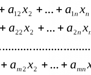
определение и свойства. Вычисление детерминантов. Правило Крамера. Метод Гаусса решения системы, страница 2Из свойства 1 следует равноправность строк и столбцов. …
Рубрика: Советы абитуриенту
Плюсы и минусы ветроэнергетики.Ветер, как неисчерпаемый источник экологически чистой энергии, находит все более широкое применение и приобретает все большую общественную …
Среднее образование в Швейцарии: особенности обучения, частные школы Система школьного образования в Швейцарии мало чем отличается от традиций, принятых в …
Реклама,полиграфия Кривой Рог – рекламные и полиграфические услуги на OLX.ua Кривой Рог Кривой Рог, Саксаганский Сегодня 21:07 Кривой Рог, Саксаганский …
Английский язык – Английский язык
Английский был и остается самым востребованным языком в течение уже многих лет. Его изучение …
РосНОУ – личный кабинет студента РосНОУ – это образовательное учреждение, основанное в 1991 году. Вуз отличается высоким уровнем подготовки специалистов, …
ток прямо пропорционален напряжению и обратно пропорционален сопротивлению.
Стр 1 из 2Следующая ⇒Закон Ома для участка цепи гласит: …
Как написать реферат: образецПоговорим о том, как правильно написать реферат. Он является самостоятельной работой, в процессе которой осуществляется аттестация ученика. …
основные положения, первое, второе и третье начало Термодинамика (греч. θέρμη – «тепло», δύναμις – «сила») – раздел физики, изучающий наиболее …
Министество образования и науки рф ГОСУДАРСТВЕННОЕ ОБРАЗОВАТЕЛЬНОЕ УЧРЕЖДЕНИЕ ВЫСШЕГО ПРОФЕССИОНАЛЬНОГО ОБРАЗОВАНИЯ «БАШКИРСКИЙ ГОСУДАРСТВЕННЫЙ ПЕДАГОГИЧЕСКИЙ УНИВЕРСИТЕТ им. М.АКМУЛЛЫ» Институт исторического и …










