡΠ°ΡΡ ΠΊΠ°ΠΊ:
Β Β
Π§Π°ΡΡΠ½ΡΠ΅ ΡΠ»ΡΡΠ°ΠΈ ΡΠΎΡΠΌΡΠ» ΠΠΠ‘ ΠΈΠ½Π΄ΡΠΊΡΠΈΠΈ
ΠΡΠ»ΠΈ ΠΊΠΎΠ½ΡΡΡ ΡΠΎΠ΄Π΅ΡΠΆΠΈΡ N Π²ΠΈΡΠΊΠΎΠ², ΠΊΠΎΡΠΎΡΡΠ΅ ΡΠΎΠ΅Π΄ΠΈΠ½ΡΡΡΡΡ ΠΏΠΎΡΠ»Π΅Π΄ΠΎΠ²Π°ΡΠ΅Π»ΡΠ½ΠΎ, ΡΠΎ ΠΠΠ‘ ΠΈΠ½Π΄ΡΠΊΡΠΈΠΈ Π²ΡΡΠΈΡΠ»ΡΡΡ ΠΊΠ°ΠΊ:
Β Β
Π³Π΄Π΅ β ΠΏΠΎΡΠΎΠΊΠΎΡΡΠ΅ΠΏΠ»Π΅Π½ΠΈΠ΅.
ΠΡΠΈ Π΄Π²ΠΈΠΆΠ΅Π½ΠΈΠΈ ΠΏΡΡΠΌΠΎΠ»ΠΈΠ½Π΅ΠΉΠ½ΠΎΠ³ΠΎ ΠΏΡΠΎΠ²ΠΎΠ΄Π½ΠΈΠΊΠ° Π² ΠΎΠ΄Π½ΠΎΡΠΎΠ΄Π½ΠΎΠΌ ΠΌΠ°Π³Π½ΠΈΡΠ½ΠΎΠΌ ΠΏΠΎΠ»Π΅ Π² Π½Π΅ΠΌ Π²ΠΎΠ·Π½ΠΈΠΊΠ°Π΅Ρ ΠΠΠ‘ ΠΈΠ½Π΄ΡΠΊΡΠΈΠΈ, ΠΊΠΎΡΠΎΡΠ°Ρ ΡΠ°Π²Π½Π°:
Β Β
Π³Π΄Π΅ v β ΡΠΊΠΎΡΠΎΡΡΡ Π΄Π²ΠΈΠΆΠ΅Π½ΠΈΡ ΠΏΡΠΎΠ²ΠΎΠ΄Π½ΠΈΠΊΠ°; l β Π΄Π»ΠΈΠ½Π° ΠΏΡΠΎΠ²ΠΎΠ΄Π½ΠΈΠΊΠ°; B β ΠΌΠΎΠ΄ΡΠ»Ρ Π²Π΅ΠΊΡΠΎΡΠ° ΠΌΠ°Π³Π½ΠΈΡΠ½ΠΎΠΉ ΠΈΠ½Π΄ΡΠΊΡΠΈΠΈ ΠΏΠΎΠ»Ρ; .
ΠΡΠΈ Π²ΡΠ°ΡΠ΅Π½ΠΈΠΈ Ρ ΠΏΠΎΡΡΠΎΡΠ½Π½ΠΎΠΉ ΡΠΊΠΎΡΠΎΡΡΡΡ Π² ΠΎΠ΄Π½ΠΎΡΠΎΠ΄Π½ΠΎΠΌ ΠΌΠ°Π³Π½ΠΈΡΠ½ΠΎΠΌ ΠΏΠΎΠ»Π΅ ΠΏΠ»ΠΎΡΠΊΠΎΠ³ΠΎ ΠΊΠΎΠ½ΡΡΡΠ° Π²ΠΎΠΊΡΡΠ³ ΠΎΡΠΈ, ΠΊΠΎΡΠΎΡΠ°Ρ Π»Π΅ΠΆΠΈΡ Π² ΠΏΠ»ΠΎΡΠΊΠΎΡΡΠΈ ΠΊΠΎΠ½ΡΡΡΠ° Π² Π½Π΅ΠΌ Π²ΠΎΠ·Π½ΠΈΠΊΠ°Π΅Ρ ΠΠΠ‘ ΠΈΠ½Π΄ΡΠΊΡΠΈΠΈ, ΡΠ°Π²Π½Π°Ρ:
Β Β
Π³Π΄Π΅ S β ΠΏΠ»ΠΎΡΠ°Π΄Ρ, ΠΊΠΎΡΠΎΡΡΡ ΠΎΠ³ΡΠ°Π½ΠΈΡΠΈΠ²Π°Π΅Ρ Π²ΠΈΡΠΎΠΊ; β ΠΏΠΎΡΠΎΠΊ ΡΠ°ΠΌΠΎΠΈΠ½Π΄ΡΠΊΡΠΈΠΈ Π²ΠΈΡΠΊΠ°; β ΡΠ³Π»ΠΎΠ²Π°Ρ ΡΠΊΠΎΡΠΎΡΡΡ; () β ΡΠ³ΠΎΠ» ΠΏΠΎΠ²ΠΎΡΠΎΡΠ° ΠΊΠΎΠ½ΡΡΡΠ°. Π‘Π»Π΅Π΄ΡΠ΅Ρ ΡΡΠ΅ΡΡΡ, ΡΡΠΎ ΡΠΎΡΠΌΡΠ»Π° (5) ΡΠΏΡΠ°Π²Π΅Π΄Π»ΠΈΠ²Π°, Π΅ΡΠ»ΠΈ ΠΎΡΡ Π²ΡΠ°ΡΠ΅Π½ΠΈΡ ΡΠΎΡΡΠ°Π²Π»ΡΠ΅Ρ ΠΏΡΡΠΌΠΎΠΉ ΡΠ³ΠΎΠ» Ρ Π½Π°ΠΏΡΠ°Π²Π»Π΅Π½ΠΈΠ΅ΠΌ Π²Π΅ΠΊΡΠΎΡΠ° Π²Π½Π΅ΡΠ½Π΅Π³ΠΎ ΠΏΠΎΠ»Ρ .
ΠΡΠ»ΠΈ Π²ΠΎ Π²ΡΠ°ΡΠ°ΡΡΠ΅ΠΉΡΡ ΡΠ°ΠΌΠΊΠ΅ ΠΈΠΌΠ΅Π΅ΡΡΡ N Π²ΠΈΡΠΊΠΎΠ² ΠΈ ΡΠ°ΠΌΠΎΠΈΠ½Π΄ΡΠΊΡΠΈΠ΅ΠΉ ΡΠ°ΡΡΠΌΠ°ΡΡΠΈΠ²Π°Π΅ΠΌΠΎΠΉ ΡΠΈΡΡΠ΅ΠΌΡ ΠΌΠΎΠΆΠ½ΠΎ ΠΏΡΠ΅Π½Π΅Π±ΡΠ΅ΡΡ, ΡΠΎ:
Β Β
Π ΡΡΠ°ΡΠΈΠΎΠ½Π°ΡΠ½ΠΎΠΌ ΠΏΡΠΎΠ²ΠΎΠ΄Π½ΠΈΠΊΠ΅, ΠΊΠΎΡΠΎΡΡΠΉ Π½Π°Ρ ΠΎΠ΄ΠΈΡΡΡ Π² ΠΏΠ΅ΡΠ΅ΠΌΠ΅Π½Π½ΠΎΠΌ ΠΌΠ°Π³Π½ΠΈΡΠ½ΠΎΠΌ ΠΏΠΎΠ»Π΅, ΠΠΠ‘ ΠΈΠ½Π΄ΡΠΊΡΠΈΠΈ Π½Π°Ρ ΠΎΠ΄ΡΡ ΠΏΠΎ ΡΠΎΡΠΌΡΠ»Π΅:
Β Β
ΠΡΠΈΠΌΠ΅ΡΡ ΡΠ΅ΡΠ΅Π½ΠΈΡ Π·Π°Π΄Π°Ρ ΠΏΠΎ ΡΠ΅ΠΌΠ΅ Β«ΠΠΠ‘ ΠΈΠ½Π΄ΡΠΊΡΠΈΠΈΒ»
ru.solverbook.com
ΠΠ°Π³Π½ΠΈΡΠ½ΡΠΉ ΠΏΠΎΡΠΎΠΊ ΠΈ ΠΠΠ‘ ΠΈΠ½Π΄ΡΠΊΡΠΈΠΈ
ΠΡΠΎΠ΄ΠΎΠ»ΠΆΠ°Π΅ΠΌ ΡΠ΅ΡΠ°ΡΡ Π·Π°Π΄Π°ΡΠΈ Π½Π° ΠΌΠ°Π³Π½ΠΈΡΠ½ΡΠΉ ΠΏΠΎΡΠΎΠΊ ΠΈ ΠΠΠ‘ ΠΈΠ½Π΄ΡΠΊΡΠΈΠΈ. ΠΠ΄Π΅ΡΡ ΡΠΆΠ΅ Π±ΡΠ΄Π΅Ρ ΠΏΠΎΡΡΠΆΠ΅Π»Π΅Π΅: ΠΏΡΠΈΠ΄Π΅ΡΡΡ ΠΈ ΠΏΡΠΎΠΈΠ·Π²ΠΎΠ΄Π½ΡΡ, ΠΈ ΠΏΠ΅ΡΠ²ΠΎΠΎΠ±ΡΠ°Π·Π½ΡΡ Π½Π°Ρ ΠΎΠ΄ΠΈΡΡ. ΠΠΎ Π·Π°Π΄Π°ΡΠΈ ΠΈΠ½ΡΠ΅ΡΠ΅ΡΠ½ΡΠ΅, ΠΈ Π΄Π°ΠΆΠ΅ Π³Π΅ΠΎΠΌΠ΅ΡΡΠΈΡΠ΅ΡΠΊΠΈΠ΅ Π·Π½Π°Π½ΠΈΡ ΠΏΡΠΈΠ³ΠΎΠ΄ΠΈΠ»ΠΈΡΡ, Π° ΠΈΠΌΠ΅Π½Π½ΠΎ, ΡΠΎΡΠΌΡΠ»Π° ΠΏΠ»ΠΎΡΠ°Π΄ΠΈ ΡΡΠ΅ΡΠ³ΠΎΠ»ΡΠ½ΠΈΠΊΠ°.
ΠΠ°Π΄Π°ΡΠ° 1. ΠΠ»ΠΎΡΠΊΠΈΠΉ Π·Π°ΠΌΠΊΠ½ΡΡΡΠΉ ΠΌΠ΅ΡΠ°Π»Π»ΠΈΡΠ΅ΡΠΊΠΈΠΉ ΠΊΠΎΠ½ΡΡΡ ΠΏΠ»ΠΎΡΠ°Π΄ΡΡ ΡΠΌ, Π½Π°Ρ ΠΎΠ΄ΠΈΡΡΡ Π² ΠΎΠ΄Π½ΠΎΡΠΎΠ΄Π½ΠΎΠΌ ΠΌΠ°Π³Π½ΠΈΡΠ½ΠΎΠΌ ΠΏΠΎΠ»Π΅, ΠΈΠ½Π΄ΡΠΊΡΠΈΡ ΠΊΠΎΡΠΎΡΠΎΠ³ΠΎ Π’Π». ΠΠ»ΠΎΡΠ°Π΄Ρ ΠΊΠΎΠ½ΡΡΡΠ° Π·Π° Π²ΡΠ΅ΠΌΡ c ΡΠ°Π²Π½ΠΎΠΌΠ΅ΡΠ½ΠΎ ΡΠΌΠ΅Π½ΡΡΠ°Π΅ΡΡΡ Π΄ΠΎ ΡΠΌ (ΠΏΠ»ΠΎΡΠΊΠΎΡΡΡ ΠΊΠΎΠ½ΡΡΡΠ° ΠΏΡΠΈ ΡΡΠΎΠΌ ΠΎΡΡΠ°Π΅ΡΡΡ ΠΏΠ΅ΡΠΏΠ΅Π½Π΄ΠΈΠΊΡΠ»ΡΡΠ½ΠΎΠΉ ΠΌΠ°Π³Π½ΠΈΡΠ½ΠΎΠΌΡ ΠΏΠΎΠ»Ρ). ΠΠΏΡΠ΅Π΄Π΅Π»ΠΈΡΠ΅ ΡΠΈΠ»Ρ ΡΠΎΠΊΠ° (Π² ΠΌΠΊΠ), ΠΏΡΠΎΡΠ΅ΠΊΠ°ΡΡΠ΅Π³ΠΎ ΠΏΠΎ ΠΊΠΎΠ½ΡΡΡΡ Π² ΡΠ΅ΡΠ΅Π½ΠΈΠ΅ Π²ΡΠ΅ΠΌΠ΅Π½ΠΈ , Π΅ΡΠ»ΠΈ ΡΠΎΠΏΡΠΎΡΠΈΠ²Π»Π΅Π½ΠΈΠ΅ ΠΊΠΎΠ½ΡΡΡΠ° ΠΠΌ.
Β Β
ΠΠΎΡΠΎΠΊ ΡΠΌΠ΅Π½ΡΡΠΈΠ»ΡΡ Ρ Π΄ΠΎ , Π΅Π³ΠΎ ΠΈΠ·ΠΌΠ΅Π½Π΅Π½ΠΈΠ΅ . Π‘Π»Π΅Π΄ΠΎΠ²Π°ΡΠ΅Π»ΡΠ½ΠΎ,
Β Β
Π’ΠΎΠΊ ΡΠ°Π²Π΅Π½
Β Β
ΠΡΠ²Π΅Ρ: 16 ΠΌΠΊΠ
ΠΠ°Π΄Π°ΡΠ° 2. ΠΠ΅Π΄Π½ΠΎΠ΅ ΠΊΠΎΠ»ΡΡΠΎ ΡΠ°Π΄ΠΈΡΡΠΎΠΌ ΡΠΌ ΠΈΠ· ΠΏΡΠΎΠ²ΠΎΠ»ΠΎΠΊΠΈ Π΄ΠΈΠ°ΠΌΠ΅ΡΡΠΎΠΌ ΠΌΠΌ Β ΡΠ°ΡΠΏΠΎΠ»ΠΎΠΆΠ΅Π½ΠΎ Π² ΠΎΠ΄Π½ΠΎΡΠΎΠ΄Π½ΠΎΠΌ ΠΌΠ°Π³Π½ΠΈΡΠ½ΠΎΠΌ ΠΏΠΎΠ»Π΅, ΠΈΠ·ΠΌΠ΅Π½ΡΡΡΠ΅ΠΌΡΡ ΡΠΎ ΡΠΊΠΎΡΠΎΡΡΡΡ Π’Π»/Ρ. ΠΠ»ΠΎΡΠΊΠΎΡΡΡ ΠΊΠΎΠ»ΡΡΠ° ΠΏΠ΅ΡΠΏΠ΅Π½Π΄ΠΈΠΊΡΠ»ΡΡΠ½Π° ΡΠΈΠ»ΠΎΠ²ΡΠΌ Π»ΠΈΠ½ΠΈΡΠΌ ΠΌΠ°Π³Π½ΠΈΡΠ½ΠΎΠ³ΠΎ ΠΏΠΎΠ»Ρ. ΠΠΏΡΠ΅Π΄Π΅Π»ΠΈΡΠ΅ ΡΠΈΠ»Ρ ΠΈΠ½Π΄ΡΠΊΡΠΈΠΎΠ½Π½ΠΎΠ³ΠΎ ΡΠΎΠΊΠ°, Π²ΠΎΠ·Π½ΠΈΠΊΠ°ΡΡΠ΅Π³ΠΎ Π² ΠΊΠΎΠ»ΡΡΠ΅. Π£Π΄Π΅Π»ΡΠ½ΠΎΠ΅Β ΡΠΎΠΏΡΠΎΡΠΈΠ²Π»Π΅Π½ΠΈΠ΅ ΠΌΠ΅Π΄ΠΈ ΡΠ°Π²Π½ΠΎ ΠΠΌ ΠΌ.
Π‘ΠΎΠΏΡΠΎΡΠΈΠ²Π»Π΅Π½ΠΈΠ΅ ΠΊΠΎΠ»ΡΡΠ° ΡΠ°Π²Π½ΠΎ
Β Β
Π’ΠΎΠΊ Π² ΠΊΠΎΠ»ΡΡΠ΅ Π±ΡΠ΄Π΅Ρ ΡΠ°Π²Π΅Π½
Β Β
ΠΡΠ²Π΅Ρ: 0,693 Π
ΠΠ°Π΄Π°ΡΠ° 3. ΠΡΠΈ ΠΈΠ·ΠΌΠ΅Π½Π΅Π½ΠΈΠΈ ΡΠΈΠ»Ρ ΡΠΎΠΊΠ° Π² Π·Π°ΠΌΠΊΠ½ΡΡΠΎΠΌ ΠΊΠΎΠ½ΡΡΡΠ΅ ΠΈΠ½Π΄ΡΠΊΡΠΈΠ²Π½ΠΎΡΡΡΡ ΠΠ½ Β ΠΠΠ‘ ΡΠ°ΠΌΠΎΠΈΠ½Π΄ΡΠΊΡΠΈΠΈ ΠΈΠ·ΠΌΠ΅Π½ΡΠ»Π°ΡΡ ΡΠΎΠ³Π»Π°ΡΠ½ΠΎ Π³ΡΠ°ΡΠΈΠΊΡ (ΡΠΌ. ΡΠΈΡ.). Π§Π΅ΠΌΡ ΡΠ°Π²Π½Π° Π²Π΅Π»ΠΈΡΠΈΠ½Π° ΠΈΠ·ΠΌΠ΅Π½Π΅Π½ΠΈΡ ΡΠΎΠΊΠ° Π² ΠΈΠ½ΡΠ΅ΡΠ²Π°Π»Π΅ Π²ΡΠ΅ΠΌΠ΅Π½ΠΈ 1-4 Ρ?
Π Π·Π°Π΄Π°ΡΠ΅ 3
Π’Π°ΠΊ ΠΊΠ°ΠΊ
Β Β
Π’ΠΎ, ΡΡΠΎΠ±Ρ Π½Π°ΠΉΡΠΈ ΡΠΎΠΊ, Π½ΡΠΆΠ½ΠΎ Π½Π°ΠΉΡΠΈ ΠΈΠ½ΡΠ΅Π³ΡΠ°Π». Π’ΠΎ Π΅ΡΡΡ β ΠΎΠΏΡΠ΅Π΄Π΅Π»ΠΈΡΡ ΠΏΠ»ΠΎΡΠ°Π΄Ρ ΠΏΠΎΠ΄ Π³ΡΠ°ΡΠΈΠΊΠΎΠΌ Ρ ΠΏΠ΅ΡΠ²ΠΎΠΉ ΠΏΠΎ 4 ΡΠ΅ΠΊΡΠ½Π΄Ρ. ΠΠ»ΠΎΡΠ°Π΄Ρ Π±ΡΠ΄Π΅Ρ ΡΠ°Π²Π½Π° ΡΡΠΌΠΌΠ΅ ΠΏΠ»ΠΎΡΠ°Π΄Π΅ΠΉ ΡΡΠ°ΠΏΠ΅ΡΠΈΠΈ ΠΈ ΠΏΡΡΠΌΠΎΡΠ³ΠΎΠ»ΡΠ½ΠΈΠΊΠ°: 3+8.
Β Β
ΠΡΠ²Π΅Ρ: 0,11 Π
ΠΠ°Π΄Π°ΡΠ° 4. Π ΠΎΠ΄Π½ΠΎΡΠΎΠ΄Π½ΠΎΠΌ ΠΌΠ°Π³Π½ΠΈΡΠ½ΠΎΠΌ ΠΏΠΎΠ»Π΅ Ρ ΠΈΠ½Π΄ΡΠΊΡΠΈΠ΅ΠΉ Π = 0,2 Π’Π» Π½Π°ΡΠΈΠ½Π°Π΅Ρ Π΄Π²ΠΈΠ³Π°ΡΡΡΡ ΠΌΠ΅ΡΠ°Π»Π»ΠΈΡΠ΅ΡΠΊΠΈΠΉ ΡΡΠ΅ΡΠΆΠ΅Π½Ρ Π΄Π»ΠΈΠ½ΠΎΠΉ ΡΠΌ ΠΏΠ΅ΡΠΏΠ΅Π½Π΄ΠΈΠΊΡΠ»ΡΡΠ½ΠΎ Π²Π΅ΠΊΡΠΎΡΡ ΠΌΠ°Π³Π½ΠΈΡΠ½ΠΎΠΉ ΠΈΠ½Π΄ΡΠΊΡΠΈΠΈ. ΠΠΎΠΎΡΠ΄ΠΈΠ½Π°ΡΠ° ΡΡΠ΅ΡΠΆΠ½Ρ ΠΈΠ·ΠΌΠ΅Π½ΡΠ΅ΡΡΡ ΠΏΠΎ Π·Π°ΠΊΠΎΠ½Ρ . ΠΠ°ΠΊΠ°Ρ ΡΠ°Π·Π½ΠΎΡΡΡ ΠΏΠΎΡΠ΅Π½ΡΠΈΠ°Π»ΠΎΠ² Π²ΠΎΠ·Π½ΠΈΠΊΠ°Π΅Ρ ΠΌΠ΅ΠΆΠ΄Ρ ΠΊΠΎΠ½ΡΠ°ΠΌΠΈ ΡΡΠ΅ΡΠΆΠ½Ρ ΡΠ΅ΡΠ΅Π· 5 Ρ?
Π‘ΠΊΠΎΡΠΎΡΡΡ ΡΡΠ΅ΡΠΆΠ½Ρ ΠΊ ΡΠΊΠ°Π·Π°Π½Π½ΠΎΠΌΡ ΠΌΠΎΠΌΠ΅Π½ΡΡ Π²ΡΠ΅ΠΌΠ΅Π½ΠΈ Π±ΡΠ΄Π΅Ρ ΡΠ°Π²Π½Π°:
Β Β
Π‘Π»Π΅Π΄ΠΎΠ²Π°ΡΠ΅Π»ΡΠ½ΠΎ, ΠΠΠ‘:
Β Β
ΠΡΠ²Π΅Ρ: 0,68 Π.
ΠΠ°Π΄Π°ΡΠ° 5. ΠΡΠΎΠ²ΠΎΠ΄ΡΡΠΈΠΉ ΠΊΠ²Π°Π΄ΡΠ°ΡΠ½ΡΠΉ ΠΊΠΎΠ½ΡΡΡ ΡΠΎ ΡΡΠΎΡΠΎΠ½ΠΎΠΉ ΡΠΌ, ΠΏΠΎΠΌΠ΅ΡΠ΅Π½Π½ΡΠΉ Π² ΠΎΠ΄Π½ΠΎΡΠΎΠ΄Π½ΠΎΠ΅ ΠΌΠ°Π³Π½ΠΈΡΠ½ΠΎΠ΅ ΠΏΠΎΠ»Π΅ Ρ ΠΈΠ½Π΄ΡΠΊΡΠΈΠ΅ΠΉ Π = 0,5 Π’Π», Π²Π΅ΠΊΡΠΎΡ ΠΊΠΎΡΠΎΡΠΎΠΉ ΠΏΠ΅ΡΠΏΠ΅Π½Π΄ΠΈΠΊΡΠ»ΡΡΠ΅Π½ ΠΏΠ»ΠΎΡΠΊΠΎΡΡΠΈ ΠΊΠΎΠ½ΡΡΡΠ°, ΡΠΊΠ»Π°Π΄ΡΠ²Π°ΡΡ ΠΏΠΎΠΏΠΎΠ»Π°ΠΌ (ΡΠΌ. ΡΠΈΡ.). ΠΠ°ΠΊΠΎΠΉ Π·Π°ΡΡΠ΄ ΠΏΡΠΎΡΠ΅ΡΠ΅Ρ ΠΏΠΎ ΠΊΠΎΠ½ΡΡΡΡ, Π΅ΡΠ»ΠΈ ΡΠΎΠΏΡΠΎΡΠΈΠ²Π»Π΅Π½ΠΈΠ΅ Π΅Π΄ΠΈΠ½ΠΈΡΡ Π΄Π»ΠΈΠ½Ρ ΠΊΠΎΠ½ΡΡΡΠ° ΡΠ°Π²Π½ΠΎ Β ΠΠΌ/ΠΌ?
Π Π·Π°Π΄Π°ΡΠ΅ 5
ΠΠ»ΠΎΡΠ°Π΄Ρ ΠΊΠΎΠ½ΡΡΡΠ°, ΡΠΊΠ»Π°Π΄ΡΠ²Π°Ρ Π΅Π³ΠΎ, ΡΠΌΠ΅Π½ΡΡΠ°ΡΡ Π΄ΠΎ Π½ΡΠ»Ρ. ΠΠΎΡΡΠΎΠΌΡ ΠΈΠ·ΠΌΠ΅Π½Π΅Π½ΠΈΠ΅ ΠΏΠΎΡΠΎΠΊΠ° ΡΠ°Π²Π½ΠΎ . Π‘Π»Π΅Π΄ΠΎΠ²Π°ΡΠ΅Π»ΡΠ½ΠΎ,
Β Β
ΠΡΠΊΡΠ΄Π°
Β Β
ΠΡΠ²Π΅Ρ: 0,125 ΠΠ».
ΠΠ°Π΄Π°ΡΠ° 6. ΠΠ°ΠΏΡΡΠΆΠ΅Π½ΠΈΠ΅ Π½Π° Π·Π°ΠΆΠΈΠΌΠ°Ρ
ΡΠ°ΠΌΠΊΠΈ, Π½Π°ΡΠΈΠ½Π°ΡΡΠ΅ΠΉ Π²ΡΠ°ΡΠ°ΡΡΡΡ Π² ΠΎΠ΄Π½ΠΎΡΠΎΠ΄Π½ΠΎΠΌ ΠΌΠ°Π³Π½ΠΈΡΠ½ΠΎΠΌ ΠΏΠΎΠ»Π΅, ΠΈΠ·ΠΌΠ΅Π½ΡΠ΅ΡΡΡ Ρ ΡΠ΅ΡΠ΅Π½ΠΈΠ΅ΠΌ Π²ΡΠ΅ΠΌΠ΅Π½ΠΈ ΡΠΎΠ³Π»Π°ΡΠ½ΠΎ Π³ΡΠ°ΡΠΈΠΊΡ Π½Π° ΡΠΈΡΡΠ½ΠΊΠ΅. Π§Π΅ΠΌΡ ΠΏΡΠΈΠ±Π»ΠΈΠ·ΠΈΡΠ΅Π»ΡΠ½ΠΎ ΡΠ°Π²Π½Π° Π²Π΅Π»ΠΈΡΠΈΠ½Π° ΠΌΠ°Π³Π½ΠΈΡΠ½ΠΎΠ³ΠΎ ΠΏΠΎΡΠΎΠΊΠ°, ΠΏΠ΅ΡΠ΅ΡΠ΅ΠΊΠ°ΡΡΠ΅Π³ΠΎ ΡΠ°ΠΌΠΊΡ Π² ΠΌΠΎΠΌΠ΅Π½Ρ Π²ΡΠ΅ΠΌΠ΅Π½ΠΈ Ρ?
Π Π·Π°Π΄Π°ΡΠ΅ 7
ΠΠ°ΠΏΡΡΠΆΠ΅Π½ΠΈΠ΅ Π½Π° Π·Π°ΠΆΠΈΠΌΠ°Ρ , ΠΈΠ»ΠΈ ΠΠΠ‘, Π΅ΡΡΡ ΠΏΡΠΎΠΈΠ·Π²ΠΎΠ΄Π½Π°Ρ ΠΏΠΎΡΠΎΠΊΠ°, ΠΏΠΎΡΡΠΎΠΌΡ ΠΏΠΎΡΠΎΠΊ β ΠΏΠ΅ΡΠ²ΠΎΠΎΠ±ΡΠ°Π·Π½Π°Ρ ΠΠΠ‘. ΠΠΠ‘, ΡΡΠ΄Ρ ΠΏΠΎ Π³ΡΠ°ΡΠΈΠΊΡ, ΠΌΠΎΠΆΠ½ΠΎ Π·Π°ΠΏΠΈΡΠ°ΡΡ ΡΠ°ΠΊ:
Β Β
ΠΠ΅ΡΠΈΠΎΠ΄ ΡΠ°Π²Π΅Π½ 4 Ρ, ΡΠΎΠ³Π΄Π° . ΠΠΌΠΏΠ»ΠΈΡΡΠ΄Π° ΠΠΠ‘ ΡΠ°Π²Π½Π° 40ΠΌΠ, ΡΠ»Π΅Π΄ΠΎΠ²Π°ΡΠ΅Π»ΡΠ½ΠΎ,
Β Β
ΠΠΏΡΠ΅Π΄Π΅Π»ΡΠ΅ΠΌ ΠΏΠ΅ΡΠ²ΠΎΠΎΠ±ΡΠ°Π·Π½ΡΡ, ΡΠΎ Π΅ΡΡΡ Π±Π΅ΡΠ΅ΠΌ ΠΈΠ½ΡΠ΅Π³ΡΠ°Π»:
Β Β
ΠΠΎΠ΄ΡΡΠ°Π²ΠΈΠΌ Π½ΡΠΆΠ½ΠΎΠ΅ Π²ΡΠ΅ΠΌΡ:
Β Β
ΠΡΠ²Π΅Ρ: 28 ΠΌΠΠ±.
ΠΠ°Π΄Π°ΡΠ° 7. ΠΠ»ΠΎΡΠΊΠ°Ρ ΠΏΡΠΎΠ²ΠΎΠ»ΠΎΡΠ½Π°Ρ ΡΠ°ΠΌΠΊΠ° Π½Π°Ρ
ΠΎΠ΄ΠΈΡΡΡ Π² ΠΌΠ°Π³Π½ΠΈΡΠ½ΠΎΠΌ ΠΏΠΎΠ»Π΅, Π΅Π³ΠΎΒ ΠΏΠ»ΠΎΡΠΊΠΎΡΡΡ ΠΏΠ΅ΡΠΏΠ΅Π½Π΄ΠΈΠΊΡΠ»ΡΡΠ½Π° Π»ΠΈΠ½ΠΈΡΠΌ ΠΈΠ½Π΄ΡΠΊΡΠΈΠΈ. ΠΡΠΈ ΡΠ°Π²Π½ΠΎΠΌΠ΅ΡΠ½ΠΎΠΌ ΡΠΌΠ΅Π½ΡΡΠ΅Π½ΠΈΠΈ ΠΌΠ°Π³Π½ΠΈΡΠ½ΠΎΠ³ΠΎ ΠΏΠΎΠ»Ρ Π΄ΠΎ Π½ΡΠ»Ρ Π·Π° Π²ΡΠ΅ΠΌΡ Ρ Π²Β ΡΠ°ΠΌΠΊΠ΅ Π²ΠΎΠ·Π½ΠΈΠΊ ΠΏΠΎΡΡΠΎΡΠ½Π½ΡΠΉ ΡΠΎΠΊ Π. ΠΠ°ΠΊΠΎΠΉ ΡΠΎΠΊ ΠΏΠΎΡΠ΅ΡΠ΅ΡΒ ΠΏΠΎ ΡΠ°ΠΌΠΊΠ΅ ΠΏΡΠΈ Π΅Π΅ ΠΏΠΎΠ²ΠΎΡΠΎΡΠ΅ Π² ΡΡΠΎΠΌ ΠΏΠΎΠ»Π΅ Ρ ΠΏΠΎΡΡΠΎΡΠ½Π½ΠΎΠΉ ΡΠ³Π»ΠΎΠ²ΠΎΠΉ ΡΠΊΠΎΡΠΎΡΡΡΡ Π½Π° ΡΠ³ΠΎΠ» Π·Π° Π²ΡΠ΅ΠΌΡ Ρ Π²ΠΎΠΊΡΡΠ³ ΠΎΡΠΈ, ΠΏΠ΅ΡΠΏΠ΅Π½Π΄ΠΈΠΊΡΠ»ΡΡΠ½ΠΎΠΉ Π²Π΅ΠΊΡΠΎΡΡ Π ΠΈ Π»Π΅ΠΆΠ°ΡΠ΅ΠΉ Π² ΠΏΠ»ΠΎΡΠΊΠΎΡΡΠΈ ΡΠ°ΠΌΠΊΠΈ?
Π Π² ΡΠΎΠΌ, ΠΈ Π² Π΄ΡΡΠ³ΠΎΠΌ ΡΠ»ΡΡΠ°Π΅ ΠΌΠ΅Π½ΡΠ΅ΡΡΡ ΠΏΠΎΡΠΎΠΊ ΡΠ΅ΡΠ΅Π· ΡΠ°ΠΌΠΊΡ. ΠΠΎ ΠΈΠ½Π΄ΡΠΊΡΠΈΡ ΠΏΠΎΠ»Ρ ΠΎΡΡΠ°Π΅ΡΡΡ Π½Π΅ΠΈΠ·ΠΌΠ΅Π½Π½ΠΎΠΉ, Π΅Π΅βΡΠΎ ΠΈ Π½Π°Π΄ΠΎ Π½Π°ΠΉΡΠΈ:
Β Β
ΠΡΠΊΡΠ΄Π°
Β Β
ΠΡΠ»ΠΈ ΡΠ°ΠΌΠΊΡ ΠΏΠΎΠ²Π΅ΡΠ½ΡΡΡ, ΡΠΎ ΠΈΠ·ΠΌΠ΅Π½ΠΈΡΡΡ ΠΏΠ»ΠΎΡΠ°Π΄Ρ, ΠΏΡΠΎΠ½ΠΈΠ·ΡΠ²Π°Π΅ΠΌΠ°Ρ ΠΏΠΎΡΠΎΠΊΠΎΠΌ:
Β Β
Π’ΠΎΠ³Π΄Π°
Β Β
ΠΠΎΠ΄ΡΡΠ°Π²ΠΈΠΌ ΠΈΠ½Π΄ΡΠΊΡΠΈΡ, Π½Π°ΠΉΠ΄Π΅Π½Π½ΡΡ ΡΠ°Π½Π΅Π΅:
Β Β
ΠΡΠ²Π΅Ρ: 6 ΠΌΠ.
ΠΠ°Π΄Π°ΡΠ° 8. ΠΠ²Π°Π΄ΡΠ°ΡΠ½Π°Ρ ΡΠ°ΠΌΠΊΠ° ΡΠΎ ΡΡΠΎΡΠΎΠ½ΠΎΠΉ ΡΠΌ ΠΏΠΎΠΌΠ΅ΡΠ΅Π½Π° Π² ΠΎΠ΄Π½ΠΎΡΠΎΠ΄Π½ΠΎΠ΅ ΠΌΠ°Π³Π½ΠΈΡΠ½ΠΎΠ΅ ΠΏΠΎΠ»Π΅ Ρ ΠΈΠ½Π΄ΡΠΊΡΠΈΠ΅ΠΉ ΠΌΠ’Π» ΡΠ°ΠΊ, ΡΡΠΎ Π»ΠΈΠ½ΠΈΠΈ ΠΈΠ½Π΄ΡΠΊΡΠΈΠΈ ΠΏΠ΅ΡΠΏΠ΅Π½Π΄ΠΈΠΊΡΠ»ΡΡΠ½Ρ ΠΏΠ»ΠΎΡΠΊΠΎΡΡΠΈ ΡΠ°ΠΌΠΊΠΈ (ΡΠΌ. ΡΠΈΡ.). Π‘ΠΎΠΏΡΠΎΡΠΈΠ²Π»Π΅Π½ΠΈΠ΅ ΡΠ°ΠΌΠΊΠΈ 1 ΠΠΌ. ΠΠ°ΠΊΠΎΠ΅ ΠΊΠΎΠ»ΠΈΡΠ΅ΡΡΠ²ΠΎ ΡΠ΅ΠΏΠ»Π° Π²ΡΠ΄Π΅Π»ΠΈΡΡΡ Π² ΡΠ°ΠΌΠΊΠ΅ Π·Π° 10 Ρ, Π΅ΡΠ»ΠΈ Π΅Π΅ Π²ΡΠ΄Π²ΠΈΠ³Π°ΡΡ ΠΈΠ· ΠΎΠ±Π»Π°ΡΡΠΈ, Π² ΠΊΠΎΡΠΎΡΠΎΠΉ ΡΠΎΠ·Π΄Π°Π½ΠΎ ΠΏΠΎΠ»Π΅ ΡΠΎ ΡΠΊΠΎΡΠΎΡΡΡΡ 1 ΡΠΌ/Ρ, ΠΏΠ΅ΡΠΏΠ΅Π½Π΄ΠΈΠΊΡΠ»ΡΡΠ½ΠΎΠΉ Π»ΠΈΠ½ΠΈΡΠΌ ΠΈΠ½Π΄ΡΠΊΡΠΈΠΈ? ΠΠΎΠ»Π΅Β ΡΠΎΡΡΠ΅Π΄ΠΎΡΠΎΡΠ΅Π½ΠΎ Π² Π½Π΅ΠΊΠΎΡΠΎΡΠΎΠΉ ΡΠ΅ΡΠΊΠΎ ΠΎΠ³ΡΠ°Π½ΠΈΡΠ΅Π½Π½ΠΎΠΉ ΠΎΠ±Π»Π°ΡΡΠΈ.
Π Π·Π°Π΄Π°ΡΠ΅ 8
ΠΠ»ΠΎΡΠ°Π΄Ρ ΡΠ°ΠΌΠΊΠΈ, ΠΏΠΎΠΌΠ΅ΡΠ΅Π½Π½Π°Ρ Π² ΠΏΠΎΠ»Π΅, Π±ΡΠ΄Π΅Ρ ΠΈΠ·ΠΌΠ΅Π½ΡΡΡΡΡ. ΠΠΎΡΡΠΎΠΌΡ ΠΏΠΎΡΠΎΠΊ ΠΌΠ΅Π½ΡΠ΅ΡΡΡ ΠΈ Π² ΡΠ°ΠΌΠΊΠ΅ Π½Π°Π²ΠΎΠ΄ΠΈΡΡΡ ΠΠΠ‘.
Β Β
Π’ΠΎΠΊ Π±ΡΠ΄Π΅Ρ ΡΠ°Π²Π΅Π½:
Β Β
ΠΡΠΈ ΠΏΡΠΎΡΠ΅ΠΊΠ°Π½ΠΈΠΈ ΡΠ°ΠΊΠΎΠ³ΠΎ ΡΠΎΠΊΠ° Π²ΡΠ΄Π΅Π»ΠΈΡΡΡ ΠΊΠΎΠ»ΠΈΡΠ΅ΡΡΠ²ΠΎ ΡΠ΅ΠΏΠ»ΠΎΡΡ
Β Β
ΠΡΠ²Π΅Ρ: 0,8 Π½ΠΠΆ
ΠΠ°Π΄Π°ΡΠ° 9. ΠΠ²Π°Π΄ΡΠ°ΡΠ½Π°Ρ ΡΠ°ΠΌΠΊΠ° ΠΏΠΎΠΌΠ΅ΡΠ΅Π½Π° Π² ΠΎΠ΄Π½ΠΎΡΠΎΠ΄Π½ΠΎΠ΅ ΠΌΠ°Π³Π½ΠΈΡΠ½ΠΎΠ΅ ΠΏΠΎΠ»Π΅. ΠΠΎΡΠΌΠ°Π»Ρ ΠΊ ΠΏΠ»ΠΎΡΠΊΠΎΡΡΠΈ ΡΠ°ΠΌΠΊΠΈ ΡΠΎΡΡΠ°Π²Π»ΡΠ΅Ρ Ρ Π½Π°ΠΏΡΠ°Π²Π»Π΅Π½ΠΈΠ΅ΠΌ ΠΌΠ°Π³Π½ΠΈΡΠ½ΠΎΠ³ΠΎ ΠΏΠΎΠ»Ρ ΡΠ³ΠΎΠ» . Π‘ΡΠΎΡΠΎΠ½Π° ΡΠ°ΠΌΠΊΠΈ ΡΠΌ. ΠΠ·Π²Π΅ΡΡΠ½ΠΎ, ΡΡΠΎ ΡΡΠ΅Π΄Π½Π΅Π΅ Π·Π½Π°ΡΠ΅Π½ΠΈΠ΅ ΠΠΠ‘ ΠΈΠ½Π΄ΡΠΊΡΠΈΠΈ, Π²ΠΎΠ·Π½ΠΈΠΊΠ°ΡΡΠ΅ΠΉ Π² ΡΠ°ΠΌΠΊΠ΅ ΠΏΡΠΈ Π²ΡΠΊΠ»ΡΡΠ΅Π½ΠΈΠΈ ΠΏΠΎΠ»Ρ Π² ΡΠ΅ΡΠ΅Π½ΠΈΠ΅ Π²ΡΠ΅ΠΌΠ΅Π½ΠΈ Ρ, ΡΠ°Π²Π½ΠΎ 50 ΠΌΠ. Π‘ ΠΊΠ°ΠΊΠΎΠΉΒ ΡΠΈΠ»ΠΎΠΉ ΠΏΠΎΠ΄Π΅ΠΉΡΡΠ²ΠΎΠ²Π°Π»ΠΎ Π±Ρ ΡΡΠΎ ΠΌΠ°Π³Π½ΠΈΡΠ½ΠΎΠ΅ ΠΏΠΎΠ»Π΅ Π½Π° ΠΏΡΠΎΡΠΎΠ½, Π²Π»Π΅ΡΠ΅Π²ΡΠΈΠΉ Π² Π½Π΅Π³ΠΎ ΡΠΎ ΡΠΊΠΎΡΠΎΡΡΡΡ ΠΌ/Ρ ΠΏΠ΅ΡΠΏΠ΅Π½Π΄ΠΈΠΊΡΠ»ΡΡΠ½ΠΎ Π²Π΅ΠΊΡΠΎΡΡ ?
. Π‘Π»Π΅Π΄ΠΎΠ²Π°ΡΠ΅Π»ΡΠ½ΠΎ,
Β Β
ΠΡΠΎΠ½ΠΈΠ·ΡΠ²Π°Π΅ΠΌΠ°Ρ ΠΏΠΎΡΠΎΠΊΠΎΠΌ ΠΏΠ»ΠΎΡΠ°Π΄Ρ ΡΠ°ΠΌΠΊΠΈ ΡΠ°Π²Π½Π°
Β Β
Π’ΠΎΠ³Π΄Π°
Β Β
ΠΠ°ΠΉΠ΄Π΅ΠΌ ΠΈΠ· ΡΡΠΎΠ³ΠΎ Π²ΡΡΠ°ΠΆΠ΅Π½ΠΈΡ ΠΈΠ½Π΄ΡΠΊΡΠΈΡ ΠΏΠΎΠ»Ρ:
Β Β
Π‘ΠΈΠ»Π° ΠΠΎΡΠ΅Π½ΡΠ° ΡΠ°Π²Π½Π°
Β Β
ΠΡΠ²Π΅Ρ: Π.
ΠΠ°Π΄Π°ΡΠ° 10. Π Π°ΠΌΠΊΠ° ΡΠΎΠΏΡΠΎΡΠΈΠ²Π»Π΅Π½ΠΈΠ΅ΠΌ 15 ΠΠΌ, ΠΈΠΌΠ΅ΡΡΠ°Ρ ΡΠΎΡΠΌΡ ΡΠ°Π²Π½ΠΎΡΡΠΎΡΠΎΠ½Π½Π΅Π³ΠΎ ΡΡΠ΅ΡΠ³ΠΎΠ»ΡΠ½ΠΈΠΊΠ°, ΠΏΠΎΠΌΠ΅ΡΠ΅Π½Π° Β Π² ΠΎΠ΄Π½ΠΎΡΠΎΠ΄Π½ΠΎΠ΅ ΠΌΠ°Π³Π½ΠΈΡΠ½ΠΎΠ΅ ΠΏΠΎΠ»Π΅ Ρ ΠΈΠ½Π΄ΡΠΊΡΠΈΠ΅ΠΉ Π’Π». ΠΠ»ΠΎΡΠΊΠΎΡΡΡ ΡΠ°ΠΌΠΊΠΈ ΡΠΎΡΡΠ°Π²Π»ΡΠ΅Ρ Ρ Π½Π°ΠΏΡΠ°Π²Π»Π΅Π½ΠΈΠ΅ΠΌ Π²Π΅ΠΊΡΠΎΡΠ° ΡΠ³ΠΎΠ» . ΠΠΏΡΠ΅Π΄Π΅Π»ΠΈΡΠ΅ Π΄Π»ΠΈΠ½Ρ ΡΡΠΎΡΠΎΠ½Ρ ΡΠ°ΠΌΠΊΠΈ , Π΅ΡΠ»ΠΈ ΠΏΡΠΈ ΡΠ°Π²Π½ΠΎΠΌΠ΅ΡΠ½ΠΎΠΌ ΡΠΌΠ΅Π½ΡΡΠ΅Π½ΠΈΠΈ ΠΈΠ½Π΄ΡΠΊΡΠΈΠΈ Π Π΄ΠΎ Π½ΡΠ»Ρ Π² ΡΠ΅ΡΠ΅Π½ΠΈΠ΅ Ρ Π² ΠΏΡΠΎΠ²ΠΎΠ΄Π½ΠΈΠΊΠ΅ ΡΠ°ΠΌΠΊΠΈ Π²ΡΠ΄Π΅Π»ΡΠ΅ΡΡΡ ΠΊΠΎΠ»ΠΈΡΠ΅ΡΡΠ²ΠΎ ΡΠ΅ΠΏΠ»Π° 0,5 ΠΌΠΠΆ.
ΠΠΎ Π·Π°ΠΊΠΎΠ½Ρ ΠΠΆΠΎΡΠ»Ρ-ΠΠ΅Π½ΡΠ°
Β Β
ΠΡΠΊΡΠ΄Π°
Β Β
ΠΠΎ Π·Π°ΠΊΠΎΠ½Ρ ΠΠΌΠ° ,
Β Β
ΠΠ»ΠΎΡΠ°Π΄Ρ ΡΠ°ΠΌΠΊΠΈ ΡΠ°Π²Π½Π° , ΠΏΠ»ΠΎΡΠ°Π΄Ρ, ΠΏΡΠΎΠ½ΠΈΠ·ΡΠ²Π°Π΅ΠΌΠ° ΠΏΠΎΡΠΎΠΊΠΎΠΌ, ΡΠ°Π²Π½Π°
Β Β
Π’ΠΎΠ³Π΄Π°
Β Β
ΠΡΠΊΡΠ΄Π°
Β Β
Β Β
ΠΡΠ²Π΅Ρ : ΠΌ.
easy-physic.ru
ΠΠ»Π΅ΠΊΡΡΠΎΠΌΠ°Π³Π½ΠΈΡΠ½Π°Ρ ΠΈΠ½Π΄ΡΠΊΡΠΈΡ
ΠΡΠ»ΠΈ ΡΠ»Π΅ΠΊΡΡΠΈΡΠ΅ΡΠΊΠΈΠΉ ΡΠΎΠΊ ΡΠΎΠ·Π΄Π°Π΅Ρ ΠΌΠ°Π³Π½ΠΈΡΠ½ΠΎΠ΅ ΠΏΠΎΠ»Π΅, ΡΠΎ Π½Π΅ ΠΌΠΎΠΆΠ΅Ρ Π»ΠΈ Π² ΡΠ²ΠΎΡ ΠΎΡΠ΅ΡΠ΅Π΄Ρ ΠΌΠ°Π³Π½ΠΈΡΠ½ΠΎΠ΅ ΠΏΠΎΠ»Π΅ Π²ΡΠ·ΡΠ²Π°ΡΡ ΡΠ»Π΅ΠΊΡΡΠΈΡΠ΅ΡΠΊΠΈΠΉ ΡΠΎΠΊ Π² ΠΏΡΠΎΠ²ΠΎΠ΄Π½ΠΈΠΊΠ΅? ΠΠ΅ΡΠ²ΡΠΌ Π½Π°ΡΠ΅Π» ΠΎΡΠ²Π΅Ρ Π½Π° ΡΡΠΎΡ Π²ΠΎΠΏΡΠΎΡ ΠΠ°ΠΉΠΊΠ» Π€Π°ΡΠ°Π΄Π΅ΠΉ.
Π 1831Β Π³. ΠΎΠ½ ΠΎΠ±Π½Π°ΡΡΠΆΠΈΠ», ΡΡΠΎ Π² ΠΏΡΠΎΠ²ΠΎΠ΄ΡΡΠ΅ΠΌ ΠΊΠΎΠ½ΡΡΡΠ΅ ΠΏΡΠΈ ΠΈΠ·ΠΌΠ΅Π½Π΅Π½ΠΈΠΈ ΠΌΠ°Π³Π½ΠΈΡΠ½ΠΎΠ³ΠΎ ΠΏΠΎΠ»Ρ Π²ΠΎΠ·Π½ΠΈΠΊΠ°Π΅Ρ ΡΠ»Π΅ΠΊΡΡΠΈΡΠ΅ΡΠΊΠΈΠΉ ΡΠΎΠΊ, ΠΊΠΎΡΠΎΡΡΠΉ Π½Π°Π·Π²Π°Π»ΠΈ ΠΈΠ½Π΄ΡΠΊΡΠΈΠΎΠ½Π½ΡΠΌ ΡΠΎΠΊΠΎΠΌ.
ΠΠ½Π΄ΡΠΊΡΠΈΠΎΠ½Π½ΡΠΉ ΡΠΎΠΊ Π² ΠΊΠ°ΡΡΡΠΊΠ΅ ΠΈΠ· ΠΌΠ΅ΡΠ°Π»Π»ΠΈΡΠ΅ΡΠΊΠΎΠΉ ΠΏΡΠΎΠ²ΠΎΠ»ΠΎΠΊΠΈ Π²ΠΎΠ·Π½ΠΈΠΊΠ°Π΅Ρ ΠΏΡΠΈ Π²Π΄Π²ΠΈΠ³Π°Π½ΠΈΠΈ ΠΌΠ°Π³Π½ΠΈΡΠ° Π²Π½ΡΡΡΡ ΠΊΠ°ΡΡΡΠΊΠΈ ΠΈ ΠΏΡΠΈ Π²ΡΠ΄Π²ΠΈΠ³Π°Π½ΠΈΠΈ ΠΌΠ°Π³Π½ΠΈΡΠ° ΠΈΠ· ΠΊΠ°ΡΡΡΠΊΠΈ, Π° ΡΠ°ΠΊΠΆΠ΅ ΠΏΡΠΈ ΠΈΠ·ΠΌΠ΅Π½Π΅Π½ΠΈΠΈ ΡΠΈΠ»Ρ ΡΠΎΠΊΠ° Π²ΠΎ Π²ΡΠΎΡΠΎΠΉ ΠΊΠ°ΡΡΡΠΊΠ΅, ΠΌΠ°Π³Π½ΠΈΡΠ½ΠΎΠ΅ ΠΏΠΎΠ»Π΅ ΠΊΠΎΡΠΎΡΠΎΠΉ ΠΏΡΠΎΠ½ΠΈΠ·ΡΠ²Π°Π΅Ρ ΠΏΠ΅ΡΠ²ΡΡ ΠΊΠ°ΡΡΡΠΊΡ. ΠΠ½Π΄ΡΠΊΡΠΈΠΎΠ½Π½ΡΠΉ ΡΠΎΠΊ ΡΠ°ΠΊΠΆΠ΅ Π²ΠΎΠ·Π½ΠΈΠΊΠ°Π΅Ρ ΠΏΡΠΈ Π΄Π²ΠΈΠΆΠ΅Π½ΠΈΠΈ ΠΊΠΎΠ½ΡΡΡΠ° Π² ΠΏΠΎΡΡΠΎΡΠ½Π½ΠΎΠΌ ΠΌΠ°Π³Π½ΠΈΡΠ½ΠΎΠΌ ΠΏΠΎΠ»Π΅.
Π―Π²Π»Π΅Π½ΠΈΠ΅ Π²ΠΎΠ·Π½ΠΈΠΊΠ½ΠΎΠ²Π΅Π½ΠΈΡ ΡΠ»Π΅ΠΊΡΡΠΈΡΠ΅ΡΠΊΠΎΠ³ΠΎ ΡΠΎΠΊΠ° Π² Π·Π°ΠΌΠΊΠ½ΡΡΠΎΠΌ ΠΏΡΠΎΠ²ΠΎΠ΄ΡΡΠ΅ΠΌ ΠΊΠΎΠ½ΡΡΡΠ΅ ΠΏΡΠΈ ΠΈΠ·ΠΌΠ΅Π½Π΅Π½ΠΈΠΈ ΠΌΠ°Π³Π½ΠΈΡΠ½ΠΎΠ³ΠΎ ΠΏΠΎΠ»Ρ, ΠΏΡΠΎΠ½ΠΈΠ·ΡΠ²Π°ΡΡΠ΅Π³ΠΎ ΠΊΠΎΠ½ΡΡΡ, Π½Π°Π·ΡΠ²Π°Π΅ΡΡΡ ΡΠ»Π΅ΠΊΡΡΠΎΠΌΠ°Π³Π½ΠΈΡΠ½ΠΎΠΉ ΠΈΠ½Π΄ΡΠΊΡΠΈΠ΅ΠΉ.
ΠΠΎΡΠ²Π»Π΅Π½ΠΈΠ΅ ΡΠ»Π΅ΠΊΡΡΠΈΡΠ΅ΡΠΊΠΎΠ³ΠΎ ΡΠΎΠΊΠ° Π² Π·Π°ΠΌΠΊΠ½ΡΡΠΎΠΌ ΠΊΠΎΠ½ΡΡΡΠ΅ ΠΏΡΠΈ ΠΈΠ·ΠΌΠ΅Π½Π΅Π½ΠΈΡΡ ΠΌΠ°Π³Π½ΠΈΡΠ½ΠΎΠ³ΠΎ ΠΏΠΎΠ»Ρ, ΠΏΡΠΎΠ½ΠΈΠ·ΡΠ²Π°ΡΡΠ΅Π³ΠΎ ΠΊΠΎΠ½ΡΡΡ, ΡΠ²ΠΈΠ΄Π΅ΡΠ΅Π»ΡΡΡΠ²ΡΠ΅Ρ ΠΎ Π΄Π΅ΠΉΡΡΠ²ΠΈΠΈ Π² ΠΊΠΎΠ½ΡΡΡΠ΅ ΡΡΠΎΡΠΎΠ½Π½ΠΈΡ ΡΠΈΠ» Π½Π΅ΡΠ»Π΅ΠΊΡΡΠΎΡΡΠ°ΡΠΈΡΠ΅ΡΠΊΠΎΠΉ ΠΏΡΠΈΡΠΎΠ΄Ρ ΠΈΠ»ΠΈ Π²ΠΎΠ·Π½ΠΈΠΊΠ½ΠΎΠ²Π΅Π½ΠΈΠΈ ΠΠΠ‘ ΠΈΠ½Π΄ΡΠΊΡΠΈΠΈ. ΠΠ»Ρ ΠΎΠΏΡΠ΅Π΄Π΅Π»Π΅Π½ΠΈΡ ΠΠΠ‘ ΠΈΠ½Π΄ΡΠΊΡΠΈΠΈ Π²Π²Π΅Π΄Π΅ΠΌ ΡΠΈΠ·ΠΈΡΠ΅ΡΠΊΡΡ Π²Π΅Π»ΠΈΡΠΈΠ½Ρ β ΠΌΠ°Π³Π½ΠΈΡΠ½ΡΠΉ ΠΏΠΎΡΠΎΠΊ.
ΠΠ°ΠΊΠΎΠ½ ΡΠ»Π΅ΠΊΡΡΠΎΠΌΠ°Π³Π½ΠΈΡΠ½ΠΎΠΉ ΠΈΠ½Π΄ΡΠΊΡΠΈΠΈ
ΠΠΊΡΠΏΠ΅ΡΠΈΠΌΠ΅Π½ΡΠ°Π»ΡΠ½ΠΎΠ΅ ΠΈΡΡΠ»Π΅Π΄ΠΎΠ²Π°Π½ΠΈΠ΅ Π·Π°Π²ΠΈΡΠΈΠΌΠΎΡΡΠΈ ΠΠΠ‘ ΠΈΠ½Π΄ΡΠΊΡΠΈΠΈ ΠΎΡ ΠΈΠ·ΠΌΠ΅Π½Π΅Π½ΠΈΡ ΠΌΠ°Π³Π½ΠΈΡΠ½ΠΎΠ³ΠΎ ΠΏΠΎΡΠΎΠΊΠ° ΠΏΡΠΈΠ²Π΅Π»ΠΎ ΠΊ ΡΡΡΠ°Π½ΠΎΠ²Π»Π΅Π½ΠΈΡ Π·Π°ΠΊΠΎΠ½Π° ΡΠ»Π΅ΠΊΡΡΠΎΠΌΠ°Π³Π½ΠΈΡΠ½ΠΎΠΉ ΠΈΠ½Π΄ΡΠΊΡΠΈΠΈ:
ΠΠΠ‘ ΠΈΠ½Π΄ΡΠΊΡΠΈΠΈ Π² Π·Π°ΠΌΠΊΠ½ΡΡΠΎΠΌ ΠΊΠΎΠ½ΡΡΡΠ΅ ΡΠ°Π²Π½Π° ΠΏΠΎ ΠΌΠΎΠ΄ΡΠ»Ρ ΡΠΊΠΎΡΠΎΡΡΠΈ ΠΈΠ·ΠΌΠ΅Π½Π΅Π½ΠΈΡ ΠΌΠ°Π³Π½ΠΈΡΠ½ΠΎΠ³ΠΎ ΠΏΠΎΡΠΎΠΊΠ° ΡΠ΅ΡΠ΅Π· ΠΏΠΎΠ²Π΅ΡΡ Π½ΠΎΡΡΡ, ΠΎΠ³ΡΠ°Π½ΠΈΡΠ΅Π½Π½ΡΡ ΠΊΠΎΠ½ΡΡΡΠΎΠΌ. Π‘ ΡΡΠ΅ΡΠΎΠΌ ΠΏΡΠ°Π²ΠΈΠ»Π° ΠΠ΅Π½ΡΠ° Π·Π°ΠΊΠΎΠ½ ΡΠ»Π΅ΠΊΡΡΠΎΠΌΠ°Π³Π½ΠΈΡΠ½ΠΎΠΉ ΠΈΠ½Π΄ΡΠΊΡΠΈΠΈ Π·Π°ΠΏΠΈΡΡΠ²Π°Π΅ΡΡΡ ΡΠ»Π΅Π΄ΡΡΡΠΈΠΌ ΠΎΠ±ΡΠ°Π·ΠΎΠΌ:
.
ΠΡΠ»ΠΈ Π² ΠΏΠΎΡΠ»Π΅Π΄ΠΎΠ²Π°ΡΠ΅Π»ΡΠ½ΠΎ ΡΠΎΠ΅Π΄ΠΈΠ½Π΅Π½Π½ΡΡ ΠΊΠΎΠ½ΡΡΡΠ°Ρ ΠΏΡΠΎΠΈΡΡ ΠΎΠ΄ΡΡ ΠΎΠ΄ΠΈΠ½Π°ΠΊΠΎΠ²ΡΠ΅ ΠΈΠ·ΠΌΠ΅Π½Π΅Π½ΠΈΡ ΠΌΠ°Π³Π½ΠΈΡΠ½ΠΎΠ³ΠΎ ΠΏΠΎΡΠΎΠΊΠ°, ΡΠΎ ΠΠΠ‘ ΠΈΠ½Π΄ΡΠΊΡΠΈΠΈ Π² Π½ΠΈΡ ΡΠ°Π²Π½Π° ΡΡΠΌΠΌΠ΅ ΠΠΠ‘ ΠΈΠ½Π΄ΡΠΊΡΠΈΠΈ Π² ΠΊΠ°ΠΆΠ΄ΠΎΠΌ ΠΈΠ· ΠΊΠΎΠ½ΡΡΡΠΎΠ². ΠΠΎΡΡΠΎΠΌΡ ΠΏΡΠΈ ΠΈΠ·ΠΌΠ΅Π½Π΅Π½ΠΈΠΈ ΠΌΠ°Π³Π½ΠΈΡΠ½ΠΎΠ³ΠΎ ΠΏΠΎΡΠΎΠΊΠ° Π² ΠΊΠ°ΡΡΡΠΊΠ΅, ΡΠΎΡΡΠΎΡΡΠ΅ΠΉ ΠΈΠ· n ΠΎΠ΄ΠΈΠ½Π°ΠΊΠΎΠ²ΡΡ Π²ΠΈΡΠΊΠΎΠ² ΠΏΡΠΎΠ²ΠΎΠ΄Π°, ΠΎΠ±ΡΠ°Ρ ΠΠΠ‘ ΠΈΠ½Π΄ΡΠΊΡΠΈΠΈ Π² n ΡΠ°Π· Π±ΠΎΠ»ΡΡΠ΅ ΠΠΠ‘ ΠΈΠ½Π΄ΡΠΊΡΠΈΠΈ Π² ΠΎΠ΄ΠΈΠ½ΠΎΡΠ½ΠΎΠΌ ΠΊΠΎΠ½ΡΡΡΠ΅:

ΠΠ° ΠΎΡΠ½ΠΎΠ²Π΅ Π·Π°ΠΊΠΎΠ½Π° ΡΠ»Π΅ΠΊΡΡΠΎΠΌΠ°Π³Π½ΠΈΡΠ½ΠΎΠΉ ΠΈΠ½Π΄ΡΠΊΡΠΈΠΈ Π² ΠΠ΅ΠΆΠ΄ΡΠ½Π°ΡΠΎΠ΄Π½ΠΎΠΉ ΡΠΈΡΡΠ΅ΠΌΠ΅ Π΅Π΄ΠΈΠ½ΠΈΡ ΠΎΠΏΡΠ΅Π΄Π΅Π»ΡΡΡΡΡ Π΅Π΄ΠΈΠ½ΠΈΡΡ ΠΌΠ°Π³Π½ΠΈΡΠ½ΠΎΠ³ΠΎ ΠΏΠΎΡΠΎΠΊΠ° ΠΈ ΠΈΠ½Π΄ΡΠΊΡΠΈΠΈ ΠΌΠ°Π³Π½ΠΈΡΠ½ΠΎΠ³ΠΎ ΠΏΠΎΠ»Ρ. ΠΠ°Π³Π½ΠΈΡΠ½ΡΠΉ ΠΏΠΎΡΠΎΠΊ ΡΠ΅ΡΠ΅Π· ΠΏΠ»ΠΎΡΠ°Π΄Ρ, ΠΎΠ³ΡΠ°Π½ΠΈΡΠ΅Π½Π½ΡΡ Π·Π°ΠΌΠΊΠ½ΡΡΡΠΌ ΠΊΠΎΠ½ΡΡΡΠΎΠΌ, ΡΠ°Π²Π΅Π½ 1 ΠΠ±, Π΅ΡΠ»ΠΈ ΠΏΡΠΈ ΡΠ°Π²Π½ΠΎΠΌΠ΅ΡΠ½ΠΎΠΌ ΡΠ±ΡΠ²Π°Π½ΠΈΠΈ ΡΡΠΎΠ³ΠΎ ΠΏΠΎΡΠΎΠΊΠ° Π΄ΠΎ Π½ΡΠ»Ρ Π·Π° 1 Ρ Π² ΠΊΠΎΠ½ΡΡΡΠ΅ Π²ΠΎΠ·Π½ΠΈΠΊΠ°Π΅Ρ ΠΠΠ‘ ΠΈΠ½Π΄ΡΠΊΡΠΈΠΈ 1 Π:
ΠΠ»Ρ ΠΎΠ΄Π½ΠΎΡΠΎΠ΄Π½ΠΎΠ³ΠΎ ΠΌΠ°Π³Π½ΠΈΡΠ½ΠΎΠ³ΠΎ ΠΏΠΎΠ»Ρ Π½Π° ΠΎΡΠ½ΠΎΠ²Π°Π½ΠΈΠΈ ΡΠΎΡΠΌΡΠ»Ρ ΡΠ»Π΅Π΄ΡΠ΅Ρ, ΡΡΠΎ Π΅Π³ΠΎ ΠΌΠ°Π³Π½ΠΈΡΠ½Π°Ρ ΠΈΠ½Π΄ΡΠΊΡΠΈΡ ΡΠ°Π²Π½Π° 1 Π’Π», Π΅ΡΠ»ΠΈ ΠΌΠ°Π³Π½ΠΈΡΠ½ΡΠΉ ΠΏΠΎΡΠΎΠΊ ΡΠ΅ΡΠ΅Π· ΠΊΠΎΠ½ΡΡΡ ΠΏΠ»ΠΎΡΠ°Π΄ΡΡ 1 ΠΌ2 ΡΠ°Π²Π΅Π½ 1 ΠΠ±:
ΠΠΎΠ·Π½ΠΈΠΊΠ½ΠΎΠ²Π΅Π½ΠΈΠ΅ ΡΠ»Π΅ΠΊΡΡΠΈΡΠ΅ΡΠΊΠΎΠ³ΠΎ ΡΠΎΠΊΠ° Π² Π·Π°ΠΌΠΊΠ½ΡΡΠΎΠΌ ΠΊΠΎΠ½ΡΡΡΠ΅ ΡΠ²ΠΈΠ΄Π΅ΡΠ΅Π»ΡΡΡΠ²ΡΠ΅Ρ ΠΎ ΡΠΎΠΌ, ΡΡΠΎ ΠΏΡΠΈ ΠΈΠ·ΠΌΠ΅Π½Π΅Π½ΠΈΠΈ ΠΌΠ°Π³Π½ΠΈΡΠ½ΠΎΠ³ΠΎ ΠΏΠΎΡΠΎΠΊΠ°, ΠΏΡΠΎΠ½ΠΈΠ·ΡΠ²Π°ΡΡΠ΅Π³ΠΎ ΠΊΠΎΠ½ΡΡΡ, Π½Π° ΡΠ²ΠΎΠ±ΠΎΠ΄Π½ΡΠ΅ ΡΠ»Π΅ΠΊΡΡΠΈΡΠ΅ΡΠΊΠΈΠ΅ Π·Π°ΡΡΠ΄Ρ Π² ΠΊΠΎΠ½ΡΡΡΠ΅ Π΄Π΅ΠΉΡΡΠ²ΡΡΡ ΡΠΈΠ»Ρ. ΠΡΠΎΠ²ΠΎΠ΄ ΠΊΠΎΠ½ΡΡΡΠ° Π½Π΅ΠΏΠΎΠ΄Π²ΠΈΠΆΠ΅Π½, Π½Π΅ΠΏΠΎΠ΄Π²ΠΈΠΆΠ½ΡΠΌΠΈ ΠΌΠΎΠΆΠ½ΠΎ ΡΡΠΈΡΠ°ΡΡ ΡΠ²ΠΎΠ±ΠΎΠ΄Π½ΡΠ΅ ΡΠ»Π΅ΠΊΡΡΠΈΡΠ΅ΡΠΊΠΈΠ΅ Π·Π°ΡΡΠ΄Ρ Π² Π½Π΅ΠΌ. ΠΠ° Π½Π΅ΠΏΠΎΠ΄Π²ΠΈΠΆΠ½ΡΠ΅ ΡΠ»Π΅ΠΊΡΡΠΈΡΠ΅ΡΠΊΠΈΠ΅ Π·Π°ΡΡΠ΄Ρ ΠΌΠΎΠΆΠ΅Ρ Π΄Π΅ΠΉΡΡΠ²ΠΎΠ²Π°ΡΡ ΡΠΎΠ»ΡΠΊΠΎ ΡΠ»Π΅ΠΊΡΡΠΈΡΠ΅ΡΠΊΠΎΠ΅ ΠΏΠΎΠ»Π΅. Π‘Π»Π΅Π΄ΠΎΠ²Π°ΡΠ΅Π»ΡΠ½ΠΎ, ΠΏΡΠΈ Π»ΡΠ±ΠΎΠΌ ΠΈΠ·ΠΌΠ΅Π½Π΅Π½ΠΈΠΈ ΠΌΠ°Π³Π½ΠΈΡΠ½ΠΎΠ³ΠΎ ΠΏΠΎΠ»Ρ Π² ΠΎΠΊΡΡΠΆΠ°ΡΡΠ΅ΠΌ ΠΏΡΠΎΡΡΡΠ°Π½ΡΡΠ²Π΅ Π²ΠΎΠ·Π½ΠΈΠΊΠ°Π΅Ρ ΡΠ»Π΅ΠΊΡΡΠΈΡΠ΅ΡΠΊΠΎΠ΅ ΠΏΠΎΠ»Π΅. ΠΡΠΎ ΡΠ»Π΅ΠΊΡΡΠΈΡΠ΅ΡΠΊΠΎΠ΅ ΠΏΠΎΠ»Π΅ ΠΈ ΠΏΡΠΈΠ²ΠΎΠ΄ΠΈΡ Π² Π΄Π²ΠΈΠΆΠ΅Π½ΠΈΠ΅ ΡΠ²ΠΎΠ±ΠΎΠ΄Π½ΡΠ΅ ΡΠ»Π΅ΠΊΡΡΠΈΡΠ΅ΡΠΊΠΈΠ΅ Π·Π°ΡΡΠ΄Ρ Π² ΠΊΠΎΠ½ΡΡΡΠ΅, ΡΠΎΠ·Π΄Π°Π²Π°Ρ ΠΈΠ½Π΄ΡΠΊΡΠΈΠΎΠ½Π½ΡΠΉ ΡΠ»Π΅ΠΊΡΡΠΈΡΠ΅ΡΠΊΠΈΠΉ ΡΠΎΠΊ. ΠΠ»Π΅ΠΊΡΡΠΈΡΠ΅ΡΠΊΠΎΠ΅ ΠΏΠΎΠ»Π΅, Π²ΠΎΠ·Π½ΠΈΠΊΠ°ΡΡΠ΅Π΅ ΠΏΡΠΈ ΠΈΠ·ΠΌΠ΅Π½Π΅Π½ΠΈΡΡ ΠΌΠ°Π³Π½ΠΈΡΠ½ΠΎΠ³ΠΎ ΠΏΠΎΠ»Ρ, Π½Π°Π·ΡΠ²Π°ΡΡ Π²ΠΈΡ ΡΠ΅Π²ΡΠΌ ΡΠ»Π΅ΠΊΡΡΠΈΡΠ΅ΡΠΊΠΈΠΌ ΠΏΠΎΠ»Π΅ΠΌ.
Π Π°Π±ΠΎΡΠ° ΡΠΈΠ» Π²ΠΈΡ ΡΠ΅Π²ΠΎΠ³ΠΎ ΠΏΠΎΠ»Ρ ΠΏΠΎ ΠΏΠ΅ΡΠ΅ΠΌΠ΅ΡΠ΅Π½ΠΈΡ ΡΠ»Π΅ΠΊΡΡΠΈΡΠ΅ΡΠΊΠΈΡ Π·Π°ΡΡΠ΄ΠΎΠ² ΠΈ ΡΠ²Π»ΡΠ΅ΡΡΡ ΡΠ°Π±ΠΎΡΠΎΠΉ ΡΡΠΎΡΠΎΠ½Π½ΠΈΡ ΡΠΈΠ», Ρ.Β Π΅. ΠΈΡΡΠΎΡΠ½ΠΈΠΊΠΎΠΌ ΠΠΠ‘ ΠΈΠ½Π΄ΡΠΊΡΠΈΠΈ. ΠΡΠΈ ΠΏΠ΅ΡΠ΅ΠΌΠ΅ΡΠ΅Π½ΠΈΠΈ Π΅Π΄ΠΈΠ½ΠΈΡΠ½ΠΎΠ³ΠΎ ΠΏΠΎΠ»ΠΎΠΆΠΈΡΠ΅Π»ΡΠ½ΠΎΠ³ΠΎ Π·Π°ΡΡΠ΄Π° Π²Π΄ΠΎΠ»Ρ Π·Π°ΠΌΠΊΠ½ΡΡΠΎΠ³ΠΎ Π½Π΅ΠΏΠΎΠ΄Π²ΠΈΠΆΠ½ΠΎΠ³ΠΎ ΠΏΡΠΎΠ²ΠΎΠ΄Π½ΠΈΠΊΠ° ΠΎΠ½Π° ΡΠΈΡΠ»Π΅Π½Π½ΠΎ ΡΠ°Π²Π½Π° ΠΠΠ‘ ΠΈΠ½Π΄ΡΠΊΡΠΈΠΈ Π² ΡΡΠΎΠΌ ΠΏΡΠΎΠ²ΠΎΠ΄Π½ΠΈΠΊΠ΅.
ΠΠΈΡ ΡΠ΅Π²ΠΎΠ΅ ΡΠ»Π΅ΠΊΡΡΠΈΡΠ΅ΡΠΊΠΎΠ΅ ΠΏΠΎΠ»Π΅ ΠΎΡΠ»ΠΈΡΠ°Π΅ΡΡΡ ΠΎΡ ΡΠ»Π΅ΠΊΡΡΠΎΡΡΠ°ΡΠΈΡΠ΅ΡΠΊΠΎΠ³ΠΎ ΡΠ΅ΠΌ, ΡΡΠΎ ΠΎΠ½ΠΎ Π½Π΅ ΡΠ²ΡΠ·Π°Π½ΠΎ Ρ ΡΠ»Π΅ΠΊΡΡΠΈΡΠ΅ΡΠΊΠΈΠΌΠΈ Π·Π°ΡΡΠ΄Π°ΠΌΠΈ, Π΅Π³ΠΎ Π»ΠΈΠ½ΠΈΠΈ Π½Π°ΠΏΡΡΠΆΠ΅Π½Π½ΠΎΡΡΠΈ ΠΏΡΠ΅Π΄ΡΡΠ°Π²Π»ΡΡΡ ΡΠΎΠ±ΠΎΠΉ Π·Π°ΠΌΠΊΠ½ΡΡΡΠ΅ Π»ΠΈΠ½ΠΈΠΈ. Π Π°Π±ΠΎΡΠ° ΡΠΈΠ» Π²ΠΈΡ ΡΠ΅Π²ΠΎΠ³ΠΎ ΡΠ»Π΅ΠΊΡΡΠΈΡΠ΅ΡΠΊΠΎΠ³ΠΎ ΠΏΠΎΠ»Ρ ΠΏΡΠΈ Π΄Π²ΠΈΠΆΠ΅Π½ΠΈΠΈ ΡΠ»Π΅ΠΊΡΡΠΈΡΠ΅ΡΠΊΠΎΠ³ΠΎ Π·Π°ΡΡΠ΄Π° ΠΏΠΎ Π·Π°ΠΌΠΊΠ½ΡΡΠΎΠΉ Π»ΠΈΠ½ΠΈΠΈ ΠΌΠΎΠΆΠ΅Ρ Π±ΡΡΡ ΠΎΡΠ»ΠΈΡΠ½Π° ΠΎΡ Π½ΡΠ»Ρ.
Π Π°ΡΡΠΌΠΎΡΡΠΈΠΌ ΠΏΡΠΈΡΠΈΠ½Ρ Π²ΠΎΠ·Π½ΠΈΠΊΠ½ΠΎΠ²Π΅Π½ΠΈΡ ΠΠΠ‘ ΠΈΠ½Π΄ΡΠΊΡΠΈΠΈ Π² ΠΏΡΠΎΠ²ΠΎΠ΄Π½ΠΈΠΊΠ°Ρ , Π΄Π²ΠΈΠΆΡΡΠΈΡ Π² Π½Π΅ΠΈΠ·ΠΌΠ΅Π½Π½ΠΎΠΌ ΠΌΠ°Π³Π½ΠΈΡΠ½ΠΎΠΌ ΠΏΠΎΠ»Π΅. Π ΡΡΠΎΠΌ ΡΠ»ΡΡΠ°Π΅ ΠΌΠ°Π³Π½ΠΈΡΠ½ΡΠΉ ΠΏΠΎΡΠΎΠΊ ΡΠ΅ΡΠ΅Π· ΠΊΠΎΠ½ΡΡΡ ΠΌΠ΅Π½ΡΠ΅ΡΡΡ Π·Π° ΡΡΠ΅Ρ Π΄Π²ΠΈΠΆΠ΅Π½ΠΈΡ ΠΏΡΠΎΠ²ΠΎΠ΄Π½ΠΈΠΊΠΎΠ² ΠΊΠΎΠ½ΡΡΡΠ°. ΠΡΠΈΡΠΈΠ½ΠΎΠΉ Π²ΠΎΠ·Π½ΠΈΠΊΠ½ΠΎΠ²Π΅Π½ΠΈΡ ΠΠΠ‘ ΠΈΠ½Π΄ΡΠΊΡΠΈΠΈ ΡΠ²Π»ΡΠ΅ΡΡΡ Π½Π΅ Π²ΠΈΡ ΡΠ΅Π²ΠΎΠ΅ ΡΠ»Π΅ΠΊΡΡΠΈΡΠ΅ΡΠΊΠΎΠ΅ ΠΏΠΎΠ»Π΅, Π° ΡΠΈΠ»Π° ΠΠΎΡΠ΅Π½ΡΠ°.
studfiles.net
