Логический вентиль — Википедия
Материал из Википедии — свободной энциклопедии
Текущая версия страницы пока не проверялась опытными участниками и может значительно отличаться от версии, проверенной 19 июля 2016; проверки требуют 5 правок. Текущая версия страницы пока не проверялась опытными участниками и может значительно отличаться от версии, проверенной 19 июля 2016; проверки требуют 5 правок. Пример работы схемы двухступенчатого T-триггера с парафазным входом на двух парафазных D-триггерах на восьми логических вентилях 2И-НЕ. Слева — входы, справа — выходы. Синий цвет соответствует 0, красный — 1Логи́ческий ве́нтиль — базовый элемент цифровой схемы, выполняющий элементарную логическую операцию[1], преобразуя таким образом множество входных логических сигналов в выходной логический сигнал. Логика работы вентиля основана на битовых операциях[2] с входными цифровыми сигналами в качестве операндов. При создании цифровой схемы вентили соединяют между собой, при этом выход используемого вентиля должен быть подключён к одному или к нескольким входам других вентилей. В настоящее время в созданных человеком цифровых устройствах доминируют электронные логические вентили на базе полевых транзисторов, однако в прошлом для создания вентилей использовались и другие устройства, например, электромагнитные реле, гидравлические устройства, а также механические устройства. В поисках более совершенных логических вентилей исследуются квантовые устройства
В цифровой электронике логический уровень сигнала представлен в виде уровня
Логические элементы. Вентили
В основе построения компьютеров, а точнее аппаратного обеспечения, лежат так называемые вентили. Они представляют собой достаточно простые элементы, которые можно комбинировать между собой, создавая тем самым различные схемы. Одни схемы подходят для осуществления арифметических операций, а на основе других строят различную память ЭВМ.
Вентель – это устройство, которое выдает результат булевой операции от введенных в него данных (сигналов).
Простейший вентиль представляет собой транзисторный инвертор, который преобразует низкое напряжение в высокое или наоборот (высокое в низкое). Это можно представить как преобразование логического нуля в логическую единицу или наоборот. Т.е. получаем вентиль
Соединив пару транзисторов различным способом, получают вентили ИЛИ-НЕ и И-НЕ. Эти вентили принимают уже не один, а два и более входных сигнала. Выходной сигнал всегда один и зависит (выдает высокое или низкое напряжение) от входных сигналов. В случае вентиля ИЛИ-НЕ получить высокое напряжение (логическую единицу) можно только при условии низкого напряжении на всех входах. В случае вентиля И-НЕ все наоборот: логический нуль получается, если все входные сигналы будут единицами. Как видно, это обратно таким привычным логическим операциям как И и ИЛИ. Однако обычно используются вентили И-НЕ и ИЛИ-НЕ, т.к. их реализация проще: И-НЕ и ИЛИ-НЕ реализуются двумя транзисторами, тогда как логические И и ИЛИ тремя.
Выходной сигнал вентиля можно выражать как функцию от входных.
Транзистору требуется очень мало времени для переключения из одного состояния в другое (время переключения оценивается в наносекундах). И в этом одно из существенных преимуществ схем, построенных на их основе.

Логический вентиль — WiKi
Пример работы схемы двухступенчатого T-триггера с парафазным входом на двух парафазных D-триггерах на восьми логических вентилях 2И-НЕ. Слева — входы, справа — выходы. Синий цвет соответствует 0, красный — 1Логи́ческий ве́нтиль — базовый элемент цифровой схемы, выполняющий элементарную логическую операцию[1], преобразуя таким образом множество входных логических сигналов в выходной логический сигнал. Логика работы вентиля основана на битовых операциях[2] с входными цифровыми сигналами в качестве операндов. При создании цифровой схемы вентили соединяют между собой, при этом выход используемого вентиля должен быть подключён к одному или к нескольким входам других вентилей. В настоящее время в созданных человеком цифровых устройствах доминируют электронные логические вентили на базе полевых транзисторов, однако в прошлом для создания вентилей использовались и другие устройства, например, электромагнитные реле, гидравлические устройства, а также механические устройства. В поисках более совершенных логических вентилей исследуются квантовые устройства
В цифровой электронике логический уровень сигнала представлен в виде уровня напряжения (попадающего в один из двух диапазонов) или в виде значения тока. Это зависит от типа используемой технологии построения электронной логики
Впервые математически точно двоичная система счисления была подробно описана немецким математиком Готфридом Вильгельмом Лейбницем (публикация от 1705 года). Он также разъяснил, как с помощью этой системы можно объединить принципы арифметики и логики.
Первые логические вентили были реализованы механически. В 1837 году английский изобретатель Чарльз Бэббидж разработал вычислительную машину, названную им аналитической (англ. Analytical Engine), которая считается прообразом современного компьютера.
В 1847 году английский математик и логик Джордж Буль в своём трактате «Математический анализ логики» (англ. The Mathematical Analysis of Logic) заложил основы современной алгебры логики, связав её с логикой высказываний. При этом он ввёл свою алгебраическую систему, которая содержала следующие функции:
В том же 1847 году шотландский математик и логик Огастес де Морган опубликовал правила, связывающие пары логических операций при помощи логического отрицания (Законы де Моргана).
В 1881 г. американский математик и логик Чарльз Сандерс Пирс теоретически доказал, что функция «инверсия дизъюнкции» является универсальной и позволяет заменить все другие логические функции. Данная функция получила имя «функция Пирса», знак операции — стрелка Пирса ↓. Позже, элемент, реализующий данную функцию, стали называть
В 1913 г. американский математик и логик Генри Морис Шеффер теоретически доказал, что функция «инверсия конъюнкции» является универсальной и позволяет заменить все другие логические функции. Данная функция получила имя «функция Шеффера», знак операции — штрих Шеффера |. Позже элемент, реализующий данную функцию, стали называть элементом Шеффера или «И-НЕ» (англ. NAND gate, см. таблицу).
В 1927 г. российский советский математик и логик Иван Иванович Жегалкин представил алгебру логики как арифметику вычетов по модулю 2. Данная универсальная функция получила позднее название «полином Жегалкина», а знак операции — ⊕{\displaystyle \oplus } . Позже элемент, реализующий данную функцию, стали называть «исключающее ИЛИ» (англ. XOR gate).
В 1935 г. немецкий инженер Конрад Цузе разрабатывает для своей вычислительной машины Z1 первые действующие электромеханические вентили.
В 1906 г. американский изобретатель Ли де Форест вводит в вакуумную лампу Джона Флеминга третий электрод — управляющую сетку и получает триод, который может работать не только в качестве усилителя электрических сигналов, но и в качестве простейшего переключателя (вентиля).
В 1947 г. Уильям Шокли, Джон Бардин и Уолтер Браттейн в лабораториях Bell Labs впервые создают действующий биполярный транзистор. Позднее транзисторы заменили вакуумные лампы в большинстве электронных устройств, совершив революцию в создании интегральных схем.
ru-wiki.org
Логический вентиль — Википедия (с комментариями)
Материал из Википедии — свободной энциклопедии
Файл:T flip-flop.gifПример работы схемы двухступенчатого T-триггера с парафазным входом на двух парафазных D-триггерах на восьми логических вентилях
Логи́ческий ве́нтиль — базовый элемент цифровой схемы, выполняющий элементарную логическую операцию[1], преобразуя таким образом множество входных логических сигналов в выходной логический сигнал. Логика работы вентиля основана на битовых операциях[2] с входными цифровыми сигналами в качестве операндов. При создании цифровой схемы вентили соединяют между собой, при этом выход используемого вентиля должен быть подключён к одному или к нескольким входам других вентилей. В настоящее время в созданных человеком цифровых устройствах доминируют электронные логические вентили на базе полевых транзисторов, однако в прошлом для создания вентилей использовались и другие устройства, например, электромагнитные реле, гидравлические устройства, а также механические устройства. В поисках более совершенных логических вентилей исследуются квантовые устройства
В цифровой электронике логический уровень сигнала представлен в виде уровня напряжения (попадающего в один из двух диапазонов) или в виде значения тока. Это зависит от типа используемой технологии построения электронной логики[7]. Поэтому любой тип электронного вентиля требует наличия питания для приведения выходного сигнала к необходимым уровням сигнала.
История
<imagemap>: неверное или отсутствующее изображение | В этом разделе не хватает ссылок на источники информации.Информация должна быть проверяема, иначе она может быть поставлена под сомнение и удалена. Вы можете [http://o-ili-v.ru/wiki/index.php?title=%D0%9B%D0%BE%D0%B3%D0%B8%D1%87%D0%B5%D1%81%D0%BA%D0%B8%D0%B9_%D0%B2%D0%B5%D0%BD%D1%82%D0%B8%D0%BB%D1%8C&action=edit отредактировать] эту статью, добавив ссылки на авторитетные источники. Эта отметка установлена 26 апреля 2015 года. |
Впервые математически точно двоичная система счисления была подробно описана немецким математиком Готфридом Вильгельмом Лейбницем (публикация от 1705 года). Он также разъяснил, как с помощью этой системы можно объединить принципы арифметики и логики.
Первые логические вентили были реализованы механически. В 1837 году английский изобретатель Чарльз Бэббидж разработал вычислительную машину, названную им аналитической (англ. Analytical Engine), которая считается прообразом современного компьютера.
В 1847 году английский математик и логик Джордж Буль в своём трактате «Математический анализ логики» (англ. The Mathematical Analysis of Logic) заложил основы современной алгебры логики, связав её с логикой высказываний. При этом он ввёл свою алгебраическую систему которая содержала следующие функции: конъюнкция (логическое умножение, оператор «AND»), дизъюнкция (логическое сложение, оператор «OR») и отрицание (оператор «NOT»). Впоследствии данная алгебра была названа Булевой.
В этом же 1847 году шотландский математик и логик Огастес де Морган опубликовал правила, связывающие пары логических операций при помощи логического отрицания (Законы де Моргана).
В 1881 году американский математик и логик Чарльз Сандерс Пирс теоретически доказал, что функция «инверсия дизъюнкции» является универсальной и позволяет заменить все другие логические функции. Данная функция получила имя «функция Пирса», знак операции — стрелка Пирса ↓. Позже, элемент, реализующий данную функцию стали называть элементом Пирса или «ИЛИ-НЕ» (англ. NOR gate). См. таблицу. Данная работа была опубликована только в 1933 году.
В 1913 году американский математик и логик Генри Морис Шеффер теоретически доказал, что функция «инверсия конъюнкции» является универсальной и позволяет заменить все другие логические функции. Данная функция получила имя «функция Шеффера», знак операции — штрих Шеффера |. Позже, элемент, реализующий данную функцию стали называть элементом Шеффера или «И-НЕ» (англ. NAND gate). См. таблицу.
В 1927 году российский советский математик и логик Иван Иванович Жегалкин представил алгебру логики как арифметику вычетов по модулю 2. Данная универсальная функция получила позднее название «полином Жегалкина», а знак операции — Невозможно разобрать выражение (Выполняемый файл <code>texvc</code> не найден; См. math/README — справку по настройке.): \oplus . Позже, элемент, реализующий данную функцию стали называть «Исключающее ИЛИ» (англ. XOR gate).
В 1935 году немецкий инженер Конрад Цузе разрабатывает для своей вычислительной машины Z1 первые действующие электромеханические вентили.
В 1906 году американский изобретатель Ли де Форест вводит в вакуумную лампу Джона Флеминга третий электрод — управляющую сетку и получает триод, который может работать не только в качестве усилителя электрических сигналов, но и в качестве простейшего переключателя (вентиля).
В 1947 году Уильям Шокли, Джон Бардин и Уолтер Браттейн в лабораториях Bell Labs впервые создают действующий биполярный транзистор. Позднее транзисторы заменили вакуумные лампы в большинстве электронных устройств, совершив революцию в создании интегральных схем.
Логические вентили
| Логический вентиль | Условные графические обозначения | Функция | Таблица 0 истинности 0 | |||||||||||||||||
|---|---|---|---|---|---|---|---|---|---|---|---|---|---|---|---|---|---|---|---|---|
| ГОСТ 2.743-91 | IEC 60617-12 : 1997 | US ANSI 91-1984 | ||||||||||||||||||
| 0НЕ (англ. NOT gate) | 00 99px 00 | 130px | 150px | Отрицание Невозможно разобрать выражение (Выполняемый файл <code>texvc</code> не найден; См. math/README — справку по настройке.): Y = \overline{A} Невозможно разобрать выражение (Выполняемый файл <code>texvc</code> не найден; См. math/README — справку по настройке.): Y = \neg A Невозможно разобрать выражение (Выполняемый файл <code>texvc</code> не найден; См. math/README — справку по настройке.): Y = \tilde A | ||||||||||||||||
| 0И (англ. AND gate) | 00 99px | 130px | 150px | Конъюнкция Невозможно разобрать выражение (Выполняемый файл <code>texvc</code> не найден; См. math/README — справку по настройке.): Y = A \wedge B Невозможно разобрать выражение (Выполняемый файл <code>texvc</code> не найден; См. math/README — справку по настройке.): Y = A\cdot B Невозможно разобрать выражение (Выполняемый файл <code>texvc</code> не найден; См. math/README — справку по настройке.): Y = A\,\&\,B Невозможно разобрать выражение (Выполняемый файл <code>texvc</code> не найден; См. math/README — справку по настройке.): Y = AB |
| |||||||||||||||
| 0ИЛИ (англ. OR gate) | 00 99px | 130px | 150px | Дизъюнкция Невозможно разобрать выражение (Выполняемый файл <code>texvc</code> не найден; См. math/README — справку по настройке.): Y = A \vee B Невозможно разобрать выражение (Выполняемый файл <code>texvc</code> не найден; См. math/README — справку по настройке.): Y = A + B |
| |||||||||||||||
| 0НЕ И (И-НЕ) (англ. NAND gate) Элемент Шеффера | 00 99px 00 | 130px | 150px | Невозможно разобрать выражение (Выполняемый файл <code>texvc</code> не найден; См. math/README — справку по настройке.): Y = \overline{A \wedge B} Невозможно разобрать выражение (Выполняемый файл <code>texvc</code> не найден; См. math/README — справку по настройке.): Y = A \overline{\wedge} B Невозможно разобрать выражение (Выполняемый файл <code>texvc</code> не найден; См. math/README — справку по настройке.): Y = \overline{A\cdot B} Невозможно разобрать выражение (Выполняемый файл <code>texvc</code> не найден; См. math/README — справку по настройке.): Y = \overline{AB} Невозможно разобрать выражение (Выполняемый файл <code>texvc</code> не найден; См. math/README — справку по настройке.): Y = A|B |
| |||||||||||||||
| 0НЕ ИЛИ (ИЛИ-НЕ) (англ. NOR gate) Элемент Пирса | 00 99px | 130px | 150px | Невозможно разобрать выражение (Выполняемый файл <code>texvc</code> не найден; См. math/README — справку по настройке.): Y = \overline{A \vee B} Невозможно разобрать выражение (Выполняемый файл <code>texvc</code> не найден; См. math/README — справку по настройке.): Y = A \overline{\vee} B Невозможно разобрать выражение (Выполняемый файл <code>texvc</code> не найден; См. math/README — справку по настройке.): Y = \overline{A + B} Невозможно разобрать выражение (Выполняемый файл <code>texvc</code> не найден; См. math/README — справку по настройке.): Y = A – B |
| |||||||||||||||
| Исключающее ИЛИ (англ. XOR gate) сложение по модулю 2 | 00 99px | 130px | 150px | Строгая дизъюнкция Невозможно разобрать выражение (Выполняемый файл <code>texvc</code> не найден; См. math/README — справку по настройке.): Y = A \,\underline{\lor}\, B Невозможно разобрать выражение (Выполняемый файл <code>texvc</code> не найден; См. math/README — справку по настройке.): Y = A \oplus B |
| |||||||||||||||
| Исключающее ИЛИ с инверсией (англ. XNOR gate) равнозначность | 00 99px | 130px | 150px | Эквиваленция Невозможно разобрать выражение (Выполняемый файл <code>texvc</code> не найден; См. math/README — справку по настройке.): Y = \overline{A \,\underline{\lor}\, B} Невозможно разобрать выражение (Выполняемый файл <code>texvc</code> не найден; См. math/README — справку по настройке.): Y = A \,\overline{\underline{\lor}}\, B Невозможно разобрать выражение (Выполняемый файл <code>texvc</code> не найден; См. math/README — справку по настройке.): Y = \overline{A \oplus B} Невозможно разобрать выражение (Выполняемый файл <code>texvc</code> не найден; См. math/README — справку по настройке.): Y = A \odot B |
| |||||||||||||||
Реализация
Напишите отзыв о статье “Логический вентиль”
Примечания
- ↑ [http://www.gpntb.ru/win/book/3/Doc25.HTML gpntb.ru — Термины микроэлекроники]
- ↑ Например: 2И-НЕ (NAND), XOR (исключающее ИЛИ) и другие.
- ↑ [http://www.scientific.ru/journal/news/0305/n020305.html scientific.ru] — Квантовый логический вентиль на сверхпроводниках
- ↑ [http://www.pereplet.ru/obrazovanie/stsoros/964.html pereplet.ru] — Спиновые логические вентили на основе квантовых точек
- ↑ [http://web.archive.org/web/20120205171904/http://skms.impb.psn.ru/articles/art06_06.pdf skms.impb.psn.ru] — Электронный логический вентиль XOR на основе ДНК.
- ↑ Wang, Lei and Li, Baowen [http://dx.doi.org/10.1103/physrevlett.99.177208 Thermal Logic Gates: Computation with Phonons] (англ.) // Physical Review Letters. — APS, 2007. — Vol. 99, no. 17.
- ↑ Наиболее известные это КМОП, ТТЛ, N-МОП, ЭСЛ, ДТЛ, РТЛ.
См. также
Отрывок, характеризующий Логический вентиль
Все окружающие довольно улыбались, а мне вся эта сценка вдруг напомнила где-то уже виданный похожий эпизод, только там человеку вручали медаль… Я весело рассмеялась и, крепко обняв свой удивительный «подарок », поклялась в своей душе не расставаться с ним никогда.Вдруг меня осенило:
– Ой, постойте, а где же она будет жить?!.. У нас ведь нет такого чудесного места, как имеете вы? – расстроившись, спросила соседку я.
– Не волнуйся, милая, она может жить у меня, а ты будешь приходить, чтобы её чистить, кормить, за ней смотреть и на ней кататься – она твоя. Представь себе, что вы «снимаете» у меня для неё дом. Мне он больше не будет нужен, я ведь не буду заводить больше лошадей. Вот и пользуйтесь на здоровье. А мне приятно будет, что Пурга будет и дальше у меня жить.
Я благодарно обняла мою добрую соседку и взявшись за цветной шнурок, повела (теперь уже мою!!!) Пургу домой. Моё детское сердце ликовало – это был самый прекрасный подарок на свете! И его правда стоило подождать…
Уже где-то с полудня, чуточку очухавшись после такого ошеломляющего подарка, я начала свои «шпионские» вылазки на кухню и в столовую. Вернее – я пыталась… Но даже при самых настойчивых попытках, проникнуть туда мне, к сожалению, никак не удавалось. В этом году бабушка, видимо, железно решила ни за что не показывать мне своих «произведений» пока не придёт время настоящего «празднования»… А мне очень хотелось хотя бы краешком глаза посмотреть, что же она так усердно два дня там колдует, не принимая ничью помощь и не пуская никого даже за порог.
Но вот, наконец-то, наступил долгожданный час – около пяти вечера начали появляться мои первые гости… И я, в конце концов, получила право полюбоваться своим праздничным столом… Когда в гостиную открыли дверь, я подумала, что попала в какой-то сказочный, райский сад!.. Бабушка весело улыбалась, а я бросилась ей на шею, чуть ли не рыдая от переполнявших меня чувств благодарности и восторга…
Вся комната была украшена зимними цветами… Огромные чашечки ярко жёлтых хризантем создавали впечатление множества солнышек, от которых в комнате было светло и радостно. А уж праздничный стол являл собою настоящее произведение бабушкиного искусства!.. Он благоухал совершенно сногсшибательными запахами и потрясал многообразием блюд… Здесь была и покрытая золотистой корочкой утка, с моей любимой грушёвой подливкой, в которой «тонули» целые половинки томлёных в сливках, пахнущих корицей груш… И дразнившая нежнейшим запахом грибного соуса, истекающая соком курочка, пышущая начинкой из белых грибов с орехами, и буквально тающая во рту… По середине стола «впечатляла» своим размером страшенная щука, запечённая целиком с сочными кусочками сладкого красного перца в лимонно-брусничном соусе… А от запаха толстеньких, лопающихся от пышущего жара, сочных индюших ножек под корочкой клюквенного муса, мой бедный желудок подпрыгнул аж до самого потолка!.. Гирлянды нарезанных тоненькими кусочками всевозможных копчёных колбасок, нанизанных на тончайшие прутики наподобие шашлыка, и скрашенных маринованными помидорами и солёными домашними огурчиками, «убивали» запахами знаменитых литовских «копчёностей», нисколько не уступая одуряюще пахнувшей копчёной сёмге, вокруг которой весёлыми кучками высились, политые сметаной, сочные солёные грузди… Золотисто поджаренные кругленькие пирожки попыхивали горячим паром, а вокруг них в воздухе витал совершенно неповторимый «капустный» аромат… Всё это изобилие искуснейших бабушкиных «произведений» полностью потрясло моё «голодное» воображение, не говоря уже о сладостях, вершиной которых был мой любимый, взбитый с вишнями, тающий во рту творожный пирог!.. Я восхищённо смотрела на бабушку, от всей души благодаря её за этот сказочный, по-настоящему королевский стол!.. А она в ответ только улыбнулась, довольная произведённым эффектом, и тут же начала с величайшим усердием угощать моих, ошалевших от такого изобилия, гостей.
После в моей жизни было множество «больших» юбилейных дней рождения, но ни один из них, даже праздновавшихся в самых изысканных заграничных ресторанах, никогда даже близко не сумел превзойти мой потрясающий десятый день рождения, который смастерила тогда для меня моя необыкновенная бабушка…
Но «сюрпризам» в этот вечер, видимо, не суждено было кончаться… Через какие-то полчаса, когда «пир» уже был в самом разгаре, воздух в комнате вдруг по привычному (для меня) заколебался и… во всей своей красе появилась Стелла! Я от неожиданности подпрыгнула, чуть не опрокинув свою тарелку, и быстренько начала оглядываться по сторонам – не видит ли её кто-то ещё. Но гости со здоровым аппетитом, увлечённо поглощали «плоды» бабушкиного кулинарного искусства, не обращая никакого внимания на вдруг рядом с ними появившегося чудо-человечка…
– Сюрприз!!! – весело хлопнула в ладошки малышка. – С твоим большим день рождением тебя!.. – и в комнате прямо с потолка посыпались тысячи самых причудливых цветов и бабочек, превращая её в сказочную «пещеру Алладина»…
– Как ты сюда попала?!!!.. Ты же говорила – тебе нельзя сюда приходить?!.. – забыв даже поблагодарить малышку за устроенную ею красоту, ошалело спросила я.
– Так я ведь и не знала!.. – воскликнула Стелла. – Просто думала вчера о тех умерших, которым ты помогала, и спросила бабушку, как же они смогли придти обратно. Оказалось – можно, только надо знать, как это делать! Вот я и пришла. Разве ты не рада?..
– Ой, ну, конечно же, рада! – тут же заверила я, а сама панически пыталась что-то придумать, чтобы возможно было одновременно общаться и с ней, и со всеми остальными моими гостями, ничем не выдавая ни её, ни себя. Но тут неожиданно произошёл ещё больший сюрприз, который полностью вышиб меня из и так уже достаточно усложнившейся колеи….
– Ой, сколько свето-о-ськов!… А класи-и-во как, ба-а-тюски!!!… – в полном восторге, шепелявя пропищал, крутившийся «волчком» на маминых коленях, трёхлетний малыш. – И ба-а-боськи!… А бабоськи какие больсы-ы-е!
Я остолбенело на него уставилась, и какое-то время так и сидела, не в состоянии произнести ни слова. А малыш, как ни в чём не бывало, счастливо продолжал лопотать и вырываться из крепко его державших маминых рук, чтобы «пощупать» все эти вдруг откуда-то неожиданно свалившиеся, да ещё такие яркие и такие разноцветные, «красивости»…. Стелла, поняв, что кто-то ещё её увидел, от радости начала показывать ему разные смешные сказочные картинки, чем малыша окончательно очаровала, и тот, со счастливым визгом, прыгал на маминых коленях от лившегося «через край» дикого восторга…
– Девоська, девоська, а кто ты девоська?!. Ой, ба-а-тюски, какой больсой ми-и-ска!!! И совсем лозавенкий! Мама, мама, а мозно я возьму его домой?.. Ой, а пти-и-ськи какие блестя-я-сие!… И клылыски золотые!..
Его широко распахнутые голубые глазёнки с восторгом ловили каждое новое появление «яркого и необычного», а счастливая мордашка радостно сияла – малыш принимал всё происходящее по-детски естественно, как будто именно так оно и должно было быть…
Ситуация полностью уходила из под контроля, но я ничего не замечала вокруг, думая в тот момент только об одном – мальчик видел!!! Видел так же, как видела я!.. Значит, всё-таки это было правдой, что существуют где-то ещё такие люди?.. И значит – я была совершенно нормальной и совсем не одинокой, как думала вначале!. Значит, это и вправду был Дар?.. Видимо, я слишком ошарашено и пристально его разглядывала, так как растерянная мама сильно покраснела и сразу же кинулась «успокаивать» сынишку, чтобы только никто не успел услышать, о чём он говорит… и тут же стала мне доказывать, что «это он просто всё придумывает, и что врач говорит (!!!), что у него очень буйная фантазия… и не надо обращать на него внимания!..». Она очень нервничала, и я видела, что ей очень хотелось бы прямо сейчас отсюда уйти, только бы избежать возможных вопросов…
– Пожалуйста, только не волнуйтесь! – умоляюще, тихо произнесла я. – Ваш сын не придумывает – он видит! Так же, как и я. Вы должны ему помочь! Пожалуйста, не ведите его больше к доктору, мальчик у вас особенный! А врачи всё это убьют! Поговорите с моей бабушкой – она вам многое объяснит… Только не ведите его больше к доктору, пожалуйста!.. – я не могла остановиться, так как моё сердце болело за этого маленького, одарённого мальчонку, и мне дико хотелось, чего бы это ни стоило, его «сохранить»!..
– Вот смотрите, сейчас я ему что-то покажу и он увидит – а вы нет, потому что у него есть дар, а у вас нет, – и я быстренько воссоздала Стеллиного красного дракончика.
o-ili-v.ru
Логический вентиль – это… Что такое Логический вентиль?
Пример работы схемы RS-триггера, построенного на базе восьми 2И-НЕ логических вентилей.Логи́ческий ве́нтиль — базовый элемент цифровой схемы, выполняющий элементарную логическую операцию[1], преобразуя таким образом множество входных логических сигналов в выходной логический сигнал. Логика работы вентиля основана на битовых операциях[2] с входными цифровыми сигналами в качестве операндов. При создании цифровой схемы вентили соединяют между собой, при этом выход используемого вентиля должен быть подключён к одному или к нескольким входам других вентилей. В настоящее время в созданных человеком цифровых устройствах доминируют электронные логические вентили на базе полевых транзисторов, однако в прошлом для создания вентилей использовались и другие устройства, например, электромагнитные реле, гидравлические устройства, а также механические устройства. В поисках более совершенных логических вентилей исследуются квантовые устройства[3][4], биологические молекулы[5], фононные тепловые системы[6].
В цифровой электронике логический уровень сигнала представлен в виде уровня напряжения (попадающего в один из двух диапазонов) или в виде значения тока. Это зависит от типа используемой технологии построения электронной логики[7]. Поэтому любой тип электронного вентиля требует наличия питания для приведения выходного сигнала к необходимым уровням сигнала.
Основные характеристики
Реализация
Хранение информации
История
Примечания
- ↑ gpntb.ru — Термины микроэлекроники
- ↑ Например: 2И-НЕ (NAND), XOR (исключающее ИЛИ) и другие.
- ↑ scientific.ru — Квантовый логический вентиль на сверхпроводниках
- ↑ pereplet.ru — Спиновые логические вентили на основе квантовых точек
- ↑ skms.impb.psn.ru — Электронный логический вентиль XOR на основе ДНК.
- ↑ lenta.ru — Создан логический вентиль для теплового компьютера.
- ↑ Наиболее известные это КМОП, ТТЛ, N-МОП, ЭСЛ, ДТЛ, РТЛ.
См. также
dic.academic.ru
Транзистор – полупроводниковый элемент, устройство. Как транзистор работает, из чего состоит, для чего нужен?

Транзистор (transistor) – полупроводниковый элемент с тремя выводами (обычно), на один из которых (коллектор) подаётся сильный ток, а на другой (база) подаётся слабый (управляющий ток). При определённой силе управляющего тока, как бы «открывается клапан» и ток с коллектора начинает течь на третий вывод (эмиттер).

То есть транзистор – это своеобразный клапан, который при определённой силе тока, резко уменьшает сопротивление и пускает ток дальше (с коллектора на эмиттер). Происходит это потому, что при определенных условиях, дырки имеющие электрон, теряют его принимая новый и так по кругу. Если к базе не прилагать электрический ток, то транзистор будет находиться в уравновешенном состоянии и не пропускать ток на эмиттер.

В современных электронных чипах, количество транзисторов исчисляется миллиардами. Используются они преимущественно для вычислений и состоят из сложных связей.
Полупроводниковые материалы, преимущественно применяемые в транзисторах это: кремний, арсенид галлия и германий. Также существуют транзисторы на углеродных нанотрубках, прозрачные для дисплеев LCD и полимерные (наиболее перспективные).
Разновидности транзисторов:
Биполярные – транзисторы в которых носителями зарядов могут быть как электроны, так и «дырки». Ток может течь, как в сторону эмиттера, так и в сторону коллектора. Для управления потоком применяются определённые токи управления.
Полевые транзисторы – распротранёные устройства в которых управление электрическим потоком происходит посредством электрического поля. То есть когда образуется большее поле – больше электронов захватываются им и не могут передать заряды дальше. То есть это своеобразный вентиль, который может менять количество передаваемого заряда (если полевой транзистор с управляемым p—n—переходом). Отличительной особенностью данных транзисторов являются высокое входное напряжение и высокий коэффициент усиления по напряжению.
Комбинированные – транзисторы с совмещёнными резисторами, либо другими транзисторами в одном корпусе. Служат для различных целей, но в основном для повышения коэффициента усиления по току.
Подтипы:
Био-транзисторы – основаны на биологических полимерах, которые можно использовать в медицине, биотехнике без вреда для живых организмов. Проводились исследования на основе металлопротеинов, хлорофилла А (полученного из шпината), вируса табачной мозаики.
Одноэлектронные транзисторы – впервые были созданы российскими учёными в 1996 году. Могли работать при комнатной температуре в отличии от предшественников. Принцип работы схож с полевым транзистором, но более тонкий. Передатчиком сигнала является один или несколько электронов. Данный транзистор также называют нано- и квантовый транзистор. С помощью данной технологии, в будущем рассчитывают создавать транзисторы с размером меньше 10 нм, на основе графена.
Для чего используются транзисторы?
Используются транзисторы в усилительных схемах, лампах, электродвигателях и других приборах где необходимо быстрое изменение силы тока или положение вклвыкл. Транзистор умеет ограничивать силу тока либо плавно, либо методом импульс—пауза. Второй чаще используется для ШИМ-управления. Используя мощный источник питания, он проводит его через себя, регулируя слабым током.
Если силы тока недостаточно для включения цепи транзистора, то используются несколько транзисторов с большей чувствительностью, соединённые каскадным способом.
Мощные транзисторы соединённые в один или несколько корпусов, используются в полностью цифровых усилителях на основе ЦАП. Часто им требуется дополнительное охлаждение. В большинстве схем, они работают в режиме ключа (в режиме переключателя).
Применяются транзисторы также в системах питания, как цифровых, так и аналоговых (материнские платы, видеокарты, блоки питания & etc).
Центральные процессоры, микроконтроллёры и SOC тоже состоят из миллионов и миллиардов транзисторов, соединённых в определённом порядке для специализированных вычислений.

Каждая группа транзисторов, определённым образом кодирует сигнал и передаёт его дальше на обработку. Все виды ОЗУ и ПЗУ памяти, тоже состоят из транзисторов.
Все достижения микроэлектроники были бы практически невозможны без изобретения и использования транзисторов. Трудно представить хоть один электронный прибор без хотя бы одного транзистора.
www.xtechx.ru
6 Лекция: Логические вентили, схемы, структуры
Рассматриваются основные теоретические (математические, логические) понятия и сведения, касающиеся базовых логических элементов и структур – логических вентилей, логических (переключательных) схем, логической базы аппаратуры ЭВМ и их оптимальной структуры, оптимизации их структур.
Любой, самый примитивный компьютер – сложнейшее техническое устройство. Но даже такое сложное устройство, как и все в природе и в технике, состоит их простейших элементов. Любой компьютер, точнее, любой его электронный логический блок состоит из десятков и сотен тысяч так называемых вентилей (логических устройств, базовых логических схем), объединяемых по правилам и законам (аксиомам) алгебры вентилей в схемы, модули.
Логический вентиль (далее – просто вентиль) – это своего рода атом, из которого состоят электронные узлы ЭВМ. Он работает по принципу крана (отсюда и название), открывая или закрывая путь сигналам.
Логические схемы предназначены для реализации различных функций алгебры логики и реализуются с помощью трех базовых логических элементов (вентилей, логических схем или так называемых переключательных схем). Они воспроизводят функции полупроводниковых схем.
Работу вентильных, логических схем мы, как и принято, будем рассматривать в двоичной системе и на математическом, логическом уровне, не затрагивая технические аспекты (аспекты микроэлектроники, системотехники, хотя они и очень важны в технической информатике).
Логические функции отрицания, дизъюнкции и конъюнкции реализуют, соответственно, логические схемы, называемые инвертором, дизъюнктором и конъюнктором.
Логическая функция “инверсия”, или отрицание, реализуется логической схемой (вентилем), называемой инвертор.
Принцип его работы можно условно описать следующим образом: если, например, “0” или “ложь” отождествить с тем, что на вход этого устройства скачкообразно поступило напряжение в 0 вольт, то на выходе получается 1 или “истина”, которую можно также отождествить с тем, что на выходе снимается напряжение в 1 вольт.
Аналогично, если предположить, что на входе инвертора будет напряжение в 1 вольт (“истина”), то на выходе инвертора будет сниматься 0 вольт, то есть “ложь” (схемы на рисунке 1 ).
Функцию отрицания можно условно отождествить с электрической схемой соединения в цепи с лампочкой (рис. 2), в которой замкнутая цепь соответствует 1 (“истина”) или х = 1, а размыкание цепи соответствует 0 (“ложь”) или х = 0.

Рис. 1. Принцип работы инвертора
Рис. 2. Электрический аналог схемы инвертора
Дизъюнкцию
реализует логическое устройство
(вентиль)
называемое дизьюнктор (рис. 3):



Рис. 3. Принцип работы дизъюнктора
Дизъюнктор условно изображается схематически электрической цепью вида (рис. 4)
Рис. 4. Электрический аналог схемы дизъюнктора
Конъюнкцию
реализуетлогическая
схема (вентиль),
называемая конъюнктором (рис. 5):



Рис. 5. Принцип работы конъюнктора
Конъюнктор можно условно изобразить схематически электрической цепью вида (рис. 6.6)
Рис. 6. Электрический аналог схемы конъюнктора
Схематически инвертор, дизъюнктор и конъюнктор на логических схемах различных устройств можно изображать условно следующим образом (рис. 7). Есть и другие общепринятые формы условных обозначений.
Рис. 7. Условные обозначения вентилей (вариант)
Из указанных простейших базовых логических элементов собирают, конструируют сложные логические схемы ЭВМ, например, сумматоры, шифраторы, дешифраторы и др. Большие (БИС) и сверхбольшие (СБИС) интегральные схемы содержат в своем составе (на кристалле кремния площадью в несколько квадратных сантиметров) десятки тысяч вентилей. Это возможно еще и потому, что базовый набор логических схем (инвертор, конъюнктор, дизъюнктор) является функционально полным (любую логическую функцию можно представить через эти базовые вентили), представление логических констант в них одинаково (одинаковы электрические сигналы, представляющие 1 и 0) и различные схемы можно “соединять” и “вкладывать” друг в друга (осуществлять композицию и суперпозицию схем).
Таким способом конструируются более сложные узлы ЭВМ – ячейки памяти, регистры, шифраторы, дешифраторы, а также сложнейшие интегральные схемы.
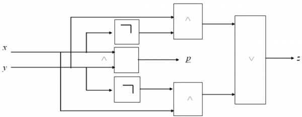
Пример. В двоичной системе таблицу суммирования цифры x и цифры y и получения цифры z с учетом переноса p в некотором разряде чисел x и y можно изобразить таблицей вида
x | y | z | p |
0 | 0 | 0 | 0 |
0 | 1 | 1 | 0 |
1 | 0 | 1 | 0 |
1 | 1 | 0 | 1 |
Эту таблицу можно интерпретировать как совместно изображаемую таблицу логических функций (предикатов) вида
Логический
элемент, соответствующий этим функциям,
называется одноразрядным сумматором и имеет следующую схему (обозначим ее
как
или
–
если мы хотим акцентировать именно
выбранный, текущийi-й
разряд) (рис. 8):

Рис. 8. Схема одноразрядного сумматора
Пример. “Черным ящиком” называется некоторое закрытое устройство (логическая, электрическая или иная схема), содержимое которого неизвестно и может быть определено (идентифицировано) только по отдельным проявлениям входа/выхода ящика (значениям входных и выходных сигналов). В “черном ящике” находится некоторая логическая схема, которая в ответ на некоторую последовательность входных (для ящика) логических констант выдает последовательность логических констант, получаемых после выполнения логической схемы внутри “черного ящика”. Определим логическую функцию внутри “черного ящика” (рис. 9), если операции выполняются с логическими константами для входных последовательностей (поразрядно). Например, х = 00011101 соответствует последовательности поступающих значений: “ложь”, “ложь”, “ложь”, “истина”, “истина”, “истина”, “ложь”, “истина”.
Рис. 9. Схема “черного ящика 1”
Из анализа входных значений (входных сигналов) х, у и поразрядного сравнения логических констант в этих сообщениях с константами в значении z – результате выполнения функции в “черном ящике”, видно, что подходит, например, функция вида .
Действительно, в результате “поразрядного” сравнения сигналов (последовательностей значений “истина”, “ложь”) получаем следующие выражения (последовательности логических констант):
.
Пример. Попробуйте самостоятельно выписать функцию для “черного ящика”? указанного на рис. 10:
Рис. 10. Схема “черного ящика 2”
Важной задачей (технической информатики) является минимизация числа вентилей для реализации той или иной схемы (устройства), что необходимо для более рационального, эффективного воплощения этих схем, для большей производительности и меньшей стоимости ЭВМ.
Эту задачу решают с помощью методов теоретической информатики (методов булевой алгебры).
Пример. Построим схему для логической функции . Схема, построенная для этой логической функции, приведена на рис. 11.
Рис. 11. Схема для функции 1
Пример. Определим логическую функцию
,
реализуемую логической схемой вида
(рис. 12):

Рис. 12. Схема для функции 2
Искомая логическая функция, если выписать ее последовательно, заполняя “верх” каждой стрелки, будет иметь следующий вид: .
studfiles.net
