3.17. ΠΠ°ΠΊΠΎΠ½ ΡΠ»Π΅ΠΊΡΡΠΎΠΌΠ°Π³Π½ΠΈΡΠ½ΠΎΠΉ ΠΈΠ½Π΄ΡΠΊΡΠΈΠΈ
10
ΠΠ»Π΅ΠΊΡΡΠΈΡΠ΅ΡΡΠ²ΠΎ ΠΈ ΠΌΠ°Π³Π½Π΅ΡΠΈΠ·ΠΌ Π.Π€. Π¨Π΅ΠΌΡΠΊΠΎΠ²ΠΠ΅ΠΊΡΠΈΡ 14
Π―Π²Π»Π΅Π½ΠΈΠ΅ ΡΠ»Π΅ΠΊΡΡΠΎΠΌΠ°Π³Π½ΠΈΡΠ½ΠΎΠΉ ΠΈΠ½Π΄ΡΠΊΡΠΈΠΈ ΠΎΡΠΊΡΡΡΠΎ Π€Π°ΡΠ°Π΄Π΅Π΅ΠΌ Π² 1831 Π³.
ΠΡΠΈ
ΠΈΠ·ΠΌΠ΅Π½Π΅Π½ΠΈΠΈ ΠΌΠ°Π³Π½ΠΈΡΠ½ΠΎΠ³ΠΎ ΠΏΠΎΡΠΎΠΊΠ°, ΠΏΡΠΎΠ½ΠΈΠ·ΡΠ²Π°ΡΡΠ΅Π³ΠΎ
Π·Π°ΠΌΠΊΠ½ΡΡΡΠΉ ΠΏΡΠΎΠ²ΠΎΠ΄ΡΡΠΈΠΉ ΠΊΠΎΠ½ΡΡΡ, Π² Π½Π΅ΠΌ
Π²ΠΎΠ·Π½ΠΈΠΊΠ°Π΅Ρ ΠΈΠ½Π΄ΡΠΊΡΠΈΠΎΠ½Π½ΡΠΉ ΡΠΎΠΊ. ΠΠ°Π»ΠΈΡΠΈΠ΅
ΠΈΠ½Π΄ΡΠΊΡΠΈΠΎΠ½Π½ΠΎΠ³ΠΎ ΡΠΎΠΊΠ° i
Π²ΡΠ·Π²Π°Π½ΠΎ ΠΏΠΎΡΠ²Π»Π΅Π½ΠΈΠ΅ΠΌ Π² ΠΊΠΎΠ½ΡΡΡΠ΅ ΠΠΠ‘ ΠΈΠ½Π΄ΡΠΊΡΠΈΠΈ i.
ΠΡΠΈ ΡΡΠΎΠΌ ΠΠΠ‘ ΠΈΠ½Π΄ΡΠΊΡΠΈΠΈ Π½Π΅ Π·Π°Π²ΠΈΡΠΈΡ ΠΎΡ
ΡΠΎΠ³ΠΎ, ΠΊΠ°ΠΊΠΈΠΌ ΠΎΠ±ΡΠ°Π·ΠΎΠΌ ΠΏΡΠΎΠΈΡΡ
ΠΎΠ΄ΠΈΡ ΠΈΠ·ΠΌΠ΅Π½Π΅Π½ΠΈΠ΅
ΠΌΠ°Π³Π½ΠΈΡΠ½ΠΎΠ³ΠΎ ΠΏΠΎΡΠΎΠΊΠ°, Π° ΠΎΠΏΡΠ΅Π΄Π΅Π»ΡΠ΅ΡΡΡ Π»ΠΈΡΡ
ΡΠΊΠΎΡΠΎΡΡΡΡ Π΅Π³ΠΎ ΠΈΠ·ΠΌΠ΅Π½Π΅Π½ΠΈΡ
.
ΠΠ°ΠΊΠΎΠ½ ΡΠ»Π΅ΠΊΡΡΠΎΠΌΠ°Π³Π½ΠΈΡΠ½ΠΎΠΉ ΠΈΠ½Π΄ΡΠΊΡΠΈΠΈ
Π·Π°ΠΏΠΈΡΡΠ²Π°ΡΡ Π² Π²ΠΈΠ΄Π΅
i = 
Π³Π΄Π΅ Β«οΒ» Π² ΡΡΠΎΠΌ ΡΡΠ°Π²Π½Π΅Π½ΠΈΠΈ ΡΠ²ΡΠ·Π°Π½ ΡΠΎ Π·Π½Π°ΠΊΠΎΠΌ ΠΌΠ°Π³Π½ΠΈΡΠ½ΠΎΠ³ΠΎ ΠΏΠΎΡΠΎΠΊΠ° ΠΈ Π·Π½Π°ΠΊΠΎΠΌ ΠΠΠ‘ ΠΈΠ½Π΄ΡΠΊΡΠΈΠΈ (ΡΠΈΡ. 3.24,Π°, Π±).

Π ΠΈΡ. 3.24
ΠΠ½Π°ΠΊ ΠΌΠ°Π³Π½ΠΈΡΠ½ΠΎΠ³ΠΎ ΠΏΠΎΡΠΎΠΊΠ° ΡΠ²ΡΠ·Π°Π½ Ρ Π²ΡΠ±ΠΎΡΠΎΠΌ Π½ΠΎΡΠΌΠ°Π»ΠΈ
ΠΊ ΠΏΠΎΠ²Π΅ΡΡ
Π½ΠΎΡΡΠΈS,
ΠΎΠ³ΡΠ°Π½ΠΈΡΠ΅Π½Π½ΠΎΠΉ ΡΠ°ΡΡΠΌΠ°ΡΡΠΈΠ²Π°Π΅ΠΌΡΠΌ ΠΊΠΎΠ½ΡΡΡΠΎΠΌ.
ΠΠ½Π°ΠΊ ΠΠΠ‘ ΠΈΠ½Π΄ΡΠΊΡΠΈΠΈ ο
Ρ Π²ΡΠ±ΠΎΡΠΎΠΌ ΠΏΠΎΠ»ΠΎΠΆΠΈΡΠ΅Π»ΡΠ½ΠΎΠ³ΠΎ Π½Π°ΠΏΡΠ°Π²Π»Π΅Π½ΠΈΡ
ΠΎΠ±Ρ
ΠΎΠ΄Π° ΠΏΠΎ ΠΊΠΎΠ½ΡΡΡΡ. ΠΠ°ΠΏΡΠ°Π²Π»Π΅Π½ΠΈΠ΅ Π½ΠΎΡΠΌΠ°Π»ΠΈ
ΠΊ ΠΏΠΎΠ²Π΅ΡΡ
Π½ΠΎΡΡΠΈS
ΠΈ ΠΏΠΎΠ»ΠΎΠΆΠΈΡΠ΅Π»ΡΠ½ΠΎΠ΅ Π½Π°ΠΏΡΠ°Π²Π»Π΅Π½ΠΈΠ΅ ΠΎΠ±Ρ
ΠΎΠ΄Π°
ΠΊΠΎΠ½ΡΡΡΠ° ΡΠ²ΡΠ·Π°Π½Ρ ΠΏΡΠ°Π²ΠΈΠ»ΠΎΠΌ ΠΏΡΠ°Π²ΠΎΠ³ΠΎ Π²ΠΈΠ½ΡΠ°,
ΠΏΠΎΡΡΠΎΠΌΡ
ΠΈΠΌΠ΅ΡΡ ΡΠ°Π·Π½ΡΠ΅ Π·Π½Π°ΠΊΠΈ. 
Π ΠΈΡ. 3.25
ΠΠ°ΠΏΡΠ°Π²Π»Π΅Π½ΠΈΠ΅ ΠΈΠ½Π΄ΡΠΊΡΠΈΠΎΠ½Π½ΠΎΠ³ΠΎ ΡΠΎΠΊΠ° (Π·Π½Π°ΠΊ ΠΠΠ‘ ΠΈΠ½Π΄ΡΠΊΡΠΈΠΈ) ΠΎΠΏΡΠ΅Π΄Π΅Π»ΡΠ΅ΡΡΡ ΠΏΡΠ°Π²ΠΈΠ»ΠΎΠΌ ΠΠ΅Π½ΡΠ°:ΠΠ½Π΄ΡΠΊΡΠΈΠΎΠ½Π½ΡΠΉ ΡΠΎΠΊ ΠΈΠΌΠ΅Π΅Ρ ΡΠ°ΠΊΠΎΠ΅ Π½Π°ΠΏΡΠ°Π²Π»Π΅Π½ΠΈΠ΅, ΡΡΠΎ ΡΠΎΠ·Π΄Π°Π½Π½ΠΎΠ΅ ΠΈΠΌ ΠΌΠ°Π³Π½ΠΈΡΠ½ΠΎΠ΅ ΠΏΠΎΠ»Π΅ ΠΏΡΠΎΡΠΈΠ²ΠΎΠ΄Π΅ΠΉΡΡΠ²ΡΠ΅Ρ ΠΏΡΠΈΡΠΈΠ½Π΅, Π΅Π³ΠΎ Π²ΡΠ·ΡΠ²Π°ΡΡΠ΅ΠΉ.
ΠΠ΅ΠΉΡΡΠ²ΠΈΡΠ΅Π»ΡΠ½ΠΎ, ΠΈΠ½Π΄ΡΠΊΡΠΈΠΎΠ½Π½ΡΠΉ ΡΠΎΠΊ Π² ΠΊΠΎΠ½ΡΡΡΠ΅ ΡΠΎΠ·Π΄Π°Π΅Ρ ΡΠΎΠ±ΡΡΠ²Π΅Π½Π½ΠΎΠ΅ ΠΌΠ°Π³Π½ΠΈΡΠ½ΠΎΠ΅ ΠΏΠΎΠ»Π΅, ΠΊΠΎΡΠΎΡΠΎΠ΅ ΠΏΡΠ΅ΠΏΡΡΡΡΠ²ΡΠ΅Ρ ΠΈΠ·ΠΌΠ΅Π½Π΅Π½ΠΈΡ Π²Π½Π΅ΡΠ½Π΅Π³ΠΎ ΠΌΠ°Π³Π½ΠΈΡΠ½ΠΎΠ³ΠΎ ΠΏΠΎΡΠΎΠΊΠ°, Π²ΡΠ·ΡΠ²Π°ΡΡΠ΅Π³ΠΎ ΠΠΠ‘ ΠΈΠ½Π΄ΡΠΊΡΠΈΠΈ (ΡΠΈΡ. 3.25, Π°, Π±).
ΠΡΠ»ΠΈ, Π½Π°ΠΏΡΠΈΠΌΠ΅Ρ, ΠΏΠΎΡΡΠΎΡΠ½Π½ΡΠΉ ΠΌΠ°Π³Π½ΠΈΡ ΠΏΡΠΈΠ±Π»ΠΈΠΆΠ°ΡΡ ΡΠ΅Π²Π΅ΡΠ½ΡΠΌ ΠΌΠ°Π³Π½ΠΈΡΠ½ΡΠΌ ΠΏΠΎΠ»ΡΡΠΎΠΌ ΠΊ Π²ΠΈΡΠΊΠ°ΠΌ ΠΊΠ°ΡΡΡΠΊΠΈ, Π·Π°ΠΌΠΊΠ½ΡΡΠΎΠΉ Π½Π° Π³Π°Π»ΡΠ²Π°Π½ΠΎΠΌΠ΅ΡΡ, ΡΠΎ Π² ΠΊΠΎΠ½ΡΡΡΠ΅ Π²ΠΎΠ·Π½ΠΈΠΊΠ°Π΅Ρ ΠΈΠ½Π΄ΡΠΊΡΠΈΠΎΠ½Π½ΡΠΉ ΡΠΎΠΊ, ΡΠ°ΠΊΠΎΠ³ΠΎ Π½Π°ΠΏΡΠ°Π²Π»Π΅Π½ΠΈΡ (ΡΡΡΠ΅Π»ΠΊΠ° Π³Π°Π»ΡΠ²Π°Π½ΠΎΠΌΠ΅ΡΡΠ° ΠΎΡΠΊΠ»ΠΎΠ½ΡΠ΅ΡΡΡ Π²Π»Π΅Π²ΠΎ), ΡΡΠΎ ΡΠΎΠ·Π΄Π°Π½Π½ΠΎΠ΅ ΠΈΠΌ ΠΌΠ°Π³Π½ΠΈΡΠ½ΠΎΠ΅ ΠΏΠΎΠ»Π΅ Π±ΡΠ΄Π΅Ρ Π½Π°ΠΏΡΠ°Π²Π»Π΅Π½ΠΎ Π½Π°Π²ΡΡΡΠ΅ΡΡ Π½Π°ΡΠ°ΡΡΠ°ΡΡΠ΅ΠΌΡ ΠΌΠ°Π³Π½ΠΈΡΠ½ΠΎΠΌΡ ΠΏΠΎΡΠΎΠΊΡ, ΡΡΡΠ΅ΠΌΡΡΡ Π΅Π³ΠΎ ΡΠΌΠ΅Π½ΡΡΠΈΡΡ (ΡΠΈΡ. 3.25,
ΠΡΠ»ΠΈ ΠΆΠ΅ ΠΌΠ°Π³Π½ΠΈΡ ΡΠ΄Π°Π»ΡΡΡ ΠΎΡ ΠΊΠ°ΡΡΡΠΊΠΈ ΡΠ΅Π²Π΅ΡΠ½ΡΠΌ ΠΌΠ°Π³Π½ΠΈΡΠ½ΡΠΌ ΠΏΠΎΠ»ΡΡΠΎΠΌ, ΡΠΎ Π²ΠΎΠ·Π½ΠΈΠΊΠ°Π΅Ρ ΠΈΠ½Π΄ΡΠΊΡΠΈΠΎΠ½Π½ΡΠΉ ΡΠΎΠΊ ΠΏΡΠΎΡΠΈΠ²ΠΎΠΏΠΎΠ»ΠΎΠΆΠ½ΠΎΠ³ΠΎ Π½Π°ΠΏΡΠ°Π²Π»Π΅Π½ΠΈΡ (ΡΡΡΠ΅Π»ΠΊΠ° Π³Π°Π»ΡΠ²Π°Π½ΠΎΠΌΠ΅ΡΡΠ° ΠΎΡΠΊΠ»ΠΎΠ½ΡΠ΅ΡΡΡ Π²ΠΏΡΠ°Π²ΠΎ) ΠΈ ΡΠΎΠ·Π΄Π°Π½Π½ΠΎΠ΅ ΠΈΠΌ ΠΌΠ°Π³Π½ΠΈΡΠ½ΠΎΠ΅ ΠΏΠΎΠ»Π΅ Π±ΡΠ΄Π΅Ρ Π½Π°ΠΏΡΠ°Π²Π»Π΅Π½ΠΎ Π² ΡΡΠΎΡΠΎΠ½Ρ ΡΠ±ΡΠ²Π°ΡΡΠ΅Π³ΠΎ ΠΌΠ°Π³Π½ΠΈΡΠ½ΠΎΠ³ΠΎ ΠΏΠΎΡΠΎΠΊΠ°, ΡΡΡΠ΅ΠΌΡΡΡ Π·Π°ΠΌΠ΅Π΄Π»ΠΈΡΡ Π΅Π³ΠΎ ΡΠΌΠ΅Π½ΡΡΠ΅Π½ΠΈΠ΅ (ΡΠΈΡ. 3.25, Π±).
Π ΡΠ°ΡΡΠΌΠΎΡΡΠ΅Π½Π½ΠΎΠΌ Π²ΡΡΠ΅ ΠΏΡΠΈΠΌΠ΅ΡΠ΅ ΠΊΠΎΠ½ΡΡΡ ΠΏΠΎΠΊΠΎΠΈΠ»ΡΡ, Π΅Π³ΠΎ Π²ΠΈΡΠΊΠΈ ΠΏΡΠΎΠ½ΠΈΠ·ΡΠ²Π°Π»ΠΈ ΡΠΈΠ»ΠΎΠ²ΡΠ΅ Π»ΠΈΠ½ΠΈΠΈ ΠΏΠ΅ΡΠ΅ΠΌΠ΅Π½Π½ΠΎΠ³ΠΎ ΠΌΠ°Π³Π½ΠΈΡΠ½ΠΎΠ³ΠΎ ΠΏΠΎΠ»Ρ ΠΏΠΎΡΡΠΎΡΠ½Π½ΠΎΠ³ΠΎ ΠΌΠ°Π³Π½ΠΈΡΠ°.
Π ΡΡΠΎΠΌ ΡΠ»ΡΡΠ°Π΅ Π²ΠΎΠ·Π½ΠΈΠΊΠ½ΠΎΠ²Π΅Π½ΠΈΠ΅ ΠΈΠ½Π΄ΡΠΊΡΠΈΠΎΠ½Π½ΠΎΠ³ΠΎ ΡΠΎΠΊΠ° ΡΠ²ΠΈΠ΄Π΅ΡΠ΅Π»ΡΡΡΠ²ΡΠ΅Ρ ΠΎ ΡΠΎΠΌ, ΡΡΠΎ ΠΈΠ·ΠΌΠ΅Π½ΡΡΡΠ΅Π΅ΡΡ ΠΌΠ°Π³Π½ΠΈΡΠ½ΠΎΠ΅ ΠΏΠΎΠ»Π΅ Π²ΡΠ·ΡΠ²Π°Π΅Ρ Π² ΠΊΠΎΠ½ΡΡΡΠ΅ ΠΏΠΎΡΠ²Π»Π΅Π½ΠΈΠ΅ ΡΡΠΎΡΠΎΠ½Π½ΠΈΡ ΡΠΈΠ». Π―ΡΠ½ΠΎ, ΡΡΠΎ ΡΡΠΎ Π½Π΅ ΠΌΠ°Π³Π½ΠΈΡΠ½ΡΠ΅ ΡΠΈΠ»Ρ, Ρ. ΠΊ. ΠΏΡΠΈΠ²Π΅ΡΡΠΈ Π² Π΄Π²ΠΈΠΆΠ΅Π½ΠΈΠ΅ ΠΏΠΎΠΊΠΎΠΈΠ²ΡΠΈΠ΅ΡΡ Π·Π°ΡΡΠ΄Ρ (v = 0) ΠΎΠ½ΠΈ Π½Π΅ ΠΌΠΎΠ³ΡΡ.
ΠΠΎ
Π΄ΡΡΠ³ΠΈΡ
ΡΠΈΠ», ΠΊΡΠΎΠΌΠ΅ ΡΠΈΠ»Ρ 
Π‘Π»Π΅Π΄ΠΎΠ²Π°ΡΠ΅Π»ΡΠ½ΠΎ,
ΠΈΠ½Π΄ΡΠΊΡΠΈΠΎΠ½Π½ΡΠΉ ΡΠΎΠΊ Π²ΡΠ·Π²Π°Π½ ΠΏΠΎΡΠ²Π»ΡΡΡΠΈΠΌΡΡ
Π² ΠΏΡΠΎΠ²ΠΎΠ΄ΡΡΠ΅ΠΌ ΠΊΠΎΠ½ΡΡΡΠ΅ ΡΠ»Π΅ΠΊΡΡΠΈΡΠ΅ΡΠΊΠΈΠΌ
ΠΏΠΎΠ»Π΅ΠΌ
.
ΠΡΠΎ ΠΏΠΎΠ»Π΅ ΠΈ Π²ΡΠ·ΡΠ²Π°Π΅Ρ ΠΏΠΎΡΠ²Π»Π΅Π½ΠΈΠ΅ ΠΠΠ‘
ΠΈΠ½Π΄ΡΠΊΡΠΈΠΈ Π² Π½Π΅ΠΏΠΎΠ΄Π²ΠΈΠΆΠ½ΠΎΠΌ ΠΊΠΎΠ½ΡΡΡΠ΅.
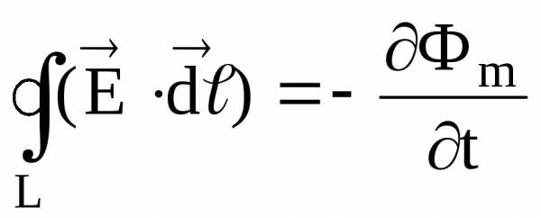
ΠΠΎΠ·Π΄Π½Π΅Π΅ ΠΠ°ΠΊΡΠ²Π΅Π»Π» ΠΏΡΠ΅Π΄ΠΏΠΎΠ»ΠΎΠΆΠΈΠ», ΡΡΠΎ ΠΈΠ·ΠΌΠ΅Π½ΡΡΡΠ΅Π΅ΡΡ Π²ΠΎ Π²ΡΠ΅ΠΌΠ΅Π½ΠΈ ΠΌΠ°Π³Π½ΠΈΡΠ½ΠΎΠ΅ ΠΏΠΎΠ»Π΅ ΠΏΡΠΈΠ²ΠΎΠ΄ΠΈΡ ΠΊ ΠΏΠΎΡΠ²Π»Π΅Π½ΠΈΡ Π² ΠΏΡΠΎΡΡΡΠ°Π½ΡΡΠ²Π΅ ΠΏΠ΅ΡΠ΅ΠΌΠ΅Π½Π½ΠΎΠ³ΠΎ ΡΠ»Π΅ΠΊΡΡΠΈΡΠ΅ΡΠΊΠΎΠ³ΠΎ ΠΏΠΎΠ»Ρ Π½Π΅Π·Π°Π²ΠΈΡΠΈΠΌΠΎ ΠΎΡ ΡΠΎΠ³ΠΎ, Π΅ΡΡΡ Π·Π°ΠΌΠΊΠ½ΡΡΡΠΉ ΠΊΠΎΠ½ΡΡΡ ΠΈΠ»ΠΈ Π½Π΅Ρ.
ΠΡΠΎΡ ΠΊΠΎΠ½ΡΡΡ Π»ΠΈΡΡ ΠΏΠΎΠ·Π²ΠΎΠ»ΡΠ΅Ρ ΠΎΠ±Π½Π°ΡΡΠΆΠΈΡΡ (ΠΏΠΎ Π²ΠΎΠ·Π½ΠΈΠΊΠ½ΠΎΠ²Π΅Π½ΠΈΡ Π² Π½Π΅ΠΌ ΠΈΠ½Π΄ΡΠΊΡΠΈΠΎΠ½Π½ΠΎΠ³ΠΎ ΡΠΎΠΊΠ°) ΡΡΡΠ΅ΡΡΠ²ΠΎΠ²Π°Π½ΠΈΠ΅ ΡΠ»Π΅ΠΊΡΡΠΈΡΠ΅ΡΠΊΠΎΠ³ΠΎ ΠΏΠΎΠ»Ρ (Π½Π΅ ΠΏΡΡΠ°ΡΡ Ρ ΡΠ»Π΅ΠΊΡΡΠΎΡΡΠ°ΡΠΈΡΠ΅ΡΠΊΠΈΠΌ ΠΏΠΎΠ»Π΅ΠΌ, ΡΠΎΠ·Π΄Π°Π²Π°Π΅ΠΌΡΠΌ Π½Π΅ΠΏΠΎΠ΄Π²ΠΈΠΆΠ½ΡΠΌΠΈ Π·Π°ΡΡΠ΄Π°ΠΌΠΈ).
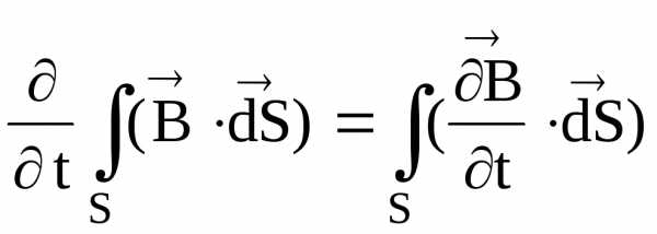
Π¦ΠΈΡΠΊΡΠ»ΡΡΠΈΡ
Π²Π΅ΠΊΡΠΎΡΠ° 
= iοΉ
0. (3.77)
Π‘ΠΈΠΌΠ²ΠΎΠ» ΡΠ°ΡΡΠ½ΠΎΠΉ ΠΏΡΠΎΠΈΠ·Π²ΠΎΠ΄Π½ΠΎΠΉ ΠΎΠΏΡΠ΅Π΄Π΅Π»ΡΠ΅Ρ ΡΠΎ ΠΏΠΎΠ»ΠΎΠΆΠ΅Π½ΠΈΠ΅, ΠΊΠΎΠ³Π΄Π° ΠΊΠΎΠ½ΡΡΡ ΠΈ Π½Π°ΡΡΠ½ΡΡΠ°Ρ Π½Π° Π½Π΅Π³ΠΎ ΠΏΠΎΠ²Π΅ΡΡ Π½ΠΎΡΡΡ, Π½Π°Ρ ΠΎΠ΄ΡΡΡΡ Π² ΠΏΠΎΠΊΠΎΠ΅.
ΠΠ°Π³Π½ΠΈΡΠ½ΡΠΉ ΠΏΠΎΡΠΎΠΊ, ΠΏΡΠΎΠ½ΠΈΠ·ΡΠ²Π°ΡΡΠΈΠΉ ΡΡΠΎΡ ΠΊΠΎΠ½ΡΡΡ,
.
ΠΡΠ»Π΅Π΄ΡΡΠ²ΠΈΠ΅ ΡΠΎΠ³ΠΎ, ΡΡΠΎ ΠΈΠ½ΡΠ΅Π³ΡΠΈΡΠΎΠ²Π°Π½ΠΈΠ΅ ΠΏΡΠΎΠ²ΠΎΠ΄ΠΈΡΡΡ ΠΏΠΎ ΠΏΡΠΎΠΈΠ·Π²ΠΎΠ»ΡΠ½ΠΎΠΉ ΠΏΠΎΠ²Π΅ΡΡ Π½ΠΎΡΡΠΈ, Π½Π°ΡΡΠ½ΡΡΠΎΠΉ Π½Π° Π½Π΅ΠΏΠΎΠ΄Π²ΠΈΠΆΠ½ΡΠΉ ΠΊΠΎΠ½ΡΡΡ,
.
Π‘ ΡΡΠ΅ΡΠΎΠΌ ΡΡΠΎΠ³ΠΎ Π²ΡΡΠ°ΠΆΠ΅Π½ΠΈΠ΅ (3.77) ΠΏΡΠ΅Π΄ΡΡΠ°Π²ΠΈΠΌ Π² Π²ΠΈΠ΄Π΅
(3.78)
ΠΈΠ»ΠΈ Π² Π΄ΠΈΡΡΠ΅ΡΠ΅Π½ΡΠΈΠ°Π»ΡΠ½ΠΎΠΉ ΡΠΎΡΠΌΠ΅
rot
=
.
(3.79)
Π² Π΄Π°Π½Π½ΠΎΠΉ ΡΠΎΡΠΊΠ΅ ΠΎΠΏΡΠ΅Π΄Π΅Π»ΡΠ΅Ρ ΡΠΎΡΠΎΡ ΠΏΠΎΠ»Ρ
Π² ΡΡΠΎΠΉ ΠΆΠ΅ ΡΠΎΡΠΊΠ΅.ΠΠΎΡΠΊΠΎΠ»ΡΠΊΡ ΡΠΈΡΠΊΡΠ»ΡΡΠΈΡ ΠΏΠ΅ΡΠ΅ΠΌΠ΅Π½Π½ΠΎΠ³ΠΎ ΡΠ»Π΅ΠΊΡΡΠΈΡΠ΅ΡΠΊΠΎΠ³ΠΎ ΠΏΠΎΠ»Ρ, Π²ΠΎΠ·Π±ΡΠΆΠ΄Π°Π΅ΠΌΠΎΠ³ΠΎ ΠΏΠ΅ΡΠ΅ΠΌΠ΅Π½Π½ΡΠΌ ΠΌΠ°Π³Π½ΠΈΡΠ½ΡΠΌ ΠΏΠΎΠ»Π΅ΠΌ, ΠΎΡΠ»ΠΈΡΠ½Π° ΠΎΡ Π½ΡΠ»Ρ, ΡΠΎ ΡΡΠΎ ΡΠ»Π΅ΠΊΡΡΠΈΡΠ΅ΡΠΊΠΎΠ΅ ΠΏΠΎΠ»Π΅ Π½Π΅ ΠΏΠΎΡΠ΅Π½ΡΠΈΠ°Π»ΡΠ½ΠΎ, Π° ΡΠ²Π»ΡΠ΅ΡΡΡ Π²ΠΈΡ ΡΠ΅Π²ΡΠΌ, ΠΊΠ°ΠΊ ΠΈ ΠΌΠ°Π³Π½ΠΈΡΠ½ΠΎΠ΅ ΠΏΠΎΠ»Π΅.
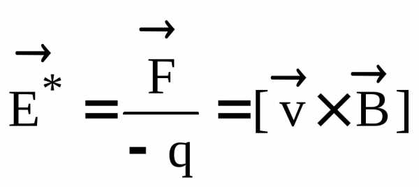
Π Π°ΡΡΠΌΠΎΡΡΠΈΠΌ, ΡΡΠΎ ΡΠ²Π»ΡΠ΅ΡΡΡ ΠΏΡΠΈΡΠΈΠ½ΠΎΠΉ Π²ΠΎΠ·Π½ΠΈΠΊΠ½ΠΎΠ²Π΅Π½ΠΈΡ ΠΈΠ½Π΄ΡΠΊΡΠΈΠΎΠ½Π½ΠΎΠ³ΠΎ ΡΠΎΠΊΠ°, Π΅ΡΠ»ΠΈ ΠΏΡΠΎΠ²ΠΎΠ΄ΡΡΠΈΠΉ ΠΊΠΎΠ½ΡΡΡ Π΄Π²ΠΈΠΆΠ΅ΡΡΡ Π² ΠΏΠΎΡΡΠΎΡΠ½Π½ΠΎΠΌ ΠΌΠ°Π³Π½ΠΈΡΠ½ΠΎΠΌ ΠΏΠΎΠ»Π΅ (ΡΠΈΡ.3.26).
ΠΡΡΡΡ ΠΎΠ΄Π½Π° ΡΡΠΎΡΠΎΠ½Π° ΠΊΠΎΠ½ΡΡΡΠ° ΠΠ‘ ΡΠ²Π»ΡΠ΅ΡΡΡ ΠΏΠΎΠ΄Π²ΠΈΠΆΠ½ΠΎΠΉ.
ΠΡΠΈ
ΠΏΠ΅ΡΠ΅ΠΌΠ΅ΡΠ΅Π½ΠΈΠΈ ΠΠ‘, Π½Π°ΠΏΡΠΈΠΌΠ΅Ρ, Π²ΠΏΡΠ°Π²ΠΎ ΡΠΎ
ΡΠΊΠΎΡΠΎΡΡΡΡ
ΡΠ»Π΅ΠΊΡΡΠΎΠ½Ρ ΠΏΡΠΎΠ²ΠΎΠ΄ΠΈΠΌΠΎΡΡΠΈ Π½Π°ΡΠ½ΡΡ Π΄Π²ΠΈΠ³Π°ΡΡΡΡ
Ρ ΡΠ°ΠΊΠΎΠΉ ΠΆΠ΅ ΡΠΊΠΎΡΠΎΡΡΡΡ.
ΠΠ° ΠΊΠ°ΠΆΠ΄ΡΠΉ ΡΠ»Π΅ΠΊΡΡΠΎΠ½ Π½Π°ΡΠ½Π΅Ρ Π΄Π΅ΠΉΡΡΠ²ΠΎΠ²Π°ΡΡ Π²Π΄ΠΎΠ»Ρ ΠΠ‘ ΡΠΈΠ»Π° ΠΠΎΡΠ΅Π½ΡΠ°
,
Π³Π΄Π΅ v*ο ΡΠΊΠΎΡΠΎΡΡΡ ΡΠΏΠΎΡΡΠ΄ΠΎΡΠ΅Π½Π½ΠΎΠ³ΠΎ Π΄Π²ΠΈΠΆΠ΅Π½ΠΈΡ ΡΠ»Π΅ΠΊΡΡΠΎΠ½ΠΎΠ² Π²Π΄ΠΎΠ»Ρ ΠΏΡΠΎΠ²ΠΎΠ΄Π½ΠΈΠΊΠ° ΠΏΠΎΠ΄ Π΄Π΅ΠΉΡΡΠ²ΠΈΠ΅ΠΌ ΡΠΎΡΡΠ°Π²Π»ΡΡΡΠ΅ΠΉ ΡΠΈΠ»Ρ ΠΠΎΡΠ΅Π½ΡΠ°.
Π ΠΈΡ. 3.26
ΠΠ»Π΅ΠΊΡΡΠΎΠ½Ρ Π½Π°ΡΠ½ΡΡ ΠΏΠ΅ΡΠ΅ΠΌΠ΅ΡΠ°ΡΡΡΡ Π²Π½ΠΈΠ· ΠΏΠΎ Π»ΠΈΠ½ΠΈΠΈ ΠΠ‘ ο Π²ΠΎΠ·Π½ΠΈΠΊΠ½Π΅Ρ ΠΈΠ½Π΄ΡΠΊΡΠΈΠΎΠ½Π½ΡΠΉ ΡΠΎΠΊ, Π½Π°ΠΏΡΠ°Π²Π»Π΅Π½Π½ΡΠΉ Π²Π²Π΅ΡΡ .ΠΠ·-Π·Π° ΠΏΠ΅ΡΠ΅ΡΠ°ΡΠΏΡΠ΅Π΄Π΅Π»Π΅Π½ΠΈΡ Π·Π°ΡΡΠ΄ΠΎΠ² Π½Π° ΠΏΠΎΠ²Π΅ΡΡ Π½ΠΎΡΡΠΈ ΠΏΡΠΎΠ²ΠΎΠ΄ΡΡΠ΅Π³ΠΎ ΠΊΠΎΠ½ΡΡΡΠ° Π²ΠΎΠ·Π½ΠΈΠΊΠ½Π΅Ρ ΡΠ»Π΅ΠΊΡΡΠΈΡΠ΅ΡΠΊΠΎΠ΅ ΠΏΠΎΠ»Π΅, ΠΊΠΎΡΠΎΡΠΎΠ΅ Π²ΠΎΠ·Π±ΡΠ΄ΠΈΡ ΡΠΎΠΊ ΠΈ Π² ΠΎΡΡΠ°Π»ΡΠ½ΡΡ ΡΡΠ°ΡΡΠΊΠ°Ρ ΠΏΡΠΎΠ²ΠΎΠ΄Π½ΠΈΠΊΠ°.
ΠΠΎΡΡΠΎΠΌΡ Π½Π°ΠΏΡΡΠΆΠ΅Π½Π½ΠΎΡΡΡ Π²ΠΎΠ·Π½ΠΈΠΊΡΠ΅Π³ΠΎ ΡΡΠΎΡΠΎΠ½Π½Π΅Π³ΠΎ ΡΠ»Π΅ΠΊΡΡΠΈΡΠ΅ΡΠΊΠΎΠ³ΠΎ ΠΏΠΎΠ»Ρ (v* = 0)

Π¦ΠΈΡΠΊΡΠ»ΡΡΠΈΡ
Π²Π΅ΠΊΡΠΎΡΠ°
* ΡΡΠΎΡΠΎΠ½Π½Π΅Π³ΠΎ ΡΠ»Π΅ΠΊΡΡΠΈΡΠ΅ΡΠΊΠΎΠ³ΠΎ ΠΏΠΎΠ»Ρ ΠΏΠΎ
ΠΊΠΎΠ½ΡΡΡΡ Π΄Π°Π΅Ρ ΠΏΠΎ ΠΎΠΏΡΠ΅Π΄Π΅Π»Π΅Π½ΠΈΡ ΠΠΠ‘ ΠΈΠ½Π΄ΡΠΊΡΠΈΠΈ i,
Ρ. Π΅.
i= οvB
Π³Π΄Π΅ Π·Π½Π°ΠΊ Β«οΒ» Π²Π·ΡΡ Π² ΡΠΎΠΎΡΠ²Π΅ΡΡΡΠ²ΠΈΠΈ Ρ ΠΏΡΠ°Π²ΠΈΠ»ΠΎΠΌ ΠΏΡΠ°Π²ΠΎΠ³ΠΎ Π²ΠΈΠ½ΡΠ° (ΠΏΠΎΠ»ΠΎΠΆΠΈΡΠ΅Π»ΡΠ½ΠΎΠ΅ Π½Π°ΠΏΡΠ°Π²Π»Π΅Π½ΠΈΠ΅ ΠΎΠ±Ρ ΠΎΠ΄Π° ΠΊΠΎΠ½ΡΡΡΠ° ο ΠΏΠΎ ΡΠ°ΡΠΎΠ²ΠΎΠΉ ΡΡΡΠ΅Π»ΠΊΠ΅).
Π
ΡΡΠΎΠΌ ΡΠ»ΡΡΠ°Π΅ ΡΡΠΎΡΠΎΠ½Π½Π΅Π΅ ΡΠ»Π΅ΠΊΡΡΠΈΡΠ΅ΡΠΊΠΎΠ΅
ΠΏΠΎΠ»Π΅
* Π½Π°ΠΏΡΠ°Π²Π»Π΅Π½ΠΎ ΠΏΡΠΎΡΠΈΠ² ΠΏΠΎΠ»ΠΎΠΆΠΈΡΠ΅Π»ΡΠ½ΠΎΠ³ΠΎ
Π½Π°ΠΏΡΠ°Π²Π»Π΅Π½ΠΈΡ ΠΎΠ±Ρ
ΠΎΠ΄Π° ΠΊΠΎΠ½ΡΡΡΠ° ΠΈ i < 0.
ΠΡΠΈΡΠ°ΡΠ΅Π½ΠΈΠ΅ ΠΏΠ»ΠΎΡΠ°Π΄ΠΈ, ΠΎΠ³ΡΠ°Π½ΠΈΡΠ΅Π½Π½ΠΎΠΉ ΠΊΠΎΠ½ΡΡΡΠΎΠΌ Π² Π΅Π΄ΠΈΠ½ΠΈΡΡ Π²ΡΠ΅ΠΌΠ΅Π½ΠΈ ΠΏΡΠΈ Π΄Π²ΠΈΠΆΠ΅Π½ΠΈΠΈ ΠΠ‘, Π·Π°ΠΏΠΈΡΠ΅ΠΌ Π² Π²ΠΈΠ΄Π΅
.
i = ο
,
(3.81)
Π³Π΄Π΅ dΠ€m ο ΠΈΠ·ΠΌΠ΅Π½Π΅Π½ΠΈΠ΅ ΠΌΠ°Π³Π½ΠΈΡΠ½ΠΎΠ³ΠΎ ΠΏΠΎΡΠΎΠΊΠ° ΡΠΊΠ²ΠΎΠ·Ρ ΠΊΠΎΠ½ΡΡΡ;
(
>
0).
ΠΠ°ΠΊΠΎΠ½ ΡΠ»Π΅ΠΊΡΡΠΎΠΌΠ°Π³Π½ΠΈΡΠ½ΠΎΠΉ ΠΈΠ½Π΄ΡΠΊΡΠΈΠΈ ΠΎΡΡΠ°Π΅ΡΡΡ ΡΠΏΡΠ°Π²Π΅Π΄Π»ΠΈΠ²ΡΠΌ Π΄Π»Ρ ΠΊΠΎΠ½ΡΡΡΠ° ΠΏΡΠΎΠΈΠ·Π²ΠΎΠ»ΡΠ½ΠΎΠΉ ΡΠΎΡΠΌΡ ΠΈ ΡΠ°Π·ΠΌΠ΅ΡΠΎΠ², Π΄Π²ΠΈΠΆΡΡΠ΅Π³ΠΎΡΡ Π² Π½Π΅ΠΎΠ΄Π½ΠΎΡΠΎΠ΄Π½ΠΎΠΌ ΠΌΠ°Π³Π½ΠΈΡΠ½ΠΎΠΌ ΠΏΠΎΠ»Π΅.
Π’Π°ΠΊΠΈΠΌ ΠΎΠ±ΡΠ°Π·ΠΎΠΌ, Π²ΠΎΠ·Π½ΠΈΠΊΠ½ΠΎΠ²Π΅Π½ΠΈΠ΅ ΠΠΠ‘ ΠΈΠ½Π΄ΡΠΊΡΠΈΠΈ ΠΏΡΠΈ Π΄Π²ΠΈΠΆΠ΅Π½ΠΈΠΈ ΠΊΠΎΠ½ΡΡΡΠ° Π² Π½Π΅ΠΎΠ΄Π½ΠΎΡΠΎΠ΄Π½ΠΎΠΌ ΠΏΠΎΡΡΠΎΡΠ½Π½ΠΎΠΌ ΠΌΠ°Π³Π½ΠΈΡΠ½ΠΎΠΌ ΠΏΠΎΠ»Π΅ ΠΎΠ±ΡΡΡΠ½ΡΠ΅ΡΡΡ Π΄Π΅ΠΉΡΡΠ²ΠΈΠ΅ΠΌ ΡΠΈΠ»Ρ ΠΠΎΡΠ΅Π½ΡΠ°. ΠΠΠ‘ ΠΈΠ½Π΄ΡΠΊΡΠΈΠΈ Π²ΠΎΠ·Π½ΠΈΠΊΠ°Π΅Ρ Π² ΠΊΠΎΠ½ΡΡΡΠ΅ Π·Π° ΡΡΠ΅Ρ Π²ΠΎΠ·Π±ΡΠΆΠ΄Π΅Π½ΠΈΡ ΠΈΠ·ΠΌΠ΅Π½ΡΡΡΠ΅Π³ΠΎΡΡ Π²ΠΎ Π²ΡΠ΅ΠΌΠ΅Π½ΠΈ ΡΠ»Π΅ΠΊΡΡΠΈΡΠ΅ΡΠΊΠΎΠ³ΠΎ ΠΏΠΎΠ»Ρ ΠΈΠ»ΠΈ ΠΈΠ·οΠ·Π° Π΄Π΅ΠΉΡΡΠ²ΠΈΡ ΡΠΈΠ»Ρ ΠΠΎΡΠ΅Π½ΡΠ° ΠΏΡΠΈ ΠΈΠ·ΠΌΠ΅Π½Π΅Π½ΠΈΠΈ ΠΌΠ°Π³Π½ΠΈΡΠ½ΠΎΠ³ΠΎ ΠΏΠΎΡΠΎΠΊΠ°, ΠΏΡΠΎΠ½ΠΈΠ·ΡΠ²Π°ΡΡΠ΅Π³ΠΎ ΠΊΠΎΠ½ΡΡΡ.
ΠΠΎΡΡΠΎΠΌΡ Π·Π°ΠΊΠΎΠ½ ΡΠ»Π΅ΠΊΡΡΠΎΠΌΠ°Π³Π½ΠΈΡΠ½ΠΎΠΉ ΠΈΠ½Π΄ΡΠΊΡΠΈΠΈ ΠΌΠΎΠΆΠ½ΠΎ ΠΏΡΠ΅Π΄ΡΡΠ°Π²ΠΈΡΡ Π² ΠΎΠ±ΡΠ΅ΠΌ Π²ΠΈΠ΄Π΅:
i.
studfiles.net
ΠΠ»Π΅ΠΊΡΡΠΎΠΌΠ°Π³Π½ΠΈΡΠ½Π°Ρ ΠΈΠ½Π΄ΡΠΊΡΠΈΡ. ΠΡΠ°Π²ΠΈΠ»ΠΎ ΠΠ΅Π½ΡΠ°
Π―Π²Π»Π΅Π½ΠΈΠ΅Β ΡΠ»Π΅ΠΊΡΡΠΎΠΌΠ°Π³Π½ΠΈΡΠ½ΠΎΠΉ ΠΈΠ½Π΄ΡΠΊΡΠΈΠΈΒ Π±ΡΠ»ΠΎ ΠΎΡΠΊΡΡΡΠΎ Π²ΡΠ΄Π°ΡΡΠΈΠΌΡΡ Π°Π½Π³Π»ΠΈΠΉΡΠΊΠΈΠΌ ΡΠΈΠ·ΠΈΠΊΠΎΠΌΒ Π.Β Π€Π°ΡΠ°Π΄Π΅Π΅ΠΌΒ Π² 1831Β Π³. ΠΠ½ΠΎ Π·Π°ΠΊΠ»ΡΡΠ°Π΅ΡΡΡ Π² Π²ΠΎΠ·Π½ΠΈΠΊΠ½ΠΎΠ²Π΅Π½ΠΈΠΈ ΡΠ»Π΅ΠΊΡΡΠΈΡΠ΅ΡΠΊΠΎΠ³ΠΎ ΡΠΎΠΊΠ° Π² Π·Π°ΠΌΠΊΠ½ΡΡΠΎΠΌ ΠΏΡΠΎΠ²ΠΎΠ΄ΡΡΠ΅ΠΌ ΠΊΠΎΠ½ΡΡΡΠ΅ ΠΏΡΠΈ ΠΈΠ·ΠΌΠ΅Π½Π΅Π½ΠΈΠΈ Π²ΠΎ Π²ΡΠ΅ΠΌΠ΅Π½ΠΈΒ ΠΌΠ°Π³Π½ΠΈΡΠ½ΠΎΠ³ΠΎ ΠΏΠΎΡΠΎΠΊΠ°, ΠΏΡΠΎΠ½ΠΈΠ·ΡΠ²Π°ΡΡΠ΅Π³ΠΎ ΠΊΠΎΠ½ΡΡΡ.
ΠΠ°Π³Π½ΠΈΡΠ½ΡΠΌ ΠΏΠΎΡΠΎΠΊΠΎΠΌ Ξ¦ ΡΠ΅ΡΠ΅Π· ΠΏΠ»ΠΎΡΠ°Π΄ΡΒ SΒ ΠΊΠΎΠ½ΡΡΡΠ° Π½Π°Π·ΡΠ²Π°ΡΡ Π²Π΅Π»ΠΈΡΠΈΠ½ΡΒ
|
Π³Π΄Π΅Β BΒ β ΠΌΠΎΠ΄ΡΠ»ΡΒ Π²Π΅ΠΊΡΠΎΡΠ° ΠΌΠ°Π³Π½ΠΈΡΠ½ΠΎΠΉ ΠΈΠ½Π΄ΡΠΊΡΠΈΠΈ, Ξ± β ΡΠ³ΠΎΠ» ΠΌΠ΅ΠΆΠ΄Ρ Π²Π΅ΠΊΡΠΎΡΠΎΠΌΒ Β ΠΈ Π½ΠΎΡΠΌΠ°Π»ΡΡΒ Β ΠΊ ΠΏΠ»ΠΎΡΠΊΠΎΡΡΠΈ ΠΊΠΎΠ½ΡΡΡΠ° (ΡΠΈΡ.Β 1.20.1).
|
Π ΠΈΡΡΠ½ΠΎΠΊ 1.20.1. ΠΠ°Π³Π½ΠΈΡΠ½ΡΠΉ ΠΏΠΎΡΠΎΠΊ ΡΠ΅ΡΠ΅Π· Π·Π°ΠΌΠΊΠ½ΡΡΡΠΉ ΠΊΠΎΠ½ΡΡΡ. ΠΠ°ΠΏΡΠ°Π²Π»Π΅Π½ΠΈΠ΅ Π½ΠΎΡΠΌΠ°Π»ΠΈΒ Β ΠΈ Π²ΡΠ±ΡΠ°Π½Π½ΠΎΠ΅ ΠΏΠΎΠ»ΠΎΠΆΠΈΡΠ΅Π»ΡΠ½ΠΎΠ΅ Π½Π°ΠΏΡΠ°Π²Π»Π΅Π½ΠΈΠ΅Β Β ΠΎΠ±Ρ ΠΎΠ΄Π° ΠΊΠΎΠ½ΡΡΡΠ° ΡΠ²ΡΠ·Π°Π½Ρ ΠΏΡΠ°Π²ΠΈΠ»ΠΎΠΌ ΠΏΡΠ°Π²ΠΎΠ³ΠΎ Π±ΡΡΠ°Π²ΡΠΈΠΊΠ° |
ΠΠΏΡΠ΅Π΄Π΅Π»Π΅Π½ΠΈΠ΅ ΠΌΠ°Π³Π½ΠΈΡΠ½ΠΎΠ³ΠΎ ΠΏΠΎΡΠΎΠΊΠ° Π½Π΅ΡΡΡΠ΄Π½ΠΎ ΠΎΠ±ΠΎΠ±ΡΠΈΡΡ Π½Π° ΡΠ»ΡΡΠ°ΠΉ Π½Π΅ΠΎΠ΄Π½ΠΎΡΠΎΠ΄Π½ΠΎΠ³ΠΎ ΠΌΠ°Π³Π½ΠΈΡΠ½ΠΎΠ³ΠΎ ΠΏΠΎΠ»Ρ ΠΈ Π½Π΅ΠΏΠ»ΠΎΡΠΊΠΎΠ³ΠΎ ΠΊΠΎΠ½ΡΡΡΠ°. ΠΠ΄ΠΈΠ½ΠΈΡΠ° ΠΌΠ°Π³Π½ΠΈΡΠ½ΠΎΠ³ΠΎ ΠΏΠΎΡΠΎΠΊΠ° Π² ΡΠΈΡΡΠ΅ΠΌΠ΅ Π‘Π Π½Π°Π·ΡΠ²Π°Π΅ΡΡΡΒ Π²Π΅Π±Π΅ΡΠΎΠΌΒ (ΠΠ±). ΠΠ°Π³Π½ΠΈΡΠ½ΡΠΉ ΠΏΠΎΡΠΎΠΊ, ΡΠ°Π²Π½ΡΠΉΒ 1Β ΠΠ±, ΡΠΎΠ·Π΄Π°Π΅ΡΡΡ ΠΌΠ°Π³Π½ΠΈΡΠ½ΡΠΌ ΠΏΠΎΠ»Π΅ΠΌ Ρ ΠΈΠ½Π΄ΡΠΊΡΠΈΠ΅ΠΉΒ 1Β Π’Π», ΠΏΡΠΎΠ½ΠΈΠ·ΡΠ²Π°ΡΡΠΈΠΌ ΠΏΠΎ Π½Π°ΠΏΡΠ°Π²Π»Π΅Π½ΠΈΡ Π½ΠΎΡΠΌΠ°Π»ΠΈ ΠΏΠ»ΠΎΡΠΊΠΈΠΉ ΠΊΠΎΠ½ΡΡΡ ΠΏΠ»ΠΎΡΠ°Π΄ΡΡΒ 1Β ΠΌ2:Β
1Β ΠΠ±Β =Β 1Β Π’Π»Β Β·Β 1Β ΠΌ2. |
Π€Π°ΡΠ°Π΄Π΅ΠΉ ΡΠΊΡΠΏΠ΅ΡΠΈΠΌΠ΅Π½ΡΠ°Π»ΡΠ½ΠΎ ΡΡΡΠ°Π½ΠΎΠ²ΠΈΠ», ΡΡΠΎ ΠΏΡΠΈ ΠΈΠ·ΠΌΠ΅Π½Π΅Π½ΠΈΠΈ ΠΌΠ°Π³Π½ΠΈΡΠ½ΠΎΠ³ΠΎ ΠΏΠΎΡΠΎΠΊΠ° Π² ΠΏΡΠΎΠ²ΠΎΠ΄ΡΡΠ΅ΠΌ ΠΊΠΎΠ½ΡΡΡΠ΅ Π²ΠΎΠ·Π½ΠΈΠΊΠ°Π΅Ρ ΠΠΠ‘ ΠΈΠ½Π΄ΡΠΊΡΠΈΠΈΒ ΠΈΠ½Π΄, ΡΠ°Π²Π½Π°Ρ ΡΠΊΠΎΡΠΎΡΡΠΈ ΠΈΠ·ΠΌΠ΅Π½Π΅Π½ΠΈΡ ΠΌΠ°Π³Π½ΠΈΡΠ½ΠΎΠ³ΠΎ ΠΏΠΎΡΠΎΠΊΠ° ΡΠ΅ΡΠ΅Π· ΠΏΠΎΠ²Π΅ΡΡ Π½ΠΎΡΡΡ, ΠΎΠ³ΡΠ°Π½ΠΈΡΠ΅Π½Π½ΡΡ ΠΊΠΎΠ½ΡΡΡΠΎΠΌ, Π²Π·ΡΡΠΎΠΉ ΡΠΎ Π·Π½Π°ΠΊΠΎΠΌ ΠΌΠΈΠ½ΡΡ:Β
ΠΡΠ° ΡΠΎΡΠΌΡΠ»Π° Π½ΠΎΡΠΈΡ Π½Π°Π·Π²Π°Π½ΠΈΠ΅Β Π·Π°ΠΊΠΎΠ½Π° Π€Π°ΡΠ°Π΄Π΅Ρ.
ΠΠΏΡΡ ΠΏΠΎΠΊΠ°Π·ΡΠ²Π°Π΅Ρ, ΡΡΠΎ ΠΈΠ½Π΄ΡΠΊΡΠΈΠΎΠ½Π½ΡΠΉ ΡΠΎΠΊ, Π²ΠΎΠ·Π±ΡΠΆΠ΄Π°Π΅ΠΌΡΠΉ Π² Π·Π°ΠΌΠΊΠ½ΡΡΠΎΠΌ ΠΊΠΎΠ½ΡΡΡΠ΅ ΠΏΡΠΈ ΠΈΠ·ΠΌΠ΅Π½Π΅Π½ΠΈΠΈ ΠΌΠ°Π³Π½ΠΈΡΠ½ΠΎΠ³ΠΎ ΠΏΠΎΡΠΎΠΊΠ°, Π²ΡΠ΅Π³Π΄Π° Π½Π°ΠΏΡΠ°Π²Π»Π΅Π½ ΡΠ°ΠΊ, ΡΡΠΎ ΡΠΎΠ·Π΄Π°Π²Π°Π΅ΠΌΠΎΠ΅ ΠΈΠΌ ΠΌΠ°Π³Π½ΠΈΡΠ½ΠΎΠ΅ ΠΏΠΎΠ»Π΅ ΠΏΡΠ΅ΠΏΡΡΡΡΠ²ΡΠ΅Ρ ΠΈΠ·ΠΌΠ΅Π½Π΅Π½ΠΈΡ ΠΌΠ°Π³Π½ΠΈΡΠ½ΠΎΠ³ΠΎ ΠΏΠΎΡΠΎΠΊΠ°, Π²ΡΠ·ΡΠ²Π°ΡΡΠ΅Π³ΠΎ ΠΈΠ½Π΄ΡΠΊΡΠΈΠΎΠ½Π½ΡΠΉ ΡΠΎΠΊ. ΠΡΠΎ ΡΡΠ²Π΅ΡΠΆΠ΄Π΅Π½ΠΈΠ΅, ΡΡΠΎΡΠΌΡΠ»ΠΈΡΠΎΠ²Π°Π½Π½ΠΎΠ΅ Π²Β 1833Β Π³., Π½Π°Π·ΡΠ²Π°Π΅ΡΡΡΒ ΠΏΡΠ°Π²ΠΈΠ»ΠΎΠΌ ΠΠ΅Π½ΡΠ°.
Π ΠΈΡ.Β 1.20.2 ΠΈΠ»Π»ΡΡΡΡΠΈΡΡΠ΅Ρ ΠΏΡΠ°Π²ΠΈΠ»ΠΎ ΠΠ΅Π½ΡΠ° Π½Π° ΠΏΡΠΈΠΌΠ΅ΡΠ΅ Π½Π΅ΠΏΠΎΠ΄Π²ΠΈΠΆΠ½ΠΎΠ³ΠΎ ΠΏΡΠΎΠ²ΠΎΠ΄ΡΡΠ΅Π³ΠΎ ΠΊΠΎΠ½ΡΡΡΠ°, ΠΊΠΎΡΠΎΡΡΠΉ Π½Π°Ρ ΠΎΠ΄ΠΈΡΡΡ Π² ΠΎΠ΄Π½ΠΎΡΠΎΠ΄Π½ΠΎΠΌ ΠΌΠ°Π³Π½ΠΈΡΠ½ΠΎΠΌ ΠΏΠΎΠ»Π΅, ΠΌΠΎΠ΄ΡΠ»Ρ ΠΈΠ½Π΄ΡΠΊΡΠΈΠΈ ΠΊΠΎΡΠΎΡΠΎΠ³ΠΎ ΡΠ²Π΅Π»ΠΈΡΠΈΠ²Π°Π΅ΡΡΡ Π²ΠΎ Π²ΡΠ΅ΠΌΠ΅Π½ΠΈ.
|
Π ΠΈΡΡΠ½ΠΎΠΊ 1.20.2. ΠΠ»Π»ΡΡΡΡΠ°ΡΠΈΡ ΠΏΡΠ°Π²ΠΈΠ»Π° ΠΠ΅Π½ΡΠ°. Π ΡΡΠΎΠΌ ΠΏΡΠΈΠΌΠ΅ΡΠ΅Β Π°Β ΠΈΠ½Π΄Β <Β 0. ΠΠ½Π΄ΡΠΊΡΠΈΠΎΠ½Π½ΡΠΉ ΡΠΎΠΊΒ IΠΈΠ½Π΄ΡΠ΅ΡΠ΅Ρ Π½Π°Π²ΡΡΡΠ΅ΡΡ Π²ΡΠ±ΡΠ°Π½Π½ΠΎΠΌΡ ΠΏΠΎΠ»ΠΎΠΆΠΈΡΠ΅Π»ΡΠ½ΠΎΠΌΡ Π½Π°ΠΏΡΠ°Π²Π»Π΅Π½ΠΈΡΒ Β ΠΎΠ±Ρ ΠΎΠ΄Π° ΠΊΠΎΠ½ΡΡΡΠ° |
ΠΡΠ°Π²ΠΈΠ»ΠΎ ΠΠ΅Π½ΡΠ° ΠΎΡΡΠ°ΠΆΠ°Π΅Ρ ΡΠΎΡ ΡΠΊΡΠΏΠ΅ΡΠΈΠΌΠ΅Π½ΡΠ°Π»ΡΠ½ΡΠΉ ΡΠ°ΠΊΡ, ΡΡΠΎΒ ΠΈΠ½Π΄Β ΠΈΒ Β Π²ΡΠ΅Π³Π΄Π° ΠΈΠΌΠ΅ΡΡ ΠΏΡΠΎΡΠΈΠ²ΠΎΠΏΠΎΠ»ΠΎΠΆΠ½ΡΠ΅ Π·Π½Π°ΠΊΠΈ (Π·Π½Π°ΠΊ Β«ΠΌΠΈΠ½ΡΡΒ» Π² ΡΠΎΡΠΌΡΠ»Π΅ Π€Π°ΡΠ°Π΄Π΅Ρ). ΠΡΠ°Π²ΠΈΠ»ΠΎ ΠΠ΅Π½ΡΠ° ΠΈΠΌΠ΅Π΅Ρ Π³Π»ΡΠ±ΠΎΠΊΠΈΠΉ ΡΠΈΠ·ΠΈΡΠ΅ΡΠΊΠΈΠΉ ΡΠΌΡΡΠ» β ΠΎΠ½ΠΎ Π²ΡΡΠ°ΠΆΠ°Π΅Ρ Π·Π°ΠΊΠΎΠ½ ΡΠΎΡ ΡΠ°Π½Π΅Π½ΠΈΡ ΡΠ½Π΅ΡΠ³ΠΈΠΈ.
ΠΠ·ΠΌΠ΅Π½Π΅Π½ΠΈΠ΅ ΠΌΠ°Π³Π½ΠΈΡΠ½ΠΎΠ³ΠΎ ΠΏΠΎΡΠΎΠΊΠ°, ΠΏΡΠΎΠ½ΠΈΠ·ΡΠ²Π°ΡΡΠ΅Π³ΠΎ Π·Π°ΠΌΠΊΠ½ΡΡΡΠΉ ΠΊΠΎΠ½ΡΡΡ, ΠΌΠΎΠΆΠ΅Ρ ΠΏΡΠΎΠΈΡΡ ΠΎΠ΄ΠΈΡΡ ΠΏΠΎ Π΄Π²ΡΠΌ ΠΏΡΠΈΡΠΈΠ½Π°ΠΌ.
1. ΠΠ°Π³Π½ΠΈΡΠ½ΡΠΉ ΠΏΠΎΡΠΎΠΊ ΠΈΠ·ΠΌΠ΅Π½ΡΠ΅ΡΡΡ Π²ΡΠ»Π΅Π΄ΡΡΠ²ΠΈΠ΅ ΠΏΠ΅ΡΠ΅ΠΌΠ΅ΡΠ΅Π½ΠΈΡ ΠΊΠΎΠ½ΡΡΡΠ° ΠΈΠ»ΠΈ Π΅Π³ΠΎ ΡΠ°ΡΡΠ΅ΠΉ Π² ΠΏΠΎΡΡΠΎΡΠ½Π½ΠΎΠΌ Π²ΠΎ Π²ΡΠ΅ΠΌΠ΅Π½ΠΈ ΠΌΠ°Π³Π½ΠΈΡΠ½ΠΎΠΌ ΠΏΠΎΠ»Π΅. ΠΡΠΎ ΡΠ»ΡΡΠ°ΠΉ, ΠΊΠΎΠ³Π΄Π° ΠΏΡΠΎΠ²ΠΎΠ΄Π½ΠΈΠΊΠΈ, Π° Π²ΠΌΠ΅ΡΡΠ΅ Ρ Π½ΠΈΠΌΠΈ ΠΈ ΡΠ²ΠΎΠ±ΠΎΠ΄Π½ΡΠ΅ Π½ΠΎΡΠΈΡΠ΅Π»ΠΈ Π·Π°ΡΡΠ΄Π°, Π΄Π²ΠΈΠΆΡΡΡΡ Π² ΠΌΠ°Π³Π½ΠΈΡΠ½ΠΎΠΌ ΠΏΠΎΠ»Π΅. ΠΠΎΠ·Π½ΠΈΠΊΠ½ΠΎΠ²Π΅Π½ΠΈΠ΅ ΠΠΠ‘ ΠΈΠ½Π΄ΡΠΊΡΠΈΠΈ ΠΎΠ±ΡΡΡΠ½ΡΠ΅ΡΡΡ Π΄Π΅ΠΉΡΡΠ²ΠΈΠ΅ΠΌ ΡΠΈΠ»Ρ ΠΠΎΡΠ΅Π½ΡΠ° Π½Π° ΡΠ²ΠΎΠ±ΠΎΠ΄Π½ΡΠ΅ Π·Π°ΡΡΠ΄Ρ Π² Π΄Π²ΠΈΠΆΡΡΠΈΡ ΡΡ ΠΏΡΠΎΠ²ΠΎΠ΄Π½ΠΈΠΊΠ°Ρ .Β Π‘ΠΈΠ»Π° ΠΠΎΡΠ΅Π½ΡΠ°Β ΠΈΠ³ΡΠ°Π΅Ρ Π² ΡΡΠΎΠΌ ΡΠ»ΡΡΠ°Π΅ ΡΠΎΠ»Ρ ΡΡΠΎΡΠΎΠ½Π½Π΅ΠΉ ΡΠΈΠ»Ρ.
Π Π°ΡΡΠΌΠΎΡΡΠΈΠΌ Π² ΠΊΠ°ΡΠ΅ΡΡΠ²Π΅ ΠΏΡΠΈΠΌΠ΅ΡΠ° Π²ΠΎΠ·Π½ΠΈΠΊΠ½ΠΎΠ²Π΅Π½ΠΈΠ΅ ΠΠΠ‘ ΠΈΠ½Π΄ΡΠΊΡΠΈΠΈ Π² ΠΏΡΡΠΌΠΎΡΠ³ΠΎΠ»ΡΠ½ΠΎΠΌ ΠΊΠΎΠ½ΡΡΡΠ΅, ΠΏΠΎΠΌΠ΅ΡΠ΅Π½Π½ΠΎΠΌ Π² ΠΎΠ΄Π½ΠΎΡΠΎΠ΄Π½ΠΎΠ΅ ΠΌΠ°Π³Π½ΠΈΡΠ½ΠΎΠ΅ ΠΏΠΎΠ»Π΅Β Β ΠΏΠ΅ΡΠΏΠ΅Π½Π΄ΠΈΠΊΡΠ»ΡΡΠ½ΠΎΠ΅ ΠΏΠ»ΠΎΡΠΊΠΎΡΡΠΈ ΠΊΠΎΠ½ΡΡΡΠ°. ΠΡΡΡΡ ΠΎΠ΄Π½Π° ΠΈΠ· ΡΡΠΎΡΠΎΠ½ ΠΊΠΎΠ½ΡΡΡΠ° Π΄Π»ΠΈΠ½ΠΎΠΉΒ lΒ ΡΠΊΠΎΠ»ΡΠ·ΠΈΡ ΡΠΎ ΡΠΊΠΎΡΠΎΡΡΡΡΒ Β ΠΏΠΎ Π΄Π²ΡΠΌ Π΄ΡΡΠ³ΠΈΠΌ ΡΡΠΎΡΠΎΠ½Π°ΠΌ (ΡΠΈΡ.Β 1.20.3).
|
Π ΠΈΡΡΠ½ΠΎΠΊ 1.20.3. ΠΠΎΠ·Π½ΠΈΠΊΠ½ΠΎΠ²Π΅Π½ΠΈΠ΅ ΠΠΠ‘ ΠΈΠ½Π΄ΡΠΊΡΠΈΠΈ Π² Π΄Π²ΠΈΠΆΡΡΠ΅ΠΌΡΡ ΠΏΡΠΎΠ²ΠΎΠ΄Π½ΠΈΠΊΠ΅. Π£ΠΊΠ°Π·Π°Π½Π° ΡΠΎΡΡΠ°Π²Π»ΡΡΡΠ°Ρ ΡΠΈΠ»Ρ ΠΠΎΡΠ΅Π½ΡΠ°, Π΄Π΅ΠΉΡΡΠ²ΡΡΡΠ΅ΠΉ Π½Π° ΡΠ²ΠΎΠ±ΠΎΠ΄Π½ΡΠΉ ΡΠ»Π΅ΠΊΡΡΠΎΠ½ |
ΠΠ° ΡΠ²ΠΎΠ±ΠΎΠ΄Π½ΡΠ΅ Π·Π°ΡΡΠ΄Ρ Π½Π° ΡΡΠΎΠΌ ΡΡΠ°ΡΡΠΊΠ΅ ΠΊΠΎΠ½ΡΡΡΠ° Π΄Π΅ΠΉΡΡΠ²ΡΠ΅Ρ ΡΠΈΠ»Π° ΠΠΎΡΠ΅Π½ΡΠ°. ΠΠ΄Π½Π° ΠΈΠ· ΡΠΎΡΡΠ°Π²Π»ΡΡΡΠΈΡ ΡΡΠΎΠΉ ΡΠΈΠ»Ρ, ΡΠ²ΡΠ·Π°Π½Π½Π°Ρ ΡΒ ΠΏΠ΅ΡΠ΅Π½ΠΎΡΠ½ΠΎΠΉΒ ΡΠΊΠΎΡΠΎΡΡΡΡΒ Β Π·Π°ΡΡΠ΄ΠΎΠ², Π½Π°ΠΏΡΠ°Π²Π»Π΅Π½Π° Π²Π΄ΠΎΠ»Ρ ΠΏΡΠΎΠ²ΠΎΠ΄Π½ΠΈΠΊΠ°. ΠΡΠ° ΡΠΎΡΡΠ°Π²Π»ΡΡΡΠ°Ρ ΡΠΊΠ°Π·Π°Π½Π° Π½Π° ΡΠΈΡ.Β 1.20.3. ΠΠ½Π° ΠΈΠ³ΡΠ°Π΅Ρ ΡΠΎΠ»Ρ ΡΡΠΎΡΠΎΠ½Π½Π΅ΠΉ ΡΠΈΠ»Ρ. ΠΠ΅ ΠΌΠΎΠ΄ΡΠ»Ρ ΡΠ°Π²Π΅Π½Β
Π Π°Π±ΠΎΡΠ° ΡΠΈΠ»ΡΒ FΠΒ Π½Π° ΠΏΡΡΠΈΒ lΒ ΡΠ°Π²Π½Π°Β
AΒ =Β FΠΒ Β·Β lΒ =Β eΟ Bl. |
ΠΠΎ ΠΎΠΏΡΠ΅Π΄Π΅Π»Π΅Π½ΠΈΡ ΠΠΠ‘Β
Π Π΄ΡΡΠ³ΠΈΡ Π½Π΅ΠΏΠΎΠ΄Π²ΠΈΠΆΠ½ΡΡ ΡΠ°ΡΡΡΡ ΠΊΠΎΠ½ΡΡΡΠ° ΡΡΠΎΡΠΎΠ½Π½ΡΡ ΡΠΈΠ»Π° ΡΠ°Π²Π½Π° Π½ΡΠ»Ρ. Π‘ΠΎΠΎΡΠ½ΠΎΡΠ΅Π½ΠΈΡ Π΄Π»ΡΒ ΠΈΠ½Π΄Β ΠΌΠΎΠΆΠ½ΠΎ ΠΏΡΠΈΠ΄Π°ΡΡ ΠΏΡΠΈΠ²ΡΡΠ½ΡΠΉ Π²ΠΈΠ΄. ΠΠ° Π²ΡΠ΅ΠΌΡ ΞtΒ ΠΏΠ»ΠΎΡΠ°Π΄Ρ ΠΊΠΎΠ½ΡΡΡΠ° ΠΈΠ·ΠΌΠ΅Π½ΡΠ΅ΡΡΡ Π½Π° ΞSΒ =Β lΟ Ξt. ΠΠ·ΠΌΠ΅Π½Π΅Π½ΠΈΠ΅ ΠΌΠ°Π³Π½ΠΈΡΠ½ΠΎΠ³ΠΎ ΠΏΠΎΡΠΎΠΊΠ° Π·Π° ΡΡΠΎ Π²ΡΠ΅ΠΌΡ ΡΠ°Π²Π½ΠΎ ΞΞ¦ =Β BlΟ Ξt. Π‘Π»Π΅Π΄ΠΎΠ²Π°ΡΠ΅Π»ΡΠ½ΠΎ,
ΠΠ»Ρ ΡΠΎΠ³ΠΎ, ΡΡΠΎΠ±Ρ ΡΡΡΠ°Π½ΠΎΠ²ΠΈΡΡ Π·Π½Π°ΠΊ Π² ΡΠΎΡΠΌΡΠ»Π΅, ΡΠ²ΡΠ·ΡΠ²Π°ΡΡΠ΅ΠΉΒ ΠΈΠ½Π΄Β ΠΈΒ Β Π½ΡΠΆΠ½ΠΎ Π²ΡΠ±ΡΠ°ΡΡ ΡΠΎΠ³Π»Π°ΡΠΎΠ²Π°Π½Π½ΡΠ΅ ΠΌΠ΅ΠΆΠ΄Ρ ΡΠΎΠ±ΠΎΠΉ ΠΏΠΎ ΠΏΡΠ°Π²ΠΈΠ»Ρ ΠΏΡΠ°Π²ΠΎΠ³ΠΎ Π±ΡΡΠ°Π²ΡΠΈΠΊΠ° Π½Π°ΠΏΡΠ°Π²Π»Π΅Π½ΠΈΠ΅ Π½ΠΎΡΠΌΠ°Π»ΠΈΒ Β ΠΈ ΠΏΠΎΠ»ΠΎΠΆΠΈΡΠ΅Π»ΡΠ½ΠΎΠ΅ Π½Π°ΠΏΡΠ°Π²Π»Π΅Π½ΠΈΠ΅ ΠΎΠ±Ρ ΠΎΠ΄Π° ΠΊΠΎΠ½ΡΡΡΠ°Β Β ΠΊΠ°ΠΊ ΡΡΠΎ ΡΠ΄Π΅Π»Π°Π½ΠΎ Π½Π° ΡΠΈΡ.Β 1.20.1 ΠΈ 1.20.2. ΠΡΠ»ΠΈ ΡΡΠΎ ΡΠ΄Π΅Π»Π°ΡΡ, ΡΠΎ Π»Π΅Π³ΠΊΠΎ ΠΏΡΠΈΠΉΡΠΈ ΠΊ ΡΠΎΡΠΌΡΠ»Π΅ Π€Π°ΡΠ°Π΄Π΅Ρ.
ΠΡΠ»ΠΈ ΡΠΎΠΏΡΠΎΡΠΈΠ²Π»Π΅Π½ΠΈΠ΅ Π²ΡΠ΅ΠΉ ΡΠ΅ΠΏΠΈ ΡΠ°Π²Π½ΠΎΒ R, ΡΠΎ ΠΏΠΎ Π½Π΅ΠΉ Π±ΡΠ΄Π΅Ρ ΠΏΡΠΎΡΠ΅ΠΊΠ°ΡΡ ΠΈΠ½Π΄ΡΠΊΡΠΈΠΎΠ½Π½ΡΠΉ ΡΠΎΠΊ, ΡΠ°Π²Π½ΡΠΉΒ IΠΈΠ½Π΄Β =Β ΠΈΠ½Π΄/R. ΠΠ° Π²ΡΠ΅ΠΌΡ ΞtΒ Π½Π° ΡΠΎΠΏΡΠΎΡΠΈΠ²Π»Π΅Π½ΠΈΠΈΒ RΒ Π²ΡΠ΄Π΅Π»ΠΈΡΡΡΒ Π΄ΠΆΠΎΡΠ»Π΅Π²ΠΎ ΡΠ΅ΠΏΠ»ΠΎ
ΠΠΎΠ·Π½ΠΈΠΊΠ°Π΅Ρ Π²ΠΎΠΏΡΠΎΡ: ΠΎΡΠΊΡΠ΄Π° Π±Π΅ΡΠ΅ΡΡΡ ΡΡΠ° ΡΠ½Π΅ΡΠ³ΠΈΡ, Π²Π΅Π΄Ρ ΡΠΈΠ»Π° ΠΠΎΡΠ΅Π½ΡΠ° ΡΠ°Π±ΠΎΡΡ Π½Π΅ ΡΠΎΠ²Π΅ΡΡΠ°Π΅Ρ! ΠΡΠΎΡ ΠΏΠ°ΡΠ°Π΄ΠΎΠΊΡ Π²ΠΎΠ·Π½ΠΈΠΊ ΠΏΠΎΡΠΎΠΌΡ, ΡΡΠΎ ΠΌΡ ΡΡΠ»ΠΈ ΡΠ°Π±ΠΎΡΡ ΡΠΎΠ»ΡΠΊΠΎ ΠΎΠ΄Π½ΠΎΠΉ ΡΠΎΡΡΠ°Π²Π»ΡΡΡΠ΅ΠΉ ΡΠΈΠ»Ρ ΠΠΎΡΠ΅Π½ΡΠ°. ΠΡΠΈ ΠΏΡΠΎΡΠ΅ΠΊΠ°Π½ΠΈΠΈ ΠΈΠ½Π΄ΡΠΊΡΠΈΠΎΠ½Π½ΠΎΠ³ΠΎ ΡΠΎΠΊΠ° ΠΏΠΎ ΠΏΡΠΎΠ²ΠΎΠ΄Π½ΠΈΠΊΡ, Π½Π°Ρ ΠΎΠ΄ΡΡΠ΅ΠΌΡΡΡ Π² ΠΌΠ°Π³Π½ΠΈΡΠ½ΠΎΠΌ ΠΏΠΎΠ»Π΅, Π½Π° ΡΠ²ΠΎΠ±ΠΎΠ΄Π½ΡΠ΅ Π·Π°ΡΡΠ΄Ρ Π΄Π΅ΠΉΡΡΠ²ΡΠ΅Ρ Π΅ΡΠ΅ ΠΎΠ΄Π½Π° ΡΠΎΡΡΠ°Π²Π»ΡΡΡΠ°Ρ ΡΠΈΠ»Ρ ΠΠΎΡΠ΅Π½ΡΠ°, ΡΠ²ΡΠ·Π°Π½Π½Π°Ρ ΡΒ ΠΎΡΠ½ΠΎΡΠΈΡΠ΅Π»ΡΠ½ΠΎΠΉΒ ΡΠΊΠΎΡΠΎΡΡΡΡ Π΄Π²ΠΈΠΆΠ΅Π½ΠΈΡ Π·Π°ΡΡΠ΄ΠΎΠ² Π²Π΄ΠΎΠ»Ρ ΠΏΡΠΎΠ²ΠΎΠ΄Π½ΠΈΠΊΠ°. ΠΡΠ° ΡΠΎΡΡΠ°Π²Π»ΡΡΡΠ°Ρ ΠΎΡΠ²Π΅ΡΡΡΠ²Π΅Π½Π½Π° Π·Π° ΠΏΠΎΡΠ²Π»Π΅Π½ΠΈΠ΅Β ΡΠΈΠ»Ρ ΠΠΌΠΏΠ΅ΡΠ°Β . ΠΠ»Ρ ΡΠ»ΡΡΠ°Ρ, ΠΈΠ·ΠΎΠ±ΡΠ°ΠΆΠ΅Π½Π½ΠΎΠ³ΠΎ Π½Π° ΡΠΈΡ.Β 1.20.3, ΠΌΠΎΠ΄ΡΠ»Ρ ΡΠΈΠ»Ρ ΠΠΌΠΏΠ΅ΡΠ° ΡΠ°Π²Π΅Π½Β FAΒ =Β IΒ BΒ l. Π‘ΠΈΠ»Π° ΠΠΌΠΏΠ΅ΡΠ° Π½Π°ΠΏΡΠ°Π²Π»Π΅Π½Π° Π½Π°Π²ΡΡΡΠ΅ΡΡ Π΄Π²ΠΈΠΆΠ΅Π½ΠΈΡ ΠΏΡΠΎΠ²ΠΎΠ΄Π½ΠΈΠΊΠ°; ΠΏΠΎΡΡΠΎΠΌΡ ΠΎΠ½Π° ΡΠΎΠ²Π΅ΡΡΠ°Π΅Ρ ΠΎΡΡΠΈΡΠ°ΡΠ΅Π»ΡΠ½ΡΡ ΠΌΠ΅Ρ Π°Π½ΠΈΡΠ΅ΡΠΊΡΡ ΡΠ°Π±ΠΎΡΡ. ΠΠ° Π²ΡΠ΅ΠΌΡ ΞtΒ ΡΡΠ° ΡΠ°Π±ΠΎΡΠ°Β AΠΌΠ΅Ρ Β ΡΠ°Π²Π½Π°Β
ΠΠ²ΠΈΠΆΡΡΠΈΠΉΡΡ Π² ΠΌΠ°Π³Π½ΠΈΡΠ½ΠΎΠΌ ΠΏΠΎΠ»Π΅ ΠΏΡΠΎΠ²ΠΎΠ΄Π½ΠΈΠΊ, ΠΏΠΎ ΠΊΠΎΡΠΎΡΠΎΠΌΡ ΠΏΡΠΎΡΠ΅ΠΊΠ°Π΅Ρ ΠΈΠ½Π΄ΡΠΊΡΠΈΠΎΠ½Π½ΡΠΉ ΡΠΎΠΊ, ΠΈΡΠΏΡΡΡΠ²Π°Π΅ΡΒ ΠΌΠ°Π³Π½ΠΈΡΠ½ΠΎΠ΅ ΡΠΎΡΠΌΠΎΠΆΠ΅Π½ΠΈΠ΅.Β ΠΠΎΠ»Π½Π°Ρ ΡΠ°Π±ΠΎΡΠ° ΡΠΈΠ»Ρ ΠΠΎΡΠ΅Π½ΡΠ° ΡΠ°Π²Π½Π° Π½ΡΠ»Ρ. ΠΠΆΠΎΡΠ»Π΅Π²ΠΎ ΡΠ΅ΠΏΠ»ΠΎ Π² ΠΊΠΎΠ½ΡΡΡΠ΅ Π²ΡΠ΄Π΅Π»ΡΠ΅ΡΡΡ Π»ΠΈΠ±ΠΎ Π·Π° ΡΡΠ΅Ρ ΡΠ°Π±ΠΎΡΡ Π²Π½Π΅ΡΠ½Π΅ΠΉ ΡΠΈΠ»Ρ, ΠΊΠΎΡΠΎΡΠ°Ρ ΠΏΠΎΠ΄Π΄Π΅ΡΠΆΠΈΠ²Π°Π΅Ρ ΡΠΊΠΎΡΠΎΡΡΡ ΠΏΡΠΎΠ²ΠΎΠ΄Π½ΠΈΠΊΠ° Π½Π΅ΠΈΠ·ΠΌΠ΅Π½Π½ΠΎΠΉ, Π»ΠΈΠ±ΠΎ Π·Π° ΡΡΠ΅Ρ ΡΠΌΠ΅Π½ΡΡΠ΅Π½ΠΈΡ ΠΊΠΈΠ½Π΅ΡΠΈΡΠ΅ΡΠΊΠΎΠΉ ΡΠ½Π΅ΡΠ³ΠΈΠΈ ΠΏΡΠΎΠ²ΠΎΠ΄Π½ΠΈΠΊΠ°.
2. ΠΡΠΎΡΠ°Ρ ΠΏΡΠΈΡΠΈΠ½Π° ΠΈΠ·ΠΌΠ΅Π½Π΅Π½ΠΈΡ ΠΌΠ°Π³Π½ΠΈΡΠ½ΠΎΠ³ΠΎ ΠΏΠΎΡΠΎΠΊΠ°, ΠΏΡΠΎΠ½ΠΈΠ·ΡΠ²Π°ΡΡΠ΅Π³ΠΎ ΠΊΠΎΠ½ΡΡΡ, β ΠΈΠ·ΠΌΠ΅Π½Π΅Π½ΠΈΠ΅ Π²ΠΎ Π²ΡΠ΅ΠΌΠ΅Π½ΠΈ ΠΌΠ°Π³Π½ΠΈΡΠ½ΠΎΠ³ΠΎ ΠΏΠΎΠ»Ρ ΠΏΡΠΈ Π½Π΅ΠΏΠΎΠ΄Π²ΠΈΠΆΠ½ΠΎΠΌ ΠΊΠΎΠ½ΡΡΡΠ΅. Π ΡΡΠΎΠΌ ΡΠ»ΡΡΠ°Π΅ Π²ΠΎΠ·Π½ΠΈΠΊΠ½ΠΎΠ²Π΅Π½ΠΈΠ΅ ΠΠΠ‘ ΠΈΠ½Π΄ΡΠΊΡΠΈΠΈ ΡΠΆΠ΅ Π½Π΅Π»ΡΠ·Ρ ΠΎΠ±ΡΡΡΠ½ΠΈΡΡ Π΄Π΅ΠΉΡΡΠ²ΠΈΠ΅ΠΌ ΡΠΈΠ»Ρ ΠΠΎΡΠ΅Π½ΡΠ°. ΠΠ»Π΅ΠΊΡΡΠΎΠ½Ρ Π² Π½Π΅ΠΏΠΎΠ΄Π²ΠΈΠΆΠ½ΠΎΠΌ ΠΏΡΠΎΠ²ΠΎΠ΄Π½ΠΈΠΊΠ΅ ΠΌΠΎΠ³ΡΡ ΠΏΡΠΈΠ²ΠΎΠ΄ΠΈΡΡΡΡ Π² Π΄Π²ΠΈΠΆΠ΅Π½ΠΈΠ΅ ΡΠΎΠ»ΡΠΊΠΎ ΡΠ»Π΅ΠΊΡΡΠΈΡΠ΅ΡΠΊΠΈΠΌ ΠΏΠΎΠ»Π΅ΠΌ. ΠΡΠΎ ΡΠ»Π΅ΠΊΡΡΠΈΡΠ΅ΡΠΊΠΎΠ΅ ΠΏΠΎΠ»Π΅ ΠΏΠΎΡΠΎΠΆΠ΄Π°Π΅ΡΡΡ ΠΈΠ·ΠΌΠ΅Π½ΡΡΡΠΈΠΌΡΡ Π²ΠΎ Π²ΡΠ΅ΠΌΠ΅Π½ΠΈ ΠΌΠ°Π³Π½ΠΈΡΠ½ΡΠΌ ΠΏΠΎΠ»Π΅ΠΌ. Π Π°Π±ΠΎΡΠ° ΡΡΠΎΠ³ΠΎ ΠΏΠΎΠ»Ρ ΠΏΡΠΈ ΠΏΠ΅ΡΠ΅ΠΌΠ΅ΡΠ΅Π½ΠΈΠΈ Π΅Π΄ΠΈΠ½ΠΈΡΠ½ΠΎΠ³ΠΎ ΠΏΠΎΠ»ΠΎΠΆΠΈΡΠ΅Π»ΡΠ½ΠΎΠ³ΠΎ Π·Π°ΡΡΠ΄Π° ΠΏΠΎ Π·Π°ΠΌΠΊΠ½ΡΡΠΎΠΌΡ ΠΊΠΎΠ½ΡΡΡΡ ΡΠ°Π²Π½Π° ΠΠΠ‘ ΠΈΠ½Π΄ΡΠΊΡΠΈΠΈ Π² Π½Π΅ΠΏΠΎΠ΄Π²ΠΈΠΆΠ½ΠΎΠΌ ΠΏΡΠΎΠ²ΠΎΠ΄Π½ΠΈΠΊΠ΅. Π‘Π»Π΅Π΄ΠΎΠ²Π°ΡΠ΅Π»ΡΠ½ΠΎ, ΡΠ»Π΅ΠΊΡΡΠΈΡΠ΅ΡΠΊΠΎΠ΅ ΠΏΠΎΠ»Π΅, ΠΏΠΎΡΠΎΠΆΠ΄Π΅Π½Π½ΠΎΠ΅ ΠΈΠ·ΠΌΠ΅Π½ΡΡΡΠΈΠΌΡΡ ΠΌΠ°Π³Π½ΠΈΡΠ½ΡΠΌ ΠΏΠΎΠ»Π΅ΠΌ,Β Π½Π΅ ΡΠ²Π»ΡΠ΅ΡΡΡΒ ΠΏΠΎΡΠ΅Π½ΡΠΈΠ°Π»ΡΠ½ΡΠΌ. ΠΠ³ΠΎ Π½Π°Π·ΡΠ²Π°ΡΡΒ Π²ΠΈΡ ΡΠ΅Π²ΡΠΌ ΡΠ»Π΅ΠΊΡΡΠΈΡΠ΅ΡΠΊΠΈΠΌ ΠΏΠΎΠ»Π΅ΠΌ. ΠΡΠ΅Π΄ΡΡΠ°Π²Π»Π΅Π½ΠΈΠ΅ ΠΎ Π²ΠΈΡ ΡΠ΅Π²ΠΎΠΌ ΡΠ»Π΅ΠΊΡΡΠΈΡΠ΅ΡΠΊΠΎΠΌ ΠΏΠΎΠ»Π΅ Π±ΡΠ»ΠΎ Π²Π²Π΅Π΄Π΅Π½ΠΎ Π² ΡΠΈΠ·ΠΈΠΊΡ Π²Π΅Π»ΠΈΠΊΠΈΠΌ Π°Π½Π³Π»ΠΈΠΉΡΠΊΠΈΠΌ ΡΠΈΠ·ΠΈΠΊΠΎΠΌΒ ΠΠΆ.Β ΠΠ°ΠΊΡΠ²Π΅Π»Π»ΠΎΠΌΒ Π²Β 1861Β Π³.
Π―Π²Π»Π΅Π½ΠΈΠ΅ ΡΠ»Π΅ΠΊΡΡΠΎΠΌΠ°Π³Π½ΠΈΡΠ½ΠΎΠΉ ΠΈΠ½Π΄ΡΠΊΡΠΈΠΈ Π² Π½Π΅ΠΏΠΎΠ΄Π²ΠΈΠΆΠ½ΡΡ ΠΏΡΠΎΠ²ΠΎΠ΄Π½ΠΈΠΊΠ°Ρ , Π²ΠΎΠ·Π½ΠΈΠΊΠ°ΡΡΠ΅Π΅ ΠΏΡΠΈ ΠΈΠ·ΠΌΠ΅Π½Π΅Π½ΠΈΠΈ ΠΎΠΊΡΡΠΆΠ°ΡΡΠ΅Π³ΠΎ ΠΌΠ°Π³Π½ΠΈΡΠ½ΠΎΠ³ΠΎ ΠΏΠΎΠ»Ρ, ΡΠ°ΠΊΠΆΠ΅ ΠΎΠΏΠΈΡΡΠ²Π°Π΅ΡΡΡ ΡΠΎΡΠΌΡΠ»ΠΎΠΉ Π€Π°ΡΠ°Π΄Π΅Ρ. Π’Π°ΠΊΠΈΠΌ ΠΎΠ±ΡΠ°Π·ΠΎΠΌ, ΡΠ²Π»Π΅Π½ΠΈΡ ΠΈΠ½Π΄ΡΠΊΡΠΈΠΈ Π² Π΄Π²ΠΈΠΆΡΡΠΈΡ ΡΡ ΠΈ Π½Π΅ΠΏΠΎΠ΄Π²ΠΈΠΆΠ½ΡΡ ΠΏΡΠΎΠ²ΠΎΠ΄Π½ΠΈΠΊΠ°Ρ ΠΏΡΠΎΡΠ΅ΠΊΠ°ΡΡ ΠΎΠ΄ΠΈΠ½Π°ΠΊΠΎΠ²ΠΎ, Π½ΠΎ ΡΠΈΠ·ΠΈΡΠ΅ΡΠΊΠ°Ρ ΠΏΡΠΈΡΠΈΠ½Π° Π²ΠΎΠ·Π½ΠΈΠΊΠ½ΠΎΠ²Π΅Π½ΠΈΡ ΠΈΠ½Π΄ΡΠΊΡΠΈΠΎΠ½Π½ΠΎΠ³ΠΎ ΡΠΎΠΊΠ° ΠΎΠΊΠ°Π·ΡΠ²Π°Π΅ΡΡΡ Π² ΡΡΠΈΡ Π΄Π²ΡΡ ΡΠ»ΡΡΠ°ΡΡ ΡΠ°Π·Π»ΠΈΡΠ½ΠΎΠΉ: Π² ΡΠ»ΡΡΠ°Π΅ Π΄Π²ΠΈΠΆΡΡΠΈΡ ΡΡ ΠΏΡΠΎΠ²ΠΎΠ΄Π½ΠΈΠΊΠΎΠ² ΠΠΠ‘ ΠΈΠ½Π΄ΡΠΊΡΠΈΠΈ ΠΎΠ±ΡΡΠ»ΠΎΠ²Π»Π΅Π½Π° ΡΠΈΠ»ΠΎΠΉ ΠΠΎΡΠ΅Π½ΡΠ°; Π² ΡΠ»ΡΡΠ°Π΅ Π½Π΅ΠΏΠΎΠ΄Π²ΠΈΠΆΠ½ΡΡ ΠΏΡΠΎΠ²ΠΎΠ΄Π½ΠΈΠΊΠΎΠ² ΠΠΠ‘ ΠΈΠ½Π΄ΡΠΊΡΠΈΠΈ ΡΠ²Π»ΡΠ΅ΡΡΡ ΡΠ»Π΅Π΄ΡΡΠ²ΠΈΠ΅ΠΌ Π΄Π΅ΠΉΡΡΠ²ΠΈΡ Π½Π° ΡΠ²ΠΎΠ±ΠΎΠ΄Π½ΡΠ΅ Π·Π°ΡΡΠ΄Ρ Π²ΠΈΡ ΡΠ΅Π²ΠΎΠ³ΠΎ ΡΠ»Π΅ΠΊΡΡΠΈΡΠ΅ΡΠΊΠΎΠ³ΠΎ ΠΏΠΎΠ»Ρ, Π²ΠΎΠ·Π½ΠΈΠΊΠ°ΡΡΠ΅Π³ΠΎ ΠΏΡΠΈ ΠΈΠ·ΠΌΠ΅Π½Π΅Π½ΠΈΠΈ ΠΌΠ°Π³Π½ΠΈΡΠ½ΠΎΠ³ΠΎ ΠΏΠΎΠ»Ρ.
ΠΠΠ‘ (Ξ΅)Β – ΠΎΡΠ½ΠΎΡΠ΅Π½ΠΈΠ΅ ΡΠ°Π±ΠΎΡΡ ΡΡΠΎΡΠΎΠ½Π½ΠΈΡ ΡΠΈΠ» ΠΏΠΎ ΡΠ°Π·Π΄Π΅Π»Π΅Π½ΠΈΡ Π·Π°ΡΡΠ΄ΠΎΠ² ΠΊ Π²Π΅Π»ΠΈΡΠΈΠ½Π΅ ΡΡΠΎΠ³ΠΎ Π·Π°ΡΡΠ΄Π°, ΠΈΠ½Π°ΡΠ΅, ΡΠΏΠΎΡΠΎΠ±Π½ΠΎΡΡΡ Π΄Π°Π½Π½ΠΎΠ³ΠΎ ΠΈΡΡΠΎΡΠ½ΠΈΠΊΠ° Π΄Π°Π²Π°ΡΡ Π½Π΅ΠΎΠ±Ρ ΠΎΠ΄ΠΈΠΌΠΎΠ΅ ΠΊΠΎΠ»ΠΈΡΠ΅ΡΡΠ²ΠΎ Π·Π°ΡΡΠ΄ΠΎΠ² Π½Π΅ΠΎΠ±Ρ ΠΎΠ΄ΠΈΠΌΠΎΠΉ ΡΠ½Π΅ΡΠ³ΠΈΠΈ. Β – ΠΠΠ‘. ΠΠΠ‘Β Π½Π΅ ΡΠ²Π»ΡΠ΅ΡΡΡ ΡΠΈΠ»ΠΎΠΉΒ Π² ΠΡΡΡΠΎΠ½ΠΎΠ²ΠΎΠΌ ΡΠΌΡΡΠ»Π΅ (Π½Π΅ΡΠ΄Π°ΡΠ½ΠΎΠ΅ Π½Π°Π·Π²Π°Π½ΠΈΠ΅ Π²Π΅Π»ΠΈΡΠΈΠ½Ρ, ΡΠΎΡ ΡΠ°Π½Π΅Π½Π½ΠΎΠ΅ ΠΊΠ°ΠΊ Π΄Π°Π½Ρ ΡΡΠ°Π΄ΠΈΡΠΈΠΈ). Ξ΅iΒ Π²ΠΎΠ·Π½ΠΈΠΊΠ°Π΅ΡΒ ΠΏΡΠΈ ΠΈΠ·ΠΌΠ΅Π½Π΅Π½ΠΈΠΈΒ ΠΌΠ°Π³Π½ΠΈΡΠ½ΠΎΠ³ΠΎ ΠΏΠΎΡΠΎΠΊΠ°Β Π€, ΠΏΡΠΎΠ½ΠΈΠ·ΡΠ²Π°ΡΡΠ΅Π³ΠΎ ΠΊΠΎΠ½ΡΡΡ. – ΠΠΠ‘ ΠΈΠ½Π΄ΡΠΊΡΠΈΠΈ. Β – ΠΠΠ‘ ΠΈΠ½Π΄ΡΠΊΡΠΈΠΈ Π² ΠΊΠΎΠ½ΡΡΡΠ΅, ΡΠΎΠ΄Π΅ΡΠΆΠ°ΡΠ΅ΠΌ N Π²ΠΈΡΠΊΠΎΠ² ΠΏΡΠΎΠ²ΠΎΠ΄Π°. -ΠΠΠ‘ ΠΈΠ½Π΄ΡΠΊΡΠΈΠΈ ΠΏΡΠΈ Π΄Π²ΠΈΠΆΠ΅Π½ΠΈΠΈ ΠΎΠ΄Π½ΠΎΠ³ΠΎ ΠΈΠ· ΠΏΡΠΎΠ²ΠΎΠ΄Π½ΠΈΠΊΠΎΠ² ΠΊΠΎΠ½ΡΡΡΠ° (ΡΠ°ΠΊ, ΡΡΠΎΠ±Ρ ΠΌΠ΅Π½ΡΠ»ΡΡ Π€). Π ΡΡΠΎΠΌ ΡΠ»ΡΡΠ°Π΅ ΠΏΡΠΎΠ²ΠΎΠ΄Π½ΠΈΠΊ Π΄Π»ΠΈΠ½ΠΎΠΉΒ l, Π΄Π²ΠΈΠΆΡΡΠΈΠΉΡΡ ΡΠΎ ΡΠΊΠΎΡΠΎΡΡΡΡΒ vΒ ΡΡΠ°Π½ΠΎΠ²ΠΈΡΡΡ ΠΈΡΡΠΎΡΠ½ΠΈΠΊΠΎΠΌ ΡΠΎΠΊΠ°. – ΠΠΠ‘ ΠΈΠ½Π΄ΡΠΊΡΠΈΠΈ Π² ΠΊΠΎΠ½ΡΡΡΠ΅, Π²ΡΠ°ΡΠ°ΡΡΠ΅ΠΌΡΡ Π² ΠΌΠ°Π³Π½ΠΈΡΠ½ΠΎΠΌ ΠΏΠΎΠ»Π΅ ΡΠΎ ΡΠΊΠΎΡΠΎΡΡΡΡ Ο. ΠΡΡΠ³ΠΈΠ΅ ΡΠΎΡΠΌΡΠ»Ρ, Π³Π΄Π΅ Π²ΡΡΡΠ΅ΡΠ°Π΅ΡΡΡ ΠΠΠ‘: – Π·Π°ΠΊΠΎΠ½ ΠΠΌΠ° Π΄Π»Ρ ΠΏΠΎΠ»Π½ΠΎΠΉ ΡΠ΅ΠΏΠΈ. Π Π·Π°ΠΌΠΊΠ½ΡΡΠΎΠΉ ΡΠ΅ΠΏΠΈ ΠΠΠ‘ ΡΠΎΠΆΠ΄Π°Π΅Ρ ΡΠ»Π΅ΠΊΡΡΠΈΡΠ΅ΡΠΊΠΈΠΉ ΡΠΎΠΊ I. ΠΠ°ΠΏΡΠ°Π²Π»Π΅Π½ΠΈΠ΅ ΠΈΠ½Π΄ΡΠΊΡΠΈΠΎΠ½Π½ΠΎΠ³ΠΎ ΡΠΎΠΊΠ° ΠΎΠΏΡΠ΅Π΄Π΅Π»ΡΡΡ ΠΏΠΎ ΠΏΡΠ°Π²ΠΈΠ»Π°ΠΌ: – ΠΏΡΠ°Π²ΠΈΠ»ΠΎΒ ΠΠ΅Π½ΡΠ°Β – Π²ΠΎΠ·Π½ΠΈΠΊΠ°ΡΡΠΈΠΉ Π² Π·Π°ΠΌΠΊΠ½ΡΡΠΎΠΌ ΠΊΠΎΠ½ΡΡΡΠ΅ ΠΈΠ½Π΄ΡΠΊΡΠΈΠΎΠ½Π½ΡΠΉ ΡΠΎΠΊΒ ΠΏΡΠΎΡΠΈΠ²ΠΎΠ΄Π΅ΠΉΡΡΠ²ΡΠ΅Ρ ΡΠΎΠΌΡΒ ΠΈΠ·ΠΌΠ΅Π½Π΅Π½ΠΈΡΒ ΠΌΠ°Π³Π½ΠΈΡΠ½ΠΎΠ³ΠΎ ΠΏΠΎΡΠΎΠΊΠ°, ΠΊΠΎΡΠΎΡΡΠΌ Π²ΡΠ·Π²Π°Π½ Π΄Π°Π½Π½ΡΠΉ ΡΠΎΠΊ; – Π΄Π»Ρ ΠΏΡΠΎΠ²ΠΎΠ΄Π½ΠΈΠΊΠ°, Π΄Π²ΠΈΠΆΡΡΠ΅Π³ΠΎΡΡ Π² ΠΌΠ°Π³Π½ΠΈΡΠ½ΠΎΠΌ ΠΏΠΎΠ»Π΅, ΠΈΠ½ΠΎΠ³Π΄Π° ΠΏΡΠΎΡΠ΅ Π²ΠΎΡΠΏΠΎΠ»ΡΠ·ΠΎΠ²Π°ΡΡΡΡ ΠΏΡΠ°Π²ΠΈΠ»ΠΎΠΌΒ ΠΏΡΠ°Π²ΠΎΠΉ ΡΡΠΊΠΈΒ – Π΅ΡΠ»ΠΈ ΡΠ°ΡΠΏΠΎΠ»ΠΎΠΆΠΈΡΡ ΡΠ°ΡΠΊΡΡΡΡΡΒ Π»Π°Π΄ΠΎΠ½Ρ ΠΏΡΠ°Π²ΠΎΠΉ ΡΡΠΊΠΈΒ ΡΠ°ΠΊ, ΡΡΠΎΠ±Ρ Π² Π½Π΅Π΅Β Π²Ρ ΠΎΠ΄ΠΈΠ»ΠΈΒ ΡΠΈΠ»ΠΎΠ²ΡΠ΅ Π»ΠΈΠ½ΠΈΠΈ ΠΌΠ°Π³Π½ΠΈΡΠ½ΠΎΠ³ΠΎ ΠΏΠΎΠ»ΡΒ Π, Π°Π±ΠΎΠ»ΡΡΠΎΠΉ ΠΏΠ°Π»Π΅Ρ, ΠΎΡΡΡΠ°Π²Π»Π΅Π½Π½ΡΠΉ Π² ΡΡΠΎΡΠΎΠ½Ρ ΡΠΊΠ°Π·ΡΠ²Π°Π»Β Π½Π°ΠΏΡΠ°Π²Π»Π΅Π½ΠΈΠ΅ ΡΠΊΠΎΡΠΎΡΡΠΈ v, ΡΠΎΒ ΡΠ΅ΡΡΡΠ΅ ΠΏΠ°Π»ΡΡΠ°Β ΡΡΠΊΠΈ ΡΠΊΠ°ΠΆΡΡΒ Π½Π°ΠΏΡΠ°Π²Π»Π΅Π½ΠΈΠ΅ ΠΈΠ½Π΄ΡΠΊΡΠΈΠΎΠ½Π½ΠΎΠ³ΠΎ ΡΠΎΠΊΠ° I. – ΠΠΠ‘ ΡΠ°ΠΌΠΎΠΈΠ½Π΄ΡΠΊΡΠΈΠΈ ΠΏΡΠΈ ΠΈΠ·ΠΌΠ΅Π½Π΅Π½ΠΈΠΈ ΡΠΎΠΊΠ° Π² ΠΏΡΠΎΠ²ΠΎΠ΄Π½ΠΈΠΊ
ΠΠΠΠΠ ΠΠΠΠΠ’Π ΠΠΠΠΠΠΠ’ΠΠΠ ΠΠΠΠ£ΠΠ¦ΠΠ
ΠΠ». ΡΠΎΠΊ Π² ΡΠ΅ΠΏΠΈ Π²ΠΎΠ·ΠΌΠΎΠΆΠ΅Π½, Π΅ΡΠ»ΠΈ Π½Π° ΡΠ²ΠΎΠ±ΠΎΠ΄Π½ΡΠ΅ Π·Π°ΡΡΠ΄Ρ ΠΏΡΠΎΠ²ΠΎΠ΄Π½ΠΈΠΊΠ° Π΄Π΅ΠΉΡΡΠ²ΡΡΡΒ ΡΡΠΎΡΠΎΠ½Π½ΠΈΠ΅ ΡΠΈΠ»Ρ. Π Π°Π±ΠΎΡΠ° ΡΡΠΈΡ ΡΠΈΠ» ΠΏΠΎ ΠΏΠ΅ΡΠ΅ΠΌΠ΅ΡΠ΅Π½ΠΈΡ Π΅Π΄ΠΈΠ½ΠΈΡΠ½ΠΎΠ³ΠΎ ΠΏΠΎΠ»ΠΎΠΆΠΈΡΠ΅Π»ΡΠ½ΠΎΠ³ΠΎ Π·Π°ΡΡΠ΄Π° Π²Π΄ΠΎΠ»Ρ Π·Π°ΠΌΠΊΠ½ΡΡΠΎΠ³ΠΎ ΠΊΠΎΠ½ΡΡΡΠ° Π½Π°Π·ΡΠ²Π°Π΅ΡΡΡ ΠΠΠ‘. ΠΡΠΈ ΠΈΠ·ΠΌΠ΅Π½Π΅Π½ΠΈΠΈ ΠΌΠ°Π³Π½ΠΈΡΠ½ΠΎΠ³ΠΎ ΠΏΠΎΡΠΎΠΊΠ° ΡΠ΅ΡΠ΅Π· ΠΏΠΎΠ²Π΅ΡΡ Π½ΠΎΡΡΡ, ΠΎΠ³ΡΠ°Π½ΠΈΡΠ΅Π½Π½ΡΡ ΠΊΠΎΠ½ΡΡΡΠΎΠΌ, Π² ΠΊΠΎΠ½ΡΡΡΠ΅ ΠΏΠΎΡΠ²Π»ΡΡΡΡΡ ΡΡΠΎΡΠΎΠ½Π½ΠΈΠ΅ ΡΠΈΠ»Ρ, Π΄Π΅ΠΉΡΡΠ²ΠΈΠ΅ ΠΊΠΎΡΠΎΡΡΡ Ρ Π°ΡΠ°ΠΊΡΠ΅ΡΠΈΠ·ΡΠ΅ΡΡΡ ΠΠΠ‘ ΠΈΠ½Π΄ΡΠΊΡΠΈΠΈ. Π£ΡΠΈΡΡΠ²Π°Ρ Π½Π°ΠΏΡΠ°Π²Π»Π΅Π½ΠΈΠ΅ ΠΈΠ½Π΄ΡΠΊΡΠΈΠΎΠ½Π½ΠΎΠ³ΠΎ ΡΠΎΠΊΠ°, ΡΠΎΠ³Π»Π°ΡΠ½ΠΎ ΠΏΡΠ°Π²ΠΈΠ»Ρ ΠΠ΅Π½ΡΠ°:
ΠΠΠ‘ ΠΈΠ½Π΄ΡΠΊΡΠΈΠΈ Π² Π·Π°ΠΌΠΊΠ½ΡΡΠΎΠΌ ΠΊΠΎΠ½ΡΡΡΠ΅ ΡΠ°Π²Π½Π° ΡΠΊΠΎΡΠΎΡΡΠΈ ΠΈΠ·ΠΌΠ΅Π½Π΅Π½ΠΈΡ ΠΌΠ°Π³Π½ΠΈΡΠ½ΠΎΠ³ΠΎ ΠΏΠΎΡΠΎΠΊΠ° ΡΠ΅ΡΠ΅Π· ΠΏΠΎΠ²Π΅ΡΡ Π½ΠΎΡΡΡ, ΠΎΠ³ΡΠ°Π½ΠΈΡΠ΅Π½Π½ΡΡ ΠΊΠΎΠ½ΡΡΡΠΎΠΌ, Π²Π·ΡΡΠΎΠΉ Ρ ΠΏΡΠΎΡΠΈΠ²ΠΎΠΏΠΎΠ»ΠΎΠΆΠ½ΡΠΌ Π·Π½Π°ΠΊΠΎΠΌ.
ΠΠΎΡΠ΅ΠΌΡ “-” ?Β – Ρ.ΠΊ. ΠΈΠ½Π΄ΡΠΊΡΠΈΠΎΠ½Π½ΡΠΉ ΡΠΎΠΊ ΠΏΡΠΎΡΠΈΠ²ΠΎΠ΄Π΅ΠΉΡΡΠ²ΡΠ΅Ρ ΠΈΠ·ΠΌΠ΅Π½Π΅Π½ΠΈΡ ΠΌΠ°Π³Π½ΠΈΡΠ½ΠΎΠ³ΠΎ ΠΏΠΎΡΠΎΠΊΠ°, ΠΠΠ‘ ΠΈΠ½Π΄ΡΠΊΡΠΈΠΈ ΠΈ ΡΠΊΠΎΡΠΎΡΡΡ ΠΈΠ·ΠΌΠ΅Π½Π΅Π½ΠΈΡ ΠΌΠ°Π³Π½ΠΈΡΠ½ΠΎΠ³ΠΎ ΠΏΠΎΡΠΎΠΊΠ° ΠΈΠΌΠ΅ΡΡ ΡΠ°Π·Π½ΡΠ΅ Π·Π½Π°ΠΊΠΈ.
ΠΡΠ»ΠΈ ΡΠ°ΡΡΠΌΠ°ΡΡΠΈΠ²Π°ΡΡ Π½Π΅ Π΅Π΄ΠΈΠ½ΠΈΡΠ½ΡΠΉ ΠΊΠΎΠ½ΡΡΡ, Π° ΠΊΠ°ΡΡΡΠΊΡ, Π³Π΄Π΅ N- ΡΠΈΡΠ»ΠΎ Π²ΠΈΡΠΊΠΎΠ² Π² ΠΊΠ°ΡΡΡΠΊΠ΅:
ΠΠ΅Π»ΠΈΡΠΈΠ½Ρ ΠΈΠ½Π΄ΡΠΊΡΠΈΠΎΠ½Π½ΠΎΠ³ΠΎ ΡΠΎΠΊΠ° ΠΌΠΎΠΆΠ½ΠΎ ΡΠ°ΡΡΡΠΈΡΠ°ΡΡ ΠΏΠΎ Π·Π°ΠΊΠΎΠ½Ρ ΠΠΌΠ° Π΄Π»Ρ Π·Π°ΠΌΠΊΠ½ΡΡΠΎΠΉ ΡΠ΅ΠΏΠΈ
, Π³Π΄Π΅ R – ΡΠΎΠΏΡΠΎΡΠΈΠ²Π»Π΅Π½ΠΈΠ΅ ΠΏΡΠΎΠ²ΠΎΠ΄Π½ΠΈΠΊΠ°.
studfiles.net
ΠΠ»Π΅ΠΊΡΡΠΎΠΌΠ°Π³Π½ΠΈΡΠ½Π°Ρ ΠΈΠ½Π΄ΡΠΊΡΠΈΡ. ΠΡΠ°Π²ΠΈΠ»ΠΎ ΠΠ΅Π½ΡΠ° | ΠΠ’Π Π€ΠΠΠΠΠ
Π―Π²Π»Π΅Π½ΠΈΠ΅ ΡΠ»Π΅ΠΊΡΡΠΎΠΌΠ°Π³Π½ΠΈΡΠ½ΠΎΠΉ ΠΈΠ½Π΄ΡΠΊΡΠΈΠΈ Π±ΡΠ»ΠΎ ΠΎΡΠΊΡΡΡΠΎ Π²ΡΠ΄Π°ΡΡΠΈΠΌΡΡ Π°Π½Π³Π»ΠΈΠΉΡΠΊΠΈΠΌ ΡΠΈΠ·ΠΈΠΊΠΎΠΌ Π.Π€Π°ΡΠ°Π΄Π΅Π΅ΠΌ Π² 1831Β Π³. ΠΠ½ΠΎ Π·Π°ΠΊΠ»ΡΡΠ°Π΅ΡΡΡ Π² Π²ΠΎΠ·Π½ΠΈΠΊΠ½ΠΎΠ²Π΅Π½ΠΈΠΈ ΡΠ»Π΅ΠΊΡΡΠΈΡΠ΅ΡΠΊΠΎΠ³ΠΎ ΡΠΎΠΊΠ° Π² Π·Π°ΠΌΠΊΠ½ΡΡΠΎΠΌ ΠΏΡΠΎΠ²ΠΎΠ΄ΡΡΠ΅ΠΌ ΠΊΠΎΠ½ΡΡΡΠ΅ ΠΏΡΠΈ ΠΈΠ·ΠΌΠ΅Π½Π΅Π½ΠΈΠΈ Π²ΠΎ Π²ΡΠ΅ΠΌΠ΅Π½ΠΈ ΠΌΠ°Π³Π½ΠΈΡΠ½ΠΎΠ³ΠΎ ΠΏΠΎΡΠΎΠΊΠ°, ΠΏΡΠΎΠ½ΠΈΠ·ΡΠ²Π°ΡΡΠ΅Π³ΠΎ ΠΊΠΎΠ½ΡΡΡ.
ΠΠ°Π³Π½ΠΈΡΠ½ΡΠΌ ΠΏΠΎΡΠΎΠΊΠΎΠΌ Ξ¦ ΡΠ΅ΡΠ΅Π· ΠΏΠ»ΠΎΡΠ°Π΄Ρ S ΠΊΠΎΠ½ΡΡΡΠ° Π½Π°Π·ΡΠ²Π°ΡΡ Π²Π΅Π»ΠΈΡΠΈΠ½Ρ
Ξ¦ = BΒ Β·Β SΒ Β·Β cosΒ Ξ±, |
Π³Π΄Π΅ B β ΠΌΠΎΠ΄ΡΠ»Ρ Π²Π΅ΠΊΡΠΎΡΠ° ΠΌΠ°Π³Π½ΠΈΡΠ½ΠΎΠΉ ΠΈΠ½Π΄ΡΠΊΡΠΈΠΈ, Ξ± β ΡΠ³ΠΎΠ» ΠΌΠ΅ΠΆΠ΄Ρ Π²Π΅ΠΊΡΠΎΡΠΎΠΌ Β ΠΈ Π½ΠΎΡΠΌΠ°Π»ΡΡ Β ΠΊ ΠΏΠ»ΠΎΡΠΊΠΎΡΡΠΈ ΠΊΠΎΠ½ΡΡΡΠ° (ΡΠΈΡ.Β 1.20.1).
|
Π ΠΈΡΡΠ½ΠΎΠΊ 1.20.1. ΠΠ°Π³Π½ΠΈΡΠ½ΡΠΉ ΠΏΠΎΡΠΎΠΊ ΡΠ΅ΡΠ΅Π· Π·Π°ΠΌΠΊΠ½ΡΡΡΠΉ ΠΊΠΎΠ½ΡΡΡ. ΠΠ°ΠΏΡΠ°Π²Π»Π΅Π½ΠΈΠ΅ Π½ΠΎΡΠΌΠ°Π»ΠΈ Β Β ΠΈ Π²ΡΠ±ΡΠ°Π½Π½ΠΎΠ΅ ΠΏΠΎΠ»ΠΎΠΆΠΈΡΠ΅Π»ΡΠ½ΠΎΠ΅ Π½Π°ΠΏΡΠ°Π²Π»Π΅Π½ΠΈΠ΅ Β Β ΠΎΠ±Ρ ΠΎΠ΄Π° ΠΊΠΎΠ½ΡΡΡΠ° ΡΠ²ΡΠ·Π°Π½Ρ ΠΏΡΠ°Π²ΠΈΠ»ΠΎΠΌ ΠΏΡΠ°Π²ΠΎΠ³ΠΎ Π±ΡΡΠ°Π²ΡΠΈΠΊΠ° |
ΠΠΏΡΠ΅Π΄Π΅Π»Π΅Π½ΠΈΠ΅ ΠΌΠ°Π³Π½ΠΈΡΠ½ΠΎΠ³ΠΎ ΠΏΠΎΡΠΎΠΊΠ° Π½Π΅ΡΡΡΠ΄Π½ΠΎ ΠΎΠ±ΠΎΠ±ΡΠΈΡΡ Π½Π° ΡΠ»ΡΡΠ°ΠΉ Π½Π΅ΠΎΠ΄Π½ΠΎΡΠΎΠ΄Π½ΠΎΠ³ΠΎ ΠΌΠ°Π³Π½ΠΈΡΠ½ΠΎΠ³ΠΎ ΠΏΠΎΠ»Ρ ΠΈ Π½Π΅ΠΏΠ»ΠΎΡΠΊΠΎΠ³ΠΎ ΠΊΠΎΠ½ΡΡΡΠ°. ΠΠ΄ΠΈΠ½ΠΈΡΠ° ΠΌΠ°Π³Π½ΠΈΡΠ½ΠΎΠ³ΠΎ ΠΏΠΎΡΠΎΠΊΠ° Π² ΡΠΈΡΡΠ΅ΠΌΠ΅ Π‘Π Π½Π°Π·ΡΠ²Π°Π΅ΡΡΡ ΠΠ΅Π±Π΅ΡΠΎΠΌ (ΠΠ±). ΠΠ°Π³Π½ΠΈΡΠ½ΡΠΉ ΠΏΠΎΡΠΎΠΊ, ΡΠ°Π²Π½ΡΠΉ 1Β ΠΠ±, ΡΠΎΠ·Π΄Π°Π΅ΡΡΡ ΠΌΠ°Π³Π½ΠΈΡΠ½ΡΠΌ ΠΏΠΎΠ»Π΅ΠΌ Ρ ΠΈΠ½Π΄ΡΠΊΡΠΈΠ΅ΠΉ 1Β Π’Π», ΠΏΡΠΎΠ½ΠΈΠ·ΡΠ²Π°ΡΡΠΈΠΌ ΠΏΠΎ Π½Π°ΠΏΡΠ°Π²Π»Π΅Π½ΠΈΡ Π½ΠΎΡΠΌΠ°Π»ΠΈ ΠΏΠ»ΠΎΡΠΊΠΈΠΉ ΠΊΠΎΠ½ΡΡΡ ΠΏΠ»ΠΎΡΠ°Π΄ΡΡ 1Β ΠΌ2:
1Β ΠΠ±Β =Β 1Β Π’Π»Β Β·Β 1Β ΠΌ2. |
Π€Π°ΡΠ°Π΄Π΅ΠΉ ΡΠΊΡΠΏΠ΅ΡΠΈΠΌΠ΅Π½ΡΠ°Π»ΡΠ½ΠΎ ΡΡΡΠ°Π½ΠΎΠ²ΠΈΠ», ΡΡΠΎ ΠΏΡΠΈ ΠΈΠ·ΠΌΠ΅Π½Π΅Π½ΠΈΠΈ ΠΌΠ°Π³Π½ΠΈΡΠ½ΠΎΠ³ΠΎ ΠΏΠΎΡΠΎΠΊΠ° Π² ΠΏΡΠΎΠ²ΠΎΠ΄ΡΡΠ΅ΠΌ ΠΊΠΎΠ½ΡΡΡΠ΅ Π²ΠΎΠ·Π½ΠΈΠΊΠ°Π΅Ρ ΠΠΠ‘ ΠΈΠ½Π΄ΡΠΊΡΠΈΠΈ ΡΠ°Π²Π½Π°Ρ ΡΠΊΠΎΡΠΎΡΡΠΈ ΠΈΠ·ΠΌΠ΅Π½Π΅Π½ΠΈΡ ΠΌΠ°Π³Π½ΠΈΡΠ½ΠΎΠ³ΠΎ ΠΏΠΎΡΠΎΠΊΠ° ΡΠ΅ΡΠ΅Π· ΠΏΠΎΠ²Π΅ΡΡ Π½ΠΎΡΡΡ, ΠΎΠ³ΡΠ°Π½ΠΈΡΠ΅Π½Π½ΡΡ ΠΊΠΎΠ½ΡΡΡΠΎΠΌ, Π²Π·ΡΡΠΎΠΉ ΡΠΎ Π·Π½Π°ΠΊΠΎΠΌ ΠΌΠΈΠ½ΡΡ:
ΠΡΠ° ΡΠΎΡΠΌΡΠ»Π° Π½ΠΎΡΠΈΡ Π½Π°Π·Π²Π°Π½ΠΈΠ΅ Π·Π°ΠΊΠΎΠ½Π° Π€Π°ΡΠ°Π΄Π΅Ρ.
ΠΠΏΡΡ ΠΏΠΎΠΊΠ°Π·ΡΠ²Π°Π΅Ρ, ΡΡΠΎ ΠΈΠ½Π΄ΡΠΊΡΠΈΠΎΠ½Π½ΡΠΉ ΡΠΎΠΊ, Π²ΠΎΠ·Π±ΡΠΆΠ΄Π°Π΅ΠΌΡΠΉ Π² Π·Π°ΠΌΠΊΠ½ΡΡΠΎΠΌ ΠΊΠΎΠ½ΡΡΡΠ΅ ΠΏΡΠΈ ΠΈΠ·ΠΌΠ΅Π½Π΅Π½ΠΈΠΈ ΠΌΠ°Π³Π½ΠΈΡΠ½ΠΎΠ³ΠΎ ΠΏΠΎΡΠΎΠΊΠ°, Π²ΡΠ΅Π³Π΄Π° Π½Π°ΠΏΡΠ°Π²Π»Π΅Π½ ΡΠ°ΠΊ, ΡΡΠΎ ΡΠΎΠ·Π΄Π°Π²Π°Π΅ΠΌΠΎΠ΅ ΠΈΠΌ ΠΌΠ°Π³Π½ΠΈΡΠ½ΠΎΠ΅ ΠΏΠΎΠ»Π΅ ΠΏΡΠ΅ΠΏΡΡΡΡΠ²ΡΠ΅Ρ ΠΈΠ·ΠΌΠ΅Π½Π΅Π½ΠΈΡ ΠΌΠ°Π³Π½ΠΈΡΠ½ΠΎΠ³ΠΎ ΠΏΠΎΡΠΎΠΊΠ°, Π²ΡΠ·ΡΠ²Π°ΡΡΠ΅Π³ΠΎ ΠΈΠ½Π΄ΡΠΊΡΠΈΠΎΠ½Π½ΡΠΉ ΡΠΎΠΊ. ΠΡΠΎ ΡΡΠ²Π΅ΡΠΆΠ΄Π΅Π½ΠΈΠ΅, ΡΡΠΎΡΠΌΡΠ»ΠΈΡΠΎΠ²Π°Π½Π½ΠΎΠ΅ Π²Β 1833Β Π³., Π½Π°Π·ΡΠ²Π°Π΅ΡΡΡ ΠΏΡΠ°Π²ΠΈΠ»ΠΎΠΌ ΠΠ΅Π½ΡΠ°.
Π ΠΈΡ.Β 1.20.2 ΠΈΠ»Π»ΡΡΡΡΠΈΡΡΠ΅Ρ ΠΏΡΠ°Π²ΠΈΠ»ΠΎ ΠΠ΅Π½ΡΠ° Π½Π° ΠΏΡΠΈΠΌΠ΅ΡΠ΅ Π½Π΅ΠΏΠΎΠ΄Π²ΠΈΠΆΠ½ΠΎΠ³ΠΎ ΠΏΡΠΎΠ²ΠΎΠ΄ΡΡΠ΅Π³ΠΎ ΠΊΠΎΠ½ΡΡΡΠ°, ΠΊΠΎΡΠΎΡΡΠΉ Π½Π°Ρ ΠΎΠ΄ΠΈΡΡΡ Π² ΠΎΠ΄Π½ΠΎΡΠΎΠ΄Π½ΠΎΠΌ ΠΌΠ°Π³Π½ΠΈΡΠ½ΠΎΠΌ ΠΏΠΎΠ»Π΅, ΠΌΠΎΠ΄ΡΠ»Ρ ΠΈΠ½Π΄ΡΠΊΡΠΈΠΈ ΠΊΠΎΡΠΎΡΠΎΠ³ΠΎ ΡΠ²Π΅Π»ΠΈΡΠΈΠ²Π°Π΅ΡΡΡ Π²ΠΎ Π²ΡΠ΅ΠΌΠ΅Π½ΠΈ.
|
Π ΠΈΡΡΠ½ΠΎΠΊ 1.20.2. ΠΠ»Π»ΡΡΡΡΠ°ΡΠΈΡ ΠΏΡΠ°Π²ΠΈΠ»Π° ΠΠ΅Π½ΡΠ°. Π ΡΡΠΎΠΌ ΠΏΡΠΈΠΌΠ΅ΡΠ΅ ,Β Π° Β . ΠΠ½Π΄ΡΠΊΡΠΈΠΎΠ½Π½ΡΠΉ ΡΠΎΠΊ IΠΈΠ½Π΄ ΡΠ΅ΡΠ΅Ρ Π½Π°Π²ΡΡΡΠ΅ΡΡ Π²ΡΠ±ΡΠ°Π½Π½ΠΎΠΌΡ ΠΏΠΎΠ»ΠΎΠΆΠΈΡΠ΅Π»ΡΠ½ΠΎΠΌΡ Π½Π°ΠΏΡΠ°Π²Π»Π΅Π½ΠΈΡ Β ΠΎΠ±Ρ ΠΎΠ΄Π° ΠΊΠΎΠ½ΡΡΡΠ° |
ΠΡΠ°Π²ΠΈΠ»ΠΎ ΠΠ΅Π½ΡΠ° ΠΎΡΡΠ°ΠΆΠ°Π΅Ρ ΡΠΎΡ ΡΠΊΡΠΏΠ΅ΡΠΈΠΌΠ΅Π½ΡΠ°Π»ΡΠ½ΡΠΉ ΡΠ°ΠΊΡ, ΡΡΠΎ Β ΠΈ Β Π²ΡΠ΅Π³Π΄Π° ΠΈΠΌΠ΅ΡΡ ΠΏΡΠΎΡΠΈΠ²ΠΎΠΏΠΎΠ»ΠΎΠΆΠ½ΡΠ΅ Π·Π½Π°ΠΊΠΈ (Π·Π½Π°ΠΊ Β«ΠΌΠΈΠ½ΡΡΒ» Π² ΡΠΎΡΠΌΡΠ»Π΅ Π€Π°ΡΠ°Π΄Π΅Ρ). ΠΡΠ°Π²ΠΈΠ»ΠΎ ΠΠ΅Π½ΡΠ° ΠΈΠΌΠ΅Π΅Ρ Π³Π»ΡΠ±ΠΎΠΊΠΈΠΉ ΡΠΈΠ·ΠΈΡΠ΅ΡΠΊΠΈΠΉ ΡΠΌΡΡΠ» β ΠΎΠ½ΠΎ Π²ΡΡΠ°ΠΆΠ°Π΅Ρ Π·Π°ΠΊΠΎΠ½ ΡΠΎΡ ΡΠ°Π½Π΅Π½ΠΈΡ ΡΠ½Π΅ΡΠ³ΠΈΠΈ.
ΠΠ·ΠΌΠ΅Π½Π΅Π½ΠΈΠ΅ ΠΌΠ°Π³Π½ΠΈΡΠ½ΠΎΠ³ΠΎ ΠΏΠΎΡΠΎΠΊΠ°, ΠΏΡΠΎΠ½ΠΈΠ·ΡΠ²Π°ΡΡΠ΅Π³ΠΎ Π·Π°ΠΌΠΊΠ½ΡΡΡΠΉ ΠΊΠΎΠ½ΡΡΡ, ΠΌΠΎΠΆΠ΅Ρ ΠΏΡΠΎΠΈΡΡ ΠΎΠ΄ΠΈΡΡ ΠΏΠΎ Π΄Π²ΡΠΌ ΠΏΡΠΈΡΠΈΠ½Π°ΠΌ.
1. ΠΠ°Π³Π½ΠΈΡΠ½ΡΠΉ ΠΏΠΎΡΠΎΠΊ ΠΈΠ·ΠΌΠ΅Π½ΡΠ΅ΡΡΡ Π²ΡΠ»Π΅Π΄ΡΡΠ²ΠΈΠ΅ ΠΏΠ΅ΡΠ΅ΠΌΠ΅ΡΠ΅Π½ΠΈΡ ΠΊΠΎΠ½ΡΡΡΠ° ΠΈΠ»ΠΈ Π΅Π³ΠΎ ΡΠ°ΡΡΠ΅ΠΉ Π² ΠΏΠΎΡΡΠΎΡΠ½Π½ΠΎΠΌ Π²ΠΎ Π²ΡΠ΅ΠΌΠ΅Π½ΠΈ ΠΌΠ°Π³Π½ΠΈΡΠ½ΠΎΠΌ ΠΏΠΎΠ»Π΅. ΠΡΠΎ ΡΠ»ΡΡΠ°ΠΉ, ΠΊΠΎΠ³Π΄Π° ΠΏΡΠΎΠ²ΠΎΠ΄Π½ΠΈΠΊΠΈ, Π° Π²ΠΌΠ΅ΡΡΠ΅ Ρ Π½ΠΈΠΌΠΈ ΠΈ ΡΠ²ΠΎΠ±ΠΎΠ΄Π½ΡΠ΅ Π½ΠΎΡΠΈΡΠ΅Π»ΠΈ Π·Π°ΡΡΠ΄Π°, Π΄Π²ΠΈΠΆΡΡΡΡ Π² ΠΌΠ°Π³Π½ΠΈΡΠ½ΠΎΠΌ ΠΏΠΎΠ»Π΅. ΠΠΎΠ·Π½ΠΈΠΊΠ½ΠΎΠ²Π΅Π½ΠΈΠ΅ ΠΠΠ‘ ΠΈΠ½Π΄ΡΠΊΡΠΈΠΈ ΠΎΠ±ΡΡΡΠ½ΡΠ΅ΡΡΡ Π΄Π΅ΠΉΡΡΠ²ΠΈΠ΅ΠΌ ΡΠΈΠ»Ρ ΠΠΎΡΠ΅Π½ΡΠ° Π½Π° ΡΠ²ΠΎΠ±ΠΎΠ΄Π½ΡΠ΅ Π·Π°ΡΡΠ΄Ρ Π² Π΄Π²ΠΈΠΆΡΡΠΈΡ ΡΡ ΠΏΡΠΎΠ²ΠΎΠ΄Π½ΠΈΠΊΠ°Ρ . Π‘ΠΈΠ»Π° ΠΠΎΡΠ΅Π½ΡΠ° ΠΈΠ³ΡΠ°Π΅Ρ Π² ΡΡΠΎΠΌ ΡΠ»ΡΡΠ°Π΅ ΡΠΎΠ»Ρ ΡΡΠΎΡΠΎΠ½Π½Π΅ΠΉ ΡΠΈΠ»Ρ.
Π Π°ΡΡΠΌΠΎΡΡΠΈΠΌ Π² ΠΊΠ°ΡΠ΅ΡΡΠ²Π΅ ΠΏΡΠΈΠΌΠ΅ΡΠ° Π²ΠΎΠ·Π½ΠΈΠΊΠ½ΠΎΠ²Π΅Π½ΠΈΠ΅ ΠΠΠ‘ ΠΈΠ½Π΄ΡΠΊΡΠΈΠΈ Π² ΠΏΡΡΠΌΠΎΡΠ³ΠΎΠ»ΡΠ½ΠΎΠΌ ΠΊΠΎΠ½ΡΡΡΠ΅, ΠΏΠΎΠΌΠ΅ΡΠ΅Π½Π½ΠΎΠΌ Π² ΠΎΠ΄Π½ΠΎΡΠΎΠ΄Π½ΠΎΠ΅ ΠΌΠ°Π³Π½ΠΈΡΠ½ΠΎΠ΅ ΠΏΠΎΠ»Π΅ Β ΠΏΠ΅ΡΠΏΠ΅Π½Π΄ΠΈΠΊΡΠ»ΡΡΠ½ΠΎΠ΅ ΠΏΠ»ΠΎΡΠΊΠΎΡΡΠΈ ΠΊΠΎΠ½ΡΡΡΠ°. ΠΡΡΡΡ ΠΎΠ΄Π½Π° ΠΈΠ· ΡΡΠΎΡΠΎΠ½ ΠΊΠΎΠ½ΡΡΡΠ° Π΄Π»ΠΈΠ½ΠΎΠΉ l ΡΠΊΠΎΠ»ΡΠ·ΠΈΡ ΡΠΎ ΡΠΊΠΎΡΠΎΡΡΡΡ Β ΠΏΠΎ Π΄Π²ΡΠΌ Π΄ΡΡΠ³ΠΈΠΌ ΡΡΠΎΡΠΎΠ½Π°ΠΌ (ΡΠΈΡ.Β 1.20.3).
|
Π ΠΈΡΡΠ½ΠΎΠΊ 1.20.3. ΠΠΎΠ·Π½ΠΈΠΊΠ½ΠΎΠ²Π΅Π½ΠΈΠ΅ ΠΠΠ‘ ΠΈΠ½Π΄ΡΠΊΡΠΈΠΈ Π² Π΄Π²ΠΈΠΆΡΡΠ΅ΠΌΡΡ ΠΏΡΠΎΠ²ΠΎΠ΄Π½ΠΈΠΊΠ΅. Π£ΠΊΠ°Π·Π°Π½Π° ΡΠΎΡΡΠ°Π²Π»ΡΡΡΠ°Ρ ΡΠΈΠ»Ρ ΠΠΎΡΠ΅Π½ΡΠ°, Π΄Π΅ΠΉΡΡΠ²ΡΡΡΠ΅ΠΉ Π½Π° ΡΠ²ΠΎΠ±ΠΎΠ΄Π½ΡΠΉ ΡΠ»Π΅ΠΊΡΡΠΎΠ½ |
ΠΠ° ΡΠ²ΠΎΠ±ΠΎΠ΄Π½ΡΠ΅ Π·Π°ΡΡΠ΄Ρ Π½Π° ΡΡΠΎΠΌ ΡΡΠ°ΡΡΠΊΠ΅ ΠΊΠΎΠ½ΡΡΡΠ° Π΄Π΅ΠΉΡΡΠ²ΡΠ΅Ρ ΡΠΈΠ»Π° ΠΠΎΡΠ΅Π½ΡΠ°. ΠΠ΄Π½Π° ΠΈΠ· ΡΠΎΡΡΠ°Π²Π»ΡΡΡΠΈΡ ΡΡΠΎΠΉ ΡΠΈΠ»Ρ, ΡΠ²ΡΠ·Π°Π½Π½Π°Ρ Ρ ΠΏΠ΅ΡΠ΅Π½ΠΎΡΠ½ΠΎΠΉ ΡΠΊΠΎΡΠΎΡΡΡ Π·Π°ΡΡΠ΄ΠΎΠ², Π½Π°ΠΏΡΠ°Π²Π»Π΅Π½Π° Π²Π΄ΠΎΠ»Ρ ΠΏΡΠΎΠ²ΠΎΠ΄Π½ΠΈΠΊΠ°. ΠΡΠ° ΡΠΎΡΡΠ°Π²Π»ΡΡΡΠ°Ρ ΡΠΊΠ°Π·Π°Π½Π° Π½Π° ΡΠΈΡ.Β 1.20.3. ΠΠ½Π° ΠΈΠ³ΡΠ°Π΅Ρ ΡΠΎΠ»Ρ ΡΡΠΎΡΠΎΠ½Π½Π΅ΠΉ ΡΠΈΠ»Ρ. ΠΠ΅ ΠΌΠΎΠ΄ΡΠ»Ρ ΡΠ°Π²Π΅Π½
Π Π°Π±ΠΎΡΠ° ΡΠΈΠ»Ρ FΠ Π½Π° ΠΏΡΡΠΈ l ΡΠ°Π²Π½Π°
ΠΠΎ ΠΎΠΏΡΠ΅Π΄Π΅Π»Π΅Π½ΠΈΡ ΠΠΠ‘
Π Π΄ΡΡΠ³ΠΈΡ Π½Π΅ΠΏΠΎΠ΄Π²ΠΈΠΆΠ½ΡΡ ΡΠ°ΡΡΡΡ ΠΊΠΎΠ½ΡΡΡΠ° ΡΡΠΎΡΠΎΠ½Π½ΡΡ ΡΠΈΠ»Π° ΡΠ°Π²Π½Π° Π½ΡΠ»Ρ. Π‘ΠΎΠΎΡΠ½ΠΎΡΠ΅Π½ΠΈΡ Π΄Π»Ρ ΠΈΠ½Π΄ ΠΌΠΎΠΆΠ½ΠΎ ΠΏΡΠΈΠ΄Π°ΡΡ ΠΏΡΠΈΠ²ΡΡΠ½ΡΠΉ Π²ΠΈΠ΄. ΠΠ° Π²ΡΠ΅ΠΌΡ Ξt ΠΏΠ»ΠΎΡΠ°Π΄Ρ ΠΊΠΎΠ½ΡΡΡΠ° ΠΈΠ·ΠΌΠ΅Π½ΡΠ΅ΡΡΡ Π½Π° ΞS = lΟ Ξt. ΠΠ·ΠΌΠ΅Π½Π΅Π½ΠΈΠ΅ ΠΌΠ°Π³Π½ΠΈΡΠ½ΠΎΠ³ΠΎ ΠΏΠΎΡΠΎΠΊΠ° Π·Π° ΡΡΠΎ Π²ΡΠ΅ΠΌΡ ΡΠ°Π²Π½ΠΎ ΞΞ¦ = BlΟ Ξt. Π‘Π»Π΅Π΄ΠΎΠ²Π°ΡΠ΅Π»ΡΠ½ΠΎ,
ΠΠ»Ρ ΡΠΎΠ³ΠΎ, ΡΡΠΎΠ±Ρ ΡΡΡΠ°Π½ΠΎΠ²ΠΈΡΡ Π·Π½Π°ΠΊ Π² ΡΠΎΡΠΌΡΠ»Π΅, ΡΠ²ΡΠ·ΡΠ²Π°ΡΡΠ΅ΠΉ Β ΠΈ Β Π½ΡΠΆΠ½ΠΎ Π²ΡΠ±ΡΠ°ΡΡ ΡΠΎΠ³Π»Π°ΡΠΎΠ²Π°Π½Π½ΡΠ΅ ΠΌΠ΅ΠΆΠ΄Ρ ΡΠΎΠ±ΠΎΠΉ ΠΏΠΎ ΠΏΡΠ°Π²ΠΈΠ»Ρ ΠΏΡΠ°Π²ΠΎΠ³ΠΎ Π±ΡΡΠ°Π²ΡΠΈΠΊΠ° Π½Π°ΠΏΡΠ°Π²Π»Π΅Π½ΠΈΠ΅ Π½ΠΎΡΠΌΠ°Π»ΠΈ Β ΠΈ ΠΏΠΎΠ»ΠΎΠΆΠΈΡΠ΅Π»ΡΠ½ΠΎΠ΅ Π½Π°ΠΏΡΠ°Π²Π»Π΅Π½ΠΈΠ΅ ΠΎΠ±Ρ ΠΎΠ΄Π° ΠΊΠΎΠ½ΡΡΡΠ° Β ΠΊΠ°ΠΊ ΡΡΠΎ ΡΠ΄Π΅Π»Π°Π½ΠΎ Π½Π° ΡΠΈΡ.Β 1.20.1 ΠΈ 1.20.2. ΠΡΠ»ΠΈ ΡΡΠΎ ΡΠ΄Π΅Π»Π°ΡΡ, ΡΠΎ Π»Π΅Π³ΠΊΠΎ ΠΏΡΠΈΠΉΡΠΈ ΠΊ ΡΠΎΡΠΌΡΠ»Π΅ Π€Π°ΡΠ°Π΄Π΅Ρ.
ΠΡΠ»ΠΈ ΡΠΎΠΏΡΠΎΡΠΈΠ²Π»Π΅Π½ΠΈΠ΅ Π²ΡΠ΅ΠΉ ΡΠ΅ΠΏΠΈ ΡΠ°Π²Π½ΠΎ R, ΡΠΎ ΠΏΠΎ Π½Π΅ΠΉ Π±ΡΠ΄Π΅Ρ ΠΏΡΠΎΡΠ΅ΠΊΠ°ΡΡ ΠΈΠ½Π΄ΡΠΊΡΠΈΠΎΠ½Π½ΡΠΉ ΡΠΎΠΊ, ΡΠ°Π²Π½ΡΠΉ . ΠΠ° Π²ΡΠ΅ΠΌΡ Ξt Π½Π° ΡΠΎΠΏΡΠΎΡΠΈΠ²Π»Π΅Π½ΠΈΠΈ R Π²ΡΠ΄Π΅Π»ΠΈΡΡΡ Π΄ΠΆΠΎΡΠ»Π΅Π²ΠΎ ΡΠ΅ΠΏΠ»ΠΎ
ΠΠΎΠ·Π½ΠΈΠΊΠ°Π΅Ρ Π²ΠΎΠΏΡΠΎΡ: ΠΎΡΠΊΡΠ΄Π° Π±Π΅ΡΠ΅ΡΡΡ ΡΡΠ° ΡΠ½Π΅ΡΠ³ΠΈΡ, Π²Π΅Π΄Ρ ΡΠΈΠ»Π° ΠΠΎΡΠ΅Π½ΡΠ° ΡΠ°Π±ΠΎΡΡ Π½Π΅ ΡΠΎΠ²Π΅ΡΡΠ°Π΅Ρ! ΠΡΠΎΡ ΠΏΠ°ΡΠ°Π΄ΠΎΠΊΡ Π²ΠΎΠ·Π½ΠΈΠΊ ΠΏΠΎΡΠΎΠΌΡ, ΡΡΠΎ ΠΌΡ ΡΡΠ»ΠΈ ΡΠ°Π±ΠΎΡΡ ΡΠΎΠ»ΡΠΊΠΎ ΠΎΠ΄Π½ΠΎΠΉ ΡΠΎΡΡΠ°Π²Π»ΡΡΡΠ΅ΠΉ ΡΠΈΠ»Ρ ΠΠΎΡΠ΅Π½ΡΠ°. ΠΡΠΈ ΠΏΡΠΎΡΠ΅ΠΊΠ°Π½ΠΈΠΈ ΠΈΠ½Π΄ΡΠΊΡΠΈΠΎΠ½Π½ΠΎΠ³ΠΎ ΡΠΎΠΊΠ° ΠΏΠΎ ΠΏΡΠΎΠ²ΠΎΠ΄Π½ΠΈΠΊΡ, Π½Π°Ρ ΠΎΠ΄ΡΡΠ΅ΠΌΡΡΡ Π² ΠΌΠ°Π³Π½ΠΈΡΠ½ΠΎΠΌ ΠΏΠΎΠ»Π΅, Π½Π° ΡΠ²ΠΎΠ±ΠΎΠ΄Π½ΡΠ΅ Π·Π°ΡΡΠ΄Ρ Π΄Π΅ΠΉΡΡΠ²ΡΠ΅Ρ Π΅ΡΠ΅ ΠΎΠ΄Π½Π° ΡΠΎΡΡΠ°Π²Π»ΡΡΡΠ°Ρ ΡΠΈΠ»Ρ ΠΠΎΡΠ΅Π½ΡΠ°, ΡΠ²ΡΠ·Π°Π½Π½Π°Ρ Ρ ΠΎΡΠ½ΠΎΡΠΈΡΠ΅Π»ΡΠ½ΠΎΠΉ ΡΠΊΠΎΡΠΎΡΡΡΡ Π΄Π²ΠΈΠΆΠ΅Π½ΠΈΡ Π·Π°ΡΡΠ΄ΠΎΠ² Π²Π΄ΠΎΠ»Ρ ΠΏΡΠΎΠ²ΠΎΠ΄Π½ΠΈΠΊΠ°. ΠΡΠ° ΡΠΎΡΡΠ°Π²Π»ΡΡΡΠ°Ρ ΠΎΡΠ²Π΅ΡΡΡΠ²Π΅Π½Π½Π° Π·Π° ΠΏΠΎΡΠ²Π»Π΅Π½ΠΈΠ΅ ΡΠΈΠ»Ρ Π°ΠΌΠΏΠ΅ΡΠ° Β . ΠΠ»Ρ ΡΠ»ΡΡΠ°Ρ, ΠΈΠ·ΠΎΠ±ΡΠ°ΠΆΠ΅Π½Π½ΠΎΠ³ΠΎ Π½Π° ΡΠΈΡ.Β 1.20.3, ΠΌΠΎΠ΄ΡΠ»Ρ ΡΠΈΠ»Ρ ΠΠΌΠΏΠ΅ΡΠ° ΡΠ°Π²Π΅Π½ FA = IΒ BΒ l. Π‘ΠΈΠ»Π° ΠΠΌΠΏΠ΅ΡΠ° Π½Π°ΠΏΡΠ°Π²Π»Π΅Π½Π° Π½Π°Π²ΡΡΡΠ΅ΡΡ Π΄Π²ΠΈΠΆΠ΅Π½ΠΈΡ ΠΏΡΠΎΠ²ΠΎΠ΄Π½ΠΈΠΊΠ°; ΠΏΠΎΡΡΠΎΠΌΡ ΠΎΠ½Π° ΡΠΎΠ²Π΅ΡΡΠ°Π΅Ρ ΠΎΡΡΠΈΡΠ°ΡΠ΅Π»ΡΠ½ΡΡ ΠΌΠ΅Ρ Π°Π½ΠΈΡΠ΅ΡΠΊΡΡ ΡΠ°Π±ΠΎΡΡ. ΠΠ° Π²ΡΠ΅ΠΌΡ Ξt ΡΡΠ° ΡΠ°Π±ΠΎΡΠ° AΠΌΠ΅Ρ ΡΠ°Π²Π½Π°
ΠΠ²ΠΈΠΆΡΡΠΈΠΉΡΡ Π² ΠΌΠ°Π³Π½ΠΈΡΠ½ΠΎΠΌ ΠΏΠΎΠ»Π΅ ΠΏΡΠΎΠ²ΠΎΠ΄Π½ΠΈΠΊ, ΠΏΠΎ ΠΊΠΎΡΠΎΡΠΎΠΌΡ ΠΏΡΠΎΡΠ΅ΠΊΠ°Π΅Ρ ΠΈΠ½Π΄ΡΠΊΡΠΈΠΎΠ½Π½ΡΠΉ ΡΠΎΠΊ, ΠΈΡΠΏΡΡΡΠ²Π°Π΅Ρ ΠΌΠ°Π³Π½ΠΈΡΠ½ΠΎΠ΅ ΡΠΎΡΠΌΠΎΠΆΠ΅Π½ΠΈΠ΅. ΠΠΎΠ»Π½Π°Ρ ΡΠ°Π±ΠΎΡΠ° ΡΠΈΠ»Ρ ΠΠΎΡΠ΅Π½ΡΠ° ΡΠ°Π²Π½Π° Π½ΡΠ»Ρ. ΠΠΆΠΎΡΠ»Π΅Π²ΠΎ ΡΠ΅ΠΏΠ»ΠΎ Π² ΠΊΠΎΠ½ΡΡΡΠ΅ Π²ΡΠ΄Π΅Π»ΡΠ΅ΡΡΡ Π»ΠΈΠ±ΠΎ Π·Π° ΡΡΠ΅Ρ ΡΠ°Π±ΠΎΡΡ Π²Π½Π΅ΡΠ½Π΅ΠΉ ΡΠΈΠ»Ρ, ΠΊΠΎΡΠΎΡΠ°Ρ ΠΏΠΎΠ΄Π΄Π΅ΡΠΆΠΈΠ²Π°Π΅Ρ ΡΠΊΠΎΡΠΎΡΡΡ ΠΏΡΠΎΠ²ΠΎΠ΄Π½ΠΈΠΊΠ° Π½Π΅ΠΈΠ·ΠΌΠ΅Π½Π½ΠΎΠΉ, Π»ΠΈΠ±ΠΎ Π·Π° ΡΡΠ΅Ρ ΡΠΌΠ΅Π½ΡΡΠ΅Π½ΠΈΡ ΠΊΠΈΠ½Π΅ΡΠΈΡΠ΅ΡΠΊΠΎΠΉ ΡΠ½Π΅ΡΠ³ΠΈΠΈ ΠΏΡΠΎΠ²ΠΎΠ΄Π½ΠΈΠΊΠ°.
2. ΠΡΠΎΡΠ°Ρ ΠΏΡΠΈΡΠΈΠ½Π° ΠΈΠ·ΠΌΠ΅Π½Π΅Π½ΠΈΡ ΠΌΠ°Π³Π½ΠΈΡΠ½ΠΎΠ³ΠΎ ΠΏΠΎΡΠΎΠΊΠ°, ΠΏΡΠΎΠ½ΠΈΠ·ΡΠ²Π°ΡΡΠ΅Π³ΠΎ ΠΊΠΎΠ½ΡΡΡ, β ΠΈΠ·ΠΌΠ΅Π½Π΅Π½ΠΈΠ΅ Π²ΠΎ Π²ΡΠ΅ΠΌΠ΅Π½ΠΈ ΠΌΠ°Π³Π½ΠΈΡΠ½ΠΎΠ³ΠΎ ΠΏΠΎΠ»Ρ ΠΏΡΠΈ Π½Π΅ΠΏΠΎΠ΄Π²ΠΈΠΆΠ½ΠΎΠΌ ΠΊΠΎΠ½ΡΡΡΠ΅. Π ΡΡΠΎΠΌ ΡΠ»ΡΡΠ°Π΅ Π²ΠΎΠ·Π½ΠΈΠΊΠ½ΠΎΠ²Π΅Π½ΠΈΠ΅ ΠΠΠ‘ ΠΈΠ½Π΄ΡΠΊΡΠΈΠΈ ΡΠΆΠ΅ Π½Π΅Π»ΡΠ·Ρ ΠΎΠ±ΡΡΡΠ½ΠΈΡΡ Π΄Π΅ΠΉΡΡΠ²ΠΈΠ΅ΠΌ ΡΠΈΠ»Ρ ΠΠΎΡΠ΅Π½ΡΠ°. ΠΠ»Π΅ΠΊΡΡΠΎΠ½Ρ Π² Π½Π΅ΠΏΠΎΠ΄Π²ΠΈΠΆΠ½ΠΎΠΌ ΠΏΡΠΎΠ²ΠΎΠ΄Π½ΠΈΠΊΠ΅ ΠΌΠΎΠ³ΡΡ ΠΏΡΠΈΠ²ΠΎΠ΄ΠΈΡΡΡΡ Π² Π΄Π²ΠΈΠΆΠ΅Π½ΠΈΠ΅ ΡΠΎΠ»ΡΠΊΠΎ ΡΠ»Π΅ΠΊΡΡΠΈΡΠ΅ΡΠΊΠΈΠΌ ΠΏΠΎΠ»Π΅ΠΌ. ΠΡΠΎ ΡΠ»Π΅ΠΊΡΡΠΈΡΠ΅ΡΠΊΠΎΠ΅ ΠΏΠΎΠ»Π΅ ΠΏΠΎΡΠΎΠΆΠ΄Π°Π΅ΡΡΡ ΠΈΠ·ΠΌΠ΅Π½ΡΡΡΠΈΠΌΡΡ Π²ΠΎ Π²ΡΠ΅ΠΌΠ΅Π½ΠΈ ΠΌΠ°Π³Π½ΠΈΡΠ½ΡΠΌ ΠΏΠΎΠ»Π΅ΠΌ. Π Π°Π±ΠΎΡΠ° ΡΡΠΎΠ³ΠΎ ΠΏΠΎΠ»Ρ ΠΏΡΠΈ ΠΏΠ΅ΡΠ΅ΠΌΠ΅ΡΠ΅Π½ΠΈΠΈ Π΅Π΄ΠΈΠ½ΠΈΡΠ½ΠΎΠ³ΠΎ ΠΏΠΎΠ»ΠΎΠΆΠΈΡΠ΅Π»ΡΠ½ΠΎΠ³ΠΎ Π·Π°ΡΡΠ΄Π° ΠΏΠΎ Π·Π°ΠΌΠΊΠ½ΡΡΠΎΠΌΡ ΠΊΠΎΠ½ΡΡΡΡ ΡΠ°Π²Π½Π° ΠΠΠ‘ ΠΈΠ½Π΄ΡΠΊΡΠΈΠΈ Π² Π½Π΅ΠΏΠΎΠ΄Π²ΠΈΠΆΠ½ΠΎΠΌ ΠΏΡΠΎΠ²ΠΎΠ΄Π½ΠΈΠΊΠ΅. Π‘Π»Π΅Π΄ΠΎΠ²Π°ΡΠ΅Π»ΡΠ½ΠΎ, ΡΠ»Π΅ΠΊΡΡΠΈΡΠ΅ΡΠΊΠΎΠ΅ ΠΏΠΎΠ»Π΅, ΠΏΠΎΡΠΎΠΆΠ΄Π΅Π½Π½ΠΎΠ΅ ΠΈΠ·ΠΌΠ΅Π½ΡΡΡΠΈΠΌΡΡ ΠΌΠ°Π³Π½ΠΈΡΠ½ΡΠΌ ΠΏΠΎΠ»Π΅ΠΌ, Π½Π΅ ΡΠ²Π»ΡΠ΅ΡΡΡ ΠΏΠΎΡΠ΅Π½ΡΠΈΠ°Π»ΡΠ½ΡΠΌ. ΠΠ³ΠΎ Π½Π°Π·ΡΠ²Π°ΡΡ Π²ΠΈΡ ΡΠ΅Π²ΡΠΌ ΡΠ»Π΅ΠΊΡΡΠΈΡΠ΅ΡΠΊΠΈΠΌ ΠΏΠΎΠ»Π΅ΠΌ. ΠΡΠ΅Π΄ΡΡΠ°Π²Π»Π΅Π½ΠΈΠ΅ ΠΎ Π²ΠΈΡ ΡΠ΅Π²ΠΎΠΌ ΡΠ»Π΅ΠΊΡΡΠΈΡΠ΅ΡΠΊΠΎΠΌ ΠΏΠΎΠ»Π΅ Π±ΡΠ»ΠΎ Π²Π²Π΅Π΄Π΅Π½ΠΎ Π² ΡΠΈΠ·ΠΈΠΊΡ Π²Π΅Π»ΠΈΠΊΠΈΠΌ Π°Π½Π³Π»ΠΈΠΉΡΠΊΠΈΠΌ ΡΠΈΠ·ΠΈΠΊΠΎΠΌ ΠΠΆΠ΅ΠΉΠΌΡΠΎΠΌ ΠΠ°ΠΊΡΠ²Π΅Π»Π»ΠΎΠΌ Π²Β 1861Β Π³.
Π―Π²Π»Π΅Π½ΠΈΠ΅ ΡΠ»Π΅ΠΊΡΡΠΎΠΌΠ°Π³Π½ΠΈΡΠ½ΠΎΠΉ ΠΈΠ½Π΄ΡΠΊΡΠΈΠΈ Π² Π½Π΅ΠΏΠΎΠ΄Π²ΠΈΠΆΠ½ΡΡ ΠΏΡΠΎΠ²ΠΎΠ΄Π½ΠΈΠΊΠ°Ρ , Π²ΠΎΠ·Π½ΠΈΠΊΠ°ΡΡΠ΅Π΅ ΠΏΡΠΈ ΠΈΠ·ΠΌΠ΅Π½Π΅Π½ΠΈΠΈ ΠΎΠΊΡΡΠΆΠ°ΡΡΠ΅Π³ΠΎ ΠΌΠ°Π³Π½ΠΈΡΠ½ΠΎΠ³ΠΎ ΠΏΠΎΠ»Ρ, ΡΠ°ΠΊΠΆΠ΅ ΠΎΠΏΠΈΡΡΠ²Π°Π΅ΡΡΡ ΡΠΎΡΠΌΡΠ»ΠΎΠΉ Π€Π°ΡΠ°Π΄Π΅Ρ. Π’Π°ΠΊΠΈΠΌ ΠΎΠ±ΡΠ°Π·ΠΎΠΌ, ΡΠ²Π»Π΅Π½ΠΈΡ ΠΈΠ½Π΄ΡΠΊΡΠΈΠΈ Π² Π΄Π²ΠΈΠΆΡΡΠΈΡ ΡΡ ΠΈ Π½Π΅ΠΏΠΎΠ΄Π²ΠΈΠΆΠ½ΡΡ ΠΏΡΠΎΠ²ΠΎΠ΄Π½ΠΈΠΊΠ°Ρ ΠΏΡΠΎΡΠ΅ΠΊΠ°ΡΡ ΠΎΠ΄ΠΈΠ½Π°ΠΊΠΎΠ²ΠΎ, Π½ΠΎ ΡΠΈΠ·ΠΈΡΠ΅ΡΠΊΠ°Ρ ΠΏΡΠΈΡΠΈΠ½Π° Π²ΠΎΠ·Π½ΠΈΠΊΠ½ΠΎΠ²Π΅Π½ΠΈΡ ΠΈΠ½Π΄ΡΠΊΡΠΈΠΎΠ½Π½ΠΎΠ³ΠΎ ΡΠΎΠΊΠ° ΠΎΠΊΠ°Π·ΡΠ²Π°Π΅ΡΡΡ Π² ΡΡΠΈΡ Π΄Π²ΡΡ ΡΠ»ΡΡΠ°ΡΡ ΡΠ°Π·Π»ΠΈΡΠ½ΠΎΠΉ: Π² ΡΠ»ΡΡΠ°Π΅ Π΄Π²ΠΈΠΆΡΡΠΈΡ ΡΡ ΠΏΡΠΎΠ²ΠΎΠ΄Π½ΠΈΠΊΠΎΠ² ΠΠΠ‘ ΠΈΠ½Π΄ΡΠΊΡΠΈΠΈ ΠΎΠ±ΡΡΠ»ΠΎΠ²Π»Π΅Π½Π° ΡΠΈΠ»ΠΎΠΉ ΠΠΎΡΠ΅Π½ΡΠ°; Π² ΡΠ»ΡΡΠ°Π΅ Π½Π΅ΠΏΠΎΠ΄Π²ΠΈΠΆΠ½ΡΡ ΠΏΡΠΎΠ²ΠΎΠ΄Π½ΠΈΠΊΠΎΠ² ΠΠΠ‘ ΠΈΠ½Π΄ΡΠΊΡΠΈΠΈ ΡΠ²Π»ΡΠ΅ΡΡΡ ΡΠ»Π΅Π΄ΡΡΠ²ΠΈΠ΅ΠΌ Π΄Π΅ΠΉΡΡΠ²ΠΈΡ Π½Π° ΡΠ²ΠΎΠ±ΠΎΠ΄Π½ΡΠ΅ Π·Π°ΡΡΠ΄Ρ Π²ΠΈΡ ΡΠ΅Π²ΠΎΠ³ΠΎ ΡΠ»Π΅ΠΊΡΡΠΈΡΠ΅ΡΠΊΠΎΠ³ΠΎ ΠΏΠΎΠ»Ρ, Π²ΠΎΠ·Π½ΠΈΠΊΠ°ΡΡΠ΅Π³ΠΎ ΠΏΡΠΈ ΠΈΠ·ΠΌΠ΅Π½Π΅Π½ΠΈΠΈ ΠΌΠ°Π³Π½ΠΈΡΠ½ΠΎΠ³ΠΎ ΠΏΠΎΠ»Ρ.
www.its-physics.org
ΠΠ°ΠΊΠΎΠ½ ΡΠ»Π΅ΠΊΡΡΠΎΠΌΠ°Π³Π½ΠΈΡΠ½ΠΎΠΉ ΠΈΠ½Π΄ΡΠΊΡΠΈΠΈ. ΠΡΡΡΡ ΠΏΠΎ ΡΠΈΠ·ΠΈΠΊΠ΅
Π’Π΅ΡΡΠΈΡΠΎΠ²Π°Π½ΠΈΠ΅ ΠΎΠ½Π»Π°ΠΉΠ½
ΠΠ»Π΅ΠΊΡΡΠΎΠΌΠ°Π³Π½ΠΈΡΠ½Π°Ρ ΠΈΠ½Π΄ΡΠΊΡΠΈΡ. ΠΡΠ½ΠΎΠ²Π½ΡΠ΅ ΠΏΠΎΠ½ΡΡΠΈΡ
ΠΠ°ΠΊΠΎΠ½ ΡΠ»Π΅ΠΊΡΡΠΎΠΌΠ°Π³Π½ΠΈΡΠ½ΠΎΠΉ ΠΈΠ½Π΄ΡΠΊΡΠΈΠΈ
ΠΠΠ‘ ΠΈΠ½Π΄ΡΠΊΡΠΈΠΈ Π² Π΄Π²ΠΈΠΆΡΡΠ΅ΠΌΡΡ ΠΏΡΠΎΠ²ΠΎΠ΄Π½ΠΈΠΊΠ΅
ΠΠ·Π°ΠΈΠΌΠΎΡΠ²ΡΠ·Ρ ΡΠ»Π΅ΠΊΡΡΠΈΡΠ΅ΡΠΊΠΈΡ ΠΈ ΠΌΠ°Π³Π½ΠΈΡΠ½ΡΡ ΡΠ²Π»Π΅Π½ΠΈΠΉ Π²ΡΠ΅Π³Π΄Π° ΠΈΠ½ΡΠ΅ΡΠ΅ΡΠΎΠ²Π°Π»Π° ΡΠΈΠ·ΠΈΠΊΠΎΠ². ΠΠ½Π³Π»ΠΈΠΉΡΠΊΠΈΠΉ ΡΠΈΠ·ΠΈΠΊ ΠΠ°ΠΉΠΊΠ» Π€Π°ΡΠ°Π΄Π΅ΠΉ Π±ΡΠ» ΡΠΎΠ²Π΅ΡΡΠ΅Π½Π½ΠΎ ΡΠ²Π΅ΡΠ΅Π½ Π² Π΅Π΄ΠΈΠ½ΡΡΠ²Π΅ ΡΠ»Π΅ΠΊΡΡΠΈΡΠ΅ΡΠΊΠΈΡ ΠΈ ΠΌΠ°Π³Π½ΠΈΡΠ½ΡΡ ΡΠ²Π»Π΅Π½ΠΈΠΉ. ΠΠ½ ΡΠ°ΡΡΡΠΆΠ΄Π°Π», ΡΡΠΎ ΡΠ»Π΅ΠΊΡΡΠΈΡΠ΅ΡΠΊΠΈΠΉ ΡΠΎΠΊ ΡΠΏΠΎΡΠΎΠ±Π΅Π½ Π½Π°ΠΌΠ°Π³Π½ΠΈΡΠΈΡΡ ΠΊΡΡΠΎΠΊ ΠΆΠ΅Π»Π΅Π·Π°. ΠΠ΅ ΠΌΠΎΠΆΠ΅Ρ Π»ΠΈ ΠΌΠ°Π³Π½ΠΈΡ Π² ΡΠ²ΠΎΡ ΠΎΡΠ΅ΡΠ΅Π΄Ρ Π²ΡΠ·Π²Π°ΡΡ ΠΏΠΎΡΠ²Π»Π΅Π½ΠΈΠ΅ ΡΠ»Π΅ΠΊΡΡΠΈΡΠ΅ΡΠΊΠΎΠ³ΠΎ ΡΠΎΠΊΠ°? ΠΡΠ° Π·Π°Π΄Π°ΡΠ° Π±ΡΠ»Π° ΡΠ΅ΡΠ΅Π½Π°.
ΠΡΠ»ΠΈ Π² ΠΏΠΎΡΡΠΎΡΠ½Π½ΠΎΠΌ ΠΌΠ°Π³Π½ΠΈΡΠ½ΠΎΠΌ ΠΏΠΎΠ»Π΅ ΠΏΠ΅ΡΠ΅ΠΌΠ΅ΡΠ°Π΅ΡΡΡ ΠΏΡΠΎΠ²ΠΎΠ΄Π½ΠΈΠΊ, ΡΠΎ ΡΠ²ΠΎΠ±ΠΎΠ΄Π½ΡΠ΅ ΡΠ»Π΅ΠΊΡΡΠΈΡΠ΅ΡΠΊΠΈΠ΅ Π·Π°ΡΡΠ΄Ρ Π²Π½ΡΡΡΠΈ Π½Π΅Π³ΠΎ ΡΠΎΠΆΠ΅ ΠΏΠ΅ΡΠ΅ΠΌΠ΅ΡΠ°ΡΡΡΡ (Π½Π° Π½ΠΈΡ Π΄Π΅ΠΉΡΡΠ²ΡΠ΅Ρ ΡΠΈΠ»Π° ΠΠΎΡΠ΅Π½ΡΠ°). ΠΠΎΠ»ΠΎΠΆΠΈΡΠ΅Π»ΡΠ½ΡΠ΅ Π·Π°ΡΡΠ΄Ρ ΠΊΠΎΠ½ΡΠ΅Π½ΡΡΠΈΡΡΡΡΡΡ Π² ΠΎΠ΄Π½ΠΎΠΌ ΠΊΠΎΠ½ΡΠ΅ ΠΏΡΠΎΠ²ΠΎΠ΄Π½ΠΈΠΊΠ° (ΠΏΡΠΎΠ²ΠΎΠ΄Π°), ΠΎΡΡΠΈΡΠ°ΡΠ΅Π»ΡΠ½ΡΠ΅ – Π² Π΄ΡΡΠ³ΠΎΠΌ. ΠΠΎΠ·Π½ΠΈΠΊΠ°Π΅Ρ ΡΠ°Π·Π½ΠΎΡΡΡ ΠΏΠΎΡΠ΅Π½ΡΠΈΠ°Π»ΠΎΠ² – ΠΠΠ‘ ΡΠ»Π΅ΠΊΡΡΠΎΠΌΠ°Π³Π½ΠΈΡΠ½ΠΎΠΉ ΠΈΠ½Π΄ΡΠΊΡΠΈΠΈ. Π―Π²Π»Π΅Π½ΠΈΠ΅ Π²ΠΎΠ·Π½ΠΈΠΊΠ½ΠΎΠ²Π΅Π½ΠΈΡ ΠΠΠ‘ ΠΈΠ½Π΄ΡΠΊΡΠΈΠΈ Π² ΠΏΡΠΎΠ²ΠΎΠ΄Π½ΠΈΠΊΠ΅, Π΄Π²ΠΈΠΆΡΡΠ΅ΠΌΡΡ Π² ΠΏΠΎΡΡΠΎΡΠ½Π½ΠΎΠΌ ΠΌΠ°Π³Π½ΠΈΡΠ½ΠΎΠΌ ΠΏΠΎΠ»Π΅, Π½Π°Π·ΡΠ²Π°Π΅ΡΡΡ ΡΠ²Π»Π΅Π½ΠΈΠ΅ΠΌ ΡΠ»Π΅ΠΊΡΡΠΎΠΌΠ°Π³Π½ΠΈΡΠ½ΠΎΠΉ ΠΈΠ½Π΄ΡΠΊΡΠΈΠΈ.
ΠΡΠ°Π²ΠΈΠ»ΠΎ ΠΎΠΏΡΠ΅Π΄Π΅Π»Π΅Π½ΠΈΡ Π½Π°ΠΏΡΠ°Π²Π»Π΅Π½ΠΈΡ ΠΈΠ½Π΄ΡΠΊΡΠΈΠΎΠ½Π½ΠΎΠ³ΠΎ ΡΠΎΠΊΠ° (ΠΏΡΠ°Π²ΠΈΠ»ΠΎ ΠΏΡΠ°Π²ΠΎΠΉ ΡΡΠΊΠΈ):

Π ΠΏΡΠΎΠ²ΠΎΠ΄Π½ΠΈΠΊΠ΅, Π΄Π²ΠΈΠΆΡΡΠ΅ΠΌΡΡ Π² ΠΌΠ°Π³Π½ΠΈΡΠ½ΠΎΠΌ ΠΏΠΎΠ»Π΅, Π²ΠΎΠ·Π½ΠΈΠΊΠ°Π΅Ρ ΠΠΠ‘ ΠΈΠ½Π΄ΡΠΊΡΠΈΠΈ, ΡΠ½Π΅ΡΠ³ΠΈΡ ΡΠΎΠΊΠ° Π² ΡΡΠΎΠΌ ΡΠ»ΡΡΠ°Π΅ ΠΎΠΏΡΠ΅Π΄Π΅Π»ΡΠ΅ΡΡΡ ΠΏΠΎ Π·Π°ΠΊΠΎΠ½Ρ ΠΠΆΠΎΡΠ»Ρ-ΠΠ΅Π½ΡΠ°:
Π Π°Π±ΠΎΡΠ° Π²Π½Π΅ΡΠ½Π΅ΠΉ ΡΠΈΠ»Ρ ΠΏΠΎ ΠΏΠ΅ΡΠ΅ΠΌΠ΅ΡΠ΅Π½ΠΈΡ ΠΏΡΠΎΠ²ΠΎΠ΄Π½ΠΈΠΊΠ° Ρ ΡΠΎΠΊΠΎΠΌ Π² ΠΌΠ°Π³Π½ΠΈΡΠ½ΠΎΠΌ ΠΏΠΎΠ»Π΅
ΠΠΠ‘ ΠΈΠ½Π΄ΡΠΊΡΠΈΠΈ Π² ΠΊΠΎΠ½ΡΡΡΠ΅
Π Π°ΡΡΠΌΠΎΡΡΠΈΠΌ ΠΈΠ·ΠΌΠ΅Π½Π΅Π½ΠΈΠ΅ ΠΌΠ°Π³Π½ΠΈΡΠ½ΠΎΠ³ΠΎ ΠΏΠΎΡΠΎΠΊΠ° ΡΠ΅ΡΠ΅Π· ΠΏΡΠΎΠ²ΠΎΠ΄ΡΡΠΈΠΉ ΠΊΠΎΠ½ΡΡΡ (ΠΊΠ°ΡΡΡΠΊΡ). Π―Π²Π»Π΅Π½ΠΈΠ΅ ΡΠ»Π΅ΠΊΡΡΠΎΠΌΠ°Π³Π½ΠΈΡΠ½ΠΎΠΉ ΠΈΠ½Π΄ΡΠΊΡΠΈΠΈ Π±ΡΠ»ΠΎ ΠΎΡΠΊΡΡΡΠΎ ΠΎΠΏΡΡΠ½ΡΠΌ ΠΏΡΡΠ΅ΠΌ:

ΠΠ°ΠΊΠΎΠ½ ΡΠ»Π΅ΠΊΡΡΠΎΠΌΠ°Π³Π½ΠΈΡΠ½ΠΎΠΉ ΠΈΠ½Π΄ΡΠΊΡΠΈΠΈ (Π·Π°ΠΊΠΎΠ½ Π€Π°ΡΠ°Π΄Π΅Ρ): ΠΠΠ‘ ΡΠ»Π΅ΠΊΡΡΠΎΠΌΠ°Π³Π½ΠΈΡΠ½ΠΎΠΉ ΠΈΠ½Π΄ΡΠΊΡΠΈΠΈ, Π²ΠΎΠ·Π½ΠΈΠΊΠ°ΡΡΠ°Ρ Π² ΠΊΠΎΠ½ΡΡΡΠ΅, ΠΏΡΡΠΌΠΎ ΠΏΡΠΎΠΏΠΎΡΡΠΈΠΎΠ½Π°Π»ΡΠ½Π° ΡΠΊΠΎΡΠΎΡΡΠΈ ΠΈΠ·ΠΌΠ΅Π½Π΅Π½ΠΈΡ ΠΌΠ°Π³Π½ΠΈΡΠ½ΠΎΠ³ΠΎ ΠΏΠΎΡΠΎΠΊΠ° ΡΠ΅ΡΠ΅Π· Π½Π΅Π³ΠΎ.
ΠΠ½Π°ΠΊ “ΠΌΠΈΠ½ΡΡ” ΡΠ²Π»ΡΠ΅ΡΡΡ ΠΌΠ°ΡΠ΅ΠΌΠ°ΡΠΈΡΠ΅ΡΠΊΠΈΠΌ Π²ΡΡΠ°ΠΆΠ΅Π½ΠΈΠ΅ΠΌ ΡΠ»Π΅Π΄ΡΡΡΠ΅Π³ΠΎ ΠΏΡΠ°Π²ΠΈΠ»Π°. ΠΠ°ΠΏΡΠ°Π²Π»Π΅Π½ΠΈΠ΅ ΠΈΠ½Π΄ΡΠΊΡΠΈΠΎΠ½Π½ΠΎΠ³ΠΎ ΡΠΎΠΊΠ°, Π²ΠΎΠ·Π½ΠΈΠΊΠ°ΡΡΠ΅Π³ΠΎ Π² ΠΊΠΎΠ½ΡΡΡΠ΅, ΠΎΠΏΡΠ΅Π΄Π΅Π»ΡΠ΅ΡΡΡ ΠΏΠΎ ΠΏΡΠ°Π²ΠΈΠ»Ρ ΠΠ΅Π½ΡΠ°: Π²ΠΎΠ·Π½ΠΈΠΊΠ°ΡΡΠΈΠΉ Π² ΠΊΠΎΠ½ΡΡΡΠ΅ ΠΈΠ½Π΄ΡΠΊΡΠΈΠΎΠ½Π½ΡΠΉ ΡΠΎΠΊ ΠΈΠΌΠ΅Π΅Ρ ΡΠ°ΠΊΠΎΠ΅ Π½Π°ΠΏΡΠ°Π²Π»Π΅Π½ΠΈΠ΅, ΡΡΠΎ ΡΠΎΠ·Π΄Π°Π½Π½ΡΠΉ ΠΈΠΌ ΠΌΠ°Π³Π½ΠΈΡΠ½ΡΠΉ ΠΏΠΎΡΠΎΠΊ ΡΠ΅ΡΠ΅Π· ΠΏΠ»ΠΎΡΠ°Π΄Ρ, ΠΎΠ³ΡΠ°Π½ΠΈΡΠ΅Π½Π½ΡΡ ΠΊΠΎΠ½ΡΡΡΠΎΠΌ, ΡΡΡΠ΅ΠΌΠΈΡΡΡ ΠΊΠΎΠΌΠΏΠ΅Π½ΡΠΈΡΠΎΠ²Π°ΡΡ ΠΈΠ·ΠΌΠ΅Π½Π΅Π½ΠΈΠ΅ ΠΌΠ°Π³Π½ΠΈΡΠ½ΠΎΠ³ΠΎ ΠΏΠΎΡΠΎΠΊΠ°, Π²ΡΠ·Π²Π°Π²ΡΠ΅Π΅ Π΄Π°Π½Π½ΡΠΉ ΡΠΎΠΊ.
fizmat.by
Π―ΠΠΠΠΠΠ ΠΠΠΠΠ’Π ΠΠΠΠΠΠΠ’ΠΠΠ ΠΠΠΠ£ΠΠ¦ΠΠ
ΠΠΎΠΈΡΠΊ ΠΠ΅ΠΊΡΠΈΠΉΠΠΠΠΠ’Π ΠΠΠΠΠΠΠ’ΠΠΠ― ΠΠΠΠ£ΠΠ¦ΠΠ―. ΠΠΠ ΠΠΠΠΠΠ«Π Π’ΠΠ
Π‘ ΠΌΠΎΠΌΠ΅Π½ΡΠ° ΠΎΡΠΊΡΡΡΠΈΡ ΡΠ°ΠΊΡΠ°, ΡΡΠΎ Π²ΡΡΠΊΠΈΠΉ ΡΠΎΠΊ ΠΏΠΎΡΠΎΠΆΠ΄Π°Π΅Ρ ΠΌΠ°Π³Π½ΠΈΡΠ½ΠΎΠ΅ ΠΏΠΎΠ»Π΅ (ΠΡΡΡΠ΅Π΄, 1820 Π³.) Π΄Π΅Π»Π°Π»ΠΈΡΡ ΠΌΠ½ΠΎΠ³ΠΎΡΠΈΡΠ»Π΅Π½Π½ΡΠ΅ ΠΏΠΎΠΏΡΡΠΊΠΈ Π²ΡΠ·Π²Π°ΡΡ ΠΎΠ±ΡΠ°ΡΠ½ΠΎΠ΅ ΡΠ²Π»Π΅Π½ΠΈΠ΅ β Π²ΠΎΠ·Π±ΡΠ΄ΠΈΡΡ ΡΠΎΠΊ Π² ΠΊΠΎΠ½ΡΡΡΠ΅ (Π² Π·Π°ΠΌΠΊΠ½ΡΡΠΎΠΉ ΡΠ΅ΠΏΠΈ) Ρ ΠΏΠΎΠΌΠΎΡΡΡ ΠΌΠ°Π³Π½ΠΈΡΠ½ΠΎΠ³ΠΎ ΠΏΠΎΠ»Ρ. ΠΡΠ° Π·Π°Π΄Π°ΡΠ° Π±ΡΠ»Π° ΡΠ΅ΡΠ΅Π½Π° Π€Π°ΡΠ°Π΄Π΅Π΅ΠΌ, ΠΎΡΠΊΡΡΠ²ΡΠΈΠΌ Π² 1831 Π³. ΡΠ²Π»Π΅Π½ΠΈΠ΅ ΡΠ»Π΅ΠΊΡΡΠΎΠΌΠ°Π³Π½ΠΈΡΠ½ΠΎΠΉ ΠΈΠ½Π΄ΡΠΊΡΠΈΠΈ.
Π―Π²Π»Π΅Π½ΠΈΠ΅ ΡΠΎΡΡΠΎΠΈΡ Π² ΡΠ»Π΅Π΄ΡΡΡΠ΅ΠΌ: ΠΏΡΠΈ ΠΈΠ·ΠΌΠ΅Π½Π΅Π½ΠΈΠΈ ΠΏΠΎΡΠΎΠΊΠ° ΠΌΠ°Π³Π½ΠΈΡΠ½ΠΎΠΉ ΠΈΠ½Π΄ΡΠΊΡΠΈΠΈ ΡΠ΅ΡΠ΅Π· ΠΏΠ»ΠΎΡΠ°Π΄Ρ, ΠΎΠ³ΡΠ°Π½ΠΈΡΠ΅Π½Π½ΡΡ Π»ΡΠ±ΡΠΌ ΠΏΡΠΎΠ²ΠΎΠ΄ΡΡΠ΅ΠΌ ΠΊΠΎΠ½ΡΡΡΠΎΠΌ, Π² ΡΡΠΎΠΌ ΠΊΠΎΠ½ΡΡΡΠ΅ Π²ΠΎΠ·Π½ΠΈΠΊΠ°Π΅Ρ ΡΠ»Π΅ΠΊΡΡΠΈΡΠ΅ΡΠΊΠΈΠΉ ΡΠΎΠΊ. ΠΡΠΎΡ ΡΠΎΠΊ Π½Π°Π·ΡΠ²Π°Π΅ΡΡΡ ΠΈΠ½Π΄ΡΠΊΡΠΈΠΎΠ½Π½ΡΠΌ. ΠΡΠΈ ΡΡΠΎΠΌ ΡΠ²Π»Π΅Π½ΠΈΠ΅ ΡΠΎΠ²Π΅ΡΡΠ΅Π½Π½ΠΎ Π½Π΅ Π·Π°Π²ΠΈΡΠΈΡ ΠΎΡ ΡΠΏΠΎΡΠΎΠ±Π° ΠΈΠ·ΠΌΠ΅Π½Π΅Π½ΠΈΡ ΠΏΠΎΡΠΎΠΊΠ° ΠΌΠ°Π³Π½ΠΈΡΠ½ΠΎΠΉ ΠΈΠ½Π΄ΡΠΊΡΠΈΠΈ.
ΠΠΎΡΠΎΠΊ ΠΌΠ°Π³Π½ΠΈΡΠ½ΠΎΠΉ ΠΈΠ½Π΄ΡΠΊΡΠΈΠΈ Π€ ΠΎΠΏΡΠ΅Π΄Π΅Π»ΡΠ΅ΡΡΡ ΡΠΎΠΎΡΠ½ΠΎΡΠ΅Π½ΠΈΠ΅ΠΌ:
Π€ = BΒ·SΒ·cosΞ± , (1)
Π³Π΄Π΅ Π β ΠΈΠ½Π΄ΡΠΊΡΠΈΡ ΠΌΠ°Π³Π½ΠΈΡΠ½ΠΎΠ³ΠΎ ΠΏΠΎΠ»Ρ, [Π] = Π’Π»; S β ΠΏΠ»ΠΎΡΠ°Π΄Ρ ΠΏΠΎΠ²Π΅ΡΡ Π½ΠΎΡΡΠΈ, ΠΎΠ³ΡΠ°Π½ΠΈΡΠ΅Π½Π½ΠΎΠΉ ΠΊΠΎΠ½ΡΡΡΠΎΠΌ, [S] = ΠΌ2; Ξ± β ΡΠ³ΠΎΠ», ΠΊΠΎΡΠΎΡΡΠΉ ΠΎΠ±ΡΠ°Π·ΡΠ΅Ρ Π½ΠΎΡΠΌΠ°Π»Ρ ΠΊ ΠΏΠ»ΠΎΡΠΊΠΎΡΡΠΈ ΠΊΠΎΠ½ΡΡΡΠ° Ρ Π½Π°ΠΏΡΠ°Π²Π»Π΅Π½ΠΈΠ΅ΠΌ Π²Π΅ΠΊΡΠΎΡΠ° ΠΈΠ½Π΄ΡΠΊΡΠΈΡ ΠΌΠ°Π³Π½ΠΈΡΠ½ΠΎΠ³ΠΎ ΠΏΠΎΠ»Ρ , [Ξ±] = ΡΠ°Π΄; [Π€] = ΠΠ±.
ΠΠ°ΠΊ Π²ΠΈΠ΄Π½ΠΎ ΠΈΠ· ΡΠΎΠΎΡΠ½ΠΎΡΠ΅Π½ΠΈΡ (1), Π²ΠΎΠ·Π±ΡΠ΄ΠΈΡΡ ΠΈΠ½Π΄ΡΠΊΡΠΈΠΎΠ½Π½ΡΠΉ ΡΠΎΠΊ ΠΌΠΎ-ΠΆΠ½ΠΎ Π»ΠΈΠ±ΠΎ ΠΏΡΡΡΠΌ ΠΈΠ·ΠΌΠ΅Π½Π΅Π½ΠΈΡ Π²Π΅Π»ΠΈΡΠΈΠ½Ρ ΠΈΠ½Π΄ΡΠΊΡΠΈΡ ΠΌΠ°Π³Π½ΠΈΡΠ½ΠΎΠ³ΠΎ ΠΏΠΎΠ»Ρ β Π, Π»ΠΈΠ±ΠΎ ΠΈΠ·ΠΌΠ΅Π½Π΅Π½ΠΈΠ΅ΠΌ Π³Π΅ΠΎΠΌΠ΅ΡΡΠΈΡΠ΅ΡΠΊΠΎΠΉ ΡΠΎΡΠΌΡ ΠΊΠΎΠ½ΡΡΡΠ°, Ρ.Π΅. ΠΏΠ»ΠΎΡΠ°Π΄ΠΈ, Π»ΠΈΠ±ΠΎ ΠΈΠ·ΠΌΠ΅Π½Π΅Π½ΠΈΠ΅ΠΌ Π΅Π³ΠΎ ΠΏΠΎΠ»ΠΎΠΆΠ΅Π½ΠΈΡ Π² ΠΏΡΠΎΡΡΡΠ°Π½ΡΡΠ²Π΅, Ρ.Π΅. ΠΈΠ·ΠΌΠ΅Π½Π΅Π½ΠΈΠ΅ΠΌ ΡΠ³Π»Π° Ξ±.
ΠΠ΅Π½Ρ (1833 Π³.) ΡΡΡΠ°Π½ΠΎΠ²ΠΈΠ» ΠΎΠ±ΡΠ΅Π΅ ΠΏΡΠ°Π²ΠΈΠ»ΠΎ Π΄Π»Ρ ΠΎΠΏΡΠ΅Π΄Π΅Π»Π΅Π½ΠΈΡ Π½Π°ΠΏΡΠ°Π²Π»Π΅Π½ΠΈΡ ΠΈΠ½Π΄ΡΠΊΡΠΈΠΎΠ½Π½ΠΎΠ³ΠΎ ΡΠΎΠΊΠ°: ΠΈΠ½Π΄ΡΡΠΈΡΠΎΠ²Π°Π½Π½ΡΠΉ Π² ΠΊΠΎΠ½ΡΡΡΠ΅ ΡΠΎΠΊ ΠΈΠΌΠ΅Π΅Ρ ΡΠ°ΠΊΠΎΠ΅ Π½Π°ΠΏΡΠ°Π²Π»Π΅Π½ΠΈΠ΅, ΡΡΠΎ Π΅Π³ΠΎ ΡΠΎΠ±ΡΡΠ²Π΅Π½Π½ΠΎΠ΅ ΠΌΠ°Π³Π½ΠΈΡΠ½ΠΎΠ΅ ΠΏΠΎΠ»Π΅ ΠΊΠΎΠΌΠΏΠ΅Π½ΡΠΈΡΡΠ΅Ρ ΠΈΠ·ΠΌΠ΅Π½Π΅Π½ΠΈΠ΅ ΠΏΠΎΡΠΎΠΊΠ° ΠΌΠ°Π³Π½ΠΈΡΠ½ΠΎΠΉ ΠΈΠ½Π΄ΡΠΊΡΠΈΠΈ ΡΠ΅ΡΠ΅Π· ΠΏΠ»ΠΎΡΠΊΠΎΡΡΡ ΠΊΠΎΠ½ΡΡΡΠ°, ΠΊΠΎΡΠΎΡΠΎΠ΅ Π²ΡΠ·Π²Π°Π»ΠΎ ΡΡΠΎΡ ΠΈΠ½Π΄ΡΠΊΡΠΈΠΎΠ½Π½ΡΠΉ ΡΠΎΠΊ.ΠΡΠΎ ΠΏΡΠ°Π²ΠΈΠ»ΠΎ ΡΠ²Π»ΡΠ΅ΡΡΡ ΡΠ»Π΅Π΄ΡΡΠ²ΠΈΠ΅ΠΌ Π·Π°ΠΊΠΎΠ½Π° ΡΠΎΡ ΡΠ°Π½Π΅Π½ΠΈΡ ΡΠ½Π΅ΡΠ³ΠΈΠΈ ΠΈ ΠΏΠΎΠ΄ΡΠ²Π΅ΡΠΆΠ΄Π°Π΅ΡΡΡ ΠΎΠΏΡΡΠ°ΠΌΠΈ. ΠΠ΅Π»ΠΈΡΠΈΠ½Π° ΡΠ»Π΅ΠΊΡΡΠΎΠ΄Π²ΠΈΠΆΡΡΠ΅ΠΉ ΡΠΈΠ»Ρ ΠΈΠ½Π΄ΡΠΊΡΠΈΠΈ ΞΎi ΡΠ°Π²Π½Π° ΡΠΊΠΎΡΠΎΡΡΠΈ ΠΈΠ·ΠΌΠ΅Π½Π΅Π½ΠΈΡ ΠΏΠΎΡΠΎΠΊΠ° ΠΌΠ°Π³Π½ΠΈΡΠ½ΠΎΠΉ ΠΈΠ½Π΄ΡΠΊΡΠΈΠΈ, Π²Π·ΡΡΠΎΠΉ ΡΠΎ Π·Π½Π°ΠΊΠΎΠΌ ΠΌΠΈΠ½ΡΡ:
. (2)
ΠΠ°Π½Π½ΠΎΠ΅ Π²ΡΡΠ°ΠΆΠ΅Π½ΠΈΠ΅ Π½Π°Π·ΡΠ²Π°Π΅ΡΡΡ Π·Π°ΠΊΠΎΠ½ΠΎΠΌ Π€Π°ΡΠ°Π΄Π΅Ρ. ΠΠ½Π°ΠΊ ΠΌΠΈΠ½ΡΡ ΠΌΠ°ΡΠ΅ΠΌΠ°ΡΠΈΡΠ΅ΡΠΊΠΈ Π²ΡΡΠ°ΠΆΠ°Π΅Ρ ΠΏΡΠ°Π²ΠΈΠ»ΠΎ ΠΠ΅Π½ΡΠ°.
ΠΠ· Π·Π°ΠΊΠΎΠ½Π° Π€Π°ΡΠ°Π΄Π΅Ρ ΠΌΠΎΠΆΠ½ΠΎ Π΄Π°ΡΡ ΠΎΠΏΡΠ΅Π΄Π΅Π»Π΅Π½ΠΈΠ΅ Π΅Π΄ΠΈΠ½ΠΈΡΠ΅ ΠΏΠΎΡΠΎΠΊΠ° ΠΌΠ°Π³Π½ΠΈΡΠ½ΠΎΠΉ ΠΈΠ½Π΄ΡΠΊΡΠΈΠΈ β ΠΠ΅Π±Π΅ΡΡ: Π΅ΡΠ»ΠΈ ΠΏΠΎΡΠΎΠΊ ΠΌΠ°Π³Π½ΠΈΡΠ½ΠΎΠΉ ΠΈΠ½Π΄ΡΠΊΡΠΈΠΈ ΡΠ΅ΡΠ΅Π· ΠΏΠ»ΠΎΡΠ°Π΄Ρ, ΠΎΠ³ΡΠ°Π½ΠΈΡΠ΅Π½Π½ΡΡ ΠΊΠΎΠ½ΡΡΡΠΎΠΌ, ΠΈΠ·ΠΌΠ΅Π½ΡΠ΅ΡΡΡ Π½Π° 1ΠΠ± Π·Π° 1 ΡΠ΅ΠΊ, ΡΠΎ Π² ΠΊΠΎΠ½ΡΡΡΠ΅ ΠΈΠ½Π΄ΡΡΠΈΡΡΠ΅ΡΡΡ ΠΠΠ‘, ΡΠ°Π²Π½Π°Ρ 1Π.
Π ΡΠ»ΡΡΠ°Π΅ ΡΠ²Π»Π΅Π½ΠΈΡ ΡΠ»Π΅ΠΊΡΡΠΎΠΌΠ°Π³Π½ΠΈΡΠ½ΠΎΠΉ ΠΈΠ½Π΄ΡΠΊΡΠΈΠΈ ΠΈΠΌΠ΅Π΅Ρ ΠΌΠ΅ΡΡΠΎ ΠΏΡΠ΅Π²ΡΠ°ΡΠ΅Π½ΠΈΠ΅ ΠΎΠ΄Π½ΠΈΡ Π²ΠΈΠ΄ΠΎΠ² ΡΠ½Π΅ΡΠ³ΠΈΠΈ Π² Π΄ΡΡΠ³ΠΈΠ΅. ΠΡΠΈ ΠΈΠ·ΠΌΠ΅Π½Π΅Π½ΠΈΠΈ Π³Π΅ΠΎΠΌΠ΅ΡΡΠΈΠΈ ΠΊΠΎΠ½ΡΡΡΠ° (Π½Π°ΠΏΡΠΈΠΌΠ΅Ρ, Ρ ΠΊΠ²Π°Π΄ΡΠ°ΡΠ° Π½Π° ΠΎΠΊΡΡΠΆΠ½ΠΎΡΡΡ) ΠΌΠ΅Ρ Π°Π½ΠΈΡΠ΅ΡΠΊΠ°Ρ ΡΠ½Π΅ΡΠ³ΠΈΡ ΠΏΡΠ΅Π²ΡΠ°ΡΠ°Π΅ΡΡΡ Π² ΡΠ½Π΅ΡΠ³ΠΈΡ ΡΠ»Π΅ΠΊΡΡΠΈΡΠ΅ΡΠΊΠΎΠ³ΠΎ ΠΈΠ½Π΄ΡΠΊΡΠΈΠΎΠ½Π½ΠΎΠ³ΠΎ ΡΠΎΠΊΠ°. Π ΡΠ²ΠΎΡ ΠΎΡΠ΅ΡΠ΅Π΄Ρ ΡΠ½Π΅ΡΠ³ΠΈΡ ΡΠ»Π΅ΠΊΡΡΠΈΡΠ΅ΡΠΊΠΎΠ³ΠΎ ΡΠΎΠΊΠ° ΠΏΡΠ΅Π²ΡΠ°ΡΠ°Π΅ΡΡΡ Π² ΡΠ΅ΠΏΠ»ΠΎΠ²ΡΡ, Π½Π°Π³ΡΠ΅Π²Π°Ρ ΠΏΡΠΎΠ²ΠΎΠ΄Π½ΠΈΠΊ, ΠΎΠ±ΡΠ°Π·ΡΡΡΠΈΠΉ ΠΊΠΎΠ½ΡΡΡ.
ΠΠ°ΠΊΠΎΠ²Π° ΠΆΠ΅ ΠΏΡΠΈΡΠΎΠ΄Π° ΠΠΠ‘ ΠΈΠ½Π΄ΡΠΊΡΠΈΠΈ?
ΠΠΠ‘ ΠΈΠ½Π΄ΡΠΊΡΠΈΠΈ ΠΎΠ±ΡΡΠ»ΠΎΠ²Π»Π΅Π½Π° ΡΠΈΠ»ΠΎΠΉ ΠΠΎΡΠ΅Π½ΡΠ°, Π΅ΡΠ»ΠΈ ΠΌ-ΠΏΠΎΠ»Π΅ Π½Π΅ΠΏΠΎΠ΄Π²ΠΈΠΆΠ½ΠΎ (ΡΠΈΡ.3) ΠΈ ΠΎΠ±ΡΡΠ»ΠΎΠ²Π»Π΅Π½Π° Π²ΠΈΡ ΡΠ΅Π²ΡΠΌ ΡΠ»Π΅ΠΊΡΡΠΈΡΠ΅ΡΠΊΠΈΠΌ ΠΏΠΎΠ»Π΅ΠΌ, Π²ΠΎΠ·Π½ΠΈΠΊΡΠΈΠΌ Π² ΡΠ΅Π·ΡΠ»ΡΡΠ°ΡΠ΅ ΠΈΠ·ΠΌΠ΅Π½ΡΡΡΠ΅Π³ΠΎΡΡ ΠΌ-ΠΏΠΎΠ»Ρ (ΡΠΈΡ.4). ΠΠΈΡ ΡΠ΅Π²ΠΎΠ΅ ΡΠ». ΠΏΠΎΠ»Π΅ Π½Π΅ ΠΎΡΠ»ΠΈΡΠ°Π΅ΡΡΡ ΠΎΡ ΡΠ»Π΅ΠΊΡΡΠΎΡΡΠ°ΡΠΈΡΠ΅ΡΠΊΠΎΠ³ΠΎ ΠΏΠΎΠ»Ρ ΡΠ»Π΅ΠΊΡΡΠΈΡΠ΅ΡΠΊΠΈΡ Π·Π°ΡΡΠ΄ΠΎΠ² ΠΏΠΎ ΡΠ²ΠΎΠ΅ΠΌΡ Π΄Π΅ΠΉΡΡΠ²ΠΈΡ Π½Π° ΡΠ»Π΅ΠΊΡΡΠΈΡΠ΅ΡΠΊΠΈΠΉ Π·Π°ΡΡΠ΄ Π² Π΄Π°Π½Π½ΠΎΠΉ ΡΠΎΡΠΊΠ΅ ΠΏΡΠΎΡΡΡΠ°Π½ΡΡΠ²Π°. ΠΠΎ ΠΏΠΎ ΡΠ²ΠΎΠ΅ΠΉ ΡΡΡΡΠΊΡΡΡΠ΅, Ρ.Π΅. Π² ΡΠ΅Π»ΠΎΠΌ, ΡΡΠΈ ΠΏΠΎΠ»Ρ ΡΠ΅Π·ΠΊΠΎ ΠΎΡΠ»ΠΈΡΠ°ΡΡΡΡ Π΄ΡΡΠ³ ΠΎΡ Π΄ΡΡΠ³Π°. ΠΠ»Π΅ΠΊΡΡΠΎΡΡΠ°ΡΠΈΡΠ΅ΡΠΊΠΎΠ΅ ΠΏΠΎΠ»Π΅ ΠΈΠΌΠ΅Π΅Ρ βΠΈΡΡΠΎΡΠ½ΠΈΠΊΠΈ ΠΏΠΎΠ»Ρβ β ΡΠ»Π΅ΠΊΡΡΠΈΡΠ΅ΡΠΊΠΈΠ΅ Π·Π°ΡΡΠ΄Ρ. ΠΠΈΠ½ΠΈΠΈ Π½Π°ΠΏΡΡΠΆΡΠ½Π½ΠΎΡΡΠΈ Π΅Π³ΠΎ Π½Π΅ Π·Π°ΠΌΠΊΠ½ΡΡΡ. Π ΡΡΠΎΠΌ ΠΏΠΎΠ»Π΅ ΡΠ°Π±ΠΎΡΠ° ΠΏΠΎ ΠΏΠ΅ΡΠ΅ΠΌΠ΅ΡΠ΅Π½ΠΈΡ Π·Π°ΡΡΠ΄Π° ΠΌΠ΅ΠΆΠ΄Ρ Π΄Π²ΡΠΌΡ ΡΠΈΠΊΡΠΈΡΠΎΠ²Π°Π½Π½ΡΠΌΠΈ ΡΠΎΡΠΊΠ°ΠΌΠΈ Π·Π°Π²ΠΈΡΠΈΡ ΡΠΎΠ»ΡΠΊΠΎ ΠΎΡ ΠΏΠΎΠ»ΠΎΠΆΠ΅Π½ΠΈΡ ΡΡΠΈΡ ΡΠΎΡΠ΅ΠΊ, Π½ΠΎ Π½Π΅ ΠΎΡ ΡΠΎΡΠΌΡ ΠΏΡΡΠΈ. ΠΠ»Π΅ΠΊΡΡΠΈΡΠ΅ΡΠΊΠΎΠ΅ ΠΏΠΎΠ»Π΅ Ρ-ΠΌ. ΠΈΠ½Π΄ΡΠΊΡΠΈΠΈ (Π²ΠΈΡ ΡΠ΅Π²ΠΎΠ΅ ΠΏΠΎΠ»Π΅) Π½Π΅ ΠΈΠΌΠ΅Π΅Ρ ΠΈΡΡΠΎΡΠ½ΠΈΠΊΠΎΠ². ΠΠΈΠ½ΠΈΠΈ Π½Π°ΠΏΡΡΠΆΡΠ½Π½ΠΎΡΡΠΈ ΡΡΠΎΠ³ΠΎ ΠΏΠΎΠ»Ρ Π·Π°ΠΌΠΊΠ½ΡΡΡ ΠΏΠΎΠ΄ΠΎΠ±Π½ΠΎ Π»ΠΈΠ½ΠΈΡΠΌ ΠΌ-ΠΏΠΎΠ»Ρ. Π Π°Π±ΠΎΡΠ° ΠΏΠΎ Π·Π°ΠΌΠΊΠ½ΡΡΠΎΠΌΡ ΠΊΠΎΠ½ΡΡΡΡ Π½Π΅ ΡΠ°Π²Π½Π° 0.
Β
Π―ΠΠΠΠΠΠ Π‘ΠΠΠΠΠΠΠ£ΠΠ¦ΠΠ
ΠΠ°Π³Π½ΠΈΡΠ½ΠΎΠ΅ ΠΏΠΎΠ»Π΅ ΠΊΠΎΠ½ΡΡΡΠ°, Π² ΠΊΠΎΡΠΎΡΠΎΠΌ ΡΠΈΠ»Π° ΡΠΎΠΊΠ° ΠΈΠ·ΠΌΠ΅Π½ΡΠ΅ΡΡΡ, ΠΈΠ½Π΄ΡΡΠΈΡΡΠ΅Ρ ΡΠΎΠΊ Π½Π΅ ΡΠΎΠ»ΡΠΊΠΎ Π² Π΄ΡΡΠ³ΠΈΡ ΠΊΠΎΠ½ΡΡΡΠ°Ρ , Π½ΠΎ ΠΈ Π² ΡΠ΅Π±Π΅ ΡΠ°ΠΌΠΎΠΌ. ΠΡΠΎ ΡΠ²Π»Π΅Π½ΠΈΠ΅ ΠΏΠΎΠ»ΡΡΠΈΠ»ΠΎ Π½Π°Π·Π²Π°Π½ΠΈΠ΅ ΡΠ°ΠΌΠΎΠΈΠ½Π΄ΡΠΊΡΠΈΠΈ.
ΠΠΏΡΡΠ½ΡΠΌ ΠΏΡΡΡΠΌ ΡΡΡΠ°Π½ΠΎΠ²Π»Π΅Π½ΠΎ, ΡΡΠΎ ΠΌΠ°Π³Π½ΠΈΡΠ½ΡΠΉ ΠΏΠΎΡΠΎΠΊ Π²Π΅ΠΊΡΠΎΡΠ° ΠΌΠ°Π³Π½ΠΈΡΠ½ΠΎΠΉ ΠΈΠ½Π΄ΡΠΊΡΠΈΠΈ ΠΏΠΎΠ»Ρ, ΡΠΎΠ·Π΄Π°Π²Π°Π΅ΠΌΠΎΠ³ΠΎ ΡΠ΅ΠΊΡΡΠΈΠΌ Π² ΠΊΠΎΠ½ΡΡΡΠ΅ ΡΠΎΠΊΠΎΠΌ, ΠΏΡΠΎΠΏΠΎΡΡΠΈΠΎΠ½Π°Π»Π΅Π½ ΡΠΈΠ»Π΅ ΡΡΠΎΠ³ΠΎ ΡΠΎΠΊΠ°:
Π€ = LI, (3)
Π³Π΄Π΅ L β ΠΈΠ½Π΄ΡΠΊΡΠΈΠ²Π½ΠΎΡΡΡ ΠΊΠΎΠ½ΡΡΡΠ°. ΠΠΎΡΡΠΎΡΠ½Π½Π°Ρ Ρ Π°ΡΠ°ΠΊΡΠ΅ΡΠΈΡΡΠΈΠΊΠ° ΠΊΠΎΠ½ΡΡΡΠ°, ΠΊΠΎΡΠΎΡΠ°Ρ Π·Π°Π²ΠΈΡΠΈΡ ΠΎΡ Π΅Π³ΠΎ ΡΠΎΡΠΌΡ ΠΈ ΡΠ°Π·ΠΌΠ΅ΡΠΎΠ², Π° ΡΠ°ΠΊ ΠΆΠ΅ ΠΎΡ ΠΌΠ°Π³Π½ΠΈΡΠ½ΠΎΠΉ ΠΏΡΠΎΠ½ΠΈΡΠ°Π΅ΠΌΠΎΡΡΠΈ ΡΡΠ΅Π΄Ρ, Π² ΠΊΠΎΡΠΎΡΠΎΠΉ Π½Π°Ρ ΠΎΠ΄ΠΈΡΡΡ ΠΊΠΎΠ½ΡΡΡ. [L] = ΠΠ½ (ΠΠ΅Π½ΡΠΈ,
1ΠΠ½ = ΠΠ±/Π).
ΠΡΠ»ΠΈ Π·Π° Π²ΡΠ΅ΠΌΡ dt ΡΠΎΠΊ Π² ΠΊΠΎΠ½ΡΡΡΠ΅ ΠΈΠ·ΠΌΠ΅Π½ΠΈΡΡΡ Π½Π° dI, ΡΠΎ ΠΌΠ°Π³Π½ΠΈΡΠ½ΡΠΉ ΠΏΠΎΡΠΎΠΊ, ΡΠ²ΡΠ·Π°Π½Π½ΡΠΉ Ρ ΡΡΠΈΠΌ ΡΠΎΠΊΠΎΠΌ, ΠΈΠ·ΠΌΠ΅Π½ΠΈΡΡΡ Π½Π° dΠ€ = LdI Π² ΡΠ΅Π·ΡΠ»ΡΡΠ°ΡΠ΅ ΡΠ΅Π³ΠΎ Π² ΡΡΠΎΠΌ ΠΊΠΎΠ½ΡΡΡΠ΅ ΠΏΠΎΡΠ²ΠΈΡΡΡ ΠΠΠ‘ ΡΠ°ΠΌΠΎΠΈΠ½Π΄ΡΠΊΡΠΈΠΈ:
. (4)
ΠΠ½Π°ΠΊ ΠΌΠΈΠ½ΡΡ ΠΏΠΎΠΊΠ°Π·ΡΠ²Π°Π΅Ρ, ΡΡΠΎ ΠΠΠ‘ ΡΠ°ΠΌΠΎΠΈΠ½Π΄ΡΠΊΡΠΈΠΈ (Π°, ΡΠ»Π΅Π΄ΠΎΠ²Π°ΡΠ΅Π»ΡΠ½ΠΎ, ΠΈ ΡΠΎΠΊ ΡΠ°ΠΌΠΎΠΈΠ½Π΄ΡΠΊΡΠΈΠΈ) Π²ΡΠ΅Π³Π΄Π° ΠΏΡΠ΅ΠΏΡΡΡΡΠ²ΡΠ΅Ρ ΠΈΠ·ΠΌΠ΅Π½Π΅Π½ΠΈΡ ΡΠΈΠ»Ρ ΡΠΎΠΊΠ°, ΠΊΠΎΡΠΎΡΡΠΉ Π²ΡΠ·Π²Π°Π» ΡΠ°ΠΌΠΎΠΈΠ½Π΄ΡΠΊΡΠΈΡ.
ΠΠ°Π³Π»ΡΠ΄Π½ΡΠΌ ΠΏΡΠΈΠΌΠ΅ΡΠΎΠΌ ΡΠ²Π»Π΅Π½ΠΈΡ ΡΠ°ΠΌΠΎΠΈΠ½Π΄ΡΠΊΡΠΈΠΈ ΡΠ»ΡΠΆΠ°Ρ ΡΠΊΡΡΡΠ°ΡΠΎΠΊΠΈ Π·Π°ΠΌΡΠΊΠ°Π½ΠΈΡ ΠΈ ΡΠ°Π·ΠΌΡΠΊΠ°Π½ΠΈΡ, Π²ΠΎΠ·Π½ΠΈΠΊΠ°ΡΡΠΈΠ΅ ΠΏΡΠΈ Π²ΠΊΠ»ΡΡΠ΅Π½ΠΈΠΈ ΠΈ Π²ΡΠΊΠ»ΡΡΠ΅Π½ΠΈΠΈ ΡΠ»Π΅ΠΊΡΡΠΈΡΠ΅ΡΠΊΠΈΡ ΡΠ΅ΠΏΠ΅ΠΉ, ΠΎΠ±Π»Π°Π΄Π°ΡΡΠ΅ΠΉ Π·Π½Π°ΡΠΈΡΠ΅Π»ΡΠ½ΠΎΠΉ ΠΈΠ½Π΄ΡΠΊΡΠΈΠ²Π½ΠΎΡΡΡΡ.
Β
ΠΠΠΠ ΠΠΠ― ΠΠΠΠΠΠ’ΠΠΠΠ ΠΠΠΠ―
ΠΠ°Π³Π½ΠΈΡΠ½ΠΎΠ΅ ΠΏΠΎΠ»Π΅ ΠΎΠ±Π»Π°Π΄Π°Π΅Ρ ΠΏΠΎΡΠ΅Π½ΡΠΈΠ°Π»ΡΠ½ΠΎΠΉ ΡΠ½Π΅ΡΠ³ΠΈΠ΅ΠΉ, ΠΊΠΎΡΠΎΡΠ°Ρ Π² ΠΌΠΎΠΌΠ΅Π½Ρ Π΅Π³ΠΎ ΠΎΠ±ΡΠ°Π·ΠΎΠ²Π°Π½ΠΈΡ (ΠΈΠ»ΠΈ ΠΈΠ·ΠΌΠ΅Π½Π΅Π½ΠΈΡ) ΠΏΠΎΠΏΠΎΠ»Π½ΡΠ΅ΡΡΡ Π·Π° ΡΡΡΡ ΡΠ½Π΅ΡΠ³ΠΈΠΈ ΡΠΎΠΊΠ° Π² ΡΠ΅ΠΏΠΈ, ΡΠΎΠ²Π΅ΡΡΠ°ΡΡΠ΅Π³ΠΎ ΠΏΡΠΈ ΡΡΠΎΠΌ ΡΠ°Π±ΠΎΡΡ ΠΏΡΠΎΡΠΈΠ² ΠΠΠ‘ ΡΠ°ΠΌΠΎΠΈΠ½Π΄ΡΠΊΡΠΈΠΈ, Π²ΠΎΠ·Π½ΠΈΠΊΠ°ΡΡΠ΅ΠΉ Π²ΡΠ»Π΅Π΄ΡΡΠ²ΠΈΠ΅ ΠΈΠ·ΠΌΠ΅Π½Π΅Π½ΠΈΡ ΠΏΠΎΠ»Ρ.
Π Π°Π±ΠΎΡΠ° dA Π·Π° Π±Π΅ΡΠΊΠΎΠ½Π΅ΡΠ½ΠΎ ΠΌΠ°Π»ΡΠΉ ΠΏΡΠΎΠΌΠ΅ΠΆΡΡΠΎΠΊ Π²ΡΠ΅ΠΌΠ΅Π½ΠΈ dt, Π² ΡΠ΅ΡΠ΅Π½ΠΈΠΈ ΠΊΠΎΡΠΎΡΠΎΠ³ΠΎ ΠΠΠ‘ ΡΠ°ΠΌΠΎΠΈΠ½Π΄ΡΠΊΡΠΈΠΈ ΠΈ ΡΠΎΠΊ I ΠΌΠΎΠΆΠ½ΠΎ ΡΡΠΈΡΠ°ΡΡ ΠΏΠΎΡΡΠΎΡΠ½Π½ΡΠΌΠΈ, ΡΠ°Π²Π½ΡΠ΅ΡΡΡ:
. (5)
ΠΠ½Π°ΠΊ ΠΌΠΈΠ½ΡΡ ΡΠΊΠ°Π·ΡΠ²Π°Π΅Ρ, ΡΡΠΎ ΡΠ»Π΅ΠΌΠ΅Π½ΡΠ°ΡΠ½Π°Ρ ΡΠ°Π±ΠΎΡΠ° ΡΠΎΠ²Π΅ΡΡΠ°Π΅ΡΡΡ ΡΠΎΠΊΠΎΠΌ ΠΏΡΠΎΡΠΈΠ² ΠΠΠ‘ ΡΠ°ΠΌΠΎΠΈΠ½Π΄ΡΠΊΡΠΈΠΈ. Π§ΡΠΎΠ±Ρ ΠΎΠΏΡΠ΅Π΄Π΅Π»ΠΈΡΡ ΡΠ°Π±ΠΎΡΡ ΠΏΡΠΈ ΠΈΠ·ΠΌΠ΅Π½Π΅Π½ΠΈΠΈ ΡΠΎΠΊΠ° ΠΎΡ 0 Π΄ΠΎ I, ΠΏΡΠΎΠΈΠ½ΡΠ΅Π³ΡΠΈΡΡΠ΅ΠΌ ΠΏΡΠ°Π²ΡΡ ΡΠ°ΡΡΡ, ΠΏΠΎΠ»ΡΡΠΈΠΌ:
. (6)
ΠΡΠ° ΡΠ°Π±ΠΎΡΠ° ΡΠΈΡΠ»Π΅Π½Π½ΠΎ ΡΠ°Π²Π½Π° ΠΏΡΠΈΡΠΎΡΡΡ ΠΏΠΎΡΠ΅Π½ΡΠΈΠ°Π»ΡΠ½ΠΎΠΉ ΡΠ½Π΅ΡΠ³ΠΈΠΈ ΞWΠΏ ΠΌΠ°Π³Π½ΠΈΡΠ½ΠΎΠ³ΠΎ ΠΏΠΎΠ»Ρ, ΡΠ²ΡΠ·Π°Π½Π½ΠΎΠ³ΠΎ Ρ ΡΡΠΎΠΉ ΡΠ΅ΠΏΡΡ, Ρ.Π΅. A = -ΞWΠΏ.
ΠΡΡΠ°Π·ΠΈΠΌ ΡΠ½Π΅ΡΠ³ΠΈΡ ΠΌΠ°Π³Π½ΠΈΡΠ½ΠΎΠ³ΠΎ ΠΏΠΎΠ»Ρ ΡΠ΅ΡΠ΅Π· Π΅Π³ΠΎ Ρ Π°ΡΠ°ΠΊΡΠ΅ΡΠΈΡΡΠΈΠΊΠΈ Π½Π° ΠΏΡΠΈΠΌΠ΅ΡΠ΅ ΡΠΎΠ»Π΅Π½ΠΎΠΈΠ΄Π°. ΠΡΠ΄Π΅ΠΌ ΡΡΠΈΡΠ°ΡΡ, ΡΡΠΎ ΠΌΠ°Π³Π½ΠΈΡΠ½ΠΎΠ΅ ΠΏΠΎΠ»Π΅ ΡΠΎΠ»Π΅Π½ΠΎΠΈΠ΄Π° ΠΎΠ΄Π½ΠΎΡΠΎΠ΄Π½ΠΎ ΠΈ Π² ΠΎΡΠ½ΠΎΠ²Π½ΠΎΠΌ ΡΠ°ΡΠΏΠΎΠ»ΠΎΠΆΠ΅Π½ΠΎ Π²Π½ΡΡΡΠΈ Π΅Π³ΠΎ. ΠΠΎΠ΄ΡΡΠ°Π²ΠΈΠΌ Π² (5) Π·Π½Π°ΡΠ΅Π½ΠΈΠ΅ ΠΈΠ½Π΄ΡΠΊΡΠΈΠ²Π½ΠΎΡΡΠΈ ΡΠΎΠ»Π΅Π½ΠΎΠΈΠ΄Π°, Π²ΡΡΠ°ΠΆΠ΅Π½Π½ΠΎΠ΅ ΡΠ΅ΡΠ΅Π· Π΅Π³ΠΎ ΠΏΠ°ΡΠ°ΠΌΠ΅ΡΡΡ ΠΈ Π·Π½Π°ΡΠ΅Π½ΠΈΠ΅ ΡΠΈΠ»Ρ ΡΠΎΠΊΠ° I, Π²ΡΡΠ°ΠΆΠ΅Π½Π½ΠΎΠ΅ ΠΈΠ· ΡΠΎΡΠΌΡΠ»Ρ ΠΈΠ½Π΄ΡΠΊΡΠΈΠΈ ΠΌΠ°Π³Π½ΠΈΡΠ½ΠΎΠ³ΠΎ ΠΏΠΎΠ»Ρ ΡΠΎΠ»Π΅Π½ΠΎΠΈΠ΄Π°:
, (7)
Π³Π΄Π΅ N β ΠΎΠ±ΡΠ΅Π΅ ΡΠΈΡΠ»ΠΎ Π²ΠΈΡΠΊΠΎΠ² ΡΠΎΠ»Π΅Π½ΠΎΠΈΠ΄Π°; β β Π΅Π³ΠΎ Π΄Π»ΠΈΠ½Π°; S β ΠΏΠ»ΠΎΡΠ°Π΄Ρ ΡΠ΅ΡΠ΅Π½ΠΈΡ Π²Π½ΡΡΡΠ΅Π½Π½Π΅Π³ΠΎ ΠΊΠ°Π½Π°Π»Π° ΡΠΎΠ»Π΅Π½ΠΎΠΈΠ΄Π°.
, (8)
ΠΠΎΡΠ»Π΅ ΠΏΠΎΠ΄ΡΡΠ°Π½ΠΎΠ²ΠΊΠΈ ΠΈΠΌΠ΅Π΅ΠΌ:
. (9)
Π Π°Π·Π΄Π΅Π»ΠΈΠ² ΠΎΠ±Π΅ ΡΠ°ΡΡΠΈ Π½Π° V, ΠΏΠΎΠ»ΡΡΠΈΠΌ ΠΎΠ±ΡΡΠΌΠ½ΡΡ ΠΏΠ»ΠΎΡΠ½ΠΎΡΡΡ ΡΠ½Π΅ΡΠ³ΠΈΠΈ ΠΏΠΎΠ»Ρ:
(10)
Β
ΠΈΠ»ΠΈ, Ρ ΡΡΡΡΠΎΠΌ, ΡΡΠΎ ΠΏΠΎΠ»ΡΡΠΈΠΌ, . (11)
Β
Β
ΠΠΠ ΠΠΠΠΠΠ«Π Π’ΠΠ
Β
poisk-ru.ru
ΠΠ»Π΅ΠΊΡΡΠΎΠΌΠ°Π³Π½ΠΈΡΠ½Π°Ρ ΠΈΠ½Π΄ΡΠΊΡΠΈΡ – Π€ΠΈΠ·ΠΈΡΠ΅ΡΠΊΠ°Ρ ΡΠ½ΡΠΈΠΊΠ»ΠΎΠΏΠ΅Π΄ΠΈΡ
ΠΠΠΠΠ’Π ΠΠΠΠΠΠΠ’ΠΠΠ―
ΠΠΠΠ£ΠΠ¦ΠΠ― – Π²ΠΎΠ·Π½ΠΈΠΊΠ½ΠΎΠ²Π΅Π½ΠΈΠ΅ ΡΠ»Π΅ΠΊΡΡΠΈΡ. ΠΏΠΎΠ»Ρ, ΡΠ»Π΅ΠΊΡΡΠΈΡ. ΡΠΎΠΊΠ° ΠΈΠ»ΠΈ ΡΠ»Π΅ΠΊΡΡΠΈΡ.
ΠΏΠΎΠ»ΡΡΠΈΠ·Π°ΡΠΈΠΈ ΠΏΡΠΈ ΠΈΠ·ΠΌΠ΅Π½Π΅Π½ΠΈΠΈ Π²ΠΎ Π²ΡΠ΅ΠΌΠ΅Π½ΠΈ ΠΌΠ°Π³Π½. ΠΏΠΎΠ»Ρ ΠΈΠ»ΠΈ ΠΏΡΠΈ Π΄Π²ΠΈΠΆΠ΅Π½ΠΈΠΈ ΠΌΠ°ΡΠ΅ΡΠΈΠ°Π»ΡΠ½ΡΡ
ΡΡΠ΅Π΄ Π² ΠΌΠ°Π³Π½. ΠΏΠΎΠ»Π΅. Π Π°Π·Π»ΠΈΡΠ°ΡΡ Π΄Π²Π° ΡΠΈΠΏΠ° ΡΡΡΠ΅ΠΊΡΠΎΠ² Π. ΠΈ. ΠΠ΄ΠΈΠ½ ΠΈΠ· Π½ΠΈΡ
ΡΠΎΡΡΠΎΠΈΡ Π² Π½Π°Π²Π΅Π΄Π΅Π½ΠΈΠΈ
Π²ΠΈΡ
ΡΠ΅Π²ΠΎΠ³ΠΎ ΡΠ»Π΅ΠΊΡΡΠΈΡ. ΠΏΠΎΠ»Ρ Π(r, t)ΠΏΠ΅ΡΠ΅ΠΌ. ΠΌΠ°Π³Π½. ΠΏΠΎΠ»Π΅ΠΌ Π(r, t):
Π³Π΄Π΅ S-ΠΏΠΎΠ²Π΅ΡΡ
Π½ΠΎΡΡΡ,
ΠΎΠ³ΡΠ°Π½ΠΈΡΠ΅Π½Π½Π°Ρ ΡΠΈΠΊΡΠΈΡ. ΠΊΠΎΠ½ΡΡΡΠΎΠΌ /, Π€-ΠΌΠ°Π³Π½. ΠΏΠΎΡΠΎΠΊ ΡΠ΅ΡΠ΅Π· S (Π½Π°ΠΏΡΠ°Π²Π»Π΅Π½ΠΈΡ
Π½ΠΎΡΠΌΠ°Π»ΠΈ ΠΊ S ΠΈ ΠΎΠ±Ρ
ΠΎΠ΄Π° ΠΏΠΎ ΠΊΠΎΠ½ΡΡΡΡ l ΡΠ²ΡΠ·Π°Π½Ρ ΠΏΡΠ°Π²ΠΈΠ»ΠΎΠΌ ΠΏΡΠ°Π²ΠΎΠ³ΠΎ Π²ΠΈΠ½ΡΠ°).
Π‘ΠΎΠΎΡΠ½ΠΎΡΠ΅Π½ΠΈΡ (1) ΡΠ²Π»ΡΡΡΡΡ ΡΡΡΠΎΠ³ΠΈΠΌΠΈ ΡΡ-Π½ΠΈΡΠΌΠΈ ΠΊΠ»Π°ΡΡΠΈΡ. ΡΠ»Π΅ΠΊΡΡΠΎΠ΄ΠΈΠ½Π°ΠΌΠΈΠΊΠΈ (ΡΠΌ. ΠΠ°ΠΊΡΠ²Π΅Π»Π»Π°
ΡΡΠ°Π²Π½Π΅Π½ΠΈΡ)ΠΈ ΡΠ½ΠΈΠ²Π΅ΡΡΠ°Π»ΡΠ½ΠΎ ΠΏΡΠΈΠΌΠ΅Π½ΠΈΠΌΡ ΠΊΠ°ΠΊ ΠΊ ΡΠ²ΠΎΠ±ΠΎΠ΄Π½ΠΎΠΌΡ ΠΏΡΠΎΡΡΡΠ°Π½ΡΡΠ²Ρ (ΡΠ»Π΅ΠΊΡΡΠΎΠ΄ΠΈΠ½Π°-ΠΌΠΈΡ.
Π²Π°ΠΊΡΡΠΌΡ), Π³Π°ΠΊ ΠΈ ΠΊ ΠΏΡΠΎΠΈΠ·Π²ΠΎΠ»ΡΠ½ΡΠΌ ΡΡΠ΅Π΄Π°ΠΌ ΠΈ ΡΠΈΡΡΠ΅ΠΌΠ°ΠΌ (Π½Π΅ΠΏΠΎΠ΄Π²ΠΈΠΆΠ½ΡΠΌ ΠΈ Π΄Π²ΠΈΠΆΡΡΠΈΠΌΡΡ).
Π ΠΏΡΠΎΡΡΠ΅ΠΉΡΠΈΡ
ΡΠ»ΡΡΠ°ΡΡ
Π·Π°ΠΌΠΊΠ½ΡΡΡΡ
Π½Π΅ΠΏΠΎΠ΄Π²ΠΈΠΆΠ½ΡΡ
ΠΊΠ²Π°Π·ΠΈΡΡΠ°ΡΠΈΠΎΠ½Π°ΡΠ½ΡΡ
ΡΠ»Π΅ΠΊΡΡΠΈΡ. ΡΠ΅ΠΏΠ΅ΠΉ, Π²ΡΠΏΠΎΠ»Π½Π΅Π½Π½ΡΡ
ΠΈΠ· Π΄ΠΎΡΡΠ°ΡΠΎΡΠ½ΠΎ ΡΠΎΠ½ΠΊΠΈΡ
ΠΏΡΠΎΠ²ΠΎΠ΄ΠΎΠ², ΡΠΈΡΠΊΡΠ»ΡΡΠΈΡ ΡΠ»Π΅ΠΊΡΡΠΈΡ. ΠΏΠΎΠ»Ρ
Π² (1) ΠΌΠΎΠΆΠ΅Ρ ΠΏΡΠΈΠ±Π»ΠΈΠΆΡΠ½Π½ΠΎ ΡΡΠ°ΠΊΡΠΎΠ²Π°ΡΡΡΡ ΠΊΠ°ΠΊ ΡΠ»Π΅ΠΊΡΡΠΎΠ΄Π²ΠΈΠΆΡΡΠ°Ρ ΡΠΈΠ»Π° (ΡΠ΄Ρ) Π.
ΠΈ. Π² “ΠΏΡΠΎΠ²ΠΎΠ΄ΡΡΠ΅ΠΌ ΠΊΠΎΠ½ΡΡΡΠ΅” ,
Π΅ΡΠ»ΠΈ ΠΊΠΎΠ½ΡΡΡΠ½ΡΠΉ ΠΈΠ½ΡΠ΅Π³ΡΠ°Π» Π² (1) ΡΠ»Π°Π±ΠΎ Π·Π°Π²ΠΈΡΠΈΡ ΠΎΡ Π²ΡΠ±ΠΎΡΠ° ΠΏΡΡΠΈ ΠΈΠ½ΡΠ΅Π³ΡΠΈΡΠΎΠ²Π°Π½ΠΈΡ Π²Π½ΡΡΡΠΈ
ΠΏΡΠΎΠ²ΠΎΠ΄Π½ΠΈΠΊΠ°. ΠΠ΄Ρ Π. ΠΈ. ΠΎΠΏΡΠ΅Π΄Π΅Π»ΡΠ΅ΡΡΡ ΡΠ΅ΡΠ΅Π· ΡΠ°Π±ΠΎΡΡ ΡΠ»Π΅ΠΊΡΡΠΈΡ. ΠΏΠΎΠ»Ρ Π½Π°Π΄ ΡΠΎΠΊΠΎΠΌ Π² Π΅Π΄.
Π²ΡΠ΅ΠΌΠ΅Π½ΠΈ (Π ):
ΠΠ΄Π΅ΡΡ j(r, t) – ΠΏΠ»ΠΎΡΠ½ΠΎΡΡΡ ΡΠΎΠΊΠ° Π² ΠΏΡΠΎΠ²ΠΎΠ΄Π½ΠΈΠΊΠ΅, I-ΡΠ»Π΅ΠΊΡΡΠΈΡ. ΡΠΎΠΊ, ΠΊ-ΡΡΠΉ
Π² ΠΊΠ²Π°Π·ΠΈΡΡΠ°ΡΠΈΠΎΠ½Π°ΡΠ½ΠΎΠΌ ΠΏΡΠΈΠ±Π»ΠΈΠΆΠ΅Π½ΠΈΠΈ ΡΡΠΈΡΠ°Π΅ΡΡΡ ΠΎΠ΄ΠΈΠ½Π°ΠΊΠΎΠ²ΡΠΌ Π΄Π»Ρ Π²ΡΠ΅Ρ
Π½ΠΎΡΠΌΠ°Π»ΡΠ½ΡΡ
ΡΠ΅ΡΠ΅Π½ΠΈΠΉ Sn ΠΏΡΠΎΠ²ΠΎΠ΄ΡΡΠ΅Π³ΠΎ ΠΊΠΎΠ½ΡΡΡΠ°. Π ΡΠ΅Ρ
ΡΠ»ΡΡΠ°ΡΡ
, ΠΊΠΎΠ³Π΄Π° Π·Π°Π²ΠΈΡΠΈΠΌΠΎΡΡΡΡ Π ΠΈ j ΠΎΡ ΠΊΠΎΠΎΡΠ΄ΠΈΠ½Π°Ρ ΠΏΠΎΠΏΠ΅ΡΠ΅ΡΠ½ΠΎΠ³ΠΎ ΡΠ΅ΡΠ΅Π½ΠΈΡ ΠΏΡΠΎΠ²ΠΎΠ΄Π½ΠΈΠΊΠ°
ΠΌΠΎΠΆΠ½ΠΎ ΠΏΡΠ΅Π½Π΅Π±ΡΠ΅ΡΡ, Π²ΡΡΠ°ΠΆΠ΅Π½ΠΈΠ΅ (2) ΠΏΡΠ΅ΠΎΠ±ΡΠ°Π·ΡΠ΅ΡΡΡ ΠΊ Π²ΠΈΠ΄Ρ (1) ΠΏΠΎΠ΄ΡΡΠ°Π½ΠΎΠ²ΠΊΠΎΠΉ: j=lI/Sn;
dV=Sndl; dl=ldl. Π’Π°ΠΊΠ°Ρ ΡΠΈΡΡΠ°ΡΠΈΡ ΠΎΠ±ΡΡΠ½ΠΎ ΠΈΠΌΠ΅Π΅Ρ ΠΌΠ΅ΡΡΠΎ ΠΏΡΠΈ
Π²Π½Π΅ΡΠ½Π΅ΠΉ Π. ΠΈ., ΠΊΠΎΠ³Π΄Π° ΠΏΠΎΡΠΎΠΊ Π€ ΠΌΠΎΠΆΠ½ΠΎ ΡΡΠΈΡΠ°ΡΡ ΡΡΠΎΡΠΎΠ½Π½ΠΈΠΌ, Π½Π΅Π·Π°Π²ΠΈΡΠΈΠΌΡΠΌ ΠΎΡ
Π½Π°Π²ΠΎΠ΄ΠΈΠΌΡΡ
Π² ΠΊΠΎΠ½ΡΡΡΠ΅ ΡΠΎΠΊΠΎΠ² j, ΡΠΎΠ·Π΄Π°Π²Π°Π΅ΠΌΡΠΌ, Π½Π°ΠΏΡ., Π΄ΠΎΡΡΠ°ΡΠΎΡΠ½ΠΎ
ΡΠ΄Π°Π»ΡΠ½Π½ΡΠΌΠΈ ΠΈΡΡΠΎΡΠ½ΠΈΠΊΠ°ΠΌΠΈ. ΠΠ°ΠΏΡΠΎΡΠΈΠ², ΠΏΡΠΈ ΡΠ°ΠΌΠΎΠΈΠ½Π΄ΡΠΊΡΠΈΠΈ, ΠΊΠΎΠ³Π΄Π° ΡΠ΄Ρ Π² ΡΠ΅ΠΏΠΈ Π½Π°Π²ΠΎΠ΄ΠΈΡΡΡ
ΠΌΠ°Π³Π½. ΠΏΠΎΠ»Π΅ΠΌ, ΡΠΎΠ·Π΄Π°Π²Π°Π΅ΠΌΡΠΌ ΠΏΠ΅ΡΠ΅ΠΌ. ΡΠΎΠΊΠΎΠΌ Π² ΡΠΎΠΉ ΠΆΠ΅ ΡΠ΅ΠΏΠΈ, ΠΌΠ°Π³Π½. ΠΏΠΎΠ»Π΅ Π²ΡΠ΅Π³Π΄Π° ΡΡΡΠ΅ΡΡΠ²Π΅Π½Π½ΠΎ
ΠΈΠ·ΠΌΠ΅Π½ΡΠ΅ΡΡΡ ΠΎΡ ΡΠΎΡΠΊΠΈ ΠΊ ΡΠΎΡΠΊΠ΅ Π½ΠΎΡΠΌΠ°Π»ΡΠ½ΠΎΠ³ΠΎ ΡΠ΅ΡΠ΅Π½ΠΈΡ ΠΏΡΠΎΠ²ΠΎΠ΄Π°. Π ΡΡΠΎΠΌ ΡΠ»ΡΡΠ°Π΅, Π° ΡΠ°ΠΊΠΆΠ΅
Π΄Π»Ρ Π±ΠΎΠ»Π΅Π΅ ΡΠΎΡΠ½ΡΡ
ΡΠ°ΡΡΡΡΠΎΠ² ΡΠ΄Ρ Π²Π½Π΅ΡΠ½Π΅ΠΉ Π. ΠΈ. ΠΏΡΠΎΠΈΠ·Π²ΠΎΠ΄ΡΡ ΡΡΡΠ΅Π΄Π½Π΅Π½ΠΈΠ΅ Π² (2) ΠΏΠΎ Π»ΠΈΠ½ΠΈΡΠΌ
ΡΠΎΠΊΠ° Π² ΠΏΡΠΎΠ²ΠΎΠ΄Π΅:
= -(1/Ρ)Π΄<Π€i>/Π΄t, Π³Π΄Π΅ Π€i – ΠΌΠ°Π³Π½. ΠΏΠΎΡΠΎΠΊ ΡΠ΅ΡΠ΅Π· ΠΏΠΎΠ²Π΅ΡΡ
Π½ΠΎΡΡΡ Si, ΠΎΠ³ΡΠ°Π½ΠΈΡΠ΅Π½Π½ΡΡ Π»ΠΈΠ½ΠΈΠ΅ΠΉ ΡΠΎΠΊΠ° li, <…>-Π·Π½Π°ΠΊ ΡΡΡΠ΅Π΄Π½Π΅Π½ΠΈΡ. ΠΠΎΡΠΎΠΊ =<Π€i>
Π½Π°Π·. ΡΡΠ΅ΠΏΠ»Π΅Π½Π½ΡΠΌ Ρ ΠΊΠΎΠ½ΡΡΡΠΎΠΌ ΠΌΠ°Π³Π½. ΠΏΠΎΡΠΎΠΊΠΎΠΌ.
ΠΡ. ΡΠΈΠΏ ΡΡΡΠ΅ΠΊΡΠΎΠ² Π. ΠΈ.
ΡΠ²ΡΠ·Π°Π½ Ρ Π΄Π²ΠΈΠΆΠ΅Π½ΠΈΠ΅ΠΌ ΠΌΠ°ΡΠ΅ΡΠΈΠ°Π»ΡΠ½ΡΡ
ΡΡΠ΅Π΄ (ΠΏΡΠΎΠ²ΠΎΠ΄Π½ΠΈΠΊΠΎΠ², ΠΈΠ·ΠΎΠ»ΡΡΠΎΡΠΎΠ², ΡΠ². ΡΠ΅Π», ΠΆΠΈΠ΄ΠΊΠΎΡΡΠ΅ΠΉ,
Π³Π°Π·ΠΎΠ², ΠΏΠ»Π°Π·ΠΌΡ) Π² ΡΡΠ°ΡΠΈΠΎΠ½Π°ΡΠ½ΠΎΠΌ ΠΌΠ°Π³Π½. ΠΏΠΎΠ»Π΅ Π (r).
ΠΠ° Π·Π°ΡΡΠΆ. ΡΠ°ΡΡΠΈΡΡ Π² Π΄Π²ΠΈΠΆΡΡΠΈΡ
ΡΡ ΡΠ΅Π»Π°Ρ
Π΄Π΅ΠΉΡΡΠ²ΡΠ΅Ρ ΠΌΠ°Π³Π½ΠΈΡΠ½Π°Ρ ΠΠΎΡΠ΅Π½ΡΠ° ΡΠΈΠ»Π° Fm = (e/c)[uB](u-ΡΠΊΠΎΡΠΎΡΡΡ Π½ΠΎΡΠΈΡΠ΅Π»Π΅ΠΉ Π·Π°ΡΡΠ΄Π°),
ΠΏΡΠΈΠ²ΠΎΠ΄ΡΡΠ°Ρ ΠΊ ΡΠ°Π·Π΄Π΅Π»Π΅Π½ΠΈΡ Π·Π°ΡΡΠ΄ΠΎΠ² ΠΏΡΠΎΡΠΈΠ²ΠΎΠΏΠΎΠ»ΠΎΠΆΠ½ΡΡ
Π·Π½Π°ΠΊΠΎΠ², ΠΊ Π³Π΅Π½Π΅ΡΠ°ΡΠΈΠΈ ΡΠ»Π΅ΠΊΡΡΠΈΡ.
ΡΠΎΠΊΠΎΠ² Π² ΠΏΡΠΎΠ²ΠΎΠ΄Π½ΠΈΠΊΠ°Ρ
, ΠΊ ΠΏΠΎΠ»ΡΡΠΈΠ·Π°ΡΠΈΠΈ Π΄ΠΈΡΠ»Π΅ΠΊΡΡΠΈΠΊΠΎΠ². ΠΠ½Π΄ΡΡΠΈΡΡΠ΅ΠΌΡΠ΅ ΡΠ»Π΅ΠΊΡΡΠΈΡ. ΠΏΠΎΠ»Ρ
ΠΏΡΠΈ ΡΡΠΎΠΌ ΠΏΠΎΡΠ΅Π½ΡΠΈΠ°Π»ΡΠ½Ρ (rot E= – (1/c)Π΄B/Π΄t = 0). Π£ΡΡΠ΅Π΄Π½ΡΠ½Π½ΡΠ΅ ΠΏΠΎ ΡΠΈΠ·ΠΈΡΠ΅ΡΠΊΠΈ ΠΌΠ°Π»ΠΎΠΌΡ ΠΎΠ±ΡΡΠΌΡ ΡΠΈΠ»Ρ Fm ΠΈΠΌΠ΅ΡΡ ΠΏΠ»ΠΎΡΠ½ΠΎΡΡΡ fm = (1/c) [jΠ]
ΠΈ ΡΠΎΠ²Π΅ΡΡΠ°ΡΡ ΠΌΠ΅Ρ
Π°Π½ΠΈΡ. ΡΠ°Π±ΠΎΡΡ Ρ ΠΌΠΎΡΠ½ΠΎΡΡΡΡ
Π³Π΄Π΅ u = <u>-ΡΡ.
ΡΠΊΠΎΡΠΎΡΡΡ Π½ΠΎΡΠΈΡΠ΅Π»Π΅ΠΉ Π·Π°ΡΡΠ΄Π°. ΠΠ΄Ρ Π.ΠΈ.
ΠΎΠΏΡΠ΅Π΄Π΅Π»ΡΠ΅ΡΡΡ ΠΈΠ· ΡΠΎΠΎΡΠ½ΠΎΡΠ΅Π½ΠΈΡ
ΠΊ-ΡΠΎΠ΅ ΡΠ»Π΅Π΄ΡΠ΅Ρ ΠΈΠ· ΡΠ°Π²Π΅Π½ΡΡΠ²Π°
Π½ΡΠ»Ρ ΡΡΠΌΠΌΠ°ΡΠ½ΠΎΠΉ ΡΠ°Π±ΠΎΡΡ ΡΠΈΠ» ΠΠΎΡΠ΅Π½ΡΠ° (Fm | u).
ΠΠ°ΠΊ Π²ΠΈΠ΄Π½ΠΎ ΠΈΠ· (4), ΠΏΡΠΈ Π.ΠΈ. (2-Π³ΠΎ ΡΠΈΠΏΠ°) ΠΏΡΠΎΠΈΡΡ
ΠΎΠ΄ΠΈΡ ΠΏΡΠ΅ΠΎΠ±ΡΠ°Π·ΠΎΠ²Π°Π½ΠΈΠ΅ ΠΌΠ΅Ρ
Π°Π½ΠΈΡ. ΡΠ½Π΅ΡΠ³ΠΈΠΈ
Π² ΡΠ»Π΅ΠΊΡΡΠΎΠΌΠ°Π³Π½ΠΈΡΠ½ΡΡ, Π΅ΡΠ»ΠΈ .I>
0 (ΠΊΠ°ΠΊ ΡΡΠΎ ΠΈΠΌΠ΅Π΅Ρ ΠΌΠ΅ΡΡΠΎ Π² Π΄ΠΈΠ½Π°ΠΌΠΎ-ΠΌΠ°ΡΠΈΠ½Π°Ρ
) ΠΈΠ»ΠΈ, Π½Π°ΠΎΠ±ΠΎΡΠΎΡ, ΡΠ»Π΅ΠΊΡΡΠΎΠΌΠ°Π³Π½ΠΈΡΠ½ΠΎΠΉ – Π²
ΠΌΠ΅Ρ
Π°Π½ΠΈΡΠ΅ΡΠΊΡΡ, Π΅ΡΠ»ΠΈ .I<0
(Π² ΡΠ»Π΅ΠΊΡΡΠΎΠ΄Π²ΠΈΠ³Π°ΡΠ΅Π»ΡΡ
).
ΠΠ»Ρ ΡΠ»Π΅ΠΊΡΡΠΈΡ. ΡΠ΅ΠΏΠ΅ΠΉ, ΡΠΎΡΡΠΎΡΡΠΈΡ
ΠΈΠ· ΡΠΎΠ½ΠΊΠΈΡ
ΠΏΡΠΎΠ²ΠΎΠ΄Π½ΠΈΠΊΠΎΠ², ΠΌΠΎΠΆΠ½ΠΎ (ΡΠ°ΠΊ ΠΆΠ΅, ΠΊΠ°ΠΊ ΡΡΠΎ Π΄Π΅Π»Π°Π»ΠΎΡΡ Π²ΡΡΠ΅) ΠΏΠ΅ΡΠ΅ΠΉΡΠΈ ΠΎΡ ΠΈΠ½ΡΠ΅Π³ΡΠΈΡΠΎΠ²Π°Π½ΠΈΡ
ΠΏΠΎ ΠΎΠ±ΡΡΠΌΡ Π² (3) ΠΊ ΠΈΠ½ΡΠ΅Π³ΡΠΈΡΠΎΠ²Π°Π½ΠΈΡ Π²Π΄ΠΎΠ»Ρ Π½Π΅ΠΊ-ΡΠΎΠ³ΠΎ ΠΊΠΎΠ½ΡΡΡΠ° Π²Π½ΡΡΡΠΈ ΠΏΡΠΎΠ²ΠΎΠ΄Π°:
Π ΡΠ². ΡΠ΅Π»Π°Ρ
Ρ ΡΠ»Π΅ΠΊΡΡΠΎΠ½Π½ΠΎΠΉ
ΠΈΠ»ΠΈ Π΄ΡΡΠΎΡΠ½ΠΎΠΉ ΠΏΡΠΎΠ²ΠΎΠ΄ΠΈΠΌΠΎΡΡΡΡ ΠΏΠΎΠΏΠ΅ΡΠ΅ΡΠ½Π°Ρ (ΠΊ dl ΠΈ Π)ΡΠΎΡΡΠ°Π²Π»ΡΡΡΠ°Ρ ΡΠΊΠΎΡΠΎΡΡΠΈ ΠΈ ΠΎΠΏΡΠ΅Π΄Π΅Π»ΡΠ΅ΡΡΡ Π»ΠΎΠΊΠ°Π»ΡΠ½ΡΠΌ Π·Π½Π°ΡΠ΅Π½ΠΈΠ΅ΠΌ ΡΠΊΠΎΡΠΎΡΡΠΈ ΠΊΠΎΠ½ΡΡΡΠ° uk(r, t) (ΠΈ| =uk |), ΡΡΠΎ ΠΏΠΎΠ·Π²ΠΎΠ»ΡΠ΅Ρ ΠΎΠ±ΡΠ΅Π΄ΠΈΠ½ΠΈΡΡ
ΡΠ΄Ρ ΠΈ :
ΠΡΠΎ ΡΠΎΠΎΡΠ½ΠΎΡΠ΅Π½ΠΈΠ΅ Π½ΠΎΡΠΈΡ Π½Π°Π·Π²Π°Π½ΠΈΠ΅
Π· Π° ΠΊ ΠΎ Π½ Π° Π€ Π° Ρ Π° Π΄ Π΅ Ρ. Π ΠΎΡΠ»ΠΈΡΠΈΠ΅ ΠΎΡ (1) Π²ΡΡΠ°ΠΆΠ΅Π½ΠΈΠ΅ (6) ΡΠΏΡΠ°Π²Π΅Π΄Π»ΠΈΠ²ΠΎ ΡΠΎΠ»ΡΠΊΠΎ
Π² ΠΊΠ²Π°Π·ΠΈΡΡΠ°ΡΠΈΠΎΠ½Π°ΡΠ½ΠΎΠΌ ΠΏΡΠΈΠ±Π»ΠΈΠΆΠ΅Π½ΠΈΠΈ. ΠΠΎΠ»Π½Π°Ρ ΠΏΡΠΎΠΈΠ·Π²ΠΎΠ΄Π½Π°Ρ ΠΏΠΎ Π²ΡΠ΅ΠΌΠ΅Π½ΠΈ ΠΎΡ ΠΌΠ°Π³Π½. ΠΏΠΎΡΠΎΠΊΠ°
Π€ ΡΡΠΈΡΡΠ²Π°Π΅Ρ Π΅Π³ΠΎ ΠΈΠ·ΠΌΠ΅Π½Π΅Π½ΠΈΡ, ΡΠ²ΡΠ·Π°Π½Π½ΡΠ΅ ΠΊΠ°ΠΊ Ρ ΠΈΠ·ΠΌΠ΅Π½Π΅Π½ΠΈΠ΅ΠΌ ΠΏΠΎΠ»Ρ Π Π²ΠΎ
Π²ΡΠ΅ΠΌΠ΅Π½ΠΈ, ΡΠ°ΠΊ ΠΈ Ρ Π΄Π²ΠΈΠΆΠ΅Π½ΠΈΠ΅ΠΌ (Π΄Π΅ΡΠΎΡΠΌΠ°ΡΠΈΠ΅ΠΉ) ΠΏΡΠΎΠ²ΠΎΠ΄ΡΡΠ΅Π³ΠΎ ΠΊΠΎΠ½ΡΡΡΠ°.
ΠΠ»Ρ ΠΏΡΠΎΠ²ΠΎΠ΄Π½ΠΈΠΊΠΎΠ² Ρ ΠΏΡΠΎΠΈΠ·Π²ΠΎΠ»ΡΠ½ΡΠΌ
ΠΌΠ΅Ρ
Π°Π½ΠΈΠ·ΠΌΠΎΠΌ ΠΏΡΠΎΠ²ΠΎΠ΄ΠΈΠΌΠΎΡΡΠΈ (ΡΠ»Π΅ΠΊΡΡΠΎΠ»ΠΈΡΠΎΠ², ΠΏΠ»Π°Π·ΠΌΡ, ΡΠ². ΡΠ΅Π» ΡΠΎ ΡΠΌΠ΅ΡΠ°Π½Π½ΠΎΠΉ ΡΠ»Π΅ΠΊΡΡΠΎΠ½Π½ΠΎ-Π΄ΡΡΠΎΡΠ½ΠΎΠΉ
ΠΏΡΠΎΠ²ΠΎΠ΄ΠΈΠΌΠΎΡΡΡΡ) Π·Π°ΠΊΠΎΠ½ Π€Π°ΡΠ°Π΄Π΅Ρ Π² ΠΎΠ±ΡΠ΅ΠΌ ΡΠ»ΡΡΠ°Π΅ Π½Π΅ΠΏΡΠΈΠΌΠ΅Π½ΠΈΠΌ, Ρ. ΠΊ. Π΄Π²ΠΈΠΆΠ΅Π½ΠΈΠ΅ ΠΏΡΠΎΠ²ΠΎΠ΄Π½ΠΈΠΊΠ°
Π½Π΅ ΠΎΠΏΡΠ΅Π΄Π΅Π»ΡΠ΅Ρ ΠΎΠ΄Π½ΠΎΠ·Π½Π°ΡΠ½ΠΎ ΠΏΠΎΠΏΠ΅ΡΠ΅ΡΠ½ΡΡ ΡΠΊΠΎΡΠΎΡΡΡ Π½ΠΎΡΠΈΡΠ΅Π»Π΅ΠΉ Π·Π°ΡΡΠ΄Π° u.
Π ΡΠ°ΠΊΠΈΡ
ΡΡΠ΅Π΄Π°Ρ
ΠΏΡΠΎΡΠΈΠ²ΠΎΠΏΠΎΠ»ΠΎΠΆΠ½ΡΠ΅ Π·Π°ΡΡΠ΄Ρ ΠΌΠΎΠ³ΡΡ ΡΠΎΠΆΠ΄Π°ΡΡΡΡ ΠΏΠ°ΡΠ°ΠΌΠΈ (ΠΈΠΎΠ½ΠΈΠ·Π°ΡΠΈΡ, Π΄ΠΈΡΡΠΎΡΠΈΠ°ΡΠΈΡ,
ΠΊΠ²Π°Π½ΡΠΎΠ²ΡΠ΅ ΠΏΠ΅ΡΠ΅Ρ
ΠΎΠ΄Ρ ΠΈΠ· Π·Π°ΠΏΠΎΠ»Π½Π΅Π½Π½ΠΎΠΉ Π·ΠΎΠ½Ρ Π² ΡΠ²ΠΎΠ±ΠΎΠ΄Π½ΡΡ) ΠΈ Π°Π½Π½ΠΈΠ³ΠΈΠ»ΠΈΡΠΎΠ²Π°ΡΡ (ΡΠ΅ΠΊΠΎΠΌΠ±ΠΈΠ½Π°ΡΠΈΡ,
ΠΎΠ±ΡΠ°ΡΠ½ΡΠ΅ ΠΊΠ²Π°Π½ΡΠΎΠ²ΡΠ΅ ΠΏΠ΅ΡΠ΅Ρ
ΠΎΠ΄Ρ). ΠΠΎΠ³ΡΡ Π²ΠΎΠ·Π½ΠΈΠΊΠ°ΡΡ ΡΠ°ΠΊΠΆΠ΅ Π²ΠΈΡ
ΡΠ΅Π²ΡΠ΅ ΠΊΠΎΠ½Π²Π΅ΠΊΡΠΈΠ²Π½ΡΠ΅ Π΄Π²ΠΈΠΆΠ΅Π½ΠΈΡ
ΠΏΠ°Ρ Π·Π°ΡΡΠΆ. ΡΠ°ΡΡΠΈΡ. ΠΡΡ ΡΡΠΎ ΠΌΠΎΠΆΠ΅Ρ ΠΏΡΠΈΠ²ΠΎΠ΄ΠΈΡΡ ΠΊ ΠΎΡΠ½ΠΎΡΠΈΡΠ΅Π»ΡΠ½ΠΎΠΌΡ ΠΏΠΎΠΏΠ΅ΡΠ΅ΡΠ½ΠΎΠΌΡ Π΄Π²ΠΈΠΆΠ΅Π½ΠΈΡ
Π·Π°ΡΡΠ΄ΠΎΠ² Π² ΠΏΡΠΎΠ²ΠΎΠ΄Π½ΠΈΠΊΠ΅. Π’Π°ΠΊ, Π½Π°ΠΏΡ., Π½Π° ΡΠΈΡ. 1 ΠΏΡΠΎΠ²ΠΎΠ΄ΡΡΠ°Ρ ΠΏΠ΅ΡΠ΅ΠΌΡΡΠΊΠ° Π Π΄Π²ΠΈΠΆΠ΅ΡΡΡ
ΡΠΎ ΡΠΊΠΎΡΠΎΡΡΡΡ UΠ Π²Π΄ΠΎΠ»Ρ ΠΏΡΠΎΠ²ΠΎΠ΄ΠΎΠ², ΠΏΠΎΠΌΠ΅ΡΡΠ½Π½ΡΡ
Π² ΠΎΠ΄Π½ΠΎΡΠΎΠ΄Π½ΠΎΠ΅ ΠΏΠΎΡΡΠΎΡΠ½Π½ΠΎΠ΅
ΠΌΠ°Π³Π½. ΠΏΠΎΠ»Π΅ Π0. ΠΡΠ»ΠΈ ΠΏΠ΅ΡΠ΅ΠΌΡΡΠΊΠΎΠΉ ΡΠ²Π»ΡΠ΅ΡΡΡ ΠΌΠ΅ΡΠ°Π»Π»ΠΈΡ.
ΡΠΈΠ½Π°, ΡΠΎ Π² ΡΠ΅ΠΏΠΈ Π½Π°Π²ΠΎΠ΄ΠΈΡΡΡ
Π² ΡΠΎΠΎΡΠ²Π΅ΡΡΡΠ²ΠΈΠΈ Ρ (6). ΠΡΠ»ΠΈ ΠΆΠ΅ ΡΠ΅ΠΏΡ Π·Π°ΠΌΡΠΊΠ°Π΅ΡΡΡ Π²ΠΎΠ»Π½ΠΎΠΉ ΠΈΠΎΠ½ΠΈΠ·Π°ΡΠΈΠΈ Π²ΠΎΠ·Π΄ΡΡ
Π°, ΡΠΎΠ·Π΄Π°Π²Π°Π΅ΠΌΠΎΠΉ,
Π½Π°ΠΏΡ., Π΄Π²ΠΈΠΆΡΡΠΈΠΌΡΡ ΠΈΡΡΠΎΡΠ½ΠΈΠΊΠΎΠΌ g-ΠΈΠ·Π»ΡΡΠ΅Π½ΠΈΡ (R)ΠΈΠ»ΠΈ Π΄ΡΠ³ΠΎΠ²ΡΠΌ ΡΠ°Π·ΡΡΠ΄ΠΎΠΌ,
ΡΠΎ Π² ΡΠ΅ΠΏΠΈ
Π½Π΅ Π²ΠΎΠ·Π½ΠΈΠΊΠ°Π΅Ρ, Ρ. ΠΊ. ΠΏΡΠΎΠ²ΠΎΠ΄ΠΈΠΌΠΎΡΡΡ ΠΏΠ»Π°Π·ΠΌΠ΅Π½Π½ΠΎΠ³ΠΎ ΡΡΠΎΠ»Π±Π° ΠΎΠ±Π΅ΡΠΏΠ΅ΡΠΈΠ²Π°ΡΡ ΡΠ»Π΅ΠΊΡΡΠΎΠ½-ΠΈΠΎΠ½Π½ΡΠ΅
ΠΏΠ°ΡΡ, ΡΠΎΠΆΠ΄Π°ΡΡΠΈΠ΅ΡΡ Π² ΡΡΠ΅Π΄Π½Π΅ΠΌ Ρ Π½ΡΠ»Π΅Π²ΠΎΠΉ Π½Π°Ρ. ΡΠΊΠΎΡΠΎΡΡΡΡ ΠΈ ΡΠ΅ΡΠ΅Π· Π½Π΅ΠΊ-ΡΠΎΠ΅ Π²ΡΠ΅ΠΌΡ ΡΠ΅ΠΊΠΎΠΌΠ±ΠΈΠ½ΠΈΡΡΡΡΠΈΠ΅.
ΠΠ°ΠΎΠ±ΠΎΡΠΎΡ, Π΅ΡΠ»ΠΈ Π½Π΅ΠΏΠΎΠ΄Π²ΠΈΠΆΠ½ΡΠΉ ΡΠ°Π·ΡΡΠ΄ ΠΏΡΠΎΠ΄ΡΠ²Π°ΡΡ ΡΡΡΡΡΠΉ Π²ΠΎΠ·Π΄ΡΡ
Π° ΠΏΠ΅ΡΠΏΠ΅Π½Π΄ΠΈΠΊΡΠ»ΡΡΠ½ΠΎ ΠΌΠ°Π³Π½.
ΠΏΠΎΠ»Ρ, ΡΠ΄Ρ Π. ΠΈ. Π±ΡΠ΄Π΅Ρ Π½Π°Π²ΠΎΠ΄ΠΈΡΡΡΡ [Π² ΡΠΎΠΎΡΠ²Π΅ΡΡΡΠ²ΠΈΠΈ Ρ (5), Ρ
ΠΎΡΡ dΠ€/dt
= 0]. ΠΠ΄Ρ Π.ΠΈ. Π±ΡΠ΄Π΅Ρ Π²ΠΎΠ·Π½ΠΈΠΊΠ°ΡΡ ΠΈ Π² ΡΠΎΠΌ ΡΠ»ΡΡΠ°Π΅, Π΅ΡΠ»ΠΈ ΡΠ°Π·ΡΡΠ΄ Π½Π΅ΠΏΠΎΠ΄Π²ΠΈΠΆΠ΅Π½
ΠΈ Π½Π΅Ρ ΡΡΠΎΡΠΎΠ½Π½Π΅Π³ΠΎ ΠΏΡΠΎΠ΄ΡΠ²Π°, Π½ΠΎ Π² ΡΠ΅ΠΏΡ Π²ΠΊΠ»ΡΡΠ΅Π½Π° Π΄ΠΎΠΏΠΎΠ»Π½ΠΈΡΠ΅Π»ΡΠ½Π°Ρ ΡΠ΄Ρ, ΡΠΎΠ·Π΄Π°ΡΡΠ°Ρ ΡΡΠΎΡΠΎΠ½Π½ΠΈΠΉ
ΡΠΎΠΊ. Π’Π°ΠΊΠΎΠΉ ΡΠ°Π·ΡΡΠ΄ Π±ΡΠ΄Π΅Ρ Π²ΡΠ°ΡΡΠ²Π°ΡΡ ΡΠΎ Π²ΡΠ΅Ρ
ΡΡΠΎΡΠΎΠ½ ΠΎΠΊΡΡΠΆΠ°ΡΡΠΈΠΉ Π²ΠΎΠ·Π΄ΡΡ
ΠΈ Π²ΡΠ±ΡΠ°ΡΡΠ²Π°ΡΡ
Π΅Π³ΠΎ Π² Π²ΠΈΠ΄Π΅ ΡΡΡΡΠΈ Π² ΡΡΠΎΡΠΎΠ½Ρ Π΄Π΅ΠΉΡΡΠ²ΠΈΡ ΡΠΈΠ»Ρ ΠΠΌΠΏΠ΅ΡΠ°.
ΠΡ. ΠΎΠ³ΡΠ°Π½ΠΈΡΠ΅Π½ΠΈΡ ΠΏΡΠΈΠΌΠ΅Π½ΠΈΠΌΠΎΡΡΠΈ
Π·Π°ΠΊΠΎΠ½Π° Π€Π°ΡΠ°Π΄Π΅Ρ (6) Π²ΠΎΠ·Π½ΠΈΠΊΠ°ΡΡ Π² ΡΠ°ΡΠΏΡΠ΅Π΄Π΅Π»ΡΠ½Π½ΡΡ
ΠΏΡΠΎΠ²ΠΎΠ΄ΡΡΠΈΡ
ΡΡΠ΅Π΄Π°Ρ
ΠΈ ΠΊΠΎΠΌΠΌΡΡΠΈΡΡΡΡΠΈΡ
ΡΡΡΡΠΎΠΉΡΡΠ²Π°Ρ
ΡΠΎ ΡΠΊΠΎΠ»ΡΠ·ΡΡΠΈΠΌΠΈ ΠΊΠΎΠ½ΡΠ°ΠΊΡΠ°ΠΌΠΈ, ΠΏΠ΅ΡΠ΅ΠΊΠ»ΡΡΠ°ΡΠ΅Π»ΡΠΌΠΈ, ΠΊΠΎΠ»Π»Π΅ΠΊΡΠΎΡΠ°ΠΌΠΈ ΠΈ Ρ. ΠΏ.,
Ρ. Π΅. Π² ΡΠΈΡΡΠ΅ΠΌΠ°Ρ
, Π³Π΅ΠΎΠΌΠ΅ΡΡΠΈΡ ΠΊ-ΡΡΡ
Π½Π΅ ΠΎΠΏΡΠ΅Π΄Π΅Π»ΡΠ΅Ρ ΠΎΠ΄Π½ΠΎΠ·Π½Π°ΡΠ½ΠΎ ΡΡΡΡΠΊΡΡΡΡ ΠΈΠ½Π΄ΡΠΊΡΠΈΠΎΠ½Π½ΡΡ
ΡΠΎΠΊΠΎΠ². Π ΠΈΡ. 2 ΠΈΠ»Π»ΡΡΡΡΠΈΡΡΠ΅Ρ Ρ.Π½. ΠΏ Π° Ρ Π°Π΄ ΠΎ ΠΊ Ρ Π Π΅ Ρ ΠΈ Π½ Π³ Π°. ΠΠΎΡΡ. ΠΌΠ°Π³Π½. ΠΏΠΎΡΠΎΠΊ Π€0, ΡΠΎΡΡΠ΅Π΄ΠΎΡΠΎΡΠ΅Π½Π½ΡΠΉ
Π²Π½ΡΡΡΠΈ ΡΠΎΠ»Π΅Π½ΠΎΠΈΠ΄Π° Π‘, ΠΏΡΠΎΠ½ΠΈΠ·ΡΠ²Π°Π΅Ρ ΠΏΡΠΎΠ²ΠΎΠ΄ΡΡΠΈΠΉ ΠΊΠΎΠ½ΡΡΡ
g Π² Π΅Π³ΠΎ Π½Π°Ρ. ΠΏΠΎΠ»ΠΎΠΆΠ΅Π½ΠΈΠΈ Π°. ΠΠΎΠ½ΡΡΡ Ρ ΠΏΠΎΠΌΠΎΡΡΡ ΡΠΊΠΎΠ»ΡΠ·ΡΡΠΈΡ
ΠΊΠΎΠ½ΡΠ°ΠΊΡΠΎΠ² 1, 2 ΠΈ ΠΏΡΠΎΠ²ΠΎΠ΄ΡΡΠ΅Π³ΠΎ ΠΊΠΎΠ»ΡΡΠ° Π ΠΏΠ΅ΡΠ΅Π²ΠΎΠ΄ΠΈΡΡΡ
Π² ΠΏΠΎΠ»ΠΎΠΆΠ΅Π½ΠΈΠ΅ Π±, Π² ΠΊ-ΡΠΎΠΌ ΠΏΠΎΡΠΎΠΊ ΡΠ΅ΡΠ΅Π· ΠΊΠΎΠ½ΡΡΡ Π€g = 0. ΠΠ°Π³Π½. ΠΏΠΎΡΠΎΠΊ
ΡΠ΅ΡΠ΅Π· g ΠΌΠ΅Π½ΡΠ΅ΡΡΡ Π·Π° ΠΊΠΎΠ½Π΅ΡΠ½ΠΎΠ΅ Π²ΡΠ΅ΠΌΡ, ΠΊΠΎΠ½ΡΡΡ
Π²ΡΡ Π²ΡΠ΅ΠΌΡ ΠΎΡΡΠ°ΡΡΡΡ Π·Π°ΠΌΠΊΠ½ΡΡΡΠΌ, ΠΎΠ΄Π½Π°ΠΊΠΎ ΡΠ΄Ρ Π½Π΅ Π²ΠΎΠ·Π½ΠΈΠΊΠ°Π΅Ρ, ΡΡΡΠ΅Π»ΠΊΠ° Π²ΠΎΠ»ΡΡΠΌΠ΅ΡΡΠ°
(V)Π½Π΅ ΠΎΡΠΊΠ»ΠΎΠ½ΡΠ΅ΡΡΡ
=0, Ρ.ΠΊ. Π΄B/Π΄t = 0; = 0, Ρ.ΠΊ. Π = 0 Π² ΠΎΠ±Π»Π°ΡΡΡΡ
, Π³Π΄Π΅ ΠΈ0).

Π. ΠΈ. ΠΏΡΠΈΠ²ΠΎΠ΄ΠΈΡ ΠΊ ΠΏΠΎΠ»ΡΡΠΈΠ·Π°ΡΠΈΠΈ
Π΄Π²ΠΈΠΆΡΡΠΈΡ
ΡΡ Π² ΠΌΠ°Π³Π½. ΠΏΠΎΠ»Π΅ Π΄ΠΈΡΠ»Π΅ΠΊΡΡΠΈΠΊΠΎΠ². ΠΠ΅ΠΊΡΠΎΡ ΠΏΠΎΠ»ΡΡΠΈΠ·Π°ΡΠΈΠΈ
Π³Π΄Π΅ e – Π΄ΠΈΡΠ»Π΅ΠΊΡΡΠΈΡ. ΠΏΡΠΎΠ½ΠΈΡΠ°Π΅ΠΌΠΎΡΡΡ, ΠΈ ( r, t)-Π»ΠΎΠΊΠ°Π»ΡΠ½Π°Ρ ΡΠΊΠΎΡΠΎΡΡΡ ΡΡΠ΅Π΄Ρ. ΠΠ΅ΠΎΠ΄Π½ΠΎΡΠΎΠ΄Π½ΠΎΡΡΡ ΠΈ( r), Π(r)ΠΈΠ»ΠΈ e(r)ΠΏΡΠΈΠ²ΠΎΠ΄ΠΈΡ ΠΊ ΠΏΠΎΡΠ²Π»Π΅Π½ΠΈΡ ΠΎΠ±ΡΡΠΌΠ½ΠΎΠ³ΠΎ
ΠΈΠ½Π΄ΡΡΠΈΡ. Π·Π°ΡΡΠ΄Π° Ρ ΠΏΠ»ΠΎΡΠ½ΠΎΡΡΡΡ rΠ΅= – divPe; Π½Π° Π³ΡΠ°Π½ΠΈΡΠ΅ Π΄ΠΈΡΠ»Π΅ΠΊΡΡΠΈΠΊΠ° Ρ Π²Π°ΠΊΡΡΠΌΠΎΠΌ Π½Π°Π²ΠΎΠ΄ΠΈΡΡΡ
ΠΏΠΎΠ²Π΅ΡΡ
Π½ΠΎΡΡΠ½ΡΠΉ Π·Π°ΡΡΠ΄
Π³Π΄Π΅ n – Π²Π½Π΅ΡΠ½ΡΡ Π΅Π΄ΠΈΠ½ΠΈΡΠ½Π°Ρ Π½ΠΎΡΠΌΠ°Π»Ρ ΠΊ ΠΏΠΎΠ²Π΅ΡΡ
Π½ΠΎΡΡΠΈ.
Π―Π²Π»Π΅Π½ΠΈΠ΅ Π.ΠΈ. ΠΎΡΠΊΡΡΡΠΎ Π.
Π€Π°ΡΠ°Π΄Π΅Π΅ΠΌ (Π. Faraday) Π² 1831 ΠΈ Π½Π΅Π·Π°Π²ΠΈΡΠΈΠΌΠΎ ΠΠΆ. ΠΠ΅Π½ΡΠΈ (J. Henry) Π² 1832. Π. X.
ΠΠ΅Π½Ρ Π² 1833 ΡΡΡΠ°Π½ΠΎΠ²ΠΈΠ» ΡΠ½ΠΈΠ²Π΅ΡΡΠ°Π»ΡΠ½ΠΎΠ΅ ΠΏΡΠ°Π²ΠΈΠ»ΠΎ Π΄Π»Ρ ΠΎΠΏΡΠ΅Π΄Π΅Π»Π΅Π½ΠΈΡ Π·Π½Π°ΠΊΠ° ΡΠ΄Ρ Π.ΠΈ. Π
1845 Π€. ΠΠ΅ΠΉΠΌΠ°Π½ (F. Neumann) Π΄Π°Π» ΠΌΠ°ΡΠ΅-ΠΌΠ°ΡΠΈΡ. ΡΠΎΡΠΌΡΠ»ΠΈΡΠΎΠ²ΠΊΡ Π·Π°ΠΊΠΎΠ½Π° Π€Π°ΡΠ°Π΄Π΅Ρ (6).
Π£Π½ΠΈΠ²Π΅ΡΡΠ°Π»ΡΠ½Π°Ρ ΠΎΠ±ΡΠ½ΠΎΡΡΡ ΠΎΡΠ²Π»Π΅ΡΡΠ½Π½ΠΎΠ³ΠΎ ΠΎΡ ΡΠ²ΠΎΠΉΡΡΠ² ΠΊΠΎΠ½ΠΊΡΠ΅ΡΠ½ΡΡ
ΠΌΠ°ΡΠ΅ΡΠΈΠ°Π»ΡΠ½ΡΡ
ΡΡΠ΅Π΄
ΡΠΎΠΎΡΠ½ΠΎΡΠ΅Π½ΠΈΡ (1), ΠΊ-ΡΠΎΠ΅ ΠΈΠ½ΠΎΠ³Π΄Π° ΡΠΎΠΆΠ΅ Π½Π°Π·. Π·Π°ΠΊΠΎΠ½ΠΎΠΌ Π€Π°ΡΠ°Π΄Π΅Ρ, Π±ΡΠ»Π° ΠΏΠΎΠ½ΡΡΠ° ΠΠΆ. Π.
ΠΠ°ΠΊΡΠ²Π΅Π»Π»ΠΎΠΌ Π² 1864. ΠΠΌ ΠΆΠ΅ ΠΏΡΠ΅Π΄ΡΠΊΠ°Π·Π°Π½ Π΄ΠΎΠΏΠΎΠ»Π½ΠΈΡΠ΅Π»ΡΠ½ΡΠΉ ΠΊ Π.ΠΈ. ΡΡΡΠ΅ΠΊΡ – Π½Π°Π²Π΅Π΄Π΅Π½ΠΈΠ΅
ΠΌΠ°Π³Π½. ΠΏΠΎΠ»Ρ ΠΏΠ΅ΡΠ΅ΠΌΠ΅Π½Π½ΡΠΌ ΡΠ»Π΅ΠΊΡΡΠΈΡΠ΅ΡΠΊΠΈΠΌ. ΠΡΠΊΡΡΡΠΈΠ΅ Π. ΠΈ. ΠΈ ΠΌΠ°Π³Π½ΠΈΡΠΎΡΠ»Π΅ΠΊΡΡΠΈΡ. ΠΈΠ½Π΄ΡΠΊΡΠΈΠΈ
ΠΏΡΠΈΠ²Π΅Π»ΠΎ ΠΊ ΡΠΎΡΠΌΠΈΡΠΎΠ²Π°Π½ΠΈΡ ΠΏΡΠ΅Π΄ΡΡΠ°Π²Π»Π΅Π½ΠΈΡ ΠΎ Π΅Π΄ΠΈΠ½ΠΎΠΌ ΠΌΠ°ΡΠ΅ΡΠΈΠ°Π»ΡΠ½ΠΎΠΌ ΡΠ»Π΅ΠΊΡΡΠΎΠΌΠ°Π³Π½ΠΈΡΠ½ΠΎΠΌ
ΠΏΠΎΠ»Π΅ (ΡΠ΅Π½Π·ΠΎΡΠ½ΠΎΠΌ), ΠΊΠΎΠΌΠΏΠΎΠ½Π΅Π½ΡΠ°ΠΌΠΈ ΠΊ-ΡΠΎΠ³ΠΎ ΡΠ²Π»ΡΡΡΡΡ Π½Π°ΠΏΡΡΠΆΡΠ½Π½ΠΎΡΡΠΈ ΡΠ»Π΅ΠΊΡΡΠΈΡ. ΠΈ
ΠΌΠ°Π³Π½. ΠΏΠΎΠ»Π΅ΠΉ.
Π.ΠΈ. ΡΡΠ΅Π·Π²ΡΡΠ°ΠΉΠ½ΠΎ ΡΠΈΡΠΎΠΊΠΎ
ΡΠ΅Π°Π»ΠΈΠ·ΡΠ΅ΡΡΡ Π² ΠΏΡΠΈΡΠΎΠ΄Π΅ ΠΈ ΠΏΡΠΈΠΌΠ΅Π½ΡΠ΅ΡΡΡ Π² ΡΠ΅Ρ
Π½ΠΈΠΊΠ΅. ΠΠ° ΡΡΡΠ΅ΠΊΡΠ°Ρ
Π. ΠΈ. Π±Π°Π·ΠΈΡΡΠ΅ΡΡΡ
ΡΡΡΡΠΎΠΉΡΡΠ²ΠΎ ΡΠ»Π΅ΠΊΡΡΠΎΠΌΠΎΡΠΎΡΠΎΠ² ΠΈ Π³Π΅Π½Π΅ΡΠ°ΡΠΎΡΠΎΠ² ΡΠΎΠΊΠ° ΡΠ°Π·Π½ΠΎΠ³ΠΎ ΡΠΈΠΏΠ°, ΡΡΠ°Π½ΡΡΠΎΡΠΌΠ°ΡΠΎΡΠΎΠ²,
ΠΈΠ·ΠΌΠ΅ΡΠΈΡ. ΠΏΡΠΈΠ±ΠΎΡΠΎΠ², ΠΈΠ½Π΄ΡΠΊΡΠΈΠΎΠ½Π½ΡΡ
Π½Π°Π³ΡΠ΅Π²Π°ΡΠ΅Π»Π΅ΠΉ, ΡΡΠΊΠΎΡΠΈΡΠ΅Π»Π΅ΠΉ ΡΠ»Π΅ΠΌΠ΅Π½ΡΠ°ΡΠ½ΡΡ
ΡΠ°ΡΡΠΈΡ,
ΠΈΡΡΠΎΡΠ½ΠΈΠΊΠΎΠ² ΠΏΠ»Π°Π·ΠΌΡ Π² ΡΠ΅ΡΠΌΠΎΡΠ΄Π΅ΡΠ½ΡΡ
ΡΠ΅Π°ΠΊΡΠΎΡΠ°Ρ
, ΡΠ»–ΠΌΠ°Π³Π½. Π΄Π²ΠΈΠΆΠΈΡΠ΅Π»Π΅ΠΉ, ΠΌΠ°Π³Π½. ΠΏΠΎΠ΄Π²Π΅ΡΠΎΠΊ
ΠΈ Ρ. Π΄.
ΠΡΡΠ΅ΠΊΡΡ Π.ΠΈ. Π² ΡΠ°ΡΠΏΡΠ΅Π΄Π΅Π»ΡΠ½Π½ΡΡ
ΡΠΈΡΡΠ΅ΠΌΠ°Ρ
ΠΏΠΎΡΠΎΠΆΠ΄Π°ΡΡ ΡΠ°ΠΊΠΈΠ΅ ΡΠ²Π»Π΅Π½ΠΈΡ, ΠΊΠ°ΠΊ Π€ΡΠΊΠΎ ΡΠΎΠΊΠΈ, ΡΠ½ΠΈΠΏΠΎΠ»ΡΡΠ½Π°Ρ ΠΈΠ½Π΄ΡΠΊΡΠΈΡ, Π³ΠΈΠ΄ΡΠΎΠΌΠ°Π³Π½ΠΈΡΠ½ΠΎΠ΅
Π΄ΠΈΠ½Π°ΠΌΠΎ, Π²ΠΌΠΎΡΠΎΠΆΠ΅Π½Π½ΠΎΡΡΡ ΠΌΠ°Π³Π½ΠΈΡΠ½ΠΎΠ³ΠΎ ΠΏΠΎΠ»Ρ Π² ΠΏΡΠΎΠ²ΠΎΠ΄ΡΡΡΡ ΠΆΠΈΠ΄ΠΊΠΎΡΡΡ, ΠΌΠ°Π³Π½. Π²ΡΠ·ΠΊΠΎΡΡΡ,
Π½Π΅ΡΡΡΠΎΠΉΡΠΈΠ²ΠΎΡΡΡ ΠΏΠ»Π°Π·ΠΌΠ΅Π½Π½ΡΡ
ΡΠ½ΡΡΠΎΠ². Π.ΠΈ. Π»Π΅ΠΆΠΈΡ Π² ΠΎΡΠ½ΠΎΠ²Π΅ ΠΌΠ΅Ρ
Π°Π½ΠΈΠ·ΠΌΠ° ΡΠ°ΡΠΏΡΠΎΡΡΡΠ°Π½Π΅Π½ΠΈΡ
ΡΠ»–ΠΌΠ°Π³Π½. Π²ΠΎΠ»Π½.
ΠΠΈΡ.: ΠΠ°Π½Π΄Π°Ρ Π.
Π., ΠΠΈΡΡΠΈΡ Π. Π., ΠΠ»Π΅ΠΊΡΡΠΎΠ΄ΠΈΠ½Π°ΠΌΠΈΠΊΠ° ΡΠΏΠ»ΠΎΡΠ½ΡΡ
ΡΡΠ΅Π΄, 2 ΠΈΠ·Π΄., Π., 1982; ΠΠΆΠ΅ΠΊΡΠΎΠ½ ΠΠΆ.,
ΠΠ»Π°ΡΡΠΈΡΠ΅ΡΠΊΠ°Ρ ΡΠ»Π΅ΠΊΡΡΠΎΠ΄ΠΈΠ½Π°ΠΌΠΈΠΊΠ°, ΠΏΠ΅Ρ. Ρ Π°Π½Π³Π»., Π., 1965; Π‘ΠΈΠ²ΡΡ
ΠΈΠ½ Π. Π., ΠΠ±ΡΠΈΠΉ ΠΊΡΡΡ
ΡΠΈΠ·ΠΈΠΊΠΈ, 2 ΠΈΠ·Π΄., Ρ. 3. ΠΠ»Π΅ΠΊΡΡΠΈΡΠ΅ΡΡΠ²ΠΎ, Π., 1983.
Π. Π. ΠΠΈΠ»Π»Π΅Ρ, Π. Π.
ΠΠ΅ΡΠΌΠΈΡΠΈΠ½.
Β Β Β Β Β ΠΡΠ΅Π΄ΠΌΠ΅ΡΠ½ΡΠΉ ΡΠΊΠ°Π·Π°ΡΠ΅Π»ΡΒ Β Β Β Β >>Β Β Β
www.femto.com.ua
ΠΠ»Π΅ΠΊΡΡΠΎΠΌΠ°Π³Π½ΠΈΡΠ½Π°Ρ ΠΈΠ½Π΄ΡΠΊΡΠΈΡ, ΡΠ°ΠΌΠΎΠΈΠ½Π΄ΡΠΊΡΠΈΡ ΠΈ Π²Π·Π°ΠΈΠΌΠ½Π°Ρ ΠΈΠ½Π΄ΡΠΊΡΠΈΡ
Π ΠΏΡΠΎΠ²ΠΎΠ΄Π½ΠΈΠΊΠ΅, ΠΏΠ΅ΡΠ΅ΡΠ΅ΠΊΠ°ΡΡΠ΅ΠΌ ΠΌΠ°Π³Π½ΠΈΡΠ½ΠΎΠ΅ ΠΏΠΎΠ»Π΅, ΠΈΠ½Π΄ΡΡΠΈΡΡΠ΅ΡΡΡ ΠΠΠ‘ ΡΠ»Π΅ΠΊΡΡΠΎΠΌΠ°Π³Π½ΠΈΡΠ½ΠΎΠΉ ΠΈΠ½Π΄ΡΠΊΡΠΈΠΈ.
Π―Π²Π»Π΅Π½ΠΈΠ΅ Π½Π°Π²Π΅Π΄Π΅Π½ΠΈΡ ΠΠΠ‘ Π² ΠΏΡΠΎΠ²ΠΎΠ΄Π½ΠΈΠΊΠ΅, ΠΏΠ΅ΡΠ΅ΡΠ΅ΠΊΠ°ΡΡΠ΅ΠΌ ΠΌΠ°Π³Π½ΠΈΡΠ½ΠΎΠ΅ ΠΏΠΎΠ»Π΅, Π½Π°Π·ΡΠ²Π°Π΅ΡΡΡ ΡΠ»Π΅ΠΊΡΡΠΎΠΌΠ°Π³Π½ΠΈΡΠ½ΠΎΠΉ ΠΈΠ½Π΄ΡΠΊΡΠΈΠ΅ΠΉ. ΠΠ°ΠΏΡΠ°Π²Π»Π΅Π½ΠΈΠ΅ ΠΠΠ‘ Π² ΠΏΡΠΎΠ²ΠΎΠ΄Π½ΠΈΠΊΠ΅ ΠΎΠΏΡΠ΅Π΄Π΅Π»ΡΠ΅ΡΡΡ ΠΏΡΠ°Π²ΠΈΠ»ΠΎΠΌ ΠΏΡΠ°Π²ΠΎΠΉ ΡΡΠΊΠΈ.
ΠΠ΅Π»ΠΈΡΠΈΠ½Π° ΠΠΠ‘ ΠΎΠΏΡΠ΅Π΄Π΅Π»ΡΠ΅ΡΡΡ Π²ΡΡΠ°ΠΆΠ΅Π½ΠΈΠ΅ΠΌ:
E=BVβ Sin Ξ±
Π³Π΄Π΅: Π – ΠΈΠ½Π΄ΡΠΊΡΠΈΡ ΠΌΠ°Π³Π½ΠΈΡΠ½ΠΎΠ³ΠΎ ΠΏΠΎΠ»Ρ;
V – ΡΠΊΠΎΡΠΎΡΡΡ ΠΏΠ΅ΡΠ΅ΡΠ΅ΡΠ΅Π½ΠΈΡ ΠΏΡΠΎΠ²ΠΎΠ΄Π½ΠΈΠΊΠΎΠΌ ΠΌΠ°Π³Π½ΠΈΡΠ½ΠΎΠ³ΠΎ ΠΏΠΎΠ»Ρ;
β – Π΄Π»ΠΈΠ½Π° ΠΏΡΠΎΠ²ΠΎΠ΄Π½ΠΈΠΊΠ°;
Ξ± – ΡΠ³ΠΎΠ», ΠΏΠΎΠ΄ ΠΊΠΎΡΠΎΡΡΠΌ ΠΏΡΠΎΠ²ΠΎΠ΄Π½ΠΈΠΊ ΠΏΠ΅ΡΠ΅ΡΠ΅ΠΊΠ°Π΅Ρ ΠΏΠΎΠ»Π΅.
ΠΡΠ»ΠΈ ΠΌΠ°Π³Π½ΠΈΡΠ½ΠΎΠ΅ ΠΏΠΎΠ»Π΅ Ρ Π½Π°ΠΏΡΠ°Π²Π»Π΅Π½Π½ΠΎΠΉ ΡΠΊΠΎΡΠΎΡΡΡΡ ΠΏΠ΅ΡΠ΅ΡΠ΅ΠΊΠ°Π΅Ρ Π·Π°ΠΌΠΊΠ½ΡΡΡΠΉ ΠΊΠΎΠ½ΡΡΡ, ΡΠΎ ΠΠΠ‘ ΡΠ»Π΅ΠΊΡΡΠΎΠΌΠ°Π³Π½ΠΈΡΠ½ΠΎΠΉ ΠΈΠ½Π΄ΡΠΊΡΠΈΠΈ Π² ΡΡΠΎΠΌ ΠΊΠΎΠ½ΡΡΡΠ΅ ΠΎΠΏΡΠ΅Π΄Π΅Π»ΡΠ΅ΡΡΡ ΠΏΠΎ Π·Π°ΠΊΠΎΠ½Ρ ΡΠ»Π΅ΠΊΡΡΠΎΠΌΠ°Π³Π½ΠΈΡΠ½ΠΎΠΉ ΠΈΠ½Π΄ΡΠΊΡΠΈΠΈ.
Ρ.Π΅. ΠΠΠ‘ ΡΠ»Π΅ΠΊΡΡΠΎΠΌΠ°Π³Π½ΠΈΡΠ½ΠΎΠΉ ΠΈΠ½Π΄ΡΠΊΡΠΈΠΈ Π² Π·Π°ΠΌΠΊΠ½ΡΡΠΎΠΌ ΠΊΠΎΠ½ΡΡΡΠ΅ ΡΠ°Π²Π½Π° ΡΠΊΠΎΡΠΎΡΡΠΈ ΠΈΠ·ΠΌΠ΅Π½Π΅Π½ΠΈΡ ΠΌΠ°Π³Π½ΠΈΡΠ½ΠΎΠ³ΠΎ ΠΏΠΎΡΠΎΠΊΠ°, ΡΡΠ΅ΠΏΠ»Π΅Π½Π½ΠΎΠ³ΠΎ Ρ ΡΡΠΈΠΌ ΠΊΠΎΠ½ΡΡΡΠΎΠΌ, Ρ ΠΎΡΡΠΈΡΠ°ΡΠ΅Π»ΡΠ½ΡΠΌ Π·Π½Π°ΠΊΠΎΠΌ. ΠΠ½Π°ΠΊ β-β ΠΎΡΡΠ°ΠΆΠ°Π΅Ρ ΠΏΡΠ°Π²ΠΈΠ»ΠΎ ΠΠ΅Π½ΡΠ°.
ΠΠΠ‘ ΡΠ»Π΅ΠΊΡΡΠΎΠΌΠ°Π³Π½ΠΈΡΠ½ΠΎΠΉ ΠΈΠ½Π΄ΡΠΊΡΠΈΠΈ Π²ΠΎΠ·Π½ΠΈΠΊΠ°Π΅Ρ ΡΠΎΠ»ΡΠΊΠΎ ΠΏΡΠΈ ΠΈΠ·ΠΌΠ΅Π½Π΅Π½ΠΈΠΈ ΠΌΠ°Π³Π½ΠΈΡΠ½ΠΎΠ³ΠΎ ΠΏΠΎΡΠΎΠΊΠ°. ΠΡΠ»ΠΈ ΠΏΠ΅ΡΠ΅ΠΌΠ΅Π½Π½ΡΠΉ ΠΌΠ°Π³Π½ΠΈΡΠ½ΡΠΉ ΠΏΠΎΡΠΎΠΊ ΠΏΡΠΎΠ½ΠΈΠ·ΡΠ²Π°Π΅Ρ ΠΊΠ°ΡΡΡΠΊΡ Ρ ΡΠΈΡΠ»ΠΎΠΌ Π²ΠΈΡΠΊΠΎΠ² W, ΡΠΎ ΠΈΠ½Π΄ΡΠΊΡΠΈΠ²Π½Π°Ρ ΠΠΠ‘.
ΠΡΠΎΠΈΠ·Π²Π΅Π΄Π΅Π½ΠΈΠ΅ Ρ * = – Π½Π°Π·ΡΠ²Π°Π΅ΡΡΡ ΠΏΠΎΡΠΎΠΊΠΎΡΡΠ΅ΠΏΠ»Π΅Π½ΠΈΠ΅ΠΌ, ΠΈ ΡΠΎΠ³Π΄Π°
Ρ.Π΅. ΠΠΠ‘ ΡΠ»Π΅ΠΊΡΡΠΎΠΌΠ°Π³Π½ΠΈΡΠ½ΠΎΠΉ ΠΈΠ½Π΄ΡΠΊΡΠΈΠΈ Π² ΠΊΠ°ΡΡΡΠΊΠ΅ ΡΠ°Π²Π½Π° ΡΠΊΠΎΡΠΎΡΡΠΈ ΠΈΠ·ΠΌΠ΅Π½Π΅Π½ΠΈΡ ΠΏΠΎΡΠΎΠΊΠΎΡΡΠ΅ΠΏΠ»Π΅Π½ΠΈΡ ΡΠΎ Π·Π½Π°ΠΊΠΎΠΌ β-β.
ΠΡΠ»ΠΈ ΠΏΠΎ ΠΊΠ°ΡΡΡΠΊΠ΅ ΠΏΡΠΎΠΏΡΡΡΠΈΡΡ ΡΠΎΠΊ I, ΡΠΎ ΡΠΎΠ·Π΄Π°Π½Π½ΡΠΉ ΡΠΎΠΊΠΎΠΌ ΠΌΠ°Π³Π½ΠΈΡΠ½ΡΠΉ ΠΏΠΎΡΠΎΠΊ ΡΠ²ΠΊΠ°ΡΡΡΠΊΠ΅ ΠΏΡΠΎΠΏΠΎΡΡΠΈΠΎΠ½Π°Π»Π΅Π½ ΡΠΎΠΊΡ, Ρ.Π΅. Ρ=I
Π‘Π»Π΅Π΄ΠΎΠ²Π°ΡΠ΅Π»ΡΠ½ΠΎ, Ο = Ρw =I.
ΠΠ· ΡΡΠΎΠ³ΠΎ Π²ΠΎΠ·Π½ΠΈΠΊΠ°Π΅Ρ, ΡΡΠΎ Π΄Π»Ρ ΠΊΠ°ΠΆΠ΄ΠΎΠΉ ΠΊΠ°ΡΡΡΠΊΠΈ ΠΎΡΠ½ΠΎΡΠ΅Π½ΠΈΠ΅ Ο/I β Π²Π΅Π»ΠΈΡΠΈΠ½Π° ΠΏΠΎΡΡΠΎΡΠ½Π½Π°Ρ.
ΠΡΠΎ ΠΎΡΠ½ΠΎΡΠ΅Π½ΠΈΠ΅ ΠΎΠ±ΠΎΠ·Π½Π°ΡΠ°Π΅ΡΡΡ Π±ΡΠΊΠ²ΠΎΠΉ L ΠΈ Π½Π°Π·ΡΠ²Π°Π΅ΡΡΡ ΠΈΠ½Π΄ΡΠΊΡΠΈΠ²Π½ΠΎΡΡΡΡ, Ρ.Π΅.
ΠΠ½Π΄ΡΠΊΡΠΈΠ²Π½ΠΎΡΡΡ ΠΊΠΎΠ»ΡΡΠ΅Π²ΠΎΠΉ ΠΊΠ°ΡΡΡΠΊΠΈ
Π³Π΄Π΅: Ρ Ρ.Π΅.
ΠΈΠ½Π΄ΡΠΊΡΠΈΠ²Π½ΠΎΡΡΡ ΠΊΠ°ΡΡΡΠΊΠΈ ΠΏΡΠΎΠΏΠΎΡΡΠΈΠΎΠ½Π°Π»ΡΠ½Π° ΠΊΠ²Π°Π΄ΡΠ°ΡΡ ΡΠΈΡΠ»Π° Π²ΠΈΡΠΊΠΎΠ² ΡΡΠΎΠΉ ΠΊΠ°ΡΡΡΠΊΠΈ ΠΈ Π·Π°Π²ΠΈΡΠΈΡ ΠΎΡ Π³Π°Π±Π°ΡΠΈΡΠΎΠ² ΠΈ ΠΌΠ°ΡΠ΅ΡΠΈΠ°Π»Π° ΡΠ΅ΡΠ΄Π΅ΡΠ½ΠΈΠΊΠ° ΠΊΠ°ΡΡΡΠΊΠΈ.
ΠΡΠ»ΠΈ ΠΏΠΎ ΠΊΠ°ΡΡΡΠΊΠ΅ Ρ ΠΈΠ½Π΄ΡΠΊΡΠΈΠ²Π½ΠΎΡΡΡΡ L ΠΏΡΠΎΠΏΡΡΡΠΈΡΡ ΠΏΠ΅ΡΠ΅ΠΌΠ΅Π½Π½ΡΠΉ ΡΠΎΠΊ (ΡΠΈΡ. 3.2.1) ΡΠΎ ΠΎΠ½ ΡΠΎΠ·Π΄Π°Π΅Ρ Π² ΠΊΠ°ΡΡΡΠΊΠ΅ ΠΏΠ΅ΡΠ΅ΠΌΠ΅Π½Π½ΡΠΉ ΠΏΠΎΡΠΎΠΊ, ΠΊΠΎΡΠΎΡΡΠΉ ΠΏΡΠΎΠ½ΠΈΠ·ΡΠ²Π°Π΅Ρ Π²ΠΈΡΠΊΠΈ ΠΊΠ°ΡΡΡΠΊΠΈ ΠΈ ΠΈΠ½Π΄ΡΠΊΡΠΈΡΡΠ΅Ρ Π² Π½ΠΈΡ ΠΠΠ‘ ΡΠ°ΠΌΠΎΠΈΠ½Π΄ΡΠΊΡΠΈΠΈ βi
i
U L
Β
Π ΠΈΡ. 3.2.1
Π―Π²Π»Π΅Π½ΠΈΠ΅ Π½Π°Π²Π΅Π΄Π΅Π½ΠΈΡ ΠΠΠ‘ ΡΠ°ΠΌΠΎΠΈΠ½Π΄ΡΠΊΡΠΈΠΈ Π² ΠΏΡΠΎΠ²ΠΎΠ΄Π½ΠΈΠΊΠ΅, ΠΊΠΎΠ½ΡΡΡΠ΅ ΠΈΠ»ΠΈ ΠΊΠ°ΡΡΡΠΊΠ΅, Π²ΡΠ·Π²Π°Π½Π½ΠΎΠ΅ ΠΈΠ·ΠΌΠ΅Π½Π΅Π½ΠΈΠ΅ΠΌ ΡΠΎΠΊΠ°, Π½Π°Π·ΡΠ²Π°ΡΡ β Π―Π²Π»Π΅Π½ΠΈΠ΅ ΡΠ°ΠΌΠΎΠΈΠ½Π΄ΡΠΊΡΠΈΠΈ, ΠΠΠ‘ ΡΠ°ΠΌΠΎΠΈΠ½Π΄ΡΠΊΡΠΈΠΈ ΠΏΡΠΎΠΏΠΎΡΡΠΈΠΎΠ½Π°Π»ΡΠ½Π° ΡΠΊΠΎΡΠΎΡΡΠΈ ΠΈΠ·ΠΌΠ΅Π½Π΅Π½ΠΈΡ ΡΠΎΠΊΠ° Π² ΡΡΠΎΠΌ ΠΏΡΠΎΠ²ΠΎΠ΄Π½ΠΈΠΊΠ΅, ΠΊΠΎΠ½ΡΡΡΠ΅ ΠΈΠ»ΠΈ ΠΊΠ°ΡΡΡΠΊΠ΅ ΡΠΎ Π·Π½Π°ΠΊΠΎΠΌ β-β.
ΠΡΠ»ΠΈ Π΄Π²Π΅ ΠΈΠ»ΠΈ Π½Π΅ΡΠΊΠΎΠ»ΡΠΊΠΎ ΠΊΠ°ΡΡΡΠ΅ΠΊ ΡΠ°ΡΠΏΠΎΠ»ΠΎΠΆΠ΅Π½Ρ ΡΠ°ΠΊ, ΡΡΠΎ ΠΌΠ°Π³Π½ΠΈΡΠ½ΡΠΉ ΡΠΎΠΊ ΠΎΠ΄Π½ΠΎΠΉ ΠΈΠ· Π½ΠΈΡ ΠΏΡΠΎΠ½ΠΈΠ·ΡΠ²Π°Π΅Ρ Π²ΠΈΡΠΊΠΈ ΠΎΡΡΠ°Π»ΡΠ½ΡΡ , ΡΠΎ ΡΠ°ΠΊΠΈΠ΅ ΠΊΠ°ΡΡΡΠΊΠΈ Π½Π°Π·ΡΠ²Π°ΡΡΡΡ ΠΌΠ°Π³Π½ΠΈΡΠΎ-ΡΠ²ΡΠ·Π°Π½Π½ΡΠΌΠΈ. ΠΠ»Ρ Π΄Π²ΡΡ ΠΌΠ°Π³Π½ΠΈΡΠΎ-ΡΠ²ΡΠ·Π°Π½Π½ΡΡ ΠΊΠ°ΡΡΡΠ΅ΠΊ ΠΎΡΠ½ΠΎΡΠ΅Π½ΠΈΠ΅
Β
ΠΠ΅Π»ΠΈΡΠΈΠ½Π° ΠΏΠΎΡΡΠΎΡΠ½Π½Π°Ρ ΠΈ Π½Π°Π·ΡΠ²Π°Π΅ΡΡΡ Π²Π·Π°ΠΈΠΌΠ½ΠΎΠΉ ΠΈΠ½Π΄ΡΠΊΡΠΈΠ²Π½ΠΎΡΡΡΡ. ΠΠΠ‘ Π²Π·Π°ΠΈΠΌΠ½ΠΎΠΉ ΠΈΠ½Π΄ΡΠΊΡΠΈΠΈ
ΠΠ°Π²ΠΈΡΠΈΠΌΠΎΡΡΡ ΠΌΠ΅ΠΆΠ΄Ρ ΠΊΠΎΡΡΡΠΈΡΠΈΠ΅Π½ΡΠΎΠΌ Π²Π·Π°ΠΈΠΌΠ½ΠΎΠΉ ΠΈΠ½Π΄ΡΠΊΡΠΈΠΈ ΠΈΠ½Π΄ΡΠΊΡΠΈΠ²Π½ΠΎΡΡΡΠΌΠΈ ΠΊΠ°ΡΡΡΠ΅ΠΊ
Π³Π΄Π΅: Π β ΠΊΠΎΡΡΡΠΈΡΠΈΠ΅Π½Ρ ΠΌΠ°Π³Π½ΠΈΡΠ½ΠΎΠΉ ΡΠ²ΡΠ·ΠΈ ΠΌΠ΅ΠΆΠ΄Ρ ΠΊΠ°ΡΡΡΠΊΠ°ΠΌΠΈ, Π·Π°Π²ΠΈΡΠΈΡ ΠΎΡ Π²Π·Π°ΠΈΠΌΠ½ΠΎΠ³ΠΎ ΡΠ°ΡΠΏΠΎΠ»ΠΎΠΆΠ΅Π½ΠΈΡ ΠΊΠ°ΡΡΡΠ΅ΠΊ.
ΠΠ½ ΠΏΠΎΠΊΠ°Π·ΡΠ²Π°Π΅Ρ, ΠΊΠ°ΠΊΠ°Ρ ΡΠ°ΡΡΡ ΡΠΎΠ·Π΄Π°Π½Π½ΠΎΠ³ΠΎ ΠΏΠΎΡΠΎΠΊΠ° ΠΏΡΠΎΠ½ΠΈΠ·ΡΠ²Π°Π΅Ρ ΠΎΠ΄Π½ΠΎΠ²ΡΠ΅ΠΌΠ΅Π½Π½ΠΎ ΠΎΠ±Π΅ ΠΌΠ°Π³Π½ΠΈΡΠΎ-ΡΠ²ΡΠ·Π°Π½Π½ΡΠ΅ ΠΊΠ°ΡΡΡΠΊΠΈ. ΠΠΎΡΡΡΠΈΡΠΈΠ΅Π½Ρ ΡΠ²ΡΠ·ΠΈ ΠΌΠΎΠΆΠ΅Ρ ΠΈΠ·ΠΌΠ΅Π½ΡΡΡΡΡ ΠΎΡ Π½ΡΠ»Ρ Π΄ΠΎ Π΅Π΄ΠΈΠ½ΠΈΡΡ.
ΠΡΠΈ ΠΎΡΡΡΡΡΡΠ²ΠΈΠΈ ΡΠ°ΡΡΠ΅ΡΠ½ΠΈΡ ΠΌΠ°Π³Π½ΠΈΡΠ½ΠΎΠ³ΠΎ ΠΏΠΎΡΠΎΠΊΠ° Π=0, ΠΏΡΠΈ ΠΎΡΡΡΡΡΡΠ²ΠΈΠΈ ΠΌΠ°Π³Π½ΠΈΡΠ½ΠΎΠΉ ΡΠ²ΡΠ·ΠΈ Π=0.
ΠΠ½Π΄ΡΠΊΡΠΈΠ²Π½ΠΎ-ΡΠ²ΡΠ·Π°Π½Π½ΡΠ΅ ΠΊΠ°ΡΡΡΠΊΠΈ ΠΌΠΎΠ³ΡΡ Π±ΡΡΡ Π²ΠΊΠ»ΡΡΠ΅Π½Ρ ΡΠΎΠ³Π»Π°ΡΠ½ΠΎ ΠΈΠ»ΠΈ Π²ΡΡΡΠ΅ΡΠ½ΠΎ ΡΠΎΠ³Π»Π°ΡΠ½ΡΠΌΠΈ Π²ΠΊΠ»ΡΡΠ΅Π½ΠΈΠ΅ΠΌ Π½Π°Π·ΡΠ²Π°Π΅ΡΡΡ ΡΠ°ΠΊΠΎΠ΅, ΠΏΡΠΈ ΠΊΠΎΡΠΎΡΠΎΠΌ Π½Π°ΠΌΠΎΡΠΊΠ° ΠΊΠ°ΡΡΡΠ΅ΠΊ Π²ΡΠΏΠΎΠ»Π½Π΅Π½Π° ΡΠ°ΠΊ, ΡΡΠΎ ΠΌΠ°Π³Π½ΠΈΡΠ½ΡΠ΅ ΠΏΠΎΡΠΎΠΊΠΈ ΠΊΠ°ΡΡΡΠ΅ΠΊ ΠΈΠΌΠ΅ΡΡ ΠΎΠ΄ΠΈΠ½Π°ΠΊΠΎΠ²ΠΎΠ΅ Π½Π°ΠΏΡΠ°Π²Π»Π΅Π½ΠΈΠ΅. ΠΡΠΈ Π²ΡΡΡΠ΅ΡΠ½ΠΎΠΌ ΠΏΠΎΡΠ»Π΅Π΄ΠΎΠ²Π°ΡΠ΅Π»ΡΠ½ΠΎΠΌ Π²ΠΊΠ»ΡΡΠ΅Π½ΠΈΠΈ ΠΏΠ΅ΡΠ²ΠΈΡΠ½ΠΎΠΉ ΠΈ Π²ΡΠΎΡΠΈΡΠ½ΠΎΠΉ ΠΏΡΠΎΡΠΈΠ²ΠΎΠΏΠΎΠ»ΠΎΠΆΠ½ΠΎ. ΠΡΠΈ ΠΏΠΎΡΠ»Π΅Π΄ΠΎΠ²Π°ΡΠ΅Π»ΡΠ½ΠΎΠΌ Π²ΠΊΠ»ΡΡΠ΅Π½ΠΈΠΈ ΠΌΠ°Π³Π½ΠΈΡΠ½ΡΠ΅ ΠΏΠΎΡΠΎΠΊΠΈ ΠΊΠ°ΡΡΡΠ΅ΠΊ Π½Π°ΠΏΡΠ°Π²Π»Π΅Π½Ρ ΠΏΡΠΎΡΠΈΠ²ΠΎΠΏΠΎΠ»ΠΎΠΆΠ½ΠΎ. ΠΡΠΈ ΠΏΠΎΡΠ»Π΅Π΄ΠΎΠ²Π°ΡΠ΅Π»ΡΠ½ΠΎΠΌ Π²ΠΊΠ»ΡΡΠ΅Π½ΠΈΠΈ ΠΏΠ΅ΡΠ²ΠΈΡΠ½ΠΎΠΉ ΠΈ Π²ΡΠΎΡΠΈΡΠ½ΠΎΠΉ ΠΊΠ°ΡΡΡΠ΅ΠΊ ΠΏΡΠΈ ΡΠΎΠ³Π»Π°ΡΠ½ΠΎΠΌ Π²ΠΊΠ»ΡΡΠ΅Π½ΠΈΠΈ ΠΎΠ±ΡΠ°Ρ ΠΈΠ½Π΄ΡΠΊΡΠΈΠ²Π½ΠΎΡΡΡ ΡΡΠΈΡ ΠΊΠ°ΡΡΡΠ΅ΠΊ ΠΎΠΏΡΠ΅Π΄Π΅Π»ΡΠ΅ΡΡΡ
, Π° ΠΏΡΠΈ Π²ΡΡΡΠ΅ΡΠ½ΠΎΠΌ Π²ΠΊΠ»ΡΡΠ΅Π½ΠΈΠΈ
ΠΠΎΠΏΡΠΎΡΡ Π΄Π»Ρ ΡΠ°ΠΌΠΎΠΏΡΠΎΠ²Π΅ΡΠΊΠΈ
1. Π§ΡΠΎ Π½Π°Π·ΡΠ²Π°Π΅ΡΡΡ ΡΠ»Π΅ΠΊΡΡΠΎΠΌΠ°Π³Π½ΠΈΡΠ½ΠΎΠΉ ΠΈΠ½Π΄ΡΠΊΡΠΈΠ΅ΠΉ?
2. Π§ΡΠΎ Π½Π°Π·ΡΠ²Π°Π΅ΡΡΡ ΡΠ°ΠΌΠΎΠΈΠ½Π΄ΡΠΊΡΠΈΠ΅ΠΉ?
3. ΠΠ°ΠΊ ΠΎΠΏΡΠ΅Π΄Π΅Π»ΡΠ΅ΡΡΡ ΠΠΠ‘ ΡΠ°ΠΌΠΎΠΈΠ½Π΄ΡΠΊΡΠΈΠΈ?
4. Π§ΡΠΎ Π½Π°Π·ΡΠ²Π°Π΅ΡΡΡ Π²Π·Π°ΠΈΠΌΠΎΠΈΠ½Π΄ΡΠΊΡΠΈΠ΅ΠΉ?
5. ΠΡ ΡΠ΅Π³ΠΎ Π·Π°Π²ΠΈΡΠΈΡ ΠΊΠΎΡΡΡΠΈΡΠΈΠ΅Π½Ρ ΠΌΠ°Π³Π½ΠΈΡΠ½ΠΎΠΉ ΡΠ²ΡΠ·ΠΈ ΠΈ Π² ΠΊΠ°ΠΊΠΈΡ ΠΏΡΠ΅Π΄Π΅Π»Π°Ρ RΠ½ ΠΈΠ·ΠΌΠ΅Π½ΠΈΡΡΡ?
6. ΠΠ°ΠΊΠΎΠ΅ Π²ΠΊΠ»ΡΡΠ΅Π½ΠΈΠ΅ ΠΊΠ°ΡΡΡΠ΅ΠΊ Π½Π°Π·ΡΠ²Π°Π΅ΡΡΡ ΡΠΎΠ³Π»Π°ΡΠΎΠ²Π°Π½Π½ΡΠΌ, Π° ΠΊΠ°ΠΊΠΎΠ΅ β Π²ΡΡΡΠ΅ΡΠ½ΡΠΌ?
Β
ΠΠΎΡ ΠΎΠΆΠΈΠ΅ ΡΡΠ°ΡΡΠΈ:
poznayka.org






