примеры уравнений с разделяющимися переменными
Рассмотрим примеры решения дифференциальных уравнений с разделяющимися переменными.
1) Проинтегрировать дифференциальное уравнение: (1+x²)dy-2xydx=0.
Данное уравнение является уравнением с разделяющимися переменными, записанное в виде
Оставляем слагаемое с dy в левой части уравнения, с dx — переносим в правую часть:
(1+x²)dy = 2xydx
Разделяем переменные, то есть в левой части оставляем только dy и все, что содержит y, в правой dx и x. Для этого обе части уравнения делим на (1+x²) и на y. Получаем
Интегрируем обе части уравнения:
В левой части — табличный интеграл. Интеграл в правой части можно найти, например, сделав замену t=1+x², тогда
dt=(1+x²)’dx=2xdx.
В примерах, где есть возможность провести потенцирование, то есть убрать логарифмы, удобно брать не С, а lnC. Именно так мы и сделаем: ln│y│=ln│t│+ln│C│. Так как сумма логарифмов равна логарифму произведения, то ln│y│=ln│Сt│, откуда y=Ct. Делаем обратную замену,и получаем общее решение: y=C(1+x²).
Мы делили на 1+x² и на y при условии, что они не равны нулю. Но 1+x² не равно нулю при любых x. А y=0 при С=0, таким образом, потери корней не произошло.
Ответ: y=C(1+x²).
2) Найти общий интеграл уравнения
Переменные можно разделить.
Умножаем обе части уравнения на dx и делим на
Получаем:
Теперь интегрируем
В левой части — табличный интеграл. Справа — делаем замену 4-x²=t, тогда dt=(4-x²)’dx=-2xdx. Получаем
Если вместо С взять 1/2 ln│C│, можно ответ записать более компактно:
Умножим обе части на 2 и применим свойство логарифма:
Мы делили на
Они не равны нулю: y²+1 — так как сумма неотрицательных чисел не равна нулю, а подкоренное выражение не равно нулю по смыслу условия. Значит, потери корней не произошло.
Ответ:
3) a) Найти общий интеграл уравнения (xy²+y²)dx+(x²-x²y)dy=0.
б) Найти частный интеграл этого уравнения, удовлетворяющий начальному условию y(е)=1.
Решение.
а) Преобразуем левую часть уравнения: y²(x+1)dx+x²(1-y)dy=0, затем
y²(x+1)dx=-x²(1-y)dy. Делим обе части на x²y² при условии, что ни x, ни y не равны нулю. Получаем:
Интегрируем уравнение:
Отсюда
Так как разность логарифмов равна логарифму частного, имеем:
Это — общий интеграл уравнения. В процессе решения мы ставили условие, что произведение x²y² не равно нулю, откуда следует, что x и y не должны быть равными нулю. Подставив x=0 и y=0 в условие:(0.0²+0²)dx+(0²-0²0)dy=0 получаем верное равенство 0=0. Значит, x=0 и y=0 тоже являются решениями данного уравнения. Но в общий интеграл они не входят ни при каких С (нули не могут стоять под знаком логарифма и в знаменателе дроби), поэтому эти решения следует записать дополнительно к общему интегралу.
Ответ:
б) Так как y(е)=1, подставляем в полученное решение x=e, y=1 и находим С:
Ответ:
Примеры для самопроверки:
Показать решение
Ответ:
\
Ответ:
Ответ:
уравнения, приводимые с разделяющимися переменными
Рассмотрим, как решать уравнения вида y’=f(ax+by+c), где a,b,c — некоторые числа. Это — дифференциальные уравнения, приводимые к уравнениям с разделяющимися переменными.
Такие уравнения приводятся к уравнениям с разделяющимися переменными с помощью замены z=ax+by+c. Дифференцируем обе части этого равенства по иксу:
Поскольку x’=1, а так как y’=f(ax+by+c), то y’=f(z).
Соответственно, получаем, что
При условии a+bf(z)≠0 переменные можем разделить:
Интегрируем полученное уравнение
В полученном решении возвращаемся к исходным переменным z=ax+by+c.
Если a+bf(z)=0, то значит, и dz/dx=0, то ax+by+c=С.
Пример
Решить уравнение y’=(x+y+1)².
Решение: Замена z=x+y+1. Тогда dz/dx=1+dy/dx, а так как dy/dx=y’=(x+y+1)²=z², то dz/dx=1+z². Разделяем переменные, для этого обе части делим на 1+z² (это выражение не равно нулю при любом z) и умножаем на dx:
Интегрируем уравнение:
откуда
arctgz=x+C. Так как z=x+y+1, то общее решение arctg(x+y+1)=x+C, откуда arctg(x+y+1)-x=C.
www.matematika.uznateshe.ru
1.3. Уравнения с разделяющимися переменными
Дифференциальное уравнение называетсяуравнением с разделяющимися переменными, если его можно записать в виде:
.
Общее решение дифференциального уравнения с разделяющимися переменными получается после нахождения соответствующих интегралов, то есть .
Если уравнение с разделяющимися переменными имеет вид: , то путем почленного деления его наони сводится к уравнению.
Замечания.
При проведении почленного деления ДУ на могут быть потеряны некоторые решения. Поэтому следует отдельно решить уравнениеи установить те решения ДУ, которые не могут быть получены из общего решения, –
особые решения.Уравнение также сводится к уравнению с разделенными переменными. Для этого достаточно положить
и разделить переменные:
.Уравнение , гдеa,b,c – числа, сводится к уравнению с разделенными переменными путем замены . Дифференцируяпо
х получаем: . Интегрируя это уравнение и заменяяu=, получим общий интеграл исходного уравнения.
Пример. Найти все решения уравнения .
Разделяем
переменные:
.Интегрируем:
.
Получаем: или .
Вполученном выражении содержатся не все
решения данного уравнения. При делении
на
– это особые решения, которые невозможно
включить в решение. Множество интегральных
кривых данного уравнения состоит из
семейства окружностей радиусом 1 с
центром в точке (С; 0) и прямых
.Рис. 2
1.4. Однородные уравнения
Однородной
функцией f(x, y) нулевого измерения, или, просто, однородной
функцией, называется функция только от
отношения 
. При
решении однородных дифференциальных
уравнений сохраняя прежнюю независимую
переменную х, вводят вспомогательную неизвестную
функцию t по формуле:
.
Откуда.
Преобразуя уравнение
,
получаем:
,
получая при этом решение однородного
дифференциального уравнения. Замечание: Иногда
целесообразно вместо постановки
использовать подстановку
.
Пример. Решить уравнение 
Делаем замену: .
Подставляем в исходное уравнение:
Разделяем
переменные:
.
Интегрируя:
,
получаем:
Переходя
от вспомогательной функции обратно к
функции у, получаем общее решение: 
1.5. Уравнения, приводящиеся к однородным
Дифференциальное
уравнение вида:
приводится к однородному дифференциальному
уравнению или к дифференциальному
уравнению с разделяющимися переменными.
1 случай. Уравнение, приводящиеся к однородному дифференциальному уравнению.
Если
определитель
то совершается замена:где
и
– решения системы уравнений
.
Подставляя замену, получим однородное
дифференциальное уравнение вида:
.
Пример. Решить уравнение
Получаем
Находим значение определителя .
Решаем систему уравнений
Применяем подстановку в исходное уравнение:
Получили
однородное уравнение и осуществляем
замену переменных
при подстановке в выражение имеем:
.
Разделяем переменные:
; ; .
Вернемся к первоначальной функции у и переменной х.
;
;
; .
Получаем выражение , которое является общим интегралом исходного дифференциального уравнения.
2 случай. Уравнение, приводящиеся к дифференциальному уравнению с разделяющимися переменными.
Если
определитель
то совершается замена:,
где.
Отсюда,.
Подставляя замену, получим дифференциальное
уравнение вида:
.
Пример. Решить уравнение
Получаем
Находим
значение определителя
.
Применяем
подстановку
,
тогда
.
Подставляем это выражение в исходное уравнение:
.
Разделяем переменные:
.
Далее возвращаемся к первоначальной функции у и переменной х.
–получили общий интеграл исходного дифференциального уравнения.
studfiles.net
Дифференциальные уравнения, сводящиеся к уравнениям с разделяющимися переменными
Копцова Александра Владимировича
Дифференциальные уравнения с разделяющимися переменными.
- Среди обыкновенных дифференциальных уравнений первого порядка существуют такие, в которых возможно переменные x и y разнести по разные стороны знака равенства. В уравнениях вида переменные уже разделены, а в ОДУ переменные разделяются посредством преобразований. Кроме того, некоторые дифференциальные уравнения сводятся к уравнениям с разделяющимися переменными после введения новых переменных.
Дифференциальные уравнения с разделенными переменными .
Дифференциальные уравнения называют уравнениями с разделенными переменными.
Название этого вида дифференциальных уравнений достаточно показательно: выражения, содержащие переменные x и y, разделены знаком равенства, то есть, находятся по разные стороны от него.
Будем считать, что функции f(y) и g(x) непрерывны.
Общим интегралом уравнения с разделенными переменными является равенство . Если интегралы из этого равенства выражаются в элементарных функциях, то мы можем получить общее решение дифференциального уравнения как неявно заданную функцию Ф(x, y) = 0, а иногда получается выразить функцию y в явном виде.
Пример.
Найдите общее решение дифференциального уравнения с разделенными переменными .
Решение.
Проинтегрируем обе части равенства: . По сути, мы уже получили общее решение исходного дифференциального уравнения, так как свели задачу решения дифференциального уравнения к уже известной задаче нахождения неопределенных интегралов. Однако, эти неопределенные интегралы выражаются в элементарных функциях, и мы можем взять их, используя таблицу первообразных:
где С1 и С2 – произвольные постоянные.
Мы пришли к неявно заданной функции , которая является общим решением исходного дифференциального уравнения с разделенными переменными. Ответ можно оставить в таком виде. Но в нашем случае искомую функцию y можно выразить явно через аргумент x. Итак, , где . То есть, функция является общим решением исходного дифференциального уравнения.
Замечание.
Ответ можно записать в любом из трех видов или , или .
Дифференциальные уравнения с разделяющимися переменными
Прежде чем продолжить, напомним, что когда y является функцией аргумента x.
В дифференциальных уравнениях или переменные могут быть разделены, проведением преобразований. Такие ОДУ называются дифференциальными уравнениями с разделяющимися переменными. Соответствующее ДУ с разделенными переменными запишется как .
Пример.
Найти все решения дифференциального уравнения .
Решение.
Это уравнение с разделяющимися переменными, так как мы можем разделить x и y:
Для нулевой функции y исходное уравнение обращается в тождество , поэтому, y = 0 является решением дифференциального уравнения. Это решение мы могли упустить из виду.
Проинтегрируем дифференциальное уравнение с разделенными переменными :

В преобразованиях мы заменили C2 – C1 на С.
Мы получили решение ДУ в виде неявно заданной функции . На этом можно закончить. Однако в нашем случае функцию y можно выразить явно, проведя потенцирование полученного равенства:
Ответ: .
Дифференциальные уравнения, сводящиеся к уравнениям с разделяющимися переменными , a ≠ 0, b ≠ 0
Обыкновенные дифференциальные уравнения первого порядка вида , a ≠ 0,
b ≠ 0 приводятся к уравнениям с разделяющимися переменными введением новой переменной z = ax + by, где z представляет собой функцию аргумента x.
В этом случае
После подстановки в исходное уравнение и небольших преобразований приходим к уравнению с разделенными переменными
Рассмотрим пример.
Пример.
Найдите общее решение дифференциального уравнения и частное решение, удовлетворяющее начальному условию y(0) = e.
Решение.
Пусть z = 2x + y, тогда
Подставим полученные результаты в исходное уравнение и преобразуем его к дифференциальному уравнению с разделяющимися переменными:
Разделяем переменные и интегрируем обе части равенства . Интеграл в левой части найдем методом интегрирования по частям, а интеграл в правой части является табличным:
Следовательно, . Если принять C = C2 – C1 и сделать обратную замену z = 2x + y, то получим общее решение дифференциального уравнения в виде неявно заданной функции: .
Осталось найти частное решение, удовлетворяющее начальному условию y(0) = e. Для этого подставляем x = 0 и y(0) = e в общее решение дифференциального уравнения и находим значение константы С:
Следовательно, искомое частное решение, удовлетворяющее условию y(0) = e, имеет вид .
Замечание.
В условии задачи ничего не сказано об интервале, на котором требуется найти общее решение дифференциального уравнения. В таких случаях решение проводится для всех значений аргумента x, при которых исходное дифференциальное уравнение и его решения имеют смысл. Для данного примера дифференциальное уравнение имеет смысл при .
Дифференциальные уравнения, сводящиеся к уравнениям с разделяющимися переменными или .
Дифференциальные уравнения вида или могут быть сведены к ОДУ с разделяющимися переменными, если произвести замену или , где z – функция аргумента x.
Если , то и по правилу дифференцирования дроби . В этом случае уравнения примут вид или .
Если принять , то y = x ⋅ z и по правилу производной произведения . В этому случае уравнения сведутся к или .
Пример.
Решите дифференциальное уравнение .
Решение.
Примем , тогда . Подставим в исходное уравнение:
Получили уравнение с разделенными переменными. Проинтегрируем его.
После обратной замены получаем общее решение исходного дифференциального уравнения в виде неявно заданной функции .
Следует остановиться на дифференциальных уравнениях вида
.
Делением числителя и знаменателя правой части на yn или xn такие дифференциальные уравнения приводятся к виду или .
Пример.
Найти общее решение дифференциального уравнения .
Решение.
В этом примере x и y отличны от нуля. Разделим и числитель и знаменатель правой части равенства наx2:
Введем новую переменную , тогда .
Подставляем в исходное уравнение
Получили дифференциальное уравнение с разделенными переменными. Решаем его
В этом примере можно получить решение и в явном виде. Для этого примем и воспользуемся свойствами логарифма:
Осталось сделать обратную замену y = x ⋅ z и записать ответ . Это общее решение дифференциального уравнения.
Замечание: это уравнение (как и другие подобного типа) можно решить и используя замену .
Опишем решение для этой замены.
Разделим и числитель и знаменатель на y2:
Пусть , тогда .
Подставляем все в исходное уравнение и получаем дифференциальное уравнение с разделяющимися переменными . После разделения переменных приходим к равенству . Интегрируем его
Возьмем сначала интеграл . После разложения на простейшие дроби подынтегральной функции интеграл примет вид . Теперь проведем интегрирование простейших дробей:
Теперь найдем интеграл :
В итоге имеем или , где .
После проведения обратной замены и некоторых преобразований придем к тому же результату .
Сделаем вывод. В этом примере при замене решение оказалось более трудоемким, чем при замене . Для себя можно отметить, что если решение дифференциального уравнения или оказывается сложным при выбранной замене , то можно попробовать ввести другую переменную, то есть .
Дифференциальные уравнения, сводящиеся к уравнениям с разделяющимися переменными .
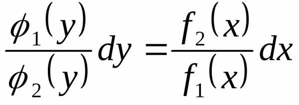
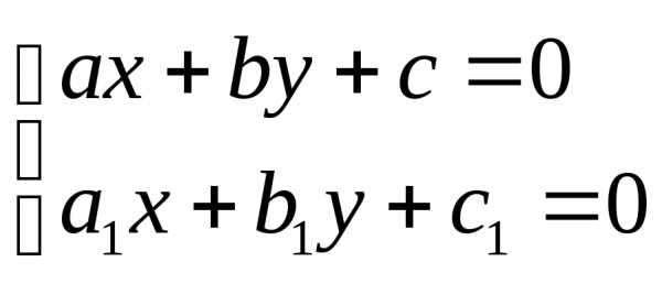
Дифференциальные уравнения можно свести к уравнениям или , следовательно, к уравнениям с разделяющимися переменными. Для этого находится (x0 , y0) – решение системы двух линейных однородных уравнений и вводятся новые переменные . После такой замены уравнение примет вид .
Разберемся на примере.
Пример.
Найти общее решение дифференциального уравнения .
Решение.
Составляем и решаем систему линейных уравнений
Делаем замену переменных
После подстановки в исходное уравнение получаем . После деления на u числителя и знаменателя правой части имеем .
Вводим новую переменную , тогда

Возвращаемся к исходным переменным, производя обратную замену :
Это есть общее решение дифференциального уравнения.
megaobuchalka.ru
1. Уравнения с разделяющимися переменными
Дифференциальные уравнения вида:
(1)
называются уравнениями с разделяющимися переменными. Решая такие уравнения, необходимо преобразовать их так, чтобы одна часть уравнения содержала только переменную у, а другая – толькох, а затем проинтегрировать обе части (поуи похсоответственно).
Например, уравнение
(1) надо разделить на
,
тогда получим
.
Проинтегрировав обе части, найдем общий
интеграл:
. (2)
Кроме найденного общего интеграла (2) уравнению (1) могут также удовлетворять решения, получаемые из уравнения . Если эти решения не входят в общий интеграл (2), то они будут особыми решениями уравнения (1).
Приведем примеры решения конкретного уравнения этого типа.
Задача №1. Найти общий интеграл дифференциального уравнения (ответ представить в виде (х, у)=с).
1.31 .
Решение. Уравнение представлено в дифференциальной форме. Для разделения переменных перенесем все слагаемые в одну часть уравнения и сгруппируем содержащие dxиdy:
Разделим обе части уравнения на , получим.
Почленно интегрируя, получим искомый общий интеграл:
.
В первообразных модули можно опустить, т.к. 1+х2и4+у2величины всегда неотрицательные.
Умножая обе части уравнения на 2 и учитывая свойства логарифма, получим
.
В нашем примере уравнение представлено в дифференциальной форме. Возможны случаи, когда уравнение разрешено относительно производной, т.е. оно имеет вид и, когда не разрешено относительно производной —.
Например, для
первого случая
.
В таких задачах нужно учитывать, что
.
Тогда,.
Пример ко второму случаю: . Уравнение можно разрешить относительно производной и, таким образом, придем к первому случаю.
2. Однородные уравнения первого порядка
Уравнение первого
порядка
называется однородным, еслиf(x,y)можно представить как функцию только
одного отношения переменных
,
т.е. уравнение вида
.
Однородное уравнение приводится к
уравнению с разделяющимися переменными
посредством замены функцииу(илих) новой функциейtпо формулеy=tx(x=ty),
причем.
Дифференциальное уравнение типа:
приводится к однородному с помощью переноса начала координат в точку (х0,у0)пересечения прямых, т.е. замена переменныхХ=х-х0, У=у-у0.
Если эти прямые
не пересекаются, то
,
и рассматриваемое уравнение сводится
к виду,
которое
приводится
к уравнению с разделяющимися переменными
заменой,
тогда

Задача №2. Найти общий интеграл дифференциального уравнения
2.31
.
Решение. Данное
уравнение первого порядка уже разрешено
относительно производной. Установим,
что она является функцией только
отношения переменных
,
т.е. установим, что данное уравнение
является однородным. Для этого числитель
и знаменатель дроби разделим наx2.
(Другими словами, сократим дробь наx2.)
.
Далее вводим новую
функцию
.
Отсюда,
.
После подстановки данное уравнение
преобразуется в уравнение с разделяющимися
переменными.
Разделим переменные:
и, интегрируя, найдем

Возвращаясь к старым переменным, получим

Ответ: 
Задача №3. Найти общий интеграл дифференциального уравнения
3.31 
Решение. Также как и в задаче №2 это тоже однородное дифференциальное уравнение. Докажем это, найдя точку пересечения прямых, стоящих в числителе и знаменателе и сделав соответствующую замену переменных.
Из последней
системы легко видеть, что
.
Подставим найденныехиув
исходное уравнение, получим
.
Далее решаем полученное однородное уравнение путем замены.

Возвращаясь к старым переменным, получим: , что и является ответом.
studfiles.net
Дифференциальные уравнения с разделенными переменными
Дифференциальные уравнения с разделенными переменными имеют вид f(y)dy=g(x)dx. К ним сводятся многие дифференциальные уравнения первого порядка. В общем случае решение такого уравнения — это интегрирование обеих частей:
Однако оставлять ответ в таком виде не принято. Нужно взять интегралы от обеих функций, если это возможно.
Замечание
Другая форма записи дифференциального уравнения с разделенными переменными:f(y)dy+g(x)dx=0. Его общее решение, заданное в неявном виде, выглядит так:
и называется общим интегралом уравнения.
Проиллюстрируем решение дифференциальных уравнений с разделенными переменными конкретными примерами.
Переносим слагаемое с x в левую часть и интегрируем:
Получаем
Переносим слагаемое с иксом в левую часть и интегрируем:
Замечаем, что (x²-5x+12)’=2x-5. Значит, выражение x²-5x+12 можно подвести под знак дифференциала: d(x²-5x+12)=(2x-5)dx,
В правой части — табличный интеграл. В левой — можно подвести косинус под знак интеграла. Но ради разнообразия сделаем замену:
cos x=t, отсюда dt = (cos x)’dx=-sinxdx. Отсюда
и можно записать решение в виде общего интеграла
либо выразить y через x:
Разделим обе части равенства на 2, затем возведём в квадрат:
Обозначим
Здесь удалось выразить ответ в виде функции в явном виде: y=f(x).
www.matematika.uznateshe.ru
Дифференциальные уравнения с разделяющимися переменными
Дифференциальное уравнение с разделенными переменными записывается в виде: (1).В этом уравнении одно слагаемое зависит только от x, а другое – от y. Проинтегрировав почленно это уравнение, получаем: – его общий интеграл.
Пример: найти общий интеграл уравнения: .
Решение: данное уравнение
– дифференциальное уравнение с
разделенными переменными. Поэтому
или
Обозначим
.
Тогда–
общий интеграл дифференциального
уравнения.
Уравнение с разделяющимися переменными имеет вид (2).Уравнение (2) легко сводиться к уравнению (1) путем почленного деления его на . Получаем:– общий интеграл.
Пример: Решить уравнение .
Решение: преобразуем левую
часть уравнения:
.
Делим обе части уравнения на
Решением является выражение:т.е.
Однородные дифференциальные уравнения. Уравнения Бернулли. Линейные дифференциальные уравнения первого порядка.
Уравнение вида
называетсяоднородным,
если
и
–
однородные функции одного порядка
(измерения). Функция
называется
однородной функцией первого порядка
(измерения), если при умножении каждого
ее аргумента на произвольный множитель
вся функция умножиться на
,
т.е.=
.
Однородное уравнение может быть приведено
к виду
.
С помощью подстановки
(
)однородное
уравнение приводится к уравнению с
разделяющимися переменными по отношению
к новой функции
.
Дифференциальное уравнение первого порядка называется линейным, если его можно записать в виде.
Метод Бернулли
Решение уравнения ищется в виде произведения двух других функций, т.е. с помощью подстановки().
Пример: проинтегрировать уравнение .
Полагаем
.
Тогда
,
т.е.
.
Сначала решаем уравнение=0:

.
Теперь решаем уравнение
т.е.
.
Итак, общее решение данного уравнения
естьт.е.
Уравнение Я. Бернулли
Уравнение вида , гденазываетсяуравнением Бернулли.Данное уравнение решается с помощью метода Бернулли.
Однородные дифференциальные уравнения второго порядка с постоянными коэффициентами
Однородным линейным дифференциальным
уравнением второго порядка называется
уравнение вида (1), где
и
постоянны.
Частные решения уравнения (1) будем
искать в виде
,
гдек – некоторое число. Дифференцируя
эту функцию два раза и подставляя
выражения для
в
уравнение (1), получимт.е.или(2)(
).
Уравнение 2 называется характеристическим уравнением дифференциального уравнения.
При решении характеристического уравнения (2) возможны три случая.
Случай 1.Корни
и
уравнения (2) действительные и различные:
.
В этом случае частными решениями
уравнения (1) являются функции
и
.
Следовательно, общее решение уравнения
(1) имеет вид.
Случай 2.Корни
и
уравнения (2) действительные и равные:
.
В этом случае частными решениями
уравнения (1) являются функции
и
.
Следовательно, общее решение уравнения
(1) имеет вид.
Случай 3.Корни
и
уравнения (2) комплексные:,.
В этом случае частными решениями
уравнения (1) являются функциии.
Следовательно, общее решение уравнения
(1) имеет вид
Пример. Решить уравнение .
Решение: составим характеристическое уравнение:. Тогда. Общее решение данного уравнения.
Экстремум функции нескольких переменных. Условный экстремум.
Экстремум функции нескольких переменных
Определение. Точка М (хо,уо) называется точкой максимума (минимума) функции z=f(x, у), если существует окрестность точки М, такая, что для всех точек {х, у) из этой окрестности выполняется неравенство ()
На рис. 1 точка А
—
есть точка минимума, а точка В
—точка максимума.
Необходимое условие экстремума — многомерный аналог теоремы Ферма.
Теорема. Пусть
точка
–
есть точка экстремума дифференцируемой
функцииz=f(x,
у). Тогда частные производные
и
в этой точке равны нулю.

Точки, в которых выполнены необходимые условия экстремума функции z=f(x, у), т.е. частные производные z‘x и z‘y равны нулю, называются критическими или стационарными.
Равенство частных производных нулю выражает лишь необходимое, но недостаточное условие экстремума функции нескольких переменных.
На рис. изображена так
называемая седловая
точка М (хо,уо). Частные производные
и
равны
нулю, но, очевидно, никакого экстремума
в точке М(хо,уо) нет.

Такие седловые точки являются двумерными аналогами точек перегиба функций одной переменной. Задача заключается в том, чтобы отделить их от точек экстремума. Иными словами, требуется знать достаточное условие экстремума.
Теорема (достаточное
условие экстремума функции двух
переменных). Пусть
функция z=f(x,
у): а) определена
в некоторой окрестности критической
точки (хо,уо),
в которой
=0
и
=0;
б) имеет в этой точке непрерывные частные производные второго порядка;;Тогда, если ∆=АС— В2 >0, то в точке (хо,уо) функция z=f(x, у) имеет экстремум, причем если А<0 — максимум, если А>0 — минимум. В случае ∆=АС— В2<0, функция z=f(x, у) экстремума не имеет. Если ∆=АС— В2=0, то вопрос о наличии экстремума остается открытым.
Исследование функции двух переменных на экстремум рекомендуется проводить по следующей схеме:
Найти частные производные функции z‘x и z‘y.
Решить систему уравнений z‘x =0, z‘y =0 и найти критические точки функции.
Найти частные производные второго порядка, вычислить их значения в каждой критической точке и с помощью достаточного условия сделать вывод о наличии экстремумов.
Найти экстремумы (экстремальные значения) функции.
Пример. Найти экстремумы функции
Решение. 1. Находим частные производные


2. Критические точки функции находим из системы уравнений:

имеющей четыре решения (1; 1), (1; —1), (—1; 1) и (—1; -1).
3. Находим частные производные второго порядка:
;;,
вычисляем их значения в каждой критической
точке и проверяем в ней выполнение
достаточного условия экстремума.
Например, в точке (1; 1) A=z“(1; 1)= -1; В=0; С= -1. Так как ∆= АС— В2 = (-1)2-0=1 >0 и А=-1<0, то точка (1; 1) есть точка максимума.
Аналогично устанавливаем, что (-1; -1) — точка минимума, а в точках (1; —1) и (—1; 1), в которых ∆=АС— В2 <0, — экстремума нет. Эти точки являются седловыми.
4. Находим экстремумы функции zmax = z(l; 1) = 2, zmin = z(-l; -1) = -2,
Условный экстремум. Метод множителей Лагранжа.
Рассмотрим задачу, специфическую для функций нескольких переменных, когда ее экстремум ищется не на всей области определения, а на множестве, удовлетворяющем некоторому условию.
Пусть рассматривается функция z = f(x,y), аргументы х и у которой удовлетворяют условию g (х,у) = С, называемому уравнением связи.
Определение. Точка
называется точкойусловного
максимума (минимума), если
существует такая окрестность этой
точки, что для всех точек (х,у) из этой
окрестности удовлетворяющих условию g (x,y)
= С, выполняется неравенство
().
На рис. изображена точка
условного максимума
.Очевидно, что она не
является точкой безусловного экстремума
функции z
= f(x,y) (на рис. это точка
).

Наиболее простым способом
нахождения условного экстремума
функции двух переменных является
сведение задачи к отысканию экстремума
функции одной переменной. Допустим
уравнение связи g (x,y) = С удалось разрешить
относительно одной из переменных,
например, выразить у через х:
.Подставив полученное
выражение в функцию двух переменных,
получим z
= f(x,y) =, т.е. функцию одной
переменной. Ее экстремум и будет условным
экстремумом функции z = f(x,y).
Пример. Найти точки максимума и минимума функции z = х2 + y2 при условии 3х +2у = 11.
Решение. Выразим из уравнения
3х +2у = 11
переменную y
через переменную x
и подставим полученное
в функциюz.
Получим z=x2+2
илиz =
.Эта функция имеет
единственный минимум при
= 3. Соответствующее
значение функции
Таким образом, (3; 1) — точка условного
экстремума (минимума).
В рассмотренном примере уравнение связи g(x, у) = С оказалось линейным, поэтому его легко удалось разрешить относительно одной из переменных. Однако в более сложных случаях сделать это не удается.
Для отыскания условного экстремума в общем случае используется метод множителей Лагранжа.
Рассмотрим функцию трех переменных
Эта функция называется функцией Лагранжа, а
—
множителем Лагранжа. Верна
следующая теорема.
Теорема. Если
точка
является
точкой условного экстремума функцииz = f(x,y)
при условии g (x,y)
= С, то существует значение
такое,
что точкаявляется
точкой экстремума функцииL{x,y,
).
Таким образом, для нахождения условного экстремума функции z = f(х,у) при условии g(x,y) = С требуется найти решение системы

На рис. показан геометрический смысл условий Лагранжа. Линия g (х,у) = С пунктирная, линия уровня g(x,y) = Q функции z = f(x,y) сплошные.

Из рис. следует, что в точке условного экстремума линия уровня функции z = f(x,y) касается линии g(x,y) = С.
Пример. Найти точки максимума и минимума функции z = х2 + y2 при условии 3х +2у = 11, используя метод множителей Лагранжа.
Решение. Составляем функцию Лагранжа L = х2 + 2у2 +
Приравнивая к нулю ее частные производные, получим систему уравнений

Ее единственное решение
(х=3, у=1,
=—2). Таким образом, точкой
условного экстремума может быть только
точка (3;1). Нетрудно убедиться в том,
что в этой точке функция z=f(x,y) имеет условный минимум.
studfiles.net

и разделить переменные:
.