Пределы(задачи)
Понятие предела функции в точке. Теорема о переходе к пределу в неравенствах.
Понятие непрерывности функции.
Первый
замечательный предел
.
Понятие бесконечно малой функции. Теорема о связи между функцией, ее пределом и бесконечно малой.
Теорема о сумме бесконечно малых функций.
Теорема о произведении бесконечно малой функции на ограниченную функцию.
Теорема об отношении бесконечно малой функции к функции, имеющей предел, отличный от нуля.
Теорема о пределе суммы.
Теорема о пределе произведения.
Теорема о пределе частного.
Понятие бесконечно большой функции. Теоремы о связи бесконечно больших функций с бесконечно малыми.
Сравнение бесконечно малых функций.
Эквивалентные бесконечно малые функции. Теорема о замене бесконечно малых функций эквивалентными.
Условие эквивалентности бесконечно малых функций.
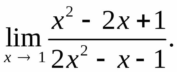
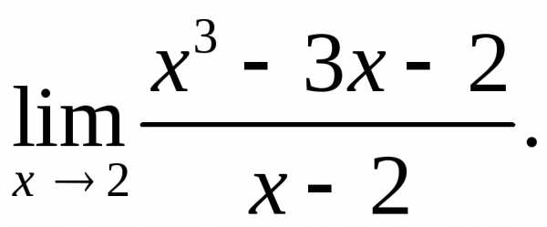
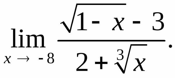
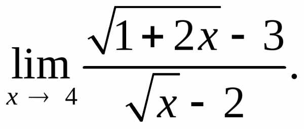
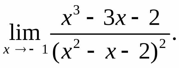
Задача 9. Вычислить пределы функций.
9.1.
9.2.
9.3.
9.4.
9.5. 

9.7.
9.8.
9.9.
9.10.
9.11.
9.12.
9.13.
9.14.
9.15. 9.16.
9.17. 9.18.
9.19.
9.20.
9.21.
9.22.
9.23.
9.24.
9.25.
9.26.
9.27.
9.28.
9.29.
9.30.
9.31.
Задача 10. Вычислить пределы функций.
10.2.
studfiles.net
3.2. Примеры решения задач | Решение задач по математике и другим предм
Задание 1. Доказать, используя определение предела последовательности, что . Найти номер элемента последовательности, начиная с которого последовательность отличается от своего предела не более, чем на 0,001.
Решение. Доказать, что – это значит указать такой номер , что все элементы последовательности, начиная с этого номера, не больше чем на по модулю отличаются от .
В нашем случае
;
Если достаточно большое настолько, что , то равенство выполняется . Значит, для в качестве можно выбрать 1.
Если , то из неравенства следует, что и в качестве можно выбрать любое натуральное число, удовлетворяющее неравенству, например ( – целая часть числа ).
Итак,
При .
Задание 4. Доказать, что последовательность является неограниченной, но не является бесконечно большой.
Решение. Решение состоит из двух частей. Доказать, что последовательность неограниченна, т. е. , другими словами, последовательность содержит сколь угодно большие элементы. Тем не менее, эта последовательность не является бесконечно большой, т. е. для последовательности неверно утверждение , а верно обратное утверждение . Другими словами, в последовательности есть элементы со сколь угодно большими номерами, модуль которых не превосходит некоторого числа.
В данном случае . При – нечётных , при – чётных .
Докажем первую часть утверждения. Выберем произвольное сколь угодно большое и найдём такой номер , что . Если нечётно, то . Из неравенства следует, что в качестве можно выбрать любое нечётное число, большее, чем .
Чтобы доказать вторую часть утверждения, обратим внимание на то, что все элементы последовательности с чётными номерами . Если (например ), то какой бы мы ни указали номер , найдется номер больше (чётный), такой, что .
Таким образом, последовательность не является бесконечно большой.
Задание 5.
Пример 1. Доказать, что последовательность имеет предел.
Решение. Покажем, что последовательность монотонно возрастающая.
Сравним последовательность с последовательностью
, каждый член – сумма членов геометрической прогрессии со знаменателем .
Сумма членов геометрической прогрессии определяется по формуле , т. е. , при имеем .
Так как , то . Итак, все условия теоремы о сходимости монотонной и ограниченной последовательности выполнены, следовательно, последовательность имеет предел. Обратите внимание на то, что не является , поэтому нельзя утверждать, что .
Пример 2. Доказать, что последовательность
имеет предел, и вычислить его.
Решение. Покажем, что последовательность:
А) ограничена сверху;
Б) монотонно возрастает.
При доказательстве пункта а) используем метод математической индукции. Очевидно, что . Предположим, что для произвольного номера выполняется неравенство , тогда . В соответствии с методом математической индукции неравенство выполняется для любого номера, т. е. , следовательно, последовательность ограничена сверху. б) Докажем, что , снова используя метод математической индукции. Очевидно, что . Пусть .
.
, но так как , то , значит, для .
Таким образом, последовательность монотонно возрастает и ограничена сверху, значит, она имеет предел. Вычислим его. Пусть . Так как , то . Поскольку
, но , , тогда , . Так как мы установили, что , то отбрасываем. Итак .
При выполнении заданий 6, 7, 8 используется следующий результат
Задание 6. Вычислить предел
Решение. При нахождении предела отношения двух многочленов необходимо сравнить степени в числителе и в знаменателе. При кажущейся простоте этой операции она требует определенного внимания и навыков. Рассмотрим предел =Приведем подобные члены
Так как наивысшие степени в числителе и знаменателе равны между собой , то предел равен отношению коэффициентов при наивысших степенях.
Задание 7. Вычислить предел .
Решение. Отметим, что
; ,
Тогда
.
В следующем задании предлагается найти предел выражения, которое представляет собой сумму, число слагаемых которой возрастает с ростом . В этом случае нельзя переходить к пределу в каждом слагаемом отдельно. Предел можно вычислить, предварительно просуммировав слагаемые под знаком предела. С этой целью используются известные формулы суммирования членов арифметической и геометрических прогрессий.
Задание 8.
Пример 1. Найти предел числовой последовательности
.
Решение. Преобразуем заданное выражение
.
В числителе стоит сумма членов арифметической прогрессии со знаменателем . Сумма членов арифметической прогрессии равна . В нашем примере , , число членов , тогда .
.
Пример 2. Найти предел числовой последовательности
.
Решение. Преобразуем заданное выражение
Таким образом, мы имеем сумму членов двух геометрических прогрессий, знаменатель одной из них , первый член , знаменатель другой , первый член .
Сумма членов геометрической прогрессии определяется по формуле , т. е.
Для первой прогрессии ,
Для второй прогрессии ,
При имеем
Задание 9.
Пример 1. Вычислить предел
.
Решение.
Для раскрытия неопределённости воспользуемся соотношением
И домножим числитель и знаменатель на сопряжённое выражение

При вычислении предела было учтено, что , .
Пример 2. Вычислить предел
.
Решение.
Для раскрытия неопределённости воспользуемся соотношением и домножим числитель и знаменатель на сопряжённое выражение
Задание 10. Вычислить предел .
Решение. Так как , то – величина бесконечно малая, , т. е. – величина ограниченная. Произведение величины ограниченной на бесконечно малую есть величина бесконечно малая, т. е.
.
| < Предыдущая | Следующая > |
|---|
matica.org.ua
Тестовые задания по теме: «Пределы функций»
Тестовые задания по теме «Пределы функций»
Одним из видов контроля является тестирование, позволяющее оперативно и достаточно определить уровень знаний студента.
Данная работа посвящена теме «Предел функции» и дается в 8 вариантах. Каждый вариант содержит 7 заданий с четырьмя вариантами ответов, один из которых правильный.
Выборочная система ответов обеспечивает возможность экспресс-контроля, т.е. немедленной проверки и оценки выполненного задания.
Задания составлены таким образом, что в них отражены узловые, идейно важные моменты данной темы, на которые следует обратить внимание в первую очередь.
Основное назначение тестовых заданий – помочь преподавателю в проведении систематического и оперативного контроля текущей успеваемости студентов.
Вариант 1
1) Вычислите
ответы: А) – 3; Б) ; В) – 4; Г) 8
2) Вычислите:
ответы: А) – 3; Б) ; В) ; Г) другой ответ
3) Дано:
Вычислите:
ответы: А) – 15; Б) 15; В) 1,5; Г) – 1,5
4) Вычислите:
ответы: А) 0; Б) 2; В) ; Г)
5) Вычислите:
ответы: А) 0; Б) ; В) 1,5; Г)
6) Вычислите:
ответы: А) ; Б) ; В) 0; Г)
7) Вычислите:
ответы: А) ; Б) 2; В) 0; Г)
Вариант 2
1) Вычислите
ответы: А) 1; Б) – 23; В) – 19; Г) 3
2) Вычислите:
ответы: А) 1; Б) – 3; В) – 1; Г) 0
3) Дано:
Вычислите:
ответы: А) ; Б) ; В) ; Г)
4) Вычислите:
ответы: А) 0; Б) ; В)– ; Г)
5) Вычислите:
ответы: А) 0; Б) ; В) ; Г)
6) Вычислите:
ответы: А) ; Б)1; В) ; Г)
7) Вычислите:
ответы: A) ; Б) ; В) 1; Г) 0
Вариант 3
1) Вычислите
ответы: А) 2; Б) – 10; В) – ; Г)
2) Вычислите:
ответы: А) ; Б) ; В) ; Г) другой ответ
3) Дано:
Вычислите:
ответы: А) –18; Б) 6; В) – 6; Г)
4) Вычислите:
ответы: А) 0; Б) ; В) ; Г) другой ответ
5) Вычислите:
ответы: А) ; Б) 0; В) 3; Г)
6) Вычислите:
ответы: А) 1; Б) ; В) ; Г)
7) Вычислите:
ответы: A) ; Б) ; В) ; Г) 5
Вариант 4
1) Вычислите
ответы: А) 20; Б) 8; В) –10; Г) 10
2) Вычислите:
ответы: А) 3; Б) ; В) ; Г) другой ответ
3) Дано:
Вычислите:
ответы: А) 2; Б) 12; В) ; Г) 4
4) Вычислите:
ответы: А) 0; Б) 4; В) ; Г)
5) Вычислите:
ответы: А) ; Б) ; В) –5; Г) 0
6) Вычислите:
ответы: А) 1; Б) ; В) 0; Г)
7) Вычислите:
ответы: A) ; Б) ; В) 0; Г) 1
Вариант 5
1) Вычислите
ответы: А) 0; Б) 6; В) 18; Г) 9
2) Вычислите:
ответы: А) ; Б) 1; В) 3; Г) –1
3) Дано:
Вычислите:
ответы: А) –2; Б) ; В) 0; Г) –8
4) Вычислите:
ответы: А) 3; Б) ; В) ; Г) другой ответ
5) Вычислите:
ответы: А) 5; Б) ; В) –1; Г) –5
6) Вычислите:
ответы: A) 1; Б) ; В) 2; Г)
7) Вычислите:
ответы: А) ; Б) 0; В) ; Г) другой ответ
Вариант 6
1) Вычислите
ответы: А) 4; Б) –54; В) –24; Г) 26
2) Вычислите:
ответы: А) 6; Б) –4; В) 2; Г) другой ответ
3) Дано:
Вычислите:
ответы: А) –8; Б) 9; В) 0; Г)
4) Вычислите:
ответы: А) ; Б) ; В) 1; Г) –1
5) Вычислите:
ответы: А) ; Б) ; В) 1; Г) другой ответ
6) Вычислите:
ответы: A) 8; Б) 0; В) ; Г) 6
7) Вычислите:
ответы: А) –4; Б) 0; В) 5; Г)
Вариант 7
1) Вычислите
ответы: А) 4; Б) 0; В) 8; Г) –6
2) Вычислите:
ответы: А) 10; Б) 6; В) ; Г) 5
3) Дано:
Вычислите:
ответы: А) 1; Б) ; В) ; Г)
4) Вычислите:
ответы: А) –5; Б) ; В) –2; Г)
5) Вычислите:
ответы: А) ; Б) ; В) ; Г) другой ответ
6) Вычислите:
ответы: A) 1; Б) ; В) 2; Г)
7) Вычислите:
ответы: А) ; Б) 2; В) 4; Г)
Вариант 8
1) Вычислите
ответы: А) –18; Б) 128; В) 30; Г) –22
2) Вычислите:
ответы: А) 0; Б) 11; В) –8; Г) 23
3) Дано:
Вычислите:
ответы: А) –2; Б) 2; В) ; Г) другой ответ
4) Вычислите:
ответы: А) 1; Б) 2; В) ; Г)
5) Вычислите:
ответы: А) 5; Б) ; В) ; Г) 2
6) Вычислите:
ответы: A) 1; Б) 2; В) ; Г)
7) Вычислите:
ответы: А) ; Б) ; В) ; Г)
Ответы:
В-1 | В-2 | В-3 | В-4 | В-5 | В-6 | В-7 | В-8 | |
1 | А | А | А | Б | Б | Б | В | Б |
2 | Б | Б | Б | А | В | А | А | В |
3 | Б | Г | А | Б | Г | Б | Б | А |
4 | А | В | А | А | Б | А | Б | Г |
5 | Б | А | В | А | А | Б | В | А |
6 | Б | А | А | Б | Б | А | В | В |
7 | Б | А | Б | А | В | А | В | Б |
xn--j1ahfl.xn--p1ai
👍👍👍👍👍 Пределы функции – примеры решения задач
Решение задач на пределы
Ключевые слова: пределы функции примеры решения задач
Далее я,преподаватель высшей математике, предложил “игру” порешать несколько простейших примеров на пределы последовательностей. Давайте в такой записи с пределом, который обозначается, как lim (от греческого limit -конечный или предельный), а под этим обозначением lim следует писать куда его устремить. То есть порядковый номер последовательности N устремляем к конкретному натуральному числу. Например, к числу 5 или 115 или 1045. Можно устремить и к бесконечности. Что такое бесконечность, студент Сергей не смог объяснить преподавателю высшей математике. “Ну, это много”-был его ответ. Да, это большой номер последовательности , ну, очень большой.
Например, 100000 или 10000000. Но если последовательность начинается с номера 99999, то номер миллион уже не будет являться бесконечностью. То есть бесконечность это понятие относительное. Преподаватель высшей математике и репетитор по мат анализу говорят: “Если сравнивать 1 с десятью миллионами, то десять миллионов в сравнении с единицей являются бесконечностью”.
Но десять для единицы -не бесконечность.Такое не совсем корректное определение бесконечности , как правило, объясняет суть и студент начинает понимать, что от него хотят. Если внизу под пределом записывают куда устремляют N и пишут стрелку и число, куда предел стремится, то что обозначает запись справа от предела. Например , lim (N+10)/N ?
То есть , что обозначает (N+10)/N ? Интересно для преподавателя высшей математике. Это и есть значение последовательности. Она в данном случае записана , как функция от порядкового номера. Например,Y=(N+10)/N обозначает, что при значениях N=1 значение функции принимает 11, при значениях N=2 значение функции принимает 6, при значениях N=3 значение функции принимает 13/3, и так далее.
Пример 1 . Найти предел последовательности lim (2N+10)/N при N стремящимся к 5. Решение: Предел последовательности lim (2N+10)/N при N стремящимся к 5 равняется 4. Необходимо заменить N на число 5 и найти предел: (2N+10)/N =(2х5+10)/5=4.
Пример 2 . Найти предел последовательности lim (2N+10)/(N+1)при N стремящимся к 2. Решение:
Необходимо заменить N на число 2 и найти предел:(2N+10)/(N+1) =(2х2+10)/(2+1)= =14/3=4,67.
Предел последовательности lim (2N+10)/(N+1)при N стремящимся к 2 равняется 14/3=4,67.
Пример 3 . Найти предел последовательности lim (2N+10)/(N+1)при N стремящимся к 200.
Решение преподавателя по высшей математике :
Необходимо заменить N на число 200 и найти предел:
(2N+10)/(N+1) =(2х200+10)/(200+1)= 410/201=2,04 .
Предел последовательности lim (2N+10)/(N+1)при N стремящимся к 200 равняется 2,04 .
Далее посмотрим зависимость, куда будет стремится предел последовательности Y=lim (2N+10)/(N+1), если увеличивать значение N без ограничения.
Нетрудно найти, что значения такого предела соответственно будут равны:
при N стремящимся к 300 соответственно Y=2,02658
при N стремящимся к 500 соответственно Y(500)=2,01597
при N стремящимся к 800 соответственно Y(800)=2,009987
при N стремящимся к 1000 соответственно Y(1000)=2,00799
при N стремящимся к 2000 соответственно Y(2000)=2,003998
N стремящимся к 10000 соответственно Y(10000)=2,00079992
Можно сделать вывод, что при неограниченном росте N предел Y=lim (2N+10)/(N+1)=2,00000000.
С некоторого числа N много большего 1 значение Y стремиться “сверху” к постоянному значению Y(00)=2,00000000. При чем можно отметить, что с увеличением N разница между Y(N)-2,00000000 стремится к нулю.
Этот пример, данный преподавателем высшей математике, хорошо демонстрирует, что является пределом последовательности.
Запись на первое занятие с репетитором по математическому анализу
uroksite.ru
Задачи с пределами и интегралами
Если на вашем пути к получению заветного образования встал математический анализ, то встречи с пределами и интегралами не избежать, и к этой встрече лучше быть готовым. В конце концов, “предупрежден — значит вооружен”. Здесь вы найдете советы по борьбе c интегралами и пределами, которые могут грозить вам расстройством сна и настроения.
1. Не начавши — думай, а начавши — делай
Начнем с того, что иногда можно выдать ответ, ничего не решая. Достаточно внимательно взглянуть на задание, подумать, и применить некоторые удобные свойства.
Трюк 1.
Если под интегралом стоит нечетная функция , интегрируемая на отрезке :
тогда интеграл на этом отрезке для этой функции равен 0:
Например,
Для четной функции можно использовать четность, чтобы упростить интеграл:
Трюк 2.
Если вам дали предел для дроби, где и знаменатель и числитель представляют собой многочлены одного порядка, то достаточно взглянуть на коэффициенты:
2. Не делай из мухи слона
Подумайте, а стоит ли раздувать проблему. Некоторые задачи решаются “в лоб”. Если вам дан предел, попытайтесь просто подставить число в функцию:
3. Какие труды, такие и плоды
Если вы хотите получать отличный результат, то поучить кое-что все-таки придется. Ни в коем случае, не стоит зубрить список из 200 интегралов и пределов. Однако, базовые интегралы и замечательные пределы выучить придется. Без отличного фундамента сложно построить надежный дом. Базовых интегралов и пределов не так уж и много, не поленитесь выучить их. Большинство интегралов и пределов на вашем пути будут лишь модификациями-мутантами, которые произошли от своих более простых предков. Поэтому, если не хотите остаться у разбитого корыта при сдаче экзамена или контрольных работ, посвятите пару часов на усвоение таких базовых интегралов и пределов как:
4. Играй по правилам
Решая задачи, не забывайте следовать правилам и свойствам, которые вам даны, такие, как:
5. Не изобретай велосипед
Многие умные люди уже придумали очень много фокусов задолго до вас. Пользуйтесь этим.
Например, если решение “в лоб” не помогает, а пристальный взгляд не дает результатов, и у вас неопределенность вида или , то смело применяйте правило Лопиталя:
Иногда удобно пользоваться теоремой «о двух милиционерах» или, как называют ее американцы, правилом сэндвича: если для всех , быть может, лишь за исключением , и , то .
Так, например, если мы рассмотрим следующий предел:
мы можем воспользоваться тем, что , и, следовательно,
Так как , то
6.Научись видеть лес за деревьями
Большинство интегралов можно решить приведением к какому-нибудь простому или стандартному интегралу. И главное — уметь это увидеть и преобразовать интеграл, чтобы получить результат.
Например:
или
Делаем замену :
Ловкость рук (или зрения?) пригодится и при решении пределов.
Для пределов с квадратным корнем, мы можем, например, вспомнить, что , затем умножить и поделить на одно и то же выражение:
7. Терпение, терпение и еще раз терпение…
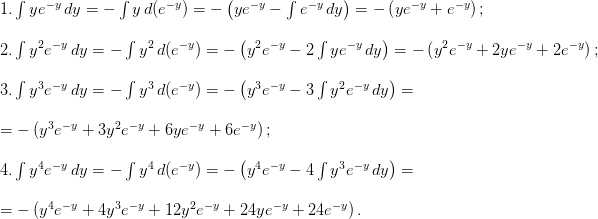
Если вы проходите углубленный курс математического анализа, то вам могут выдать и совсем противные интегралы или пределы. Например:
Как решать? Придется терпеливо применять интегрирование по частям несколько раз:

А теперь остается подставить эти члены, учесть коэффициенты и упростить.
Такие же приключения случаются с пределами, когда приходится «лопиталить до посинения».
Как видите, не так страшны интегралы и пределы, как их описывают. Нужен свежий взгляд, базовые знания, немного смекалки и ловкость рук.
Успехов! И помните, что мы всегда готовы Вам помочь с решением задач по матану! Заявку можно оставить здесь.
reshatel.org
Пример решения задачи по математическому анализу – решение пределов

Добрый день!
В этой статье мы поговорим с Вами о решении задач на нахождение пределов функций. Тема, на наш взгляд, вполне несложная, однако требует от Вас определенных знаний и внимательности.
В общем случае, теория пределов – один из важнейших разделов математики. Зная определенные принципы, нюансы и хитрости, Вы сможете вполне разобраться в решении данных задач.
Существует два основных определения предела функции: на языке последовательностей и на языке ε – δ. Однако, как бы там ни было, сути дела это не меняет и, символически предел функции записывается так:
Как видим выражение предела функции состоит из трех частей:
- значка предел lim
- записи под значком предела, обозначающей то, к чему стремится переменная x
- функции справа от значка предела lim
Так как же все-таки решаются задачи на нахождение предела функций? Рассмотрим несколько примеров.
1) При решении любого предела нужно сделать подстановку x в функцию под знаком предела и попытаться найти предел «сходу».
2) Вы должны уметь решать практически в уме любые простейшие пределы. Например:
3) Решение пределов функций с неопределенностью , когда в числителе и знаменателе находится многочлен, заключается в том, что необходимо разделить числитель и знаменатель на х в старшей степени. Рассмотрим пример:
Далее, согласно нашему алгоритму решения, необходимо разделить на x2 числитель и знаменатель:
В общем случае, при раскрытии неопределенности может получиться ноль, конечное число
или бесконечность.
4) Решение пределов функций с неопределенностью , когда в числителе и знаменателе находится многочлен, заключается в том, что необходимо разложить на множители многочлен в числителе и в знаменателе. Рассмотрим пример:
Далее, согласно нашему алгоритму решения, необходимо разложить числитель и знаменатель на множители:
5) Решение пределов функций с неопределенностью методом умножения числителя и знаменателя на сопряженное числителю или знаменателю выражение. Таким способом, как правило, удается уйти от квадратных корней с неопределенностью и найти искомый результат. Рассмотрим пример:
На предыдущем шаге мы разложили исходный числитель на множители и умножили числитель и знаменатель на выражение в данном случае сопряженное знаменателю. Далее идут простые преобразования:
Видно, что в числителе и знаменателе можно сократить (x+2), в результате получим:
Таким образом, как видите в целом ничего сложного здесь нет и решение примеров на нахождение пределов функций вполне посильная задача.
6) При решении пределов функций также нужно обязательно знать так называемые замечательные пределы.
Первый замечательный предел:
Второй замечательный предел:
Рассмотрим пример на первый замечательный предел:
Как видно, исходный предел похож на первый замечательный предел, но отличается от него коэффициентами перед переменной x. После преобразований приводим исходный предел к первому замечательному пределу и получаем искомый результат.
Рассмотрим пример на второй замечательный предел:
Как видно, исходный предел похож на второй замечательный предел, но отличается от него коэффициентами перед переменной x. После преобразований приводим исходный предел ко второму замечательному пределу и получаем искомый результат.
Желаю вам успехов в решении пределов функций!
Если все же у Вас остались вопросы по выполнению заданий, то Вы можете ознакомиться с общей информацией по решению контрольных работ и задач на заказ на сайте OkZachet.Ru.
С Уважением, Администратор сайта.
okzachet.ru
1.2.8. ПРИМЕРЫ РЕШЕНИЯ ЗАДАЧ ПО ТЕМЕ «Свойства пределов. Замечательные
Задача 1.
Вычислить предел
Указание
Преобразуйте числитель, воспользовавшись формулой
А затем разделите обе части дроби на Х2.
Решение
Преобразуем в числителе разность косинусов в произведение:
Теперь разделим обе части дроби на Х2 и используем 1-й замечательный предел:
Ответ: 4.
Задача 2.
Вычислить предел
Указание
Сделайте замену переменной: T = P – X.
Решение
Сделаем замену переменной: T = P – X. Тогда, используя периодичность тригонометрических функций и формулы приведения, получим:
Подставим эти результаты в выражение, стоящее под знаком предела:
Ответ: -1.
Задача 3.
Вычислить предел
Указание
Домножьте числитель и знаменатель на выражение, сопряженное числителю (то есть на сумму соответствующих корней), а в знаменателе примените формулу приведения.
Решение

Ответ:
Задача 4.
Вычислить предел
Указание
Преобразуйте функцию к виду
Где
Решение
Ответ: Е8.
Задача 5.
Вычислить предел
Указание
Воспользуйтесь следствием из 2-го замечательного предела:
Решение
Умножим обе части дроби на sin12X:
Ответ: 3.
Задача 6.
Вычислить предел
Указание
Воспользуйтесь следствием из 2-го замечательного предела:
Решение
Вынесем за скобки в числителе Ех и разделим обе части дроби на Х:
Ответ:
Задача 7.
Вычислить предел
Указание
Преобразуйте функцию к виду
Где
Решение

Ответ:
Задача 8.
Вычислить предел
Указание
Сделайте замену переменной
И воспользуйтесь следствием из 2-го замечательного предела:
Решение
Сделаем замену переменной
Тогда
Подставляя в первоначальное выражение, получаем:
Ответ:
| < Предыдущая | Следующая > |
|---|
matica.org.ua
