Написать заключение дипломной работы: образец, пример вывода вкр Выпускная квалификационная комиссия редко читает дипломную работу целиком, как правило, ограничиваясь введением …
Рубрика: Советы абитуриенту
Подгруппы — как отличить главную подргуппу от побочной в таблице менделеева? СРОООЧНО!!! — 22 ответа Группа главная и побочнаяВ разделе …
Адреса и телефоны бирж труда во всех округах Москвы Биржа труда свао – не крайность, а новая возможность! Начиная свой активный …
запорожье — с русского на английскийЗапорожье — город, ц. Запорожской обл., Украина. Основан в 1770 г. как Александровская крепость. Название …
Блок | Физика Блок представляет собой устройство, имеющее форму колеса с желобом, по которому пропускают веревку, трос или цепь. Различают …
Школьная форма в Германии: что нельзя носить | Учеба | DW В Германии обязательной единой школьной формы нет. Тем не …
Что такое лазер? Лазер — это устройство, создающее узкий пучок интенсивного света. В работе лазера используется свойство электронов атома занимать …
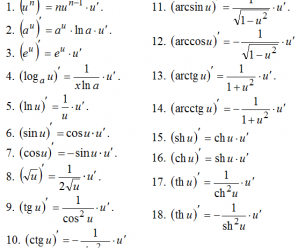
Примеры сложных функций | Математика Сложная функция — это функция от функции. Если u — функция от x, то есть …
База знаний – Как происходит отклик на вакансию? После нажатия на кнопку «Откликнуться» создается специальный документ, отклик, который содержит краткую …
Таблица первообразных и правила их нахождения 2 августа 2015На этой странице вы найдёте: 1. Собственно, таблицу первообразных — её можно …










