Видеокурс высшей математики. Урок 15. Матрицы. Виды матриц
Видеокурс высшей математики. Урок 1. Определители 2 и 3 порядков
Урок: 1Видеоурок 2. Вычисление определителя методом разложения по элементам его строки или столбца
Урок: 2Высшая математика 3. Вычисление определителя третьего порядка. Правило треугольников
Урок: 3Видеоурок 4. Вычисление определителя третьего порядка методом присоединения строк (столбцов)
Урок: 4Видеоурок 5. Вычисление определителя методом приведения матрицы определителя к треугольному виду
Урок: 5Видеоурок 6. Решение систем двух линейных уравнений с двумя неизвестными методом Крамера
Урок: 6Видеоурок 7. Решение систем трех линейных уравнений с тремя неизвестными методом Крамера
Урок: 7Видеокурс высшей математики. Урок 8. Примеры решения систем трех линейных уравнений методом Крамера
Урок: 8Видеокурс высшей математики. Урок 9. Алгебраическая форма записи комплексного числа
Видеокурс высшей математики. Урок 10. 1 часть. Тригонометрическая форма записи комплексного числа
Урок: 10Видеокурс высшей математики. Урок 10. 2 часть. Тригонометрическая форма записи комплексного числа
Урок: 11Видеокурс высшей математики. Урок 11. Показательная форма записи комплексного числа
Урок: 12Видеокурс высшей математики. 12. Разложение многочлена на множители
Урок: 13Видеокурс высшей математики. 13. Разложение рациональной дроби на сумму простейших дробей
Урок: 14Высшая математика. 14. Часть 1. Примеры разложения рациональной дроби на сумму простейших дробей
Урок: 15Высшая математика. 14. Часть 2. Примеры разложения рациональной дроби на сумму простейших дробей
Видеокурс высшей математики. Урок 15. Матрицы. Виды матриц
Урок: 17Видеокурс высшей математики. Урок 16. Сложение и вычитание матриц. Умножение матрицы на число
Урок: 18Видеокурс высшей математики. Урок 17. Умножение матриц. Возведение матрицы в степень
Урок: 19Видеокурс высшей математики. Урок 18. Приведение матрицы к ступенчатому виду
Урок: 20Видеокурс высшей математики. Урок 19. Ранг матрицы. Ранг системы векторов
Урок: 21Видеокурс высшей математики. Урок 20. Вычисление определителей высоких порядков
Урок: 22Видеокурс высшей математики. Урок 21. Часть 1. Обратная матрица
Видеокурс высшей математики. Урок 21. Часть 2. Обратная матрица
Урок: 24Видеокурс высшей математики. Урок 22. Матричные уравнения
Урок: 25Видеокурс высшей математики. Урок 23. Системы линейных неоднородных уравнений. Общая теория
Урок: 26Видеокурс высшей математики. Урок 24. Метод обратной матрицы решения системы линейных уравнений
Урок: 27Видеокурс высшей математики. Урок 25. Метод Крамера решения системы линейных уравнений
Урок: 28Видеокурс высшей математики. Урок 26. Часть 1. Решений систем линейных уравнений методом Гаусса
Урок: 29Видеокурс высшей математики. Урок 27. Фундаментальная система решений
Урок: 31Видеокурс высшей математики. Урок 28. Примеры построения фундаментальной системы решений
Урок: 32Видеокурс. Урок 29. Задача: найти общее и одно частное решения системы лин неоднородных уравнений
Урок: 33Видеокурс высшей математики. Урок 30. Собственные значения и собственные векторы (теория)
Урок: 34Высшая математика. 31. Собственные значения и собственные векторы. Простое собственное значение
Урок: 35Высшая математика. 32. Собственные значения и собственные векторы. Комплексно-сопряженные значения
Видеокурс. 33. Собственные значения и собственные векторы. Случай кратного собственного значения
Урок: 37Высшая математика. 34. Собственные значения и собственные векторы. Присоединенные векторы
Урок: 38Видеокурс высшей математики. Урок 35. Часть 1. Линейные векторные пространства
Урок: 39Видеокурс высшей математики. Урок 35. Часть 2. Линейные векторные пространства
Урок: 40Видеокурс высшей математики. Урок 36. Преобразование координат. Матрица перехода
Урок: 41Видеокурс высшей математики. Урок 37. Евклидовы пространства
Урок: 42Видеокурс высшей математики. Урок 39. Квадратичные формы. Преобразование переменных
Урок: 44Видеокурс высшей математики. Урок 40. Приведение квадратичной формы к каноническому виду
Урок: 45www.videxp.com
Урок “Матрицы и определители”
Разделы: Математика
Тип урока: урок-зачет.
Форма урока: соревнование интеллектуалов.
Цели урока:
- Выявить качество усвоения учащимися знаний и способов действий по теме “Матрицы и определители”, определить недостатки в знаниях и способах действий учащихся и установить их причины.
- Создать условия для развития способности учащихся к оценочным действиям.
- Содействовать развитию вычислительных навыков учащихся, логического мышления, способности к самоконтролю, самооценке, рефлексии.
Оснащение урока:
- Раздаточный материал: тесты, карточки-задания.
- Мультимедийная установка, ПК магнитофон.
- Листы контроля.
Этап урока:
- Разминка “Понятия и определения”.
- Блиц-турнир “Ответь на вопрос”.
- Тест.
- Практикум “Реши, упражнения”.
Ход урока
1. Организационный момент.
Вступительное слово преподавателя:
Сегодня мы проведем необычный урок – интеллектуальное соревнование по теме: “Матрицы и определители”. У каждого учащегося на столе находится лист самоконтроля и оценки. По мере выполнения заданий вы будете оценивать себя и вносить результаты в личную карточку.
| Разминка | Блиц | Тест | Практикум |
2. Этап актуализации опорных знаний учащихся.
1) Учащимся необходимо за 2 минуты записать в тетради как можно больше понятий и определений по изученной нами теме “Матрицы и определители”.
(По результатам работы спросить 2-3 учащихся). Оцените свою работу:
3 балла за 10 и более понятий
2 балл от 5 до 10 понятий
1 баллов – менее 5 понятий.
2) Учащиеся должны дать развернутый ответ по каждому понятию и определению.
3. Этап контроля и самоконтроля.
Второй этап. Блиц.
Преподаватель задает вопросы по всем
изученным темам раздела:
Что называется прямоугольной матрицей?
Правильный ответ учащимися оценивается 1 баллом.
Третий этап. Тест (Приложение № 1).
Тест содержит 4 задания с тремя вариантами ответов. Учащимся необходимо в тетрадях выполнить задания и обвести кружочком букву правильного ответа.
Проверка выполненного тестового задания: учащиеся меняются работами и оценивают работу друг друга.
Четвертый этап. Практикум по решению упражнений.
Учащиеся получают карточки с упражнениями, где каждое упражнение оценивается соответствующим баллом, на выполнение задания отводится 10 минут, кто больше решит упражнений, тот заработает больше баллов. (Приложение № 2).
Идет подсчет баллов, учащиеся заполняют свою личную карточку участника соревнования и передают ее секретарю.
Секретарь вносит результаты каждого учащегося по каждому заданию в электронный банк данных и создает рейтинговую систему оценки знаний каждого учащегося группы.
В это время учащимся предлагается послушать историческую справку о практическом применении матриц. (Приложение № 3)
4. Подведение итогов. “Рейтинг оценки знаний учащихся”.
Выявление самого знающего учащегося по теме.
5. Этап рефлексии.
Учащимся предлагается выбрать пословицы, которые наиболее точно отражают настроение.
- Без муки нет науки.
- Без терпенья нет ученья.
- Без труда ничего не дается.
- Бери в работе умом, а не горбом.
- Большому уму и в маленькой голове не тесно.
- Была бы охота, а выучиться можно.
- Ученья корень горек, да плод сладок.
- Работу с плеч, да и на печь.
- С чем пришел, с тем и ушел.
- Работай – сыт будешь; учись – умен будешь.
- Повторять да учить – ум точить.
- Погонишься за большим – и малое потеряешь.
- Полбеды – человек отстал, две беды – догонять не хочет.
- После дела и гулять хорошо.
- Наукой свет стоит, ученьем люди живут.
- Не дорого начало, а похвален конец.
- Не испортив дела, мастером не будешь.
- Не пером пишут, а умом.
- Не разгрызешь ореха – не съешь ядра.
- Доброе дело без награды не останется.
- Долго сидел, да ничего не высидел.
- Есть раденье, да нет владенья.
- За одного ученого двух неученых дают.
xn--i1abbnckbmcl9fb.xn--p1ai
Разработка урока “Матрицы и определители”
Раздел 1. Линейная алгебра
Тема 1.1. Матрицы и определители
Урок№1.
Тема: Понятие матрицы. Виды матриц. Выполнение операций над матрицами.
Цель: приобретение базовых знаний в области фундаментального раздела математики – линейной алгебры.Изучить понятие матрицы, её видов, операции над матрицами.
Задачи:
• развитие творческого профессионального мышления;
• познавательная мотивация;
• овладение языком науки, навыки оперирования понятиями;
• овладение умениями и навыками постановки и решения задач;
• углубление теоретической и практической подготовки;
• развитие инициативы и самостоятельности студентов.
Вид занятия:Лекция систематического изложения курса.
Ход занятия.
1.Формулирование темы занятия, пояснение связи темы с другими темами учебной дисциплины;
2.Проверка готовности учащихся к занятию;
3.Проведение непосредственно занятия согласно тематике и в соответствии с рабочей программой дисциплины:
› Изучить теоретический материал по теме «Матрицы. Выполнение операций над матрицами».
› Рассмотреть примеры решения типовых заданий.
› Ответить на контрольные вопросы.
- Организационный момент.
Создание проблемной ситуации при постановке темы, цели и задач лекции.
В школьном курсе алгебры 7 – 9 классов рассматриваются различные способы решения систем линейных уравнений: метод подстановки, метод сложения, метод двойного сложения, графический метод, метод сравнения. Возникает вопрос, а существуют ли какие-либо другие способы решения данных систем. Действительно, кроме методов, изучаемых в школе, существуют и другие, доступные для учащихся старших классов методы решения систем линейных уравнений: метод Крамера, метод Гаусса, матричный метод. Эти методы способствуют развитию внимания, памяти. При применении этих методов встречаются новые понятия: «матрица», «определитель», «минор», «дополнение». Возникает необходимость уметь вычислять определители, миноры, дополнения.
При решении систем линейных уравнений методом Гаусса также нужно уметь выполнять преобразования над строками матриц.
Что же такое матрица, какие действия с ними можно выполнять?
2.Изучение нового материала.
Определение: Матрицей размеров mxn называется система mn чисел (элементов матрицы), расположенных в прямоугольной таблице из m строк и n столбцов. Если m=n, матрицу называют квадратной матрицей порядка n.
Обозначения: или
Или кратко: А=(аij)mn или А=[aij]. Две матрицы А и В одинаковых размеров равны А=В, если аij=bijдля любых i, j.
Матрицы бывают: 0 = – нулевая матрица,
А = – матрица противоположная матрице А,
– матрица – строка, – матрица – столбец,
– верхняя треугольная матрица,
-нижняя треугольная матрица,- диагональная матрица,
Е = – единичная матрица.
Если все аij действительные, то матрица А называется действительной, если хотя бы одно из чисел аijкомплексное, то матрица называется комплексной.
ДЕЙСТВИЯ НАД МАТРИЦАМИ
1. Суммой матриц А = (аij) и В = (bij) одинаковых размеров называется матрица С = (сij) тех размеров, у которой сij = аij + bij, для любых i, j.
C = A + B
Свойства сложения матриц:
- A+B = B + A
- (A +B) +C = A + (B + C)
- A + 0 = A
- A + (-A) = 0, для любых А, В, С одинаковых размеров.
Транспонирование матриц.
А =Ат =
Ат – транспонированная матрица.
Свойства транспонирования:
1) 3)
2) 4)
Произведением матрицы А = (аij) на число k называется матрица С = (сij)
Тех же размеров, у которой сij = k?aijдля любых i,j.
C = k?A
Свойства умножения матрицы на число:
1)
2)
3)
4) для любых А,В одинаковых размеров, любых α, β R
Произведением матрицы А = (аik) размеров mn на матрицу В = (bkj) размеров np называется матрица С = (сij) размеров mp, у которой
cij = ai1b1j + ai2b2j + … + ainbnj.
C = AB
Свойства умножения матриц:
- AE = EA = A
- A0 = 0A = 0
- (AB)D = A(BD)
- (A + B)D = AD + BD
- D(A + B) = DA + DB (при условии, что все указанные операции имеют смысл).
Для квадратных матриц АВ≠ВА
3.Закрепление нового материала.
Пример 1: Найти сумму матриц: А = и В =.
Решение: С = А + В С =
Чтобы вычесть из матрицы А матрицу В, надо к матрице А прибавить матрицу, противоположную матрице В.
А – В = А + (-В)
Пример 2: Найти разность матриц А – В: А = и В =.
Решение: С = А – В -В = С =
Пример 3: Дана матрица А =. Найти матрицу С = 2А.
Решение: С = 2А =
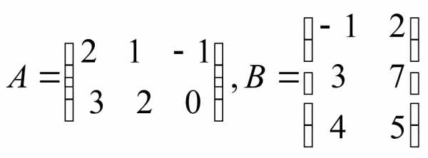
Пример 4: Даны матрицы: А = и В =.
Найти произведение матриц А и В.
Решение: С = АВ С = С =
4.Итог занятия. Рефлексия.
5.Домашнее задание. Учить определения, составить опорную схему конспекта. Выполнить упражнения:
1.Найти, если.
2.Даны матрицы.
3.Найти: а) б)
4.Найти матрицу, если
а)
б)
Просмотр содержимого документа
«Разработка урока “Матрицы и определители” »
Раздел 1. Линейная алгебра
Тема 1.1. Матрицы и определители
Урок№1.
Тема: Понятие матрицы. Виды матриц. Выполнение операций над матрицами.
Цель: приобретение базовых знаний в области фундаментального раздела математики – линейной алгебры.Изучить понятие матрицы, её видов, операции над матрицами.
Задачи:
• развитие творческого профессионального мышления;
• познавательная мотивация;
• овладение языком науки, навыки оперирования понятиями;
• овладение умениями и навыками постановки и решения задач;
• углубление теоретической и практической подготовки;
• развитие инициативы и самостоятельности студентов.
Вид занятия:Лекция систематического изложения курса.
Ход занятия.
1.Формулирование темы занятия, пояснение связи темы с другими темами учебной дисциплины;
2.Проверка готовности учащихся к занятию;
3.Проведение непосредственно занятия согласно тематике и в соответствии с рабочей программой дисциплины:
› Изучить теоретический материал по теме «Матрицы. Выполнение операций над матрицами».
› Рассмотреть примеры решения типовых заданий.
› Ответить на контрольные вопросы.
Организационный момент.
Создание проблемной ситуации при постановке темы, цели и задач лекции.
В школьном курсе алгебры 7 – 9 классов рассматриваются различные способы решения систем линейных уравнений: метод подстановки, метод сложения, метод двойного сложения, графический метод, метод сравнения. Возникает вопрос, а существуют ли какие-либо другие способы решения данных систем. Действительно, кроме методов, изучаемых в школе, существуют и другие, доступные для учащихся старших классов методы решения систем линейных уравнений: метод Крамера, метод Гаусса, матричный метод. Эти методы способствуют развитию внимания, памяти. При применении этих методов встречаются новые понятия: «матрица», «определитель», «минор», «дополнение». Возникает необходимость уметь вычислять определители, миноры, дополнения.
При решении систем линейных уравнений методом Гаусса также нужно уметь выполнять преобразования над строками матриц.
Что же такое матрица, какие действия с ними можно выполнять?
2.Изучение нового материала.
Определение: Матрицей размеров mxn называется система mn чисел (элементов матрицы), расположенных в прямоугольной таблице из m строк и n столбцов. Если m=n, матрицу называют квадратной матрицей порядка n.
Обозначения:
или 
Или кратко: А=(аij)mn или А=[aij]. Две матрицы А и В одинаковых размеров равны А=В, если аij=bijдля любых i, j.
Матрицы бывают: 0 =
– нулевая матрица,
А =
– матрица противоположная матрице А,
– матрица – строка,
– матрица – столбец,
– верхняя треугольная матрица,
-нижняя треугольная матрица,
– диагональная матрица,
Е =
– единичная матрица.
Если все аij действительные, то матрица А называется действительной, если хотя бы одно из чисел аijкомплексное, то матрица называется комплексной.
ДЕЙСТВИЯ НАД МАТРИЦАМИ
1. Суммой матриц А = (аij) и В = (bij) одинаковых размеров называется матрица С = (сij) тех размеров, у которой сij = аij + bij, для любых i, j.
C = A + B
Свойства сложения матриц:
A+B = B + A
(A +B) +C = A + (B + C)
A + 0 = A
A + (-A) = 0, для любых А, В, С одинаковых размеров.
Транспонирование матриц.
А =
Ат = 
Ат – транспонированная матрица.
Свойства транспонирования:
1) 3)
2) 4)
Произведением матрицы А = (аij) на число k называется матрица С = (сij)
Тех же размеров, у которой сij = k·aijдля любых i,j.
C = k·A
Свойства умножения матрицы на число:
1)
2)
3)
4) для любых А,В одинаковых размеров, любых α, β
R
Произведением матрицы А = (аik) размеров mn на матрицу В = (bkj) размеров np называется матрица С = (сij) размеров mp, у которой
cij = ai1b1j + ai2b2j + … + ainbnj.
C = AB
Свойства умножения матриц:
AE = EA = A
A0 = 0A = 0
(AB)D = A(BD)
(A + B)D = AD + BD
D(A + B) = DA + DB (при условии, что все указанные операции имеют смысл).
Для квадратных матриц АВ≠ВА
3.Закрепление нового материала.
Пример 1: Найти сумму матриц: А =
и В =
.
Решение: С = А + В С = 
Чтобы вычесть из матрицы А матрицу В, надо к матрице А прибавить матрицу, противоположную матрице В.
А – В = А + (-В)
Пример 2: Найти разность матриц А – В: А =
и В =
.
Решение: С = А – В -В =
С = 
Пример 3: Дана матрица А =
. Найти матрицу С = 2А.
Решение: С = 2А = 
Пример 4: Даны матрицы: А =
и В =
.
Найти произведение матриц А и В.
Решение: С = АВ С =
С = 
4.Итог занятия. Рефлексия.
5.Домашнее задание. Учить определения, составить опорную схему конспекта. Выполнить упражнения:
1.Найти
, если
.
2.Даны матрицы .
3.Найти: а) б)
4.Найти матрицу
, если
а) 
б)
Составить самостоятельно пример на тему «Матрицы»
Таблица результатов
Преподаватель определяет следующие критерии: 1. Правильность составления алгоритма действий при вычислении матриц 2. Составление примера и его правильное решение | Оценка | Критерии оценки | Количество учеников |
«1» | Алгоритм не составлен Пример составлен с допущением ошибок и не решен | 2 | |
«2» | Алгоритм составлен с допущением ошибок. Пример составлен и решен с допущением ошибок | 9 | |
«3» | Алгоритм составлен очень кратко без пояснений. При решении примера допущены ошибки | 2 | |
«4» | При составлении алгоритма допущена незначительная ошибка | 5 | |
«5» | Алгоритм составлен подробно, правильно. Пример составлен самостоятельно и решен правильно | 5 |
kopilkaurokov.ru
Вопросы | Тест | Практикум | Итог | |
|
|
|
| 2 балла | 3 балла | 4 баллов |
Даны 2 матрицы А и В. Найти С=А+В | Вычислить определитель матрицы А. | Вычислить А2. | Найти ранг матрицы В. |
doc4web.ru
Урок “Операции с матрицами” в 11 классе
МАТРИЧНАЯ АЛГЕБРА. ОПЕРАЦИИ С МАТРИЦАМИ
Джамписова М.Ш.
Учитель математики «Специализированного экономического лицея»
Город Актау Мангистауской области
Дидактические основы урока:
Данный урок – один из уроков, входящих в данную программу.
Программа прикладного курса в экономическом лицее предназначена для 10-11 классов с углубленным изучением математики, содержит 68 часов и рассчитана на уже полученные знания математики по всем темам школьного курса. Данная программа существует с 2005 года и показала свою результативность. Она является прикладным курсом (2 ч в неделю) к основным часам (4 часа алгебры +3 часа геометрии).
Задачи: углубление и расширение знаний учащихся по высшей математике, раскрытие политехнического и прикладного значения общих методов математики, подготовка необходимого аппарата для изучения математики, физики на первом курсе технического высшего учебного заведения.
Программа прикладного курса опубликована в республиканском методическом журнале «Физика и математика» в 2005 году, несколько раз утверждалась методистами облИПК. Проведены открытые уроки на областном семинаре учителей математики, интерактивные уроки. Распространен опыт учителей в областных и городских щколах. Отправлены статьи для публикации в республиканский методический журнал в этом году.
Данная разработка урока предназначена для учителей математики, которым интересна программа прикладного курса и тема урока.
Цель урока: формирование понятия «матрица», практических умений и навыков.
Теоретическая часть урока: Анимацией называется искусственное представление движения в кино, на телевидении или в компьютерной графике путем отображения последовательности рисунков или кадров с частотой, при которой обеспечивается целостное зрительное восприятие образов.
Принятое в мире профессиональное определение “анимация” (в переводе с латинского “анима” – душа, “анимация” – оживление, одушевление) как нельзя более точно отражает все современные технические и художественные возможности анимационного кино, ведь мастера анимации не просто оживляют своих героев, а вкладывают в их создание частичку своей души.
Что такое компьютерная анимация?
Это “оживление” изображений на экране дисплея, синтез динамических изображений на компьютере.
Большой вклад в создание анимационных роликов внесла математика, а точнее матричная алгебра.
Ведь чтобы создать движущийся объект на экране, нужны программы, в основе которых лежат матрицы. Объект имеет координаты в пространстве. Задавая матрицы трансформации: поворота, смещения, увеличения и т.д., мы можем заставить объект двигаться, вращаться, поворачиваться.
Начнем знакомство с матрицы.
Матрица- это прямоугольная таблица чисел , содержащая mстрок одинаковой длины ( или n столбцов одинаковой длины).
Например, матрицу А называют матрицей размера 3х3 или матрицей третьего порядка.
-единичные матрицы. На главной диагонали расположена цифра 1
Матрица, все элементы которой равны нулю, называется нулевой. В матричном исчислении эти матрицы играют роль чисел 1 и 0 в арифметике.
Практическая часть урока:
Операция сложения матриц вводится только для матриц одинаковых размеров.Например:
+ =
Умножение матрицы на число: например 2х =
Операция умножения двух матриц вводится только для случая, когда число столбцов первой матрицы равно числу строк второй матрицы.
Например, умножение двух матриц:
№1.
№2.
№3. х =
Найти значение матричного многочлена f(A):
№4.f(x)=, еслиА=
f(A)=-2+5A+9E=-2
№5.f(x)=, еслиА=
f(A)=3
№6. f(x)=, если А=
f(A)=
+
№7. f(x)=,еслиА=ответ:
№8. f(x)=, еслиА= ответ:
№9. f(x)=, еслиА= ответ:
№10. х =
№11.х =
Выводы: Обращение к ученикам: «На уроке вы усвоили понятие «Матрица», научились складывать и умножать матрицы. На следующих уроках прикладного курса математики вы научитесь вычислять ранг матрицы, определитель матрицы, научитесь решать системы уравнений методом Гаусса и с помощью формул Крамера (то есть с помощью определителей матрицы находить решение системы уравнений)»
Джамписова Маншук Шарафеденовна 8(701)3529617 jm2013@bk.ru
130000 Мангистауская область город Актау 15 микрорайон 31 здание «Специализированный экономический лицей»
infourok.ru
Линейная алгебра – Математика – Смотреть онлайн видео уроки для начинающих бесплатно!
В категории Линейная алгебра собраны бесплатные онлайн видео уроки по этой теме. Линейная алгебра – это наиболее важный в приложениях подраздел алгебры, в котором изучаются векторы, векторные пространства, линейные отображения и системы линейных уравнений. К линейной алгебре также относят: теорию определителей, матриц, теорию форм (в частности квадратичных форм), частично относят теорию инвариантов и тензорное исчисление. Линейная алгебра широко применяется в общей алгебре, функциональном анализе, а также часто находит приложения в естественных науках. Изучение линейной алгебры по видео урокам будет полезно как для начинающих, так и для более опытных математиков. Видеоуроки из рубрики Линейная алгебра Вы можете смотреть бесплатно в любое удобное время. К некоторым видео урокам по линейной алгебре приложены дополнительные материалы, которые можно скачать. Приятного Вам обучения!
Всего материалов: 10
Показано материалов: 1-10
Страницы: 1
Метод Гаусса – решение систем линейных уравнений, пример
В этом видео уроке рассказывается о том, как использовать метод Гаусса при решении систем линейных уравнений, пример. Метод Гаусса является универсальным методом решения систем линейных уравнений. Он основан на последовательном исключении неизвестных. Здесь будет рассмотрен простейший случай, т.е. когда система имеет единственное решение. При решении, системе уравнений сопоставляется, так называемая, расширенная матрица, состоящая из коэффициентов при неизвестных и свободных членов. Суть Метода…
Обратная матрица – как найти, метод вычисления, решение примера
Это видео посвящено вопросу о том, что такое обратная матрица и как её вычислить. После изучения операции умножение матриц, естественным образом возникает вопрос о том, как найти неизвестный сомножитель по известному произведению. На числовых множествах это приводит к операции деления, которое можно записать в форме умножения на обратное число. Подобным образом дело обстоит и в случае с матрицами, а именно, роль обратного числа играет обратная матрица, которая позволяет решать матричные…
Минор и алгебраическое дополнение матрицы – как найти, решение примера
Здесь рассказывается о том, как найти минор и алгебраическое дополнение матрицы, решение примера. Тема данного урока относится к линейной алгебре и связана с изучением теории определителей. На этом занятии дается определение минора и то, как его найти. Из этого последует такое заключение, что минор любого элемента определителя – это определитель, порядок которого на единицу меньше, чем порядок исходного определителя. В качестве примера представлено задание, в котором требуется найти минор…
Действия над матрицами – линейные операции и умножение, решение примеров
В этом онлайн уроке рассказывается о том, как правильно выполнять арифметические действия над матрицами с примерами решений. Сначала будут рассмотрены линейные операции над матрицами, а затем – умножение двух матриц. К линейным операциям над матрицами относится такие действия как сложение двух матриц и умножение матрицы на число. При этом операция сложения доступна только над теми матрицами, которые имеют один и тот же размер, т.е. они должны иметь одинаковое количество строк и столбцов…
Неопределенные системы линейных уравнений – метод решения, пример
Видео «Неопределенные системы линейных уравнений – метод решения, пример» посвящено вопросу о том, как решать неопределенные системы. Если рассматривать систему, состоящую из n уравнений с n неизвестными, т.е. системы, матрица коэффициентов которых – квадрат, то необходимым условием её решения методом Крамера или матричным методом является неравенство нулю её определителя. Т.е. если определитель матрицы равен нулю, то решить такую систему указанными методами нельзя. Но это совсем не означает…
Матричный метод решения систем линейных уравнений, пример
Онлайн урок «Матричный метод решения систем линейных уравнений, пример» посвящен вопросу о том, как решать системы линейных уравнений матричным методом. Этот метод предполагает использование для нахождения решения обратной матрицы. Здесь будет рассмотрена система уравнений с тремя неизвестными. Решением системы является набор значений этих неизвестных, при которых все уравнения имеют верное равенство. На примере матричного метода с рассматриваемой системой будет связано три матрицы, это…
Вычисление определителя матрицы n-го порядка, решение примера
Видео урок «Вычисление определителя матрицы n-го порядка, решение примера» посвящен вопросу о том, как найти определитель любого порядка. Перед тем как приступить к просмотру этого занятия, рекомендуется изучить то, как вычисляется определитель второго и третьего порядка, а также методы раскрытия третьего порядка по строке или по столбцу. Простых методов для непосредственного вычисления определителей матриц порядка выше третьего не существует. Поэтому, процесс вычисления матрицы n-го порядка…
Метод Крамера – решение систем линейных уравнений, примеры
В этом видео рассказывается о методе Крамера – решение систем линейных уравнений, примеры. Это один из методов решения систем алгебраических уравнений, его еще называют методом определителей. Метод Крамера достаточно прост в использовании и позволяет быстро найти искомое решение, хотя и имеет ряд недостатков. Стоит отметить, что система уравнений называется линейной в том случае, если неизвестные между собой не перемножаются и не возводятся в степень. Именно для решения таких систем можно…
Вычисление определителя (детерминанта) матрицы 2 порядка, решение примера
Урок «Вычисление определителя (детерминанта) матрицы 2 порядка, решение примера» посвящен вопросу о том, как найти определитель второго порядка. Эта тема относится к линейной алгебре. Рассматриваемая здесь матрица будет состоять из двух строк и двух столбцов. Для нахождения определителя такой матрицы, сначала перемножают элементы на главной диагонали. Затем из полученного числа вычитают произведение элементов, расположенных на второй диагонали. Вот таким вот простым способом можно вычислить…
Вычисление определителя матрицы 3 порядка. Правило треугольника (Саррюса)
В этом видео рассказывается о том, как вычислить определитель 3 порядка по правилу треугольника. Способ, которым мы будем вычислять определитель матрицы третьего порядка, называется правило треугольника или правило Саррюса. Пусть задана квадратная матрица A, состоящая из трех строк и трех столбцов. Для вычисления определителя по правилу треугольника, мы будем формировать слагаемые, которые состоят из произведения трех элементов матрицы. Всего таких слагаемых будет шесть, причем у первых трех из…
1-10
Если у Вас есть качественные видео уроки, которых нет на нашем сайте, то Вы можете добавить их в нашу коллекцию. Для этого Вам необходимо загрузить их на видеохостинг (например, YouTube) и добавить код видео в форму добавления уроков. Возможность добавлять свои материалы доступна только для зарегистрированных пользователей.
videourokionline.ru
Урок математики “Операции с матрицами”
МАТРИЧНАЯ АЛГЕБРА. ОПЕРАЦИИ С МАТРИЦАМИ
Джамписова М.Ш.
Учитель математики «Специализированного экономического лицея»
Город Актау Мангистауской области
Дидактические основы урока:
Данный урок – один из уроков, входящих в данную программу.
Программа прикладного курса в экономическом лицее предназначена для 10-11 классов с углубленным изучением математики, содержит 68 часов и рассчитана на уже полученные знания математики по всем темам школьного курса. Данная программа существует с 2005 года и показала свою результативность. Она является прикладным курсом (2 ч в неделю) к основным часам (4 часа алгебры +3 часа геометрии).
Задачи: углубление и расширение знаний учащихся по высшей математике, раскрытие политехнического и прикладного значения общих методов математики, подготовка необходимого аппарата для изучения математики, физики на первом курсе технического высшего учебного заведения.
Программа прикладного курса опубликована в республиканском методическом журнале «Физика и математика» в 2005 году, несколько раз утверждалась методистами облИПК. Проведены открытые уроки на областном семинаре учителей математики, интерактивные уроки. Распространен опыт учителей в областных и городских щколах. Отправлены статьи для публикации в республиканский методический журнал в этом году.
Данная разработка урока предназначена для учителей математики, которым интересна программа прикладного курса и тема урока.
Цель урока: формирование понятия «матрица», практических умений и навыков.
Теоретическая часть урока: Анимацией называется искусственное представление движения в кино, на телевидении или в компьютерной графике путем отображения последовательности рисунков или кадров с частотой, при которой обеспечивается целостное зрительное восприятие образов.
Принятое в мире профессиональное определение “анимация” (в переводе с латинского “анима” – душа, “анимация” – оживление, одушевление) как нельзя более точно отражает все современные технические и художественные возможности анимационного кино, ведь мастера анимации не просто оживляют своих героев, а вкладывают в их создание частичку своей души.
Что такое компьютерная анимация?
Это “оживление” изображений на экране дисплея, синтез динамических изображений на компьютере.
Большой вклад в создание анимационных роликов внесла математика, а точнее матричная алгебра.
Ведь чтобы создать движущийся объект на экране, нужны программы, в основе которых лежат матрицы. Объект имеет координаты в пространстве. Задавая матрицы трансформации: поворота, смещения, увеличения и т.д., мы можем заставить объект двигаться, вращаться, поворачиваться.
Начнем знакомство с матрицы.
Матрица- это прямоугольная таблица чисел , содержащая mстрок одинаковой длины ( или n столбцов одинаковой длины).
Например, матрицу А называют матрицей размера 3х3 или матрицей третьего порядка.
-единичные матрицы. На главной диагонали расположена цифра 1
Матрица, все элементы которой равны нулю, называется нулевой. В матричном исчислении эти матрицы играют роль чисел 1 и 0 в арифметике.
Практическая часть урока:
Операция сложения матриц вводится только для матриц одинаковых размеров.Например:
+ =
Умножение матрицы на число: например 2х =
Операция умножения двух матриц вводится только для случая, когда число столбцов первой матрицы равно числу строк второй матрицы.
Например, умножение двух матриц:
№1.
№2.
№3. х =
Найти значение матричного многочлена f(A):
№4.f(x)=, еслиА=
f(A)=-2+5A+9E=-2
№5.f(x)=, еслиА=
f(A)=3
№6. f(x)=, если А=
f(A)=
+
№7. f(x)=,еслиА=ответ:
№8. f(x)=, еслиА= ответ:
№9. f(x)=, еслиА= ответ:
№10. х =
№11.х =
Выводы: Обращение к ученикам: «На уроке вы усвоили понятие «Матрица», научились складывать и умножать матрицы. На следующих уроках прикладного курса математики вы научитесь вычислять ранг матрицы, определитель матрицы, научитесь решать системы уравнений методом Гаусса и с помощью формул Крамера (то есть с помощью определителей матрицы находить решение системы уравнений)»
Джамписова Маншук Шарафеденовна 8(701)3529617 jm2013@bk.ru
130000 Мангистауская область город Актау 15 микрорайон 31 здание «Специализированный экономический лицей»
videouroki.net
