Основные электрические законы. Базовые формулы и расчеты
В предыдущей статье мы познакомились с основными электрическими понятиями, такими как электрический ток, напряжение, сопротивление и мощность. Настал черед основных электрических законов, так сказать, базиса, без знания и понимания которых невозможно изучение и понимание электронных схем и устройств.
Закон Ома
Электрический ток, напряжение, сопротивление и мощность, безусловно, между собой связаны. А взаимосвязь между ними описывается, без сомнения, самым главным электрическим законом – законом Ома. В упрощенном виде этот закон называется: закон Ома для участка цепи. И звучит этот закон следующем образом:
«Сила тока в участке цепи прямо пропорциональна напряжению и обратно пропорциональна электрическому сопротивлению данного участка цепи».
Для практического применения формулу закона Ома можно представить в виде вот такого треугольника, который помимо основного представления формулы, поможет определить и остальные величины.
Работает треугольник следующим образом. Чтобы вычислить одну из величин, достаточно закрыть ее пальцем. Например:
В предыдущей статье мы проводили аналогию между электричеством и водой, и выявили взаимосвязь между напряжением, током и сопротивлением. Также хорошей интерпретацией закона Ома может послужить следующий рисунок, наглядно отображающий сущность закона:

На нем мы видим, что человечек «Вольт» (напряжение) проталкивает человечка «Ампера» (ток) через проводник, который стягивает человечек «Ом» (сопротивление). Вот и получается, что чем сильнее сопротивление сжимает проводник, тем тяжелее току через него проходить («сила тока обратно пропорциональна сопротивлению участка цепи» – или чем больше сопротивление, тем хуже приходится току и тем он меньше). Но напряжение не спит и толкает ток изо всех сил (чем выше напряжение, тем больше ток или – «сила тока в участке цепи прямо пропорциональна напряжению»).
Когда фонарик начинает слабо светить, мы говорим – «разрядилась батарейка». Что с ней произошло, что значит разрядилась? А значит это, что напряжение батарейки снизилось и оно больше не в состоянии «помогать» току преодолевать сопротивление цепей фонарика и лампочки. Вот и получается, что чем больше напряжение – тем больше ток.
Последовательное подключение – последовательная цепь
При последовательном подключении потребителей, например обычных лампочек, сила тока в каждом потребителе одинаковая, а вот напряжение будет отличаться. На каждом из потребителей напряжение будет падать (снижаться).
А закон Ома в последовательной цепи будет иметь вид:
При последовательном соединении сопротивления потребителей складываются. Формула для расчета общего сопротивления:
Параллельное подключение – параллельная цепь
При параллельном подключении, к каждому потребителю прикладывается одинаковое напряжение, а вот ток через каждый из потребителей, в случае, если их сопротивление отличается – будет отличаться.

Закон Ома для параллельной цепи, состоящей из трех потребителей, будет иметь вид:
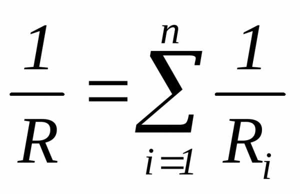
При параллельном соединении общее сопротивление цепи всегда будет меньше значения самого маленького отдельного сопротивления. Или еще говорят, что «сопротивление будет меньше наименьшего».
Общее сопротивление цепи, состоящей из двух потребителей, при параллельном соединении:
Общее сопротивление цепи, состоящей из трех потребителей, при параллельном соединении:
Для большего числа потребителей расчет производится исходя из того, что при параллельном соединении проводимость (величина обратная сопротивлению) рассчитывается как сумма проводимостей каждого потребителя.
Электрическая мощность
Таким образом зная, напряжение источника и измерив потребляемый ток, мы можем определить мощность потребляемую электроприбором. И наоборот, зная мощность электроприбора и напряжение сети, можем определить величину потребляемого тока. Такие вычисления порой необходимы. Например, для защиты электроприборов используются предохранители или автоматические выключатели. Чтобы правильно подобрать средство защиты нужно знать потребляемый ток. Предохранители, применяемые в бытовой технике, как правило подлежат ремонту и для их восстановления достаточно подобрать и заменить проволоку.
Применив закон Ома, можно рассчитать мощность и по другой формуле:
При расчетах надо учитывать, что часть потребляемой электроэнергии расходуется на нагрев и преобразуется в тепло. При работе греются не только электрообогреватели, но и телевизоры, и компьютеры и другая бытовая техника.
И в завершение, в качестве бонуса, вот такая шпаргалка, которая поможет определить любой из основных электрических параметров, по уже известным.

imolodec.com
формулы тоэ | энергетик
меню сайта для мобильных приложений
ФОРМУЛЫ ТЕОРИИ ОСНОВ ЭЛЕКТРОТЕХНИКИ (ТОЭ)
Данный раздел основных формул ТОЭ предназначен для начинающих, как для студентов высших учебных заведений изучающих курс физики по электротехники, так и просто для интересующихся общей электротехникой /ТОЭ/ с примерами и комментариями автора:
Прежде чем перейти к формулам, обращу Ваше внимание на буквенное обозначение в ТОЭ, в разных учебниках по ТОЭ, мягко говоря, обозначение довольно произвольное, нет единого требования по данному вопросу в электротехнике. Особенно заметна разность обозначения в комплексных числах (как грибы в лесу, как только их не называют в разных местностях). Поэтому

При расчётах всегда приводить все значения в одну единицу, например если расчеты по мощности в ваттах, соответственно напряжение в вольтах, сопротивление в омах и т.д.

- А теперь формулы по электротехнике (ТОЭ) часто применяемые для расчетов (дома, на работе), рассмотрим в порядке от простых к очень простым, для студенческого сообщества выложу отдельно сложные и очень сложные, и напишу целую лекцию по ТОЭ.
ФОРМУЛЫ ПОСТОЯННОГО ТОКА
Закон Ома для участка цепи и всей цепи постоянного тока:
Пример для расчета сопротивления проводника (подробнее можете посмотреть, что такое величина удельного сопротивления проводника на стр. понятия и определения):

Мощность в цепи постоянного тока, здесь нет ничего сложного, как и все в постоянном токе, замечу только, что значения силы тока и напряжения постоянны и равны мгновенным значениям в любой момент времени, единица мощности

- На заметку для любознательных, можно например, электрическую мощность пересчитать в механическую и наоборот: 1 кВт*ч = 367000 кгс*м; 1кВт = 102кгс*м/с, т.е. за 1 кВтч. Т.е. можно поднять груз массой 367 кг на высоту 1 км, или 102 кг за 1 сек. на один метр.
ФОРМУЛЫ ПЕРЕМЕННОГО ТОКА
В отличие от постоянного тока, особенностью переменного тока является то, что электрический ток с течением времени изменяется по величине и направлению. Элементы такой электрической цепи влияют на амплитуду тока и на его фазу. Условное обозначение переменного тока на электроприборах


Электромагнитные процессы, протекающие в электротехнических устройствах, как правило, достаточно сложны, поэтому далее формулы тоэ будут носить более учебный характер, чем практический, иначе говоря для учащихся и просто для любознательных.
Продолжение формулы тоэ:
См. также ниже продолжение раздела формулы:
перейти: формулы тоэ 1 краткое описание страницы — электрический ток (I, ампер), электродвижущая сила (ЭДС, E=A/q=Дж/Кл=В, вольт), электрическое напряжение (U, вольт), электрическая энергия и мощность (Eq, Дж, джоуль) и ватт (Р, Вт, ватт)…
перейти: формулы тоэ 2 краткое описание страницы — пассивные элементы цепи (резистор, катушка индуктивности и конденсатор), их основные характеристики и параметры…
Автор сайта надеяться, что информация Вам будет полезна, как доступно простая, так и более углублённая в других разделах сайта. Не забывайте просмотреть рекламу от гугл, реклама для Вас бесплатно, а мне развитие сайта, удачи.
energetik.com.ru
Закон Джоуля Ленца | Все формулы
Закон Джоуля Ленца — Количество теплоты, выделяемое в единицу времени в рассматриваемом участке цепи, пропорционально произведению квадрата силы тока на этом участке и сопротивлению участка
Закон Джоуля Ленца в интегральной форме в тонких проводах:
Если сила тока изменяется со временем, проводник неподвижен и химических превращений в нем нет, то в проводнике выделяется тепло.
Закон Джоуля Ленца — Мощность тепла, выделяемого в единице объёма среды при протекании электрического тока, пропорциональна произведению плотности электрического тока на величину электрического поля
Преобразование электрической энергии в тепловую широко используется в электрических печах и различных электронагревательных приборах. Тот же эффект в электрических машинах и аппаратах приводит к непроизвольным затратам энергии (потере энергии и снижении КПД). Тепло, вызывая нагрев этих устройств, ограничивает их нагрузку; при перегрузке повышение температуры может вызвать повреждение изоляции или сокращение срока службы установки.
В формуле мы использовали :
— Количество теплоты
— Заряд
— Работа тока
— Напряжение в проводнике
— Сила тока в проводнике
— Время
— Промежуток времени
— Сопротивление
— Мощность выделения тепла в единице объёма
— Плотность электрического тока
— Напряжённость электрического поля
— Проводимость среды
xn--b1agsdjmeuf9e.xn--p1ai
| Электростатика Заряд. Закон Кулона. Напряженность электрического поля. 1) Сила взаимодействия между двумя точечными зарядами: [Н] k – коэффициент пропорциональности, ?0 = 8,85 10-12 Ф/м, ? – диэл. проницаемость среды, ?воздуш = 1, q [Кл] – заряд, r [м] – расстояние между зарядами. 2) Напряженность эл. поля: [Н/Кл], [В/м] 3) Напряженность поля точечного заряда: , где r – расстояние от заряда до точки, в которой ищем заряд этого поля. | Конденсаторы. Емкость конденсаторов. 1) Связь потенциала проводника с его зарядом: – емкость проводника,[Ф] 2) Емкость плоского конденсатора: , где S – площадь каждой из пластин конденсатора. 3) Емкость сферического конденсатора: 4) Емкость уединенного шара: 5) Емкость цилиндрического конденсатора: , L – длина цилиндров. 6) Емкость системы конденсаторов: 1. при параллельном соединении: 2. при последовательном соединении: . | Электромагнетизм 1) Магнитная индукция: , , B [Тл], H [А/м]. 2) Напряженность магнитного поля в центре кругового тока: , R – радиус витка. 3) Напряженность магнитного поля на расстоянии a от прямолинейного проводника: . 4) Напряженность магнитного поля на оси кругового тока: . 5) Напряженность магнитного поля внутри соленоида: ,, N – общее число витков, l – длина соленоида. 6) Направление вектора магнитной индукции определяется: 1. По правилу Буравчика: Если ввинчивать буравчик по направлению тока в проводнике, то движение рукоятки укажет направление силовых линий магнитного поля, касательные к которым в том же | Расчет напряженности эл. поля с помощью теоремы О-Г. 1) Напряженность поля бесконечно заряженной плоскости: где ? – поверхностная плотность заряда на плоскости: [Кл/м2]. 2) Напряженность поля двух заряженных плоскостей (поле плоского конденсатора): 3) Напряженность поля сферы (шара): , (r ? R) r – расстояние от центра сферы до точки напряженности. Если r R, то E = 0. 4) Напряженность поля заряженной нити: , где: [Кл/м]. | Электрический ток Постоянный эл. ток. 1) Сила тока: , [А]. 2) Плотность тока: . 3) Закон Ома (для однородного участка цепи): . 4) Закон Ома (для замкнутой цепи): , ? – ЭДС [В]. 5) Сопротивление уединенного проводника: , ? – удельное сопротивление, ? – удельная проводимость, l – длина проводника. 6) Зависимость сопротивления от температуры:,? – температурный коэффициент сопротивления. 7) Работа тока: , t – время. 8) Полная мощность выделяемая источником тока в цепи: . | направлении есть вектор B. 2. По правилу правой руки: Если обхватить проводник с током ладонью правой руки так чтобы вытянутый большой палец указывал направление тока, то движение остальных четырех пальцев укажет направление вектора B. | Потенциал. Разность потенциалов. 1) Потенциал поля точечного заряда: , [В]. 2) Разность потенциалов: . 3) Напряженность эл. поля и потенциал связаны соотношением: . 4) Для плоского конденсатора: , U – разность потенциалов между пластинами конденсатора, d – расстояние между ними. | Решение задач с применением правил Кирхгофа. I-ое правило (для узлов): Сумма токов сходящихся в узле равна нулю: . При этом входящие в узел токи считаются положительными, а выходящие отрицательными. II-ое правило (для контуров): Сумма произведений сил токов на сопротивление на отдельных участках цепи замкнутого контура равна сумме ЭДС этого контура: . Токи и ЭДС совпадающие по направлению с направлением обхода контура выбранных произвольно (по часовой или против часовой) считаются положительными, а не совпадающие отрицательными. | Магнитный поток. Магнитное поле Соленоида и Тороида. 1) Объемная плотность энергии магнитного поля: 2) Магнитный поток сквозь контур: 3) Магнитный поток сквозь тороид: 4) Если тороид имеет воздушный заряд: |
nashaucheba.ru
Энергия электрического поля | Все формулы
Энергия электрического поля — Энергия заряженного конденсатора равна работе внешних сил, которую необходимо затратить, чтобы зарядить конденсатор
В формуле мы использовали :
— Энергия электрического поля
— Диэлектрическая проницаемость среды
— Диэлектрическая постоянная
— Объем занимаемый электрическим полем
— Напряжение
— Площадь обкладок
— Расстояние между обкладками конденсатора
xn--b1agsdjmeuf9e.xn--p1ai
формулы тоэ продолжение | энергетик
В разделе: электрический ток (I, ампер), электродвижущая сила (ЭДС, E=A/q=Дж/Кл=В, вольт), электрическое напряжение (U, вольт), электрическая энергия и мощность (Eq, Дж, джоуль) и ватт (Р, Вт, ватт).
Величина электрического тока (I) определяется как количество заряда q переносимое через какую-либо поверхность в единицу времени, при одинаковых промежутках времени t переносимого заряда q, где I = q/t, то такой ток постоянный. I = q/t = Кл/с = А (ампер):
2. Электродвижущая сила (ЭДС). Участок цепи, на котором действует ЭДС, является источником электрической энергии (энергии движущихся носителей электрических зарядов). Единицу ЭДС можно получить как E = A/q = Дж/Кл = В (вольт):
3. Электрическое напряжение (U). На участках электрической цепи, где отсутствует ЭДС, движение носителей зарядов сопровождается расходом полученной ранее энергии путём преобразования её в другие виды. Этот процесс можно охарактеризовать падением напряжения или просто напряжением U, где U = A/q. В случае движения зарядов в безвихревом электрическом поле это определение идентично понятию разности потенциалов участков электрической цепи, т.е. Uab = φа − φb, где , φа, φb, – потенциалы границ участка. Единица измерения напряжения и разности потенциалов такая же, как и ЭДС.
4. Электрическая энергия и мощность. Из понятия ЭДС следует, что она является работой, совершаемой при перемещении единичного заряда между полюсами источника электрической энергии Wи = Eq = EIt, где требуется совершить работу в q раз большую для перемещения всех зарядов, т.е. затратить энергию.

Напомним для тех кто знал но забыл, что такое Электрическая цепь:
Электрическая цепь представляет собой совокупность технических устройств и физических объектов, по которым протекает электрический ток, т.е. происходит упорядоченное направленное движение электрических зарядов.
Для того чтобы заряды перемещались им необходимо передать некоторую энергию и устройство, выполняющее эту функцию, называется источником электрической энергии. Источник электрической энергии является составным элементом электрической цепи. Энергия, передаваемая источником движущимся зарядам, может быть получена только путём преобразования других видов энергии (тепловой, химической, механической, световой) или путём воздействия на электрические заряды магнитным полем, возбуждаемым другим источником.
Создаваемый источником электрический ток может вызывать различные явления: нагревать элементы, по которым он протекает, вызывать свечение веществ, создавать механические усилия. Технические устройства, в которых получают требуемый эффект от протекания электрического тока называют приёмниками электрической энергии, т.к. в них происходит преобразование электрической энергии в другие виды.
Иными словами электрическая цепь состоит из отдельных частей (объектов), выполняющих определенные функции и называемых элементами цепи. Основными элементами цепи являются источники и приемники электрической энергии (сигналов). Электротехнические устройства, производящие электрическую энергию, называются генераторами или источниками электрической энергии, а устройства, потребляющие ее – приемниками (потребителями) электрической энергии, о чём собственно и сказано в формулах тоэ выше.
energetik.com.ru
8. Постоянный электрический ток Основные формулы
Сила
тока:

(если
).
Плотность
тока:
,
,
где
–
площадь поперечного сечения проводника,
–
средняя скорость упорядоченного движения
зарядов в проводнике,
–
концентрация зарядов,
–
элементарный заряд.
Зависимость
сопротивления от параметров проводника:
,
где
–
длина проводника,
–
площадь поперечного сечения проводника,
– удельное сопротивление,
–
удельная проводимость.
Зависимость
удельного сопротивления от температуры
для металлических проводников:
,
где
–
температурный коэффициент сопротивления;
–
удельное сопротивление при
,
– температура проводника.
Сопротивление
системы проводников: при последовательном
(а) и параллельном (б) соединениях:
а)
, б)
,
где
–
сопротивление
-го
проводника,
– число проводников.
Сопротивления,
необходимые для расширения пределов
измерения приборами силы тока (
)
и напряжения (
)
в
раз:
,
.
Законы
Ома:
для однородного участка цепи:
,
для неоднородного участка цепи:
,
для замкнутой цепи:
,
где
– напряжение на однородном участке
цепи,
– разность потенциалов на концах участка
цепи,
– ЭДС источника,
–
внутреннее сопротивление источника
тока.
В дифференциальной форме:
,
где
–
плотность тока,–
удельная проводимость,
–напряжённость
поля.
Сила
тока короткого замыкания:
.
Работа
тока за время
:
.
Закон Джоуля-Ленца (количество теплоты, выделяемой при прохождении тока через проводник):
.
Мощность
тока, выделяемая в нагрузке (полезная):
.
Полная
мощность, выделяемая в цепи:
.
Мощность,
теряемая в источнике:
.
Коэффициент
полезного действия источника тока:
.
Правила
Кирхгофа:
1)
– для узлов;
2)
– для контуров,
где
–
алгебраическая сумма сил токов, сходящихся
в узле,
–
алгебраическая сумма ЭДС в контуре.
Примеры решения задач
Задача
1.
ЭДС источника тока
=6
В. Наибольшая сила тока, которую может
дать источник тока,
=5А.
Какая наибольшая мощность
может выделиться на подключенном к
источнику тока резисторе с переменным
сопротивлением? Каким при этом будет
КПД источника тока и какая мощность
будет расходоваться на нагревание
самого источника?
Дано: | Решение: |
| Мощность тока на внешнем участке цепи находится по формуле: , (1) |
| где R – сопротивление резистора при условии очень малого сопротивления подводящих ток проводников. Силу тока I можно найти на основе закона Ома для замкнутой цепи: где R и r – сопротивления внешнего и внутреннего участков цепи соответственно. |
Подставив формулу (2) в формулу (1), получим:
.
(3)
Из
формулы (3) видно, что при постоянных
величинах
и r мощность является функцией одной
переменной – внешнего сопротивления R.
Известно, что эта функция имеет максимум
при условии R = r.
В этом можно убедиться, применив общий
метод исследования функций на экстремум
с помощью производной.
Следовательно,
. (4)
Таким образом, задача сводится к отысканию сопротивления r внутреннего участка цепи (источника тока). Если учесть, что согласно закону Ома (2) для замкнутой цепи наибольшая сила тока Imax будет при внешнем сопротивлении R = 0 (ток короткого замыкания), то
.
(5)
Подставив найденное из (5) значение внутреннего сопротивления r в формулу (4), получим:
.
Мощность
тока, выделяемая на внешнем участке
цепи, является полезной по отношению к
полной мощности источника тока, которая
находится по формуле
и
в нашем случае будет равна
.
(6)
КПД источника тока равен отношению полезной мощности, выделяемой на внешнем участке цепи, к полной мощности источника тока:
.
(7)
В нашем случае
Мощность, теряемую в источнике тока, можно найти по формуле: .
В нашем случае: .
Ответ: ;
;
.
Задача
2. Электрическая цепь состоит из двух
источников тока, трех сопротивлений и
амперметра (рис.7.1). В этой цепи R1=100
Ом, R2=50
Ом, R3=20
Ом, ЭДС одного из источников тока
1=2
В. Амперметр регистрирует ток I3=50
мА, идущий в направлении, указанном
стрелкой. Определите ЭДС второго
источника тока
2.
Сопротивлением амперметра и внутренним
сопротивлением источников тока
пренебречь.
Рис.7.1
Указания: Для расчета разветвленных цепей применяются правила Кирхгофа:
а)
–
первое правило Кирхгофа;
б)
–
второе правило.
На основании этих правил можно составить уравнения, необходимые для определения искомых величин (силы тока, сопротивления и ЭДС). Применяя правила Кирхгофа, следует соблюдать следующие указания:
1. Перед составлением уравнений произвольно выбрать: а) направления токов (если они не заданы по условию задачи) и указать их стрелками на чертеже; б) направления обхода контуров (например, по часовой стрелке).
2. При составлении уравнений по первому правилу Кирхгофа считать токи, подходящие к узлу, положительными, а токи, отходящие от узла, отрицательными. Число уравнений, составляемых по первому правилу Кирхгофа, должно быть на единицу меньше числа узлов, содержащихся в цепи.
3. При составлении уравнений по второму правилу Кирхгофа надо считать, что а) произведение силы тока на сопротивление участка контура IкRк входит в уравнение со знаком “плюс”, если направление тока в данном участке совпадает с выбранным направлением обхода контура, в противном случае произведение IкRк входит в уравнение со знаком “минус”, б) ЭДС входит в уравнение со знаком “плюс”, если она повышает потенциал в направлении обхода контура, т.е. если при обходе приходится идти от минуса к плюсу внутри источника тока; в противном случае ЭДС входит в уравнение со знаком “минус”. Число уравнений, составленных по второму правилу Кирхгофа должно быть равно числу независимых контуров, имеющихся в цепи. Для составления уравнений первый контур можно выбирать произвольно. Все последующие контуры следует выбрать таким образом, чтобы в каждый новый контур входила хотя бы одна ветвь цепи, не участвовавшая ни в одном из ранее использованных контуров. Если при решении уравнений, составленных указанным выше способом, получены отрицательные значения силы тока или сопротивления, то это означает, что ток через данное сопротивление в действительности течет в направлении, противоположном произвольно выбранному. При этом числовые значения силы тока будут правильными. Однако в этом случае неверным окажется вычисленное значение сопротивления. Тогда необходимо, изменив на чертеже направление тока в сопротивлении, составить новую систему уравнений и, решив ее, определить искомое сопротивление.
Р
Дано:
R1 = 100 Ом;
R2 = 50 Ом;
R3 = 20 Ом;
1=
2 B;
I з= 50 мА.
2 = ?
ешение:Выберем направления токов, как они показаны на рисунке, и условимся обходить контуры по часовой стрелке. По первому правилу Кирхгофа для узла F имеем:
I1 – I2 – I3 = 0. (1)
П
2 =?
1 , или после умножения обеих частей
равенства на – 1: I1R1 + I2R2 =
1 . (2)
Соответственно для контура AFGHA найдем:
I1R1 + I3R3 =
2 . (3)
После
подстановки известных числовых значений
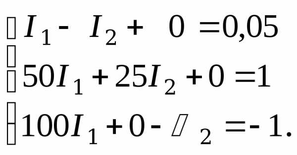
в формулы (1), (2) и (3) получим: I1–I2–0,05=0,
50I1+25I2=1,
100I+0,05·20=
2 .
Перенеся в этих уравнениях неизвестные величины в левые части, а известные – в правые, получим систему 3 уравнений с тремя неизвестными:

Выразим из первого уравнения системы I2 и подставим во второе:
.
Подставляя I1 в
третье уравнение, получаем
=4
В.
Ответ:
=4
В.
studfiles.net

=
6 B;
=
5 A.
=
?
=?
=?
(2)