Похідна функції, як знайти похідну функції
Означення: Похідною функції в точці називається границя відношення приросту функції в точці до приросту аргументу, коли приріст аргументу прямує до нуля (можна позначити або )
Операція знаходження похідної називається диференціюванням
Поняття приросту аргументу і функції
Приріст аргументу
Приріст функції
Похідні елементарних функцій
Похідні елементарних функцій знаходяться за допомогою таблиці:
Всі похідні елементарних функцій можна знайти тут!
Складена функція. Як знайти складену функцію
Похідна суми (різниці) двох функцій, кожна з яких має похідну, дорівнює сумі (різниці) похідних цих функцій:
Похідна добутку двох функцій, кожна з яких має похідну, дорівнює сумі добутків кожної функції на похідну другої функції:
Похідну частки частки двох функцій f(x) і g(x), кожна з яких має похідну і g(x)≠0, знаходять за формулою
Сталий множник можна виносити за знак похідної:
Наведені формули називають правилами диференціювання.
Геометричний зміст похідної
Дотичною до кривої в даній точці називається граничне положення січної , коли точка наближається вздовж кривої до точки
— кутовий коефіцієнт дотичної
Рівняння дотичної до графіка функції в точці з абцисою
Значення похідної в точці дорівнює кутовому коефіцієнту дотичної до графіка функції в точці з абцисою і дорівнює тангенсу кута нахилу цієї дотичної до осі
Фізичний зміст похідної
— залежність пройденого шляху від часу
— швидкість прямолінійного руху
— прискорення прямолінійного руху
cubens.com
Знаходження похідної функції
ТЕМА УРОКУ: Похідні елементарних функцій
МЕТА УРОКУ: формування знань учнів про похідну сталої функції, степеневої функції з цілим показником, тригонометричних функцій.
І Перевірка домашнього завдання
1. Три учні відтворюють розв’язування вправ № 1 (1,2), 2.
1)
==2)
Рівняння шуканої дотичної у – у0 =
. Оскільки х0 = 1, у = х2 , то іОтже, у – 1 = 2 (х -1) або у = 2х – 1.
2. Фронтальна бесіда за запитаннями №№ 11 – 17 із Запитання і завдання до розділу VII.
II . Сприймання і усвідомлення знань про похідну сталої функції, степеневої функції з цілим показником
На попередньому уроці ми довели, що похідна лінійної функції у =
дорівнює , тобто .Якщо покласти
, де С – довільна постійна, то одержимо, що тобто похідна постійної функції дорівнює 0.Якщо у формулі
покласти, то одержимоЗнайдемо похідну цієї функції, для цього зафіксуємо значення аргумента х0 і надамо йому приросту
, тоді:1)
2)
(Скориставшись формулою
3)
Звідси
Розглянемо функцію у = хn-1 , де
.Знайдемо похідну цієї функції, для цього зафіксуємо значення аргумента х0 і надамо йому приросту
, тоді1)
2)
3) =
Отже,
, де .Таким чином виконується рівність:
Виконання вправ
1. Знайдіть похідну функції:
а) у = х6 ; б) у = х8 ; в) у = х2
; г) .Відповідь: а) 6х5 ; б) 8х7 ; в) 7х6 ; г) 6х5 .
2. Знайдіть похідні функцій:
а) у = х-10 ; б) у = х2
; в) ; г).Відповідь: а) -10х-11 ; б) -3х-4 ; в) -6х-7 ; г) -6х-7 .
ІІІ. Сприймання і усвідомлення знань про похідну тригонометричних функцій
Знайдемо похідну функції у=
. Зафіксуємо х0 і надамо аргументу приросту , тоді:1)
2)
3)
Отже
Аналогічно можна довести, що
Знайдемо похідну функції
.Зафіксуємо х0 і надамо аргументу приросту
, тоді: . .Отже,
Аналогічно можна довести, що
Виконання вправ № 1 (3), 5 із підручника.
VI . Підведення підсумків уроку
Провести підведення підсумків уроку з використанням таблиці 4 похідних.
Таблиця
Таблиця похідних
V . Домашнє завдання
Розділ VІІ § 3. запитання і завдання для повторення розділу VІІ № 19 – 22. вправа №4 (2, 4).
ТЕМА УРОКУ: Теореми про похідну суми, добутку і частки функцій
МЕТА УРОКУ: Вивчення теореми про похідні суми, добутку і частки функцій, формування умінь учнів у знаходження похідних.
І. Перевірка домашнього завдання
1. Усне розв’язування вправ.
1) Знайдіть похідні функцій
а) у – х10 ; б)
; в) ; г) .Відповідь: а) 10х9 ; б) -9х-10 ; в) -4х-5 ;ё г) 3х2 .
2) Знайдіть похідні функцій:
а)
в точці ; б) в точці ;в)
в точці ; г) в точці .Відповідь: а) 0; б)
; в) 4; г) -1.2. Відповісти на запитання, що виникли у учнів під час виконання домашніх вправ.
ІІ. Сприймання і усвідомлення теореми про похідну суми функції
або коротко говорять: похідна суми дорівнює сумі похідних.
Доведення
Розглянемо функцію
у = f(x) + g(x).Зафіксуємо х0 і надамо аргументу приросту
. Тоді , .Отже,
.mirznanii.com
Застосування похідної до дослідження функції
Монотонність і сталість функції
Достатня умова зростання функції
Якщо в кожній точці інтервалу , то функція зростає на цьому інтервалі
Достатня умова спадання функції
Якщо в кожній точці інтервалу , то функція спадає на цьому інтервалі
Зауваження. Ці умови є лише достатніми, але не є необхідними умовами зростання і спадання функції
Необхідна і достатня умова сталості функції
Функція є сталою на інтервалі тоді і тільки тоді, коли в усіх точках уього інтервалу
Екстремуми (максимуми і мінімуми) функції
Точка максимуму
Означення: Точка з області визначення функції називається точкою максимуму цієї функції, якщо знайдеться – окіл точки , такий, що для всіх з цього околу виконується нерівність
— точка максимуму
— максимум
Точка мінімуму
Означення: Точка з області визначення функції називається
— точка мінімуму
— мінімум
Критичні точки
Означення: Внутрішні точки області визначення функції, в яких похідна функції дорівнює нулю або не існує, називаються критичними
Необхідна умова екстремуму
— точка екстремуму або — не існує
(але не в кожній точці , де або не існує, буде екстремум!)
Достатня умова екстремуму
у точці знак змінюється з на — точка максимуму
у точці знак змінюється з на — точка мінімуму
Приклад графіка функції , що має екстремуми
— критичні точки

Дослідження функції на монотонність і екстремуми
Приклад.
Область визначення:
Функція неперервна в кожній точці своєї області визначення
існує на всій області визначення
при
зростає при і при
спадає при
Точки екстремуму:
Екстремуми:
- Знайти область визначення і інтервали, на яких функція неперервна
- Знайти похідну
- Знайти критичні точки, тобто внутрішні точки області визначення, в яких або не існує
- Позначити критичні точки на області визначення, знайти знак похідної і характер поведінки функції на кожному інтервалі, на які розбивається область визначення
- Відносно кожної критичної точки визначити, чи є вона точкою максимуму або мінімуму, чи не є точкою екстремуму
- Записати потріний результат дослідження (проміжки монотонності і екстремуми)
Найбільше і найменше значення функції, неперервної на відрізку
Властивість: Якщо функція неперервна на відрізку і має на ньому скінченне число критичних точок, то вона набуває свого найбільшого і найменшого значення на цьому відрізку або в критичних точках, які належать цьому відрізку, або на кінцях відрізка
Знаходження найбільшого і найменшого значення функції, неперервної на відрізку
Приклад. при
при і при
Заданому відрізку належить лише критична точка
- Знайти похідну
- Знайти критичні точки ( або не існує)
- Вибрати критичні точки, які належать заданому відрізку
- Обчислити значення функції в критичних точках і на кінцях відрізку
- Порівняти одержані значення і вибрати з них найменше і найбільше
cubens.com
Знайти похідні за формулами диференціювання
Для практичного ознайомлення з таблицею основних формул диференціювання розглянемо популярні варіанти завдань на похідні.
Приклад 1. Обчислити похідні функцій
1)
Розв’язок. За формулами диференціювання (1), (3), (9) знаходимо похідну полінома
Похідна від сталої рівна нулю. Це правило найлегше, тому запам’ятайте його в числі перших.
2)
Розв’язок. Вводимо дробові та від’ємні степені, та перетворюємо задану функцію до вигляду
Використовуючи формули (3), (4), (9), знаходимо похідні
Вкінці записуємо результат через корені.
3)
Розв’язок. Похідну дробової функції знаходимо за правилом похыдної частки
Обчислення не складні – в результататі диференціювання отримаємо різницю простих дробів 1 та 2 типу.
4)
Розв’язок. Похідну кореневої залежності шукаємо за правилом складної функції
При роботі з дробовими показниками будьте уважні!
5)
Розв’язок. Похідну від добутку кореня на поліном знаходимо за правилом добутку функцій та формулою похідної від складної функції. В результаті отримаємо наступні перетворення
Записів багатенько, проте на практиці буде не легше, тож вивчайте правили диференціювання.
6)
Розв’язок. За формулою похідної від складної функції отримаємо
Останній вираз можете спростити, підсумувавши показники змінної.
7)
Розв’язок. Багато студентів, які ще добре не знають правил, спочатку підносять до квадрату вираз в дужках, а потім проводять диференціювання. Це неправильно, довго і важко. Скориставшись правилом диференціювання складної функції, отримаємо похідну від квадрату домножену на похідну кубічної функції
Якщо Ви будете підносити до квадрату, а потім диференціювати то отримаєте многочлен, який ще треба буде зводити до компактного вигляду. Результат буде правильний, але навіщо йти складним шляхом, якщо за нас вже давно придумали правила диференціювання, які спрощують обчислення. Вивчайте їх та користуйтеся на практиці.
yukhym.com
Знаходження похідних вищих порядків
Під похідною вищих порядків розуміють диференціювання функції більше ніж один раз. Якщо похідну y'(x) повторно диференціювати, то одержимо похідну другого порядку, або другу похідну функції y=f(x), і вона позначається
Похідна третього порядку матиме запис
Аналагічно отримують формули для знаходження похідних вищих порядків. При знаходженні похідної (n+1) порядку необхідно знати похідну n-го порядку. Вийняток становлять функції, для яких можна помітити закономірність зміни похідних. Це степеневі, деякі тригонометричні та експоненціальні функції:
В інших випадках, для знаходження похідних вищих порядків від заданої функції потрібно послідовно знаходити всі її похідні нижчих порядків. Для практичного вивчення матеріалу розглянемо приклади.
Приклад 1. Обчислити похідні другого порядку
1)
Розв’язок. За правилами диференціювання параметричних функцій маємо
Застосуємо до заданої функції. Знайдемо похідну y’
Диференціюємо функцію повторно. За правилом диференціювання отримаємо
За формулою обчисюємо y”
Вивчайте формулу другої похідної, вона не така очевидна для параметричної функції, але іншої немає.
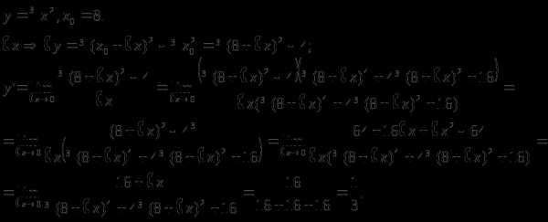
2)
Розв’язок. Визначаємо першу похідну для кореневої функції
Обчислюємо другу похідну за правилом похідної частки
Ящо пи обчисленні Ви отримаи вираз другої похідної через першу, то потрібно замість першої підставити її значення. Добре перегляньте як тут спростиася підстанова першої похідної.
3)
Розв’язок. Обчислимо першу похідну поліному
а потім другу
При знаходженні похідної другого і вищих порядків для даного прикладу і йому подібних можна користуватися наступним правилами:
(1) якщо степінь функції менший порядку похідної k, то даний доданок вкладу не дає
(2) всі старші степені дають вклад
За такою схемою другу похідну можна було знайти за один прохід
Для практики другий спосіб ефективніший, особливо якщо потрібно знайти похідні набагато вищих порядків ніж другий.
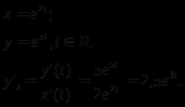
4)y=e3x
Розв’язок. Похідна функції першого порядку матиме вигляд
Повторне диференціювання експоненти множником винесе степінь
По аналогії можна вивести формулу похідної експоненціальної функції k-го порядку
Розв’язуючи приклади для синус і косинус функцій можна замітити подібність при обчисленні старших похідних і вивести наступні залежності
Користуйтеся формулами і нехай не виникає проблем з похідними вищих порядків.
yukhym.com
Задачі на використання похідної
Вправа №2(5)
З
гідно з означенням знайти похідну функції f(x) у точці х0, якщо
Вправа №3(2)
Довести, що функція f(x) у точці х0 не має похідної, якщо
Надамо а
ргументу приросту x, тоді:
Вправа №6(4)
Знайти похідну функції:
В
права №6(8)

Вправа №7(2)
Знайти похідну функції
В
права №8(1)
Знайти похідну функції
В
права №8(4)
Знайти похідну функції
В
права №9(3)
Знайти похідну функції
В
права №11(2)
Знайти похідну функції
В
права №12(1)
Знайти похідну функції
Вправа №12(3)
Знайти похідну функції
В
права №13(3)
Знайти похідну функції
В
права №14(2)
Знайти похідну функції
В
права №14(5)
Знайти похідну функції
В
права №15(2)
Знайти похідну функції
Вправа №15(3)
Знайти похідну функції
В
права №17(2)
Знайти похідну функції
В
права №17(3)
Знайти похідну функції
В
права № 19(4)
Знайти похідну y’ для функції y=y(x),заданої параметрично.
В
права №19(6)
Знайти похідну для функції, заданої параметрично.
В
права №20(4)
Знайти похідну для диференційованої функції, заданої неявно рівнянням:
Р
озв”язок:
В
права №21(1)
Знайти для функції ліву і праву похідні в точці х0.
В
права №21(3)
Знайти для функції ліву і праву похідні в точці х0.
Вправа №1(3)
На підставі означення, знайти похідну функції в точці х0, якщо:

Інститут міжнародних відносин
Київського державного університету імені Т.Шевченка
Домашня робота з математики
На тему:
Похідна функції.
Правила диференціювання.
ua-referat.com
Часткові похідні першого та другого порядку
Завдання на часткові похідні розв’язують студенти на1, 2 курсі навчання. Такі приклади задають і заочникам і студентам стаціонарної форми. Початкові прилади досить прості, однак на контрольній та тестах попадають складні приклади на обчислення часткових похідних. Все залежить від складності функції – поліноми та прості тригонометричні функції піддаються диференціюванню без значних труднощів, а от дробово-раціональні функції, комбінації раціональних та показникових вимагають більшої уваги та часу для знаходження похідних. Схема обчислень похідної від функції 2 змінних достатньо проста – змінну по якій не диференціюють вважають константою при обчисленні і першої, і другої похідної. На практиці це виглядає наступним чином.
Приклад 1. Знайти часткові похідні й повний диференціал першого порядку функції
в точці N(1;2) при заданому аргументі : delta[x]=0,03; delta[y]=-0,02
Розв’язання: Знайдемо часткові похідні першого порядку від заданої функції двох змінних:
В точці N(1;2) обчислюємо часткові похідні рівні
Повний диференціал знайдемо за формою
Із обчислень бачимо, що знайти повний диференціал функції під силу кожному.
Приклад 2. Знайти часткові похідні другого порядку функції
Розв’язання: Обчислюємо часткові похідні першого порядку від заданої функції двох змінних:
Далі повторним диференціюванням по кожній із двох змінних знаходимо часткові похідні другого порядку.
Друга похідна по “ікс” прийме значення
Друга похідна по “ігрику”
Друга похідна по “ікс ігрик”
При обчисленні похідних використовували правило похідної частки функцій.
Приклад 3. Обчислити часткові похідні другого порядку функції
Розв’язання: Знаходимо часткові похідні першого порядку від квадрату синус функції від двох змінних:
Тут спростили вираз за формулою подвійного кута.
Повторним застосуванням похідної знаходимо часткові похідні другого порядку
Це і є відповіддю до задачі.
Приклад 4. Дослідити на екстремум функцію двох змінних
Розв’язання: Знайдемо критичні точки функції. Для цього обчислюємо часткові похідні першого порядку
та прирівнюємо їх до нуля. В результаті отримаємо систему двох рівнянь, яку і розв’язуємо
Критична точка із системи рівнянь рівна (0;-2).
Щоб встановити, чи функція в критичній точці набуває максимуму чи мінімуму слід знайти похідні другого порядку в критичній точці
і визначити характер критичної точки зі знаку
Оскільки A>0 та параметр A*C-B*B>0 більший нуля, то функція має мінімум в знайденій точці. Знайдемо значення функції в точці мінімуму
Графік функції двох змінних в околі точки мінімуму має вигляд
Такого роду приклади на часткові похідні зустрічаються на першому другому курсі навчання математичних дисциплін. Якщо Вам не під силу знайти часткові похідні функції першого та другого порядку, в навчанні зустрічаються складні функції, або навчаєтеся заочно тоді звертайтеся до нас. Через форму зворотнього зв’язку Ви завжди можете замовити у нас тести чи контрольну. Пам’ятайте, що наш сервіс працює для того, щоб полегшити Вам навчання!
yukhym.com
